Rx Only

Rx Only
SPL v1
SPL
SPL Set ID fb7c85fa-56f1-4cb1-821d-0f6c9adc83f6
Route
TOPICAL
Published
Effective Date 2024-09-03
Document Type 34391-3 Human Prescription Drug Label

Drug Facts

Composition & Product

Active Ingredients
Triamcinolone Acetonide (0.5 mg)
Inactive Ingredients
Light Mineral Oil Water Petrolatum Mineral Oil Ceresin Lanolin Alcohols

Identifiers & Packaging

Marketing Status
ANDA Active Since 2024-11-01

Description

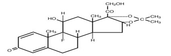
The topical corticosteroids constitute a class of primarily synthetic steroids used as anti-inflammatory and antipruritic agents. The steroids in this class include triamcinolone acetonide. Triamcinolone acetonide is designated chemically as 9-Fluoro-11β, 16α, 17,21-tetrahydroxypregna-1,4-diene-3,20-dione cyclic 16,17-acetal with acetone. Graphic Formula: C 24 H 31 FO 6 , MW 434.50 Each gram of 0.05% Triamcinolone Acetonide Ointment USP provides 0.5 mg of Triamcinolone Acetonide in a water­ in-oil emulsion composed of light mineral oil, purified water, white petrolatum, mineral oil, ceresin wax 155/165, and lanolin alcohols.

Contraindications

Topical corticosteroids are contraindicated in those patients with a history of hypersensitivity to any of the components of the preparations.

Adverse Reactions

The following local adverse reactions are reported infrequently with topical corticosteroids, but may occur more frequently with the use of occlusive dressings (reactions are listed in an approximate decreasing order of occurrence): burning, itching, irritation, dryness, folliculitis, hypertrichosis, acneiform eruptions, hypopigmentation, perioral dermatitis, allergic contact dermatitis, maceration of the skin, secondary infection, skin atrophy, striae, and miliaria.

How Supplied

Triamcinolone Acetonide Ointment USP, 0.05%: jar containing 430 g ( NDC  72603-319-01) KEEP THIS AND ALL DRUGS OUT OF THE REACH OF CHILDREN.  You may report Side effects to FDA at 1-800-FDA-1088. You may also report side effects to Northstar Healthcare Rx LLC at (1-800-206-7821). DISPENSE IN A WELL-CLOSED CONTAINER. CAUTION : Federal law prohibits dispensing without prescription. For external use only. Not for ophthalmic use. Storage Store at 20° to 25°C (68° to 77°F). [See USP Controlled Room Temperature.] Manufactured by: Encube Ethicals Pvt. Ltd. Plot No. C-1, Madkaim Industrial Estate, Madkaim, Post: Mardol, Ponda, Goa-403404, India. Manufactured for: Northstar Rx LLC. Memphis, TN 38141.   Toll-free: 1-800-206-7821   Revised: 07/2024


Medication Information

Contraindications

Topical corticosteroids are contraindicated in those patients with a history of hypersensitivity to any of the components of the preparations.

Adverse Reactions


The following local adverse reactions are reported infrequently with topical corticosteroids, but may occur more frequently with the use of occlusive dressings (reactions are listed in an approximate decreasing order of occurrence): burning, itching, irritation, dryness, folliculitis, hypertrichosis, acneiform eruptions, hypopigmentation, perioral dermatitis, allergic contact dermatitis, maceration of the skin, secondary infection, skin atrophy, striae, and miliaria.

How Supplied

Triamcinolone Acetonide Ointment USP, 0.05%: jar containing 430 g (NDC 72603-319-01)



KEEP THIS AND ALL DRUGS OUT OF THE REACH OF CHILDREN. 



You may report Side effects to FDA at 1-800-FDA-1088.You may also report side effects to Northstar Healthcare Rx LLC at (1-800-206-7821).



DISPENSE IN A WELL-CLOSED CONTAINER.



CAUTION
: Federal law prohibits dispensing without prescription.



For external use only.

Not for ophthalmic use.



Storage


Store at 20° to 25°C (68° to 77°F). [See USP Controlled Room Temperature.]



Manufactured by:

Encube Ethicals Pvt. Ltd.

Plot No. C-1, Madkaim Industrial Estate,

Madkaim, Post: Mardol, Ponda, Goa-403404, India.



Manufactured for:

Northstar Rx LLC.

Memphis, TN 38141.

 

Toll-free: 1-800-206-7821

 

Revised: 07/2024

Description

The topical corticosteroids constitute a class of primarily synthetic steroids used as anti-inflammatory and antipruritic agents. The steroids in this class include triamcinolone acetonide. Triamcinolone acetonide is designated chemically as 9-Fluoro-11β, 16α, 17,21-tetrahydroxypregna-1,4-diene-3,20-dione cyclic 16,17-acetal with acetone. Graphic Formula:









C24H31FO6, MW 434.50

Each gram of 0.05% Triamcinolone Acetonide Ointment USP provides 0.5 mg of Triamcinolone Acetonide in a water­ in-oil emulsion composed of light mineral oil, purified water, white petrolatum, mineral oil, ceresin wax 155/165, and lanolin alcohols.

General

Systemic absorption of topical corticosteroids has produced reversible hypothalamic-pituitary-­adrenal (HPA) axis suppression, manifestations of Cushing's syndrome, hyperglycemia, and glucosuria in some patients.

Conditions which augment systemic absorption include the application of the more potent steroids, use over large surface areas, prolonged use, and the addition of occlusive dressings.

Therefore, patients receiving a large dose of any potent topical steroid applied to a large surface area or under an occlusive dressing should be evaluated periodically for evidence of HPA axis suppression by using the urinary free cortisol and ACTH stimulation tests, and for impairment of thermal homeostasis. If HPA axis suppression or elevation of the body temperature occurs, an attempt should be made to withdraw the drug, to reduce the frequency of application, substitute a less potent steroid, or use a sequential approach when utilizing the occlusive technique.

Recovery of HPA axis function and thermal homeostasis are generally prompt and complete upon discontinuation of the drug. Infrequently, signs and symptoms of steroid withdrawal may occur, requiring supplemental systemic corticosteroids. Occasionally, a patient may develop a sensitivity reaction to a particular occlusive dressing material or adhesive and a substitute material may be necessary.

Children may absorb proportionally larger amounts of topical corticosteroids and thus be more susceptible to systemic toxicity (see PRECAUTIONS-Pediatric Use).

If irritation develops, topical corticosteroids should be discontinued and appropriate therapy instituted.

In the presence of dermatological infections, the use of an appropriate antifungal or antibacterial agent should be instituted. If a favorable response does not occur promptly, the corticosteroid should be discontinued until the infection has been adequately controlled.



These preparations are not for ophthalmic use.

Overdosage

Topically applied corticosteroids can be absorbed in sufficient amounts to produce systemic effects (see PRECAUTIONS, General ).

Pediatric Use

Pediatric patients may demonstrate greater susceptibility to topical corticosteroid-induced HPA axis suppression and Cushing's syndrome than mature patients because of a larger skin surface area to body weight ratio.

HPA axis suppression, Cushing's syndrome, and intracranial hypertension have been reported in children receiving topical corticosteroids. Manifestations of adrenal suppression in children include linear growth retardation, delayed weight gain, low plasma cortisol levels, and absence of response to ACTH stimulation. Manifestations of intracranial hypertension include bulging fontanelles, headaches, and bilateral papilledema.

Administration of topical corticosteroids to children should be limited to the least amount compatible with an effective therapeutic regimen. Chronic corticosteroid therapy may interfere with the growth and development of children.

Nursing Mothers

It is not known whether topical administration of corticosteroids could result in sufficient systemic absorption to produce detectable quantities in breast milk. Systemically administered corticosteroids are secreted into breast milk in quantities not likely to have a deleterious effect on the infant. Nevertheless, caution should be exercised when topical corticosteroids are administered to a nursing woman.

Laboratory Tests

A urinary free cortisol test and ACTH stimulation test may be helpful in evaluating HPA axis suppression.

Clinical Pharmacology

Topical corticosteroids share anti-inflammatory, antipruritic and vasoconstrictive actions.



The mechanism of anti-inflammatory activity of the topical corticosteroids is unclear. Various laboratory methods, including vasoconstrictor assays, are used to compare and predict potencies and/or clinical efficacies of the topical corticosteroids. There is some evidence to suggest that a recognizable correlation exists between vasoconstrictor potency and therapeutic efficacy in man.



Pharmacokinetics



The extent of percutaneous absorption of topical corticosteroids is determined by many factors including the vehicle, the integrity of the epidermal barrier, and the use of occlusive dressings.



Topical corticosteroids can be absorbed from normal intact skin. Inflammation and/or other disease processes in the skin increase percutaneous absorption. Occlusive dressings substantially increase the percutaneous absorption of topical corticosteroids. Thus, occlusive dressings may be a valuable therapeutic adjunct for treatment of resistant dermatoses (see DOSAGE AND ADMINISTRATION ).



Once absorbed through the skin, topical corticosteroids are handled through pharmacokinetic pathways similar to systemically administered corticosteroids. Corticosteroids are bound to plasma proteins in varying degrees. Corticosteroids are metabolized primarily in the liver and are then excreted by the kidneys. Some of the topical corticosteroids and their metabolites are also excreted into the bile.

Indications and Usage

Triamcinolone Acetonide Ointment 0.05% is indicated for the relief of the inflammatory and pruritic manifestations of corticosteroid responsive dermatoses.

Dosage and Administration

Apply a thin film of Triamcinolone Acetonide Ointment 0.05% to the affected area two to four times daily.



Occlusive Dressing Technique

Occlusive dressings may be used for the management of psoriasis or other recalcitrant conditions. Apply a thin film of ointment to the lesion, cover with a pliable nonporous film, and seal the edges. If needed, additional moisture may be provided by covering the lesion with a dampened clean cotton cloth before the nonporous film is applied or by briefly wetting the affected area with water immediately prior to applying the medication. The frequency of changing dressings is best determined on an individual basis. It may be convenient to apply Triamcinolone Acetonide Ointment under an occlusive dressing in the evening and to remove the dressing in the morning (i.e., 12-hour occlusion). When utilizing the 12-hour occlusion regimen, additional ointment should be applied, without occlusion, during the day. Reapplication is essential at each dressing change.  



If an infection develops, the use of occlusive dressings should be discontinued and appropriate antimicrobial therapy instituted.

Information for the Patient

Patients using topical corticosteroids should receive the following information and instructions:

  • This medication is to be used as directed by the physician. It is for external use only. Avoid contact with the eyes.
  • Patients should be advised not to use this medication for any disorder other than for which it was prescribed.
  • The treated skin area should not be bandaged or otherwise covered or wrapped so as to be occlusive unless directed by the physician.
  • Patients should report any signs of local adverse reactions especially under occlusive dressing.
  • Parents of pediatric patients should be advised not to use tight-fitting diapers or plastic pants on a child being treated in the diaper area, as these garments may constitute occlusive dressings.
Pregnancy: Teratogenic Effects

Category C. Corticosteroids are generally teratogenic in laboratory animals when administered systemically at relatively low dosage levels. The more potent corticosteroids have been shown to be teratogenic after dermal application in laboratory animals. There are no adequate and well-controlled studies in pregnant women on teratogenic effects from topically applied corticosteroids. Therefore, topical corticosteroids should be used during pregnancy only if the potential benefit justifies the potential risk to the fetus. Drugs of this class should not be used extensively on pregnant patients, in large amounts, or for prolonged periods of time.

Package Label.principal Display Panel

PRINCIPAL DISPLAY PANEL - 430 g Jar



NDC 72603-319-01


Triamcinolone Acetonide Ointment USP, 0.05%

Rx Only

430 g



Carcinogenesis, Mutagenesis and Impairment of Fertility

Long-term animal studies have not been performed to evaluate the carcinogenic potential or the effect on fertility of topical corticosteroids.

Studies to determine mutagenicity with prednisolone and hydrocortisone have revealed negative results.


Structured Label Content

General

Systemic absorption of topical corticosteroids has produced reversible hypothalamic-pituitary-­adrenal (HPA) axis suppression, manifestations of Cushing's syndrome, hyperglycemia, and glucosuria in some patients.

Conditions which augment systemic absorption include the application of the more potent steroids, use over large surface areas, prolonged use, and the addition of occlusive dressings.

Therefore, patients receiving a large dose of any potent topical steroid applied to a large surface area or under an occlusive dressing should be evaluated periodically for evidence of HPA axis suppression by using the urinary free cortisol and ACTH stimulation tests, and for impairment of thermal homeostasis. If HPA axis suppression or elevation of the body temperature occurs, an attempt should be made to withdraw the drug, to reduce the frequency of application, substitute a less potent steroid, or use a sequential approach when utilizing the occlusive technique.

Recovery of HPA axis function and thermal homeostasis are generally prompt and complete upon discontinuation of the drug. Infrequently, signs and symptoms of steroid withdrawal may occur, requiring supplemental systemic corticosteroids. Occasionally, a patient may develop a sensitivity reaction to a particular occlusive dressing material or adhesive and a substitute material may be necessary.

Children may absorb proportionally larger amounts of topical corticosteroids and thus be more susceptible to systemic toxicity (see PRECAUTIONS-Pediatric Use).

If irritation develops, topical corticosteroids should be discontinued and appropriate therapy instituted.

In the presence of dermatological infections, the use of an appropriate antifungal or antibacterial agent should be instituted. If a favorable response does not occur promptly, the corticosteroid should be discontinued until the infection has been adequately controlled.



These preparations are not for ophthalmic use.

Overdosage (OVERDOSAGE)

Topically applied corticosteroids can be absorbed in sufficient amounts to produce systemic effects (see PRECAUTIONS, General ).

Description (DESCRIPTION)

The topical corticosteroids constitute a class of primarily synthetic steroids used as anti-inflammatory and antipruritic agents. The steroids in this class include triamcinolone acetonide. Triamcinolone acetonide is designated chemically as 9-Fluoro-11β, 16α, 17,21-tetrahydroxypregna-1,4-diene-3,20-dione cyclic 16,17-acetal with acetone. Graphic Formula:









C24H31FO6, MW 434.50

Each gram of 0.05% Triamcinolone Acetonide Ointment USP provides 0.5 mg of Triamcinolone Acetonide in a water­ in-oil emulsion composed of light mineral oil, purified water, white petrolatum, mineral oil, ceresin wax 155/165, and lanolin alcohols.

How Supplied (HOW SUPPLIED)

Triamcinolone Acetonide Ointment USP, 0.05%: jar containing 430 g (NDC 72603-319-01)



KEEP THIS AND ALL DRUGS OUT OF THE REACH OF CHILDREN. 



You may report Side effects to FDA at 1-800-FDA-1088.You may also report side effects to Northstar Healthcare Rx LLC at (1-800-206-7821).



DISPENSE IN A WELL-CLOSED CONTAINER.



CAUTION
: Federal law prohibits dispensing without prescription.



For external use only.

Not for ophthalmic use.



Storage


Store at 20° to 25°C (68° to 77°F). [See USP Controlled Room Temperature.]



Manufactured by:

Encube Ethicals Pvt. Ltd.

Plot No. C-1, Madkaim Industrial Estate,

Madkaim, Post: Mardol, Ponda, Goa-403404, India.



Manufactured for:

Northstar Rx LLC.

Memphis, TN 38141.

 

Toll-free: 1-800-206-7821

 

Revised: 07/2024

Pediatric Use

Pediatric patients may demonstrate greater susceptibility to topical corticosteroid-induced HPA axis suppression and Cushing's syndrome than mature patients because of a larger skin surface area to body weight ratio.

HPA axis suppression, Cushing's syndrome, and intracranial hypertension have been reported in children receiving topical corticosteroids. Manifestations of adrenal suppression in children include linear growth retardation, delayed weight gain, low plasma cortisol levels, and absence of response to ACTH stimulation. Manifestations of intracranial hypertension include bulging fontanelles, headaches, and bilateral papilledema.

Administration of topical corticosteroids to children should be limited to the least amount compatible with an effective therapeutic regimen. Chronic corticosteroid therapy may interfere with the growth and development of children.

Nursing Mothers

It is not known whether topical administration of corticosteroids could result in sufficient systemic absorption to produce detectable quantities in breast milk. Systemically administered corticosteroids are secreted into breast milk in quantities not likely to have a deleterious effect on the infant. Nevertheless, caution should be exercised when topical corticosteroids are administered to a nursing woman.

Laboratory Tests

A urinary free cortisol test and ACTH stimulation test may be helpful in evaluating HPA axis suppression.

Adverse Reactions (ADVERSE REACTIONS)


The following local adverse reactions are reported infrequently with topical corticosteroids, but may occur more frequently with the use of occlusive dressings (reactions are listed in an approximate decreasing order of occurrence): burning, itching, irritation, dryness, folliculitis, hypertrichosis, acneiform eruptions, hypopigmentation, perioral dermatitis, allergic contact dermatitis, maceration of the skin, secondary infection, skin atrophy, striae, and miliaria.

Contraindications (CONTRAINDICATIONS)

Topical corticosteroids are contraindicated in those patients with a history of hypersensitivity to any of the components of the preparations.

Clinical Pharmacology (CLINICAL PHARMACOLOGY)

Topical corticosteroids share anti-inflammatory, antipruritic and vasoconstrictive actions.



The mechanism of anti-inflammatory activity of the topical corticosteroids is unclear. Various laboratory methods, including vasoconstrictor assays, are used to compare and predict potencies and/or clinical efficacies of the topical corticosteroids. There is some evidence to suggest that a recognizable correlation exists between vasoconstrictor potency and therapeutic efficacy in man.



Pharmacokinetics



The extent of percutaneous absorption of topical corticosteroids is determined by many factors including the vehicle, the integrity of the epidermal barrier, and the use of occlusive dressings.



Topical corticosteroids can be absorbed from normal intact skin. Inflammation and/or other disease processes in the skin increase percutaneous absorption. Occlusive dressings substantially increase the percutaneous absorption of topical corticosteroids. Thus, occlusive dressings may be a valuable therapeutic adjunct for treatment of resistant dermatoses (see DOSAGE AND ADMINISTRATION ).



Once absorbed through the skin, topical corticosteroids are handled through pharmacokinetic pathways similar to systemically administered corticosteroids. Corticosteroids are bound to plasma proteins in varying degrees. Corticosteroids are metabolized primarily in the liver and are then excreted by the kidneys. Some of the topical corticosteroids and their metabolites are also excreted into the bile.

Indications and Usage (INDICATIONS AND USAGE)

Triamcinolone Acetonide Ointment 0.05% is indicated for the relief of the inflammatory and pruritic manifestations of corticosteroid responsive dermatoses.

Dosage and Administration (DOSAGE AND ADMINISTRATION)

Apply a thin film of Triamcinolone Acetonide Ointment 0.05% to the affected area two to four times daily.



Occlusive Dressing Technique

Occlusive dressings may be used for the management of psoriasis or other recalcitrant conditions. Apply a thin film of ointment to the lesion, cover with a pliable nonporous film, and seal the edges. If needed, additional moisture may be provided by covering the lesion with a dampened clean cotton cloth before the nonporous film is applied or by briefly wetting the affected area with water immediately prior to applying the medication. The frequency of changing dressings is best determined on an individual basis. It may be convenient to apply Triamcinolone Acetonide Ointment under an occlusive dressing in the evening and to remove the dressing in the morning (i.e., 12-hour occlusion). When utilizing the 12-hour occlusion regimen, additional ointment should be applied, without occlusion, during the day. Reapplication is essential at each dressing change.  



If an infection develops, the use of occlusive dressings should be discontinued and appropriate antimicrobial therapy instituted.

Information for the Patient

Patients using topical corticosteroids should receive the following information and instructions:

  • This medication is to be used as directed by the physician. It is for external use only. Avoid contact with the eyes.
  • Patients should be advised not to use this medication for any disorder other than for which it was prescribed.
  • The treated skin area should not be bandaged or otherwise covered or wrapped so as to be occlusive unless directed by the physician.
  • Patients should report any signs of local adverse reactions especially under occlusive dressing.
  • Parents of pediatric patients should be advised not to use tight-fitting diapers or plastic pants on a child being treated in the diaper area, as these garments may constitute occlusive dressings.
Pregnancy: Teratogenic Effects

Category C. Corticosteroids are generally teratogenic in laboratory animals when administered systemically at relatively low dosage levels. The more potent corticosteroids have been shown to be teratogenic after dermal application in laboratory animals. There are no adequate and well-controlled studies in pregnant women on teratogenic effects from topically applied corticosteroids. Therefore, topical corticosteroids should be used during pregnancy only if the potential benefit justifies the potential risk to the fetus. Drugs of this class should not be used extensively on pregnant patients, in large amounts, or for prolonged periods of time.

Package Label.principal Display Panel (PACKAGE LABEL.PRINCIPAL DISPLAY PANEL)

PRINCIPAL DISPLAY PANEL - 430 g Jar



NDC 72603-319-01


Triamcinolone Acetonide Ointment USP, 0.05%

Rx Only

430 g



Carcinogenesis, Mutagenesis and Impairment of Fertility

Long-term animal studies have not been performed to evaluate the carcinogenic potential or the effect on fertility of topical corticosteroids.

Studies to determine mutagenicity with prednisolone and hydrocortisone have revealed negative results.


Advanced Ingredient Data


Raw Label Data

All Sections (JSON)