These Highlights Do Not Include All The Information Needed To Use Orbactiv Safely And Effectively. See Full Prescribing Information For Orbactiv.

These Highlights Do Not Include All The Information Needed To Use Orbactiv Safely And Effectively. See Full Prescribing Information For Orbactiv.
SPL v12
SPL
SPL Set ID ff09a726-9f9b-4e30-b509-396781293220
Route
INTRAVENOUS
Published
Effective Date 2025-02-28
Document Type 34391-3 HUMAN PRESCRIPTION DRUG LABEL

Drug Facts

Composition & Product

Active Ingredients
Oritavancin (400 mg)
Inactive Ingredients
Mannitol Phosphoric Acid

Identifiers & Packaging

Marketing Status
NDA Active Since 2014-09-01

Description

ORBACTIV is a lipoglycopeptide antibacterial drug indicated for the treatment of adult patients with acute bacterial skin and skin structure infections caused or suspected to be caused by susceptible isolates of designated Gram-positive microorganisms. ( 1.1 ) To reduce the development of drug-resistant bacteria and maintain the effectiveness of ORBACTIV and other antibacterial drugs, ORBACTIV should be used only to treat or prevent infections that are proven or strongly suspected to be caused by bacteria. ( 1.2 )

Indications and Usage

ORBACTIV is a lipoglycopeptide antibacterial drug indicated for the treatment of adult patients with acute bacterial skin and skin structure infections caused or suspected to be caused by susceptible isolates of designated Gram-positive microorganisms. ( 1.1 ) To reduce the development of drug-resistant bacteria and maintain the effectiveness of ORBACTIV and other antibacterial drugs, ORBACTIV should be used only to treat or prevent infections that are proven or strongly suspected to be caused by bacteria. ( 1.2 )

Dosage and Administration

There are two oritavancin products (ORBACTIV and KIMYRSA™, another oritavancin product) that have differences in dose strength, duration of infusion and preparation instructions, including reconstitution and dilution instructions and compatible diluents ( 2.1 , 2.2 , 2.3 , 2.4 ) Administer 1,200 mg of ORBACTIV as a single dose by intravenous infusion over 3 hours. ( 2.1 , 5.3 ) Carefully follow the recommended dosage and dose preparation instructions for ORBACTIV in the full prescribing information. ( 2.1 , 2.2 , 2.3 )

Warnings and Precautions

Coagulation test interference: ORBACTIV has been shown to artificially prolong aPTT for up to 120 hours, and may prolong PT and INR for up to 12 hours and ACT for up to 24 hours. For patients who require aPTT monitoring within 120 hours of ORBACTIV dosing, consider a non-phospholipid dependent coagulation test such as a Factor Xa (chromogenic) assay or an alternative anticoagulant not requiring aPTT. ( 5.1 , 7.2 ) Serious hypersensitivity reactions, including anaphylaxis, have been reported with the use of oritavancin products, including ORBACTIV. Discontinue infusion if signs of acute hypersensitivity occur. Carefully monitor patients with known hypersensitivity to glycopeptides. ( 5.2 ) Infusion Related Reactions: Administer ORBACTIV over 3 hours to minimize infusion. Infusion related reactions have been reported with the glycopeptide class of antimicrobial agents, including oritavancin products (e.g. ORBACTIV). Stopping or slowing the infusion may result in cessation of these reactions. ( 5.3 ) Clostridioides difficile -associated diarrhea: Evaluate patients if diarrhea occurs. ( 5.4 ) Concomitant warfarin use: ORBACTIV has been shown to artificially prolong PT/INR for up to 12 hours ( 5.1 ). Patients should be monitored for bleeding if concomitantly receiving ORBACTIV and warfarin. ( 5.5 ) Osteomyelitis: Institute appropriate alternate antibacterial therapy in patients with confirmed or suspected osteomyelitis. ( 5.6 )

Contraindications

Use of intravenous unfractionated heparin sodium is contraindicated for 120 hours (5 days) after ORBACTIV administration. ( 4.1 , 5.1 ) Known hypersensitivity to oritavancin products. ( 4.2 , 5.2 )

Adverse Reactions

The following adverse reactions are also discussed in the Warnings and Precautions section of labeling: Hypersensitivity Reactions [see Warnings and Precautions (5.2) ] Infusion Related Reactions [see Warnings and Precautions (5.3) ] Clostridioides difficile -associated Diarrhea [see Warnings and Precautions (5.4) ] Osteomyelitis [see Warnings and Precautions (5.6) ]

How Supplied

ORBACTIV is supplied as a sterile white to off-white lyophilized powder in single-dose clear glass vials containing 400 mg of oritavancin (NDC 70842-140-01), packaged in a carton of 3 vials (NDC 70842-140-03). ORBACTIV vials should be stored at 20°C to 25°C (68°F to 77°F); excursions permitted to 15°C to 30°C (59°F to 86°F) [see USP, Controlled Room Temperature (CRT)].


Medication Information

Warnings and Precautions

Coagulation test interference: ORBACTIV has been shown to artificially prolong aPTT for up to 120 hours, and may prolong PT and INR for up to 12 hours and ACT for up to 24 hours. For patients who require aPTT monitoring within 120 hours of ORBACTIV dosing, consider a non-phospholipid dependent coagulation test such as a Factor Xa (chromogenic) assay or an alternative anticoagulant not requiring aPTT. ( 5.1 , 7.2 ) Serious hypersensitivity reactions, including anaphylaxis, have been reported with the use of oritavancin products, including ORBACTIV. Discontinue infusion if signs of acute hypersensitivity occur. Carefully monitor patients with known hypersensitivity to glycopeptides. ( 5.2 ) Infusion Related Reactions: Administer ORBACTIV over 3 hours to minimize infusion. Infusion related reactions have been reported with the glycopeptide class of antimicrobial agents, including oritavancin products (e.g. ORBACTIV). Stopping or slowing the infusion may result in cessation of these reactions. ( 5.3 ) Clostridioides difficile -associated diarrhea: Evaluate patients if diarrhea occurs. ( 5.4 ) Concomitant warfarin use: ORBACTIV has been shown to artificially prolong PT/INR for up to 12 hours ( 5.1 ). Patients should be monitored for bleeding if concomitantly receiving ORBACTIV and warfarin. ( 5.5 ) Osteomyelitis: Institute appropriate alternate antibacterial therapy in patients with confirmed or suspected osteomyelitis. ( 5.6 )

Indications and Usage

ORBACTIV is a lipoglycopeptide antibacterial drug indicated for the treatment of adult patients with acute bacterial skin and skin structure infections caused or suspected to be caused by susceptible isolates of designated Gram-positive microorganisms. ( 1.1 ) To reduce the development of drug-resistant bacteria and maintain the effectiveness of ORBACTIV and other antibacterial drugs, ORBACTIV should be used only to treat or prevent infections that are proven or strongly suspected to be caused by bacteria. ( 1.2 )

Dosage and Administration

There are two oritavancin products (ORBACTIV and KIMYRSA™, another oritavancin product) that have differences in dose strength, duration of infusion and preparation instructions, including reconstitution and dilution instructions and compatible diluents ( 2.1 , 2.2 , 2.3 , 2.4 ) Administer 1,200 mg of ORBACTIV as a single dose by intravenous infusion over 3 hours. ( 2.1 , 5.3 ) Carefully follow the recommended dosage and dose preparation instructions for ORBACTIV in the full prescribing information. ( 2.1 , 2.2 , 2.3 )

Contraindications

Use of intravenous unfractionated heparin sodium is contraindicated for 120 hours (5 days) after ORBACTIV administration. ( 4.1 , 5.1 ) Known hypersensitivity to oritavancin products. ( 4.2 , 5.2 )

Adverse Reactions

The following adverse reactions are also discussed in the Warnings and Precautions section of labeling: Hypersensitivity Reactions [see Warnings and Precautions (5.2) ] Infusion Related Reactions [see Warnings and Precautions (5.3) ] Clostridioides difficile -associated Diarrhea [see Warnings and Precautions (5.4) ] Osteomyelitis [see Warnings and Precautions (5.6) ]

How Supplied

ORBACTIV is supplied as a sterile white to off-white lyophilized powder in single-dose clear glass vials containing 400 mg of oritavancin (NDC 70842-140-01), packaged in a carton of 3 vials (NDC 70842-140-03). ORBACTIV vials should be stored at 20°C to 25°C (68°F to 77°F); excursions permitted to 15°C to 30°C (59°F to 86°F) [see USP, Controlled Room Temperature (CRT)].

Description

ORBACTIV is a lipoglycopeptide antibacterial drug indicated for the treatment of adult patients with acute bacterial skin and skin structure infections caused or suspected to be caused by susceptible isolates of designated Gram-positive microorganisms. ( 1.1 ) To reduce the development of drug-resistant bacteria and maintain the effectiveness of ORBACTIV and other antibacterial drugs, ORBACTIV should be used only to treat or prevent infections that are proven or strongly suspected to be caused by bacteria. ( 1.2 )

Section 42229-5

Reconstitution: Aseptic technique should be used to reconstitute three ORBACTIV 400 mg vials.

  • Add 40 mL of sterile water for injection (WFI) to reconstitute each vial to provide a 10 mg/mL solution per vial.
  • For each vial, gently swirl the contents to avoid foaming and ensure that all ORBACTIV powder is completely dissolved to form a reconstituted solution.
  • Parenteral drug products should be inspected visually for particulate matter and discoloration prior to administration, whenever solution and container permit. Each reconstituted vial should appear to be a clear, colorless to pale yellow solution, free of visible particles.
1.2 Usage

To reduce the development of drug-resistant bacteria and maintain the effectiveness of ORBACTIV and other antibacterial drugs, ORBACTIV should be used only to treat or prevent infections that are proven or strongly suspected to be caused by susceptible bacteria. When culture and susceptibility information are available, they should be considered in selecting or modifying antibacterial therapy. In the absence of such data, local epidemiology and susceptibility patterns may contribute to the empiric selection of therapy.

10 Overdosage

In the ORBACTIV clinical program there was no incidence of accidental overdose of ORBACTIV.

Based on an in vitro hemodialysis study, ORBACTIV is unlikely to be removed from blood by hemodialysis. In the event of overdose, supportive measures should be taken.

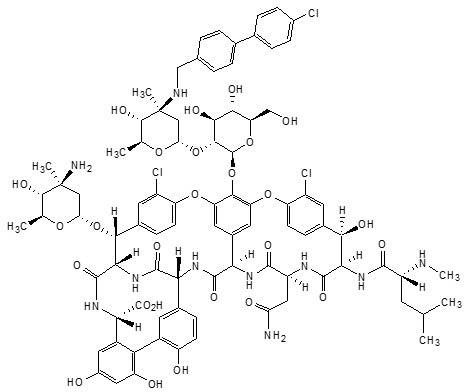
11 Description

ORBACTIV (oritavancin) for injection contains oritavancin diphosphate, a semisynthetic lipoglycopeptide antibacterial drug for intravenous infusion.

The chemical name for oritavancin is [4"R]-22-O-(3-amino-2,3,6-trideoxy-3-C-methyl-α-L-arabino-hexopyranosyl)-N3''-[(4'-chloro[1,1'-biphenyl]-4-yl)methyl] vancomycin phosphate [1:2] [salt]. The empirical formula of oritavancin diphosphate is C86H97N10O26Cl3∙2H3PO4 and the molecular weight is 1989.09. The chemical structure is represented below:

∙2H3PO4

ORBACTIV for injection is supplied as a sterile white to off-white lyophilized powder in a single-dose clear glass vial that contains 400 mg of oritavancin (equivalent to 444 mg oritavancin diphosphate) and the following inactive ingredients: mannitol (200 mg) and phosphoric acid (to adjust pH 3.1 to 4.3).

Each vial is reconstituted with sterile water for injection and further diluted with 5% dextrose injection (D5W) for intravenous infusion. Both the reconstituted solution and the diluted solution for infusion should be a clear, colorless to pale yellow solution, free of visible particles [see Dosage and Administration (2.3)].

12.4 Microbiology

ORBACTIV is a semi-synthetic, lipoglycopeptide antibacterial drug. ORBACTIV exerts a concentration-dependent bactericidal activity in vitro against S. aureus, S. pyogenes, and E. faecalis.

2.4 Compatibility

ORBACTIV solution for administration by 3-hour infusion is ONLY compatible with:

  • 5% dextrose injection (D5W)
5.6 Osteomyelitis

In Phase 3 ABSSSI clinical trials, more cases of osteomyelitis were reported in the ORBACTIV treated arm than in the vancomycin-treated arm. Monitor patients for signs and symptoms of osteomyelitis. If osteomyelitis is suspected or diagnosed, institute appropriate alternate antibacterial therapy [see Adverse Reactions (6.1)].

8.4 Pediatric Use

Safety and effectiveness of ORBACTIV in pediatric patients (younger than 18 years of age) have not been established.

8.5 Geriatric Use

The pooled Phase 3 ABSSSI clinical trials of ORBACTIV did not include sufficient numbers of subjects aged 65 and older to determine whether they respond differently from younger subjects. Other reported clinical experience has not identified differences in responses between the elderly and younger patients, but greater sensitivity of some older individuals cannot be ruled out.

6.2 Immunogenicity

There is potential for immunogenicity following administration of oritavancin products, including ORBACTIV. The detection of antibody formation is highly dependent on the sensitivity and specificity of the assay. Because several factors in an assay may influence the observed incidence of antibody positivity, comparison of the incidence of antibodies to oritavancin in the studies described below with the incidence of antibodies in other studies or to other products may be misleading.

Positive indirect and direct antiglobulin tests (IAT/DAT) were noted with the administration of ORBACTIV and KIMYRSA (hereinafter referred to as another oritavancin product) in studies with healthy subjects and patients with ABSSSI. In a randomized, open-label, multi-center ABSSSI study, positive antiglobulin tests were reported in 9.6% (5/52) of subjects who received ORBACTIV and 2% (1/50) of subjects who received another oritavancin product. Oritavancin-dependent RBC antibodies were detected when tested in the presence of drug for three subjects in the ORBACTIV group.

In a multiple dose study with ORBACTIV in healthy volunteers, 90% (9/10) of subjects had a positive IAT 14 days after the second infusion.

In a healthy volunteer study, 66% (22/32) of subjects receiving another oritavancin product had a positive IAT 15 days after receiving dosing and one subject had a positive DAT at 8 days after dosing.

There were no reports of hemolysis in subjects who had positive IAT/DAT. If hemolytic anemia develops following treatment with ORBACTIV provide appropriate care. Positive IAT may interfere with cross-matching before blood transfusion [see Drug Interactions (7.2)].

4 Contraindications
  • Use of intravenous unfractionated heparin sodium is contraindicated for 120 hours (5 days) after ORBACTIV administration. (4.1, 5.1)
  • Known hypersensitivity to oritavancin products. (4.2, 5.2)
6 Adverse Reactions

The following adverse reactions are also discussed in the Warnings and Precautions section of labeling:

Hypersensitivity Reactions [see Warnings and Precautions (5.2)]

Infusion Related Reactions [see Warnings and Precautions (5.3)]

Clostridioides difficile-associated Diarrhea [see Warnings and Precautions (5.4)]

Osteomyelitis [see Warnings and Precautions (5.6)]

4.2 Hypersensitivity

ORBACTIV is contraindicated in patients with known hypersensitivity to oritavancin products.

5.2 Hypersensitivity

Serious hypersensitivity reactions, including anaphylaxis, have been reported with the use of oritavancin products, including ORBACTIV. If an acute hypersensitivity reaction occurs during ORBACTIV infusion, discontinue ORBACTIV immediately and institute appropriate supportive care. Before using ORBACTIV, inquire carefully about previous hypersensitivity reactions to glycopeptides. Due to the possibility of cross-sensitivity, carefully monitor for signs of hypersensitivity during ORBACTIV infusion in patients with a history of glycopeptide allergy. In the Phase 3 ABSSSI clinical trials, the median onset of hypersensitivity reactions in ORBACTIV-treated patients was 1.2 days and the median duration of these reactions was 2.4 days [see Adverse Reactions (6.1)].

8.6 Renal Impairment

No dosage adjustment of ORBACTIV is needed in patients with mild or moderate renal impairment [see Clinical Pharmacology (12.3)]. The pharmacokinetics of ORBACTIV in severe renal impairment have not been evaluated. ORBACTIV is not removed from blood by hemodialysis.

12.2 Pharmacodynamics

The antimicrobial activity of oritavancin appears to correlate with the ratio of area under the concentration-time curve to minimal inhibitory concentration (AUC/MIC) based on animal models of infection.

Exposure-response analyses from both preclinical and clinical studies support the treatment of clinically relevant Gram-positive microorganisms (e.g. S. aureus and S. pyogenes) causative of ABSSSI with a single 1,200 mg dose of ORBACTIV.

12.3 Pharmacokinetics

The population PK analysis was derived using data from the two Phase 3 ABSSSI clinical trials in 297 patients. The mean (±SD) pharmacokinetic parameters of oritavancin in patients following a single 1,200 mg dose are presented in Table 3.

Table 3: Mean (±SD) PK parameters for patients receiving a single ORBACTIV 1,200 mg dose for ABSSSI (n=297)
Parameter Mean (±SD)

Cmax, Maximum plasma concentration; AUC0-24, Area under the plasma concentration-time curve from time zero to 24 hours, AUC0-∞, Area under the plasma concentration time curve from time zero to infinity; SD, Standard Deviation.

Cmax (µg/mL) 138 (±31.7)
AUC0-24 (µg∙h/mL) 1110 (±378)
AUC0-∞ (µg∙h/mL) 2800 (±801)

Oritavancin exhibits linear pharmacokinetics at a dose up to 1,200 mg. The mean, population-predicted oritavancin concentration-time profile displays a multi-exponential decline with a long terminal plasma half-life.

2.5 Incompatibilities

ORBACTIV is administered intravenously. ORBACTIV should only be diluted in D5W. Do NOT use sodium chloride injection for dilution as it is incompatible with ORBACTIV and may cause precipitation of the drug. Therefore other intravenous substances, additives or other medications mixed in sodium chloride injection should not be added to ORBACTIV single-dose vials or infused simultaneously through the same IV line or through a common intravenous port.

In addition, drugs formulated at a basic or neutral pH may be incompatible with ORBACTIV. ORBACTIV should not be administered simultaneously with commonly used intravenous drugs through a common intravenous port. If the same intravenous line is used for sequential infusion of additional medications, the line should be flushed before and after infusion of ORBACTIV with D5W.

2.2 Recommended Dosage

The recommended dosage of ORBACTIV is 1,200 mg administered as a single dose by intravenous infusion over 3 hours in patients 18 years and older [see Warnings and Precautions (5.3)].

8.7 Hepatic Impairment

No dosage adjustment of ORBACTIV is needed in patients with mild or moderate hepatic impairment. The pharmacokinetics of ORBACTIV in patients with severe hepatic insufficiency has not been studied [see Dosage and Administration (2.2), Clinical Pharmacology (12.3)].

1 Indications and Usage

ORBACTIV is a lipoglycopeptide antibacterial drug indicated for the treatment of adult patients with acute bacterial skin and skin structure infections caused or suspected to be caused by susceptible isolates of designated Gram-positive microorganisms. (1.1)

To reduce the development of drug-resistant bacteria and maintain the effectiveness of ORBACTIV and other antibacterial drugs, ORBACTIV should be used only to treat or prevent infections that are proven or strongly suspected to be caused by bacteria. (1.2)

12.1 Mechanism of Action

Oritavancin is an antibacterial drug [see Microbiology (12.4)].

16.1 How Supplied/storage

ORBACTIV is supplied as a sterile white to off-white lyophilized powder in single-dose clear glass vials containing 400 mg of oritavancin (NDC 70842-140-01), packaged in a carton of 3 vials (NDC 70842-140-03).

ORBACTIV vials should be stored at 20°C to 25°C (68°F to 77°F); excursions permitted to 15°C to 30°C (59°F to 86°F) [see USP, Controlled Room Temperature (CRT)].

5 Warnings and Precautions
  • Coagulation test interference: ORBACTIV has been shown to artificially prolong aPTT for up to 120 hours, and may prolong PT and INR for up to 12 hours and ACT for up to 24 hours. For patients who require aPTT monitoring within 120 hours of ORBACTIV dosing, consider a non-phospholipid dependent coagulation test such as a Factor Xa (chromogenic) assay or an alternative anticoagulant not requiring aPTT. (5.1, 7.2)
  • Serious hypersensitivity reactions, including anaphylaxis, have been reported with the use of oritavancin products, including ORBACTIV. Discontinue infusion if signs of acute hypersensitivity occur. Carefully monitor patients with known hypersensitivity to glycopeptides. (5.2)
  • Infusion Related Reactions: Administer ORBACTIV over 3 hours to minimize infusion. Infusion related reactions have been reported with the glycopeptide class of antimicrobial agents, including oritavancin products (e.g. ORBACTIV). Stopping or slowing the infusion may result in cessation of these reactions. (5.3)
  • Clostridioides difficile-associated diarrhea: Evaluate patients if diarrhea occurs. (5.4)
  • Concomitant warfarin use: ORBACTIV has been shown to artificially prolong PT/INR for up to 12 hours (5.1). Patients should be monitored for bleeding if concomitantly receiving ORBACTIV and warfarin. (5.5)
  • Osteomyelitis: Institute appropriate alternate antibacterial therapy in patients with confirmed or suspected osteomyelitis. (5.6)
2 Dosage and Administration
  • There are two oritavancin products (ORBACTIV and KIMYRSA™, another oritavancin product) that have differences in dose strength, duration of infusion and preparation instructions, including reconstitution and dilution instructions and compatible diluents (2.1, 2.2, 2.3, 2.4)
  • Administer 1,200 mg of ORBACTIV as a single dose by intravenous infusion over 3 hours. (2.1, 5.3)
  • Carefully follow the recommended dosage and dose preparation instructions for ORBACTIV in the full prescribing information. (2.1, 2.2, 2.3)
3 Dosage Forms and Strengths

ORBACTIV is supplied as sterile, white to off-white lyophilized powder containing 400 mg of oritavancin (as oritavancin diphosphate) in a single-dose clear glass vial, which must be reconstituted and further diluted prior to intravenous administration.

5.4 Clostridioides Difficile

Clostridioides difficile-associated diarrhea (CDAD) has been reported for nearly all systemic antibacterial drugs, including ORBACTIV, and may range in severity from mild diarrhea to fatal colitis. Treatment with antibacterial agents alters the normal flora of the colon and may permit overgrowth of C. difficile.

C. difficile produces toxins A and B which contribute to the development of CDAD. Hypertoxin-producing strains of C. difficile cause increased morbidity and mortality, as these infections can be refractory to antibacterial therapy and may require colectomy. CDAD must be considered in all patients who present with diarrhea following antibacterial use. Careful medical history is necessary because CDAD has been reported to occur more than 2 months after the administration of antibacterial agents.

If CDAD is suspected or confirmed, antibacterial use not directed against C. difficile may need to be discontinued. Appropriate fluid and electrolyte management, protein supplementation, antibacterial treatment of C. difficile, and surgical evaluation should be instituted as clinically indicated.

5.3 Infusion Related Reactions

ORBACTIV is administered as a single dose by intravenous infusion, using a total infusion time of 3 hours to minimize the risk of infusion-related reactions. Infusion related reactions have been reported with the glycopeptide class of antimicrobial agents, including oritavancin products (e.g. ORBACTIV), including flushing of the upper body, urticaria, pruritus and/or rash [see Adverse Reactions (6.1)]. Infusion reactions characterized by chest pain, back pain, chills and tremor have been observed with the use of ORBACTIV, including after the administration of more than one dose of ORBACTIV during a single course of therapy.

Stopping or slowing the infusion may result in cessation of these reactions. The safety and effectiveness of more than one dose of ORBACTIV during a single course of therapy have not been established [see Dosage and Administration (2.2)].

6.1 Clinical Trials Experience

Because clinical trials are conducted under widely varying conditions, adverse reaction rates observed in the clinical trials of ORBACTIV cannot be directly compared to rates in the clinical trials of another drug and may not reflect the rates observed in practice.

ORBACTIV has been evaluated in two, double-blind, controlled ABSSSI clinical trials, which included 976 adult patients treated with a single 1,200 mg intravenous dose of ORBACTIV and 983 patients treated with intravenous vancomycin for 7 to 10 days. The median age of patients treated with ORBACTIV was 45.6 years, ranging between 18 and 89 years of age with 8.8% ≥65 years of age. Patients treated with ORBACTIV were predominantly male (65.4%), 64.4% were Caucasian, 5.8% were African American, and 28.1% were Asian. Safety was evaluated for up to 60 days after dosing.

In the pooled ABSSSI clinical trials, serious adverse reactions were reported in 57/976 (5.8%) patients treated with ORBACTIV and 58/983 (5.9%) treated with vancomycin. The most commonly reported serious adverse reaction was cellulitis in both treatment groups: 11/976 (1.1%) in ORBACTIV and 12/983 (1.2%) in the vancomycin arms, respectively.

The most commonly reported adverse reactions (≥3%) in patients receiving a single 1,200 mg dose of ORBACTIV in the pooled ABSSSI clinical trials were: headache, nausea, vomiting, limb and subcutaneous abscesses, and diarrhea.

In the pooled ABSSSI clinical trials, ORBACTIV was discontinued due to adverse reactions in 36/976 (3.7%) of patients; the most common reported reactions leading to discontinuation were cellulitis (4/976, 0.4%) and osteomyelitis (3/976, 0.3%).

Table 1 provides selected adverse reactions occurring in ≥1.5% of patients receiving ORBACTIV in the pooled ABSSSI clinical trials. There were 540 (55.3%) patients in the ORBACTIV arm and 559 (56.9%) patients in the vancomycin arm, who reported ≥1 adverse reaction.

Table 1: Incidence of Selected Adverse Reactions Occurring in ≥1.5% of Patients Receiving ORBACTIV in the Pooled ABSSSI Clinical Trials
Adverse Reactions ORBACTIV

N=976 (%)
Vancomycin

N=983 (%)
Gastrointestinal disorders
Diarrhea 36 (3.7) 32 (3.4)
Nausea 97 (9.9) 103 (10.5)
Vomiting 45 (4.6) 46 (4.7)
Nervous system disorders
Dizziness 26 (2.7) 26 (2.6)
Headache 69 (7.1) 66 (6.7)
General disorders and administration
Infusion site phlebitis 24 (2.5) 15 (1.5)
Infusion site reaction 19 (1.9) 34 (3.5)
Infections and infestations
Abscess (limb and subcutaneous) 37 (3.8) 23 (2.3)
Investigations
Alanine aminotransferase increased 27 (2.8) 15 (1.5)
Aspartate aminotransferase increased 18 (1.8) 15 (1.5)
Cardiac disorders
Tachycardia 24 (2.5) 11 (1.1)

The following selected adverse reactions were reported in ORBACTIV-treated patients at a rate of less than 1.5%:

Blood and lymphatic system disorders: anemia, eosinophilia

General disorders and administration site conditions: infusion site erythema, extravasation, induration, pruritus, rash, edema peripheral

Immune system disorders: hypersensitivity

Infections and infestations: osteomyelitis

Investigations: total bilirubin increased, hyperuricemia

Metabolism and nutrition disorders: hypoglycemia

Musculoskeletal and connective tissue disorders: tenosynovitis, myalgia

Respiratory, thoracic and mediastinal disorders: bronchospasm, wheezing

Skin and subcutaneous tissue disorders: urticaria, angioedema, erythema multiforme, pruritus, leucocytoclastic vasculitis, rash

5.1 Coagulation Test Interference

ORBACTIV has been shown to artificially prolong aPTT for up to 120 hours, PT and INR for up to 12 hours, and activated clotting time (ACT) for up to 24 hours following administration of a single 1,200 mg dose by binding to and preventing action of the phospholipid reagents commonly used in laboratory coagulation tests. ORBACTIV has also been shown to elevate D-dimer concentrations up to 72 hours after ORBACTIV administration.

For patients who require aPTT monitoring within 120 hours of ORBACTIV dosing, a non-phospholipid dependent coagulation test such as a Factor Xa (chromogenic) assay or an alternative anticoagulant not requiring aPTT monitoring may be considered [see Contraindications (4.1) and Drug Interactions (7.2)].

ORBACTIV has no effect on the coagulation system in vivo.

2.1 Dosage and Administration Overview

There are two oritavancin products (ORBACTIV and KIMYRSA™, another oritavancin product) that:

Carefully follow the recommended dosage and dose preparation instructions for ORBACTIV in this prescribing information (PI) [see Dosage and Administration (2.1, 2.2, 2.3, 2.4)]. Refer to the KIMYRSA prescribing information for relevant information of the other oritavancin product.

7.1 Effect of Orbactiv On Cyp Substrates

A screening drug-drug interaction study indicated that ORBACTIV is a nonspecific, weak inhibitor (CYP2C9 and CYP2C19) or inducer (CYP3A4 and CYP2D6) of several CYP isoforms [see Clinical Pharmacology (12.3)]. A drug-drug interaction study that assessed the interaction potential of a single 1,200 mg dose of ORBACTIV on the pharmacokinetics of S-warfarin (CYP2C9 probe substrate) showed no effect of ORBACTIV on S-warfarin Cmax or AUC.

Avoid administering ORBACTIV concomitantly with drugs that are predominantly metabolized by one of the affected CYP450 enzymes, as co-administration may increase or decrease concentrations of those drugs. Patients should be closely monitored for signs of toxicity or lack of efficacy if they have been given ORBACTIV while on a potentially affected compound (e.g. patients should be monitored for bleeding if concomitantly receiving ORBACTIV and warfarin).

5.7 Development of Drug Resistant Bacteria

Prescribing ORBACTIV in the absence of a proven or strongly suspected bacterial infection or a prophylactic indication is unlikely to provide benefit to the patient and increases the risk of the development of drug-resistant bacteria [see Patient Counseling Information (17)].

Principal Display Panel 400 Mg Vial Carton

Rx only

NDC 70842-140-03

Orbactiv®

(oritavancin)

for injection

400 mg per vial

For Intravenous Infusion Only

Single-dose vial

Discard Unused Portion

MEL062-R003

Each vial contains 400 mg of oritavancin

(equivalent to 444 mg oritavancin diphosphate),

200 mg mannitol USP, phosphoric acid for

pH adjustment only.

Recommended Dosage: 1,200 mg administered as

a single dose by intravenous infusion over 3 hours.

Reconstitution: Reconstitute each vial with 40 mL of Sterile Water

for Injection.

Dilution: Reconstituted solution from each vial should be further

diluted in 1000 mL 5% Dextrose Injection ONLY as per instructions

in the prescribing information prior to intravenous infusion.

Do NOT dilute with Sodium Chloride Injection.

Marketed by

Melinta Therapeutics, LLC

Lincolnshire, IL 60069 USA

Contains three 400 mg single-dose vials

4.1 Intravenous Unfractionated Heparin Sodium

Use of intravenous unfractionated heparin sodium is contraindicated for 120 hours (5 days) after ORBACTIV administration because the activated partial thromboplastin time (aPTT) test results may remain falsely elevated for up to 120 hours (5 days) after ORBACTIV administration [see Warnings and Precautions (5.1) and Drug Interactions (7.2)].

2.3 Preparation of Orbactiv for Intravenous Infusion

There are two oritavancin products (ORBACTIV and KIMYRSA, another oritavancin product) that have differences in dose strengths, duration of infusion, reconstitution and dilution instructions, and compatible diluents. Carefully follow the reconstitution, and dilution instructions with the appropriate compatible diluent for ORBACTIV specified in this prescribing information. Refer to the KIMYRSA prescribing information for relevant information of the other oritavancin product.

ORBACTIV is intended for intravenous infusion, only after reconstitution and dilution.

Three ORBACTIV 400 mg vials need to be reconstituted and diluted to prepare a single 1,200 mg intravenous dose.

1.1 Acute Bacterial Skin and Skin Structure Infections

ORBACTIV® (oritavancin) is indicated for the treatment of adult patients with acute bacterial skin and skin structure infections (ABSSSI) caused by susceptible isolates of the following Gram-positive microorganisms:

Staphylococcus aureus (including methicillin-susceptible and methicillin-resistant isolates), Streptococcus pyogenes, Streptococcus agalactiae, Streptococcus dysgalactiae, Streptococcus anginosus group (includes S. anginosus, S. intermedius, and S. constellatus), and Enterococcus faecalis (vancomycin-susceptible isolates only).

13.1 Carcinogenesis, Mutagenesis, Impairment of Fertility

Long term studies in animals have not been conducted to determine the carcinogenic potential of oritavancin.

No mutagenic or clastogenic potential of oritavancin was found in a battery of tests, including an Ames assay, in vitro chromosome aberration assay in Chinese hamster ovary cells, in vitro forward mutation assay in mouse lymphoma cells and an in vivo mouse micronucleus assay.

Oritavancin did not affect the fertility or reproductive performance of male rats (exposed to daily doses up to 30 mg/kg for at least 4 weeks) and female rats (exposed to daily doses up to 30 mg/kg for at least 2 weeks prior to mating). Those daily doses would be equivalent to a human dose of 300 mg, or 25% of clinical dose. Higher doses were not evaluated in nonclinical fertility studies.

5.5 Potential Risk of Bleeding With Concomitant Use of Warfarin

ORBACTIV has been shown to artificially prolong prothrombin time (PT) and international normalized ratio (INR) for up to 12 hours, making the monitoring of the anticoagulation effect of warfarin unreliable up to 12 hours after an ORBACTIV dose [see Warnings and Precautions (5.1)].

Patients should be monitored for bleeding if concomitantly receiving ORBACTIV and warfarin [see Drug Interactions (7.1)].

14.1 Acute Bacterial Skin and Skin Structure Infections (absssi)

A total of 1987 adults with clinically documented ABSSSI suspected or proven to be due to Gram-positive pathogens were randomized into two identically designed, randomized, double-blind, multi-center, multinational, non-inferiority trials (Trial 1 and Trial 2) comparing a single 1,200 mg intravenous dose of ORBACTIV to intravenous vancomycin (1 g or 15 mg/kg every 12 hours) for 7 to 10 days. The primary analysis population (modified intent to treat, mITT) included all randomized patients who received any study drug. Patients could receive concomitant aztreonam or metronidazole for suspected Gram-negative and anaerobic infection, respectively. Patient demographic and baseline characteristics were balanced between treatment groups. Approximately 64% of patients were Caucasian and 65% were males. The mean age was 45 years and the mean body mass index was 27 kg/m2. Across both trials, approximately 60% of patients were enrolled from the United States and 27% of patients from Asia. A history of diabetes was present in 14% of patients. The types of ABSSSI across both trials included cellulitis/erysipelas (40%), wound infection (29%), and major cutaneous abscesses (31%). Median infection area at baseline across both trials was 266.6 cm2. The primary endpoint in both trials was early clinical response (responder), defined as cessation of spread or reduction in size of baseline lesion, absence of fever, and no rescue antibacterial drug at 48 to 72 hours after initiation of therapy.

Table 4 provides the efficacy results for the primary endpoint in Trial 1 and Trial 2 in the primary analysis population.

Table 4: Clinical Response Rates in ABSSSI Trials using Responders
Cessation of spread or reduction in size of baseline lesion, absence of fever (<37.7°C) and no rescue antibacterial drug at 48 to 72 hours.
,
Patients who died at 48 to 72 hours, after initiation of therapy or who had increase in lesion size at 48 to 72 hours, after initiation of therapy or who used non-study antibacterial therapy during first 72 hours or who had an additional, unplanned, surgical procedure or who had missing measurements during the first 72 hours from initiation of study drug were classified as non-responders.
at 48-72 Hours after Initiation of Therapy
ORBACTIV

n /N (%)
Vancomycin

n /N (%)
Difference (95% CI)
95% CI based on the Normal approximation to Binomial distribution.
Trial 1 391/475 (82.3) 378/479 (78.9) 3.4 (-1.6, 8.4)
Trial 2 403/503 (80.1) 416/502 (82.9) -2.7 (-7.5, 2.0)

A key secondary endpoint in these two ABSSSI trials evaluated the percentage of patients achieving a 20% or greater reduction in lesion area from baseline at 48-72 hours after initiation of therapy. Table 5 summarizes the findings for this endpoint in the two ABSSSI trials.

Table 5: Clinical Response Rates
Patients who died at 48 to 72 hours, after initiation of therapy or who had increase in lesion size at 48 to 72 hours, after initiation of therapy or who used non-study antibacterial therapy during first 72 hours or who had an additional, unplanned, surgical procedure or who had missing measurements during the first 72 hours from initiation of study drug were classified as non-responders.
in ABSSSI Trials using Reduction in Lesion Area of 20% or Greater at 48-72 Hours after Initiation of Therapy
ORBACTIV

n /N (%)
Vancomycin

n /N (%)
Difference (95% CI)
95% CI based on the Normal approximation to Binomial distribution.
Trial 1 413/475 (86.9) 397/479 (82.9) 4.1 (-0.5, 8.6)
Trial 2 432/503 (85.9) 428/502 (85.3) 0.6 (-3.7, 5.0)

Another secondary efficacy endpoint in the two trials was investigator-assessed clinical success at post therapy evaluation at Day 14 to 24 (7 to 14 days from end of blinded therapy). A patient was categorized as a clinical success if the patient experienced a complete or nearly complete resolution of baseline signs and symptoms related to primary ABSSSI site (erythema, induration/edema, purulent drainage, fluctuance, pain, tenderness, local increase in heat/warmth) such that no further treatment with antibacterial drugs was needed.

Table 6 summarizes the findings for this endpoint in the mITT and clinically evaluable population in these two ABSSSI trials. Note that there are insufficient historical data to establish the magnitude of drug effect for antibacterial drugs compared with placebo at the post therapy visits. Therefore, comparisons of ORBACTIV to vancomycin based on clinical success rates at these visits cannot be utilized to establish non-inferiority conclusions.

Table 6: Clinical Success Rates
Clinical success was defined if the patient experienced a complete or nearly complete resolution of baseline signs and symptoms as described above.
in ABSSSI Trials at the Follow-Up Visit (7-14 days after end of therapy)
ORBACTIV

n /N (%)
Vancomycin

n /N (%)
Difference (95% CI)
95% CI based on the Normal approximation to Binomial distribution.
Trial 1
mITT
mITT population consisted of all randomized patients who received study drug; CE population consisted of all mITT patients who did not have violations of inclusion and exclusion criteria, completed treatment and had investigator assessment at the Follow-Up Visit.
378/475 (79.6) 383/479 (80.0) -0.4 (-5.5, 4.7)
CE
362/394 (91.9) 370/397 (93.2) -1.3 (-5.0,2.3)
Trial 2
mITT
416/503 (82.7) 404/502 (80.5) 2.2 (-2.6, 7.0)
CE
398/427 (93.2) 387/408 (94.9) -1.6 (-4.9,1.6)

Structured Label Content

Section 42229-5 (42229-5)

Reconstitution: Aseptic technique should be used to reconstitute three ORBACTIV 400 mg vials.

  • Add 40 mL of sterile water for injection (WFI) to reconstitute each vial to provide a 10 mg/mL solution per vial.
  • For each vial, gently swirl the contents to avoid foaming and ensure that all ORBACTIV powder is completely dissolved to form a reconstituted solution.
  • Parenteral drug products should be inspected visually for particulate matter and discoloration prior to administration, whenever solution and container permit. Each reconstituted vial should appear to be a clear, colorless to pale yellow solution, free of visible particles.
1.2 Usage

To reduce the development of drug-resistant bacteria and maintain the effectiveness of ORBACTIV and other antibacterial drugs, ORBACTIV should be used only to treat or prevent infections that are proven or strongly suspected to be caused by susceptible bacteria. When culture and susceptibility information are available, they should be considered in selecting or modifying antibacterial therapy. In the absence of such data, local epidemiology and susceptibility patterns may contribute to the empiric selection of therapy.

10 Overdosage (10 OVERDOSAGE)

In the ORBACTIV clinical program there was no incidence of accidental overdose of ORBACTIV.

Based on an in vitro hemodialysis study, ORBACTIV is unlikely to be removed from blood by hemodialysis. In the event of overdose, supportive measures should be taken.

11 Description (11 DESCRIPTION)

ORBACTIV (oritavancin) for injection contains oritavancin diphosphate, a semisynthetic lipoglycopeptide antibacterial drug for intravenous infusion.

The chemical name for oritavancin is [4"R]-22-O-(3-amino-2,3,6-trideoxy-3-C-methyl-α-L-arabino-hexopyranosyl)-N3''-[(4'-chloro[1,1'-biphenyl]-4-yl)methyl] vancomycin phosphate [1:2] [salt]. The empirical formula of oritavancin diphosphate is C86H97N10O26Cl3∙2H3PO4 and the molecular weight is 1989.09. The chemical structure is represented below:

∙2H3PO4

ORBACTIV for injection is supplied as a sterile white to off-white lyophilized powder in a single-dose clear glass vial that contains 400 mg of oritavancin (equivalent to 444 mg oritavancin diphosphate) and the following inactive ingredients: mannitol (200 mg) and phosphoric acid (to adjust pH 3.1 to 4.3).

Each vial is reconstituted with sterile water for injection and further diluted with 5% dextrose injection (D5W) for intravenous infusion. Both the reconstituted solution and the diluted solution for infusion should be a clear, colorless to pale yellow solution, free of visible particles [see Dosage and Administration (2.3)].

12.4 Microbiology

ORBACTIV is a semi-synthetic, lipoglycopeptide antibacterial drug. ORBACTIV exerts a concentration-dependent bactericidal activity in vitro against S. aureus, S. pyogenes, and E. faecalis.

2.4 Compatibility

ORBACTIV solution for administration by 3-hour infusion is ONLY compatible with:

  • 5% dextrose injection (D5W)
5.6 Osteomyelitis

In Phase 3 ABSSSI clinical trials, more cases of osteomyelitis were reported in the ORBACTIV treated arm than in the vancomycin-treated arm. Monitor patients for signs and symptoms of osteomyelitis. If osteomyelitis is suspected or diagnosed, institute appropriate alternate antibacterial therapy [see Adverse Reactions (6.1)].

8.4 Pediatric Use

Safety and effectiveness of ORBACTIV in pediatric patients (younger than 18 years of age) have not been established.

8.5 Geriatric Use

The pooled Phase 3 ABSSSI clinical trials of ORBACTIV did not include sufficient numbers of subjects aged 65 and older to determine whether they respond differently from younger subjects. Other reported clinical experience has not identified differences in responses between the elderly and younger patients, but greater sensitivity of some older individuals cannot be ruled out.

6.2 Immunogenicity

There is potential for immunogenicity following administration of oritavancin products, including ORBACTIV. The detection of antibody formation is highly dependent on the sensitivity and specificity of the assay. Because several factors in an assay may influence the observed incidence of antibody positivity, comparison of the incidence of antibodies to oritavancin in the studies described below with the incidence of antibodies in other studies or to other products may be misleading.

Positive indirect and direct antiglobulin tests (IAT/DAT) were noted with the administration of ORBACTIV and KIMYRSA (hereinafter referred to as another oritavancin product) in studies with healthy subjects and patients with ABSSSI. In a randomized, open-label, multi-center ABSSSI study, positive antiglobulin tests were reported in 9.6% (5/52) of subjects who received ORBACTIV and 2% (1/50) of subjects who received another oritavancin product. Oritavancin-dependent RBC antibodies were detected when tested in the presence of drug for three subjects in the ORBACTIV group.

In a multiple dose study with ORBACTIV in healthy volunteers, 90% (9/10) of subjects had a positive IAT 14 days after the second infusion.

In a healthy volunteer study, 66% (22/32) of subjects receiving another oritavancin product had a positive IAT 15 days after receiving dosing and one subject had a positive DAT at 8 days after dosing.

There were no reports of hemolysis in subjects who had positive IAT/DAT. If hemolytic anemia develops following treatment with ORBACTIV provide appropriate care. Positive IAT may interfere with cross-matching before blood transfusion [see Drug Interactions (7.2)].

4 Contraindications (4 CONTRAINDICATIONS)
  • Use of intravenous unfractionated heparin sodium is contraindicated for 120 hours (5 days) after ORBACTIV administration. (4.1, 5.1)
  • Known hypersensitivity to oritavancin products. (4.2, 5.2)
6 Adverse Reactions (6 ADVERSE REACTIONS)

The following adverse reactions are also discussed in the Warnings and Precautions section of labeling:

Hypersensitivity Reactions [see Warnings and Precautions (5.2)]

Infusion Related Reactions [see Warnings and Precautions (5.3)]

Clostridioides difficile-associated Diarrhea [see Warnings and Precautions (5.4)]

Osteomyelitis [see Warnings and Precautions (5.6)]

4.2 Hypersensitivity

ORBACTIV is contraindicated in patients with known hypersensitivity to oritavancin products.

5.2 Hypersensitivity

Serious hypersensitivity reactions, including anaphylaxis, have been reported with the use of oritavancin products, including ORBACTIV. If an acute hypersensitivity reaction occurs during ORBACTIV infusion, discontinue ORBACTIV immediately and institute appropriate supportive care. Before using ORBACTIV, inquire carefully about previous hypersensitivity reactions to glycopeptides. Due to the possibility of cross-sensitivity, carefully monitor for signs of hypersensitivity during ORBACTIV infusion in patients with a history of glycopeptide allergy. In the Phase 3 ABSSSI clinical trials, the median onset of hypersensitivity reactions in ORBACTIV-treated patients was 1.2 days and the median duration of these reactions was 2.4 days [see Adverse Reactions (6.1)].

8.6 Renal Impairment

No dosage adjustment of ORBACTIV is needed in patients with mild or moderate renal impairment [see Clinical Pharmacology (12.3)]. The pharmacokinetics of ORBACTIV in severe renal impairment have not been evaluated. ORBACTIV is not removed from blood by hemodialysis.

12.2 Pharmacodynamics

The antimicrobial activity of oritavancin appears to correlate with the ratio of area under the concentration-time curve to minimal inhibitory concentration (AUC/MIC) based on animal models of infection.

Exposure-response analyses from both preclinical and clinical studies support the treatment of clinically relevant Gram-positive microorganisms (e.g. S. aureus and S. pyogenes) causative of ABSSSI with a single 1,200 mg dose of ORBACTIV.

12.3 Pharmacokinetics

The population PK analysis was derived using data from the two Phase 3 ABSSSI clinical trials in 297 patients. The mean (±SD) pharmacokinetic parameters of oritavancin in patients following a single 1,200 mg dose are presented in Table 3.

Table 3: Mean (±SD) PK parameters for patients receiving a single ORBACTIV 1,200 mg dose for ABSSSI (n=297)
Parameter Mean (±SD)

Cmax, Maximum plasma concentration; AUC0-24, Area under the plasma concentration-time curve from time zero to 24 hours, AUC0-∞, Area under the plasma concentration time curve from time zero to infinity; SD, Standard Deviation.

Cmax (µg/mL) 138 (±31.7)
AUC0-24 (µg∙h/mL) 1110 (±378)
AUC0-∞ (µg∙h/mL) 2800 (±801)

Oritavancin exhibits linear pharmacokinetics at a dose up to 1,200 mg. The mean, population-predicted oritavancin concentration-time profile displays a multi-exponential decline with a long terminal plasma half-life.

2.5 Incompatibilities

ORBACTIV is administered intravenously. ORBACTIV should only be diluted in D5W. Do NOT use sodium chloride injection for dilution as it is incompatible with ORBACTIV and may cause precipitation of the drug. Therefore other intravenous substances, additives or other medications mixed in sodium chloride injection should not be added to ORBACTIV single-dose vials or infused simultaneously through the same IV line or through a common intravenous port.

In addition, drugs formulated at a basic or neutral pH may be incompatible with ORBACTIV. ORBACTIV should not be administered simultaneously with commonly used intravenous drugs through a common intravenous port. If the same intravenous line is used for sequential infusion of additional medications, the line should be flushed before and after infusion of ORBACTIV with D5W.

2.2 Recommended Dosage

The recommended dosage of ORBACTIV is 1,200 mg administered as a single dose by intravenous infusion over 3 hours in patients 18 years and older [see Warnings and Precautions (5.3)].

8.7 Hepatic Impairment

No dosage adjustment of ORBACTIV is needed in patients with mild or moderate hepatic impairment. The pharmacokinetics of ORBACTIV in patients with severe hepatic insufficiency has not been studied [see Dosage and Administration (2.2), Clinical Pharmacology (12.3)].

1 Indications and Usage (1 INDICATIONS AND USAGE)

ORBACTIV is a lipoglycopeptide antibacterial drug indicated for the treatment of adult patients with acute bacterial skin and skin structure infections caused or suspected to be caused by susceptible isolates of designated Gram-positive microorganisms. (1.1)

To reduce the development of drug-resistant bacteria and maintain the effectiveness of ORBACTIV and other antibacterial drugs, ORBACTIV should be used only to treat or prevent infections that are proven or strongly suspected to be caused by bacteria. (1.2)

12.1 Mechanism of Action

Oritavancin is an antibacterial drug [see Microbiology (12.4)].

16.1 How Supplied/storage (16.1 How Supplied/Storage)

ORBACTIV is supplied as a sterile white to off-white lyophilized powder in single-dose clear glass vials containing 400 mg of oritavancin (NDC 70842-140-01), packaged in a carton of 3 vials (NDC 70842-140-03).

ORBACTIV vials should be stored at 20°C to 25°C (68°F to 77°F); excursions permitted to 15°C to 30°C (59°F to 86°F) [see USP, Controlled Room Temperature (CRT)].

5 Warnings and Precautions (5 WARNINGS AND PRECAUTIONS)
  • Coagulation test interference: ORBACTIV has been shown to artificially prolong aPTT for up to 120 hours, and may prolong PT and INR for up to 12 hours and ACT for up to 24 hours. For patients who require aPTT monitoring within 120 hours of ORBACTIV dosing, consider a non-phospholipid dependent coagulation test such as a Factor Xa (chromogenic) assay or an alternative anticoagulant not requiring aPTT. (5.1, 7.2)
  • Serious hypersensitivity reactions, including anaphylaxis, have been reported with the use of oritavancin products, including ORBACTIV. Discontinue infusion if signs of acute hypersensitivity occur. Carefully monitor patients with known hypersensitivity to glycopeptides. (5.2)
  • Infusion Related Reactions: Administer ORBACTIV over 3 hours to minimize infusion. Infusion related reactions have been reported with the glycopeptide class of antimicrobial agents, including oritavancin products (e.g. ORBACTIV). Stopping or slowing the infusion may result in cessation of these reactions. (5.3)
  • Clostridioides difficile-associated diarrhea: Evaluate patients if diarrhea occurs. (5.4)
  • Concomitant warfarin use: ORBACTIV has been shown to artificially prolong PT/INR for up to 12 hours (5.1). Patients should be monitored for bleeding if concomitantly receiving ORBACTIV and warfarin. (5.5)
  • Osteomyelitis: Institute appropriate alternate antibacterial therapy in patients with confirmed or suspected osteomyelitis. (5.6)
2 Dosage and Administration (2 DOSAGE AND ADMINISTRATION)
  • There are two oritavancin products (ORBACTIV and KIMYRSA™, another oritavancin product) that have differences in dose strength, duration of infusion and preparation instructions, including reconstitution and dilution instructions and compatible diluents (2.1, 2.2, 2.3, 2.4)
  • Administer 1,200 mg of ORBACTIV as a single dose by intravenous infusion over 3 hours. (2.1, 5.3)
  • Carefully follow the recommended dosage and dose preparation instructions for ORBACTIV in the full prescribing information. (2.1, 2.2, 2.3)
3 Dosage Forms and Strengths (3 DOSAGE FORMS AND STRENGTHS)

ORBACTIV is supplied as sterile, white to off-white lyophilized powder containing 400 mg of oritavancin (as oritavancin diphosphate) in a single-dose clear glass vial, which must be reconstituted and further diluted prior to intravenous administration.

5.4 Clostridioides Difficile (5.4 Clostridioides difficile)

Clostridioides difficile-associated diarrhea (CDAD) has been reported for nearly all systemic antibacterial drugs, including ORBACTIV, and may range in severity from mild diarrhea to fatal colitis. Treatment with antibacterial agents alters the normal flora of the colon and may permit overgrowth of C. difficile.

C. difficile produces toxins A and B which contribute to the development of CDAD. Hypertoxin-producing strains of C. difficile cause increased morbidity and mortality, as these infections can be refractory to antibacterial therapy and may require colectomy. CDAD must be considered in all patients who present with diarrhea following antibacterial use. Careful medical history is necessary because CDAD has been reported to occur more than 2 months after the administration of antibacterial agents.

If CDAD is suspected or confirmed, antibacterial use not directed against C. difficile may need to be discontinued. Appropriate fluid and electrolyte management, protein supplementation, antibacterial treatment of C. difficile, and surgical evaluation should be instituted as clinically indicated.

5.3 Infusion Related Reactions

ORBACTIV is administered as a single dose by intravenous infusion, using a total infusion time of 3 hours to minimize the risk of infusion-related reactions. Infusion related reactions have been reported with the glycopeptide class of antimicrobial agents, including oritavancin products (e.g. ORBACTIV), including flushing of the upper body, urticaria, pruritus and/or rash [see Adverse Reactions (6.1)]. Infusion reactions characterized by chest pain, back pain, chills and tremor have been observed with the use of ORBACTIV, including after the administration of more than one dose of ORBACTIV during a single course of therapy.

Stopping or slowing the infusion may result in cessation of these reactions. The safety and effectiveness of more than one dose of ORBACTIV during a single course of therapy have not been established [see Dosage and Administration (2.2)].

6.1 Clinical Trials Experience

Because clinical trials are conducted under widely varying conditions, adverse reaction rates observed in the clinical trials of ORBACTIV cannot be directly compared to rates in the clinical trials of another drug and may not reflect the rates observed in practice.

ORBACTIV has been evaluated in two, double-blind, controlled ABSSSI clinical trials, which included 976 adult patients treated with a single 1,200 mg intravenous dose of ORBACTIV and 983 patients treated with intravenous vancomycin for 7 to 10 days. The median age of patients treated with ORBACTIV was 45.6 years, ranging between 18 and 89 years of age with 8.8% ≥65 years of age. Patients treated with ORBACTIV were predominantly male (65.4%), 64.4% were Caucasian, 5.8% were African American, and 28.1% were Asian. Safety was evaluated for up to 60 days after dosing.

In the pooled ABSSSI clinical trials, serious adverse reactions were reported in 57/976 (5.8%) patients treated with ORBACTIV and 58/983 (5.9%) treated with vancomycin. The most commonly reported serious adverse reaction was cellulitis in both treatment groups: 11/976 (1.1%) in ORBACTIV and 12/983 (1.2%) in the vancomycin arms, respectively.

The most commonly reported adverse reactions (≥3%) in patients receiving a single 1,200 mg dose of ORBACTIV in the pooled ABSSSI clinical trials were: headache, nausea, vomiting, limb and subcutaneous abscesses, and diarrhea.

In the pooled ABSSSI clinical trials, ORBACTIV was discontinued due to adverse reactions in 36/976 (3.7%) of patients; the most common reported reactions leading to discontinuation were cellulitis (4/976, 0.4%) and osteomyelitis (3/976, 0.3%).

Table 1 provides selected adverse reactions occurring in ≥1.5% of patients receiving ORBACTIV in the pooled ABSSSI clinical trials. There were 540 (55.3%) patients in the ORBACTIV arm and 559 (56.9%) patients in the vancomycin arm, who reported ≥1 adverse reaction.

Table 1: Incidence of Selected Adverse Reactions Occurring in ≥1.5% of Patients Receiving ORBACTIV in the Pooled ABSSSI Clinical Trials
Adverse Reactions ORBACTIV

N=976 (%)
Vancomycin

N=983 (%)
Gastrointestinal disorders
Diarrhea 36 (3.7) 32 (3.4)
Nausea 97 (9.9) 103 (10.5)
Vomiting 45 (4.6) 46 (4.7)
Nervous system disorders
Dizziness 26 (2.7) 26 (2.6)
Headache 69 (7.1) 66 (6.7)
General disorders and administration
Infusion site phlebitis 24 (2.5) 15 (1.5)
Infusion site reaction 19 (1.9) 34 (3.5)
Infections and infestations
Abscess (limb and subcutaneous) 37 (3.8) 23 (2.3)
Investigations
Alanine aminotransferase increased 27 (2.8) 15 (1.5)
Aspartate aminotransferase increased 18 (1.8) 15 (1.5)
Cardiac disorders
Tachycardia 24 (2.5) 11 (1.1)

The following selected adverse reactions were reported in ORBACTIV-treated patients at a rate of less than 1.5%:

Blood and lymphatic system disorders: anemia, eosinophilia

General disorders and administration site conditions: infusion site erythema, extravasation, induration, pruritus, rash, edema peripheral

Immune system disorders: hypersensitivity

Infections and infestations: osteomyelitis

Investigations: total bilirubin increased, hyperuricemia

Metabolism and nutrition disorders: hypoglycemia

Musculoskeletal and connective tissue disorders: tenosynovitis, myalgia

Respiratory, thoracic and mediastinal disorders: bronchospasm, wheezing

Skin and subcutaneous tissue disorders: urticaria, angioedema, erythema multiforme, pruritus, leucocytoclastic vasculitis, rash

5.1 Coagulation Test Interference

ORBACTIV has been shown to artificially prolong aPTT for up to 120 hours, PT and INR for up to 12 hours, and activated clotting time (ACT) for up to 24 hours following administration of a single 1,200 mg dose by binding to and preventing action of the phospholipid reagents commonly used in laboratory coagulation tests. ORBACTIV has also been shown to elevate D-dimer concentrations up to 72 hours after ORBACTIV administration.

For patients who require aPTT monitoring within 120 hours of ORBACTIV dosing, a non-phospholipid dependent coagulation test such as a Factor Xa (chromogenic) assay or an alternative anticoagulant not requiring aPTT monitoring may be considered [see Contraindications (4.1) and Drug Interactions (7.2)].

ORBACTIV has no effect on the coagulation system in vivo.

2.1 Dosage and Administration Overview

There are two oritavancin products (ORBACTIV and KIMYRSA™, another oritavancin product) that:

Carefully follow the recommended dosage and dose preparation instructions for ORBACTIV in this prescribing information (PI) [see Dosage and Administration (2.1, 2.2, 2.3, 2.4)]. Refer to the KIMYRSA prescribing information for relevant information of the other oritavancin product.

7.1 Effect of Orbactiv On Cyp Substrates (7.1 Effect of ORBACTIV on CYP Substrates)

A screening drug-drug interaction study indicated that ORBACTIV is a nonspecific, weak inhibitor (CYP2C9 and CYP2C19) or inducer (CYP3A4 and CYP2D6) of several CYP isoforms [see Clinical Pharmacology (12.3)]. A drug-drug interaction study that assessed the interaction potential of a single 1,200 mg dose of ORBACTIV on the pharmacokinetics of S-warfarin (CYP2C9 probe substrate) showed no effect of ORBACTIV on S-warfarin Cmax or AUC.

Avoid administering ORBACTIV concomitantly with drugs that are predominantly metabolized by one of the affected CYP450 enzymes, as co-administration may increase or decrease concentrations of those drugs. Patients should be closely monitored for signs of toxicity or lack of efficacy if they have been given ORBACTIV while on a potentially affected compound (e.g. patients should be monitored for bleeding if concomitantly receiving ORBACTIV and warfarin).

5.7 Development of Drug Resistant Bacteria

Prescribing ORBACTIV in the absence of a proven or strongly suspected bacterial infection or a prophylactic indication is unlikely to provide benefit to the patient and increases the risk of the development of drug-resistant bacteria [see Patient Counseling Information (17)].

Principal Display Panel 400 Mg Vial Carton (PRINCIPAL DISPLAY PANEL - 400 mg Vial Carton)

Rx only

NDC 70842-140-03

Orbactiv®

(oritavancin)

for injection

400 mg per vial

For Intravenous Infusion Only

Single-dose vial

Discard Unused Portion

MEL062-R003

Each vial contains 400 mg of oritavancin

(equivalent to 444 mg oritavancin diphosphate),

200 mg mannitol USP, phosphoric acid for

pH adjustment only.

Recommended Dosage: 1,200 mg administered as

a single dose by intravenous infusion over 3 hours.

Reconstitution: Reconstitute each vial with 40 mL of Sterile Water

for Injection.

Dilution: Reconstituted solution from each vial should be further

diluted in 1000 mL 5% Dextrose Injection ONLY as per instructions

in the prescribing information prior to intravenous infusion.

Do NOT dilute with Sodium Chloride Injection.

Marketed by

Melinta Therapeutics, LLC

Lincolnshire, IL 60069 USA

Contains three 400 mg single-dose vials

4.1 Intravenous Unfractionated Heparin Sodium

Use of intravenous unfractionated heparin sodium is contraindicated for 120 hours (5 days) after ORBACTIV administration because the activated partial thromboplastin time (aPTT) test results may remain falsely elevated for up to 120 hours (5 days) after ORBACTIV administration [see Warnings and Precautions (5.1) and Drug Interactions (7.2)].

2.3 Preparation of Orbactiv for Intravenous Infusion (2.3 Preparation of ORBACTIV for Intravenous Infusion)

There are two oritavancin products (ORBACTIV and KIMYRSA, another oritavancin product) that have differences in dose strengths, duration of infusion, reconstitution and dilution instructions, and compatible diluents. Carefully follow the reconstitution, and dilution instructions with the appropriate compatible diluent for ORBACTIV specified in this prescribing information. Refer to the KIMYRSA prescribing information for relevant information of the other oritavancin product.

ORBACTIV is intended for intravenous infusion, only after reconstitution and dilution.

Three ORBACTIV 400 mg vials need to be reconstituted and diluted to prepare a single 1,200 mg intravenous dose.

1.1 Acute Bacterial Skin and Skin Structure Infections

ORBACTIV® (oritavancin) is indicated for the treatment of adult patients with acute bacterial skin and skin structure infections (ABSSSI) caused by susceptible isolates of the following Gram-positive microorganisms:

Staphylococcus aureus (including methicillin-susceptible and methicillin-resistant isolates), Streptococcus pyogenes, Streptococcus agalactiae, Streptococcus dysgalactiae, Streptococcus anginosus group (includes S. anginosus, S. intermedius, and S. constellatus), and Enterococcus faecalis (vancomycin-susceptible isolates only).

13.1 Carcinogenesis, Mutagenesis, Impairment of Fertility

Long term studies in animals have not been conducted to determine the carcinogenic potential of oritavancin.

No mutagenic or clastogenic potential of oritavancin was found in a battery of tests, including an Ames assay, in vitro chromosome aberration assay in Chinese hamster ovary cells, in vitro forward mutation assay in mouse lymphoma cells and an in vivo mouse micronucleus assay.

Oritavancin did not affect the fertility or reproductive performance of male rats (exposed to daily doses up to 30 mg/kg for at least 4 weeks) and female rats (exposed to daily doses up to 30 mg/kg for at least 2 weeks prior to mating). Those daily doses would be equivalent to a human dose of 300 mg, or 25% of clinical dose. Higher doses were not evaluated in nonclinical fertility studies.

5.5 Potential Risk of Bleeding With Concomitant Use of Warfarin (5.5 Potential Risk of Bleeding with Concomitant Use of Warfarin)

ORBACTIV has been shown to artificially prolong prothrombin time (PT) and international normalized ratio (INR) for up to 12 hours, making the monitoring of the anticoagulation effect of warfarin unreliable up to 12 hours after an ORBACTIV dose [see Warnings and Precautions (5.1)].

Patients should be monitored for bleeding if concomitantly receiving ORBACTIV and warfarin [see Drug Interactions (7.1)].

14.1 Acute Bacterial Skin and Skin Structure Infections (absssi) (14.1 Acute Bacterial Skin and Skin Structure Infections (ABSSSI))

A total of 1987 adults with clinically documented ABSSSI suspected or proven to be due to Gram-positive pathogens were randomized into two identically designed, randomized, double-blind, multi-center, multinational, non-inferiority trials (Trial 1 and Trial 2) comparing a single 1,200 mg intravenous dose of ORBACTIV to intravenous vancomycin (1 g or 15 mg/kg every 12 hours) for 7 to 10 days. The primary analysis population (modified intent to treat, mITT) included all randomized patients who received any study drug. Patients could receive concomitant aztreonam or metronidazole for suspected Gram-negative and anaerobic infection, respectively. Patient demographic and baseline characteristics were balanced between treatment groups. Approximately 64% of patients were Caucasian and 65% were males. The mean age was 45 years and the mean body mass index was 27 kg/m2. Across both trials, approximately 60% of patients were enrolled from the United States and 27% of patients from Asia. A history of diabetes was present in 14% of patients. The types of ABSSSI across both trials included cellulitis/erysipelas (40%), wound infection (29%), and major cutaneous abscesses (31%). Median infection area at baseline across both trials was 266.6 cm2. The primary endpoint in both trials was early clinical response (responder), defined as cessation of spread or reduction in size of baseline lesion, absence of fever, and no rescue antibacterial drug at 48 to 72 hours after initiation of therapy.

Table 4 provides the efficacy results for the primary endpoint in Trial 1 and Trial 2 in the primary analysis population.

Table 4: Clinical Response Rates in ABSSSI Trials using Responders
Cessation of spread or reduction in size of baseline lesion, absence of fever (<37.7°C) and no rescue antibacterial drug at 48 to 72 hours.
,
Patients who died at 48 to 72 hours, after initiation of therapy or who had increase in lesion size at 48 to 72 hours, after initiation of therapy or who used non-study antibacterial therapy during first 72 hours or who had an additional, unplanned, surgical procedure or who had missing measurements during the first 72 hours from initiation of study drug were classified as non-responders.
at 48-72 Hours after Initiation of Therapy
ORBACTIV

n /N (%)
Vancomycin

n /N (%)
Difference (95% CI)
95% CI based on the Normal approximation to Binomial distribution.
Trial 1 391/475 (82.3) 378/479 (78.9) 3.4 (-1.6, 8.4)
Trial 2 403/503 (80.1) 416/502 (82.9) -2.7 (-7.5, 2.0)

A key secondary endpoint in these two ABSSSI trials evaluated the percentage of patients achieving a 20% or greater reduction in lesion area from baseline at 48-72 hours after initiation of therapy. Table 5 summarizes the findings for this endpoint in the two ABSSSI trials.

Table 5: Clinical Response Rates
Patients who died at 48 to 72 hours, after initiation of therapy or who had increase in lesion size at 48 to 72 hours, after initiation of therapy or who used non-study antibacterial therapy during first 72 hours or who had an additional, unplanned, surgical procedure or who had missing measurements during the first 72 hours from initiation of study drug were classified as non-responders.
in ABSSSI Trials using Reduction in Lesion Area of 20% or Greater at 48-72 Hours after Initiation of Therapy
ORBACTIV

n /N (%)
Vancomycin

n /N (%)
Difference (95% CI)
95% CI based on the Normal approximation to Binomial distribution.
Trial 1 413/475 (86.9) 397/479 (82.9) 4.1 (-0.5, 8.6)
Trial 2 432/503 (85.9) 428/502 (85.3) 0.6 (-3.7, 5.0)

Another secondary efficacy endpoint in the two trials was investigator-assessed clinical success at post therapy evaluation at Day 14 to 24 (7 to 14 days from end of blinded therapy). A patient was categorized as a clinical success if the patient experienced a complete or nearly complete resolution of baseline signs and symptoms related to primary ABSSSI site (erythema, induration/edema, purulent drainage, fluctuance, pain, tenderness, local increase in heat/warmth) such that no further treatment with antibacterial drugs was needed.

Table 6 summarizes the findings for this endpoint in the mITT and clinically evaluable population in these two ABSSSI trials. Note that there are insufficient historical data to establish the magnitude of drug effect for antibacterial drugs compared with placebo at the post therapy visits. Therefore, comparisons of ORBACTIV to vancomycin based on clinical success rates at these visits cannot be utilized to establish non-inferiority conclusions.

Table 6: Clinical Success Rates
Clinical success was defined if the patient experienced a complete or nearly complete resolution of baseline signs and symptoms as described above.
in ABSSSI Trials at the Follow-Up Visit (7-14 days after end of therapy)
ORBACTIV

n /N (%)
Vancomycin

n /N (%)
Difference (95% CI)
95% CI based on the Normal approximation to Binomial distribution.
Trial 1
mITT
mITT population consisted of all randomized patients who received study drug; CE population consisted of all mITT patients who did not have violations of inclusion and exclusion criteria, completed treatment and had investigator assessment at the Follow-Up Visit.
378/475 (79.6) 383/479 (80.0) -0.4 (-5.5, 4.7)
CE
362/394 (91.9) 370/397 (93.2) -1.3 (-5.0,2.3)
Trial 2
mITT
416/503 (82.7) 404/502 (80.5) 2.2 (-2.6, 7.0)
CE
398/427 (93.2) 387/408 (94.9) -1.6 (-4.9,1.6)

Advanced Ingredient Data


Raw Label Data

All Sections (JSON)