Neomycin And Polymyxin B Sulfates

Neomycin And Polymyxin B Sulfates
SPL v14
SPL
SPL Set ID f3231f1c-665e-4efa-baa1-83bf296b2f8f
Route
OPHTHALMIC
Published
Effective Date 2024-11-20
Document Type 34391-3 HUMAN PRESCRIPTION DRUG LABEL

Drug Facts

Composition & Product

Active Ingredients
Neomycin (3.5 mg) Polymyxin B (10000 [USP'U]) Bacitracin (400 [USP'U])
Inactive Ingredients
Mineral Oil Petrolatum

Identifiers & Packaging

Marketing Status
ANDA Active Since 1995-10-30

Description

Rx only

Indications and Usage

Neomycin and polymyxin B sulfates and bacitracin zinc ophthalmic ointment is indicated for the topical treatment of superficial infections of the external eye and its adnexa caused by susceptible bacteria. Such infections encompass conjunctivitis, keratitis and keratoconjunctivitis, blepharitis and blepharoconjunctivitis.

Dosage and Administration

Apply the ointment topically into the conjunctival sac of the affected eye(s) every 3 or 4 hours for 7 to 10 days, depending on the severity of the infection.

Contraindications

Neomycin and polymyxin B sulfates and bacitracin zinc ophthalmic ointment is contraindicated in individuals who have shown hypersensitivity to any of its components.

Adverse Reactions

Adverse reactions have occurred with the anti-infective components of neomycin and polymyxin B sulfates and bacitracin zinc ophthalmic ointment. The exact incidence is not known. Reactions occurring most often are allergic sensitization reactions including itching, swelling, and conjunctival erythema ( see WARNINGS ). More serious hypersensitivity reactions, including anaphylaxis, have been reported rarely. Local irritation on instillation has also been reported. To report SUSPECTED ADVERSE REACTIONS, contact Bausch & Lomb Incorporated at 1-800-553-5340 or FDA at 1-800-FDA-1088 or www.fda.gov/medwatch .

How Supplied

Neomycin and polymyxin B sulfates and bacitracin zinc ophthalmic ointment, USP is supplied in a 3.5 g tube with an ophthalmic tip. NDC 24208-780-55 – 3.5 g tube Caution: Federal law prohibits dispensing without a prescription. FOR TOPICAL OPHTHALMIC USE


Medication Information

Indications and Usage

Neomycin and polymyxin B sulfates and bacitracin zinc ophthalmic ointment is indicated for the topical treatment of superficial infections of the external eye and its adnexa caused by susceptible bacteria. Such infections encompass conjunctivitis, keratitis and keratoconjunctivitis, blepharitis and blepharoconjunctivitis.

Dosage and Administration

Apply the ointment topically into the conjunctival sac of the affected eye(s) every 3 or 4 hours for 7 to 10 days, depending on the severity of the infection.

Contraindications

Neomycin and polymyxin B sulfates and bacitracin zinc ophthalmic ointment is contraindicated in individuals who have shown hypersensitivity to any of its components.

Adverse Reactions

Adverse reactions have occurred with the anti-infective components of neomycin and polymyxin B sulfates and bacitracin zinc ophthalmic ointment. The exact incidence is not known. Reactions occurring most often are allergic sensitization reactions including itching, swelling, and conjunctival erythema ( see WARNINGS ). More serious hypersensitivity reactions, including anaphylaxis, have been reported rarely.

Local irritation on instillation has also been reported.

To report SUSPECTED ADVERSE REACTIONS, contact Bausch & Lomb Incorporated at 1-800-553-5340 or FDA at 1-800-FDA-1088 or www.fda.gov/medwatch.

How Supplied

Neomycin and polymyxin B sulfates and bacitracin zinc ophthalmic ointment, USP is supplied in a 3.5 g tube with an ophthalmic tip.

NDC 24208-780-55 – 3.5 g tube

Caution: Federal law prohibits dispensing without a prescription.

FOR TOPICAL OPHTHALMIC USE

Description

Neomycin and polymyxin B sulfates and bacitracin zinc ophthalmic ointment, USP is a sterile antimicrobial ointment for topical ophthalmic use.

Each gram contains

Actives:neomycin sulfate equivalent to 3.5 mg neomycin base, polymyxin B sulfate equivalent to 10,000 polymyxin B units, and bacitracin zinc equivalent to 400 bacitracin units; Inactives:white petrolatum and mineral oil.

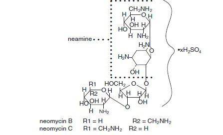
Neomycin sulfate is the sulfate salt of neomycin B and C, which are produced by the growth of Streptomyces fradiaeWaksman (Fam. Streptomycetaceae). It has a potency equivalent of not less than 600 micrograms of neomycin standard per mg, calculated on an anhydrous basis. The structural formulae are:

Polymyxin B sulfate is the sulfate salt of polymyxin B 1and B 2which are produced by the growth of Bacillus polymyxa(Prazmowski) Migula (Fam. Bacillaceae). It has a potency of not less than 6,000 polymyxin B units per mg, calculated on an anhydrous basis.

The structural formulae are:

Bacitracin zinc is the zinc salt of bacitracin, a mixture of related cyclic polypeptides (mainly bacitracin A) produced by the growth of an organism of the licheniformisgroup of Bacillus subtilisvar Tracy. It has a potency of not less than 40 bacitracin units per mg.

The structural formula for bacitracin A is:

General

As with other antibiotic preparations, prolonged use of neomycin and polymyxin B sulfates and bacitracin zinc ophthalmic ointment may result in overgrowth of nonsusceptible organisms including fungi. If superinfection occurs, appropriate measures should be initiated.

Bacterial resistance to neomycin and polymyxin B sulfates and bacitracin zinc ophthalmic ointment may also develop. If purulent discharge, inflammation, or pain becomes aggravated, the patient should discontinue use of the medication and consult a physician.

There have been reports of bacterial keratitis associated with the use of topical ophthalmic products in multiple-dose containers which have been inadvertently contaminated by patients, most of whom had a concurrent corneal disease or a disruption of the ocular epithelial surface ( see PRECAUTIONS: Information for Patients) .

Allergic cross-reactions may occur which could prevent the use of any or all of the following antibiotics for the treatment of future infections: kanamycin, paromomycin, streptomycin, and possibly gentamicin.

Warnings

NOT FOR INJECTION INTO THE EYE

Neomycin and polymyxin B sulfates and bacitracin zinc ophthalmic ointment should never be directly introduced into the anterior chamber of the eye. Ophthalmic ointments may retard corneal wound healing.

Topical antibiotics, particularly neomycin sulfate, may cause cutaneous sensitization. A precise incidence of hypersensitivity reactions (primarily skin rash) due to topical antibiotics is not known. The manifestations of sensitization to topical antibiotics are usually itching, reddening, and edema of the conjunctiva and eyelid. A sensitization reaction may manifest simply as a failure to heal. During long-term use of topical antibiotic products, periodic examination for such signs is advisable, and the patient should be told to discontinue the product if they are observed. Symptoms usually subside quickly on withdrawing the medication. Application of products containing these ingredients should be avoided for the patient thereafter ( see PRECAUTIONS: General ).

(sterile)

Rx only

Clinical Pharmacology

A wide range of antibacterial action is provided by the overlapping spectra of neomycin, polymyxin B sulfate, and bacitracin.

Neomycin is bactericidal for many gram-positive and gram-negative organisms. It is an aminoglycoside antibiotic which inhibits protein synthesis by binding with ribosomal RNA and causing misreading of the bacterial genetic code.

Polymyxin B is bactericidal for a variety of gram-negative organisms. It increases the permeability of the bacterial cell membrane by interacting with the phospholipid components of the membrane.

Bacitracin is bactericidal for a variety of gram-positive and gram-negative organisms. It interferes with bacterial cell wall synthesis by inhibition of the regeneration of phospholipid receptors involved in peptidoglycan synthesis.

Microbiology

Neomycin sulfate, polymyxin B sulfate and bacitracin zinc together are considered active against the following microorganisms:

Staphylococcus aureus, streptococci including Streptococcus pneumoniae, Escherichia coli, Haemophilus influenzae, Klebsiella/Enterobacterspecies, Neisseriaspecies, and Pseudomonas aeruginosa. The product does not provide adequate coverage against Serratia marcescens.

Information for Patients

Patients should be instructed to avoid allowing the tip of the dispensing container to contact the eye, eyelid, fingers, or any other surface.

The use of this product by more than one person may spread infection.

Patients should also be instructed that ocular products, if handled improperly, can become contaminated by common bacteria known to cause ocular infections. Serious damage to the eye and subsequent loss of vision may result from using contaminated products ( see PRECAUTIONS: General ).

If the condition persists or gets worse, or if a rash or allergic reaction develops, the patient should be advised to stop use and consult a physician. Do not use this product if you are allergic to any of the listed ingredients.

Keep tightly closed when not in use. Keep out of reach of children.

Package/label Principal Display Panel

NDC24208-780-55

Neomycin and

Polymyxin B

Sulfates and Bacitracin Zinc

Ophthalmic

Ointment, USP

(Sterile)

FOR TOPICAL

OPHTHALMIC

USE ONLY

{eye image}

Rx only Net Wt. 3.5 g

(1/8 oz)

BAUSCH + LOMB

9758802

Carcinogenesis, Mutagenesis, Impairment of Fertility

Long-term studies in animals to evaluate carcinogenic or mutagenic potential have not been conducted with polymyxin B sulfate or bacitracin. Treatment of cultured human lymphocytes in vitrowith neomycin increased the frequency of chromosome aberrations at the highest concentration (80 mcg/mL) tested; however, the effects of neomycin on carcinogenesis and mutagenesis in humans are unknown.

Polymyxin B has been reported to impair the motility of equine sperm, but its effects on male or female fertility are unknown. No adverse effects on male or female fertility, litter size or survival were observed in rabbits given bacitracin zinc 100 gm/ton of diet.

Store Between 15°c to 25°c (59°f to 77°f). Keep Tightly Closed When Not in Use.

Keep out of reach of children.

Distributed by:

Bausch & Lomb Americas Inc.

Bridgewater, NJ 08807 USA

Manufactured by:

Bausch & Lomb Incorporated

Tampa, FL 33637 USA



© 2023 Bausch & Lomb Incorporated or its affiliates

Revised: 01/2023

9113603 (Folded)

9113703 (Flat)


Structured Label Content

General

As with other antibiotic preparations, prolonged use of neomycin and polymyxin B sulfates and bacitracin zinc ophthalmic ointment may result in overgrowth of nonsusceptible organisms including fungi. If superinfection occurs, appropriate measures should be initiated.

Bacterial resistance to neomycin and polymyxin B sulfates and bacitracin zinc ophthalmic ointment may also develop. If purulent discharge, inflammation, or pain becomes aggravated, the patient should discontinue use of the medication and consult a physician.

There have been reports of bacterial keratitis associated with the use of topical ophthalmic products in multiple-dose containers which have been inadvertently contaminated by patients, most of whom had a concurrent corneal disease or a disruption of the ocular epithelial surface ( see PRECAUTIONS: Information for Patients) .

Allergic cross-reactions may occur which could prevent the use of any or all of the following antibiotics for the treatment of future infections: kanamycin, paromomycin, streptomycin, and possibly gentamicin.

Warnings (WARNINGS)

NOT FOR INJECTION INTO THE EYE

Neomycin and polymyxin B sulfates and bacitracin zinc ophthalmic ointment should never be directly introduced into the anterior chamber of the eye. Ophthalmic ointments may retard corneal wound healing.

Topical antibiotics, particularly neomycin sulfate, may cause cutaneous sensitization. A precise incidence of hypersensitivity reactions (primarily skin rash) due to topical antibiotics is not known. The manifestations of sensitization to topical antibiotics are usually itching, reddening, and edema of the conjunctiva and eyelid. A sensitization reaction may manifest simply as a failure to heal. During long-term use of topical antibiotic products, periodic examination for such signs is advisable, and the patient should be told to discontinue the product if they are observed. Symptoms usually subside quickly on withdrawing the medication. Application of products containing these ingredients should be avoided for the patient thereafter ( see PRECAUTIONS: General ).

(sterile) ((Sterile))

Rx only

Description (DESCRIPTION)

Neomycin and polymyxin B sulfates and bacitracin zinc ophthalmic ointment, USP is a sterile antimicrobial ointment for topical ophthalmic use.

Each gram contains

Actives:neomycin sulfate equivalent to 3.5 mg neomycin base, polymyxin B sulfate equivalent to 10,000 polymyxin B units, and bacitracin zinc equivalent to 400 bacitracin units; Inactives:white petrolatum and mineral oil.

Neomycin sulfate is the sulfate salt of neomycin B and C, which are produced by the growth of Streptomyces fradiaeWaksman (Fam. Streptomycetaceae). It has a potency equivalent of not less than 600 micrograms of neomycin standard per mg, calculated on an anhydrous basis. The structural formulae are:

Polymyxin B sulfate is the sulfate salt of polymyxin B 1and B 2which are produced by the growth of Bacillus polymyxa(Prazmowski) Migula (Fam. Bacillaceae). It has a potency of not less than 6,000 polymyxin B units per mg, calculated on an anhydrous basis.

The structural formulae are:

Bacitracin zinc is the zinc salt of bacitracin, a mixture of related cyclic polypeptides (mainly bacitracin A) produced by the growth of an organism of the licheniformisgroup of Bacillus subtilisvar Tracy. It has a potency of not less than 40 bacitracin units per mg.

The structural formula for bacitracin A is:

How Supplied (HOW SUPPLIED)

Neomycin and polymyxin B sulfates and bacitracin zinc ophthalmic ointment, USP is supplied in a 3.5 g tube with an ophthalmic tip.

NDC 24208-780-55 – 3.5 g tube

Caution: Federal law prohibits dispensing without a prescription.

FOR TOPICAL OPHTHALMIC USE

Adverse Reactions (ADVERSE REACTIONS)

Adverse reactions have occurred with the anti-infective components of neomycin and polymyxin B sulfates and bacitracin zinc ophthalmic ointment. The exact incidence is not known. Reactions occurring most often are allergic sensitization reactions including itching, swelling, and conjunctival erythema ( see WARNINGS ). More serious hypersensitivity reactions, including anaphylaxis, have been reported rarely.

Local irritation on instillation has also been reported.

To report SUSPECTED ADVERSE REACTIONS, contact Bausch & Lomb Incorporated at 1-800-553-5340 or FDA at 1-800-FDA-1088 or www.fda.gov/medwatch.

Contraindications (CONTRAINDICATIONS)

Neomycin and polymyxin B sulfates and bacitracin zinc ophthalmic ointment is contraindicated in individuals who have shown hypersensitivity to any of its components.

Clinical Pharmacology (CLINICAL PHARMACOLOGY)

A wide range of antibacterial action is provided by the overlapping spectra of neomycin, polymyxin B sulfate, and bacitracin.

Neomycin is bactericidal for many gram-positive and gram-negative organisms. It is an aminoglycoside antibiotic which inhibits protein synthesis by binding with ribosomal RNA and causing misreading of the bacterial genetic code.

Polymyxin B is bactericidal for a variety of gram-negative organisms. It increases the permeability of the bacterial cell membrane by interacting with the phospholipid components of the membrane.

Bacitracin is bactericidal for a variety of gram-positive and gram-negative organisms. It interferes with bacterial cell wall synthesis by inhibition of the regeneration of phospholipid receptors involved in peptidoglycan synthesis.

Microbiology

Neomycin sulfate, polymyxin B sulfate and bacitracin zinc together are considered active against the following microorganisms:

Staphylococcus aureus, streptococci including Streptococcus pneumoniae, Escherichia coli, Haemophilus influenzae, Klebsiella/Enterobacterspecies, Neisseriaspecies, and Pseudomonas aeruginosa. The product does not provide adequate coverage against Serratia marcescens.

Indications and Usage (INDICATIONS AND USAGE)

Neomycin and polymyxin B sulfates and bacitracin zinc ophthalmic ointment is indicated for the topical treatment of superficial infections of the external eye and its adnexa caused by susceptible bacteria. Such infections encompass conjunctivitis, keratitis and keratoconjunctivitis, blepharitis and blepharoconjunctivitis.

Information for Patients

Patients should be instructed to avoid allowing the tip of the dispensing container to contact the eye, eyelid, fingers, or any other surface.

The use of this product by more than one person may spread infection.

Patients should also be instructed that ocular products, if handled improperly, can become contaminated by common bacteria known to cause ocular infections. Serious damage to the eye and subsequent loss of vision may result from using contaminated products ( see PRECAUTIONS: General ).

If the condition persists or gets worse, or if a rash or allergic reaction develops, the patient should be advised to stop use and consult a physician. Do not use this product if you are allergic to any of the listed ingredients.

Keep tightly closed when not in use. Keep out of reach of children.

Dosage and Administration (DOSAGE AND ADMINISTRATION)

Apply the ointment topically into the conjunctival sac of the affected eye(s) every 3 or 4 hours for 7 to 10 days, depending on the severity of the infection.

Package/label Principal Display Panel (PACKAGE/LABEL PRINCIPAL DISPLAY PANEL)

NDC24208-780-55

Neomycin and

Polymyxin B

Sulfates and Bacitracin Zinc

Ophthalmic

Ointment, USP

(Sterile)

FOR TOPICAL

OPHTHALMIC

USE ONLY

{eye image}

Rx only Net Wt. 3.5 g

(1/8 oz)

BAUSCH + LOMB

9758802

Carcinogenesis, Mutagenesis, Impairment of Fertility

Long-term studies in animals to evaluate carcinogenic or mutagenic potential have not been conducted with polymyxin B sulfate or bacitracin. Treatment of cultured human lymphocytes in vitrowith neomycin increased the frequency of chromosome aberrations at the highest concentration (80 mcg/mL) tested; however, the effects of neomycin on carcinogenesis and mutagenesis in humans are unknown.

Polymyxin B has been reported to impair the motility of equine sperm, but its effects on male or female fertility are unknown. No adverse effects on male or female fertility, litter size or survival were observed in rabbits given bacitracin zinc 100 gm/ton of diet.

Store Between 15°c to 25°c (59°f to 77°f). Keep Tightly Closed When Not in Use. (Store between 15°C to 25°C (59°F to 77°F). Keep tightly closed when not in use.)

Keep out of reach of children.

Distributed by:

Bausch & Lomb Americas Inc.

Bridgewater, NJ 08807 USA

Manufactured by:

Bausch & Lomb Incorporated

Tampa, FL 33637 USA



© 2023 Bausch & Lomb Incorporated or its affiliates

Revised: 01/2023

9113603 (Folded)

9113703 (Flat)


Advanced Ingredient Data


Raw Label Data

All Sections (JSON)