Ipratropium Bromide Inhalation Solution, 0.02%

Ipratropium Bromide Inhalation Solution, 0.02%
SPL v5
SPL
SPL Set ID ff2b6bda-4acd-41fd-8970-458c5265df21
Route
RESPIRATORY (INHALATION)
Published
Effective Date 2019-10-28
Document Type 34391-3 HUMAN PRESCRIPTION DRUG LABEL

Drug Facts

Composition & Product

Inactive Ingredients
Sodium Chloride Water Hydrochloric Acid

Identifiers & Packaging

Marketing Status
ANDA Active Since 2016-10-27

Description

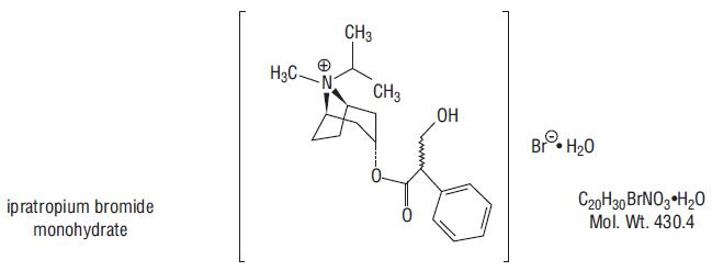
The active ingredient in Ipratropium Bromide Inhalation Solution is ipratropium bromide monohydrate, USP. It is an anticholinergic bronchodilator chemically described as 8-azoniabicyclo[3.2.1]-octane,3-(3-hydroxy-1-oxo-2-phenylpropoxy)-8-methyl-8-(1-methylethyl)-, bromide, monohydrate (endo, syn)-,(±)-; a synthetic quaternary ammonium compound, chemically related to atropine. Ipratropium bromide USP is a white to off-white crystalline powder, soluble in water, freely soluble in methanol and slightly soluble in ethanol. It is a quaternary ammonium compound and thus exists in an ionized state in aqueous solutions. It is insoluble in isopropyl alcohol, chloroform, methylene chloride and benzene. Ipratropium Bromide Inhalation Solution is administered by oral inhalation with the aid of a nebulizer. Each mL contains ipratropium bromide, USP 0.02% (anhydrous basis) in a sterile, preservative-free, isotonic saline solution, pH adjusted to 3.4 (3 to 4) with hydrochloric acid.

Indications and Usage

Ipratropium Bromide Inhalation Solution administered either alone or with other bronchodilators, especially beta adrenergics, is indicated as a bronchodilator for maintenance treatment of bronchospasm associated with chronic obstructive pulmonary disease, including chronic bronchitis and emphysema.

Dosage and Administration

The usual dosage of Ipratropium Bromide Inhalation Solution is 500 mcg (1 Unit-Dose Vial) administered three to four times a day by oral nebulization, with doses 6 to 8 hours apart. Ipratropium Bromide Inhalation Solution Unit-Dose Vials contain 500 mcg ipratropium bromide, USP anhydrous in 2.5 mL normal saline. Ipratropium Bromide Inhalation Solution can be mixed in the nebulizer with albuterol or metaproterenol if used within one hour. Drug stability and safety of Ipratropium Bromide Inhalation Solution when mixed with other drugs in a nebulizer have not been established.

Contraindications

Ipratropium bromide is contraindicated in known or suspected cases of hypersensitivity to ipratropium bromide, or to atropine and its derivatives.

Adverse Reactions

Adverse reaction information concerning Ipratropium Bromide Inhalation Solution is derived from 12-week active-controlled clinical trials. Additional information is derived from foreign post-marketing experience and the published literature. All adverse events, regardless of drug relationship, reported by three percent or more patients in the 12-week controlled clinical trials appear in the table. Additional adverse reactions reported in less than three percent of the patients treated with ipratropium bromide include tachycardia, palpitations, eye pain, urinary retention, urinary tract infection and urticaria. Cases of precipitation or worsening of narrow-angle glaucoma, mydriasis, and acute eye pain have been reported. Lower respiratory adverse reactions (bronchitis, dyspnea and bronchospasm) were the most common events leading to discontinuation of ipratropium bromide therapy in the 12-week trials. Headache, mouth dryness and aggravation of COPD symptoms are more common when the total daily dose of ipratropium bromide equals or exceeds 2,000 mcg. Allergic-type reactions such as skin rash, angioedema of tongue, lips and face, urticaria, laryngospasm and anaphylactic reaction have been reported. Many of the patients had a history of allergies to other drugs and/or foods. All Adverse Events, From a Double-blind, Parallel, 12-week Study of Patients with COPD* PERCENT OF PATIENTS Ipratropium Bromide (500 mcg t.i.d.) n = 219 Metaproterenol (15 mg t.i.d.) n = 212 Ipratropium Bromide/ Metaproterenol (500 mcg t.i.d./15 mg t.i.d.) n = 108 Albuterol (2.5 mg t.i.d.) n = 205 Ipratropium Bromide/Albuterol (500 mcg t.i.d./2.5 mg t.i.d.) n = 100 Body as a Whole-General Disorders Headache 6.4 5.2 6.5 6.3 9.0 Pain 4.1 3.3 0.9 2.9 5.0 Influenza-like Symptoms 3.7 4.7 6.5 0.5 1.0 Back Pain 3.2 1.9 1.9 2.4 0.0 Chest Pain 3.2 4.2 5.6 2.0 1.0 Cardiovascular Disorders Hypertension/hypertension Aggravated 0.9 1.9 0.9 1.5 4.0 Central & Peripheral Nervous System Dizziness 2.3 3.3 1.9 3.9 4.0 Insomnia 0.9 0.5 4.6 1.0 1.0 Tremor 0.9 7.1 8.3 1.0 0.0 Nervousness 0.5 4.7 6.5 1.0 1.0 Gastrointestinal System Disorders Mouth Dryness 3.2 0.0 1.9 2.0 3.0 Nausea 4.1 3.8 1.9 2.9 2.0 Constipation 0.9 0.0 3.7 1.0 1.0 Musculo-skeletal System Disorders Arthritis 0.9 1.4 0.9 0.5 3.0 Respiratory System Disorders (Lower) Coughing 4.6 8.0 6.5 5.4 6.0 Dyspnea 9.6 13.2 16.7 12.7 9.0 Bronchitis 14.6 24.5 15.7 16.6 20.0 Bronchospasm 2.3 2.8 4.6 5.4 5.0 Sputum Increased 1.4 1.4 4.6 3.4 0.0 Respiratory Disorder 0.0 6.1 6.5 2.0 4.0 Respiratory System Disorders (Upper) Upper Respiratory Tract Infection 13.2 11.3 9.3 12.2 16.0 Pharyngitis 3.7 4.2 5.6 2.9 4.0 Rhinitis 2.3 4.2 1.9 2.4 0.0 Sinusitis 2.3 2.8 0.9 5.4 4.0 *All adverse events, regardless of drug relationship, reported by three percent or more patients in the 12-week controlled clinical trials

Drug Interactions

Ipratropium bromide has been shown to be a safe and effective bronchodilator when used in conjunction with beta adrenergic bronchodilators. Ipratropium bromide has also been used with other pulmonary medications, including methylxanthines and corticosteroids, without adverse drug interactions.

How Supplied

Ipratropium Bromide Inhalation Solution is a clear, colorless solution supplied in a unit-dose vial containing 2.5 mL. Supplied in cartons as listed below: 0.02% (0.5 mg/2.5 mL)          NDC 65862-905-25                    25 vials per carton / 25 vials per foil pouch          NDC 65862-905-30                    30 vials per carton / 30 vials per foil pouch          NDC 65862-905-60                    60 vials per carton / 30 vials per foil pouch          NDC 65862-905-03                    30 vials per carton / 1 vial per foil pouch Each vial is made from a low density polyethylene (LDPE) resin. Vials are supplied in a foil pouch. Store between 15° and 30°C (59° and 86°F). Protect from light. S tore in pouch until time of use.   ATTENTION PHARMACIST: Detach “Patient’s Instructions for Use” from Package Insert and dispense with solution.


Medication Information

Indications and Usage

Ipratropium Bromide Inhalation Solution administered either alone or with other bronchodilators, especially beta adrenergics, is indicated as a bronchodilator for maintenance treatment of bronchospasm associated with chronic obstructive pulmonary disease, including chronic bronchitis and emphysema.

Dosage and Administration

The usual dosage of Ipratropium Bromide Inhalation Solution is 500 mcg (1 Unit-Dose Vial) administered three to four times a day by oral nebulization, with doses 6 to 8 hours apart. Ipratropium Bromide Inhalation Solution Unit-Dose Vials contain 500 mcg ipratropium bromide, USP anhydrous in 2.5 mL normal saline. Ipratropium Bromide Inhalation Solution can be mixed in the nebulizer with albuterol or metaproterenol if used within one hour. Drug stability and safety of Ipratropium Bromide Inhalation Solution when mixed with other drugs in a nebulizer have not been established.

Contraindications

Ipratropium bromide is contraindicated in known or suspected cases of hypersensitivity to ipratropium bromide, or to atropine and its derivatives.

Adverse Reactions

Adverse reaction information concerning Ipratropium Bromide Inhalation Solution is derived from 12-week active-controlled clinical trials. Additional information is derived from foreign post-marketing experience and the published literature.

All adverse events, regardless of drug relationship, reported by three percent or more patients in the 12-week controlled clinical trials appear in the table.

Additional adverse reactions reported in less than three percent of the patients treated with ipratropium bromide include tachycardia, palpitations, eye pain, urinary retention, urinary tract infection and urticaria. Cases of precipitation or worsening of narrow-angle glaucoma, mydriasis, and acute eye pain have been reported.

Lower respiratory adverse reactions (bronchitis, dyspnea and bronchospasm) were the most common events leading to discontinuation of ipratropium bromide therapy in the 12-week trials. Headache, mouth dryness and aggravation of COPD symptoms are more common when the total daily dose of ipratropium bromide equals or exceeds 2,000 mcg.

Allergic-type reactions such as skin rash, angioedema of tongue, lips and face, urticaria, laryngospasm and anaphylactic reaction have been reported. Many of the patients had a history of allergies to other drugs and/or foods.

All Adverse Events, From a Double-blind, Parallel, 12-week Study of Patients with COPD*
PERCENT OF PATIENTS
Ipratropium Bromide



(500 mcg t.i.d.)



n = 219
Metaproterenol



(15 mg t.i.d.)



n = 212
Ipratropium Bromide/ Metaproterenol



(500 mcg t.i.d./15 mg t.i.d.)



n = 108
Albuterol



(2.5 mg t.i.d.)



n = 205
Ipratropium Bromide/Albuterol



(500 mcg t.i.d./2.5 mg t.i.d.)



n = 100
Body as a Whole-General Disorders
Headache 6.4 5.2 6.5 6.3 9.0
Pain 4.1 3.3 0.9 2.9 5.0
Influenza-like Symptoms 3.7 4.7 6.5 0.5 1.0
Back Pain 3.2 1.9 1.9 2.4 0.0
Chest Pain 3.2 4.2 5.6 2.0 1.0
Cardiovascular Disorders
Hypertension/hypertension Aggravated 0.9 1.9 0.9 1.5 4.0
Central & Peripheral Nervous System
Dizziness 2.3 3.3 1.9 3.9 4.0
Insomnia 0.9 0.5 4.6 1.0 1.0
Tremor 0.9 7.1 8.3 1.0 0.0
Nervousness 0.5 4.7 6.5 1.0 1.0
Gastrointestinal System Disorders
Mouth Dryness 3.2 0.0 1.9 2.0 3.0
Nausea 4.1 3.8 1.9 2.9 2.0
Constipation 0.9 0.0 3.7 1.0 1.0
Musculo-skeletal System Disorders
Arthritis 0.9 1.4 0.9 0.5 3.0
Respiratory System Disorders (Lower)
Coughing 4.6 8.0 6.5 5.4 6.0
Dyspnea 9.6 13.2 16.7 12.7 9.0
Bronchitis 14.6 24.5 15.7 16.6 20.0
Bronchospasm 2.3 2.8 4.6 5.4 5.0
Sputum Increased 1.4 1.4 4.6 3.4 0.0
Respiratory Disorder 0.0 6.1 6.5 2.0 4.0
Respiratory System Disorders (Upper)
Upper Respiratory Tract Infection 13.2 11.3 9.3 12.2 16.0
Pharyngitis 3.7 4.2 5.6 2.9 4.0
Rhinitis 2.3 4.2 1.9 2.4 0.0
Sinusitis 2.3 2.8 0.9 5.4 4.0

*All adverse events, regardless of drug relationship, reported by three percent or more patients in the 12-week controlled clinical trials

Drug Interactions

Ipratropium bromide has been shown to be a safe and effective bronchodilator when used in conjunction with beta adrenergic bronchodilators. Ipratropium bromide has also been used with other pulmonary medications, including methylxanthines and corticosteroids, without adverse drug interactions.

How Supplied

Ipratropium Bromide Inhalation Solution is a clear, colorless solution supplied in a unit-dose vial containing 2.5 mL. Supplied in cartons as listed below:



0.02% (0.5 mg/2.5 mL)



         NDC 65862-905-25                    25 vials per carton / 25 vials per foil pouch

         NDC 65862-905-30                    30 vials per carton / 30 vials per foil pouch

         NDC 65862-905-60                    60 vials per carton / 30 vials per foil pouch

         NDC 65862-905-03                    30 vials per carton / 1 vial per foil pouch



Each vial is made from a low density polyethylene (LDPE) resin.



Vials are supplied in a foil pouch.



Store between 15° and 30°C (59° and 86°F). Protect from light. S tore in pouch until time of use. 

ATTENTION PHARMACIST: Detach “Patient’s Instructions for Use” from Package Insert and dispense with solution.

Description

The active ingredient in Ipratropium Bromide Inhalation Solution is ipratropium bromide monohydrate, USP. It is an anticholinergic bronchodilator chemically described as 8-azoniabicyclo[3.2.1]-octane,3-(3-hydroxy-1-oxo-2-phenylpropoxy)-8-methyl-8-(1-methylethyl)-, bromide, monohydrate (endo, syn)-,(±)-; a synthetic quaternary ammonium compound, chemically related to atropine.









Ipratropium bromide USP is a white to off-white crystalline powder, soluble in water, freely soluble in methanol and slightly soluble in ethanol. It is a quaternary ammonium compound and thus exists in an ionized state in aqueous solutions. It is insoluble in isopropyl alcohol, chloroform, methylene chloride and benzene.



Ipratropium Bromide Inhalation Solution is administered by oral inhalation with the aid of a nebulizer. Each mL contains ipratropium bromide, USP 0.02% (anhydrous basis) in a sterile, preservative-free, isotonic saline solution, pH adjusted to 3.4 (3 to 4) with hydrochloric acid.

General

Ipratropium bromide should be used with caution in patients with narrow angle glaucoma, prostatic hypertrophy or bladder neck obstruction.

Warnings

The use of Ipratropium Bromide Inhalation Solution as a single agent for the relief of bronchospasm in acute COPD exacerbation has not been adequately studied. Drugs with faster onset of action may be preferable as initial therapy in this situation. Combination of Ipratropium Bromide Inhalation Solution and beta agonists has not been shown to be more effective than either drug alone in reversing the bronchospasm associated with acute COPD exacerbation.



Immediate hypersensitivity reactions may occur after administration of ipratropium bromide, as demonstrated by rare cases of urticaria, angioedema, rash, bronchospasm and oropharyngeal edema.

Pregnancy

TERATOGENIC EFFECTS

Pregnancy Category B



Oral reproduction studies performed in mice, rats and rabbits at doses of 10, 100, and 125 mg/kg respectively and inhalation reproduction studies in rats and rabbits at doses of 1.5 and 1.8 mg/kg (or approximately 38 and 45 times the recommended human daily dose) respectively, have demonstrated no evidence of teratogenic effects as a result of ipratropium bromide. However, no adequate or well controlled studies have been conducted in pregnant women. Because animal reproduction studies are not always predictive of human response, ipratropium bromide should be used during pregnancy only if clearly needed.

Overdosage

Acute systemic overdosage by inhalation is unlikely since ipratropium bromide is not well absorbed after inhalation at up to four-fold the recommended dose, or after oral administration at up to forty-fold the recommended dose. The oral LD 50 of ipratropium bromide ranged between 1001 and 2010 mg/kg in mice; between 1667 and 4000 mg/kg in rats; and between 400 and 1300 mg/kg in dogs.

Pediatric Use

Safety and effectiveness in pediatric patients below the age of 12 have not been established.

Nursing Mothers

It is not known whether ipratropium bromide is excreted in human milk. Although lipid-insoluble quaternary bases pass into breast milk, it is unlikely that ipratropium bromide would reach the infant to a significant extent, especially when taken by inhalation since ipratropium bromide is not well absorbed systemically after inhalation or oral administration. However, because many drugs are excreted in human milk, caution should be exercised when ipratropium bromide is administered to a nursing woman.

Clinical Pharmacology

Ipratropium Bromide Inhalation Solution is an anticholinergic (parasympatholytic) agent that, based on animal studies, appears to inhibit vagally-mediated reflexes by antagonizing the action of acetylcholine, the transmitter agent released from the vagus nerve.



Anticholinergics prevent the increases in intracellular concentration of cyclic guanosine monophosphate (cyclic GMP) which are caused by interaction of acetylcholine with the muscarinic receptor on bronchial smooth muscle.



The bronchodilation following inhalation of Ipratropium Bromide Inhalation Solution is primarily a local, site-specific effect, not a systemic one. Much of an administered dose is swallowed but not absorbed as shown by fecal excretion studies. Following nebulization of a 2 mg dose, a mean 7% of the dose was absorbed into the systemic circulation either from the surface of the lung or from the gastrointestinal tract. The half-life of elimination is about 1.6 hours after intravenous administration. Ipratropium bromide is minimally (0 to 9% in vitro) bound to plasma albumin and α 1-acid glycoproteins. It is partially metabolized. Autoradiographic studies in rats have shown that ipratropium bromide does not penetrate the blood-brain barrier. Ipratropium Bromide Inhalation Solution has not been studied in patients with hepatic or renal insufficiency. It should be used with caution in those patient populations.



In controlled twelve-week studies in patients with bronchospasm associated with chronic obstructive pulmonary disease (chronic bronchitis and emphysema) significant improvements in pulmonary function (FEV 1 increases of 15% or more) occurred within 15 to 30 minutes, reached a peak in 1 to 2 hours and persisted for periods of 4 to 5 hours in the majority of patients, with about 25 to 38% of the patients demonstrating increases of 15% or more for at least 7 to 8 hours. Continued effectiveness of ipratropium bromide was demonstrated throughout the 12-week period. In addition, significant increases in forced vital capacity (FVC) have been demonstrated. However, ipratropium bromide did not consistently produce significant improvement in subjective symptom scores nor in quality of life scores over the 12-week duration of study.



Additional controlled 12-week studies were conducted to evaluate the safety and effectiveness of Ipratropium Bromide Inhalation Solution administered concomitantly with the beta adrenergic bronchodilator solutions metaproterenol and albuterol compared with the administration of each of the beta agonists alone. Combined therapy produced significant additional improvement in FEV 1 and FVC. On combined therapy, the median duration of 15% improvement in FEV 1 was 5 to 7 hours, compared with 3 to 4 hours in patients receiving a beta agonist alone.

Information for Patients

Patients should be advised that mydriasis, temporary blurring of vision, precipitation or worsening of narrow-angle glaucoma or eye pain may result if the solution comes into direct contact with the eyes. Use of a nebulizer with mouthpiece rather than face mask may be preferable, to reduce the likelihood of the nebulizer solution reaching the eyes. Patients should be advised that Ipratropium Bromide Inhalation Solution can be mixed in the nebulizer with albuterol or metaproterenol if used within one hour. Drug stability and safety of Ipratropium Bromide Inhalation Solution when mixed with other drugs in a nebulizer have not been established. Patients should be reminded that Ipratropium Bromide Inhalation Solution should be used consistently as prescribed throughout the course of therapy.

Patient's Instructions for Use

Ipratropium Bromide Inhalation Solution, 0.02%

Read complete instructions carefully before using.

1. Remove vial from the foil pouch.















2. Twist open the top of one unit dose vial and squeeze the contents into the nebulizer reservoir (Figure 1).













3. Connect the nebulizer reservoir to the mouthpiece or face mask (Figure 2).







4. Connect the nebulizer to the compressor.















5. Sit in a comfortable, upright position; place the mouthpiece in your mouth (Figure 3) or put on the face mask and turn on the compressor. If a face mask is used, care should be taken to avoid leakage around the mask as temporary blurring of vision, pupil enlargement, precipitation or worsening of narrow-angle glaucoma, or eye pain may occur if the solution comes into direct contact with the eyes.







6. Breathe as calmly, deeply, and evenly as possible until no more mist is formed in the nebulizer chamber (about 5 to 15 minutes). At this point, the treatment is finished.







7. Clean the nebulizer (see manufacturer’s instructions).







Note: Use only as directed by your physician. More frequent administration or higher doses are not recommended. Ipratropium Bromide Inhalation Solution can be mixed in the nebulizer with albuterol or metaproterenol if used within one hour but not with other drugs. Drug stability and safety of Ipratropium Bromide Inhalation Solution when mixed with other drugs in a nebulizer have not been established.







S
tore between 15° and 30°C (59° and 86°F). Protect from light. Store in pouch until time of use.







ADDITIONAL INSTRUCTIONS:



__________________________________________________________________________________________________________



__________________________________________________________________________________________________________



__________________________________________________________________________________________________________



__________________________________________________________________________________________________________



__________________________________________________________________________________________________________



__________________________________________________________________________________________________________







Distributed by:

Aurobindo Pharma USA, Inc.

279 Princeton-Hightstown Road

East Windsor, NJ 08520

Manufactured by:

Eugia Pharma Specialities Limited, Unit-III,

Plot No: 4, 34 to 48 EPIP,

TSIIC, IDA, Pashamylaram,

Patancheru Mandal, Sangareddy District,

Sangareddy, Telangana - 502307, India.



Revised: September 2022

Carcinogenesis, Mutagenesis, Impairment of Fertility

Two-year oral carcinogenicity studies in rats and mice have revealed no carcinogenic potential at dietary doses up to 6 mg/kg/day of ipratropium bromide.



Results of various mutagenicity studies (Ames test, mouse dominal lethal test, mouse micronucleus test and chromosome aberration of bone marrow in Chinese hamsters) were negative.



Fertility of male or female rats at oral doses up to 50 mg/kg/day was unaffected by ipratropium bromide administration. At doses above 90 mg/kg, increased resorption and decreased conception rates were observed.

Package Label Principal Display Panel 0.02% (0.5 Mg/2.5 Ml) Pouch Label (1 Vial)

                   NDC 65862-905-01

Rx only

Ipratropium Bromide

Inhalation Solution

0.02% (0.5 mg/2.5 mL)



For Oral Inhalation Only

Not for Injection



1 x 2.5 mL Sterile

Unit Dose Vial



Each low density polyethylene

vial contains: 2.5 mL

Ipratropium Bromide USP

0.02%, preservative free,

isotonic sterile aqueous

solution containing sodium

chloride. Adjusted to pH 3.4

(3 to 4) with hydrochloric acid.

Usual Dosage: See accompanying

prescribing information.

Store between 15° and 30°C

(59° and 86°F).

Protect From Light. Store in

pouch until time of use.

ATTENTION PHARMACIST:

Detach “Patient's Instructions

for Use” from Package Insert

and dispense with solution.



Distributed by:

Aurobindo Pharma USA, Inc.

279 Princeton-Hightstown Road

East Windsor, NJ 08520



Made in India



Code: TS/DRUGS/13/2010



AUROBINDO

Package Label Principal Display Panel 0.02% (0.5 Mg/2.5 Ml) Pouch Label (25 Vials)

                               NDC 65862-905-25

Rx only

Ipratropium Bromide

Inhalation Solution

0.02% (0.5 mg/2.5 mL)



For Oral Inhalation Only

Not for Injection



25 x 2.5 mL Sterile Unit Dose Vials



Each low density polyethylene vial contains: 2.5 mL Ipratropium

Bromide USP 0.02%, preservative free, isotonic sterile aqueous

solution containing sodium chloride. Adjusted to pH 3.4 (3 to 4)

with hydrochloric acid.

Usual Dosage: See accompanying prescribing information.

Store between 15° and 30°C (59° and 86°F). Protect From Light.

Store unused vials in the foil pouch.

ATTENTION PHARMACIST: Detach “Patient's Instructions for

Use” from Package Insert and dispense with solution.



Distributed by:

Aurobindo Pharma USA, Inc.

279 Princeton-Hightstown Road

East Windsor, NJ 08520

Made in India

Code: TS/DRUGS/13/2010

AUROBINDO

Package Label Principal Display Panel 0.02% (0.5 Mg/2.5 Ml) Pouch Label (30 Vials)

                                        NDC 65862-905-33

Rx only

Ipratropium Bromide

Inhalation Solution

0.02% (0.5 mg/2.5 mL)



For Oral Inhalation Only

Not for Injection



30 x 2.5 mL Sterile Unit Dose Vials



Each low density polyethylene vial contains: 2.5 mL Ipratropium

Bromide USP 0.02%, preservative free, isotonic sterile aqueous

solution containing sodium chloride. Adjusted to pH 3.4 (3 to 4)

with hydrochloric acid.

Usual Dosage: See accompanying prescribing information.

Store between 15° and 30°C (59° and 86°F). Protect From Light.

Store unused vials in the foil pouch.

ATTENTION PHARMACIST: Detach “Patient's Instructions for

Use” from Package Insert and dispense with solution.



Distributed by:

Aurobindo Pharma USA, Inc.

279 Princeton-Hightstown Road

East Windsor, NJ 08520

Made in India

Code: TS/DRUGS/13/2010

AUROBINDO

Package Label Principal Display Panel 0.02% (0.5 Mg/2.5 Ml) Container Carton (30 Vials)

Rx only              NDC 65862-905-30

Ipratropium Bromide

Inhalation Solution

0.02% (0.5 mg/2.5 mL)

For Oral Inhalation Only

Not for Injection

30 x 2.5 mL Sterile Unit Dose Vials

AUROBINDO



Package Label Principal Display Panel 0.02% (0.5 Mg/2.5 Ml) Container Carton (25 vials)

Rx only              NDC 65862-905-25

Ipratropium Bromide

Inhalation Solution

0.02% (0.5 mg/2.5 mL)

For Oral Inhalation Only

Not for Injection

25 x 2.5 mL Sterile Unit Dose Vials

AUROBINDO



Package Label Principal Display Panel 0.02% (0.5 Mg/2.5 Ml) Container Carton (2 X 30 Vial Pouches)

Rx only                     NDC 65862-905-60

Ipratropium Bromide

Inhalation Solution

0.02% (0.5 mg/2.5 mL)

For Oral Inhalation Only

Not for Injection

60 x 2.5 mL Sterile Unit Dose Vials

(2 x 30 Vial Pouches)

AUROBINDO



Package Label Principal Display Panel 0.02% (0.5 Mg/2.5 Ml) Container Carton (30 Individually Wrapped Vials)

Rx only               NDC 65862-905-03

Ipratropium Bromide

Inhalation Solution

0.02% (0.5 mg/2.5 mL)

For Oral Inhalation Only

Not for Injection

2.5 mL, Sterile Unit Dose Vial

30 Individually Wrapped Vials

AUROBINDO




Structured Label Content

General

Ipratropium bromide should be used with caution in patients with narrow angle glaucoma, prostatic hypertrophy or bladder neck obstruction.

Warnings (WARNINGS)

The use of Ipratropium Bromide Inhalation Solution as a single agent for the relief of bronchospasm in acute COPD exacerbation has not been adequately studied. Drugs with faster onset of action may be preferable as initial therapy in this situation. Combination of Ipratropium Bromide Inhalation Solution and beta agonists has not been shown to be more effective than either drug alone in reversing the bronchospasm associated with acute COPD exacerbation.



Immediate hypersensitivity reactions may occur after administration of ipratropium bromide, as demonstrated by rare cases of urticaria, angioedema, rash, bronchospasm and oropharyngeal edema.

Pregnancy

TERATOGENIC EFFECTS

Pregnancy Category B



Oral reproduction studies performed in mice, rats and rabbits at doses of 10, 100, and 125 mg/kg respectively and inhalation reproduction studies in rats and rabbits at doses of 1.5 and 1.8 mg/kg (or approximately 38 and 45 times the recommended human daily dose) respectively, have demonstrated no evidence of teratogenic effects as a result of ipratropium bromide. However, no adequate or well controlled studies have been conducted in pregnant women. Because animal reproduction studies are not always predictive of human response, ipratropium bromide should be used during pregnancy only if clearly needed.

Overdosage (OVERDOSAGE)

Acute systemic overdosage by inhalation is unlikely since ipratropium bromide is not well absorbed after inhalation at up to four-fold the recommended dose, or after oral administration at up to forty-fold the recommended dose. The oral LD 50 of ipratropium bromide ranged between 1001 and 2010 mg/kg in mice; between 1667 and 4000 mg/kg in rats; and between 400 and 1300 mg/kg in dogs.

Description (DESCRIPTION)

The active ingredient in Ipratropium Bromide Inhalation Solution is ipratropium bromide monohydrate, USP. It is an anticholinergic bronchodilator chemically described as 8-azoniabicyclo[3.2.1]-octane,3-(3-hydroxy-1-oxo-2-phenylpropoxy)-8-methyl-8-(1-methylethyl)-, bromide, monohydrate (endo, syn)-,(±)-; a synthetic quaternary ammonium compound, chemically related to atropine.









Ipratropium bromide USP is a white to off-white crystalline powder, soluble in water, freely soluble in methanol and slightly soluble in ethanol. It is a quaternary ammonium compound and thus exists in an ionized state in aqueous solutions. It is insoluble in isopropyl alcohol, chloroform, methylene chloride and benzene.



Ipratropium Bromide Inhalation Solution is administered by oral inhalation with the aid of a nebulizer. Each mL contains ipratropium bromide, USP 0.02% (anhydrous basis) in a sterile, preservative-free, isotonic saline solution, pH adjusted to 3.4 (3 to 4) with hydrochloric acid.

How Supplied (HOW SUPPLIED)

Ipratropium Bromide Inhalation Solution is a clear, colorless solution supplied in a unit-dose vial containing 2.5 mL. Supplied in cartons as listed below:



0.02% (0.5 mg/2.5 mL)



         NDC 65862-905-25                    25 vials per carton / 25 vials per foil pouch

         NDC 65862-905-30                    30 vials per carton / 30 vials per foil pouch

         NDC 65862-905-60                    60 vials per carton / 30 vials per foil pouch

         NDC 65862-905-03                    30 vials per carton / 1 vial per foil pouch



Each vial is made from a low density polyethylene (LDPE) resin.



Vials are supplied in a foil pouch.



Store between 15° and 30°C (59° and 86°F). Protect from light. S tore in pouch until time of use. 

ATTENTION PHARMACIST: Detach “Patient’s Instructions for Use” from Package Insert and dispense with solution.

Pediatric Use

Safety and effectiveness in pediatric patients below the age of 12 have not been established.

Nursing Mothers

It is not known whether ipratropium bromide is excreted in human milk. Although lipid-insoluble quaternary bases pass into breast milk, it is unlikely that ipratropium bromide would reach the infant to a significant extent, especially when taken by inhalation since ipratropium bromide is not well absorbed systemically after inhalation or oral administration. However, because many drugs are excreted in human milk, caution should be exercised when ipratropium bromide is administered to a nursing woman.

Adverse Reactions (ADVERSE REACTIONS)

Adverse reaction information concerning Ipratropium Bromide Inhalation Solution is derived from 12-week active-controlled clinical trials. Additional information is derived from foreign post-marketing experience and the published literature.

All adverse events, regardless of drug relationship, reported by three percent or more patients in the 12-week controlled clinical trials appear in the table.

Additional adverse reactions reported in less than three percent of the patients treated with ipratropium bromide include tachycardia, palpitations, eye pain, urinary retention, urinary tract infection and urticaria. Cases of precipitation or worsening of narrow-angle glaucoma, mydriasis, and acute eye pain have been reported.

Lower respiratory adverse reactions (bronchitis, dyspnea and bronchospasm) were the most common events leading to discontinuation of ipratropium bromide therapy in the 12-week trials. Headache, mouth dryness and aggravation of COPD symptoms are more common when the total daily dose of ipratropium bromide equals or exceeds 2,000 mcg.

Allergic-type reactions such as skin rash, angioedema of tongue, lips and face, urticaria, laryngospasm and anaphylactic reaction have been reported. Many of the patients had a history of allergies to other drugs and/or foods.

All Adverse Events, From a Double-blind, Parallel, 12-week Study of Patients with COPD*
PERCENT OF PATIENTS
Ipratropium Bromide



(500 mcg t.i.d.)



n = 219
Metaproterenol



(15 mg t.i.d.)



n = 212
Ipratropium Bromide/ Metaproterenol



(500 mcg t.i.d./15 mg t.i.d.)



n = 108
Albuterol



(2.5 mg t.i.d.)



n = 205
Ipratropium Bromide/Albuterol



(500 mcg t.i.d./2.5 mg t.i.d.)



n = 100
Body as a Whole-General Disorders
Headache 6.4 5.2 6.5 6.3 9.0
Pain 4.1 3.3 0.9 2.9 5.0
Influenza-like Symptoms 3.7 4.7 6.5 0.5 1.0
Back Pain 3.2 1.9 1.9 2.4 0.0
Chest Pain 3.2 4.2 5.6 2.0 1.0
Cardiovascular Disorders
Hypertension/hypertension Aggravated 0.9 1.9 0.9 1.5 4.0
Central & Peripheral Nervous System
Dizziness 2.3 3.3 1.9 3.9 4.0
Insomnia 0.9 0.5 4.6 1.0 1.0
Tremor 0.9 7.1 8.3 1.0 0.0
Nervousness 0.5 4.7 6.5 1.0 1.0
Gastrointestinal System Disorders
Mouth Dryness 3.2 0.0 1.9 2.0 3.0
Nausea 4.1 3.8 1.9 2.9 2.0
Constipation 0.9 0.0 3.7 1.0 1.0
Musculo-skeletal System Disorders
Arthritis 0.9 1.4 0.9 0.5 3.0
Respiratory System Disorders (Lower)
Coughing 4.6 8.0 6.5 5.4 6.0
Dyspnea 9.6 13.2 16.7 12.7 9.0
Bronchitis 14.6 24.5 15.7 16.6 20.0
Bronchospasm 2.3 2.8 4.6 5.4 5.0
Sputum Increased 1.4 1.4 4.6 3.4 0.0
Respiratory Disorder 0.0 6.1 6.5 2.0 4.0
Respiratory System Disorders (Upper)
Upper Respiratory Tract Infection 13.2 11.3 9.3 12.2 16.0
Pharyngitis 3.7 4.2 5.6 2.9 4.0
Rhinitis 2.3 4.2 1.9 2.4 0.0
Sinusitis 2.3 2.8 0.9 5.4 4.0

*All adverse events, regardless of drug relationship, reported by three percent or more patients in the 12-week controlled clinical trials

Contraindications (CONTRAINDICATIONS)

Ipratropium bromide is contraindicated in known or suspected cases of hypersensitivity to ipratropium bromide, or to atropine and its derivatives.

Drug Interactions

Ipratropium bromide has been shown to be a safe and effective bronchodilator when used in conjunction with beta adrenergic bronchodilators. Ipratropium bromide has also been used with other pulmonary medications, including methylxanthines and corticosteroids, without adverse drug interactions.

Clinical Pharmacology (CLINICAL PHARMACOLOGY)

Ipratropium Bromide Inhalation Solution is an anticholinergic (parasympatholytic) agent that, based on animal studies, appears to inhibit vagally-mediated reflexes by antagonizing the action of acetylcholine, the transmitter agent released from the vagus nerve.



Anticholinergics prevent the increases in intracellular concentration of cyclic guanosine monophosphate (cyclic GMP) which are caused by interaction of acetylcholine with the muscarinic receptor on bronchial smooth muscle.



The bronchodilation following inhalation of Ipratropium Bromide Inhalation Solution is primarily a local, site-specific effect, not a systemic one. Much of an administered dose is swallowed but not absorbed as shown by fecal excretion studies. Following nebulization of a 2 mg dose, a mean 7% of the dose was absorbed into the systemic circulation either from the surface of the lung or from the gastrointestinal tract. The half-life of elimination is about 1.6 hours after intravenous administration. Ipratropium bromide is minimally (0 to 9% in vitro) bound to plasma albumin and α 1-acid glycoproteins. It is partially metabolized. Autoradiographic studies in rats have shown that ipratropium bromide does not penetrate the blood-brain barrier. Ipratropium Bromide Inhalation Solution has not been studied in patients with hepatic or renal insufficiency. It should be used with caution in those patient populations.



In controlled twelve-week studies in patients with bronchospasm associated with chronic obstructive pulmonary disease (chronic bronchitis and emphysema) significant improvements in pulmonary function (FEV 1 increases of 15% or more) occurred within 15 to 30 minutes, reached a peak in 1 to 2 hours and persisted for periods of 4 to 5 hours in the majority of patients, with about 25 to 38% of the patients demonstrating increases of 15% or more for at least 7 to 8 hours. Continued effectiveness of ipratropium bromide was demonstrated throughout the 12-week period. In addition, significant increases in forced vital capacity (FVC) have been demonstrated. However, ipratropium bromide did not consistently produce significant improvement in subjective symptom scores nor in quality of life scores over the 12-week duration of study.



Additional controlled 12-week studies were conducted to evaluate the safety and effectiveness of Ipratropium Bromide Inhalation Solution administered concomitantly with the beta adrenergic bronchodilator solutions metaproterenol and albuterol compared with the administration of each of the beta agonists alone. Combined therapy produced significant additional improvement in FEV 1 and FVC. On combined therapy, the median duration of 15% improvement in FEV 1 was 5 to 7 hours, compared with 3 to 4 hours in patients receiving a beta agonist alone.

Indications and Usage (INDICATIONS AND USAGE)

Ipratropium Bromide Inhalation Solution administered either alone or with other bronchodilators, especially beta adrenergics, is indicated as a bronchodilator for maintenance treatment of bronchospasm associated with chronic obstructive pulmonary disease, including chronic bronchitis and emphysema.

Information for Patients

Patients should be advised that mydriasis, temporary blurring of vision, precipitation or worsening of narrow-angle glaucoma or eye pain may result if the solution comes into direct contact with the eyes. Use of a nebulizer with mouthpiece rather than face mask may be preferable, to reduce the likelihood of the nebulizer solution reaching the eyes. Patients should be advised that Ipratropium Bromide Inhalation Solution can be mixed in the nebulizer with albuterol or metaproterenol if used within one hour. Drug stability and safety of Ipratropium Bromide Inhalation Solution when mixed with other drugs in a nebulizer have not been established. Patients should be reminded that Ipratropium Bromide Inhalation Solution should be used consistently as prescribed throughout the course of therapy.

Dosage and Administration (DOSAGE AND ADMINISTRATION)

The usual dosage of Ipratropium Bromide Inhalation Solution is 500 mcg (1 Unit-Dose Vial) administered three to four times a day by oral nebulization, with doses 6 to 8 hours apart. Ipratropium Bromide Inhalation Solution Unit-Dose Vials contain 500 mcg ipratropium bromide, USP anhydrous in 2.5 mL normal saline. Ipratropium Bromide Inhalation Solution can be mixed in the nebulizer with albuterol or metaproterenol if used within one hour. Drug stability and safety of Ipratropium Bromide Inhalation Solution when mixed with other drugs in a nebulizer have not been established.

Patient's Instructions for Use

Ipratropium Bromide Inhalation Solution, 0.02%

Read complete instructions carefully before using.

1. Remove vial from the foil pouch.















2. Twist open the top of one unit dose vial and squeeze the contents into the nebulizer reservoir (Figure 1).













3. Connect the nebulizer reservoir to the mouthpiece or face mask (Figure 2).







4. Connect the nebulizer to the compressor.















5. Sit in a comfortable, upright position; place the mouthpiece in your mouth (Figure 3) or put on the face mask and turn on the compressor. If a face mask is used, care should be taken to avoid leakage around the mask as temporary blurring of vision, pupil enlargement, precipitation or worsening of narrow-angle glaucoma, or eye pain may occur if the solution comes into direct contact with the eyes.







6. Breathe as calmly, deeply, and evenly as possible until no more mist is formed in the nebulizer chamber (about 5 to 15 minutes). At this point, the treatment is finished.







7. Clean the nebulizer (see manufacturer’s instructions).







Note: Use only as directed by your physician. More frequent administration or higher doses are not recommended. Ipratropium Bromide Inhalation Solution can be mixed in the nebulizer with albuterol or metaproterenol if used within one hour but not with other drugs. Drug stability and safety of Ipratropium Bromide Inhalation Solution when mixed with other drugs in a nebulizer have not been established.







S
tore between 15° and 30°C (59° and 86°F). Protect from light. Store in pouch until time of use.







ADDITIONAL INSTRUCTIONS:



__________________________________________________________________________________________________________



__________________________________________________________________________________________________________



__________________________________________________________________________________________________________



__________________________________________________________________________________________________________



__________________________________________________________________________________________________________



__________________________________________________________________________________________________________







Distributed by:

Aurobindo Pharma USA, Inc.

279 Princeton-Hightstown Road

East Windsor, NJ 08520

Manufactured by:

Eugia Pharma Specialities Limited, Unit-III,

Plot No: 4, 34 to 48 EPIP,

TSIIC, IDA, Pashamylaram,

Patancheru Mandal, Sangareddy District,

Sangareddy, Telangana - 502307, India.



Revised: September 2022

Carcinogenesis, Mutagenesis, Impairment of Fertility

Two-year oral carcinogenicity studies in rats and mice have revealed no carcinogenic potential at dietary doses up to 6 mg/kg/day of ipratropium bromide.



Results of various mutagenicity studies (Ames test, mouse dominal lethal test, mouse micronucleus test and chromosome aberration of bone marrow in Chinese hamsters) were negative.



Fertility of male or female rats at oral doses up to 50 mg/kg/day was unaffected by ipratropium bromide administration. At doses above 90 mg/kg, increased resorption and decreased conception rates were observed.

Package Label Principal Display Panel 0.02% (0.5 Mg/2.5 Ml) Pouch Label (1 Vial) (PACKAGE LABEL-PRINCIPAL DISPLAY PANEL - 0.02% (0.5 mg/2.5 mL) - Pouch Label (1 Vial))

                   NDC 65862-905-01

Rx only

Ipratropium Bromide

Inhalation Solution

0.02% (0.5 mg/2.5 mL)



For Oral Inhalation Only

Not for Injection



1 x 2.5 mL Sterile

Unit Dose Vial



Each low density polyethylene

vial contains: 2.5 mL

Ipratropium Bromide USP

0.02%, preservative free,

isotonic sterile aqueous

solution containing sodium

chloride. Adjusted to pH 3.4

(3 to 4) with hydrochloric acid.

Usual Dosage: See accompanying

prescribing information.

Store between 15° and 30°C

(59° and 86°F).

Protect From Light. Store in

pouch until time of use.

ATTENTION PHARMACIST:

Detach “Patient's Instructions

for Use” from Package Insert

and dispense with solution.



Distributed by:

Aurobindo Pharma USA, Inc.

279 Princeton-Hightstown Road

East Windsor, NJ 08520



Made in India



Code: TS/DRUGS/13/2010



AUROBINDO

Package Label Principal Display Panel 0.02% (0.5 Mg/2.5 Ml) Pouch Label (25 Vials) (PACKAGE LABEL-PRINCIPAL DISPLAY PANEL - 0.02% (0.5 mg/2.5 mL) - Pouch Label (25 Vials))

                               NDC 65862-905-25

Rx only

Ipratropium Bromide

Inhalation Solution

0.02% (0.5 mg/2.5 mL)



For Oral Inhalation Only

Not for Injection



25 x 2.5 mL Sterile Unit Dose Vials



Each low density polyethylene vial contains: 2.5 mL Ipratropium

Bromide USP 0.02%, preservative free, isotonic sterile aqueous

solution containing sodium chloride. Adjusted to pH 3.4 (3 to 4)

with hydrochloric acid.

Usual Dosage: See accompanying prescribing information.

Store between 15° and 30°C (59° and 86°F). Protect From Light.

Store unused vials in the foil pouch.

ATTENTION PHARMACIST: Detach “Patient's Instructions for

Use” from Package Insert and dispense with solution.



Distributed by:

Aurobindo Pharma USA, Inc.

279 Princeton-Hightstown Road

East Windsor, NJ 08520

Made in India

Code: TS/DRUGS/13/2010

AUROBINDO

Package Label Principal Display Panel 0.02% (0.5 Mg/2.5 Ml) Pouch Label (30 Vials) (PACKAGE LABEL-PRINCIPAL DISPLAY PANEL - 0.02% (0.5 mg/2.5 mL) - Pouch Label (30 Vials))

                                        NDC 65862-905-33

Rx only

Ipratropium Bromide

Inhalation Solution

0.02% (0.5 mg/2.5 mL)



For Oral Inhalation Only

Not for Injection



30 x 2.5 mL Sterile Unit Dose Vials



Each low density polyethylene vial contains: 2.5 mL Ipratropium

Bromide USP 0.02%, preservative free, isotonic sterile aqueous

solution containing sodium chloride. Adjusted to pH 3.4 (3 to 4)

with hydrochloric acid.

Usual Dosage: See accompanying prescribing information.

Store between 15° and 30°C (59° and 86°F). Protect From Light.

Store unused vials in the foil pouch.

ATTENTION PHARMACIST: Detach “Patient's Instructions for

Use” from Package Insert and dispense with solution.



Distributed by:

Aurobindo Pharma USA, Inc.

279 Princeton-Hightstown Road

East Windsor, NJ 08520

Made in India

Code: TS/DRUGS/13/2010

AUROBINDO

Package Label Principal Display Panel 0.02% (0.5 Mg/2.5 Ml) Container Carton (30 Vials) (PACKAGE LABEL-PRINCIPAL DISPLAY PANEL - 0.02% (0.5 mg/2.5 mL) - Container-Carton (30 Vials))

Rx only              NDC 65862-905-30

Ipratropium Bromide

Inhalation Solution

0.02% (0.5 mg/2.5 mL)

For Oral Inhalation Only

Not for Injection

30 x 2.5 mL Sterile Unit Dose Vials

AUROBINDO



Package Label Principal Display Panel 0.02% (0.5 Mg/2.5 Ml) Container Carton (25 vials) (PACKAGE LABEL-PRINCIPAL DISPLAY PANEL - 0.02% (0.5 mg/2.5 mL) - Container-Carton (25 Vials))

Rx only              NDC 65862-905-25

Ipratropium Bromide

Inhalation Solution

0.02% (0.5 mg/2.5 mL)

For Oral Inhalation Only

Not for Injection

25 x 2.5 mL Sterile Unit Dose Vials

AUROBINDO



Package Label Principal Display Panel 0.02% (0.5 Mg/2.5 Ml) Container Carton (2 X 30 Vial Pouches) (PACKAGE LABEL-PRINCIPAL DISPLAY PANEL - 0.02% (0.5 mg/2.5 mL) - Container-Carton (2 x 30 Vial Pouches))

Rx only                     NDC 65862-905-60

Ipratropium Bromide

Inhalation Solution

0.02% (0.5 mg/2.5 mL)

For Oral Inhalation Only

Not for Injection

60 x 2.5 mL Sterile Unit Dose Vials

(2 x 30 Vial Pouches)

AUROBINDO



Package Label Principal Display Panel 0.02% (0.5 Mg/2.5 Ml) Container Carton (30 Individually Wrapped Vials) (PACKAGE LABEL-PRINCIPAL DISPLAY PANEL - 0.02% (0.5 mg/2.5 mL) - Container-Carton (30 Individually Wrapped Vials))

Rx only               NDC 65862-905-03

Ipratropium Bromide

Inhalation Solution

0.02% (0.5 mg/2.5 mL)

For Oral Inhalation Only

Not for Injection

2.5 mL, Sterile Unit Dose Vial

30 Individually Wrapped Vials

AUROBINDO




Advanced Ingredient Data


Raw Label Data

All Sections (JSON)