These Highlights Do Not Include All The Information Needed To Use Daptomycin For Injection Safely And Effectively. See Full Prescribing Information For Daptomycin For Injection.

These Highlights Do Not Include All The Information Needed To Use Daptomycin For Injection Safely And Effectively. See Full Prescribing Information For Daptomycin For Injection.
SPL v3
SPL
SPL Set ID fc7eef03-042b-44a1-a344-1fa8a0435900
Route
INTRAVENOUS
Published
Effective Date 2023-08-03
Document Type 34391-3 HUMAN PRESCRIPTION DRUG LABEL

Drug Facts

Composition & Product

Active Ingredients
Daptomycin (500 mg)
Inactive Ingredients
Sodium Hydroxide

Identifiers & Packaging

Marketing Status
ANDA Active Since 2021-05-01

Description

Dosage and Administration ( 2 ) 2/2022 Warnings and Precautions, Development of Drug-Resistant Bacteria ( 5.12 ) 10/2021

Indications and Usage

Daptomycin for injection is a lipopeptide antibacterial indicated for the treatment of: Complicated skin and skin structure infections (cSSSI) in adult and pediatric patients (1 to 17 years of age) ( 1.1 ) and, Staphylococcus aureus bloodstream infections (bacteremia), in adult patients including those with right-sided infective endocarditis, ( 1.2 ) Staphylococcus aureus bloodstream infections (bacteremia) in pediatric patients (1 to 17 years of age). ( 1.3 ) Limitations of Use: Daptomycin for injection is not indicated for the treatment of pneumonia. ( 1.4 ) Daptomycin for injection is not indicated for the treatment of left-sided infective endocarditis due to S. aureus . ( 1.4 ) Daptomycin for injection is not recommended in pediatric patients younger than one year of age due to the risk of potential effects on muscular, neuromuscular, and/or nervous systems (either peripheral and/or central) observed in neonatal dogs. ( 1.4 ) To reduce the development of drug-resistant bacteria and maintain the effectiveness of Daptomycin for injection and other antibacterial drugs, Daptomycin for injection should be used to treat or prevent infections that are proven or strongly suspected to be caused by bacteria. ( 1.5 )

Dosage and Administration

Adult Patients Administer to adult patients intravenously in 0.9% sodium chloride, either by injection over a 2-minute period or by infusion over a 30-minute period. ( 2.1 , 2.7 ) Recommended dosage regimen for adult patients ( 2.2 , 2.4 , 2.6 ): Creatinine Clearance (CL CR ) Dosage Regimen cSSSI For 7 to 14 days S. aureus Bacteremia For 2 to 6 weeks ≥30 mL/min 4 mg/kg once every 24 hours 6 mg/kg once every 24 hours <30 mL/min, including hemodialysis and CAPD 4 mg/kg once every 48 hours Administered following hemodialysis on hemodialysis days. 6 mg/kg once every 48 hours Pediatric Patients Unlike in adults, do NOT administer by injection over a two (2) minute period to pediatric patients. ( 2.1 , 2.7 ) Administer to pediatric patients intravenously in 0.9% sodium chloride, by infusion over a 30- or 60-minute period, based on age. ( 2.1 , 2.7 ) Recommended dosage regimen for pediatric patients (1 to 17 years of age) with cSSSI, based on age ( 2.3 ): Age group Dosage Recommended dosage is for pediatric patients (1 to 17 years of age) with normal renal function. Dosage adjustment for pediatric patients with renal impairment has not been established. Duration of therapy 12 to 17 years 5 mg/kg once every 24 hours infused over 30 minutes Up to 14 days 7 to 11 years 7 mg/kg once every 24 hours infused over 30 minutes 2 to 6 years 9 mg/kg once every 24 hours infused over 60 minutes 1 to less than 2 years 10 mg/kg once every 24 hours infused over 60 minutes Recommended dosage regimen for pediatric patients (1 to 17 years of age) with S. aureus bacteremia, based on age ( 2.5 ): Age group Dosage Recommended dosage is for pediatric patients (1 to 17 years of age) with normal renal function. Dosage adjustment for pediatric patients with renal impairment has not been established. Duration of therapy 12 to 17 years 7 mg/kg once every 24 hours infused over 30 minutes Up to 42 days 7 to 11 years 9 mg/kg once every 24 hours infused over 30 minutes 1 to 6 years 12 mg/kg once every 24 hours infused over 60 minutes There are two formulations of daptomycin that have differences concerning storage and reconstitution. Carefully follow the reconstitution and storage procedures in labeling. ( 2.7 ) Do not use in conjunction with ReadyMED ® elastomeric infusion pumps in adult and pediatric patients. ( 2.9 )

Warnings and Precautions

Anaphylaxis/hypersensitivity reactions (including life-threatening): Discontinue Daptomycin for injection and treat signs/symptoms. ( 5.1 ) Myopathy and rhabdomyolysis: Monitor CPK levels and follow muscle pain or weakness; if elevated CPK or myopathy occurs, consider discontinuation of Daptomycin for injection. ( 5.2 ) Eosinophilic pneumonia: Discontinue Daptomycin for injection and consider treatment with systemic steroids. ( 5.3 ) Drug Reaction with Eosinophilia and Systemic Symptoms (DRESS): Discontinue Daptomycin for injection and institute appropriate treatment. ( 5.4 ) Tubulointerstitial Nephritis (TIN): Discontinue Daptomycin for injection and institute appropriate treatment. ( 5.5 ) Peripheral neuropathy: Monitor for neuropathy and consider discontinuation. ( 5.6 ) Potential nervous system and/or muscular system effects in pediatric patients younger than 12 months: Avoid use of Daptomycin for injection in this age group. ( 5.7 ) Clostridioides difficile –associated diarrhea: Evaluate patients if diarrhea occurs. ( 5.8 ) Persisting or relapsing S. aureus bacteremia/endocarditis: Perform susceptibility testing and rule out sequestered foci of infection. ( 5.9 ) Decreased efficacy was observed in adult patients with moderate baseline renal impairment. ( 5.10 )

Contraindications

Daptomycin for injection is contraindicated in patients with known hypersensitivity to daptomycin [see Warnings and Precautions (5.1) ] .

Adverse Reactions

The following adverse reactions are described, or described in greater detail, in other sections: Anaphylaxis/Hypersensitivity Reactions [see Warnings and Precautions (5.1) ] Myopathy and Rhabdomyolysis [see Warnings and Precautions (5.2) ] Eosinophilic Pneumonia [see Warnings and Precautions (5.3) ] Drug Reaction with Eosinophilia and Systemic Symptoms [ see Warnings and Precautions (5.4) ] Tubulointerstitial Nephritis [ see Warnings and Precautions (5.5) ] Peripheral Neuropathy [see Warnings and Precautions (5.6) ] Increased International Normalized Ratio (INR)/Prolonged Prothrombin Time [see Warnings and Precautions (5.11) and Drug Interactions (7.2) ]

Storage and Handling

Daptomycin for injection is supplied as a sterile pale yellow to light brown lyophilized cake in a single-dose 15 mL vial containing 500 mg of daptomycin: Package of 1 (NDC 70594-034-02).

How Supplied

Daptomycin for injection is supplied as a sterile pale yellow to light brown lyophilized cake in a single-dose 15 mL vial containing 500 mg of daptomycin: Package of 1 (NDC 70594-034-02).


Medication Information

Warnings and Precautions

Anaphylaxis/hypersensitivity reactions (including life-threatening): Discontinue Daptomycin for injection and treat signs/symptoms. ( 5.1 ) Myopathy and rhabdomyolysis: Monitor CPK levels and follow muscle pain or weakness; if elevated CPK or myopathy occurs, consider discontinuation of Daptomycin for injection. ( 5.2 ) Eosinophilic pneumonia: Discontinue Daptomycin for injection and consider treatment with systemic steroids. ( 5.3 ) Drug Reaction with Eosinophilia and Systemic Symptoms (DRESS): Discontinue Daptomycin for injection and institute appropriate treatment. ( 5.4 ) Tubulointerstitial Nephritis (TIN): Discontinue Daptomycin for injection and institute appropriate treatment. ( 5.5 ) Peripheral neuropathy: Monitor for neuropathy and consider discontinuation. ( 5.6 ) Potential nervous system and/or muscular system effects in pediatric patients younger than 12 months: Avoid use of Daptomycin for injection in this age group. ( 5.7 ) Clostridioides difficile –associated diarrhea: Evaluate patients if diarrhea occurs. ( 5.8 ) Persisting or relapsing S. aureus bacteremia/endocarditis: Perform susceptibility testing and rule out sequestered foci of infection. ( 5.9 ) Decreased efficacy was observed in adult patients with moderate baseline renal impairment. ( 5.10 )

Indications and Usage

Daptomycin for injection is a lipopeptide antibacterial indicated for the treatment of: Complicated skin and skin structure infections (cSSSI) in adult and pediatric patients (1 to 17 years of age) ( 1.1 ) and, Staphylococcus aureus bloodstream infections (bacteremia), in adult patients including those with right-sided infective endocarditis, ( 1.2 ) Staphylococcus aureus bloodstream infections (bacteremia) in pediatric patients (1 to 17 years of age). ( 1.3 ) Limitations of Use: Daptomycin for injection is not indicated for the treatment of pneumonia. ( 1.4 ) Daptomycin for injection is not indicated for the treatment of left-sided infective endocarditis due to S. aureus . ( 1.4 ) Daptomycin for injection is not recommended in pediatric patients younger than one year of age due to the risk of potential effects on muscular, neuromuscular, and/or nervous systems (either peripheral and/or central) observed in neonatal dogs. ( 1.4 ) To reduce the development of drug-resistant bacteria and maintain the effectiveness of Daptomycin for injection and other antibacterial drugs, Daptomycin for injection should be used to treat or prevent infections that are proven or strongly suspected to be caused by bacteria. ( 1.5 )

Dosage and Administration

Adult Patients Administer to adult patients intravenously in 0.9% sodium chloride, either by injection over a 2-minute period or by infusion over a 30-minute period. ( 2.1 , 2.7 ) Recommended dosage regimen for adult patients ( 2.2 , 2.4 , 2.6 ): Creatinine Clearance (CL CR ) Dosage Regimen cSSSI For 7 to 14 days S. aureus Bacteremia For 2 to 6 weeks ≥30 mL/min 4 mg/kg once every 24 hours 6 mg/kg once every 24 hours <30 mL/min, including hemodialysis and CAPD 4 mg/kg once every 48 hours Administered following hemodialysis on hemodialysis days. 6 mg/kg once every 48 hours Pediatric Patients Unlike in adults, do NOT administer by injection over a two (2) minute period to pediatric patients. ( 2.1 , 2.7 ) Administer to pediatric patients intravenously in 0.9% sodium chloride, by infusion over a 30- or 60-minute period, based on age. ( 2.1 , 2.7 ) Recommended dosage regimen for pediatric patients (1 to 17 years of age) with cSSSI, based on age ( 2.3 ): Age group Dosage Recommended dosage is for pediatric patients (1 to 17 years of age) with normal renal function. Dosage adjustment for pediatric patients with renal impairment has not been established. Duration of therapy 12 to 17 years 5 mg/kg once every 24 hours infused over 30 minutes Up to 14 days 7 to 11 years 7 mg/kg once every 24 hours infused over 30 minutes 2 to 6 years 9 mg/kg once every 24 hours infused over 60 minutes 1 to less than 2 years 10 mg/kg once every 24 hours infused over 60 minutes Recommended dosage regimen for pediatric patients (1 to 17 years of age) with S. aureus bacteremia, based on age ( 2.5 ): Age group Dosage Recommended dosage is for pediatric patients (1 to 17 years of age) with normal renal function. Dosage adjustment for pediatric patients with renal impairment has not been established. Duration of therapy 12 to 17 years 7 mg/kg once every 24 hours infused over 30 minutes Up to 42 days 7 to 11 years 9 mg/kg once every 24 hours infused over 30 minutes 1 to 6 years 12 mg/kg once every 24 hours infused over 60 minutes There are two formulations of daptomycin that have differences concerning storage and reconstitution. Carefully follow the reconstitution and storage procedures in labeling. ( 2.7 ) Do not use in conjunction with ReadyMED ® elastomeric infusion pumps in adult and pediatric patients. ( 2.9 )

Contraindications

Daptomycin for injection is contraindicated in patients with known hypersensitivity to daptomycin [see Warnings and Precautions (5.1) ] .

Adverse Reactions

The following adverse reactions are described, or described in greater detail, in other sections: Anaphylaxis/Hypersensitivity Reactions [see Warnings and Precautions (5.1) ] Myopathy and Rhabdomyolysis [see Warnings and Precautions (5.2) ] Eosinophilic Pneumonia [see Warnings and Precautions (5.3) ] Drug Reaction with Eosinophilia and Systemic Symptoms [ see Warnings and Precautions (5.4) ] Tubulointerstitial Nephritis [ see Warnings and Precautions (5.5) ] Peripheral Neuropathy [see Warnings and Precautions (5.6) ] Increased International Normalized Ratio (INR)/Prolonged Prothrombin Time [see Warnings and Precautions (5.11) and Drug Interactions (7.2) ]

Storage and Handling

Daptomycin for injection is supplied as a sterile pale yellow to light brown lyophilized cake in a single-dose 15 mL vial containing 500 mg of daptomycin: Package of 1 (NDC 70594-034-02).

How Supplied

Daptomycin for injection is supplied as a sterile pale yellow to light brown lyophilized cake in a single-dose 15 mL vial containing 500 mg of daptomycin: Package of 1 (NDC 70594-034-02).

Description

Dosage and Administration ( 2 ) 2/2022 Warnings and Precautions, Development of Drug-Resistant Bacteria ( 5.12 ) 10/2021

Section 42229-5

Adults

Administer the appropriate volume of the reconstituted Daptomycin for injection (concentration of 50 mg/mL) to adult patients intravenously either by injection over a two (2) minute period or by intravenous infusion over a thirty (30) minute period [see Dosage and Administration (2.2, 2.4, 2.7)].

Section 43683-2
Dosage and Administration (2) 2/2022
Warnings and Precautions, Development of Drug-Resistant

Bacteria (5.12)
10/2021
Section 44425-7

Store original packages at refrigerated temperatures, 2°C to 8°C (36°F to 46°F); avoid excessive heat.

Storage conditions for the reconstituted and diluted solutions are described in another section of the prescribing information [see Dosage and Administration (2.7)].

1.5 Usage

Appropriate specimens for microbiological examination should be obtained in order to isolate and identify the causative pathogens and to determine their susceptibility to daptomycin.

To reduce the development of drug-resistant bacteria and maintain the effectiveness of Daptomycin for injection and other antibacterial drugs, Daptomycin for injection should be used only to treat or prevent infections that are proven or strongly suspected to be caused by susceptible bacteria.

When culture and susceptibility information is available, it should be considered in selecting or modifying antibacterial therapy. In the absence of such data, local epidemiology and susceptibility patterns may contribute to the empiric selection of therapy. Empiric therapy may be initiated while awaiting test results.

10 Overdosage

In the event of overdosage, supportive care is advised with maintenance of glomerular filtration. Daptomycin is cleared slowly from the body by hemodialysis (approximately 15% of the administered dose is removed over 4 hours) and by peritoneal dialysis (approximately 11% of the administered dose is removed over 48 hours). The use of high-flux dialysis membranes during

4 hours of hemodialysis may increase the percentage of dose removed compared with that removed by low-flux membranes.

15 References
  • Liu SL, Howard LC, Van Lier RBL, Markham JK: Teratology studies with daptomycin administered intravenously (iv) to rats and rabbits. Teratology 37(5):475, 1988.
  • Stroup JS, Wagner J, Badzinski T: Use of daptomycin in a pregnant patient with Staphylococcus aureus endocarditis. Ann Pharmacother 44(4):746-749, 2010.
  • Buitrago MI, Crompton JA, Bertolami S, North DS, Nathan RA. Extremely low excretion of daptomycin into breast milk of a nursing mother with methicillin-resistant Staphylococcus aureus pelvic inflammatory disease. Pharmacotherapy 2009;29(3):347–351.
  • Klibanov OM, Vickery S, Nortey C: Successful treatment of infective panniculitis with daptomycin in a pregnant, morbidly obese patient. Ann Pharmacother 48(5):652-655, 2014.
  • Li JS, Sexton DJ, Mick N, Nettles R, Fowler VG Jr, Ryan T, Bashore T, Corey GR. Proposed modifications to the Duke criteria for the diagnosis of infective endocarditis. Clin Infect Dis 2000;30:633–638.
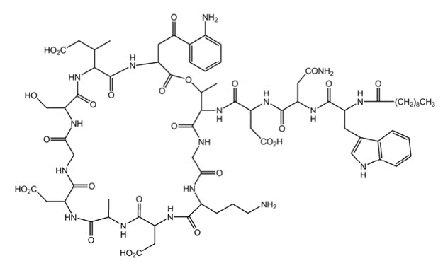
11 Description

Daptomycin for injection contains daptomycin, a cyclic lipopeptide antibacterial agent derived from the fermentation of Streptomyces roseosporus. The chemical name is N-decanoyl-L-tryptophyl-D- asparaginyl-L-aspartyl-L-threonylglycyl-L-ornithyl-L-aspartyl-D-alanyl-L-aspartylglycyl-D- seryl-threo-3-methyl-L-glutamyl-3-anthraniloyl-L-alanine ε1-lactone. The chemical structure is:

The empirical formula is C72H101N17O26; the molecular weight is 1620.67. Daptomycin for injection is supplied in a single-dose vial as a sterile, preservative-free, pale yellow to light brown, lyophilized cake containing approximately 500 mg of daptomycin for intravenous (IV) use following reconstitution with 0.9% sodium chloride injection [see Dosage and Administration (2.7)]. The only inactive ingredient is sodium hydroxide, which is used for pH adjustment. Freshly reconstituted solutions of Daptomycin for injection range in color from pale yellow to light brown.

12.4 Microbiology

Daptomycin belongs to the cyclic lipopeptide class of antibacterials. Daptomycin has clinical utility in the treatment of infections caused by aerobic, Gram-positive bacteria. The in vitro spectrum of activity of daptomycin encompasses most clinically relevant Gram-positive pathogenic bacteria.

Daptomycin exhibits rapid, concentration-dependent bactericidal activity against Gram-positive bacteria in vitro. This has been demonstrated both by time-kill curves and by MBC/MIC (minimum bactericidal concentration/minimum inhibitory concentration) ratios using broth dilution methodology. Daptomycin maintained bactericidal activity in vitro against stationary phase S. aureus in simulated endocardial vegetations. The clinical significance of this is not known.

8.4 Pediatric Use

The safety and effectiveness of Daptomycin for injection in the treatment of cSSSI and S. aureus bloodstream infections (bacteremia) have been established in the age groups 1 to 17 years of age. Use of Daptomycin for injection in these age groups is supported by evidence from adequate and well-controlled studies in adults, with additional data from pharmacokinetic studies in pediatric patients, and from safety, efficacy and PK studies in pediatric patients with cSSSI and S. aureus bloodstream infections [see Adverse Reactions (6.1), Clinical Pharmacology (12.3), and Clinical Studies (14.1, 14.2)].

Safety and effectiveness in pediatric patients below the age of one year have not been established. Avoid use of Daptomycin for injection in pediatric patients younger than one year of age due to the risk of potential effects on muscular, neuromuscular, and/or nervous systems (either peripheral and/or central) observed in neonatal dogs [see Warnings and Precautions (5.7) and Nonclinical Toxicology (13.2)].

Daptomycin for injection is not indicated in pediatric patients with renal impairment because dosage has not been established in these patients.

Daptomycin for injection has not been studied in pediatric patients with other bacterial infections.

8.5 Geriatric Use

Of the 534 adult patients treated with Daptomycin for injection in Phase 3 controlled clinical trials of complicated skin and skin structure infections (cSSSI), 27% were 65 years of age or older and 12% were 75 years of age or older. Of the 120 adult patients treated with Daptomycin for injection in the Phase 3 controlled clinical trial of S. aureus bacteremia/endocarditis, 25% were 65 years of age or older and 16% were 75 years of age or older. In Phase 3 adult clinical trials of cSSSI and S. aureus bacteremia/endocarditis, clinical success rates were lower in patients ≥65 years of age than in patients <65 years of age. In addition, treatment-emergent adverse events were more common in patients ≥65 years of age than in patients <65 years of age.

The exposure of daptomycin was higher in healthy elderly subjects than in healthy young adult subjects. However, no adjustment of Daptomycin for injection dosage is warranted for elderly patients with creatinine clearance (CLCR) ≥30 mL/min [see Dosage and Administration (2.6) and Clinical Pharmacology (12.3)].

4 Contraindications

Daptomycin for injection is contraindicated in patients with known hypersensitivity to daptomycin [see Warnings and Precautions (5.1)].

6 Adverse Reactions

The following adverse reactions are described, or described in greater detail, in other sections:

12.2 Pharmacodynamics

Based on animal models of infection, the antimicrobial activity of daptomycin appears to correlate with the AUC/MIC (area under the concentration-time curve/minimum inhibitory concentration) ratio for certain pathogens, including S. aureus. The principal pharmacokinetic/pharmacodynamic parameter best associated with clinical and microbiological cure has not been elucidated in clinical trials with Daptomycin for injection.

2.9 Incompatibilities

Daptomycin for injection is not compatible with dextrose-containing diluents.

Daptomycin for injection should not be used in conjunction with ReadyMED® elastomeric infusion pumps. Stability studies of Daptomycin for injection solutions stored in ReadyMED® elastomeric infusion pumps identified an impurity (2-mercaptobenzothiazole) leaching from this pump system into the Daptomycin for injection solution.

Because only limited data are available on the compatibility of Daptomycin for injection with other IV substances, additives and other medications should not be added to Daptomycin for injection single-dose vials or infusion bags, or infused simultaneously with Daptomycin for injection through the same IV line. If the same IV line is used for sequential infusion of different drugs, the line should be flushed with a compatible intravenous solution before and after infusion with Daptomycin for injection.

1.4 Limitations of Use

Daptomycin for injection is not indicated for the treatment of pneumonia.

Daptomycin for injection is not indicated for the treatment of left-sided infective endocarditis due to S. aureus. The clinical trial of Daptomycin for injection in adult patients with S. aureus bloodstream infections included limited data from patients with left-sided infective endocarditis; outcomes in these patients were poor [see Clinical Studies (14.2)]. Daptomycin for injection has not been studied in patients with prosthetic valve endocarditis.

Daptomycin for injection is not recommended in pediatric patients younger than 1 year of age due to the risk of potential effects on muscular, neuromuscular, and/or nervous systems (either peripheral and/or central) observed in neonatal dogs [see Warnings and Precautions (5.7) and Nonclinical Toxicology (13.2)].

1 Indications and Usage

Daptomycin for injection is a lipopeptide antibacterial indicated for the treatment of:

  • Complicated skin and skin structure infections (cSSSI) in adult and pediatric patients (1 to 17 years of age) (1.1) and,
  • Staphylococcus aureus bloodstream infections (bacteremia), in adult patients including those with right-sided infective endocarditis, (1.2)
  • Staphylococcus aureus bloodstream infections (bacteremia) in pediatric patients (1 to 17 years of age). (1.3)

Limitations of Use:

  • Daptomycin for injection is not indicated for the treatment of pneumonia. (1.4)
  • Daptomycin for injection is not indicated for the treatment of left-sided infective endocarditis due to S. aureus. (1.4)
  • Daptomycin for injection is not recommended in pediatric patients younger than one year of age due to the risk of potential effects on muscular, neuromuscular, and/or nervous systems (either peripheral and/or central) observed in neonatal dogs. (1.4)

To reduce the development of drug-resistant bacteria and maintain the effectiveness of Daptomycin for injection and other antibacterial drugs, Daptomycin for injection should be used to treat or prevent infections that are proven or strongly suspected to be caused by bacteria. (1.5)

12.1 Mechanism of Action

Daptomycin is an antibacterial drug [see Clinical Pharmacology (12.4)].

1.2 Staphylococcus Aureus

Daptomycin for injection is indicated for the treatment of adult patients with Staphylococcus aureus bloodstream infections (bacteremia), including adult patients with right-sided infective endocarditis, caused by methicillin-susceptible and methicillin-resistant isolates.

1.3 Staphylococcus Aureus

Daptomycin for injection is indicated for the treatment of pediatric patients (1 to 17 years of age) with Staphylococcus aureus bloodstream infections (bacteremia).

5.6 Peripheral Neuropathy

Cases of peripheral neuropathy have been reported during the Daptomycin for injection postmarketing experience [see Adverse Reactions (6.2)]. Therefore, physicians should be alert to signs and symptoms of peripheral neuropathy in patients receiving Daptomycin for injection. Monitor for neuropathy and consider discontinuation.

5 Warnings and Precautions
  • Anaphylaxis/hypersensitivity reactions (including life-threatening): Discontinue Daptomycin for injection and treat signs/symptoms. (5.1)
  • Myopathy and rhabdomyolysis: Monitor CPK levels and follow muscle pain or weakness; if elevated CPK or myopathy occurs, consider discontinuation of Daptomycin for injection. (5.2)
  • Eosinophilic pneumonia: Discontinue Daptomycin for injection and consider treatment with systemic steroids. (5.3)
  • Drug Reaction with Eosinophilia and Systemic Symptoms (DRESS): Discontinue Daptomycin for injection and institute appropriate treatment. (5.4)
  • Tubulointerstitial Nephritis (TIN): Discontinue Daptomycin for injection and institute appropriate treatment. (5.5)
  • Peripheral neuropathy: Monitor for neuropathy and consider discontinuation. (5.6)
  • Potential nervous system and/or muscular system effects in pediatric patients younger than 12 months: Avoid use of Daptomycin for injection in this age group. (5.7)
  • Clostridioides difficile–associated diarrhea: Evaluate patients if diarrhea occurs. (5.8)
  • Persisting or relapsing S. aureus bacteremia/endocarditis: Perform susceptibility testing and rule out sequestered foci of infection. (5.9)
  • Decreased efficacy was observed in adult patients with moderate baseline renal impairment. (5.10)
5.3 Eosinophilic Pneumonia

Eosinophilic pneumonia has been reported in patients receiving Daptomycin for injection [see Adverse Reactions (6.2)]. In reported cases associated with Daptomycin for injection, patients developed fever, dyspnea with hypoxic respiratory insufficiency, and diffuse pulmonary infiltrates or organizing pneumonia. In general, patients developed eosinophilic pneumonia 2 to 4 weeks after starting Daptomycin for injection and improved when Daptomycin for injection was discontinued and steroid therapy was initiated. Recurrence of eosinophilic pneumonia upon re-exposure has been reported. Patients who develop these signs and symptoms while receiving Daptomycin for injection should undergo prompt medical evaluation, and Daptomycin for injection should be discontinued immediately. Treatment with systemic steroids is recommended.

2 Dosage and Administration

Adult Patients

  • Administer to adult patients intravenously in 0.9% sodium chloride, either by injection over a 2-minute period or by infusion over a 30-minute period. (2.1, 2.7)
  • Recommended dosage regimen for adult patients (2.2, 2.4, 2.6):
    Creatinine Clearance (CLCR) Dosage Regimen
    cSSSI

    For 7 to 14 days
    S. aureus Bacteremia

    For 2 to 6 weeks
    ≥30 mL/min 4 mg/kg once every 24 hours 6 mg/kg once every 24 hours
    <30 mL/min, including hemodialysis and CAPD 4 mg/kg once every 48 hours
    Administered following hemodialysis on hemodialysis days.
    6 mg/kg once every 48 hours

Pediatric Patients

  • Unlike in adults, do NOT administer by injection over a two (2) minute period to pediatric patients. (2.1, 2.7)
  • Administer to pediatric patients intravenously in 0.9% sodium chloride, by infusion over a 30- or 60-minute period, based on age. (2.1, 2.7)
  • Recommended dosage regimen for pediatric patients (1 to 17 years of age) with cSSSI, based on age (2.3):
    Age group Dosage
    Recommended dosage is for pediatric patients (1 to 17 years of age) with normal renal function. Dosage adjustment for pediatric patients with renal impairment has not been established.
    Duration of therapy
    12 to 17 years 5 mg/kg once every 24 hours infused over 30 minutes Up to 14 days
    7 to 11 years 7 mg/kg once every 24 hours infused over 30 minutes
    2 to 6 years 9 mg/kg once every 24 hours infused over 60 minutes
    1 to less than 2 years 10 mg/kg once every 24 hours infused over 60 minutes
  • Recommended dosage regimen for pediatric patients (1 to 17 years of age) with S. aureus bacteremia, based on age (2.5):
    Age group Dosage
    Recommended dosage is for pediatric patients (1 to 17 years of age) with normal renal function. Dosage adjustment for pediatric patients with renal impairment has not been established.
    Duration of therapy
    12 to 17 years 7 mg/kg once every 24 hours infused over 30 minutes Up to 42 days
    7 to 11 years 9 mg/kg once every 24 hours infused over 30 minutes
    1 to 6 years 12 mg/kg once every 24 hours infused over 60 minutes
  • There are two formulations of daptomycin that have differences concerning storage and reconstitution. Carefully follow the reconstitution and storage procedures in labeling. (2.7)
  • Do not use in conjunction with ReadyMED® elastomeric infusion pumps in adult and pediatric patients. (2.9)
3 Dosage Forms and Strengths

For Injection: 500 mg daptomycin as a sterile, pale yellow to light brown lyophilized powder for reconstitution in a single-dose vial.

5.8 Clostridioides Difficile

Clostridioides difficile–associated diarrhea (CDAD) has been reported with the use of nearly all systemic antibacterial agents, including Daptomycin for injection, and may range in severity from mild diarrhea to fatal colitis [see Adverse Reactions (6.2)]. Treatment with antibacterial agents alters the normal flora of the colon, leading to overgrowth of C. difficile.

C. difficile produces toxins A and B, which contribute to the development of CDAD.

Hypertoxin-producing strains of C. difficile cause increased morbidity and mortality, since these infections can be refractory to antimicrobial therapy and may require colectomy. CDAD must be considered in all patients who present with diarrhea following antibacterial use. Careful medical history is necessary because CDAD has been reported to occur more than 2 months after the administration of antibacterial agents.

If CDAD is suspected or confirmed, ongoing antibacterial use not directed against C. difficile may need to be discontinued. Appropriate fluid and electrolyte management, protein supplementation, antibacterial treatment of C. difficile, and surgical evaluation should be instituted as clinically indicated.

6.2 Post Marketing Experience

The following adverse reactions have been identified during post-approval use of Daptomycin for injection. Because these reactions are reported voluntarily from a population of uncertain size, it is not always possible to reliably estimate their frequency or establish a causal relationship to drug exposure.

Blood and lymphatic system disorders: anemia, thrombocytopenia

General and administration site conditions: pyrexia

Immune System Disorders: anaphylaxis; hypersensitivity reactions, including angioedema, pruritus, hives, shortness of breath, difficulty swallowing, truncal erythema, and pulmonary eosinophilia [see Contraindications (4) and Warnings and Precautions (5.1)]

Infections and Infestations: Clostridioides difficile–associated diarrhea [see Warnings and Precautions (5.8)]

Laboratory Investigations: platelet count decreased

Musculoskeletal Disorders: myoglobin increased; rhabdomyolysis (some reports involved patients treated concurrently with Daptomycin for injection and HMG-CoA reductase inhibitors) [see Warnings and Precautions (5.2), Drug Interactions (7.1), and Clinical Pharmacology (12.3)]

Respiratory, Thoracic, and Mediastinal Disorders: cough, eosinophilic pneumonia, organizing pneumonia [see Warnings and Precautions (5.3)]

Nervous System Disorders: peripheral neuropathy [see Warnings and Precautions (5.6)]

Skin and Subcutaneous Tissue Disorders: serious skin reactions, including drug reaction with eosinophilia and systemic symptoms (DRESS), vesiculobullous rash (with or without mucous membrane involvement, including Stevens-Johnson syndrome [SJS] and toxic epidermal necrolysis [TEN]), and acute generalized exanthematous pustulosis [see Warnings and Precautions (5.4) ]

Gastrointestinal Disorders: nausea, vomiting

Renal and urinary disorders: acute kidney injury, renal insufficiency, and renal failure, and tubulointerstitial nephritis (TIN) [see Warnings and Precautions (5.5) ]

Special Senses: visual disturbances

2.2 Dosage in Adults for Csssi

Administer Daptomycin for injection 4 mg/kg to adult patients intravenously in 0.9% sodium chloride injection once every 24 hours for 7 to 14 days.

6.1 Clinical Trials Experience

Because clinical trials are conducted under widely varying conditions, adverse reaction rates observed in the clinical trials of a drug cannot be directly compared with rates in the clinical trials of another drug and may not reflect the rates observed in practice.

5.2 Myopathy and Rhabdomyolysis

Myopathy, defined as muscle aching or muscle weakness in conjunction with increases in creatine phosphokinase (CPK) values to greater than 10 times the upper limit of normal (ULN), has been reported with the use of Daptomycin for injection. Rhabdomyolysis, with or without acute renal failure, has been reported [see Adverse Reactions (6.2)].

Patients receiving Daptomycin for injection should be monitored for the development of muscle pain or weakness, particularly of the distal extremities. In patients who receive Daptomycin for injection, CPK levels should be monitored weekly, and more frequently in patients who received recent prior or concomitant therapy with an HMG-CoA reductase inhibitor or in whom elevations in CPK occur during treatment with Daptomycin for injection.

In adult patients with renal impairment, both renal function and CPK should be monitored more frequently than once weekly [see Use in Specific Populations (8.6) and Clinical Pharmacology (12.3)].

In Phase 1 studies and Phase 2 clinical trials in adults, CPK elevations appeared to be more frequent when Daptomycin for injection was dosed more than once daily. Therefore, Daptomycin for injection should not be dosed more frequently than once a day.

Daptomycin for injection should be discontinued in patients with unexplained signs and symptoms of myopathy in conjunction with CPK elevations to levels >1,000 U/L (~5× ULN), and in patients without reported symptoms who have marked elevations in CPK, with levels >2,000 U/L (≥10× ULN). In addition, consideration should be given to suspending agents associated with rhabdomyolysis, such as HMG-CoA reductase inhibitors, temporarily in patients receiving Daptomycin for injection [see Drug Interactions (7.1)].

7.1 Hmg Coa Reductase Inhibitors

In healthy adult subjects, concomitant administration of Daptomycin for injection and simvastatin had no effect on plasma trough concentrations of simvastatin, and there were no reports of skeletal myopathy [see Clinical Pharmacology (12.3)].

However, inhibitors of HMG-CoA reductase may cause myopathy, which is manifested as muscle pain or weakness associated with elevated levels of creatine phosphokinase (CPK). In the adult Phase 3 S. aureus bacteremia/endocarditis trial, some patients who received prior or concomitant treatment with an HMG-CoA reductase inhibitor developed elevated CPK [see Adverse Reactions (6.1)]. Experience with the coadministration of HMG-CoA reductase inhibitors and Daptomycin for injection in patients is limited; therefore, consideration should be given to suspending use of HMG-CoA reductase inhibitors temporarily in patients receiving Daptomycin for injection.

8.6 Patients With Renal Impairment

Daptomycin is eliminated primarily by the kidneys; therefore, a modification of Daptomycin for injection dosage interval is recommended for adult patients with CLCR <30 mL/min, including patients receiving hemodialysis or continuous ambulatory peritoneal dialysis (CAPD). In adult patients with renal impairment, both renal function and creatine phosphokinase (CPK) should be monitored more frequently than once weekly [see Dosage and Administration (2.6), Warnings and Precautions (5.2, 5.10), and Clinical Pharmacology (12.3)].

The dosage regimen for Daptomycin for injection in pediatric patients with renal impairment has not been established.

16 How Supplied/storage and Handling

Daptomycin for injection is supplied as a sterile pale yellow to light brown lyophilized cake in a single-dose 15 mL vial containing 500 mg of daptomycin: Package of 1 (NDC 70594-034-02).

5.9 Persisting Or Relapsing S. Aureus

Patients with persisting or relapsing S. aureus bacteremia/endocarditis or poor clinical response should have repeat blood cultures. If a blood culture is positive for S. aureus, minimum inhibitory concentration (MIC) susceptibility testing of the isolate should be performed using a standardized procedure, and diagnostic evaluation of the patient should be performed to rule out sequestered foci of infection. Appropriate surgical intervention (e.g., debridement, removal of prosthetic devices, valve replacement surgery) and/or consideration of a change in antibacterial regimen may be required.

Failure of treatment due to persisting or relapsing S. aureus bacteremia/endocarditis may be due to reduced daptomycin susceptibility (as evidenced by increasing MIC of the S. aureus isolate) [see Clinical Studies (14.2)].

7.2 Drug Laboratory Test Interactions

Clinically relevant plasma concentrations of daptomycin have been observed to cause a significant concentration-dependent false prolongation of prothrombin time (PT) and elevation of International Normalized Ratio (INR) when certain recombinant thromboplastin reagents are utilized for the assay. The possibility of an erroneously elevated PT/INR result due to interaction with a recombinant thromboplastin reagent may be minimized by drawing specimens for PT or INR testing near the time of trough plasma concentrations of daptomycin. However, sufficient daptomycin concentrations may be present at trough to cause interaction.

If confronted with an abnormally high PT/INR result in a patient being treated with Daptomycin for injection, it is recommended that clinicians:

  • Repeat the assessment of PT/INR, requesting that the specimen be drawn just prior to the next Daptomycin for injection dose (i.e., at trough concentration). If the PT/INR value obtained at trough remains substantially elevated above what would otherwise be expected, consider evaluating PT/INR utilizing an alternative method.
  • Evaluate for other causes of abnormally elevated PT/INR results.
5.5 Tubulointerstitial Nephritis (tin)

TIN has been reported in post-marketing experience with Daptomycin for injection [see Adverse Reactions (6.2) ]. Patients who develop new or worsening renal impairment while receiving Daptomycin for injection should undergo medical evaluation. If TIN is suspected, discontinue Daptomycin for injection promptly and institute appropriate treatment.

5.1 Anaphylaxis/hypersensitivity Reactions

Anaphylaxis/hypersensitivity reactions have been reported with the use of antibacterial agents, including Daptomycin for injection, and may be life-threatening. If an allergic reaction to Daptomycin for injection occurs, discontinue the drug and institute appropriate therapy [see Adverse Reactions (6.2)].

5.12 Development of Drug Resistant Bacteria

Prescribing Daptomycin for injection in the absence of a proven or strongly suspected bacterial infection or a prophylactic indication is unlikely to provide benefit to the patient and increases the risk of the development of drug-resistant bacteria.

Principal Display Panel 500 Mg Vial Carton

NDC 70594-034-02

Rx Only

For Intravenous Infusion.

Daptomycin

for Injection

500 mg/vial

MUST BE REFRIGERATED

Use 0.9% Sodium Chloride

Injection for reconstitution only.

One Single-Dose Vial

Discard Unused Portion

2.4 Dosage in Adult Patients With Staphylococcus Aureus

Administer Daptomycin for injection 6 mg/kg to adult patients intravenously in 0.9% sodium chloride injection once every 24 hours for 2 to 6 weeks. There are limited safety data for the use of Daptomycin for injection for more than 28 days of therapy. In the Phase 3 trial, there were a total of 14 adult patients who were treated with Daptomycin for injection for more than 28 days.

13.1 Carcinogenesis, Mutagenesis, Impairment of Fertility

Long-term carcinogenicity studies in animals have not been conducted to evaluate the carcinogenic potential of Daptomycin for injection. However, neither mutagenic nor clastogenic potential was found in a battery of genotoxicity tests, including the Ames assay, a mammalian cell gene mutation assay, a test for chromosomal aberrations in Chinese hamster ovary cells, an in vivo micronucleus assay, an in vitro DNA repair assay, and an in vivo sister chromatid exchange assay in Chinese hamsters.

Daptomycin did not affect the fertility or reproductive performance of male and female rats when administered intravenously at doses of 25, 75, or 150 mg/kg/day, which is approximately up to 9 times the estimated human exposure level based upon AUCs (or approximately up to 4 times the recommended human dose of 6 mg/kg based on body surface area comparison).

1.1 Complicated Skin and Skin Structure Infections (csssi)

Daptomycin for injection is indicated for the treatment of adult and pediatric patients (1 to 17 years of age) with complicated skin and skin structure infections (cSSSI) caused by susceptible isolates of the following Gram-positive bacteria: Staphylococcus aureus (including methicillin-resistant isolates), Streptococcus pyogenes, Streptococcus agalactiae, Streptococcus dysgalactiae subsp. equisimilis, and Enterococcus faecalis (vancomycin-susceptible isolates only).

2.7 Preparation and Administration of Daptomycin for Injection

There are other formulations of daptomycin that have differences concerning reconstitution and storage. Carefully follow the reconstitution and storage procedures described in this labeling.

2.3 Dosage in Pediatric Patients (1 to 17 Years of Age) for Csssi

The recommended dosage regimens based on age for pediatric patients with cSSSI are shown in Table 1. Administer Daptomycin for injection intravenously in 0.9% sodium chloride injection once every 24 hours for up to 14 days.

Table 1: Recommended Dosage of Daptomycin for injection in Pediatric Patients (1 to 17 Years of Age) with cSSSI, Based on Age
Age Range Dosage Regimen
Recommended dosage regimen is for pediatric patients (1 to 17 years of age) with normal renal function. Dosage adjustment for pediatric patients with renal impairment has not been established.
Duration of therapy
12 to 17 years 5 mg/kg once every 24 hours infused over 30 minutes Up to 14 days
7 to 11 years 7 mg/kg once every 24 hours infused over 30 minutes
2 to 6 years 9 mg/kg once every 24 hours infused over 60 minutes
1 to less than 2 years 10 mg/kg once every 24 hours infused over 60 minutes
5.4 Drug Reaction With Eosinophilia and Systemic Symptoms (dress)

DRESS has been reported in post-marketing experience with Daptomycin for injection [see Adverse Reactions (6.2) ]. Patients who develop skin rash, fever, peripheral eosinophilia, and systemic organ (for example, hepatic, renal, pulmonary) impairment while receiving Daptomycin for injection should undergo medical evaluation. If DRESS is suspected, discontinue Daptomycin for injection promptly and institute appropriate treatment.

2.8 Compatible Intravenous Solution for Reconstitution and Dilution

Daptomycin for injection is compatible with 0.9% sodium chloride injection for reconstitution.

Reconstituted Daptomycin for injection can only be diluted with 0.9% sodium chloride injection.

5.10 Decreased Efficacy in Patients With Moderate Baseline Renal Impairment

Limited data are available from the two Phase 3 complicated skin and skin structure infection (cSSSI) trials regarding clinical efficacy of Daptomycin for injection treatment in adult patients with creatinine clearance (CLCR) <50 mL/min; only 31/534 (6%) patients treated with Daptomycin for injection in the intent-to-treat (ITT) population had a baseline CLCR <50 mL/min. Table 4 shows the number of adult patients by renal function and treatment group who were clinical successes in the Phase 3 cSSSI trials.

Table 4: Clinical Success Rates by Renal Function and Treatment Group in Phase 3 cSSSI Trials in Adult Patients (Population: ITT)
CLCR Success Rate n/N (%)
Daptomycin for Injection

4 mg/kg every 24h
Comparator
50–70 mL/min 25/38 (66%) 30/48 (63%)
30–<50 mL/min 7/15 (47%) 20/35 (57%)

In a subgroup analysis of the ITT population in the Phase 3 S. aureus bacteremia/endocarditis trial, clinical success rates, as determined by a treatment-blinded Adjudication Committee [see Clinical Studies (14.2)], in the Daptomycin for injection-treated adult patients were lower in patients with baseline CLCR <50 mL/min (see Table 5). A decrease of the magnitude shown in Table 5 was not observed in comparator-treated patients.

Table 5: Adjudication Committee Clinical Success Rates at Test of Cure by Baseline Creatinine Clearance and Treatment Subgroup in the S. aureus Bacteremia/Endocarditis Trial in Adult Patients (Population: ITT)
Baseline CLCR Success Rate n/N (%)
Daptomycin for injection

6 mg/kg every 24h
Comparator
Bacteremia Right-Sided Infective Endocarditis Bacteremia Right-Sided Infective Endocarditis
>80 mL/min 30/50 (60%) 7/14 (50%) 19/42 (45%) 5/11 (46%)
50–80 mL/min 12/26 (46%) 1/4 (25%) 13/31 (42%) 1/2 (50%)
30–<50 mL/min 2/14 (14%) 0/1 (0%) 7/17 (41%) 1/1 (100%)

Consider these data when selecting antibacterial therapy for use in adult patients with baseline moderate to severe renal impairment.

5.11 Increased International Normalized Ratio (inr)/prolonged Prothrombin Time

Clinically relevant plasma concentrations of daptomycin have been observed to cause a significant concentration-dependent false prolongation of prothrombin time (PT) and elevation of International Normalized Ratio (INR) when certain recombinant thromboplastin reagents are utilized for the assay [see Drug Interactions (7.2)].

2.5 Dosage in Pediatric Patients (1 to 17 Years of Age) With Staphylococcus Aureus

The recommended dosage regimens based on age for pediatric patients with S. aureus bloodstream infections (bacteremia) are shown in Table 2. Administer Daptomycin for injection intravenously in 0.9% sodium chloride injection once every 24 hours for up to 42 days.

Table 2: Recommended Dosage of Daptomycin for injection in Pediatric Patients (1 to 17 Years of Age) with S. aureus Bacteremia, Based on Age
Age group Dosage
Recommended dosage is for pediatric patients (1 to 17 years of age) with normal renal function. Dosage adjustment for pediatric patients with renal impairment has not been established.
Duration of therapy
12 to 17 years 7 mg/kg once every 24 hours infused over 30 minutes Up to 42 days
7 to 11 years 9 mg/kg once every 24 hours infused over 30 minutes
1 to 6 years 12 mg/kg once every 24 hours infused over 60 minutes
5.7 Potential Nervous System And/or Muscular System Effects in Pediatric Patients Younger Than 12 Months

Avoid use of Daptomycin for injection in pediatric patients younger than 12 months due to the risk of potential effects on muscular, neuromuscular, and/or nervous systems (either peripheral and/or central) observed in neonatal dogs with intravenous daptomycin [see Nonclinical Toxicology (13.2)].


Structured Label Content

Section 42229-5 (42229-5)

Adults

Administer the appropriate volume of the reconstituted Daptomycin for injection (concentration of 50 mg/mL) to adult patients intravenously either by injection over a two (2) minute period or by intravenous infusion over a thirty (30) minute period [see Dosage and Administration (2.2, 2.4, 2.7)].

Section 43683-2 (43683-2)
Dosage and Administration (2) 2/2022
Warnings and Precautions, Development of Drug-Resistant

Bacteria (5.12)
10/2021
Section 44425-7 (44425-7)

Store original packages at refrigerated temperatures, 2°C to 8°C (36°F to 46°F); avoid excessive heat.

Storage conditions for the reconstituted and diluted solutions are described in another section of the prescribing information [see Dosage and Administration (2.7)].

1.5 Usage

Appropriate specimens for microbiological examination should be obtained in order to isolate and identify the causative pathogens and to determine their susceptibility to daptomycin.

To reduce the development of drug-resistant bacteria and maintain the effectiveness of Daptomycin for injection and other antibacterial drugs, Daptomycin for injection should be used only to treat or prevent infections that are proven or strongly suspected to be caused by susceptible bacteria.

When culture and susceptibility information is available, it should be considered in selecting or modifying antibacterial therapy. In the absence of such data, local epidemiology and susceptibility patterns may contribute to the empiric selection of therapy. Empiric therapy may be initiated while awaiting test results.

10 Overdosage (10 OVERDOSAGE)

In the event of overdosage, supportive care is advised with maintenance of glomerular filtration. Daptomycin is cleared slowly from the body by hemodialysis (approximately 15% of the administered dose is removed over 4 hours) and by peritoneal dialysis (approximately 11% of the administered dose is removed over 48 hours). The use of high-flux dialysis membranes during

4 hours of hemodialysis may increase the percentage of dose removed compared with that removed by low-flux membranes.

15 References (15 REFERENCES)
  • Liu SL, Howard LC, Van Lier RBL, Markham JK: Teratology studies with daptomycin administered intravenously (iv) to rats and rabbits. Teratology 37(5):475, 1988.
  • Stroup JS, Wagner J, Badzinski T: Use of daptomycin in a pregnant patient with Staphylococcus aureus endocarditis. Ann Pharmacother 44(4):746-749, 2010.
  • Buitrago MI, Crompton JA, Bertolami S, North DS, Nathan RA. Extremely low excretion of daptomycin into breast milk of a nursing mother with methicillin-resistant Staphylococcus aureus pelvic inflammatory disease. Pharmacotherapy 2009;29(3):347–351.
  • Klibanov OM, Vickery S, Nortey C: Successful treatment of infective panniculitis with daptomycin in a pregnant, morbidly obese patient. Ann Pharmacother 48(5):652-655, 2014.
  • Li JS, Sexton DJ, Mick N, Nettles R, Fowler VG Jr, Ryan T, Bashore T, Corey GR. Proposed modifications to the Duke criteria for the diagnosis of infective endocarditis. Clin Infect Dis 2000;30:633–638.
11 Description (11 DESCRIPTION)

Daptomycin for injection contains daptomycin, a cyclic lipopeptide antibacterial agent derived from the fermentation of Streptomyces roseosporus. The chemical name is N-decanoyl-L-tryptophyl-D- asparaginyl-L-aspartyl-L-threonylglycyl-L-ornithyl-L-aspartyl-D-alanyl-L-aspartylglycyl-D- seryl-threo-3-methyl-L-glutamyl-3-anthraniloyl-L-alanine ε1-lactone. The chemical structure is:

The empirical formula is C72H101N17O26; the molecular weight is 1620.67. Daptomycin for injection is supplied in a single-dose vial as a sterile, preservative-free, pale yellow to light brown, lyophilized cake containing approximately 500 mg of daptomycin for intravenous (IV) use following reconstitution with 0.9% sodium chloride injection [see Dosage and Administration (2.7)]. The only inactive ingredient is sodium hydroxide, which is used for pH adjustment. Freshly reconstituted solutions of Daptomycin for injection range in color from pale yellow to light brown.

12.4 Microbiology

Daptomycin belongs to the cyclic lipopeptide class of antibacterials. Daptomycin has clinical utility in the treatment of infections caused by aerobic, Gram-positive bacteria. The in vitro spectrum of activity of daptomycin encompasses most clinically relevant Gram-positive pathogenic bacteria.

Daptomycin exhibits rapid, concentration-dependent bactericidal activity against Gram-positive bacteria in vitro. This has been demonstrated both by time-kill curves and by MBC/MIC (minimum bactericidal concentration/minimum inhibitory concentration) ratios using broth dilution methodology. Daptomycin maintained bactericidal activity in vitro against stationary phase S. aureus in simulated endocardial vegetations. The clinical significance of this is not known.

8.4 Pediatric Use

The safety and effectiveness of Daptomycin for injection in the treatment of cSSSI and S. aureus bloodstream infections (bacteremia) have been established in the age groups 1 to 17 years of age. Use of Daptomycin for injection in these age groups is supported by evidence from adequate and well-controlled studies in adults, with additional data from pharmacokinetic studies in pediatric patients, and from safety, efficacy and PK studies in pediatric patients with cSSSI and S. aureus bloodstream infections [see Adverse Reactions (6.1), Clinical Pharmacology (12.3), and Clinical Studies (14.1, 14.2)].

Safety and effectiveness in pediatric patients below the age of one year have not been established. Avoid use of Daptomycin for injection in pediatric patients younger than one year of age due to the risk of potential effects on muscular, neuromuscular, and/or nervous systems (either peripheral and/or central) observed in neonatal dogs [see Warnings and Precautions (5.7) and Nonclinical Toxicology (13.2)].

Daptomycin for injection is not indicated in pediatric patients with renal impairment because dosage has not been established in these patients.

Daptomycin for injection has not been studied in pediatric patients with other bacterial infections.

8.5 Geriatric Use

Of the 534 adult patients treated with Daptomycin for injection in Phase 3 controlled clinical trials of complicated skin and skin structure infections (cSSSI), 27% were 65 years of age or older and 12% were 75 years of age or older. Of the 120 adult patients treated with Daptomycin for injection in the Phase 3 controlled clinical trial of S. aureus bacteremia/endocarditis, 25% were 65 years of age or older and 16% were 75 years of age or older. In Phase 3 adult clinical trials of cSSSI and S. aureus bacteremia/endocarditis, clinical success rates were lower in patients ≥65 years of age than in patients <65 years of age. In addition, treatment-emergent adverse events were more common in patients ≥65 years of age than in patients <65 years of age.

The exposure of daptomycin was higher in healthy elderly subjects than in healthy young adult subjects. However, no adjustment of Daptomycin for injection dosage is warranted for elderly patients with creatinine clearance (CLCR) ≥30 mL/min [see Dosage and Administration (2.6) and Clinical Pharmacology (12.3)].

4 Contraindications (4 CONTRAINDICATIONS)

Daptomycin for injection is contraindicated in patients with known hypersensitivity to daptomycin [see Warnings and Precautions (5.1)].

6 Adverse Reactions (6 ADVERSE REACTIONS)

The following adverse reactions are described, or described in greater detail, in other sections:

12.2 Pharmacodynamics

Based on animal models of infection, the antimicrobial activity of daptomycin appears to correlate with the AUC/MIC (area under the concentration-time curve/minimum inhibitory concentration) ratio for certain pathogens, including S. aureus. The principal pharmacokinetic/pharmacodynamic parameter best associated with clinical and microbiological cure has not been elucidated in clinical trials with Daptomycin for injection.

2.9 Incompatibilities

Daptomycin for injection is not compatible with dextrose-containing diluents.

Daptomycin for injection should not be used in conjunction with ReadyMED® elastomeric infusion pumps. Stability studies of Daptomycin for injection solutions stored in ReadyMED® elastomeric infusion pumps identified an impurity (2-mercaptobenzothiazole) leaching from this pump system into the Daptomycin for injection solution.

Because only limited data are available on the compatibility of Daptomycin for injection with other IV substances, additives and other medications should not be added to Daptomycin for injection single-dose vials or infusion bags, or infused simultaneously with Daptomycin for injection through the same IV line. If the same IV line is used for sequential infusion of different drugs, the line should be flushed with a compatible intravenous solution before and after infusion with Daptomycin for injection.

1.4 Limitations of Use

Daptomycin for injection is not indicated for the treatment of pneumonia.

Daptomycin for injection is not indicated for the treatment of left-sided infective endocarditis due to S. aureus. The clinical trial of Daptomycin for injection in adult patients with S. aureus bloodstream infections included limited data from patients with left-sided infective endocarditis; outcomes in these patients were poor [see Clinical Studies (14.2)]. Daptomycin for injection has not been studied in patients with prosthetic valve endocarditis.

Daptomycin for injection is not recommended in pediatric patients younger than 1 year of age due to the risk of potential effects on muscular, neuromuscular, and/or nervous systems (either peripheral and/or central) observed in neonatal dogs [see Warnings and Precautions (5.7) and Nonclinical Toxicology (13.2)].

1 Indications and Usage (1 INDICATIONS AND USAGE)

Daptomycin for injection is a lipopeptide antibacterial indicated for the treatment of:

  • Complicated skin and skin structure infections (cSSSI) in adult and pediatric patients (1 to 17 years of age) (1.1) and,
  • Staphylococcus aureus bloodstream infections (bacteremia), in adult patients including those with right-sided infective endocarditis, (1.2)
  • Staphylococcus aureus bloodstream infections (bacteremia) in pediatric patients (1 to 17 years of age). (1.3)

Limitations of Use:

  • Daptomycin for injection is not indicated for the treatment of pneumonia. (1.4)
  • Daptomycin for injection is not indicated for the treatment of left-sided infective endocarditis due to S. aureus. (1.4)
  • Daptomycin for injection is not recommended in pediatric patients younger than one year of age due to the risk of potential effects on muscular, neuromuscular, and/or nervous systems (either peripheral and/or central) observed in neonatal dogs. (1.4)

To reduce the development of drug-resistant bacteria and maintain the effectiveness of Daptomycin for injection and other antibacterial drugs, Daptomycin for injection should be used to treat or prevent infections that are proven or strongly suspected to be caused by bacteria. (1.5)

12.1 Mechanism of Action

Daptomycin is an antibacterial drug [see Clinical Pharmacology (12.4)].

1.2 Staphylococcus Aureus (1.2 Staphylococcus aureus)

Daptomycin for injection is indicated for the treatment of adult patients with Staphylococcus aureus bloodstream infections (bacteremia), including adult patients with right-sided infective endocarditis, caused by methicillin-susceptible and methicillin-resistant isolates.

1.3 Staphylococcus Aureus (1.3 Staphylococcus aureus)

Daptomycin for injection is indicated for the treatment of pediatric patients (1 to 17 years of age) with Staphylococcus aureus bloodstream infections (bacteremia).

5.6 Peripheral Neuropathy

Cases of peripheral neuropathy have been reported during the Daptomycin for injection postmarketing experience [see Adverse Reactions (6.2)]. Therefore, physicians should be alert to signs and symptoms of peripheral neuropathy in patients receiving Daptomycin for injection. Monitor for neuropathy and consider discontinuation.

5 Warnings and Precautions (5 WARNINGS AND PRECAUTIONS)
  • Anaphylaxis/hypersensitivity reactions (including life-threatening): Discontinue Daptomycin for injection and treat signs/symptoms. (5.1)
  • Myopathy and rhabdomyolysis: Monitor CPK levels and follow muscle pain or weakness; if elevated CPK or myopathy occurs, consider discontinuation of Daptomycin for injection. (5.2)
  • Eosinophilic pneumonia: Discontinue Daptomycin for injection and consider treatment with systemic steroids. (5.3)
  • Drug Reaction with Eosinophilia and Systemic Symptoms (DRESS): Discontinue Daptomycin for injection and institute appropriate treatment. (5.4)
  • Tubulointerstitial Nephritis (TIN): Discontinue Daptomycin for injection and institute appropriate treatment. (5.5)
  • Peripheral neuropathy: Monitor for neuropathy and consider discontinuation. (5.6)
  • Potential nervous system and/or muscular system effects in pediatric patients younger than 12 months: Avoid use of Daptomycin for injection in this age group. (5.7)
  • Clostridioides difficile–associated diarrhea: Evaluate patients if diarrhea occurs. (5.8)
  • Persisting or relapsing S. aureus bacteremia/endocarditis: Perform susceptibility testing and rule out sequestered foci of infection. (5.9)
  • Decreased efficacy was observed in adult patients with moderate baseline renal impairment. (5.10)
5.3 Eosinophilic Pneumonia

Eosinophilic pneumonia has been reported in patients receiving Daptomycin for injection [see Adverse Reactions (6.2)]. In reported cases associated with Daptomycin for injection, patients developed fever, dyspnea with hypoxic respiratory insufficiency, and diffuse pulmonary infiltrates or organizing pneumonia. In general, patients developed eosinophilic pneumonia 2 to 4 weeks after starting Daptomycin for injection and improved when Daptomycin for injection was discontinued and steroid therapy was initiated. Recurrence of eosinophilic pneumonia upon re-exposure has been reported. Patients who develop these signs and symptoms while receiving Daptomycin for injection should undergo prompt medical evaluation, and Daptomycin for injection should be discontinued immediately. Treatment with systemic steroids is recommended.

2 Dosage and Administration (2 DOSAGE AND ADMINISTRATION)

Adult Patients

  • Administer to adult patients intravenously in 0.9% sodium chloride, either by injection over a 2-minute period or by infusion over a 30-minute period. (2.1, 2.7)
  • Recommended dosage regimen for adult patients (2.2, 2.4, 2.6):
    Creatinine Clearance (CLCR) Dosage Regimen
    cSSSI

    For 7 to 14 days
    S. aureus Bacteremia

    For 2 to 6 weeks
    ≥30 mL/min 4 mg/kg once every 24 hours 6 mg/kg once every 24 hours
    <30 mL/min, including hemodialysis and CAPD 4 mg/kg once every 48 hours
    Administered following hemodialysis on hemodialysis days.
    6 mg/kg once every 48 hours

Pediatric Patients

  • Unlike in adults, do NOT administer by injection over a two (2) minute period to pediatric patients. (2.1, 2.7)
  • Administer to pediatric patients intravenously in 0.9% sodium chloride, by infusion over a 30- or 60-minute period, based on age. (2.1, 2.7)
  • Recommended dosage regimen for pediatric patients (1 to 17 years of age) with cSSSI, based on age (2.3):
    Age group Dosage
    Recommended dosage is for pediatric patients (1 to 17 years of age) with normal renal function. Dosage adjustment for pediatric patients with renal impairment has not been established.
    Duration of therapy
    12 to 17 years 5 mg/kg once every 24 hours infused over 30 minutes Up to 14 days
    7 to 11 years 7 mg/kg once every 24 hours infused over 30 minutes
    2 to 6 years 9 mg/kg once every 24 hours infused over 60 minutes
    1 to less than 2 years 10 mg/kg once every 24 hours infused over 60 minutes
  • Recommended dosage regimen for pediatric patients (1 to 17 years of age) with S. aureus bacteremia, based on age (2.5):
    Age group Dosage
    Recommended dosage is for pediatric patients (1 to 17 years of age) with normal renal function. Dosage adjustment for pediatric patients with renal impairment has not been established.
    Duration of therapy
    12 to 17 years 7 mg/kg once every 24 hours infused over 30 minutes Up to 42 days
    7 to 11 years 9 mg/kg once every 24 hours infused over 30 minutes
    1 to 6 years 12 mg/kg once every 24 hours infused over 60 minutes
  • There are two formulations of daptomycin that have differences concerning storage and reconstitution. Carefully follow the reconstitution and storage procedures in labeling. (2.7)
  • Do not use in conjunction with ReadyMED® elastomeric infusion pumps in adult and pediatric patients. (2.9)
3 Dosage Forms and Strengths (3 DOSAGE FORMS AND STRENGTHS)

For Injection: 500 mg daptomycin as a sterile, pale yellow to light brown lyophilized powder for reconstitution in a single-dose vial.

5.8 Clostridioides Difficile (5.8 Clostridioides difficile)

Clostridioides difficile–associated diarrhea (CDAD) has been reported with the use of nearly all systemic antibacterial agents, including Daptomycin for injection, and may range in severity from mild diarrhea to fatal colitis [see Adverse Reactions (6.2)]. Treatment with antibacterial agents alters the normal flora of the colon, leading to overgrowth of C. difficile.

C. difficile produces toxins A and B, which contribute to the development of CDAD.

Hypertoxin-producing strains of C. difficile cause increased morbidity and mortality, since these infections can be refractory to antimicrobial therapy and may require colectomy. CDAD must be considered in all patients who present with diarrhea following antibacterial use. Careful medical history is necessary because CDAD has been reported to occur more than 2 months after the administration of antibacterial agents.

If CDAD is suspected or confirmed, ongoing antibacterial use not directed against C. difficile may need to be discontinued. Appropriate fluid and electrolyte management, protein supplementation, antibacterial treatment of C. difficile, and surgical evaluation should be instituted as clinically indicated.

6.2 Post Marketing Experience (6.2 Post-Marketing Experience)

The following adverse reactions have been identified during post-approval use of Daptomycin for injection. Because these reactions are reported voluntarily from a population of uncertain size, it is not always possible to reliably estimate their frequency or establish a causal relationship to drug exposure.

Blood and lymphatic system disorders: anemia, thrombocytopenia

General and administration site conditions: pyrexia

Immune System Disorders: anaphylaxis; hypersensitivity reactions, including angioedema, pruritus, hives, shortness of breath, difficulty swallowing, truncal erythema, and pulmonary eosinophilia [see Contraindications (4) and Warnings and Precautions (5.1)]

Infections and Infestations: Clostridioides difficile–associated diarrhea [see Warnings and Precautions (5.8)]

Laboratory Investigations: platelet count decreased

Musculoskeletal Disorders: myoglobin increased; rhabdomyolysis (some reports involved patients treated concurrently with Daptomycin for injection and HMG-CoA reductase inhibitors) [see Warnings and Precautions (5.2), Drug Interactions (7.1), and Clinical Pharmacology (12.3)]

Respiratory, Thoracic, and Mediastinal Disorders: cough, eosinophilic pneumonia, organizing pneumonia [see Warnings and Precautions (5.3)]

Nervous System Disorders: peripheral neuropathy [see Warnings and Precautions (5.6)]

Skin and Subcutaneous Tissue Disorders: serious skin reactions, including drug reaction with eosinophilia and systemic symptoms (DRESS), vesiculobullous rash (with or without mucous membrane involvement, including Stevens-Johnson syndrome [SJS] and toxic epidermal necrolysis [TEN]), and acute generalized exanthematous pustulosis [see Warnings and Precautions (5.4) ]

Gastrointestinal Disorders: nausea, vomiting

Renal and urinary disorders: acute kidney injury, renal insufficiency, and renal failure, and tubulointerstitial nephritis (TIN) [see Warnings and Precautions (5.5) ]

Special Senses: visual disturbances

2.2 Dosage in Adults for Csssi (2.2 Dosage in Adults for cSSSI)

Administer Daptomycin for injection 4 mg/kg to adult patients intravenously in 0.9% sodium chloride injection once every 24 hours for 7 to 14 days.

6.1 Clinical Trials Experience

Because clinical trials are conducted under widely varying conditions, adverse reaction rates observed in the clinical trials of a drug cannot be directly compared with rates in the clinical trials of another drug and may not reflect the rates observed in practice.

5.2 Myopathy and Rhabdomyolysis

Myopathy, defined as muscle aching or muscle weakness in conjunction with increases in creatine phosphokinase (CPK) values to greater than 10 times the upper limit of normal (ULN), has been reported with the use of Daptomycin for injection. Rhabdomyolysis, with or without acute renal failure, has been reported [see Adverse Reactions (6.2)].

Patients receiving Daptomycin for injection should be monitored for the development of muscle pain or weakness, particularly of the distal extremities. In patients who receive Daptomycin for injection, CPK levels should be monitored weekly, and more frequently in patients who received recent prior or concomitant therapy with an HMG-CoA reductase inhibitor or in whom elevations in CPK occur during treatment with Daptomycin for injection.

In adult patients with renal impairment, both renal function and CPK should be monitored more frequently than once weekly [see Use in Specific Populations (8.6) and Clinical Pharmacology (12.3)].

In Phase 1 studies and Phase 2 clinical trials in adults, CPK elevations appeared to be more frequent when Daptomycin for injection was dosed more than once daily. Therefore, Daptomycin for injection should not be dosed more frequently than once a day.

Daptomycin for injection should be discontinued in patients with unexplained signs and symptoms of myopathy in conjunction with CPK elevations to levels >1,000 U/L (~5× ULN), and in patients without reported symptoms who have marked elevations in CPK, with levels >2,000 U/L (≥10× ULN). In addition, consideration should be given to suspending agents associated with rhabdomyolysis, such as HMG-CoA reductase inhibitors, temporarily in patients receiving Daptomycin for injection [see Drug Interactions (7.1)].

7.1 Hmg Coa Reductase Inhibitors (7.1 HMG-CoA Reductase Inhibitors)

In healthy adult subjects, concomitant administration of Daptomycin for injection and simvastatin had no effect on plasma trough concentrations of simvastatin, and there were no reports of skeletal myopathy [see Clinical Pharmacology (12.3)].

However, inhibitors of HMG-CoA reductase may cause myopathy, which is manifested as muscle pain or weakness associated with elevated levels of creatine phosphokinase (CPK). In the adult Phase 3 S. aureus bacteremia/endocarditis trial, some patients who received prior or concomitant treatment with an HMG-CoA reductase inhibitor developed elevated CPK [see Adverse Reactions (6.1)]. Experience with the coadministration of HMG-CoA reductase inhibitors and Daptomycin for injection in patients is limited; therefore, consideration should be given to suspending use of HMG-CoA reductase inhibitors temporarily in patients receiving Daptomycin for injection.

8.6 Patients With Renal Impairment (8.6 Patients with Renal Impairment)

Daptomycin is eliminated primarily by the kidneys; therefore, a modification of Daptomycin for injection dosage interval is recommended for adult patients with CLCR <30 mL/min, including patients receiving hemodialysis or continuous ambulatory peritoneal dialysis (CAPD). In adult patients with renal impairment, both renal function and creatine phosphokinase (CPK) should be monitored more frequently than once weekly [see Dosage and Administration (2.6), Warnings and Precautions (5.2, 5.10), and Clinical Pharmacology (12.3)].

The dosage regimen for Daptomycin for injection in pediatric patients with renal impairment has not been established.

16 How Supplied/storage and Handling (16 HOW SUPPLIED/STORAGE AND HANDLING)

Daptomycin for injection is supplied as a sterile pale yellow to light brown lyophilized cake in a single-dose 15 mL vial containing 500 mg of daptomycin: Package of 1 (NDC 70594-034-02).

5.9 Persisting Or Relapsing S. Aureus (5.9 Persisting or Relapsing S. aureus)

Patients with persisting or relapsing S. aureus bacteremia/endocarditis or poor clinical response should have repeat blood cultures. If a blood culture is positive for S. aureus, minimum inhibitory concentration (MIC) susceptibility testing of the isolate should be performed using a standardized procedure, and diagnostic evaluation of the patient should be performed to rule out sequestered foci of infection. Appropriate surgical intervention (e.g., debridement, removal of prosthetic devices, valve replacement surgery) and/or consideration of a change in antibacterial regimen may be required.

Failure of treatment due to persisting or relapsing S. aureus bacteremia/endocarditis may be due to reduced daptomycin susceptibility (as evidenced by increasing MIC of the S. aureus isolate) [see Clinical Studies (14.2)].

7.2 Drug Laboratory Test Interactions (7.2 Drug-Laboratory Test Interactions)

Clinically relevant plasma concentrations of daptomycin have been observed to cause a significant concentration-dependent false prolongation of prothrombin time (PT) and elevation of International Normalized Ratio (INR) when certain recombinant thromboplastin reagents are utilized for the assay. The possibility of an erroneously elevated PT/INR result due to interaction with a recombinant thromboplastin reagent may be minimized by drawing specimens for PT or INR testing near the time of trough plasma concentrations of daptomycin. However, sufficient daptomycin concentrations may be present at trough to cause interaction.

If confronted with an abnormally high PT/INR result in a patient being treated with Daptomycin for injection, it is recommended that clinicians:

  • Repeat the assessment of PT/INR, requesting that the specimen be drawn just prior to the next Daptomycin for injection dose (i.e., at trough concentration). If the PT/INR value obtained at trough remains substantially elevated above what would otherwise be expected, consider evaluating PT/INR utilizing an alternative method.
  • Evaluate for other causes of abnormally elevated PT/INR results.
5.5 Tubulointerstitial Nephritis (tin) (5.5 Tubulointerstitial Nephritis (TIN))

TIN has been reported in post-marketing experience with Daptomycin for injection [see Adverse Reactions (6.2) ]. Patients who develop new or worsening renal impairment while receiving Daptomycin for injection should undergo medical evaluation. If TIN is suspected, discontinue Daptomycin for injection promptly and institute appropriate treatment.

5.1 Anaphylaxis/hypersensitivity Reactions (5.1 Anaphylaxis/Hypersensitivity Reactions)

Anaphylaxis/hypersensitivity reactions have been reported with the use of antibacterial agents, including Daptomycin for injection, and may be life-threatening. If an allergic reaction to Daptomycin for injection occurs, discontinue the drug and institute appropriate therapy [see Adverse Reactions (6.2)].

5.12 Development of Drug Resistant Bacteria (5.12 Development of Drug-Resistant Bacteria)

Prescribing Daptomycin for injection in the absence of a proven or strongly suspected bacterial infection or a prophylactic indication is unlikely to provide benefit to the patient and increases the risk of the development of drug-resistant bacteria.

Principal Display Panel 500 Mg Vial Carton (PRINCIPAL DISPLAY PANEL - 500 mg Vial Carton)

NDC 70594-034-02

Rx Only

For Intravenous Infusion.

Daptomycin

for Injection

500 mg/vial

MUST BE REFRIGERATED

Use 0.9% Sodium Chloride

Injection for reconstitution only.

One Single-Dose Vial

Discard Unused Portion

2.4 Dosage in Adult Patients With Staphylococcus Aureus (2.4 Dosage in Adult Patients with Staphylococcus aureus)

Administer Daptomycin for injection 6 mg/kg to adult patients intravenously in 0.9% sodium chloride injection once every 24 hours for 2 to 6 weeks. There are limited safety data for the use of Daptomycin for injection for more than 28 days of therapy. In the Phase 3 trial, there were a total of 14 adult patients who were treated with Daptomycin for injection for more than 28 days.

13.1 Carcinogenesis, Mutagenesis, Impairment of Fertility

Long-term carcinogenicity studies in animals have not been conducted to evaluate the carcinogenic potential of Daptomycin for injection. However, neither mutagenic nor clastogenic potential was found in a battery of genotoxicity tests, including the Ames assay, a mammalian cell gene mutation assay, a test for chromosomal aberrations in Chinese hamster ovary cells, an in vivo micronucleus assay, an in vitro DNA repair assay, and an in vivo sister chromatid exchange assay in Chinese hamsters.

Daptomycin did not affect the fertility or reproductive performance of male and female rats when administered intravenously at doses of 25, 75, or 150 mg/kg/day, which is approximately up to 9 times the estimated human exposure level based upon AUCs (or approximately up to 4 times the recommended human dose of 6 mg/kg based on body surface area comparison).

1.1 Complicated Skin and Skin Structure Infections (csssi) (1.1 Complicated Skin and Skin Structure Infections (cSSSI))

Daptomycin for injection is indicated for the treatment of adult and pediatric patients (1 to 17 years of age) with complicated skin and skin structure infections (cSSSI) caused by susceptible isolates of the following Gram-positive bacteria: Staphylococcus aureus (including methicillin-resistant isolates), Streptococcus pyogenes, Streptococcus agalactiae, Streptococcus dysgalactiae subsp. equisimilis, and Enterococcus faecalis (vancomycin-susceptible isolates only).

2.7 Preparation and Administration of Daptomycin for Injection

There are other formulations of daptomycin that have differences concerning reconstitution and storage. Carefully follow the reconstitution and storage procedures described in this labeling.

2.3 Dosage in Pediatric Patients (1 to 17 Years of Age) for Csssi (2.3 Dosage in Pediatric Patients (1 to 17 Years of Age) for cSSSI)

The recommended dosage regimens based on age for pediatric patients with cSSSI are shown in Table 1. Administer Daptomycin for injection intravenously in 0.9% sodium chloride injection once every 24 hours for up to 14 days.

Table 1: Recommended Dosage of Daptomycin for injection in Pediatric Patients (1 to 17 Years of Age) with cSSSI, Based on Age
Age Range Dosage Regimen
Recommended dosage regimen is for pediatric patients (1 to 17 years of age) with normal renal function. Dosage adjustment for pediatric patients with renal impairment has not been established.
Duration of therapy
12 to 17 years 5 mg/kg once every 24 hours infused over 30 minutes Up to 14 days
7 to 11 years 7 mg/kg once every 24 hours infused over 30 minutes
2 to 6 years 9 mg/kg once every 24 hours infused over 60 minutes
1 to less than 2 years 10 mg/kg once every 24 hours infused over 60 minutes
5.4 Drug Reaction With Eosinophilia and Systemic Symptoms (dress) (5.4 Drug Reaction with Eosinophilia and Systemic Symptoms (DRESS))

DRESS has been reported in post-marketing experience with Daptomycin for injection [see Adverse Reactions (6.2) ]. Patients who develop skin rash, fever, peripheral eosinophilia, and systemic organ (for example, hepatic, renal, pulmonary) impairment while receiving Daptomycin for injection should undergo medical evaluation. If DRESS is suspected, discontinue Daptomycin for injection promptly and institute appropriate treatment.

2.8 Compatible Intravenous Solution for Reconstitution and Dilution

Daptomycin for injection is compatible with 0.9% sodium chloride injection for reconstitution.

Reconstituted Daptomycin for injection can only be diluted with 0.9% sodium chloride injection.

5.10 Decreased Efficacy in Patients With Moderate Baseline Renal Impairment (5.10 Decreased Efficacy in Patients with Moderate Baseline Renal Impairment)

Limited data are available from the two Phase 3 complicated skin and skin structure infection (cSSSI) trials regarding clinical efficacy of Daptomycin for injection treatment in adult patients with creatinine clearance (CLCR) <50 mL/min; only 31/534 (6%) patients treated with Daptomycin for injection in the intent-to-treat (ITT) population had a baseline CLCR <50 mL/min. Table 4 shows the number of adult patients by renal function and treatment group who were clinical successes in the Phase 3 cSSSI trials.

Table 4: Clinical Success Rates by Renal Function and Treatment Group in Phase 3 cSSSI Trials in Adult Patients (Population: ITT)
CLCR Success Rate n/N (%)
Daptomycin for Injection

4 mg/kg every 24h
Comparator
50–70 mL/min 25/38 (66%) 30/48 (63%)
30–<50 mL/min 7/15 (47%) 20/35 (57%)

In a subgroup analysis of the ITT population in the Phase 3 S. aureus bacteremia/endocarditis trial, clinical success rates, as determined by a treatment-blinded Adjudication Committee [see Clinical Studies (14.2)], in the Daptomycin for injection-treated adult patients were lower in patients with baseline CLCR <50 mL/min (see Table 5). A decrease of the magnitude shown in Table 5 was not observed in comparator-treated patients.

Table 5: Adjudication Committee Clinical Success Rates at Test of Cure by Baseline Creatinine Clearance and Treatment Subgroup in the S. aureus Bacteremia/Endocarditis Trial in Adult Patients (Population: ITT)
Baseline CLCR Success Rate n/N (%)
Daptomycin for injection

6 mg/kg every 24h
Comparator
Bacteremia Right-Sided Infective Endocarditis Bacteremia Right-Sided Infective Endocarditis
>80 mL/min 30/50 (60%) 7/14 (50%) 19/42 (45%) 5/11 (46%)
50–80 mL/min 12/26 (46%) 1/4 (25%) 13/31 (42%) 1/2 (50%)
30–<50 mL/min 2/14 (14%) 0/1 (0%) 7/17 (41%) 1/1 (100%)

Consider these data when selecting antibacterial therapy for use in adult patients with baseline moderate to severe renal impairment.

5.11 Increased International Normalized Ratio (inr)/prolonged Prothrombin Time (5.11 Increased International Normalized Ratio (INR)/Prolonged Prothrombin Time)

Clinically relevant plasma concentrations of daptomycin have been observed to cause a significant concentration-dependent false prolongation of prothrombin time (PT) and elevation of International Normalized Ratio (INR) when certain recombinant thromboplastin reagents are utilized for the assay [see Drug Interactions (7.2)].

2.5 Dosage in Pediatric Patients (1 to 17 Years of Age) With Staphylococcus Aureus (2.5 Dosage in Pediatric Patients (1 to 17 Years of Age) with Staphylococcus aureus)

The recommended dosage regimens based on age for pediatric patients with S. aureus bloodstream infections (bacteremia) are shown in Table 2. Administer Daptomycin for injection intravenously in 0.9% sodium chloride injection once every 24 hours for up to 42 days.

Table 2: Recommended Dosage of Daptomycin for injection in Pediatric Patients (1 to 17 Years of Age) with S. aureus Bacteremia, Based on Age
Age group Dosage
Recommended dosage is for pediatric patients (1 to 17 years of age) with normal renal function. Dosage adjustment for pediatric patients with renal impairment has not been established.
Duration of therapy
12 to 17 years 7 mg/kg once every 24 hours infused over 30 minutes Up to 42 days
7 to 11 years 9 mg/kg once every 24 hours infused over 30 minutes
1 to 6 years 12 mg/kg once every 24 hours infused over 60 minutes
5.7 Potential Nervous System And/or Muscular System Effects in Pediatric Patients Younger Than 12 Months (5.7 Potential Nervous System and/or Muscular System Effects in Pediatric Patients Younger than 12 Months)

Avoid use of Daptomycin for injection in pediatric patients younger than 12 months due to the risk of potential effects on muscular, neuromuscular, and/or nervous systems (either peripheral and/or central) observed in neonatal dogs with intravenous daptomycin [see Nonclinical Toxicology (13.2)].


Advanced Ingredient Data


Raw Label Data

All Sections (JSON)