These Highlights Do Not Include All The Information Needed To Use Cefazolin For Injection Safely And Effectively. See Full Prescribing Information For Cefazolin For Injection.

These Highlights Do Not Include All The Information Needed To Use Cefazolin For Injection Safely And Effectively. See Full Prescribing Information For Cefazolin For Injection.
SPL v3
SPL
SPL Set ID 79787707-c84f-f229-e053-2a91aa0a1f16
Routes
INTRAVENOUS INTRAMUSCULAR
Published
Effective Date 2023-05-16
Document Type 34391-3 HUMAN PRESCRIPTION DRUG LABEL

Drug Facts

Composition & Product

Active Ingredients
Cefazolin (1 g)

Identifiers & Packaging

Marketing Status
ANDA Active Since 2017-06-30

Description

To reduce the development of drug-resistant bacteria and maintain the effectiveness of Cefazolin for Injection, USP and other antibacterial drugs, Cefazolin for Injection, USP should be used only to treat or prevent infections that are proven or strongly suspected to be caused by susceptible bacteria. When culture and susceptibility information are available, they should be considered in selecting or modifying antibacterial therapy. In the absence of such data, local epidemiology and susceptibility patterns may contribute to the empiric selection of therapy. Cefazolin for Injection, USP is indicated for the treatment of the following serious infections due to susceptible organisms.

Indications and Usage

To reduce the development of drug-resistant bacteria and maintain the effectiveness of Cefazolin for Injection, USP and other antibacterial drugs, Cefazolin for Injection, USP should be used only to treat or prevent infections that are proven or strongly suspected to be caused by susceptible bacteria. When culture and susceptibility information are available, they should be considered in selecting or modifying antibacterial therapy. In the absence of such data, local epidemiology and susceptibility patterns may contribute to the empiric selection of therapy. Cefazolin for Injection, USP is indicated for the treatment of the following serious infections due to susceptible organisms.

Dosage and Administration

For intravenous or intramuscular use. ( 2 ) Recommended Dosing Schedule in Adult Patients with CrCl Greater Than or Equal to 55 mL/min. ( 2.1 ) Site and Type of Infection Dose Frequency Moderate to severe infections 500 mg to 1 gram every 6 to 8 hours Mild infections caused by susceptible gram-positive cocci 250 mg to 500 mg every 8 hours Acute, uncomplicated urinary tract infections 1 gram every 12 hours Pneumococcal pneumonia 500 mg every 12 hours Severe, life-threatening infections (e.g., endocarditis, septicemia) In rare instances, doses of up to 12 grams of cefazolin per day have been used. 1 gram to 1.5 grams every 6 hours

Warnings and Precautions

Hypersensitivity Reactions: Cross-hypersensitivity may occur in up to 10% of patients with a history of penicillin allergy. If an allergic reaction occurs, discontinue the drug. ( 5.1 ) Use in Patients with Renal Impairment: Dose adjustment required for patients with CrCl less than 55 mL/min. ( 5.2 ) Clostridium difficile -associated Diarrhea: May range from mild diarrhea to fatal colitis. Evaluate if diarrhea occurs. ( 5.3 )

Contraindications

Hypersensitivity to cefazolin or other cephalosporin class antibacterial drugs, penicillins, or other beta-lactams. ( 4.1 )

Adverse Reactions

In addition to the adverse reactions listed above that have been observed in patients treated with cefazolin, the following adverse reactions and altered laboratory tests have been reported for cephalosporin-class antibacterials: Stevens-Johnson syndrome, erythema multiforme, toxic epidermal necrolysis, renal impairment, toxic nephropathy, aplastic anemia, hemolytic anemia, hemorrhage, hepatic impairment including cholestasis, and pancytopenia.

Drug Interactions

Probenecid may decrease renal tubular secretion of cephalosporins when used concurrently, resulting in increased and more prolonged cephalosporin blood levels.

Storage and Handling

Cefazolin for Injection, USP is supplied as a sterile white or off-white powder or crystalline powder. Each vial contains cefazolin sodium equivalent to 1 gram of cefazolin. Unit of Sale Strength Each NDC 60505-6142-5 Carton containing 25 1 Gram NDC 60505-6142-0 Vial As with other cephalosporins, cefazolin tends to darken depending on storage conditions; within the stated recommendations, however, product potency is not adversely affected. Before reconstitution protect from light and store at 20° to 25°C (68° to 77°F) [See USP Controlled Room Temperature].

How Supplied

Cefazolin for Injection, USP is supplied as a sterile white or off-white powder or crystalline powder. Each vial contains cefazolin sodium equivalent to 1 gram of cefazolin. Unit of Sale Strength Each NDC 60505-6142-5 Carton containing 25 1 Gram NDC 60505-6142-0 Vial As with other cephalosporins, cefazolin tends to darken depending on storage conditions; within the stated recommendations, however, product potency is not adversely affected. Before reconstitution protect from light and store at 20° to 25°C (68° to 77°F) [See USP Controlled Room Temperature].


Medication Information

Warnings and Precautions

Hypersensitivity Reactions: Cross-hypersensitivity may occur in up to 10% of patients with a history of penicillin allergy. If an allergic reaction occurs, discontinue the drug. ( 5.1 ) Use in Patients with Renal Impairment: Dose adjustment required for patients with CrCl less than 55 mL/min. ( 5.2 ) Clostridium difficile -associated Diarrhea: May range from mild diarrhea to fatal colitis. Evaluate if diarrhea occurs. ( 5.3 )

Indications and Usage

To reduce the development of drug-resistant bacteria and maintain the effectiveness of Cefazolin for Injection, USP and other antibacterial drugs, Cefazolin for Injection, USP should be used only to treat or prevent infections that are proven or strongly suspected to be caused by susceptible bacteria. When culture and susceptibility information are available, they should be considered in selecting or modifying antibacterial therapy. In the absence of such data, local epidemiology and susceptibility patterns may contribute to the empiric selection of therapy. Cefazolin for Injection, USP is indicated for the treatment of the following serious infections due to susceptible organisms.

Dosage and Administration

For intravenous or intramuscular use. ( 2 ) Recommended Dosing Schedule in Adult Patients with CrCl Greater Than or Equal to 55 mL/min. ( 2.1 ) Site and Type of Infection Dose Frequency Moderate to severe infections 500 mg to 1 gram every 6 to 8 hours Mild infections caused by susceptible gram-positive cocci 250 mg to 500 mg every 8 hours Acute, uncomplicated urinary tract infections 1 gram every 12 hours Pneumococcal pneumonia 500 mg every 12 hours Severe, life-threatening infections (e.g., endocarditis, septicemia) In rare instances, doses of up to 12 grams of cefazolin per day have been used. 1 gram to 1.5 grams every 6 hours

Contraindications

Hypersensitivity to cefazolin or other cephalosporin class antibacterial drugs, penicillins, or other beta-lactams. ( 4.1 )

Adverse Reactions

In addition to the adverse reactions listed above that have been observed in patients treated with cefazolin, the following adverse reactions and altered laboratory tests have been reported for cephalosporin-class antibacterials: Stevens-Johnson syndrome, erythema multiforme, toxic epidermal necrolysis, renal impairment, toxic nephropathy, aplastic anemia, hemolytic anemia, hemorrhage, hepatic impairment including cholestasis, and pancytopenia.

Drug Interactions

Probenecid may decrease renal tubular secretion of cephalosporins when used concurrently, resulting in increased and more prolonged cephalosporin blood levels.

Storage and Handling

Cefazolin for Injection, USP is supplied as a sterile white or off-white powder or crystalline powder. Each vial contains cefazolin sodium equivalent to 1 gram of cefazolin. Unit of Sale Strength Each NDC 60505-6142-5 Carton containing 25 1 Gram NDC 60505-6142-0 Vial As with other cephalosporins, cefazolin tends to darken depending on storage conditions; within the stated recommendations, however, product potency is not adversely affected. Before reconstitution protect from light and store at 20° to 25°C (68° to 77°F) [See USP Controlled Room Temperature].

How Supplied

Cefazolin for Injection, USP is supplied as a sterile white or off-white powder or crystalline powder. Each vial contains cefazolin sodium equivalent to 1 gram of cefazolin. Unit of Sale Strength Each NDC 60505-6142-5 Carton containing 25 1 Gram NDC 60505-6142-0 Vial As with other cephalosporins, cefazolin tends to darken depending on storage conditions; within the stated recommendations, however, product potency is not adversely affected. Before reconstitution protect from light and store at 20° to 25°C (68° to 77°F) [See USP Controlled Room Temperature].

Description

To reduce the development of drug-resistant bacteria and maintain the effectiveness of Cefazolin for Injection, USP and other antibacterial drugs, Cefazolin for Injection, USP should be used only to treat or prevent infections that are proven or strongly suspected to be caused by susceptible bacteria. When culture and susceptibility information are available, they should be considered in selecting or modifying antibacterial therapy. In the absence of such data, local epidemiology and susceptibility patterns may contribute to the empiric selection of therapy. Cefazolin for Injection, USP is indicated for the treatment of the following serious infections due to susceptible organisms.

15 References
  • Clinical and Laboratory Standards Institute (CLSI). Methods for Dilution Antimicrobial Susceptibility Tests for Bacteria that Grow Aerobically; Approved Standard – Tenth Edition. CLSI document M07-A10, Clinical and Laboratory Standards Institute, 950 West Valley Road, Suite 2500, Wayne, Pennsylvania 19087, USA, 2015.
  • Clinical and Laboratory Standards Institute (CLSI). Performance Standards for Antimicrobial Susceptibility Testing; Twenty-fifth Informational Supplement, CLSI document M100-S25, Clinical and Laboratory Standards Institute, 950 West Valley Road, Suite 2500, Wayne, Pennsylvania 19087, USA, 2015.
  • Clinical and Laboratory Standards Institute (CLSI). Performance Standards for Antimicrobial Disk Diffusion Susceptibility Tests; Approved Standard – Twelfth Edition. CLSI document M02-A12, Clinical and Laboratory Standards Institute, 950 West Valley Road, Suite 2500, Wayne, Pennsylvania 19087, USA, 2015.
8.1 Pregnancy

Pregnancy Category B

Reproduction studies have been performed in rats, mice and rabbits at doses up to 25 times the human dose and have revealed no evidence of impaired fertility or harm to the fetus due to cefazolin. There are, however, no adequate and well-controlled studies in pregnant women. Because animal reproduction studies are not always predictive of human response, this drug should be used during pregnancy only if clearly needed.

1.7 Septicemia

Septicemia due to S. pneumoniae, S. aureus (penicillin-sensitive and penicillin-resistant), P. mirabilisE. coli, and Klebsiella species.

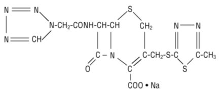
11 Description

Cefazolin for Injection, USP is a semi-synthetic cephalosporin for parenteral administration. It is the sodium salt of 3-{[(5-methyl-1,3,4-thiadiazol-2-yl)thio]-methyl}-8-oxo-7-[2-(1H-tetrazol-1-yl)acetamido]-5-thia-1-azabicyclo[4.2.0]oct-2-ene-2-carboxylic acid.

Structural Formula:

Cefazolin for Injection, USP is a sterile white or off-white powder or crystalline powder.

The sodium contect is 48 mg (2 mEq sodium ion) per 1 gram of cefazolin.

1.8 Endocarditis

Endocarditis due to S. aureus (penicillin-sensitive and penicillin-resistant) and group A beta-hemolytic streptococci.

12.4 Microbiology

Mechanism of Action

Cefazolin is a bactericidal agent that acts by inhibition of bacterial cell wall synthesis.

Mechanism of Resistance

Predominant mechanisms of bacterial resistance to cephalosporins include the presence of extended-spectrum beta-lactamases and enzymatic hydrolysis.

Lists of Microorganisms

Cefazolin has been shown to be active against most isolates of the following microorganisms, both in vitro and in clinical infections as described in the Indications and Usage ( 1) section.

  • Gram-Positive Bacteria

      Staphylococcus aureus

      Staphylococcus epidermidis

      Streptococcus pyogenes

      Streptococcus agalactiae


      Streptococcus pneumoniae

Methicillin-resistant staphylococci are uniformly resistant to cefazolin.

  • Gram-Negative Bacteria

      Escherichia coli

      Proteus mirabilis

Most isolates of indole positive Proteus ( Proteus vulgaris), Enterobacter spp., Morganella morganii, Providencia rettgeri, Serratia spp., and Pseudomonas spp . are resistant to cefazolin.

Susceptibility Test Methods

When available, the clinical microbiology laboratory should provide cumulative reports of in vitro susceptibility test results for antimicrobial drug products used in resident hospitals to the physician as periodic reports that describe the susceptibility profile of nosocomial and community-acquired pathogens. These reports should aid the physician in selecting an antibacterial drug product for treatment.

Dilution Techniques

Quantitative methods are used to determine minimum inhibitory concentrations (MICs). These MICs provide estimates of the susceptibility of bacteria to antimicrobial compounds. The MICs should be determined using a standard test 1, 2 (broth and/or agar). The MIC values obtained should be interpreted according to criteria as provided in Table 4.

Diffusion Techniques

Quantitative methods that require measurement of zone diameters provide reproducible estimates of the susceptibility of bacteria to antimicrobial compounds. The zone size provides an estimate of the susceptibility of bacteria to antimicrobial compounds. The zone size should be interpreted using a standard test method 2, 3. This procedure uses paper disks impregnated with 30 mcg cefazolin to test the susceptibility of microorganisms to cefazolin. The disk diffusion interpretive criteria are provided in Table 4.

Table 4: Susceptibility Test Interpretive Criteria for Cefazolin
Interpretive criteria are based on 1 g every 8 hr
Abbreviations: S= susceptible, I= intermediate, R= resistant

Pathogen

Minimum Inhibitory

Concentration (mcg/mL)

Disk Diffusion Zone Diameter (mm)

S

I

R

S

I

R

Enterobacteriaceae

≤1

2

≥4

-

-

-

NOTE:

S. pyogenes and S. agalactiae that have a penicillin MIC of ≤0.12 mcg/mL, or disk diffusion zone diameters of ≥24 mm with a 10 mcg penicillin disk, may be interpreted as susceptible to cefazolin. NOTE: Susceptibility of staphylococci to cefazolin may be deduced from testing either cefoxitin or oxacillin.

A report of Susceptible indicates that the antimicrobial is likely to inhibit growth of the pathogen if the antimicrobial compound reaches the concentrations at the infection site necessary to inhibit growth of the pathogen. A report of Intermediate indicates that the result should be considered equivocal, and, if the microorganism is not fully susceptible to alternative, clinically feasible drugs, the test should be repeated. This category implies possible clinical applicability in body sites where the drug product is physiologically concentrated or in situations where a high dosage of the drug product can be used. This category also provides a buffer zone that prevents small uncontrolled technical factors from causing major discrepancies in interpretation. A report of Resistant indicates that the antimicrobial is not likely to inhibit growth of the pathogen if the antimicrobial compound reaches the concentrations usually achievable at the infection site; other therapy should be selected.

Quality Control

Standardized susceptibility test procedures require the use of laboratory controls to monitor and ensure the accuracy and precision of supplies and reagents used in the assay, and the techniques of the individual performing the test 1, 2, 3. Standard cefazolin powder should provide the following MIC values noted in Table 5. For the diffusion technique using the 30 mcg disk, the criteria in Table 5 should be achieved.

Table 5: Acceptable Quality Control Ranges for Cefazolin

Quality Control Strain

Minimum Inhibitory Concentration

mcg/mL

Disk Diffusion Zone Diameters

(mm)

E. coli ATCC ® 25922

1 to 4

21 to 27

S. aureus ATCC ® 29213

0.25 to 1

------------

S. aureus ATCC ® 25923

-------------

29 to 35

8.4 Pediatric Use

Safety and effectiveness for use in premature infants and neonates have not been established. See Dosage and Administration (2.4) for recommended dosage in pediatric patients older than 1 month.

8.5 Geriatric Use

Of the 920 subjects who received cefazolin in clinical studies, 313 (34%) were 65 years and over, while 138 (15%) were 75 years and over. No overall differences in safety or effectiveness were observed between these subjects and younger subjects. Other reported clinical experience has not identified differences in responses between the elderly and younger patients, but greater sensitivity of some older individuals cannot be ruled out.

This drug is known to be substantially excreted by the kidney, and the risk of toxic reactions to this drug may be greater in patients with impaired renal function. Because elderly patients are more likely to have decreased renal function, care should be taken in dose selection, and it may be useful to monitor renal function [ see Dosage and Administration (2.3)and Warnings and Precautions (5.2) ].

4 Contraindications
  • Hypersensitivity to cefazolin or other cephalosporin class antibacterial drugs, penicillins, or other beta-lactams. ( 4.1)
6 Adverse Reactions

The following reactions have been reported:

7 Drug Interactions

Probenecid may decrease renal tubular secretion of cephalosporins when used concurrently, resulting in increased and more prolonged cephalosporin blood levels.

8.3 Nursing Mothers

Cefazolin for Injection is present in very low concentrations in the milk of nursing mothers. Caution should be exercised when Cefazolin for Injection is administered to a nursing woman.

2.1 Adult Population

The recommended adult dosages are outlined in Table 1. Cefazolin for Injection should be administered intravenously (IV) or intramuscularly (IM).

Table 1: Recommended Dosing Schedule in Adult Patients with CrCl Greater Than or Equal to 55 mL/min.

Site and Type of Infection

Dose

Frequency

Moderate to severe infections

500 mg to 1 gram

every 6 to 8 hours

Mild infections caused by susceptible gram-positive cocci

250 mg to 500 mg

every 8 hours

Acute, uncomplicated urinary tract infections

1 gram

every 12 hours

Pneumococcal pneumonia

500 mg

every 12 hours

Severe, life-threatening infections (e.g., endocarditis, septicemia)

In rare instances, doses of up to 12 grams of cefazolin per day have been used.

1 gram to 1.5 grams

every 6 hours

12.2 Pharmacodynamics

The pharmacokinetic/pharmacodynamic relationship for cefazolin has not been evaluated in patients.

12.3 Pharmacokinetics

After intramuscular administration of Cefazolin for Injection to normal volunteers, the mean serum concentrations were 37 mcg/mL at 1 hour and 3 mcg/mL at 8 hours following a 500 mg dose, and 64 mcg/mL at 1 hour and 7 mcg/mL at 8 hours following a 1-gram dose.

Studies have shown that following intravenous administration of Cefazolin for Injection to normal volunteers, mean serum concentrations peaked at approximately 185 mcg/mL and were approximately 4 mcg/mL at 8 hours for a 1 gram dose.

The serum half-life for Cefazolin for Injection is approximately 1.8 hours following IV administration and approximately 2 hours following IM administration.

In a study (using normal volunteers) of constant intravenous infusion with dosages of 3.5 mg/kg for 1 hour (approximately 250 mg) and 1.5 mg/kg the next 2 hours (approximately 100 mg), Cefazolin for Injection produced a steady serum level at the third hour of approximately 28 mcg/mL.

Studies in patients hospitalized with infections indicate that Cefazolin for Injection produces mean peak serum levels approximately equivalent to those seen in normal volunteers.

Bile levels in patients without obstructive biliary disease can reach or exceed serum levels up to 5 times; however, in patients with obstructive biliary disease, bile levels of Cefazolin for Injection are considerably lower than serum levels (< 1 mcg/mL).

In synovial fluid, the level of Cefazolin for Injection becomes comparable to that reached in serum at about 4 hours after drug administration.

Studies of cord blood show prompt transfer of Cefazolin for Injection across the placenta. Cefazolin for Injection is present in very low concentrations in the milk of nursing mothers.

Cefazolin for Injection is excreted unchanged in the urine. In the first 6 hours approximately 60% of the drug is excreted in the urine and this increases to 70% to 80% within 24 hours. Cefazolin for Injection achieves peak urine concentrations of approximately 2,400 mcg/mL and 4,000 mcg/mL respectively following 500 mg and 1 gram intramuscular doses.

In patients undergoing peritoneal dialysis (2 L/hr.), Cefazolin for Injection produced mean serum levels of approximately 10 and 30 mcg/mL after 24 hours' instillation of a dialyzing solution containing 50 mg/L and 150 mg/L, respectively. Mean peak levels were 29 mcg/mL (range 13 to 44 mcg/mL) with 50 mg/L (3 patients), and 72 mcg/mL (range 26 to 142 mcg/mL) with 150 mg/L (6 patients). Intraperitoneal administration of Cefazolin for Injection is usually well tolerated.

Controlled studies on adult normal volunteers, receiving 1 gram 4 times a day for 10 days, monitoring CBC, SGOT, SGPT, bilirubin, alkaline phosphatase, BUN, creatinine, and urinalysis, indicated no clinically significant changes attributed to Cefazolin for Injection.

1.6 Genital Infections

Genital infections due to E. coli, and P. mirabilis, Klebsiella species, and some strains of enterococci.

8.2 Labor and Delivery

When cefazolin has been administered prior to caesarean section, drug levels in cord blood have been approximately one quarter to one third of maternal drug levels. The drug appears to have no adverse effect on the fetus.

1 Indications and Usage

To reduce the development of drug-resistant bacteria and maintain the effectiveness of Cefazolin for Injection, USP and other antibacterial drugs, Cefazolin for Injection, USP should be used only to treat or prevent infections that are proven or strongly suspected to be caused by susceptible bacteria. When culture and susceptibility information are available, they should be considered in selecting or modifying antibacterial therapy. In the absence of such data, local epidemiology and susceptibility patterns may contribute to the empiric selection of therapy.

Cefazolin for Injection, USP is indicated for the treatment of the following serious infections due to susceptible organisms.

12.1 Mechanism of Action

Cefazolin is an antibacterial drug [ see Microbiology (12.4) ].

2.4 Pediatric Population

In pediatric patients, a total daily dosage of 25 to 50 mg per kg (approximately 10 to 20 mg per pound) of body weight, divided into 3 or 4 equal doses, is effective for most mild to moderately severe infections. Total daily dosage may be increased to 100 mg per kg (45 mg per pound) of body weight for severe infections. Since safety for use in premature infants and in neonates has not been established, the use of cefazolin for injection in these patients is not recommended.

Pediatric Dosage Guide

Weight

25 mg/kg/Day

Divided into 3 Doses

25 mg/kg/Day

Divided into 4 Doses

Lbs

Kg

Approximate

Single Dose

mg/q8h

Vol. (mL)

needed with

dilution of

125 mg/mL

Approximate

Single Dose

mg/q6h

Vol. (mL)

needed with

dilution of

125 mg/mL

10

4.5

40 mg

0.35 mL

30 mg

0.25 mL

20

9

75 mg

0.6 mL

55 mg

0.45 mL

30

13.6

115 mg

0.9 mL

85 mg

0.7 mL

40

18.1

150 mg

1.2 mL

115 mg

0.9 mL

50

22.7

190 mg

1.5 mL

140 mg

1.1 mL

Weight

50 mg/kg/Day

Divided into 3 Doses

50 mg/kg/Day

Divided into 4 Doses

Lbs

Kg

Approximate

Single Dose

mg/q8h

Vol. (mL)

needed with

dilution of

225 mg/mL

Approximate

Single Dose

mg/q6h

Vol. (mL)

needed with

dilution of

225 mg/mL

10

4.5

75 mg

0.35 mL

55 mg

0.25 mL

20

9

150 mg

0.7 mL

110 mg

0.5 mL

30

13.6

225 mg

1 mL

170 mg

0.75 mL

40

18.1

300 mg

1.35 mL

225 mg

1 mL

50

22.7

375 mg

1.7 mL

285 mg

1.25 mL

In pediatric patients with mild to moderate renal impairment (creatinine clearance of 70 to 40 mL/min.), 60 percent of the normal daily dose given in equally divided doses every 12 hours should be sufficient. In patients with moderate impairment (creatinine clearance of 40 to 20 mL/min.), 25 percent of the normal daily dose given in equally divided doses every 12 hours should be adequate. Pediatric patients with severe renal impairment (creatinine clearance of 20 to 5 mL/min.) may be given 10 percent of the normal daily dose every 24 hours. All dosage recommendations apply after an initial loading dose.

5.3 Clostridium Difficile

Clostridium difficile-associated diarrhea (CDAD) or pseudomembranous colitis has been reported with nearly all antibacterial agents, including cefazolin, and may range in severity from mild to life-threatening. Therefore, it is important to consider this diagnosis in patients who present with diarrhea subsequent to the administration of antibacterial agents.

Treatment with antibacterial agents alters the normal flora of the colon and may permit overgrowth of clostridia. Studies indicate that a toxin produced by Clostridium difficile is a primary cause of “antibiotic-associated colitis.”

Cefazolin for Injection, as with all cephalosporins, should be prescribed with caution in individuals with a history of gastrointestinal disease, particularly colitis.

After the diagnosis of CDAD or pseudomembranous colitis has been established, therapeutic measures should be initiated. Mild cases of pseudomembranous colitis usually respond to drug discontinuation alone. In moderate to severe cases, consideration should be given to management with fluids and electrolytes, protein supplementation, and treatment with an oral antibacterial drug clinically effective against C. difficile colitis.

5 Warnings and Precautions
  • Hypersensitivity Reactions: Cross-hypersensitivity may occur in up to 10% of patients with a history of penicillin allergy. If an allergic reaction occurs, discontinue the drug. ( 5.1)
  • Use in Patients with Renal Impairment: Dose adjustment required for patients with CrCl less than 55 mL/min. ( 5.2)
  • Clostridium difficile-associated Diarrhea: May range from mild diarrhea to fatal colitis. Evaluate if diarrhea occurs. ( 5.3)
2 Dosage and Administration

For intravenous or intramuscular use. ( 2)

Recommended Dosing Schedule in Adult Patients with CrCl Greater Than or Equal to 55 mL/min. ( 2.1)

Site and Type of Infection

Dose

Frequency

Moderate to severe infections

500 mg to 1 gram

every 6 to 8 hours

Mild infections caused by susceptible gram-positive cocci

250 mg to 500 mg

every 8 hours

Acute, uncomplicated urinary tract infections

1 gram

every 12 hours

Pneumococcal pneumonia

500 mg

every 12 hours

Severe, life-threatening infections (e.g., endocarditis, septicemia)

In rare instances, doses of up to 12 grams of cefazolin per day have been used.

1 gram to 1.5 grams

every 6 hours

1.2 Urinary Tract Infections

Urinary tract infections due to Escherichia coli, and Proteus mirabilis, Klebsiella species, and some strains of enterobacter and enterococci.

1.4 Biliary Tract Infections

Biliary infections due to E. coli, various strains of streptococci, P. mirabilis, Klebsiella species, and S. aureus.

3 Dosage Forms and Strengths

Single-dose vials:

  • 1 g Cefazolin for Injection
1.5 Bone and Joint Infections

Bone and joint infections due to S. aureus.

1.9 Perioperative Prophylaxis

The prophylactic administration of Cefazolin for Injection preoperatively, intraoperatively, and postoperatively may reduce the incidence of certain postoperative infections in patients undergoing surgical procedures which are classified as contaminated or potentially contaminated (e.g., vaginal hysterectomy, and cholecystectomy in high-risk patients such as those older than 70 years, with acute cholecystitis, obstructive jaundice, or common duct bile stones).

The perioperative use of Cefazolin for Injection may also be effective in surgical patients in whom infection at the operative site would present a serious risk (e.g., during open-heart surgery and prosthetic arthroplasty).

If there are signs of infection, specimens for cultures should be obtained for the identification of the causative organism so that appropriate therapy may be instituted [ see Dosage and Administration (2.1) ].

8 Use in Specific Populations
  • Pediatric Use: Safety and effectiveness for use in premature infants and neonates have not been established. See Dosage and Administration ( 2.4) for recommended dosage in pediatric patients older than 1 month. ( 8.4)
  • Renal Impairment: Lower daily dosage of cefazolin for injection is required in patients with impaired renal function (creatinine clearance less than 55 mL/min). ( 8.6)
2.7 Intravenous Administration

Direct (bolus) injection: Following reconstitution according to the above table, further dilute vials with approximately 5 mL Sterile Water for Injection. Inject the solution slowly over 3 to 5 minutes, directly or through tubing for patients receiving parenteral fluids (see list below).

Intermittent or continuous infusion: Dilute reconstituted Cefazolin for Injection in 50 to 100 mL of 1 of the following solutions:

Sodium Chloride Injection, USP

5% or 10% Dextrose Injection, USP

5% Dextrose in Lactated Ringer’s Injection, USP

5% Dextrose and 0.9% Sodium Chloride Injection, USP

5% Dextrose and 0.45% Sodium Chloride Injection, USP

5% Dextrose and 0.2% Sodium Chloride Injection, USP

Lactated Ringer’s Injection, USP

Invert Sugar 5% or 10% in Sterile Water for Injection

Ringer’s Injection, USP

5% Sodium Bicarbonate Injection, USP

Prior to administration parenteral drug products should be inspected visually for particulate matter and discoloration whenever solution and container permit.

6.1 Clinical Trials Experience

The following adverse reactions were reported from clinical trials:

Gastrointestinal: Diarrhea, oral candidiasis (oral thrush), vomiting, nausea, stomach cramps, anorexia, and pseudomembranous colitis. Onset of pseudomembranous colitis symptoms may occur during or after antibiotic treatment [ see Warnings and Precautions (5.3) ]. Nausea and vomiting have been reported rarely.

Allergic: Anaphylaxis, eosinophilia, itching, drug fever, skin rash, Stevens-Johnson syndrome.

Hematologic: Neutropenia, leukopenia, thrombocytopenia, thrombocythemia.

Hepatic: Transient rise in SGOT, SGPT, and alkaline phosphatase levels has been observed. As with other cephalosporins, reports of hepatitis have been received.

Renal: As with other cephalosporins, reports of increased BUN and creatinine levels, as well as renal failure, have been received.

Local Reactions: Rare instances of phlebitis have been reported at site of injection. Pain at the site of injection after intramuscular administration has occurred infrequently. Some induration has occurred.

Other Reactions: Genital and anal pruritus (including vulvar pruritus, genital moniliasis, and vaginitis).

1.1 Respiratory Tract Infections

Respiratory tract infections due to Streptococcus pneumoniae, Klebsiella species, H. influenzae, Staphylococcus aureus (penicillin-sensitive and penicillin-resistant), and group A beta-hemolytic streptococci.

Injectable benzathine penicillin is considered to be the drug of choice in treatment and prevention of streptococcal infections, including the prophylaxis of rheumatic fever.

Cefazolin for Injection is effective in the eradication of streptococci from the nasopharynx; however, data establishing the efficacy of Cefazolin for Injection in the subsequent prevention of rheumatic fever are not available at present.

2.6 Intramuscular Administration

Reconstitute vials with Sterile Water for Injection according to the dilution table above. Shake well until dissolved. Cefazolin should be injected into a large muscle mass. Pain on injection is infrequent with Cefazolin for Injection.

17 Patient Counseling Information

Patients should be advised that allergic reactions, including serious allergic reactions could occur and that serious reactions require immediate treatment and discontinuation of cefazolin. Patients should report to their health care provider any previous allergic reactions to cefazolin, cephalosporins, penicillins, or other similar antibacterials.

Patients should be advised that diarrhea is a common problem caused by antibiotics, which usually ends when the antibiotic is discontinued. Sometimes after starting treatment with antibacterials, patients can develop watery and bloody stools (with or without stomach cramps and fever) even as late as two or more months after having taken the last dose of the antibacterials. If this occurs, patients should contact a physician as soon as possible.

Patients should be counseled that antibacterial drugs, including Cefazolin for Injection should only be used to treat bacterial infections. They do not treat viral infections (e.g., the common cold). When Cefazolin for Injection is prescribed to treat a bacterial infection, patients should be told that although it is common to feel better early in the course of therapy, the medication should be taken exactly as directed. Skipping doses or not completing the full course of therapy may (1) decrease the effectiveness of the immediate treatment and (2) increase the likelihood that bacteria will develop resistance and will not be treatable by Cefazolin for Injection or other antibacterial drugs in the future.

ATCC is a registered trademark of American Type Culture Collection.

Clinitest is a registered trademark of Siemens Medical Solutions Diagnostics.

Clinistix is a registered trademark of Bayer Healthcare LLC.

Manufactured by:

Qilu Pharmaceutical Co., Ltd.

High Tech Zone

Jinan, 250101, China

Manufactured for:

Apotex Corp.

Weston, Florida, USA 33326

Code number: 34040001011C

Revised: 10/2017

2.2 Perioperative Prophylactic Use

To prevent postoperative infection in contaminated or potentially contaminated surgery, recommended doses are:

  • 1 gram IV or IM administered 1/2 hour to 1 hour prior to the start of surgery.
  • For lengthy operative procedures (e.g., 2 hours or more), 500 mg to 1 gram IV or IM during surgery (administration modified depending on the duration of the operative procedure).
  • 500 mg to 1 gram IV or IM every 6 to 8 hours for 24 hours postoperatively.

It is important that (i) the preoperative dose be given just prior (1/2 hour to 1 hour) to the start of surgery so that adequate antibiotic levels are present in the serum and tissues at the time of initial surgical incision; and (ii) Cefazolin for Injection be administered, if necessary, at appropriate intervals during surgery to provide sufficient levels of the antibiotic drug at the anticipated moments of greatest exposure to infective organisms.

The prophylactic administration of cefazolin should usually be discontinued within a 24-hour period after the surgical procedure. In surgery where the occurrence of infection may be particularly devastating (e.g., open-heart surgery and prosthetic arthroplasty), the prophylactic administration of cefazolin may be continued for 3 to 5 days following the completion of surgery.

2.3 Patients With Renal Impairment

Cefazolin for Injection may be used in patients with reduced renal function with the following dosage adjustments outlined in Table 2. Patients with a creatinine clearance of 55 mL/min. or greater or a serum creatinine of 1.5 mg % or less can be given full doses. Patients with creatinine clearance rates of 35 to 54 mL/min. or serum creatinine of 1.6 to 3.0 mg % can also be given full doses but dosage should be restricted to at least 8 hour intervals. Patients with creatinine clearance rates of 11 to 34 mL/min. or serum creatinine of 3.1 to 4.5 mg % should be given 1/2 the usual dose every 12 hours. Patients with creatinine clearance rates of 10 mL/min. or less or serum creatinine of 4.6 mg % or greater should be given 1/2 the usual dose every 18 to 24 hours. All reduced dosage recommendations apply after an initial loading dose appropriate to the severity of the infection. Patients undergoing peritoneal dialysis: [ see Clinical Pharmacology (12.3) ].

Table 2: Dosage Adjustment for Patients with Renal Impairment

Creatinine Clearance

Dose

Frequency

55 mL/min. or greater

full dose

normal frequency

35 to 54 mL/min.

full dose

every 8 hours or longer

11 to 34 mL/min.

1/2 usual dose

every 12 hours

10 mL/min. or less

1/2 usual dose

every 18 to 24 hours

8.6 Patients With Renal Impairment

When cefazolin for injection is administered to patients with low urinary output because of impaired renal function (creatinine clearance less than 55 mL/min.), lower daily dosage is required [ see Dosage and Administration (2.3)and Warnings and Precautions (5.2) ].

16 How Supplied/storage and Handling

Cefazolin for Injection, USP is supplied as a sterile white or off-white powder or crystalline powder. Each vial contains cefazolin sodium equivalent to 1 gram of cefazolin.

Unit of Sale

Strength

Each

NDC 60505-6142-5

Carton containing 25

1 Gram

NDC 60505-6142-0

Vial

As with other cephalosporins, cefazolin tends to darken depending on storage conditions; within the stated recommendations, however, product potency is not adversely affected.

Before reconstitution protect from light and store at 20° to 25°C (68° to 77°F) [See USP Controlled Room Temperature].

Principal Display Panel Vial Label

Cefazolin for Injection, USP

1 gram/vial

For IM or IV Use

Rx Only

5.5 Drug/laboratory Test Interactions

Urinary Glucose

The administration of cefazolin may result in a false-positive reaction with glucose in the urine when using CLINITEST ® tablets. It is recommended that glucose tests based on enzymatic glucose oxidase reactions (e.g., CLINISTIX ®) be used.

Coombs’ Test

Positive direct Coombs' tests have been reported during treatment with cefazolin. In hematologic studies or in transfusion cross-matching procedures when antiglobulin tests are performed on the minor side or in Coombs' testing of newborns whose mothers have received cephalosporin antibacterial drugs before parturition, it should be recognized that a positive Coombs' test may be due to the drug.

1.3 Skin and Skin Structure Infections

Skin and skin structure infections due to S. aureus (penicillin-sensitive and penicillin-resistant), group A beta-hemolytic streptococci, and other strains of streptococci.

2.5 Preparation of Parenteral Solution

Parenteral drug products should be SHAKEN WELL when reconstituted, and inspected visually for particulate matter prior to administration. If particulate matter is evident in reconstituted fluids, the drug solutions should be discarded.

When reconstituted or diluted according to the instructions below, Cefazolin for Injection is stable for 24 hours at room temperature or for 10 days if stored under refrigeration (5°C or 41°F). Reconstituted solutions may range in color from pale yellow to yellow without a change in potency.

Single-Dose Vials

For IM injection, IV direct (bolus) injection or IV infusion, reconstitute with Sterile Water for Injection according to the following table. SHAKE WELL.

Vial Size

Amount of Diluent

Approximate

Concentration

Approximate

Available Volume

1 g

2.5 mL

330 mg/mL

3 mL

Principal Display Panel Outer Package

NDC 71872-7141-1

1 - 1 gram Vial

Cefazolin for Injection, USP

1 gram/vial

For Intramuscular or Intravenous Use

PROTECT FROM LIGHT. RETAIN IN CARTON UNTIL TIME OF USE

Rx Only

5.2 Use in Patients With Renal Impairment

As with other β-lactam antibiotics, seizures may occur if inappropriately high doses are administered to patients with impaired renal function (creatinine clearance less than 55 mL/min.) [ see Dosage and Administration (2.3) ].

6.2 Cephalosporin Class Adverse Reactions

In addition to the adverse reactions listed above that have been observed in patients treated with cefazolin, the following adverse reactions and altered laboratory tests have been reported for cephalosporin-class antibacterials: Stevens-Johnson syndrome, erythema multiforme, toxic epidermal necrolysis, renal impairment, toxic nephropathy, aplastic anemia, hemolytic anemia, hemorrhage, hepatic impairment including cholestasis, and pancytopenia.

5.4 Risk of Development of Drug Resistant Bacteria

Prescribing cefazolin in the absence of a proven or strongly suspected bacterial infection or a prophylactic indication is unlikely to provide benefit to the patient and increases the risk of the development of drug-resistant bacteria.

As with other antimicrobials, prolonged use of cefazolin for injection may result in overgrowth of nonsusceptible microorganisms. Repeated evaluation of the patient's condition is essential. Should superinfection occur during therapy, appropriate measures should be taken.

13.1 Carcinogenesis, Mutagenesis, Impairment of Fertility

Mutagenicity studies and long-term studies in animals to determine the carcinogenic potential of Cefazolin for Injection have not been performed.

5.1 Hypersensitivity Reactions to Cefazolin, Cephalosporins, Penicillins, Or Other Beta Lactams

Before therapy with Cefazolin for Injection is instituted, careful inquiry should be made to determine whether the patient has had previous hypersensitivity reactions to cefazolin, cephalosporins, penicillins, or other drugs. If this product is given to penicillin-sensitive patients, caution should be exercised because cross-hypersensitivity among beta-lactam antibiotics has been clearly documented and may occur in up to 10% of patients with a history of penicillin allergy. If an allergic reaction to Cefazolin for Injection occurs, discontinue treatment with the drug. Serious acute hypersensitivity reactions may require treatment with epinephrine and other emergency measures, including oxygen, IV fluids, IV antihistamines, corticosteroids, pressor amines, and airway management, as clinically indicated.

4.1 Hypersensitivity to Cefazolin Or the Cephalosporin Class of Antibacterial Drugs, Penicillins, Or Other Beta Lactams

Cefazolin for injection is contraindicated in patients who have a history of immediate hypersensitivity reactions (e.g., anaphylaxis, serious skin reactions) to cefazolin or the cephalosporin class of antibacterial drugs, penicillins, or other beta-lactams [ see Warnings and Precautions (5.1) ].


Structured Label Content

15 References (15 REFERENCES)
  • Clinical and Laboratory Standards Institute (CLSI). Methods for Dilution Antimicrobial Susceptibility Tests for Bacteria that Grow Aerobically; Approved Standard – Tenth Edition. CLSI document M07-A10, Clinical and Laboratory Standards Institute, 950 West Valley Road, Suite 2500, Wayne, Pennsylvania 19087, USA, 2015.
  • Clinical and Laboratory Standards Institute (CLSI). Performance Standards for Antimicrobial Susceptibility Testing; Twenty-fifth Informational Supplement, CLSI document M100-S25, Clinical and Laboratory Standards Institute, 950 West Valley Road, Suite 2500, Wayne, Pennsylvania 19087, USA, 2015.
  • Clinical and Laboratory Standards Institute (CLSI). Performance Standards for Antimicrobial Disk Diffusion Susceptibility Tests; Approved Standard – Twelfth Edition. CLSI document M02-A12, Clinical and Laboratory Standards Institute, 950 West Valley Road, Suite 2500, Wayne, Pennsylvania 19087, USA, 2015.
8.1 Pregnancy

Pregnancy Category B

Reproduction studies have been performed in rats, mice and rabbits at doses up to 25 times the human dose and have revealed no evidence of impaired fertility or harm to the fetus due to cefazolin. There are, however, no adequate and well-controlled studies in pregnant women. Because animal reproduction studies are not always predictive of human response, this drug should be used during pregnancy only if clearly needed.

1.7 Septicemia

Septicemia due to S. pneumoniae, S. aureus (penicillin-sensitive and penicillin-resistant), P. mirabilisE. coli, and Klebsiella species.

11 Description (11 DESCRIPTION)

Cefazolin for Injection, USP is a semi-synthetic cephalosporin for parenteral administration. It is the sodium salt of 3-{[(5-methyl-1,3,4-thiadiazol-2-yl)thio]-methyl}-8-oxo-7-[2-(1H-tetrazol-1-yl)acetamido]-5-thia-1-azabicyclo[4.2.0]oct-2-ene-2-carboxylic acid.

Structural Formula:

Cefazolin for Injection, USP is a sterile white or off-white powder or crystalline powder.

The sodium contect is 48 mg (2 mEq sodium ion) per 1 gram of cefazolin.

1.8 Endocarditis

Endocarditis due to S. aureus (penicillin-sensitive and penicillin-resistant) and group A beta-hemolytic streptococci.

12.4 Microbiology

Mechanism of Action

Cefazolin is a bactericidal agent that acts by inhibition of bacterial cell wall synthesis.

Mechanism of Resistance

Predominant mechanisms of bacterial resistance to cephalosporins include the presence of extended-spectrum beta-lactamases and enzymatic hydrolysis.

Lists of Microorganisms

Cefazolin has been shown to be active against most isolates of the following microorganisms, both in vitro and in clinical infections as described in the Indications and Usage ( 1) section.

  • Gram-Positive Bacteria

      Staphylococcus aureus

      Staphylococcus epidermidis

      Streptococcus pyogenes

      Streptococcus agalactiae


      Streptococcus pneumoniae

Methicillin-resistant staphylococci are uniformly resistant to cefazolin.

  • Gram-Negative Bacteria

      Escherichia coli

      Proteus mirabilis

Most isolates of indole positive Proteus ( Proteus vulgaris), Enterobacter spp., Morganella morganii, Providencia rettgeri, Serratia spp., and Pseudomonas spp . are resistant to cefazolin.

Susceptibility Test Methods

When available, the clinical microbiology laboratory should provide cumulative reports of in vitro susceptibility test results for antimicrobial drug products used in resident hospitals to the physician as periodic reports that describe the susceptibility profile of nosocomial and community-acquired pathogens. These reports should aid the physician in selecting an antibacterial drug product for treatment.

Dilution Techniques

Quantitative methods are used to determine minimum inhibitory concentrations (MICs). These MICs provide estimates of the susceptibility of bacteria to antimicrobial compounds. The MICs should be determined using a standard test 1, 2 (broth and/or agar). The MIC values obtained should be interpreted according to criteria as provided in Table 4.

Diffusion Techniques

Quantitative methods that require measurement of zone diameters provide reproducible estimates of the susceptibility of bacteria to antimicrobial compounds. The zone size provides an estimate of the susceptibility of bacteria to antimicrobial compounds. The zone size should be interpreted using a standard test method 2, 3. This procedure uses paper disks impregnated with 30 mcg cefazolin to test the susceptibility of microorganisms to cefazolin. The disk diffusion interpretive criteria are provided in Table 4.

Table 4: Susceptibility Test Interpretive Criteria for Cefazolin
Interpretive criteria are based on 1 g every 8 hr
Abbreviations: S= susceptible, I= intermediate, R= resistant

Pathogen

Minimum Inhibitory

Concentration (mcg/mL)

Disk Diffusion Zone Diameter (mm)

S

I

R

S

I

R

Enterobacteriaceae

≤1

2

≥4

-

-

-

NOTE:

S. pyogenes and S. agalactiae that have a penicillin MIC of ≤0.12 mcg/mL, or disk diffusion zone diameters of ≥24 mm with a 10 mcg penicillin disk, may be interpreted as susceptible to cefazolin. NOTE: Susceptibility of staphylococci to cefazolin may be deduced from testing either cefoxitin or oxacillin.

A report of Susceptible indicates that the antimicrobial is likely to inhibit growth of the pathogen if the antimicrobial compound reaches the concentrations at the infection site necessary to inhibit growth of the pathogen. A report of Intermediate indicates that the result should be considered equivocal, and, if the microorganism is not fully susceptible to alternative, clinically feasible drugs, the test should be repeated. This category implies possible clinical applicability in body sites where the drug product is physiologically concentrated or in situations where a high dosage of the drug product can be used. This category also provides a buffer zone that prevents small uncontrolled technical factors from causing major discrepancies in interpretation. A report of Resistant indicates that the antimicrobial is not likely to inhibit growth of the pathogen if the antimicrobial compound reaches the concentrations usually achievable at the infection site; other therapy should be selected.

Quality Control

Standardized susceptibility test procedures require the use of laboratory controls to monitor and ensure the accuracy and precision of supplies and reagents used in the assay, and the techniques of the individual performing the test 1, 2, 3. Standard cefazolin powder should provide the following MIC values noted in Table 5. For the diffusion technique using the 30 mcg disk, the criteria in Table 5 should be achieved.

Table 5: Acceptable Quality Control Ranges for Cefazolin

Quality Control Strain

Minimum Inhibitory Concentration

mcg/mL

Disk Diffusion Zone Diameters

(mm)

E. coli ATCC ® 25922

1 to 4

21 to 27

S. aureus ATCC ® 29213

0.25 to 1

------------

S. aureus ATCC ® 25923

-------------

29 to 35

8.4 Pediatric Use

Safety and effectiveness for use in premature infants and neonates have not been established. See Dosage and Administration (2.4) for recommended dosage in pediatric patients older than 1 month.

8.5 Geriatric Use

Of the 920 subjects who received cefazolin in clinical studies, 313 (34%) were 65 years and over, while 138 (15%) were 75 years and over. No overall differences in safety or effectiveness were observed between these subjects and younger subjects. Other reported clinical experience has not identified differences in responses between the elderly and younger patients, but greater sensitivity of some older individuals cannot be ruled out.

This drug is known to be substantially excreted by the kidney, and the risk of toxic reactions to this drug may be greater in patients with impaired renal function. Because elderly patients are more likely to have decreased renal function, care should be taken in dose selection, and it may be useful to monitor renal function [ see Dosage and Administration (2.3)and Warnings and Precautions (5.2) ].

4 Contraindications (4 CONTRAINDICATIONS)
  • Hypersensitivity to cefazolin or other cephalosporin class antibacterial drugs, penicillins, or other beta-lactams. ( 4.1)
6 Adverse Reactions (6 ADVERSE REACTIONS)

The following reactions have been reported:

7 Drug Interactions (7 DRUG INTERACTIONS)

Probenecid may decrease renal tubular secretion of cephalosporins when used concurrently, resulting in increased and more prolonged cephalosporin blood levels.

8.3 Nursing Mothers

Cefazolin for Injection is present in very low concentrations in the milk of nursing mothers. Caution should be exercised when Cefazolin for Injection is administered to a nursing woman.

2.1 Adult Population

The recommended adult dosages are outlined in Table 1. Cefazolin for Injection should be administered intravenously (IV) or intramuscularly (IM).

Table 1: Recommended Dosing Schedule in Adult Patients with CrCl Greater Than or Equal to 55 mL/min.

Site and Type of Infection

Dose

Frequency

Moderate to severe infections

500 mg to 1 gram

every 6 to 8 hours

Mild infections caused by susceptible gram-positive cocci

250 mg to 500 mg

every 8 hours

Acute, uncomplicated urinary tract infections

1 gram

every 12 hours

Pneumococcal pneumonia

500 mg

every 12 hours

Severe, life-threatening infections (e.g., endocarditis, septicemia)

In rare instances, doses of up to 12 grams of cefazolin per day have been used.

1 gram to 1.5 grams

every 6 hours

12.2 Pharmacodynamics

The pharmacokinetic/pharmacodynamic relationship for cefazolin has not been evaluated in patients.

12.3 Pharmacokinetics

After intramuscular administration of Cefazolin for Injection to normal volunteers, the mean serum concentrations were 37 mcg/mL at 1 hour and 3 mcg/mL at 8 hours following a 500 mg dose, and 64 mcg/mL at 1 hour and 7 mcg/mL at 8 hours following a 1-gram dose.

Studies have shown that following intravenous administration of Cefazolin for Injection to normal volunteers, mean serum concentrations peaked at approximately 185 mcg/mL and were approximately 4 mcg/mL at 8 hours for a 1 gram dose.

The serum half-life for Cefazolin for Injection is approximately 1.8 hours following IV administration and approximately 2 hours following IM administration.

In a study (using normal volunteers) of constant intravenous infusion with dosages of 3.5 mg/kg for 1 hour (approximately 250 mg) and 1.5 mg/kg the next 2 hours (approximately 100 mg), Cefazolin for Injection produced a steady serum level at the third hour of approximately 28 mcg/mL.

Studies in patients hospitalized with infections indicate that Cefazolin for Injection produces mean peak serum levels approximately equivalent to those seen in normal volunteers.

Bile levels in patients without obstructive biliary disease can reach or exceed serum levels up to 5 times; however, in patients with obstructive biliary disease, bile levels of Cefazolin for Injection are considerably lower than serum levels (< 1 mcg/mL).

In synovial fluid, the level of Cefazolin for Injection becomes comparable to that reached in serum at about 4 hours after drug administration.

Studies of cord blood show prompt transfer of Cefazolin for Injection across the placenta. Cefazolin for Injection is present in very low concentrations in the milk of nursing mothers.

Cefazolin for Injection is excreted unchanged in the urine. In the first 6 hours approximately 60% of the drug is excreted in the urine and this increases to 70% to 80% within 24 hours. Cefazolin for Injection achieves peak urine concentrations of approximately 2,400 mcg/mL and 4,000 mcg/mL respectively following 500 mg and 1 gram intramuscular doses.

In patients undergoing peritoneal dialysis (2 L/hr.), Cefazolin for Injection produced mean serum levels of approximately 10 and 30 mcg/mL after 24 hours' instillation of a dialyzing solution containing 50 mg/L and 150 mg/L, respectively. Mean peak levels were 29 mcg/mL (range 13 to 44 mcg/mL) with 50 mg/L (3 patients), and 72 mcg/mL (range 26 to 142 mcg/mL) with 150 mg/L (6 patients). Intraperitoneal administration of Cefazolin for Injection is usually well tolerated.

Controlled studies on adult normal volunteers, receiving 1 gram 4 times a day for 10 days, monitoring CBC, SGOT, SGPT, bilirubin, alkaline phosphatase, BUN, creatinine, and urinalysis, indicated no clinically significant changes attributed to Cefazolin for Injection.

1.6 Genital Infections

Genital infections due to E. coli, and P. mirabilis, Klebsiella species, and some strains of enterococci.

8.2 Labor and Delivery

When cefazolin has been administered prior to caesarean section, drug levels in cord blood have been approximately one quarter to one third of maternal drug levels. The drug appears to have no adverse effect on the fetus.

1 Indications and Usage (1 INDICATIONS AND USAGE)

To reduce the development of drug-resistant bacteria and maintain the effectiveness of Cefazolin for Injection, USP and other antibacterial drugs, Cefazolin for Injection, USP should be used only to treat or prevent infections that are proven or strongly suspected to be caused by susceptible bacteria. When culture and susceptibility information are available, they should be considered in selecting or modifying antibacterial therapy. In the absence of such data, local epidemiology and susceptibility patterns may contribute to the empiric selection of therapy.

Cefazolin for Injection, USP is indicated for the treatment of the following serious infections due to susceptible organisms.

12.1 Mechanism of Action

Cefazolin is an antibacterial drug [ see Microbiology (12.4) ].

2.4 Pediatric Population

In pediatric patients, a total daily dosage of 25 to 50 mg per kg (approximately 10 to 20 mg per pound) of body weight, divided into 3 or 4 equal doses, is effective for most mild to moderately severe infections. Total daily dosage may be increased to 100 mg per kg (45 mg per pound) of body weight for severe infections. Since safety for use in premature infants and in neonates has not been established, the use of cefazolin for injection in these patients is not recommended.

Pediatric Dosage Guide

Weight

25 mg/kg/Day

Divided into 3 Doses

25 mg/kg/Day

Divided into 4 Doses

Lbs

Kg

Approximate

Single Dose

mg/q8h

Vol. (mL)

needed with

dilution of

125 mg/mL

Approximate

Single Dose

mg/q6h

Vol. (mL)

needed with

dilution of

125 mg/mL

10

4.5

40 mg

0.35 mL

30 mg

0.25 mL

20

9

75 mg

0.6 mL

55 mg

0.45 mL

30

13.6

115 mg

0.9 mL

85 mg

0.7 mL

40

18.1

150 mg

1.2 mL

115 mg

0.9 mL

50

22.7

190 mg

1.5 mL

140 mg

1.1 mL

Weight

50 mg/kg/Day

Divided into 3 Doses

50 mg/kg/Day

Divided into 4 Doses

Lbs

Kg

Approximate

Single Dose

mg/q8h

Vol. (mL)

needed with

dilution of

225 mg/mL

Approximate

Single Dose

mg/q6h

Vol. (mL)

needed with

dilution of

225 mg/mL

10

4.5

75 mg

0.35 mL

55 mg

0.25 mL

20

9

150 mg

0.7 mL

110 mg

0.5 mL

30

13.6

225 mg

1 mL

170 mg

0.75 mL

40

18.1

300 mg

1.35 mL

225 mg

1 mL

50

22.7

375 mg

1.7 mL

285 mg

1.25 mL

In pediatric patients with mild to moderate renal impairment (creatinine clearance of 70 to 40 mL/min.), 60 percent of the normal daily dose given in equally divided doses every 12 hours should be sufficient. In patients with moderate impairment (creatinine clearance of 40 to 20 mL/min.), 25 percent of the normal daily dose given in equally divided doses every 12 hours should be adequate. Pediatric patients with severe renal impairment (creatinine clearance of 20 to 5 mL/min.) may be given 10 percent of the normal daily dose every 24 hours. All dosage recommendations apply after an initial loading dose.

5.3 Clostridium Difficile (5.3 Clostridium difficile)

Clostridium difficile-associated diarrhea (CDAD) or pseudomembranous colitis has been reported with nearly all antibacterial agents, including cefazolin, and may range in severity from mild to life-threatening. Therefore, it is important to consider this diagnosis in patients who present with diarrhea subsequent to the administration of antibacterial agents.

Treatment with antibacterial agents alters the normal flora of the colon and may permit overgrowth of clostridia. Studies indicate that a toxin produced by Clostridium difficile is a primary cause of “antibiotic-associated colitis.”

Cefazolin for Injection, as with all cephalosporins, should be prescribed with caution in individuals with a history of gastrointestinal disease, particularly colitis.

After the diagnosis of CDAD or pseudomembranous colitis has been established, therapeutic measures should be initiated. Mild cases of pseudomembranous colitis usually respond to drug discontinuation alone. In moderate to severe cases, consideration should be given to management with fluids and electrolytes, protein supplementation, and treatment with an oral antibacterial drug clinically effective against C. difficile colitis.

5 Warnings and Precautions (5 WARNINGS AND PRECAUTIONS)
  • Hypersensitivity Reactions: Cross-hypersensitivity may occur in up to 10% of patients with a history of penicillin allergy. If an allergic reaction occurs, discontinue the drug. ( 5.1)
  • Use in Patients with Renal Impairment: Dose adjustment required for patients with CrCl less than 55 mL/min. ( 5.2)
  • Clostridium difficile-associated Diarrhea: May range from mild diarrhea to fatal colitis. Evaluate if diarrhea occurs. ( 5.3)
2 Dosage and Administration (2 DOSAGE AND ADMINISTRATION)

For intravenous or intramuscular use. ( 2)

Recommended Dosing Schedule in Adult Patients with CrCl Greater Than or Equal to 55 mL/min. ( 2.1)

Site and Type of Infection

Dose

Frequency

Moderate to severe infections

500 mg to 1 gram

every 6 to 8 hours

Mild infections caused by susceptible gram-positive cocci

250 mg to 500 mg

every 8 hours

Acute, uncomplicated urinary tract infections

1 gram

every 12 hours

Pneumococcal pneumonia

500 mg

every 12 hours

Severe, life-threatening infections (e.g., endocarditis, septicemia)

In rare instances, doses of up to 12 grams of cefazolin per day have been used.

1 gram to 1.5 grams

every 6 hours

1.2 Urinary Tract Infections

Urinary tract infections due to Escherichia coli, and Proteus mirabilis, Klebsiella species, and some strains of enterobacter and enterococci.

1.4 Biliary Tract Infections

Biliary infections due to E. coli, various strains of streptococci, P. mirabilis, Klebsiella species, and S. aureus.

3 Dosage Forms and Strengths (3 DOSAGE FORMS AND STRENGTHS)

Single-dose vials:

  • 1 g Cefazolin for Injection
1.5 Bone and Joint Infections

Bone and joint infections due to S. aureus.

1.9 Perioperative Prophylaxis

The prophylactic administration of Cefazolin for Injection preoperatively, intraoperatively, and postoperatively may reduce the incidence of certain postoperative infections in patients undergoing surgical procedures which are classified as contaminated or potentially contaminated (e.g., vaginal hysterectomy, and cholecystectomy in high-risk patients such as those older than 70 years, with acute cholecystitis, obstructive jaundice, or common duct bile stones).

The perioperative use of Cefazolin for Injection may also be effective in surgical patients in whom infection at the operative site would present a serious risk (e.g., during open-heart surgery and prosthetic arthroplasty).

If there are signs of infection, specimens for cultures should be obtained for the identification of the causative organism so that appropriate therapy may be instituted [ see Dosage and Administration (2.1) ].

8 Use in Specific Populations (8 USE IN SPECIFIC POPULATIONS)
  • Pediatric Use: Safety and effectiveness for use in premature infants and neonates have not been established. See Dosage and Administration ( 2.4) for recommended dosage in pediatric patients older than 1 month. ( 8.4)
  • Renal Impairment: Lower daily dosage of cefazolin for injection is required in patients with impaired renal function (creatinine clearance less than 55 mL/min). ( 8.6)
2.7 Intravenous Administration

Direct (bolus) injection: Following reconstitution according to the above table, further dilute vials with approximately 5 mL Sterile Water for Injection. Inject the solution slowly over 3 to 5 minutes, directly or through tubing for patients receiving parenteral fluids (see list below).

Intermittent or continuous infusion: Dilute reconstituted Cefazolin for Injection in 50 to 100 mL of 1 of the following solutions:

Sodium Chloride Injection, USP

5% or 10% Dextrose Injection, USP

5% Dextrose in Lactated Ringer’s Injection, USP

5% Dextrose and 0.9% Sodium Chloride Injection, USP

5% Dextrose and 0.45% Sodium Chloride Injection, USP

5% Dextrose and 0.2% Sodium Chloride Injection, USP

Lactated Ringer’s Injection, USP

Invert Sugar 5% or 10% in Sterile Water for Injection

Ringer’s Injection, USP

5% Sodium Bicarbonate Injection, USP

Prior to administration parenteral drug products should be inspected visually for particulate matter and discoloration whenever solution and container permit.

6.1 Clinical Trials Experience

The following adverse reactions were reported from clinical trials:

Gastrointestinal: Diarrhea, oral candidiasis (oral thrush), vomiting, nausea, stomach cramps, anorexia, and pseudomembranous colitis. Onset of pseudomembranous colitis symptoms may occur during or after antibiotic treatment [ see Warnings and Precautions (5.3) ]. Nausea and vomiting have been reported rarely.

Allergic: Anaphylaxis, eosinophilia, itching, drug fever, skin rash, Stevens-Johnson syndrome.

Hematologic: Neutropenia, leukopenia, thrombocytopenia, thrombocythemia.

Hepatic: Transient rise in SGOT, SGPT, and alkaline phosphatase levels has been observed. As with other cephalosporins, reports of hepatitis have been received.

Renal: As with other cephalosporins, reports of increased BUN and creatinine levels, as well as renal failure, have been received.

Local Reactions: Rare instances of phlebitis have been reported at site of injection. Pain at the site of injection after intramuscular administration has occurred infrequently. Some induration has occurred.

Other Reactions: Genital and anal pruritus (including vulvar pruritus, genital moniliasis, and vaginitis).

1.1 Respiratory Tract Infections

Respiratory tract infections due to Streptococcus pneumoniae, Klebsiella species, H. influenzae, Staphylococcus aureus (penicillin-sensitive and penicillin-resistant), and group A beta-hemolytic streptococci.

Injectable benzathine penicillin is considered to be the drug of choice in treatment and prevention of streptococcal infections, including the prophylaxis of rheumatic fever.

Cefazolin for Injection is effective in the eradication of streptococci from the nasopharynx; however, data establishing the efficacy of Cefazolin for Injection in the subsequent prevention of rheumatic fever are not available at present.

2.6 Intramuscular Administration

Reconstitute vials with Sterile Water for Injection according to the dilution table above. Shake well until dissolved. Cefazolin should be injected into a large muscle mass. Pain on injection is infrequent with Cefazolin for Injection.

17 Patient Counseling Information (17 PATIENT COUNSELING INFORMATION)

Patients should be advised that allergic reactions, including serious allergic reactions could occur and that serious reactions require immediate treatment and discontinuation of cefazolin. Patients should report to their health care provider any previous allergic reactions to cefazolin, cephalosporins, penicillins, or other similar antibacterials.

Patients should be advised that diarrhea is a common problem caused by antibiotics, which usually ends when the antibiotic is discontinued. Sometimes after starting treatment with antibacterials, patients can develop watery and bloody stools (with or without stomach cramps and fever) even as late as two or more months after having taken the last dose of the antibacterials. If this occurs, patients should contact a physician as soon as possible.

Patients should be counseled that antibacterial drugs, including Cefazolin for Injection should only be used to treat bacterial infections. They do not treat viral infections (e.g., the common cold). When Cefazolin for Injection is prescribed to treat a bacterial infection, patients should be told that although it is common to feel better early in the course of therapy, the medication should be taken exactly as directed. Skipping doses or not completing the full course of therapy may (1) decrease the effectiveness of the immediate treatment and (2) increase the likelihood that bacteria will develop resistance and will not be treatable by Cefazolin for Injection or other antibacterial drugs in the future.

ATCC is a registered trademark of American Type Culture Collection.

Clinitest is a registered trademark of Siemens Medical Solutions Diagnostics.

Clinistix is a registered trademark of Bayer Healthcare LLC.

Manufactured by:

Qilu Pharmaceutical Co., Ltd.

High Tech Zone

Jinan, 250101, China

Manufactured for:

Apotex Corp.

Weston, Florida, USA 33326

Code number: 34040001011C

Revised: 10/2017

2.2 Perioperative Prophylactic Use

To prevent postoperative infection in contaminated or potentially contaminated surgery, recommended doses are:

  • 1 gram IV or IM administered 1/2 hour to 1 hour prior to the start of surgery.
  • For lengthy operative procedures (e.g., 2 hours or more), 500 mg to 1 gram IV or IM during surgery (administration modified depending on the duration of the operative procedure).
  • 500 mg to 1 gram IV or IM every 6 to 8 hours for 24 hours postoperatively.

It is important that (i) the preoperative dose be given just prior (1/2 hour to 1 hour) to the start of surgery so that adequate antibiotic levels are present in the serum and tissues at the time of initial surgical incision; and (ii) Cefazolin for Injection be administered, if necessary, at appropriate intervals during surgery to provide sufficient levels of the antibiotic drug at the anticipated moments of greatest exposure to infective organisms.

The prophylactic administration of cefazolin should usually be discontinued within a 24-hour period after the surgical procedure. In surgery where the occurrence of infection may be particularly devastating (e.g., open-heart surgery and prosthetic arthroplasty), the prophylactic administration of cefazolin may be continued for 3 to 5 days following the completion of surgery.

2.3 Patients With Renal Impairment (2.3 Patients with Renal Impairment)

Cefazolin for Injection may be used in patients with reduced renal function with the following dosage adjustments outlined in Table 2. Patients with a creatinine clearance of 55 mL/min. or greater or a serum creatinine of 1.5 mg % or less can be given full doses. Patients with creatinine clearance rates of 35 to 54 mL/min. or serum creatinine of 1.6 to 3.0 mg % can also be given full doses but dosage should be restricted to at least 8 hour intervals. Patients with creatinine clearance rates of 11 to 34 mL/min. or serum creatinine of 3.1 to 4.5 mg % should be given 1/2 the usual dose every 12 hours. Patients with creatinine clearance rates of 10 mL/min. or less or serum creatinine of 4.6 mg % or greater should be given 1/2 the usual dose every 18 to 24 hours. All reduced dosage recommendations apply after an initial loading dose appropriate to the severity of the infection. Patients undergoing peritoneal dialysis: [ see Clinical Pharmacology (12.3) ].

Table 2: Dosage Adjustment for Patients with Renal Impairment

Creatinine Clearance

Dose

Frequency

55 mL/min. or greater

full dose

normal frequency

35 to 54 mL/min.

full dose

every 8 hours or longer

11 to 34 mL/min.

1/2 usual dose

every 12 hours

10 mL/min. or less

1/2 usual dose

every 18 to 24 hours

8.6 Patients With Renal Impairment (8.6 Patients with Renal Impairment)

When cefazolin for injection is administered to patients with low urinary output because of impaired renal function (creatinine clearance less than 55 mL/min.), lower daily dosage is required [ see Dosage and Administration (2.3)and Warnings and Precautions (5.2) ].

16 How Supplied/storage and Handling (16 HOW SUPPLIED/STORAGE AND HANDLING)

Cefazolin for Injection, USP is supplied as a sterile white or off-white powder or crystalline powder. Each vial contains cefazolin sodium equivalent to 1 gram of cefazolin.

Unit of Sale

Strength

Each

NDC 60505-6142-5

Carton containing 25

1 Gram

NDC 60505-6142-0

Vial

As with other cephalosporins, cefazolin tends to darken depending on storage conditions; within the stated recommendations, however, product potency is not adversely affected.

Before reconstitution protect from light and store at 20° to 25°C (68° to 77°F) [See USP Controlled Room Temperature].

Principal Display Panel Vial Label (PRINCIPAL DISPLAY PANEL - VIAL LABEL)

Cefazolin for Injection, USP

1 gram/vial

For IM or IV Use

Rx Only

5.5 Drug/laboratory Test Interactions (5.5 Drug/Laboratory Test Interactions)

Urinary Glucose

The administration of cefazolin may result in a false-positive reaction with glucose in the urine when using CLINITEST ® tablets. It is recommended that glucose tests based on enzymatic glucose oxidase reactions (e.g., CLINISTIX ®) be used.

Coombs’ Test

Positive direct Coombs' tests have been reported during treatment with cefazolin. In hematologic studies or in transfusion cross-matching procedures when antiglobulin tests are performed on the minor side or in Coombs' testing of newborns whose mothers have received cephalosporin antibacterial drugs before parturition, it should be recognized that a positive Coombs' test may be due to the drug.

1.3 Skin and Skin Structure Infections

Skin and skin structure infections due to S. aureus (penicillin-sensitive and penicillin-resistant), group A beta-hemolytic streptococci, and other strains of streptococci.

2.5 Preparation of Parenteral Solution

Parenteral drug products should be SHAKEN WELL when reconstituted, and inspected visually for particulate matter prior to administration. If particulate matter is evident in reconstituted fluids, the drug solutions should be discarded.

When reconstituted or diluted according to the instructions below, Cefazolin for Injection is stable for 24 hours at room temperature or for 10 days if stored under refrigeration (5°C or 41°F). Reconstituted solutions may range in color from pale yellow to yellow without a change in potency.

Single-Dose Vials

For IM injection, IV direct (bolus) injection or IV infusion, reconstitute with Sterile Water for Injection according to the following table. SHAKE WELL.

Vial Size

Amount of Diluent

Approximate

Concentration

Approximate

Available Volume

1 g

2.5 mL

330 mg/mL

3 mL

Principal Display Panel Outer Package (PRINCIPAL DISPLAY PANEL - OUTER PACKAGE)

NDC 71872-7141-1

1 - 1 gram Vial

Cefazolin for Injection, USP

1 gram/vial

For Intramuscular or Intravenous Use

PROTECT FROM LIGHT. RETAIN IN CARTON UNTIL TIME OF USE

Rx Only

5.2 Use in Patients With Renal Impairment (5.2 Use in Patients with Renal Impairment)

As with other β-lactam antibiotics, seizures may occur if inappropriately high doses are administered to patients with impaired renal function (creatinine clearance less than 55 mL/min.) [ see Dosage and Administration (2.3) ].

6.2 Cephalosporin Class Adverse Reactions (6.2 Cephalosporin-class Adverse Reactions)

In addition to the adverse reactions listed above that have been observed in patients treated with cefazolin, the following adverse reactions and altered laboratory tests have been reported for cephalosporin-class antibacterials: Stevens-Johnson syndrome, erythema multiforme, toxic epidermal necrolysis, renal impairment, toxic nephropathy, aplastic anemia, hemolytic anemia, hemorrhage, hepatic impairment including cholestasis, and pancytopenia.

5.4 Risk of Development of Drug Resistant Bacteria (5.4 Risk of Development of Drug-resistant Bacteria)

Prescribing cefazolin in the absence of a proven or strongly suspected bacterial infection or a prophylactic indication is unlikely to provide benefit to the patient and increases the risk of the development of drug-resistant bacteria.

As with other antimicrobials, prolonged use of cefazolin for injection may result in overgrowth of nonsusceptible microorganisms. Repeated evaluation of the patient's condition is essential. Should superinfection occur during therapy, appropriate measures should be taken.

13.1 Carcinogenesis, Mutagenesis, Impairment of Fertility

Mutagenicity studies and long-term studies in animals to determine the carcinogenic potential of Cefazolin for Injection have not been performed.

5.1 Hypersensitivity Reactions to Cefazolin, Cephalosporins, Penicillins, Or Other Beta Lactams (5.1 Hypersensitivity Reactions to Cefazolin, Cephalosporins, Penicillins, or Other Beta-lactams)

Before therapy with Cefazolin for Injection is instituted, careful inquiry should be made to determine whether the patient has had previous hypersensitivity reactions to cefazolin, cephalosporins, penicillins, or other drugs. If this product is given to penicillin-sensitive patients, caution should be exercised because cross-hypersensitivity among beta-lactam antibiotics has been clearly documented and may occur in up to 10% of patients with a history of penicillin allergy. If an allergic reaction to Cefazolin for Injection occurs, discontinue treatment with the drug. Serious acute hypersensitivity reactions may require treatment with epinephrine and other emergency measures, including oxygen, IV fluids, IV antihistamines, corticosteroids, pressor amines, and airway management, as clinically indicated.

4.1 Hypersensitivity to Cefazolin Or the Cephalosporin Class of Antibacterial Drugs, Penicillins, Or Other Beta Lactams (4.1 Hypersensitivity to Cefazolin or the Cephalosporin Class of Antibacterial Drugs, Penicillins, or Other Beta-lactams)

Cefazolin for injection is contraindicated in patients who have a history of immediate hypersensitivity reactions (e.g., anaphylaxis, serious skin reactions) to cefazolin or the cephalosporin class of antibacterial drugs, penicillins, or other beta-lactams [ see Warnings and Precautions (5.1) ].


Advanced Ingredient Data


Raw Label Data

All Sections (JSON)