These Highlights Do Not Include All The Information Needed To Use Metaxalone Tablets, 640 Mg, Safely And Effectively. See Full Prescribing Information For Metaxalone Tablets, 640 Mg.

These Highlights Do Not Include All The Information Needed To Use Metaxalone Tablets, 640 Mg, Safely And Effectively. See Full Prescribing Information For Metaxalone Tablets, 640 Mg.
SPL v4
SPL
SPL Set ID fc6de1a6-26aa-47ac-a5d2-bf127a6ca563
Route
ORAL
Published
Effective Date 2025-05-12
Document Type 34391-3 HUMAN PRESCRIPTION DRUG LABEL

Drug Facts

Composition & Product

Active Ingredients
Metaxalone (640 mg)
Inactive Ingredients
Alginic Acid Fd&c Yellow No. 6 Lactose Monohydrate Magnesium Stearate Povidone Propylene Glycol Alginate

Identifiers & Packaging

Pill Appearance
Imprint: M640 Shape: oval Color: pink Size: 19 mm Score: 1
Marketing Status
NDA Active Since 2025-02-10

Description

Metaxalone Tablets, 640 mg, are indicated as an adjunct to rest, physical therapy, and other measures for the relief of discomforts associated with acute, painful musculoskeletal conditions in adults and pediatric patients 13 years of age and older.

Indications and Usage

Metaxalone Tablets, 640 mg, are indicated as an adjunct to rest, physical therapy, and other measures for the relief of discomforts associated with acute, painful musculoskeletal conditions in adults and pediatric patients 13 years of age and older.

Dosage and Administration

The recommended dosage of Metaxalone Tablets, 640 mg in adults and pediatric patients 13 years of age and older is 640 mg taken orally with or without food, three to four times a day. The maximum recommended daily dosage is 2,560 mg (one tablet four times a day). Metaxalone Tablets, 640 mg and SKELAXIN 800 mg are not mutually substitutable on a mg-to-mg basis due to differences in pharmacokinetic profiles [see Warnings and Precautions (5.3) and Clinical Pharmacology (12.3) ].  When it is appropriate to switch a patient taking SKELAXIN 800 mg on an empty stomach to Metaxalone Tablets, 640 mg: Stop SKELAXIN 800 mg three times a day and start Metaxalone Tablets 640 mg three times a day on an empty stomach, OR Stop SKELAXIN 800 mg four times a day and start Metaxalone Tablets 640 mg four times a day on an empty stomach. For patients who have been taking either product with food, do not switch between SKELAXIN 800 mg and Metaxalone Tablets, 640 mg.

Warnings and Precautions

Serotonin Syndrome : Cases of serotonin syndrome, a potentially life-threatening condition, have been reported during concomitant use of metaxalone (within the recommended dosage range) and other serotonergic drugs and with the use of metaxalone as the only serotonergic drug taken at a dosage higher than the recommended dosage. If concomitant use with another serotonergic drug is warranted, carefully observe the patient, particularly during treatment initiation and dosage increases. Discontinue Metaxalone Tablets, 640 mg if serotonin syndrome is suspected or it occurs. ( 5.1 , 7.1 ) Central Nervous System (CNS) Depression : Metaxalone Tablets, 640 mg may impair mental and/or physical abilities required for the performance of hazardous tasks, such as operating machinery or driving a motor vehicle, and may enhance the effects of other CNS depressants including alcohol. Follow patients closely for signs and symptoms of respiratory depression and sedation. If concomitant use with another CNS depressant is warranted, closely monitor for signs of respiratory depression and sedation, particularly during treatment initiation and dosage increases. ( 5.2 , 7.2 ) Risk with Inappropriate Switching to Metaxalone Tablets, 640 mg  Inappropriate switching on a mg-to-mg basis from SKELAXIN (metaxalone) tablets, 800 mg to Metaxalone Tablets, 640 mg to achieve the same total daily metaxalone dosage may result in a clinically significant increase in metaxalone exposure which may increase the risk of metaxalone-associated adverse reactions including CNS depression. Metaxalone Tablets, 640 mg and SKELAXIN (metaxalone) tablets, 800 mg are not mutually substitutable on a mg-to-mg basis ( 5.3 , 12.3 ).

Contraindications

The use of Metaxalone Tablets, 640 mg is contraindicated in patients with: Known hypersensitivity to any components of this product. Known tendency for drug-induced, hemolytic, or other anemias. Severe renal or hepatic impairment.

Adverse Reactions

The following adverse reactions associated with the use of metaxalone were identified in clinical studies or postmarketing reports.  Because some of these reactions were reported voluntarily from a population of uncertain size, it is not always possible to reliably estimate their frequency or establish a causal relationship to drug exposure.  The most frequent reactions to metaxalone were: CNS : drowsiness, dizziness, headache, and nervousness or “irritability” Digestive : nausea, vomiting, gastrointestinal upset. Other adverse reactions were: Allergic :  anaphylaxis have been reported with metaxalone. CNS : cases of serotonin syndrome, a potentially life-threatening condition, have been reported during concomitant use of metaxalone (within the recommended dosage range) and other serotonergic drugs and with the use of metaxalone as the only serotonergic drug taken at a dosage higher than the recommended dosage [see Warnings and Precautions (5.1) , Drug Interactions (7.2) , and Overdosage (10) ]. Hematologic : leucopenia; hemolytic anemia. Hepatobiliary : jaundice. Immune System : hypersensitivity reaction, rash with or without pruritus.

Storage and Handling

Metaxalone Tablets, 640 mg are available as oval, peach-colored tablets, debossed with M640 on one side and no markings on the other side. Metaxalone Tablets, 640 mg are packaged as a bottle of 60 tablets, NDC 74157-018-60 Store at 20°C to 25°C (68°F to 77°F), excursions permitted to 15°C to 30°C (59°F to 86°F). [see USP Controlled Room Temperature].

How Supplied

Metaxalone Tablets, 640 mg are available as oval, peach-colored tablets, debossed with M640 on one side and no markings on the other side. Metaxalone Tablets, 640 mg are packaged as a bottle of 60 tablets, NDC 74157-018-60 Store at 20°C to 25°C (68°F to 77°F), excursions permitted to 15°C to 30°C (59°F to 86°F). [see USP Controlled Room Temperature].


Medication Information

Warnings and Precautions

Serotonin Syndrome : Cases of serotonin syndrome, a potentially life-threatening condition, have been reported during concomitant use of metaxalone (within the recommended dosage range) and other serotonergic drugs and with the use of metaxalone as the only serotonergic drug taken at a dosage higher than the recommended dosage. If concomitant use with another serotonergic drug is warranted, carefully observe the patient, particularly during treatment initiation and dosage increases. Discontinue Metaxalone Tablets, 640 mg if serotonin syndrome is suspected or it occurs. ( 5.1 , 7.1 ) Central Nervous System (CNS) Depression : Metaxalone Tablets, 640 mg may impair mental and/or physical abilities required for the performance of hazardous tasks, such as operating machinery or driving a motor vehicle, and may enhance the effects of other CNS depressants including alcohol. Follow patients closely for signs and symptoms of respiratory depression and sedation. If concomitant use with another CNS depressant is warranted, closely monitor for signs of respiratory depression and sedation, particularly during treatment initiation and dosage increases. ( 5.2 , 7.2 ) Risk with Inappropriate Switching to Metaxalone Tablets, 640 mg  Inappropriate switching on a mg-to-mg basis from SKELAXIN (metaxalone) tablets, 800 mg to Metaxalone Tablets, 640 mg to achieve the same total daily metaxalone dosage may result in a clinically significant increase in metaxalone exposure which may increase the risk of metaxalone-associated adverse reactions including CNS depression. Metaxalone Tablets, 640 mg and SKELAXIN (metaxalone) tablets, 800 mg are not mutually substitutable on a mg-to-mg basis ( 5.3 , 12.3 ).

Indications and Usage

Metaxalone Tablets, 640 mg, are indicated as an adjunct to rest, physical therapy, and other measures for the relief of discomforts associated with acute, painful musculoskeletal conditions in adults and pediatric patients 13 years of age and older.

Dosage and Administration

The recommended dosage of Metaxalone Tablets, 640 mg in adults and pediatric patients 13 years of age and older is 640 mg taken orally with or without food, three to four times a day. The maximum recommended daily dosage is 2,560 mg (one tablet four times a day). Metaxalone Tablets, 640 mg and SKELAXIN 800 mg are not mutually substitutable on a mg-to-mg basis due to differences in pharmacokinetic profiles [see Warnings and Precautions (5.3) and Clinical Pharmacology (12.3) ].  When it is appropriate to switch a patient taking SKELAXIN 800 mg on an empty stomach to Metaxalone Tablets, 640 mg: Stop SKELAXIN 800 mg three times a day and start Metaxalone Tablets 640 mg three times a day on an empty stomach, OR Stop SKELAXIN 800 mg four times a day and start Metaxalone Tablets 640 mg four times a day on an empty stomach. For patients who have been taking either product with food, do not switch between SKELAXIN 800 mg and Metaxalone Tablets, 640 mg.

Contraindications

The use of Metaxalone Tablets, 640 mg is contraindicated in patients with: Known hypersensitivity to any components of this product. Known tendency for drug-induced, hemolytic, or other anemias. Severe renal or hepatic impairment.

Adverse Reactions

The following adverse reactions associated with the use of metaxalone were identified in clinical studies or postmarketing reports.  Because some of these reactions were reported voluntarily from a population of uncertain size, it is not always possible to reliably estimate their frequency or establish a causal relationship to drug exposure.  The most frequent reactions to metaxalone were: CNS : drowsiness, dizziness, headache, and nervousness or “irritability” Digestive : nausea, vomiting, gastrointestinal upset. Other adverse reactions were: Allergic :  anaphylaxis have been reported with metaxalone. CNS : cases of serotonin syndrome, a potentially life-threatening condition, have been reported during concomitant use of metaxalone (within the recommended dosage range) and other serotonergic drugs and with the use of metaxalone as the only serotonergic drug taken at a dosage higher than the recommended dosage [see Warnings and Precautions (5.1) , Drug Interactions (7.2) , and Overdosage (10) ]. Hematologic : leucopenia; hemolytic anemia. Hepatobiliary : jaundice. Immune System : hypersensitivity reaction, rash with or without pruritus.

Storage and Handling

Metaxalone Tablets, 640 mg are available as oval, peach-colored tablets, debossed with M640 on one side and no markings on the other side. Metaxalone Tablets, 640 mg are packaged as a bottle of 60 tablets, NDC 74157-018-60 Store at 20°C to 25°C (68°F to 77°F), excursions permitted to 15°C to 30°C (59°F to 86°F). [see USP Controlled Room Temperature].

How Supplied

Metaxalone Tablets, 640 mg are available as oval, peach-colored tablets, debossed with M640 on one side and no markings on the other side. Metaxalone Tablets, 640 mg are packaged as a bottle of 60 tablets, NDC 74157-018-60 Store at 20°C to 25°C (68°F to 77°F), excursions permitted to 15°C to 30°C (59°F to 86°F). [see USP Controlled Room Temperature].

Description

Metaxalone Tablets, 640 mg, are indicated as an adjunct to rest, physical therapy, and other measures for the relief of discomforts associated with acute, painful musculoskeletal conditions in adults and pediatric patients 13 years of age and older.

10 Overdosage

Clinical Presentations of Metaxalone Overdose

Cardiovascular effects may include tachycardia and hypertension; hypotension has also been reported. CNS manifestations may include CNS depression, agitation, hallucinations, delusions, seizures, respiratory depression, and coma. Deaths by deliberate or accidental overdose may occur with metaxalone, particularly in combination with other CNS depressants (including alcohol). Serotonin syndrome, leading to muscle rigidity, tremor, and hyperthermia, has been reported [see Warnings and Precautions (5.1), Drug Interactions (7.1, 7.2)].

Treatment of Overdose

The standard of treatment is supportive care. Monitor for CNS and respiratory depression and, manage airway with oxygen as needed. Gastrointestinal decontamination procedures (including emesis) should generally be avoided because aspiration may result from CNS depression and seizures. Extracorporeal elimination such as hemodialysis or plasmapheresis have no proven clinical benefit.

Consider contacting the Poison Help line (1-800-222-1222) or a medical toxicologist for additional overdose management recommendations.

8.1 Pregnancy

Risk Summary

There are no available data on metaxalone use in pregnancy to evaluate for a drug-associated risk of major birth defects, miscarriage or other adverse maternal or fetal outcomes despite decades of metaxalone use. Reproduction studies in rats have not revealed evidence of impaired fertility or harm to fetus due to metaxalone.

The estimated background risk of major birth defects and miscarriage for the indicated population is unknown. All pregnancies have a background risk of birth defect, loss, or other adverse outcomes. In the U.S. general population, the estimated risk of major birth defects and miscarriage in clinically recognized pregnancies is 2% to 4% and 15% to 20%, respectively.

8.2 Lactation

Risk Summary

There are no data on the presence of metaxalone or its metabolite in either human or animal milk, the effects on the breastfed infant, or the effects on milk production. The developmental and health benefits of breastfeeding should be considered along with the mother’s clinical need for metaxalone and any potential adverse effects on the breastfed infant from metaxalone or from the underlying maternal condition.

Product Label

NDC 74157-018-60

Metaxalone Tablets

640 mg

Rx Only

SEALED FOR YOUR PROTECTION

60 Tablets

11 Description

Metaxalone Tablets, 640 mg for oral administration, are available as 640 mg oval, peach-colored tablets, debossed with M640 on one side and no markings on the other side. Each tablet contains 640 mg metaxalone, a muscle relaxant, and the following inactive ingredients: alginic acid, FD&C yellow #6, lactose monohydrate, magnesium stearate, propylene glycol alginate and povidone.

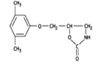
Chemically, metaxalone is 5-[(3, 5- dimethylphenoxy) methyl]-2-oxazolidinone. The empirical formula is C 1 2H 15NO 3, which corresponds to a molecular weight of 221.25. The structural formula is:

Metaxalone is a white to almost white, odorless crystalline powder freely soluble in chloroform, soluble in methanol and in 96% ethanol, but practically insoluble in ether or water.

7.2 Depressants

If concomitant use of Metaxalone Tablets, 640 mg and another CNS depressant is warranted, closely monitor for signs of respiratory depression and sedation, particularly during treatment initiation and dosage modification. 

Due to the additive pharmacologic effect, concomitant use of Metaxalone Tablets, 640 mg with other CNS depressants may increase the risk of sedation and respiratory depression [see Warnings and Precautions (5.2)].

8.4 Pediatric Use

Metaxalone Tablets, 640 mg are indicated as an adjunct to rest, physical therapy, and other measures for the relief of discomforts associated with acute, painful musculoskeletal conditions in pediatric patients 13 years of age and older.

The safety and effectiveness of Metaxalone Tablets, 640 mg in pediatric patients less than 13 years of age have not been established.

8.5 Geriatric Use

Clinical studies of Metaxalone Tablets, 640 mg did not include sufficient numbers of patients 65 years of age and older to determine whether they respond differently from younger adult patients. The effects of age on the pharmacokinetics of Metaxalone Tablets, 640 mg have not been evaluated. Geriatric patients may be especially susceptible to CNS depression associated with metaxalone use [see Warnings and Precautions (5.2)].

4 Contraindications

The use of Metaxalone Tablets, 640 mg is contraindicated in patients with:

  • Known hypersensitivity to any components of this product.
  • Known tendency for drug-induced, hemolytic, or other anemias.
  • Severe renal or hepatic impairment.
6 Adverse Reactions

The following adverse reactions associated with the use of metaxalone were identified in clinical studies or postmarketing reports.  Because some of these reactions were reported voluntarily from a population of uncertain size, it is not always possible to reliably estimate their frequency or establish a causal relationship to drug exposure.  The most frequent reactions to metaxalone were:

  • CNS: drowsiness, dizziness, headache, and nervousness or “irritability”
  • Digestive: nausea, vomiting, gastrointestinal upset.

Other adverse reactions were:

  • Allergic:  anaphylaxis have been reported with metaxalone.
  • CNS: cases of serotonin syndrome, a potentially life-threatening condition, have been reported during concomitant use of metaxalone (within the recommended dosage range) and other serotonergic drugs and with the use of metaxalone as the only serotonergic drug taken at a dosage higher than the recommended dosage [see Warnings and Precautions (5.1), Drug Interactions (7.2), and Overdosage (10)].
  • Hematologic: leucopenia; hemolytic anemia.
  • Hepatobiliary: jaundice.
  • Immune System: hypersensitivity reaction, rash with or without pruritus.
8.7 Renal Impairment

Metaxalone Tablets, 640 mg are contraindicated in patients with severe renal impairment Metaxalone Tablets, 640 mg should be used with caution and additional monitoring should be considered in patients with mild to moderate renal impairment. The effect of renal impairment on metaxalone pharmacokinetics is unknown; however, metaxalone undergoes renal excretion as unidentified metabolites [see Clinical Pharmacology (12.3)]

12.2 Pharmacodynamics

The exposure-response relationship and time course of pharmacodynamic response for the safety and effectiveness of metaxalone not been fully characterized.

12.3 Pharmacokinetics

Absorption

In a relative bioavailability study in healthy adult volunteers, the C max (peak plasma concentration) and AUC (extent of absorption) values of metaxalone from Metaxalone Tablets, 640 mg were found to be similar to those from SKELAXIN 800 mg tablets. After a single dose of Metaxalone Tablets, 640 mg, under fasted conditions, mean C max and AUC values were 2 mcg/mL and 16 mcg*h/mL, respectively. The time-to-peak plasma concentration (T max) occurred at 3.5 hours (range 1.5-12 hours). The plasma half-life in adult healthy subjects was approximately 5 hours after administration of Metaxalone Tablets, 640 mg.

Effect of Food: Table 1 displays the effect of a high fat meal on the pharmacokinetics of metaxalone.

Table 1: Effect of a High Fat Meal on the Pharmacokinetics of Metaxalone 
 Metaxalone Product  C max 1  AUC 0-t 1  AUC 0-inf 1  T max 2
 Metaxalone Tablets, 640 mg  23% Increase  7% Increase  6% Increase  8 hours

(3.5-24 hours)
 SKELAXIN (metaxalone) tablets, 800 mg  76% Increase  32% Increase  32% Increase  5 hours

(2.5-24 hours)

1= Presented as ratio fed/fasted groups. Fed group received a high fat meal.

2= Presented as median (range) under fed state.

Distribution

For Metaxalone Tablets, 640 mg, the metaxalone apparent volume of distribution (V/F) was approximately 800 Liters. Metaxalone plasma protein binding is unknown.

Elimination

For Metaxalone Tablets, 640 mg, the metaxalone plasma half-life was approximately 5 hours.

Metabolism:  Metaxalone is metabolized by the liver. CYP1A2, CYP2D6, CYP2E1, and CYP3A4 and, to a lesser extent, CYP2C8, CYP2C9, and CYP2C19 are involved in metaxalone metabolism.

Excretion: Metaxalone is excreted in the urine as unidentified metabolites.

Specific Populations

For Metaxalone Tablets, 640 mg, the effect of age, renal impairment, and hepatic impairment on the pharmacokinetics of metaxalone is unknown.

Males and Females:The metaxalone Cmax increased by 36% and AUC inf by 31%, in females compared to males following administration of 640 mg of Metaxalone Tablets. These data were not adjusted for other factors (e.g., weight, renal function).  The clinical significance of these findings is unknown.

Drug Interaction Studies

In Vitro Studies: Metaxalone does not inhibit CYP1A2, CYP2A6, CYP2B6, CYP2C8, CYP2C9, CYP2C19, CYP2D6, CYP2E1, and CYP3A4 or induce CYP1A2, CYP2B6, and CYP3A4.

5.1 Serotonin Syndrome

Cases of serotonin syndrome, a potentially life-threatening condition, have been reported during concomitant use of metaxalone (within the recommended dosage range) and other serotonergic drugs [see Drug Interactions (7)] and with the use of metaxalone as the only serotonergic drug taken at a dosage higher than the recommended dosage [see Overdosage (10)] . Serotonergic drugs include selective serotonin reuptake inhibitors (SSRIs), serotonin and norepinephrine reuptake inhibitors (SNRIs), tricyclic antidepressants (TCAs), triptans, 5-HT3 receptor antagonists, opioids (particularly fentanyl, meperidine, and methadone), drugs that affect the serotonergic neurotransmitter system (e.g., mirtazapine, trazodone, tramadol), and drugs that impair metabolism of serotonin (including monoamine oxidase (MAO) inhibitors, both those intended to treat psychiatric disorders and also others, such as linezolid and intravenous methylene blue) [see Drug Interactions (7.2)] .

Serotonin syndrome symptoms may include mental status changes (e.g., agitation, hallucinations, coma), autonomic instability (e.g., tachycardia, labile blood pressure, hyperthermia), neuromuscular aberrations (e.g., hyperreflexia, incoordination, rigidity), and/or gastrointestinal symptoms (e.g., nausea, vomiting, diarrhea). The onset of symptoms generally occurs within several hours to a few days after initiation of a serotonergic drug but may occur later than that.

If concomitant use of Metaxalone Tablets, 640 mg and another serotonergic drug is warranted, reassess the patient, particularly during treatment initiation and dosage modification. Discontinue Metaxalone Tablets, 640 mg if serotonin syndrome is suspected or occurs.

7.1 Serotonergic Drugs

If concomitant use of Metaxalone Tablets, 640 mg and another serotonergic drug is warranted, carefully observe the patient, particularly during treatment initiation and dosage modification. Discontinue Metaxalone Tablets, 640 mg if serotonin syndrome is suspected or if it occurs.

Serotonin syndrome has resulted from concomitant use of metaxalone (within the recommended dosage range) and other serotonergic drugs [see Warnings and Precautions (5.1)].

Serotonergic drugs include selective serotonin reuptake inhibitors (SSRIs), serotonin and norepinephrine reuptake inhibitors (SNRIs), tricyclic antidepressants (TCAs), triptans, 5-HT3 receptor antagonists, opioids (particularly fentanyl, meperidine, and methadone), drugs that affect the serotonin neurotransmitter system (e.g., mirtazapine, trazodone, tramadol), monoamine oxidase (MAO) inhibitors (those intended to treat psychiatric disorders and also others, such as linezolid and intravenous methylene blue).

8.6 Hepatic Impairment

Metaxalone Tablets. 640 mg are contraindicated in patients with severe hepatic impairment Metaxalone Tablets, 640 mg should be used with caution and additional monitoring should be considered in patients with mild to moderate hepatic impairment. The effect of hepatic impairment on metaxalone pharmacokinetics is unknown; however, metaxalone undergoes extensive hepatic metabolism [see Clinical Pharmacology (12.3)] .

1 Indications and Usage

Metaxalone Tablets, 640 mg, are indicated as an adjunct to rest, physical therapy, and other measures for the relief of discomforts associated with acute, painful musculoskeletal conditions in adults and pediatric patients 13 years of age and older.

12.1 Mechanism of Action

The mechanism of action of metaxalone as an adjunct to rest, physical therapy, and other measures for the relief of discomfort associated with acute, painful musculoskeletal conditions has not been established, but may be due to general CNS depression. Metaxalone has no direct action on the contractile mechanism of striated muscle, the motor end plate, or the nerve fiber.

13 Nonclinical Toxicology

12  Clinical Pharmacology

5 Warnings and Precautions

2 Dosage and Administration

The recommended dosage of Metaxalone Tablets, 640 mg in adults and pediatric patients 13 years of age and older is 640 mg taken orally with or without food, three to four times a day. The maximum recommended daily dosage is 2,560 mg (one tablet four times a day).

Metaxalone Tablets, 640 mg and SKELAXIN 800 mg are not mutually substitutable on a mg-to-mg basis due to differences in pharmacokinetic profiles [see Warnings and Precautions (5.3)and Clinical Pharmacology (12.3)].  When it is appropriate to switch a patient taking SKELAXIN 800 mg on an empty stomach to Metaxalone Tablets, 640 mg:

  • Stop SKELAXIN 800 mg threetimes a day and start Metaxalone Tablets 640 mg threetimes a day on an empty stomach, OR
  • Stop SKELAXIN 800 mg fourtimes a day and start Metaxalone Tablets 640 mg fourtimes a day on an empty stomach.

For patients who have been taking either product with food, do not switch between SKELAXIN 800 mg and Metaxalone Tablets, 640 mg.

3 Dosage Forms and Strengths

Tablets: 640 mg oval, peach-colored, debossed with M640 on one side and without markings on the other side.

8 Use in Specific Populations

17 Patient Counseling Information

Serotonin Syndrome

Inform patients that Metaxalone Tablets, 640 mg could cause a rare but potentially life-threatening condition called serotonin syndrome. Warn patients of the symptoms of serotonin syndrome and to seek medical attention right away if symptoms develop. Instruct patients to inform their healthcare providers if they are taking, or plan to take, serotonergic drugs [see Warnings and Precautions (5.1) and Drug Interactions (7.1)] .

Central Nervous System Depression

Advise patients that Metaxalone Tablets, 640 mg may impair mental and/or physical abilities required for performance of hazardous tasks, such as operating machinery or driving a motor vehicle, especially when used with alcohol and other CNS depressants [see Drug Interactions (7.2)] .

Manufactured for: INA Pharmaceutics, Inc., Fairmont, WV 26554

U.S. Patents: 11,918,559; Patents Pending

21507-03 01/26

1274E##

16 How Supplied/storage and Handling

Metaxalone Tablets, 640 mg are available as oval, peach-colored tablets, debossed with M640 on one side and no markings on the other side. Metaxalone Tablets, 640 mg are packaged as a bottle of 60 tablets, NDC 74157-018-60

Store at 20°C to 25°C (68°F to 77°F), excursions permitted to 15°C to 30°C (59°F to 86°F). [see USP Controlled Room Temperature].

5.2 Central Nervous System Depression

Because of central nervous system (CNS) depressant effects, metaxalone may impair mental and/or physical abilities required for performance of hazardous tasks, such as operating machinery or driving a motor vehicle, especially when used with other CNS depressants including alcohol. Geriatric patients may be especially susceptible to CNS depression associated with metaxalone use. When used concomitantly, the sedative effects of metaxalone and other CNS depressants (e.g., alcohol, benzodiazepines, opioids, tricyclic antidepressants) may be additive [see Drug Interactions (7)].

Follow patients treated with Metaxalone Tablets, 640 mg closely for signs and symptoms of respiratory depression and sedation. If concomitant use of metaxalone and another CNS depressant is warranted, closely monitor for signs of respiratory depression and sedation, particularly during treatment initiation and dosage increases. 

7.3 Interaction of Metaxalone With Benedict’s Tests

False-positive Benedict's tests, due to an unknown reducing substance, have been noted in metaxalone-treated patients. A glucose-specific test will differentiate findings.

13.1 Carcinogenesis, Mutagenesis, Impairment of Fertility

Carcinogenesis

Long-term studies to evaluate the carcinogenic potential of metaxalone have not been conducted.

Mutagenesis

Studies to evaluate the mutagenic potential of metaxalone have not been conducted.

Impairment of Fertility

Reproduction studies in rats have not revealed evidence of impaired fertility or harm to the fetus due to metaxalone.

5.3 risk With Inappropriate Switching to Metaxalone Tablets, 640 Mg

Inappropriate switching on a mg-to-mg basis from SKELAXIN (metaxalone) tablets, 800 mg to Metaxalone Tablets, 640 mg to achieve the same total daily metaxalone dosage may result in a clinically significant increase in metaxalone exposure which may increase the risk of metaxalone-associated adverse reactions including CNS depression.  For example, it is inappropriate to switch from four SKELAXIN 800 mg tablets (3,200 mg) per day to five tablets of Metaxalone Tablets, 640 mg (3,200 mg) per day [1.25 times the maximum recommended daily dosage of 2,560 mg] [see Dosage and Administration (2)].  Metaxalone Tablets 640 mg and SKELAXIN (metaxalone) tablets, 800 mg are not mutually substitutable on a mg-to-mg basis [see Clinical Pharmacology (12.3)] .  

It is generally inappropriate to switch between Metaxalone Tablets, 640 mg and SKELAXIN 800 mg to mediate metaxalone-associated adverse reactions.

For recommendations on how to switch from SKELAXIN (metaxalone) tablets, 800 mg, to Metaxalone Tablets, 640 mg, see Dosage and Administration (2)


Structured Label Content

10 Overdosage (10 OVERDOSAGE)

Clinical Presentations of Metaxalone Overdose

Cardiovascular effects may include tachycardia and hypertension; hypotension has also been reported. CNS manifestations may include CNS depression, agitation, hallucinations, delusions, seizures, respiratory depression, and coma. Deaths by deliberate or accidental overdose may occur with metaxalone, particularly in combination with other CNS depressants (including alcohol). Serotonin syndrome, leading to muscle rigidity, tremor, and hyperthermia, has been reported [see Warnings and Precautions (5.1), Drug Interactions (7.1, 7.2)].

Treatment of Overdose

The standard of treatment is supportive care. Monitor for CNS and respiratory depression and, manage airway with oxygen as needed. Gastrointestinal decontamination procedures (including emesis) should generally be avoided because aspiration may result from CNS depression and seizures. Extracorporeal elimination such as hemodialysis or plasmapheresis have no proven clinical benefit.

Consider contacting the Poison Help line (1-800-222-1222) or a medical toxicologist for additional overdose management recommendations.

8.1 Pregnancy

Risk Summary

There are no available data on metaxalone use in pregnancy to evaluate for a drug-associated risk of major birth defects, miscarriage or other adverse maternal or fetal outcomes despite decades of metaxalone use. Reproduction studies in rats have not revealed evidence of impaired fertility or harm to fetus due to metaxalone.

The estimated background risk of major birth defects and miscarriage for the indicated population is unknown. All pregnancies have a background risk of birth defect, loss, or other adverse outcomes. In the U.S. general population, the estimated risk of major birth defects and miscarriage in clinically recognized pregnancies is 2% to 4% and 15% to 20%, respectively.

8.2 Lactation

Risk Summary

There are no data on the presence of metaxalone or its metabolite in either human or animal milk, the effects on the breastfed infant, or the effects on milk production. The developmental and health benefits of breastfeeding should be considered along with the mother’s clinical need for metaxalone and any potential adverse effects on the breastfed infant from metaxalone or from the underlying maternal condition.

Product Label (Product label)

NDC 74157-018-60

Metaxalone Tablets

640 mg

Rx Only

SEALED FOR YOUR PROTECTION

60 Tablets

11 Description (11 DESCRIPTION)

Metaxalone Tablets, 640 mg for oral administration, are available as 640 mg oval, peach-colored tablets, debossed with M640 on one side and no markings on the other side. Each tablet contains 640 mg metaxalone, a muscle relaxant, and the following inactive ingredients: alginic acid, FD&C yellow #6, lactose monohydrate, magnesium stearate, propylene glycol alginate and povidone.

Chemically, metaxalone is 5-[(3, 5- dimethylphenoxy) methyl]-2-oxazolidinone. The empirical formula is C 1 2H 15NO 3, which corresponds to a molecular weight of 221.25. The structural formula is:

Metaxalone is a white to almost white, odorless crystalline powder freely soluble in chloroform, soluble in methanol and in 96% ethanol, but practically insoluble in ether or water.

7.2 Depressants

If concomitant use of Metaxalone Tablets, 640 mg and another CNS depressant is warranted, closely monitor for signs of respiratory depression and sedation, particularly during treatment initiation and dosage modification. 

Due to the additive pharmacologic effect, concomitant use of Metaxalone Tablets, 640 mg with other CNS depressants may increase the risk of sedation and respiratory depression [see Warnings and Precautions (5.2)].

8.4 Pediatric Use

Metaxalone Tablets, 640 mg are indicated as an adjunct to rest, physical therapy, and other measures for the relief of discomforts associated with acute, painful musculoskeletal conditions in pediatric patients 13 years of age and older.

The safety and effectiveness of Metaxalone Tablets, 640 mg in pediatric patients less than 13 years of age have not been established.

8.5 Geriatric Use

Clinical studies of Metaxalone Tablets, 640 mg did not include sufficient numbers of patients 65 years of age and older to determine whether they respond differently from younger adult patients. The effects of age on the pharmacokinetics of Metaxalone Tablets, 640 mg have not been evaluated. Geriatric patients may be especially susceptible to CNS depression associated with metaxalone use [see Warnings and Precautions (5.2)].

4 Contraindications (4 CONTRAINDICATIONS)

The use of Metaxalone Tablets, 640 mg is contraindicated in patients with:

  • Known hypersensitivity to any components of this product.
  • Known tendency for drug-induced, hemolytic, or other anemias.
  • Severe renal or hepatic impairment.
6 Adverse Reactions (6 ADVERSE REACTIONS)

The following adverse reactions associated with the use of metaxalone were identified in clinical studies or postmarketing reports.  Because some of these reactions were reported voluntarily from a population of uncertain size, it is not always possible to reliably estimate their frequency or establish a causal relationship to drug exposure.  The most frequent reactions to metaxalone were:

  • CNS: drowsiness, dizziness, headache, and nervousness or “irritability”
  • Digestive: nausea, vomiting, gastrointestinal upset.

Other adverse reactions were:

  • Allergic:  anaphylaxis have been reported with metaxalone.
  • CNS: cases of serotonin syndrome, a potentially life-threatening condition, have been reported during concomitant use of metaxalone (within the recommended dosage range) and other serotonergic drugs and with the use of metaxalone as the only serotonergic drug taken at a dosage higher than the recommended dosage [see Warnings and Precautions (5.1), Drug Interactions (7.2), and Overdosage (10)].
  • Hematologic: leucopenia; hemolytic anemia.
  • Hepatobiliary: jaundice.
  • Immune System: hypersensitivity reaction, rash with or without pruritus.
8.7 Renal Impairment

Metaxalone Tablets, 640 mg are contraindicated in patients with severe renal impairment Metaxalone Tablets, 640 mg should be used with caution and additional monitoring should be considered in patients with mild to moderate renal impairment. The effect of renal impairment on metaxalone pharmacokinetics is unknown; however, metaxalone undergoes renal excretion as unidentified metabolites [see Clinical Pharmacology (12.3)]

12.2 Pharmacodynamics

The exposure-response relationship and time course of pharmacodynamic response for the safety and effectiveness of metaxalone not been fully characterized.

12.3 Pharmacokinetics

Absorption

In a relative bioavailability study in healthy adult volunteers, the C max (peak plasma concentration) and AUC (extent of absorption) values of metaxalone from Metaxalone Tablets, 640 mg were found to be similar to those from SKELAXIN 800 mg tablets. After a single dose of Metaxalone Tablets, 640 mg, under fasted conditions, mean C max and AUC values were 2 mcg/mL and 16 mcg*h/mL, respectively. The time-to-peak plasma concentration (T max) occurred at 3.5 hours (range 1.5-12 hours). The plasma half-life in adult healthy subjects was approximately 5 hours after administration of Metaxalone Tablets, 640 mg.

Effect of Food: Table 1 displays the effect of a high fat meal on the pharmacokinetics of metaxalone.

Table 1: Effect of a High Fat Meal on the Pharmacokinetics of Metaxalone 
 Metaxalone Product  C max 1  AUC 0-t 1  AUC 0-inf 1  T max 2
 Metaxalone Tablets, 640 mg  23% Increase  7% Increase  6% Increase  8 hours

(3.5-24 hours)
 SKELAXIN (metaxalone) tablets, 800 mg  76% Increase  32% Increase  32% Increase  5 hours

(2.5-24 hours)

1= Presented as ratio fed/fasted groups. Fed group received a high fat meal.

2= Presented as median (range) under fed state.

Distribution

For Metaxalone Tablets, 640 mg, the metaxalone apparent volume of distribution (V/F) was approximately 800 Liters. Metaxalone plasma protein binding is unknown.

Elimination

For Metaxalone Tablets, 640 mg, the metaxalone plasma half-life was approximately 5 hours.

Metabolism:  Metaxalone is metabolized by the liver. CYP1A2, CYP2D6, CYP2E1, and CYP3A4 and, to a lesser extent, CYP2C8, CYP2C9, and CYP2C19 are involved in metaxalone metabolism.

Excretion: Metaxalone is excreted in the urine as unidentified metabolites.

Specific Populations

For Metaxalone Tablets, 640 mg, the effect of age, renal impairment, and hepatic impairment on the pharmacokinetics of metaxalone is unknown.

Males and Females:The metaxalone Cmax increased by 36% and AUC inf by 31%, in females compared to males following administration of 640 mg of Metaxalone Tablets. These data were not adjusted for other factors (e.g., weight, renal function).  The clinical significance of these findings is unknown.

Drug Interaction Studies

In Vitro Studies: Metaxalone does not inhibit CYP1A2, CYP2A6, CYP2B6, CYP2C8, CYP2C9, CYP2C19, CYP2D6, CYP2E1, and CYP3A4 or induce CYP1A2, CYP2B6, and CYP3A4.

5.1 Serotonin Syndrome

Cases of serotonin syndrome, a potentially life-threatening condition, have been reported during concomitant use of metaxalone (within the recommended dosage range) and other serotonergic drugs [see Drug Interactions (7)] and with the use of metaxalone as the only serotonergic drug taken at a dosage higher than the recommended dosage [see Overdosage (10)] . Serotonergic drugs include selective serotonin reuptake inhibitors (SSRIs), serotonin and norepinephrine reuptake inhibitors (SNRIs), tricyclic antidepressants (TCAs), triptans, 5-HT3 receptor antagonists, opioids (particularly fentanyl, meperidine, and methadone), drugs that affect the serotonergic neurotransmitter system (e.g., mirtazapine, trazodone, tramadol), and drugs that impair metabolism of serotonin (including monoamine oxidase (MAO) inhibitors, both those intended to treat psychiatric disorders and also others, such as linezolid and intravenous methylene blue) [see Drug Interactions (7.2)] .

Serotonin syndrome symptoms may include mental status changes (e.g., agitation, hallucinations, coma), autonomic instability (e.g., tachycardia, labile blood pressure, hyperthermia), neuromuscular aberrations (e.g., hyperreflexia, incoordination, rigidity), and/or gastrointestinal symptoms (e.g., nausea, vomiting, diarrhea). The onset of symptoms generally occurs within several hours to a few days after initiation of a serotonergic drug but may occur later than that.

If concomitant use of Metaxalone Tablets, 640 mg and another serotonergic drug is warranted, reassess the patient, particularly during treatment initiation and dosage modification. Discontinue Metaxalone Tablets, 640 mg if serotonin syndrome is suspected or occurs.

7.1 Serotonergic Drugs

If concomitant use of Metaxalone Tablets, 640 mg and another serotonergic drug is warranted, carefully observe the patient, particularly during treatment initiation and dosage modification. Discontinue Metaxalone Tablets, 640 mg if serotonin syndrome is suspected or if it occurs.

Serotonin syndrome has resulted from concomitant use of metaxalone (within the recommended dosage range) and other serotonergic drugs [see Warnings and Precautions (5.1)].

Serotonergic drugs include selective serotonin reuptake inhibitors (SSRIs), serotonin and norepinephrine reuptake inhibitors (SNRIs), tricyclic antidepressants (TCAs), triptans, 5-HT3 receptor antagonists, opioids (particularly fentanyl, meperidine, and methadone), drugs that affect the serotonin neurotransmitter system (e.g., mirtazapine, trazodone, tramadol), monoamine oxidase (MAO) inhibitors (those intended to treat psychiatric disorders and also others, such as linezolid and intravenous methylene blue).

8.6 Hepatic Impairment

Metaxalone Tablets. 640 mg are contraindicated in patients with severe hepatic impairment Metaxalone Tablets, 640 mg should be used with caution and additional monitoring should be considered in patients with mild to moderate hepatic impairment. The effect of hepatic impairment on metaxalone pharmacokinetics is unknown; however, metaxalone undergoes extensive hepatic metabolism [see Clinical Pharmacology (12.3)] .

1 Indications and Usage (1 INDICATIONS AND USAGE)

Metaxalone Tablets, 640 mg, are indicated as an adjunct to rest, physical therapy, and other measures for the relief of discomforts associated with acute, painful musculoskeletal conditions in adults and pediatric patients 13 years of age and older.

12.1 Mechanism of Action

The mechanism of action of metaxalone as an adjunct to rest, physical therapy, and other measures for the relief of discomfort associated with acute, painful musculoskeletal conditions has not been established, but may be due to general CNS depression. Metaxalone has no direct action on the contractile mechanism of striated muscle, the motor end plate, or the nerve fiber.

13 Nonclinical Toxicology (13 NONCLINICAL TOXICOLOGY)

12  Clinical Pharmacology (12  CLINICAL PHARMACOLOGY)

5 Warnings and Precautions (5 WARNINGS AND PRECAUTIONS)

2 Dosage and Administration (2 DOSAGE AND ADMINISTRATION)

The recommended dosage of Metaxalone Tablets, 640 mg in adults and pediatric patients 13 years of age and older is 640 mg taken orally with or without food, three to four times a day. The maximum recommended daily dosage is 2,560 mg (one tablet four times a day).

Metaxalone Tablets, 640 mg and SKELAXIN 800 mg are not mutually substitutable on a mg-to-mg basis due to differences in pharmacokinetic profiles [see Warnings and Precautions (5.3)and Clinical Pharmacology (12.3)].  When it is appropriate to switch a patient taking SKELAXIN 800 mg on an empty stomach to Metaxalone Tablets, 640 mg:

  • Stop SKELAXIN 800 mg threetimes a day and start Metaxalone Tablets 640 mg threetimes a day on an empty stomach, OR
  • Stop SKELAXIN 800 mg fourtimes a day and start Metaxalone Tablets 640 mg fourtimes a day on an empty stomach.

For patients who have been taking either product with food, do not switch between SKELAXIN 800 mg and Metaxalone Tablets, 640 mg.

3 Dosage Forms and Strengths (3 DOSAGE FORMS AND STRENGTHS)

Tablets: 640 mg oval, peach-colored, debossed with M640 on one side and without markings on the other side.

8 Use in Specific Populations (8 USE IN SPECIFIC POPULATIONS)

17 Patient Counseling Information (17 PATIENT COUNSELING INFORMATION)

Serotonin Syndrome

Inform patients that Metaxalone Tablets, 640 mg could cause a rare but potentially life-threatening condition called serotonin syndrome. Warn patients of the symptoms of serotonin syndrome and to seek medical attention right away if symptoms develop. Instruct patients to inform their healthcare providers if they are taking, or plan to take, serotonergic drugs [see Warnings and Precautions (5.1) and Drug Interactions (7.1)] .

Central Nervous System Depression

Advise patients that Metaxalone Tablets, 640 mg may impair mental and/or physical abilities required for performance of hazardous tasks, such as operating machinery or driving a motor vehicle, especially when used with alcohol and other CNS depressants [see Drug Interactions (7.2)] .

Manufactured for: INA Pharmaceutics, Inc., Fairmont, WV 26554

U.S. Patents: 11,918,559; Patents Pending

21507-03 01/26

1274E##

16 How Supplied/storage and Handling (16 HOW SUPPLIED/STORAGE AND HANDLING)

Metaxalone Tablets, 640 mg are available as oval, peach-colored tablets, debossed with M640 on one side and no markings on the other side. Metaxalone Tablets, 640 mg are packaged as a bottle of 60 tablets, NDC 74157-018-60

Store at 20°C to 25°C (68°F to 77°F), excursions permitted to 15°C to 30°C (59°F to 86°F). [see USP Controlled Room Temperature].

5.2 Central Nervous System Depression

Because of central nervous system (CNS) depressant effects, metaxalone may impair mental and/or physical abilities required for performance of hazardous tasks, such as operating machinery or driving a motor vehicle, especially when used with other CNS depressants including alcohol. Geriatric patients may be especially susceptible to CNS depression associated with metaxalone use. When used concomitantly, the sedative effects of metaxalone and other CNS depressants (e.g., alcohol, benzodiazepines, opioids, tricyclic antidepressants) may be additive [see Drug Interactions (7)].

Follow patients treated with Metaxalone Tablets, 640 mg closely for signs and symptoms of respiratory depression and sedation. If concomitant use of metaxalone and another CNS depressant is warranted, closely monitor for signs of respiratory depression and sedation, particularly during treatment initiation and dosage increases. 

7.3 Interaction of Metaxalone With Benedict’s Tests (7.3 Interaction of Metaxalone with Benedict’s Tests)

False-positive Benedict's tests, due to an unknown reducing substance, have been noted in metaxalone-treated patients. A glucose-specific test will differentiate findings.

13.1 Carcinogenesis, Mutagenesis, Impairment of Fertility

Carcinogenesis

Long-term studies to evaluate the carcinogenic potential of metaxalone have not been conducted.

Mutagenesis

Studies to evaluate the mutagenic potential of metaxalone have not been conducted.

Impairment of Fertility

Reproduction studies in rats have not revealed evidence of impaired fertility or harm to the fetus due to metaxalone.

5.3 risk With Inappropriate Switching to Metaxalone Tablets, 640 Mg (5.3 Risk with Inappropriate Switching to Metaxalone Tablets, 640 mg)

Inappropriate switching on a mg-to-mg basis from SKELAXIN (metaxalone) tablets, 800 mg to Metaxalone Tablets, 640 mg to achieve the same total daily metaxalone dosage may result in a clinically significant increase in metaxalone exposure which may increase the risk of metaxalone-associated adverse reactions including CNS depression.  For example, it is inappropriate to switch from four SKELAXIN 800 mg tablets (3,200 mg) per day to five tablets of Metaxalone Tablets, 640 mg (3,200 mg) per day [1.25 times the maximum recommended daily dosage of 2,560 mg] [see Dosage and Administration (2)].  Metaxalone Tablets 640 mg and SKELAXIN (metaxalone) tablets, 800 mg are not mutually substitutable on a mg-to-mg basis [see Clinical Pharmacology (12.3)] .  

It is generally inappropriate to switch between Metaxalone Tablets, 640 mg and SKELAXIN 800 mg to mediate metaxalone-associated adverse reactions.

For recommendations on how to switch from SKELAXIN (metaxalone) tablets, 800 mg, to Metaxalone Tablets, 640 mg, see Dosage and Administration (2)


Advanced Ingredient Data


Raw Label Data

All Sections (JSON)