Doxycycline Hyclate Tablets And Doxycycline Hyclate Capsules

Doxycycline Hyclate Tablets And Doxycycline Hyclate Capsules
SPL v1
SPL
SPL Set ID fad03768-f1d2-459f-965e-0ec29f189f1f
Route
ORAL
Published
Effective Date 2025-03-27
Document Type 34391-3 HUMAN PRESCRIPTION DRUG LABEL

Drug Facts

Composition & Product

Active Ingredients
Doxycycline Anhydrous (75 mg)
Inactive Ingredients
Croscarmellose Sodium Magnesium Stearate Microcrystalline Cellulose Sodium Lauryl Sulfate Fd&c Blue No. 2 Polyvinyl Alcohol, Unspecified Polyethylene Glycol 8000 Talc Titanium Dioxide Ferric Oxide Yellow Fd&c Blue No. 1 Fd&c Red No. 3 Alcohol Ferrosoferric Oxide Fd&c Blue No. 1 Aluminum Lake Fd&c Red No. 40 Aluminum Lake D&c Yellow No. 10 Aluminum Lake Gelatin, Unspecified Shellac

Identifiers & Packaging

Pill Appearance
Imprint: CE;227 Shape: round Shape: oval Shape: capsule Color: blue Color: green Size: 9 mm Size: 16 mm Size: 18 mm Score: 1
Marketing Status
NDA AUTHORIZED GENERIC Active Since 2016-04-26

Description

Warnings and Precautions, Severe Skin Reactions ( 5.5 )                                                            04/2025

Indications and Usage

Doxycycline hyclate tablets and doxycycline hyclate capsules are tetracycline class drugs indicated for: Rickettsial infections ( 1.1 ) Sexually transmitted infections ( 1.2 ) Respiratory tract infections ( 1.3 ) Specific bacterial infections ( 1.4 ) Ophthalmic infections ( 1.5 ) Anthrax, including inhalational anthrax (post-exposure) ( 1.6 ) Alternative treatment for selected infections when penicillin is contraindicated ( 1.7 ) Adjunctive therapy for acute intestinal amebiasis and severe acne ( 1.8 ) Prophylaxis of malaria ( 1.9 ) To reduce the development of drug-resistant bacteria and maintain the effectiveness of doxycycline hyclate and other antibacterial drugs, doxycycline hyclate should be used only to treat or prevent infections that are proven or strongly suspected to be caused by bacteria. ( 1.10 )

Dosage and Administration

Important Administration Instructions for doxycycline hyclate tablets and doxycycline hyclate capsules: Doxycycline hyclate tablets (150 mg) can be broken into two-thirds or one-third to provide a 50 mg and 100 mg strength, respectively. ( 2.1 ) Swallow doxycycline hyclate capsule whole. Do not break, open, crush, dissolve or chew the capsule. ( 2.1 ) Dosage in Adults for doxycycline hyclate tablets and doxycycline hyclate capsules: The usual dosage is 200 mg on the first day of treatment (administered 100 mg every 12 hours) followed by a maintenance dose of 100 mg daily. ( 2.1 ) In the management of more severe infections (particularly chronic infections of the urinary tract), 100 mg every 12 hours is recommended. ( 2.1 ) Dosage in Pediatric Patients for doxycycline hyclate tablets and doxycycline hyclate capsules: For all pediatric patients weighing less than 45 kg with severe or life-threatening infections (e.g., anthrax, Rocky Mountain spotted fever), the recommended dose is 2.2 mg per kg of body weight administered every 12 hours. Pediatric patients weighing 45 kg or more should receive the adult dose. ( 2.3 ) For pediatric patients with less severe disease (greater than 8 years of age and weighing less than 45 kg), the recommended dose is 4.4 mg per kg of body weight divided into two doses on the first day of treatment, followed by a maintenance dose of 2.2 mg per kg of body weight (given as a single daily dose or divided into two doses. For pediatric patients weighing over 45 kg, the usual adult dose should be used. ( 2.3 ) See Full Prescribing Information for additional indication specific dosage information and important administration instructions for doxycycline hyclate tablets and doxycycline hyclate capsules. ( 2.1 , 2.4 , 2.5 )

Warnings and Precautions

The use of doxycycline hyclate during tooth development (last half of pregnancy, infancy and childhood to the age of 8 years) may cause permanent discoloration of the teeth (yellow-gray-brown) and enamel hypoplasia Advise the patient of the potential risk to the fetus during pregnancy. ( 2.2 , 5.1 , 8.1 , 8.4 ) The use of doxycycline hyclate during the second and third-trimester of pregnancy, infancy and childhood up to the age of 8 years may cause reversible inhibition of bone growth. Advise the patient of the potential risk to the fetus during pregnancy. ( 5.2 , 8.1 , 8.4 ) Clostridioides difficile -associated diarrhea (CDAD) has been reported. Evaluate patients if diarrhea occurs. ( 5.3 ) Photosensitivity manifested by an exaggerated sunburn reaction has been observed in some individuals taking tetracyclines. Limit sun exposure. ( 5.4 ) Overgrowth of non-susceptible organisms, including fungi, may occur. If such infections occur, discontinue use and institute appropriate therapy. ( 5.10 )

Contraindications

Doxycycline hyclate are contraindicated in persons who have shown hypersensitivity to any of the tetracyclines.

Adverse Reactions

The following adverse reactions have been identified during clinical trials or post-approval use of tetracycline-class drugs, including doxycycline. Because these reactions are reported voluntarily from a population of uncertain size, it is not always possible to reliably estimate their frequency or establish a causal relationship to drug exposure. Gastrointestinal: Anorexia, nausea, vomiting, diarrhea, glossitis, dysphagia, enterocolitis, inflammatory lesions (with monilial overgrowth) in the anogenital region, and pancreatitis. Hepatotoxicity has been reported. These reactions have been caused by both the oral and parenteral administration of tetracyclines. Superficial discoloration of the adult permanent dentition, reversible upon drug discontinuation and professional dental cleaning has been reported. Permanent tooth discoloration and enamel hypoplasia may occur with drugs of the tetracycline class when used during tooth development [See Warnings and Precautions (5.1) ] . Instances of esophagitis and esophageal ulcerations have been reported in patients receiving capsule and tablet forms of drugs in the tetracycline-class. Most of these patients took medications immediately before going to bed [see Dosage and Administration (2.1) ] . Skin: Maculopapular and erythematous rashes, Stevens-Johnson syndrome, toxic epidermal necrolysis, exfoliative dermatitis, erythema multiforme, and fixed drug eruption have been reported. Photosensitivity has been reported [see Warnings and Precautions (5.4) ] . Renal: Rise in BUN has been reported and is apparently dose-related [see Warnings and Precautions (5.7) ] . Hypersensitivity reactions: Urticaria, angioneurotic edema, anaphylaxis, anaphylactoid purpura, serum sickness, pericarditis, exacerbation of systemic lupus erythematosus, and drug reaction with eosinophilia and systemic symptoms (DRESS). Blood: Hemolytic anemia, thrombocytopenia, neutropenia, and eosinophilia have been reported. Intracranial Hypertension: Intracranial hypertension (IH, pseudotumor cerebri) has been associated with the use of tetracyclines [see Warnings and Precautions (5.6) ] . Thyroid Gland Changes: When given over prolonged periods, tetracyclines have been reported to produce brown-black microscopic discoloration of thyroid glands. No abnormalities of thyroid function are known to occur. Psychiatric: Depression, anxiety, suicidal ideation, insomnia, abnormal dreams, hallucination.

Drug Interactions

Patients who are on anticoagulant therapy may require downward adjustment of their anticoagulant dosage. ( 7.1 ) Avoid co-administration of tetracyclines with penicillin. ( 7.2 ) Absorption of tetracyclines, including doxycycline hyclate is impaired by antacids containing aluminum, calcium, or magnesium, bismuth subsalicylate and iron-containing preparations. ( 7.3 ) Concurrent use of tetracyclines, including doxycycline hyclate may render oral contraceptives less effective. ( 7.4 ) Barbiturates, carbamazepine and phenytoin decrease the half-life of doxycycline. ( 7.5 )

Storage and Handling

How Supplied Doxycycline Hyclate Tablets, USP 75 mg are round convex light blue, film-coated, compressed tablet with “ 75 ” debossed on one side of the tablet and "AQ" over "101" debossed on the other. Each 75 mg tablet contains 86.6 mg of doxycycline hyclate equivalent to 75 mg of doxycycline. Bottles of 20 tablets: NDC 62135-907-20 Doxycycline Hyclate Tablets, USP 150 mg are capsule-shaped, convex, mossy-green, film-coated compressed tablet. Each side of the tablet is trisected with an " A " debossed on each portion of one side of the tablet, and no debossing on the other. Each 150 mg tablet contains 173.1 mg of doxycycline hyclate equivalent to 150 mg of doxycycline. Bottles of 20 tablets: NDC 62135-908-20 Doxycycline Hyclate Capsules, USP 75 mg are size #2, hard gelatin capsules, blue opaque cap with white opaque body, imprinted with “ CE ” on the cap and “ 227 ” on the body in black ink, filled with yellow powder . Each 75 mg capsule contains 86.6 mg of doxycycline hyclate equivalent to 75 mg of doxycycline. Bottles of 20 capsules: NDC 62135-975-20 Storage Store at 20° to 25°C (68° to 77°F) excursions permitted to 15° to 30°C (59° to 86°F) [See USP Controlled Room Temperature]. Protect from light and moisture. Dispense in a tight, light-resistant container as defined in the USP using a child-resistant closure.

How Supplied

How Supplied Doxycycline Hyclate Tablets, USP 75 mg are round convex light blue, film-coated, compressed tablet with “ 75 ” debossed on one side of the tablet and "AQ" over "101" debossed on the other. Each 75 mg tablet contains 86.6 mg of doxycycline hyclate equivalent to 75 mg of doxycycline. Bottles of 20 tablets: NDC 62135-907-20 Doxycycline Hyclate Tablets, USP 150 mg are capsule-shaped, convex, mossy-green, film-coated compressed tablet. Each side of the tablet is trisected with an " A " debossed on each portion of one side of the tablet, and no debossing on the other. Each 150 mg tablet contains 173.1 mg of doxycycline hyclate equivalent to 150 mg of doxycycline. Bottles of 20 tablets: NDC 62135-908-20 Doxycycline Hyclate Capsules, USP 75 mg are size #2, hard gelatin capsules, blue opaque cap with white opaque body, imprinted with “ CE ” on the cap and “ 227 ” on the body in black ink, filled with yellow powder . Each 75 mg capsule contains 86.6 mg of doxycycline hyclate equivalent to 75 mg of doxycycline. Bottles of 20 capsules: NDC 62135-975-20 Storage Store at 20° to 25°C (68° to 77°F) excursions permitted to 15° to 30°C (59° to 86°F) [See USP Controlled Room Temperature]. Protect from light and moisture. Dispense in a tight, light-resistant container as defined in the USP using a child-resistant closure.


Medication Information

Warnings and Precautions

The use of doxycycline hyclate during tooth development (last half of pregnancy, infancy and childhood to the age of 8 years) may cause permanent discoloration of the teeth (yellow-gray-brown) and enamel hypoplasia Advise the patient of the potential risk to the fetus during pregnancy. ( 2.2 , 5.1 , 8.1 , 8.4 ) The use of doxycycline hyclate during the second and third-trimester of pregnancy, infancy and childhood up to the age of 8 years may cause reversible inhibition of bone growth. Advise the patient of the potential risk to the fetus during pregnancy. ( 5.2 , 8.1 , 8.4 ) Clostridioides difficile -associated diarrhea (CDAD) has been reported. Evaluate patients if diarrhea occurs. ( 5.3 ) Photosensitivity manifested by an exaggerated sunburn reaction has been observed in some individuals taking tetracyclines. Limit sun exposure. ( 5.4 ) Overgrowth of non-susceptible organisms, including fungi, may occur. If such infections occur, discontinue use and institute appropriate therapy. ( 5.10 )

Indications and Usage

Doxycycline hyclate tablets and doxycycline hyclate capsules are tetracycline class drugs indicated for: Rickettsial infections ( 1.1 ) Sexually transmitted infections ( 1.2 ) Respiratory tract infections ( 1.3 ) Specific bacterial infections ( 1.4 ) Ophthalmic infections ( 1.5 ) Anthrax, including inhalational anthrax (post-exposure) ( 1.6 ) Alternative treatment for selected infections when penicillin is contraindicated ( 1.7 ) Adjunctive therapy for acute intestinal amebiasis and severe acne ( 1.8 ) Prophylaxis of malaria ( 1.9 ) To reduce the development of drug-resistant bacteria and maintain the effectiveness of doxycycline hyclate and other antibacterial drugs, doxycycline hyclate should be used only to treat or prevent infections that are proven or strongly suspected to be caused by bacteria. ( 1.10 )

Dosage and Administration

Important Administration Instructions for doxycycline hyclate tablets and doxycycline hyclate capsules: Doxycycline hyclate tablets (150 mg) can be broken into two-thirds or one-third to provide a 50 mg and 100 mg strength, respectively. ( 2.1 ) Swallow doxycycline hyclate capsule whole. Do not break, open, crush, dissolve or chew the capsule. ( 2.1 ) Dosage in Adults for doxycycline hyclate tablets and doxycycline hyclate capsules: The usual dosage is 200 mg on the first day of treatment (administered 100 mg every 12 hours) followed by a maintenance dose of 100 mg daily. ( 2.1 ) In the management of more severe infections (particularly chronic infections of the urinary tract), 100 mg every 12 hours is recommended. ( 2.1 ) Dosage in Pediatric Patients for doxycycline hyclate tablets and doxycycline hyclate capsules: For all pediatric patients weighing less than 45 kg with severe or life-threatening infections (e.g., anthrax, Rocky Mountain spotted fever), the recommended dose is 2.2 mg per kg of body weight administered every 12 hours. Pediatric patients weighing 45 kg or more should receive the adult dose. ( 2.3 ) For pediatric patients with less severe disease (greater than 8 years of age and weighing less than 45 kg), the recommended dose is 4.4 mg per kg of body weight divided into two doses on the first day of treatment, followed by a maintenance dose of 2.2 mg per kg of body weight (given as a single daily dose or divided into two doses. For pediatric patients weighing over 45 kg, the usual adult dose should be used. ( 2.3 ) See Full Prescribing Information for additional indication specific dosage information and important administration instructions for doxycycline hyclate tablets and doxycycline hyclate capsules. ( 2.1 , 2.4 , 2.5 )

Contraindications

Doxycycline hyclate are contraindicated in persons who have shown hypersensitivity to any of the tetracyclines.

Adverse Reactions

The following adverse reactions have been identified during clinical trials or post-approval use of tetracycline-class drugs, including doxycycline. Because these reactions are reported voluntarily from a population of uncertain size, it is not always possible to reliably estimate their frequency or establish a causal relationship to drug exposure. Gastrointestinal: Anorexia, nausea, vomiting, diarrhea, glossitis, dysphagia, enterocolitis, inflammatory lesions (with monilial overgrowth) in the anogenital region, and pancreatitis. Hepatotoxicity has been reported. These reactions have been caused by both the oral and parenteral administration of tetracyclines. Superficial discoloration of the adult permanent dentition, reversible upon drug discontinuation and professional dental cleaning has been reported. Permanent tooth discoloration and enamel hypoplasia may occur with drugs of the tetracycline class when used during tooth development [See Warnings and Precautions (5.1) ] . Instances of esophagitis and esophageal ulcerations have been reported in patients receiving capsule and tablet forms of drugs in the tetracycline-class. Most of these patients took medications immediately before going to bed [see Dosage and Administration (2.1) ] . Skin: Maculopapular and erythematous rashes, Stevens-Johnson syndrome, toxic epidermal necrolysis, exfoliative dermatitis, erythema multiforme, and fixed drug eruption have been reported. Photosensitivity has been reported [see Warnings and Precautions (5.4) ] . Renal: Rise in BUN has been reported and is apparently dose-related [see Warnings and Precautions (5.7) ] . Hypersensitivity reactions: Urticaria, angioneurotic edema, anaphylaxis, anaphylactoid purpura, serum sickness, pericarditis, exacerbation of systemic lupus erythematosus, and drug reaction with eosinophilia and systemic symptoms (DRESS). Blood: Hemolytic anemia, thrombocytopenia, neutropenia, and eosinophilia have been reported. Intracranial Hypertension: Intracranial hypertension (IH, pseudotumor cerebri) has been associated with the use of tetracyclines [see Warnings and Precautions (5.6) ] . Thyroid Gland Changes: When given over prolonged periods, tetracyclines have been reported to produce brown-black microscopic discoloration of thyroid glands. No abnormalities of thyroid function are known to occur. Psychiatric: Depression, anxiety, suicidal ideation, insomnia, abnormal dreams, hallucination.

Drug Interactions

Patients who are on anticoagulant therapy may require downward adjustment of their anticoagulant dosage. ( 7.1 ) Avoid co-administration of tetracyclines with penicillin. ( 7.2 ) Absorption of tetracyclines, including doxycycline hyclate is impaired by antacids containing aluminum, calcium, or magnesium, bismuth subsalicylate and iron-containing preparations. ( 7.3 ) Concurrent use of tetracyclines, including doxycycline hyclate may render oral contraceptives less effective. ( 7.4 ) Barbiturates, carbamazepine and phenytoin decrease the half-life of doxycycline. ( 7.5 )

Storage and Handling

How Supplied Doxycycline Hyclate Tablets, USP 75 mg are round convex light blue, film-coated, compressed tablet with “ 75 ” debossed on one side of the tablet and "AQ" over "101" debossed on the other. Each 75 mg tablet contains 86.6 mg of doxycycline hyclate equivalent to 75 mg of doxycycline. Bottles of 20 tablets: NDC 62135-907-20 Doxycycline Hyclate Tablets, USP 150 mg are capsule-shaped, convex, mossy-green, film-coated compressed tablet. Each side of the tablet is trisected with an " A " debossed on each portion of one side of the tablet, and no debossing on the other. Each 150 mg tablet contains 173.1 mg of doxycycline hyclate equivalent to 150 mg of doxycycline. Bottles of 20 tablets: NDC 62135-908-20 Doxycycline Hyclate Capsules, USP 75 mg are size #2, hard gelatin capsules, blue opaque cap with white opaque body, imprinted with “ CE ” on the cap and “ 227 ” on the body in black ink, filled with yellow powder . Each 75 mg capsule contains 86.6 mg of doxycycline hyclate equivalent to 75 mg of doxycycline. Bottles of 20 capsules: NDC 62135-975-20 Storage Store at 20° to 25°C (68° to 77°F) excursions permitted to 15° to 30°C (59° to 86°F) [See USP Controlled Room Temperature]. Protect from light and moisture. Dispense in a tight, light-resistant container as defined in the USP using a child-resistant closure.

How Supplied

How Supplied Doxycycline Hyclate Tablets, USP 75 mg are round convex light blue, film-coated, compressed tablet with “ 75 ” debossed on one side of the tablet and "AQ" over "101" debossed on the other. Each 75 mg tablet contains 86.6 mg of doxycycline hyclate equivalent to 75 mg of doxycycline. Bottles of 20 tablets: NDC 62135-907-20 Doxycycline Hyclate Tablets, USP 150 mg are capsule-shaped, convex, mossy-green, film-coated compressed tablet. Each side of the tablet is trisected with an " A " debossed on each portion of one side of the tablet, and no debossing on the other. Each 150 mg tablet contains 173.1 mg of doxycycline hyclate equivalent to 150 mg of doxycycline. Bottles of 20 tablets: NDC 62135-908-20 Doxycycline Hyclate Capsules, USP 75 mg are size #2, hard gelatin capsules, blue opaque cap with white opaque body, imprinted with “ CE ” on the cap and “ 227 ” on the body in black ink, filled with yellow powder . Each 75 mg capsule contains 86.6 mg of doxycycline hyclate equivalent to 75 mg of doxycycline. Bottles of 20 capsules: NDC 62135-975-20 Storage Store at 20° to 25°C (68° to 77°F) excursions permitted to 15° to 30°C (59° to 86°F) [See USP Controlled Room Temperature]. Protect from light and moisture. Dispense in a tight, light-resistant container as defined in the USP using a child-resistant closure.

Description

Warnings and Precautions, Severe Skin Reactions ( 5.5 )                                                            04/2025

Section 42230-3

Print Instructions for Use at: www.chartwellpharma.com/our-products/

FDA-Approved Patient Labeling

                                                                                                                                                                        Instructions for Use

                                                                                                                                                           Doxycycline Hyclate Tablets, USP

                                                                                                                                                                              for oral use

Read this Instructions for Use before you start using doxycycline hyclate and each time you get a refill. There may be new information. This information does not take the place of talking to your healthcare provider about your medical condition or treatment.

Note:

  • Your healthcare provider may need to change your dose of doxycycline hyclate during treatment as needed.
  • Doxycycline hyclate tablets can be taken whole or broken at scored lines.
  • Doxycycline hyclate tablets are marked with scored lines and may be broken at these scored lines to provide the following doses:

150 mg treatment (take the entire whole tablet)

100 mg treatment (take two-thirds of the tablet)

50 mg treatment (take one-third of the tablet)

How to break your doxycycline hyclate tablet:

  • Hold the tablet between your thumb and index finger close to the scored line for your dose of doxycycline hyclate as shown above.
  • Apply enough pressure to break the tablet at the scored line.
  • D o notbreak the doxycycline hyclate tablet in any other way.


Manufactured for:

Chartwell RX, LLC.

Congers, NY 10920



This Instructions for Use has been approved by the U.S. Food and Drug Administration.



Rev. 03/2025

L72475

Rx only

Section 43683-2

1.10 Usage

To reduce the development of drug-resistant bacteria and maintain the effectiveness of doxycycline hyclate and other antibacterial drugs, doxycycline hyclate should be used only to treat or prevent infections that are proven or strongly suspected to be caused by susceptible bacteria. When culture and susceptibility information are available, they should be considered in selecting or modifying antibacterial therapy. In the absence of such data, local epidemiology and susceptibility patterns may contribute to the empiric selection of therapy.

10 Overdosage

In case of overdosage, discontinue medication, treat symptomatically and institute supportive measures. Dialysis does not alter serum half-life and thus would not be of benefit in treating cases of overdosage.

15 References
  • Friedman JM, Polifka JE. Teratogenic Effects of Drugs. A Resource for Clinicians (TERIS). Baltimore, MD: The Johns Hopkins University Press: 2000: 149-195.
  • Cziezel AE and Rockenbauer M. Teratogenic study of doxycycline. Obstet Gynecol 1997; 89: 524-528.
  • Horne HW Jr. and Kundsin RB. The role of mycoplasma among 81 consecutive pregnancies: a prospective study. Int J Fertil1980; 25: 315-317.
  • Drugs and Lactation Database (LactMed) [Internet]. Bethesda (MD): National Library of Medicine (US); [Last Revision Date 2018 Oct 31; cited 2019 Jun]. Doxycycline; LactMed Record Number: 100; [about 3 screens]. Available from: http://toxnet.nlm.nih.gov/newtoxnet/lactmed.htm

8.1 Pregnancy

Risk Summary

Doxycycline hyclate, like other tetracycline-class antibacterial drugs, may cause discoloration deciduous teeth, and reversible inhibition of bone growth when administered during the second and third trimester of pregnancy [see Warnings and Precautions ( 5.1) and ( 5.2)]. Available data from published studies over decades have not shown a difference in major birth defect risk compared to unexposed pregnancies with doxycycline exposure in the first trimester of pregnancy ( see Data). There are no available data on the risk of miscarriage following exposure to doxycycline in pregnancy. Advise the patient of the potential risk to the fetus if doxycycline hyclate is used during pregnancy.

The estimated background risk of major birth defects and miscarriage for the indicated population is unknown. All pregnancies have a background risk of birth defect, loss, or other adverse outcomes. In the U.S. general population, the estimated background risk of major birth defects and miscarriage in clinically recognized pregnancies is 2% to 4% and 15% to 20%, respectively.

Data

Human Data

A retrospective cohort study of 1,690 pregnant patients who received doxycycline prescriptions in the first trimester of pregnancy compared to an unexposed pregnant cohort showed no difference in the major malformation rate. There is no information on the dose or duration of treatment, or if the patients actually ingested the doxycycline that was prescribed.

Other published studies on exposure to doxycycline in the first trimester of pregnancy have small sample sizes; however, these studies have not shown an increased risk of major malformations.

The use of tetracyclines during tooth development (second and third trimester of pregnancy) may cause permanent discoloration of the teeth (yellow-gray-brown). This adverse reaction is more common during long-term use of the drug but has been observed following repeated short-term courses. [see Warnings and Precautions ( 5.1, 5.2)].

Animal Data

Results of animal studies indicate that tetracyclines cross the placenta, are found in fetal tissues, and can have toxic effects on the developing fetus (often related to retardation of skeletal development). Evidence of embryotoxicity also has been noted in animals treated early in pregnancy.

8.2 Lactation

Risk Summary

Based on available published data, doxycycline is present in human milk. There are no data that inform the levels of doxycycline in breastmilk, the effects on the breastfed infant, or the effects on milk production. Because of the potential for serious adverse reactions, including tooth discoloration and inhibition of bone growth, advise patients that breastfeeding is not recommended during treatment with doxycycline hyclate and for 5 days after the last dose.

11 Description

Doxycycline Hyclate Tablets, USP and and Doxycycline Hyclate Capsules, USP contain Doxycycline Hyclate, USP a tetracycline class drug synthetically derived from oxytetracycline, in an immediate release formulation for oral administration.

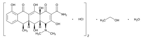
The molecular formula of doxycycline hyclate is (C 22H 24N 2O 8•HCl) 2•C 2H 6O•H 2O and the molecular weight of doxycycline hyclate is 1025.87. The chemical name for doxycycline hyclate is:

4-(Dimethylamino)-1,4,4a,5,5a,6,11,12a-octahydro-3,5,10,12,12a-pentahydroxy-6-methyl-1,11-dioxo-2-naphthacenecarboxamide monohydrochloride, compound with ethyl alcohol (2:1), monohydrate.

The structural formula for doxycycline hyclate is:

Figure 1: Structure of Doxycycline Hyclate

Doxycycline hyclate is a yellow crystalline powder soluble in water and in solutions of alkali hydroxides and carbonates.

Doxycycline Hyclate Tablets, USP :

Doxycycline Hyclate Tablets, USP are available as 75 mg and 150 mg tablets. Each 75 mg tablet contains 86.6 mg of doxycycline hyclate equivalent to 75 mg of doxycycline. Each 150 mg tablet contains 173.1 mg of doxycycline hyclate equivalent to 150 mg of doxycycline.

Inactive ingredients in the tablet formulation are croscarmellose sodium, magnesium stearate, microcrystalline cellulose and sodium lauryl sulfate. Film-coating contains: FD&C Blue#2/Indigotine Aluminum Lake, polyvinyl alcohol, polyethylene glycol 8000, talc, titanium dioxide and yellow iron oxide (150 mg Tablet). Doxycycline Hyclate Tablets, USP 75 mg contain 0.95 mg (0.041 mEq) of sodium. Doxycycline Hyclate Tablets, USP 150 mg contain 1.89 mg (0.082 mEq) of sodium.

Doxycycline Hyclate Capsules, USP:

Doxycycline Hyclate Capsules, USP are available as 75 mg capsules. Each 75 mg capsule contains 86.6 mg of doxycycline hyclate equivalent to 75 mg of doxycycline.

Inactive ingredients in the capsule formulation are magnesium stearate, microcrystalline cellulose, and a hard gelatin capsule which contains FD&C Blue #1, FD&C Red #3 and titanium dioxide. The capsules are printed with edible ink containing alcohol, black iron oxide, FD&C Blue #1/ Brilliant Blue FCF Aluminum Lake, FD&C Blue #2/Indigo Carmine Aluminum Lake, FD&C Red #40/Allura Red AC Aluminum Lake, D&C Yellow #10 Aluminum Lake, and shellac glaze.

7.2 Penicillin

Since bacteriostatic drugs may interfere with the bactericidal action of penicillin, it is advisable to avoid giving tetracyclines, including doxycycline hyclate in conjunction with penicillin.

12.4 Microbiology

Mechanism of Action

Doxycycline inhibits bacterial protein synthesis by binding to the 30S ribosomal subunit. Doxycycline has bacteriostatic activity against a broad range of Gram-positive and Gram-negative bacteria.

Resistance

Cross resistance with other tetracyclines is common.

Antimicrobial Activity

Doxycycline has been shown to be active against most isolates of the following microorganisms, both in vitro and in clinical infections [see Indications and Usage (1)].

Gram-negative bacteria

Acinetobacterspecies

Bartonella bacilliformis

Brucellaspecies

Campylobacter fetus

Enterobacter aerogenes

Escherichia coli

Francisella tularensis

Haemophilus ducreyi

Haemophilus influenzae

Klebsiella granulomatis

Klebsiellaspecies

Neisseria gonorrhoeae

Shigellaspecies

Vibrio cholerae

Yersinia pestis

Gram-positive bacteria

Bacillus anthracis

Listeria monocytogenes

Streptococcus pneumoniae

Anaerobic bacteria

Clostridiumspecies

Fusobacterium fusiforme

Propionibacterium acnes

Other bacteria

Nocardiae andother aerobic Actinomycesspecies

Borrelia recurrentis

Chlamydophila psittaci

Chlamydia trachomatis

Mycoplasma pneumoniae

Rickettsiaespecies

Treponema pallidum

Treponema pallidumsubspecies pertenue

Ureaplasma urealyticum

Parasites

Balantidium coli

Entamoebaspecies

Plasmodium falciparum*

*Doxycycline has been found to be active against the asexual erythrocytic forms of Plasmodium falciparum, but not against the gametocytes of P. falciparum. The precise mechanism of action of the drug is not known.

Susceptibility Testing

For specific information regarding susceptibility test interpretive criteria, and associated test methods and quality control standards recognized by FDA for this drug, please see: http://www.fda.gov/STIC .

8.4 Pediatric Use

Because of the effects of drugs of the tetracycline-class on tooth development and growth, use doxycycline hyclate in pediatric patients 8 years of age or less only when the potential benefits are expected to outweigh the risks in severe or life-threatening conditions (e.g., anthrax, Rocky Mountain spotted fever), particularly when there are no alternative therapies [see Warnings and Precautions ( 5.1, 1.1) and Dosage and Administration ( 2.1, 2.5)] .

8.5 Geriatric Use

Clinical studies of doxycycline hyclate tablets did not include sufficient numbers of subjects aged 65 and over to determine whether they respond differently from younger subjects. Other reported clinical experience has not identified differences in responses between the elderly and younger patients. Doxycycline hyclate tablets each contains less than 1 mg of sodium.

4 Contraindications

Doxycycline hyclate are contraindicated in persons who have shown hypersensitivity to any of the tetracyclines.

6 Adverse Reactions

The following adverse reactions have been identified during clinical trials or post-approval use of tetracycline-class drugs, including doxycycline. Because these reactions are reported voluntarily from a population of uncertain size, it is not always possible to reliably estimate their frequency or establish a causal relationship to drug exposure.

Gastrointestinal:Anorexia, nausea, vomiting, diarrhea, glossitis, dysphagia, enterocolitis, inflammatory lesions (with monilial overgrowth) in the anogenital region, and pancreatitis. Hepatotoxicity has been reported. These reactions have been caused by both the oral and parenteral administration of tetracyclines. Superficial discoloration of the adult permanent dentition, reversible upon drug discontinuation and professional dental cleaning has been reported. Permanent tooth discoloration and enamel hypoplasia may occur with drugs of the tetracycline class when used during tooth development [See Warnings and Precautions (5.1)] . Instances of esophagitis and esophageal ulcerations have been reported in patients receiving capsule and tablet forms of drugs in the tetracycline-class. Most of these patients took medications immediately before going to bed [see Dosage and Administration (2.1)] .

Skin:Maculopapular and erythematous rashes, Stevens-Johnson syndrome, toxic epidermal necrolysis, exfoliative dermatitis, erythema multiforme, and fixed drug eruption have been reported. Photosensitivity has been reported [see Warnings and Precautions (5.4)] .

Renal:Rise in BUN has been reported and is apparently dose-related [see Warnings and Precautions (5.7)] .

Hypersensitivity reactions:Urticaria, angioneurotic edema, anaphylaxis, anaphylactoid purpura, serum sickness, pericarditis, exacerbation of systemic lupus erythematosus, and drug reaction with eosinophilia and systemic symptoms (DRESS).

Blood:Hemolytic anemia, thrombocytopenia, neutropenia, and eosinophilia have been reported.

Intracranial Hypertension:Intracranial hypertension (IH, pseudotumor cerebri) has been associated with the use of tetracyclines [see Warnings and Precautions (5.6)] .

Thyroid Gland Changes:When given over prolonged periods, tetracyclines have been reported to produce brown-black microscopic discoloration of thyroid glands. No abnormalities of thyroid function are known to occur.

Psychiatric:Depression, anxiety, suicidal ideation, insomnia, abnormal dreams, hallucination.

7 Drug Interactions
  • Patients who are on anticoagulant therapy may require downward adjustment of their anticoagulant dosage. ( 7.1)
  • Avoid co-administration of tetracyclines with penicillin. ( 7.2)
  • Absorption of tetracyclines, including doxycycline hyclate is impaired by antacids containing aluminum, calcium, or magnesium, bismuth subsalicylate and iron-containing preparations. ( 7.3)
  • Concurrent use of tetracyclines, including doxycycline hyclate may render oral contraceptives less effective. ( 7.4)
  • Barbiturates, carbamazepine and phenytoin decrease the half-life of doxycycline. ( 7.5)
5.4 Photosensitivity

Photosensitivity manifested by an exaggerated sunburn reaction has been observed in some individuals taking tetracyclines. Patients apt to be exposed to direct sunlight or ultraviolet light should be advised that this reaction can occur with tetracycline drugs, and treatment should be discontinued at the first evidence of skin erythema.

12.3 Pharmacokinetics

Absorption

Doxycycline hyclate tablets: Following administration of a single 300 mg dose to adult volunteers, average peak plasma doxycycline levels were 3.0 mcg per mL at 3 hours, decreasing to 1.18 mcg per mL at 24 hours. The mean C maxand AUC 0-∞of doxycycline are 24% and 15% lower, respectively, following single dose administration of doxycycline hyclate tablets, 150 mg tablets with a high fat meal (including milk) compared to fasted conditions. The clinical significance of these decreases is unknown.

Doxycycline hyclate capsules : Following administration of a single 300 mg dose to adult volunteers, average peak plasma doxycycline levels were 2.8 mcg per mL at 3 hours, decreasing to 1.1 mcg per mL at 24 hours. The mean C maxof doxycycline is approximately 20% lower and the AUC 0-∞is unchanged following single dose administration of doxycycline hyclate capsules with a high fat meal (including milk) compared to fasted conditions. The clinical significance of this decrease in C maxis unknown.

Excretion

Tetracyclines are concentrated in bile by the liver and excreted in the urine and feces at high concentrations and in a biologically active form.

Excretion of doxycycline by the kidney is about 40% per 72 hours in individuals with a creatinine clearance of about 75 mL per minute. This percentage may fall as low as 1% per 72 hours to 5% per 72 hours in individuals with a creatinine clearance below 10 mL per minute. Studies have shown no significant difference in the serum half-life of doxycycline (range 18 to 22 hours) in individuals with normal and severely impaired renal function. Hemodialysis does not alter the serum half-life.

Pediatric Patients

Population pharmacokinetic analysis of sparse concentration-time data of doxycycline following standard of care intravenous and oral dosing in 44 children (2-18 years of age) showed that allometrically-scaled clearance of doxycycline in children ≥2 to ≤8 years of age (median [range] 3.58 [2.27-10.82] L/h/70 kg, N=11) did not differ significantly from children >8 to 18 years of age (3.27 [1.11-8.12] L/h/70 kg, N=33). For pediatric patients weighing ≤45 kg, body weight normalized doxycycline CL in those ≥2 to ≤8 years of age (median [range] 0.071 [0.041-0.202] L/kg/h, N=10) did not differ significantly from those >8 to 18 years of age (0.081 [0.035-0.126] L/kg/h, N=8). In pediatric patients weighing >45 kg no clinically significant differences in body weight normalized doxycycline CL were observed between those ≥2 to ≤8 years (0.050 L/kg/h, N=1) and those >8 years of age (0.044 [0.014-0.121] L/kg/h, N=25). No clinically significant difference in CL differences between oral and IV were observed in the small cohort of pediatric patients who received the oral (N=19) or IV (N=21) formulation alone.

5.1 Tooth Development

The use of doxycycline hyclate during tooth development (last half of pregnancy, infancy and childhood to the age of 8 years) may cause permanent discoloration of the teeth (yellow-gray-brown). This adverse reaction is more common during long-term use of the drugs of the tetracycline class, but it has been observed following repeated short-term courses. Enamel hypoplasia has also been reported with drugs of the tetracycline class. Advise the patient of the potential risk to the fetus if doxycycline hyclate is used during pregnancy [see Use in Specific Populations ( 8.1, 8.4)].

Use doxycycline hyclate in pediatric patients 8 years of age or less only when the potential benefits are expected to outweigh the risks in severe or life-threatening conditions (e.g., anthrax, Rocky Mountain spotted fever), particularly when there are no alternative therapies.

1 Indications and Usage

Doxycycline hyclate tablets and doxycycline hyclate capsules are tetracycline class drugs indicated for:

  • Rickettsial infections ( 1.1)
  • Sexually transmitted infections ( 1.2)
  • Respiratory tract infections ( 1.3)
  • Specific bacterial infections ( 1.4)
  • Ophthalmic infections ( 1.5)
  • Anthrax, including inhalational anthrax (post-exposure) ( 1.6)
  • Alternative treatment for selected infections when penicillin is contraindicated ( 1.7)
  • Adjunctive therapy for acute intestinal amebiasis and severe acne ( 1.8)
  • Prophylaxis of malaria ( 1.9)

To reduce the development of drug-resistant bacteria and maintain the effectiveness of doxycycline hyclate and other antibacterial drugs, doxycycline hyclate should be used only to treat or prevent infections that are proven or strongly suspected to be caused by bacteria. ( 1.10)

5.7 Antianabolic Action

The antianabolic action of the tetracyclines may cause an increase in BUN. Studies to date indicate that this does not occur with the use of doxycycline in patients with impaired renal function.

7.1 Anticoagulant Drugs

Because tetracyclines have been shown to depress plasma prothrombin activity, patients who are on anticoagulant therapy may require downward adjustment of their anticoagulant dosage.

7.4 Oral Contraceptives

Concurrent use of tetracyclines, including doxycycline hyclate may render oral contraceptives less effective.

Principal Display Panel

Doxycycline Hyclate Tablets, USP 75 mg - NDC 62135-907-20 - 20s Tabs Bottle Label

Doxycycline Hyclate Tablets, USP 150 mg - NDC 62135-908-20 - 20s Tabs Bottle Label

Doxycycline Hyclate Capsules, USP 75 mg - NDC 62135-975-20 - 20s caps Bottle Label

12.1 Mechanism of Action

Doxycycline is a tetracycline-class antimicrobial drug [see Microbiology (12.4)] .

1.5 Ophthalmic Infections

Doxycycline hyclate tablets and capsules are indicated for treatment of the following ophthalmic infections:

  • Trachoma caused by Chlamydia trachomatis, although the infectious agent is not always eliminated as judged by immunofluorescence.
  • Inclusion conjunctivitis caused by Chlamydia trachomatis.
5.5 Severe Skin Reactions

Severe skin reactions, such as exfoliative dermatitis, erythema multiforme, Stevens-Johnson syndrome, toxic epidermal necrolysis, and drug reaction with eosinophilia and systemic symptoms (DRESS) have been reported in patients receiving doxycycline. Fixed drug eruptions have occurred with doxycycline and have been associated with worsening severity upon subsequent administrations, including generalized bullous fixed drug eruption [See Adverse Reactions (6)] . If severe skin reactions occur, discontinue doxycycline hyclate tablets and doxycycline hyclate capsules immediately and institute appropriate therapy.

1.1 Rickettsial Infections

Doxycycline hyclate tablets and capsules are indicated for treatment of Rocky Mountain spotted fever, typhus fever and the typhus group, Q fever, rickettsial pox, and tick fevers caused by Rickettsiae.

1.9 Prophylaxis of Malaria

Doxycycline hyclate tablets and capsules are indicated for the prophylaxis of malaria due to Plasmodium falciparumin short-term travelers (less than 4 months) to areas with chloroquine and/or pyrimethamine-sulfadoxine resistant strains [see Dosage and Administration (2.4)and Patient Counseling Information (17)].

5 Warnings and Precautions
  • The use of doxycycline hyclate during tooth development (last half of pregnancy, infancy and childhood to the age of 8 years) may cause permanent discoloration of the teeth (yellow-gray-brown) and enamel hypoplasia Advise the patient of the potential risk to the fetus during pregnancy. ( 2.2, 5.1, 8.1, 8.4)
  • The use of doxycycline hyclate during the second and third-trimester of pregnancy, infancy and childhood up to the age of 8 years may cause reversible inhibition of bone growth. Advise the patient of the potential risk to the fetus during pregnancy. ( 5.2, 8.1, 8.4)
  • Clostridioides difficile-associated diarrhea (CDAD) has been reported. Evaluate patients if diarrhea occurs. ( 5.3)
  • Photosensitivity manifested by an exaggerated sunburn reaction has been observed in some individuals taking tetracyclines. Limit sun exposure. ( 5.4)
  • Overgrowth of non-susceptible organisms, including fungi, may occur. If such infections occur, discontinue use and institute appropriate therapy. ( 5.10)
2 Dosage and Administration
  • Important Administration Instructions for doxycycline hyclate tablets and doxycycline hyclate capsules:
    • Doxycycline hyclate tablets (150 mg) can be broken into two-thirds or one-third to provide a 50 mg and 100 mg strength, respectively. ( 2.1)
    • Swallow doxycycline hyclate capsule whole. Do not break, open, crush, dissolve or chew the capsule. ( 2.1)
  • Dosage in Adults for doxycycline hyclate tablets and doxycycline hyclate capsules:
    • The usual dosage is 200 mg on the first day of treatment (administered 100 mg every 12 hours) followed by a maintenance dose of 100 mg daily. ( 2.1)
    • In the management of more severe infections (particularly chronic infections of the urinary tract), 100 mg every 12 hours is recommended. ( 2.1)
  • Dosage in Pediatric Patients for doxycycline hyclate tablets and doxycycline hyclate capsules:
    • For all pediatric patients weighing less than 45 kg with severe or life-threatening infections (e.g., anthrax, Rocky Mountain spotted fever), the recommended dose is 2.2 mg per kg of body weight administered every 12 hours. Pediatric patients weighing 45 kg or more should receive the adult dose. ( 2.3)
    • For pediatric patients with less severe disease (greater than 8 years of age and weighing less than 45 kg), the recommended dose is 4.4 mg per kg of body weight divided into two doses on the first day of treatment, followed by a maintenance dose of 2.2 mg per kg of body weight (given as a single daily dose or divided into two doses. For pediatric patients weighing over 45 kg, the usual adult dose should be used. ( 2.3)
  • See Full Prescribing Information for additional indication specific dosage information and important administration instructions for doxycycline hyclate tablets and doxycycline hyclate capsules. ( 2.1, 2.4, 2.5)
2.2 Dosage in Adult Patients
  • The usual dosage of doxycycline hyclate tablet is 200 mg on the first day of treatment (administered 100 mg every 12 hours) followed by a maintenance dose of 100 mg daily. The maintenance dose may be administered as a single dose or as 50 mg every 12 hours.
  • In the management of more severe infections (particularly chronic infections of the urinary tract), 100 mg every 12 hours is recommended.
  • For certain selected specific indications, the recommended duration or dosage and duration of doxycycline hyclate tablets and capsules in adult patients are as follows:
  • Streptococcal infections, therapy should be continued for 10 days.
  • Uncomplicated urethral, endocervical, or rectal infection caused by Chlamydia trachomatis: 100 mg by mouth twice-a-day for 7 days.
  • Uncomplicated gonococcal infections in adults (except anorectal infections in men): 100 mg, by mouth, twice-a-day for 7 days. As an alternate single visit dose, administer 300 mg stat followed in one hour by a second 300 mg dose.
  • Nongonococcal urethritis (NGU) caused by C. trachomatisand U. urealyticum:100 mg by mouth twice‑a‑day for 7 days.
  • Syphilis – early: Patients who are allergic to penicillin should be treated with doxycycline 100 mg by mouth twice-a-day for 2 weeks.
  • Syphilis of more than one year’s duration: Patients who are allergic to penicillin should be treated with doxycycline 100 mg by mouth twice-a-day for 4 weeks.
  • Acute epididymo-orchitis caused by N. gonorrhoeae: 100 mg by mouth, twice-a-day for at least 10 days.
  • Acute epididymo-orchitis caused by C. trachomatis: 100 mg, by mouth, twice-a-day for at least 10 days.
3 Dosage Forms and Strengths

Doxycycline Hyclate Tablets, USP:

Doxycycline Hyclate Tablets, USP 75 mg are round convex light blue, film-coated, compressed tablet with “ 75'' debossed on one side of the tablet and "AQ"over "101"debossed on the other (each tablet contains 75 mg doxycycline as 86.6 mg doxycycline hyclate).

Doxycycline Hyclate Tablets, USP 150 mg are capsule-shaped, convex, mossy-green, film-coated compressed tablet. Each side of the tablet is trisected with an " A" debossed on each portion of one side of the tablet, and no debossing on the other (each tablet contains 150 mg doxycycline as 173.1 mg doxycycline hyclate).

Doxycycline Hyclate Capsules, USP:

Doxycycline Hyclate Capsules, USP 75 mg are size #2, hard gelatin capsules, blue opaque cap with white opaque body, imprinted with “ CE” on the cap and “ 227” on the body in black ink, filled with yellow powder (each capsule contains 75 mg doxycycline as 86.6 mg doxycycline hyclate).

5.3 Clostridioides Difficile

Clostridioides difficileassociated diarrhea (CDAD) has been reported with use of nearly all antibacterial agents, including doxycycline hyclate , and may range in severity from mild diarrhea to fatal colitis. Treatment with antibacterial agents alters the normal flora of the colon leading to overgrowth of C. difficile.

C. difficileproduces toxins A and B which contribute to the development of CDAD. Hypertoxin producing strains of C. difficilecause increased morbidity and mortality, as these infections can be refractory to antibacterial therapy and may require colectomy. CDAD must be considered in all patients who present with diarrhea following antibacterial use. Careful medical history is necessary since CDAD has been reported to occur over two months after the administration of antibacterial agents.

If CDAD is suspected or confirmed, ongoing antibacterial use not directed against C. difficilemay need to be discontinued. Appropriate fluid and electrolyte management, protein supplementation, antibacterial treatment of C. difficile ,and surgical evaluation should be instituted as clinically indicated.

5.2 Inhibition of Bone Growth

The use of doxycycline hyclate during the second and third trimester of pregnancy, infancy and childhood up to the age of 8 years may cause reversible inhibition of bone growth. All tetracyclines form a stable calcium complex in any bone-forming tissue. A decrease in fibula growth rate has been observed in premature infants given oral tetracycline in doses of 25 mg/kg every 6 hours. This reaction was shown to be reversible when the drug was discontinued. Advise the patient of the potential risk to the fetus if doxycycline hyclate tablets and capsules are used during pregnancy [see Use in Specific Populations ( 8.1, 8.4)] .

5.6 Intracranial Hypertension

Intracranial hypertension (IH, pseudotumor cerebri) has been associated with the use of tetracyclines including doxycycline hyclate. Clinical manifestations of IH include headache, blurred vision, diplopia, and vision loss; papilledema can be found on fundoscopy. Women of childbearing age who are overweight or have a history of IH are at greater risk for developing tetracycline associated IH. Concomitant use of isotretinoin and doxycycline hyclate should be avoided because isotretinoin is also known to cause pseudotumor cerebri.

Although IH typically resolves after discontinuation of treatment, the possibility for permanent visual loss exists. If visual disturbance occurs during treatment, prompt ophthalmologic evaluation is warranted. Since intracranial pressure can remain elevated for weeks after drug cessation patients should be monitored until they stabilize.

8 Use in Specific Populations
  • Lactation: Breastfeeding is not recommended. ( 8.2)
1.3 Respiratory Tract Infections

Doxycycline hyclate tablets and capsules are indicated for treatment of the following respiratory tract infections:

  • Respiratory tract infections caused by Mycoplasma pneumoniae.
  • Psittacosis (ornithosis) caused by Chlamydophila psittaci.
  • Because many strains of the following groups of microorganisms have been shown to be resistant to doxycycline, culture and susceptibility testing are recommended.
  • Doxycycline is indicated for treatment of infections caused by the following microorganisms, when bacteriological testing indicates appropriate susceptibility to the drug:
  • Respiratory tract infections caused by Haemophilus influenzae.
  • Respiratory tract infections caused by Klebsiella species.
  • Upper respiratory infections caused by Streptococcus pneumoniae.
2.3 Dosage in Pediatric Patients
  • For all pediatric patients weighing less than 45 kg with severe or life threatening infections (e.g., anthrax, Rocky Mountain spotted fever), the recommended dosage of doxycycline hyclate tablet and capsule is 2.2 mg per kg of body weight administered every 12 hours. Pediatric patients weighing 45 kg or more should receive the adult dose [see Warnings and Precautions (5.1)].
  • For pediatric patients with less severe disease (greater than 8 years of age and weighing less than 45 kg), the recommended dosage schedule of doxycycline hyclate tablet and capsule is 4.4 mg per kg of body weight divided into two doses on the first day of treatment, followed by a maintenance dose of 2.2 mg per kg of body weight (given as a single daily dose or divided into twice daily doses). For pediatric patients weighing over 45 kg, the usual adult dose should be used.
1.4 Specific Bacterial Infections

Doxycycline hyclate tablets and capsules are indicated for treatment of the following specific bacterial infections:

  • Relapsing fever due to Borrelia recurrentis.
  • Plague due to Yersinia pestis.
  • Tularemia due to Francisella tularensis.
  • Cholera caused by Vibrio cholerae.
  • Campylobacter fetus infections caused by Campylobacter fetus.
  • Brucellosis due to Brucellaspecies (in conjunction with streptomycin).
  • Bartonellosis due to Bartonella bacilliformis.

Because many strains of the following groups of microorganisms have been shown to be resistant to doxycycline, culture and susceptibility testing are recommended.

Doxycycline hyclate tablets and capsules are indicated for treatment of infections caused by the following gram-negative microorganisms, when bacteriological testing indicates appropriate susceptibility to the drug:

  • Escherichia coli
  • Enterobacter aerogenes
  • Shigellaspecies
  • Acinetobacterspecies
  • Urinary tract infections caused by Klebsiellaspecies.
17 Patient Counseling Information

Advise the patient to read the FDA-approved patient labeling (Instructions for Use).

Important Administration and Safety Information for Patients and Caregivers

Advise patients taking doxycycline hyclate for malaria prophylaxis:

  • that no present-day antimalarial agent, including doxycycline, guarantees protection against malaria.
  • to avoid being bitten by mosquitoes by using personal protective measures that help avoid contact with mosquitoes, especially from dusk to dawn (for example, staying in well-screened areas, using mosquito nets, covering the body with clothing, and using an effective insect repellent).
  • that doxycycline prophylaxis:
    • should begin 1 day to 2 days before travel to the malarious area,
    • should be continued daily while in the malarious area and after leaving the malarious area,
    • should be continued for 4 further weeks to avoid development of malaria after returning from an endemic area,
    • should not exceed 4 months.

Advise all patients taking doxycycline hyclate:

  • that doxycycline hyclate tablets (150 mg) can be broken into two-thirds or one-third at the scored lines to provide 100 mg or 50 mg strength doses, respectively.
  • that they must swallow doxycycline hyclate capsules whole. They must not break, open, crush, dissolve or chew the capsule [see Dosage and Administration (2.2)] .
  • to avoid excessive sunlight or artificial ultraviolet light while receiving doxycycline and to discontinue therapy if phototoxicity (for example, skin eruptions, etc.) occurs. Sunscreen or sunblock should be considered [see Warnings and Precautions (5.4)].
  • to drink fluids liberally along with doxycycline hyclate to reduce the risk of esophageal irritation and ulceration [see Adverse Reactions (6)] .
  • that the absorption of tetracyclines is reduced when taken with foods, especially those that contain calcium [see Drug Interactions (7.3)]. However, the absorption of doxycycline is not markedly influenced by simultaneous ingestion of food or milk [see Clinical Pharmacology (12.3)] .
  • that if gastric irritation occurs, doxycycline hyclate may be given with food or milk [see Clinical Pharmacology (12.3)].
  • that the absorption of tetracyclines is reduced when taken with antacids containing aluminum, calcium or magnesium, bismuth subsalicylate, and iron-containing preparations [see Drug Interactions (7.3)].
  • that the use of doxycycline might increase the incidence of vaginal candidiasis.

Tooth Discoloration and Inhibition of Bone Growth

Advise patients that doxycycline hyclate, like other tetracycline-class drugs, may cause permanent tooth discoloration of deciduous teeth and reversible inhibition of bone growth when administered during pregnancy. Tell your healthcare provider right away if you become pregnant during treatment [see Warnings and Precautions ( 5.1, 5.2) and Use in Specific Populations ( 8.1, 8.4)] .

Lactation

Advise women not to breastfeed during treatment with doxycycline hyclate and for 5 days after the last dose [see Use in Specific Populations (8.2)] .

Diarrhea

Advise patients that diarrhea is a common problem caused by antibacterial drugs which usually ends when the antibacterial is discontinued. Sometimes after starting treatment with antibacterial drugs, patients can develop watery and bloody stools (with or without stomach cramps and fever) even as late as two or more months after having taken the last dose of antibacterial. If this occurs, patients should contact their physician as soon as possible.

Development of Resistance

Counsel patients that antibacterial drugs including doxycycline hyclate should only be used to treat bacterial infections. They do not treat viral infections (for example, the common cold). When doxycycline hyclate are prescribed to treat a bacterial infection, patients should be told that although it is common to feel better early in the course of therapy, the medication should be taken exactly as directed. Skipping doses or not completing the full course of therapy may (1) decrease the effectiveness of the immediate treatment and (2) increase the likelihood that bacteria will develop resistance and will not be treatable by doxycycline hyclate or other antibacterial drugs in the future.



Manufactured for:

Chartwell RX, LLC.

Congers, NY 10920



Rev. 04/2025-01

L72474



Print Instructions for Use at: www.chartwellpharma.com/our-products/

7.3 Antacids and Iron Preparations

Absorption of tetracyclines, including doxycycline hyclate is impaired by antacids containing aluminum, calcium, or magnesium, bismuth subsalicylate, and iron-containing preparations.

1.2 Sexually Transmitted Infections

Doxycycline hyclate tablets and capsules are indicated for treatment of the following sexually transmitted infections:

  • Uncomplicated urethral, endocervical or rectal infections caused by Chlamydia trachomatis.
  • Nongonococcal urethritis caused by Ureaplasma urealyticum.
  • Lymphogranuloma venereum caused by Chlamydia trachomatis.
  • Granuloma inguinale caused by Klebsiella granulomatis.
  • Uncomplicated gonorrhea caused by Neisseria gonorrhoeae.
  • Chancroid caused by Haemophilus ducreyi.
16 How Supplied/storage and Handling

How Supplied

Doxycycline Hyclate Tablets, USP 75 mg are round convex light blue, film-coated, compressed tablet with “ 75” debossed on one side of the tablet and "AQ"over "101"debossed on the other. Each 75 mg tablet contains 86.6 mg of doxycycline hyclate equivalent to 75 mg of doxycycline.

Bottles of 20 tablets: NDC 62135-907-20

Doxycycline Hyclate Tablets, USP 150 mg are capsule-shaped, convex, mossy-green, film-coated compressed tablet. Each side of the tablet is trisected with an " A" debossed on each portion of one side of the tablet, and no debossing on the other. Each 150 mg tablet contains 173.1 mg of doxycycline hyclate equivalent to 150 mg of doxycycline.

Bottles of 20 tablets: NDC 62135-908-20

Doxycycline Hyclate Capsules, USP 75 mg are size #2, hard gelatin capsules, blue opaque cap with white opaque body, imprinted with “ CE” on the cap and “ 227” on the body in black ink, filled with yellow powder .Each 75 mg capsule contains 86.6 mg of doxycycline hyclate equivalent to 75 mg of doxycycline.

Bottles of 20 capsules: NDC 62135-975-20

Storage

Store at 20° to 25°C (68° to 77°F) excursions permitted to 15° to 30°C (59° to 86°F) [See USP Controlled Room Temperature]. Protect from light and moisture. Dispense in a tight, light-resistant container as defined in the USP using a child-resistant closure.

7.5 Barbiturates and Anti Epileptics

Barbiturates, carbamazepine, and phenytoin decrease the half-life of doxycycline.

2.4 Dosage for Prophylaxis of Malaria

For adults, the recommended dose of doxycycline hyclate tablet is 100 mg daily.

For pediatric patients 8 years of age and older, the recommended dosage of doxycycline hyclate tablet and capsule is 2 mg per kg of body weight administered once daily. Pediatric patients weighing 45 kg or more should receive the adult dose.

Prophylaxis should begin 1 or 2 days before travel to the malarious area. Prophylaxis should be continued daily during travel in the malarious area and for 4 weeks after the traveler leaves the malarious area.

5.8 Incomplete Suppression of Malaria

Doxycycline offers substantial but not complete suppression of the asexual blood stages of Plasmodiumstrains.

Doxycycline does not suppress P. falciparum’ssexual blood stage gametocytes. Subjects completing this prophylactic regimen may still transmit the infection to mosquitoes outside endemic areas.

5.10 Potential for Microbial Overgrowth

Doxycycline hyclate may result in overgrowth of non-susceptible organisms, including fungi. If such infections occur, discontinue use and institute appropriate therapy.

2.1 Important Administration Instructions
  • The usual dosage and frequency of administration of doxycycline hyclate tablets and capsules differs from that of the other tetracyclines. Exceeding the recommended dosage may result in an increased incidence of adverse reactions.
  • Administer doxycycline hyclate tablets and capsules with adequate amounts of fluid to wash down the drugs and reduce the risk of esophageal irritation and ulceration [see Adverse Reactions (6)] .
  • If gastric irritation occurs, doxycycline hyclate tablets and capsules may be given with food or milk [see Clinical Pharmacology (12.3)]
  • Swallow doxycycline hyclate capsules whole. Do not break, open, crush, dissolve or chew the capsule.
  • Doxycycline hyclate tablets (150 mg) can be broken into two-thirds or one-third to provide a 100 mg and 50 mg strength, respectively [see FDA-approved patient labeling].
7.7 Drug and Laboratory Test Interactions

False elevations of urinary catecholamines may occur due to interference with the fluorescence test.

13.2 Animal Toxicology And/or Pharmacology

Hyperpigmentation of the thyroid has been produced by members of the tetracycline-class in the following species: in rats by oxytetracycline, doxycycline, tetracycline PO 4, and methacycline; in minipigs by doxycycline, minocycline, tetracycline PO 4, and methacycline; in dogs by doxycycline and minocycline; in monkeys by minocycline.

Minocycline, tetracycline PO 4, methacycline, doxycycline, tetracycline base, oxytetracycline HCl, and tetracycline HCl, were goitrogenic in rats fed a low iodine diet. This goitrogenic effect was accompanied by high radioactive iodine uptake. Administration of minocycline also produced a large goiter with high radioiodine uptake in rats fed a relatively high iodine diet.

Treatment of various animal species with this class of drugs has also resulted in the induction of thyroid hyperplasia in the following: in rats and dogs (minocycline); in chickens (chlortetracycline); and in rats and mice (oxytetracycline). Adrenal gland hyperplasia has been observed in goats and rats treated with oxytetracycline.

Results of animal studies indicate that tetracyclines cross the placenta and are found in fetal tissues.

5.9 Development of Drug Resistant Bacteria

Prescribing doxycycline hyclate in the absence of a proven or strongly suspected bacterial infection or a prophylactic indication is unlikely to provide benefit to the patient and increases the risk of the development of drug-resistant bacteria.

8.3 Females and Males of Reproductive Potential

Infertility

Based on findings from a fertility study in animals, doxycycline may impair female and male fertility. The reversibility of this finding is unclear. [see Nonclinical Toxicology (13.1)] .

5.11 Laboratory Monitoring for Long Term Therapy

In long-term therapy, periodic laboratory evaluation of organ systems, including hematopoietic, renal and hepatic studies should be performed.

2.5 Dosage for Inhalational Anthrax (post Exposure)

For adults, the recommended dosage is 100 mg, of doxycycline hyclate tablet and capsule, by mouth, twice-a-day for 60 days.

For pediatric patients weighing less than 45 kg, the recommended dosage of doxycycline hyclate tablet is 2.2 mg per kg of body weight, by mouth, twice-a-day for 60 days. Pediatric patients weighing 45 kg or more should receive the adult dose.

13.1 Carcinogenesis, Mutagenesis, Impairment of Fertility

Long-term studies in animals to evaluate carcinogenic potential of doxycycline hyclate have not been conducted.

However, a 2 year carcinogenicity study with doxycycline administered daily by oral gavage to adult rats (20, 75, 200 mg/kg/day) demonstrated an increase in uterine polyps in female rats at 200 mg/kg/day (10 times the maximum recommended daily adult dose of doxycycline hyclate based on body surface area comparison) with no change in tumor incidence in male rats at the same dose. A 2-year carcinogenicity study with doxycycline administered daily by oral gavage to adult male (maximum dose 150 mg/kg/day) and female (maximum dose 300 mg/kg/day) mice showed no changes in tumor incidence, at approximately 4 and 7 times the maximum recommended daily adult dose of doxycycline hyclate , based on a body surface area comparison, respectively .

Mutagenesis and fertility studies have not been conducted with doxycycline hyclate. Mutagenesis studies with doxycycline demonstrated no potential to cause genetic toxicity in an in vitropoint mutation study with mammalian cells or in an in vivomicronucleus assay in CD-1 mice. However, data from an in vitromammalian chromosomal aberration assay conducted in CHO cells suggest that doxycycline is a weak clastogen. Oral administration of doxycycline to Sprague-Dawley rats showed adverse effects on fertility and reproduction including increased time for mating, reduced sperm motility, velocity and concentration as well as increased pre and post implantation loss. Reduced sperm velocity was seen at the lowest dosage tested, 50 mg/kg/day which is 2.5 times the maximum recommended daily adult dose of doxycycline hyclate. Although doxycycline impairs the fertility of rats when administered at sufficient dosages, the effect of doxycycline hyclate on human fertility is unknown.

1.6 Anthrax Including Inhalational Anthrax (post Exposure)

Doxycycline hyclate tablets and capsules are indicated for the treatment of Anthrax due to Bacillus anthracis, including inhalational anthrax (post-exposure); to reduce the incidence or progression of disease following exposure to aerosolized Bacillus anthracis.

1.8 Adjunctive Therapy for Acute Intestinal Amebiasis and Severe Acne

In acute intestinal amebiasis, doxycycline hyclate tablets and capsules may be a useful adjunct to amebicides.

In severe acne, doxycycline hyclate tablets and capsules may be useful adjunctive therapy.

1.7 Alternative Treatment for Selected Infections When Penicillin Is Contraindicated

Doxycycline hyclate tablets and capsules are indicted as an alternative treatment for the following selected infections when penicillin is contraindicated:

  • Syphilis caused by Treponema pallidum.
  • Yaws caused by Treponema pallidumsubspecies pertenue.
  • Listeriosis due to Listeria monocytogenes.
  • Vincent’s infection caused by Fusobacterium fusiforme.
  • Actinomycosis caused by Actinomyces israelii.
  • Infections caused by Clostridiumspecies.

Structured Label Content

Section 42230-3 (42230-3)

Print Instructions for Use at: www.chartwellpharma.com/our-products/

FDA-Approved Patient Labeling

                                                                                                                                                                        Instructions for Use

                                                                                                                                                           Doxycycline Hyclate Tablets, USP

                                                                                                                                                                              for oral use

Read this Instructions for Use before you start using doxycycline hyclate and each time you get a refill. There may be new information. This information does not take the place of talking to your healthcare provider about your medical condition or treatment.

Note:

  • Your healthcare provider may need to change your dose of doxycycline hyclate during treatment as needed.
  • Doxycycline hyclate tablets can be taken whole or broken at scored lines.
  • Doxycycline hyclate tablets are marked with scored lines and may be broken at these scored lines to provide the following doses:

150 mg treatment (take the entire whole tablet)

100 mg treatment (take two-thirds of the tablet)

50 mg treatment (take one-third of the tablet)

How to break your doxycycline hyclate tablet:

  • Hold the tablet between your thumb and index finger close to the scored line for your dose of doxycycline hyclate as shown above.
  • Apply enough pressure to break the tablet at the scored line.
  • D o notbreak the doxycycline hyclate tablet in any other way.


Manufactured for:

Chartwell RX, LLC.

Congers, NY 10920



This Instructions for Use has been approved by the U.S. Food and Drug Administration.



Rev. 03/2025

L72475

Rx only

Section 43683-2 (43683-2)

1.10 Usage

To reduce the development of drug-resistant bacteria and maintain the effectiveness of doxycycline hyclate and other antibacterial drugs, doxycycline hyclate should be used only to treat or prevent infections that are proven or strongly suspected to be caused by susceptible bacteria. When culture and susceptibility information are available, they should be considered in selecting or modifying antibacterial therapy. In the absence of such data, local epidemiology and susceptibility patterns may contribute to the empiric selection of therapy.

10 Overdosage (10 OVERDOSAGE)

In case of overdosage, discontinue medication, treat symptomatically and institute supportive measures. Dialysis does not alter serum half-life and thus would not be of benefit in treating cases of overdosage.

15 References (15 REFERENCES)
  • Friedman JM, Polifka JE. Teratogenic Effects of Drugs. A Resource for Clinicians (TERIS). Baltimore, MD: The Johns Hopkins University Press: 2000: 149-195.
  • Cziezel AE and Rockenbauer M. Teratogenic study of doxycycline. Obstet Gynecol 1997; 89: 524-528.
  • Horne HW Jr. and Kundsin RB. The role of mycoplasma among 81 consecutive pregnancies: a prospective study. Int J Fertil1980; 25: 315-317.
  • Drugs and Lactation Database (LactMed) [Internet]. Bethesda (MD): National Library of Medicine (US); [Last Revision Date 2018 Oct 31; cited 2019 Jun]. Doxycycline; LactMed Record Number: 100; [about 3 screens]. Available from: http://toxnet.nlm.nih.gov/newtoxnet/lactmed.htm

8.1 Pregnancy

Risk Summary

Doxycycline hyclate, like other tetracycline-class antibacterial drugs, may cause discoloration deciduous teeth, and reversible inhibition of bone growth when administered during the second and third trimester of pregnancy [see Warnings and Precautions ( 5.1) and ( 5.2)]. Available data from published studies over decades have not shown a difference in major birth defect risk compared to unexposed pregnancies with doxycycline exposure in the first trimester of pregnancy ( see Data). There are no available data on the risk of miscarriage following exposure to doxycycline in pregnancy. Advise the patient of the potential risk to the fetus if doxycycline hyclate is used during pregnancy.

The estimated background risk of major birth defects and miscarriage for the indicated population is unknown. All pregnancies have a background risk of birth defect, loss, or other adverse outcomes. In the U.S. general population, the estimated background risk of major birth defects and miscarriage in clinically recognized pregnancies is 2% to 4% and 15% to 20%, respectively.

Data

Human Data

A retrospective cohort study of 1,690 pregnant patients who received doxycycline prescriptions in the first trimester of pregnancy compared to an unexposed pregnant cohort showed no difference in the major malformation rate. There is no information on the dose or duration of treatment, or if the patients actually ingested the doxycycline that was prescribed.

Other published studies on exposure to doxycycline in the first trimester of pregnancy have small sample sizes; however, these studies have not shown an increased risk of major malformations.

The use of tetracyclines during tooth development (second and third trimester of pregnancy) may cause permanent discoloration of the teeth (yellow-gray-brown). This adverse reaction is more common during long-term use of the drug but has been observed following repeated short-term courses. [see Warnings and Precautions ( 5.1, 5.2)].

Animal Data

Results of animal studies indicate that tetracyclines cross the placenta, are found in fetal tissues, and can have toxic effects on the developing fetus (often related to retardation of skeletal development). Evidence of embryotoxicity also has been noted in animals treated early in pregnancy.

8.2 Lactation

Risk Summary

Based on available published data, doxycycline is present in human milk. There are no data that inform the levels of doxycycline in breastmilk, the effects on the breastfed infant, or the effects on milk production. Because of the potential for serious adverse reactions, including tooth discoloration and inhibition of bone growth, advise patients that breastfeeding is not recommended during treatment with doxycycline hyclate and for 5 days after the last dose.

11 Description (11 DESCRIPTION)

Doxycycline Hyclate Tablets, USP and and Doxycycline Hyclate Capsules, USP contain Doxycycline Hyclate, USP a tetracycline class drug synthetically derived from oxytetracycline, in an immediate release formulation for oral administration.

The molecular formula of doxycycline hyclate is (C 22H 24N 2O 8•HCl) 2•C 2H 6O•H 2O and the molecular weight of doxycycline hyclate is 1025.87. The chemical name for doxycycline hyclate is:

4-(Dimethylamino)-1,4,4a,5,5a,6,11,12a-octahydro-3,5,10,12,12a-pentahydroxy-6-methyl-1,11-dioxo-2-naphthacenecarboxamide monohydrochloride, compound with ethyl alcohol (2:1), monohydrate.

The structural formula for doxycycline hyclate is:

Figure 1: Structure of Doxycycline Hyclate

Doxycycline hyclate is a yellow crystalline powder soluble in water and in solutions of alkali hydroxides and carbonates.

Doxycycline Hyclate Tablets, USP :

Doxycycline Hyclate Tablets, USP are available as 75 mg and 150 mg tablets. Each 75 mg tablet contains 86.6 mg of doxycycline hyclate equivalent to 75 mg of doxycycline. Each 150 mg tablet contains 173.1 mg of doxycycline hyclate equivalent to 150 mg of doxycycline.

Inactive ingredients in the tablet formulation are croscarmellose sodium, magnesium stearate, microcrystalline cellulose and sodium lauryl sulfate. Film-coating contains: FD&C Blue#2/Indigotine Aluminum Lake, polyvinyl alcohol, polyethylene glycol 8000, talc, titanium dioxide and yellow iron oxide (150 mg Tablet). Doxycycline Hyclate Tablets, USP 75 mg contain 0.95 mg (0.041 mEq) of sodium. Doxycycline Hyclate Tablets, USP 150 mg contain 1.89 mg (0.082 mEq) of sodium.

Doxycycline Hyclate Capsules, USP:

Doxycycline Hyclate Capsules, USP are available as 75 mg capsules. Each 75 mg capsule contains 86.6 mg of doxycycline hyclate equivalent to 75 mg of doxycycline.

Inactive ingredients in the capsule formulation are magnesium stearate, microcrystalline cellulose, and a hard gelatin capsule which contains FD&C Blue #1, FD&C Red #3 and titanium dioxide. The capsules are printed with edible ink containing alcohol, black iron oxide, FD&C Blue #1/ Brilliant Blue FCF Aluminum Lake, FD&C Blue #2/Indigo Carmine Aluminum Lake, FD&C Red #40/Allura Red AC Aluminum Lake, D&C Yellow #10 Aluminum Lake, and shellac glaze.

7.2 Penicillin

Since bacteriostatic drugs may interfere with the bactericidal action of penicillin, it is advisable to avoid giving tetracyclines, including doxycycline hyclate in conjunction with penicillin.

12.4 Microbiology

Mechanism of Action

Doxycycline inhibits bacterial protein synthesis by binding to the 30S ribosomal subunit. Doxycycline has bacteriostatic activity against a broad range of Gram-positive and Gram-negative bacteria.

Resistance

Cross resistance with other tetracyclines is common.

Antimicrobial Activity

Doxycycline has been shown to be active against most isolates of the following microorganisms, both in vitro and in clinical infections [see Indications and Usage (1)].

Gram-negative bacteria

Acinetobacterspecies

Bartonella bacilliformis

Brucellaspecies

Campylobacter fetus

Enterobacter aerogenes

Escherichia coli

Francisella tularensis

Haemophilus ducreyi

Haemophilus influenzae

Klebsiella granulomatis

Klebsiellaspecies

Neisseria gonorrhoeae

Shigellaspecies

Vibrio cholerae

Yersinia pestis

Gram-positive bacteria

Bacillus anthracis

Listeria monocytogenes

Streptococcus pneumoniae

Anaerobic bacteria

Clostridiumspecies

Fusobacterium fusiforme

Propionibacterium acnes

Other bacteria

Nocardiae andother aerobic Actinomycesspecies

Borrelia recurrentis

Chlamydophila psittaci

Chlamydia trachomatis

Mycoplasma pneumoniae

Rickettsiaespecies

Treponema pallidum

Treponema pallidumsubspecies pertenue

Ureaplasma urealyticum

Parasites

Balantidium coli

Entamoebaspecies

Plasmodium falciparum*

*Doxycycline has been found to be active against the asexual erythrocytic forms of Plasmodium falciparum, but not against the gametocytes of P. falciparum. The precise mechanism of action of the drug is not known.

Susceptibility Testing

For specific information regarding susceptibility test interpretive criteria, and associated test methods and quality control standards recognized by FDA for this drug, please see: http://www.fda.gov/STIC .

8.4 Pediatric Use

Because of the effects of drugs of the tetracycline-class on tooth development and growth, use doxycycline hyclate in pediatric patients 8 years of age or less only when the potential benefits are expected to outweigh the risks in severe or life-threatening conditions (e.g., anthrax, Rocky Mountain spotted fever), particularly when there are no alternative therapies [see Warnings and Precautions ( 5.1, 1.1) and Dosage and Administration ( 2.1, 2.5)] .

8.5 Geriatric Use

Clinical studies of doxycycline hyclate tablets did not include sufficient numbers of subjects aged 65 and over to determine whether they respond differently from younger subjects. Other reported clinical experience has not identified differences in responses between the elderly and younger patients. Doxycycline hyclate tablets each contains less than 1 mg of sodium.

4 Contraindications (4 CONTRAINDICATIONS)

Doxycycline hyclate are contraindicated in persons who have shown hypersensitivity to any of the tetracyclines.

6 Adverse Reactions (6 ADVERSE REACTIONS)

The following adverse reactions have been identified during clinical trials or post-approval use of tetracycline-class drugs, including doxycycline. Because these reactions are reported voluntarily from a population of uncertain size, it is not always possible to reliably estimate their frequency or establish a causal relationship to drug exposure.

Gastrointestinal:Anorexia, nausea, vomiting, diarrhea, glossitis, dysphagia, enterocolitis, inflammatory lesions (with monilial overgrowth) in the anogenital region, and pancreatitis. Hepatotoxicity has been reported. These reactions have been caused by both the oral and parenteral administration of tetracyclines. Superficial discoloration of the adult permanent dentition, reversible upon drug discontinuation and professional dental cleaning has been reported. Permanent tooth discoloration and enamel hypoplasia may occur with drugs of the tetracycline class when used during tooth development [See Warnings and Precautions (5.1)] . Instances of esophagitis and esophageal ulcerations have been reported in patients receiving capsule and tablet forms of drugs in the tetracycline-class. Most of these patients took medications immediately before going to bed [see Dosage and Administration (2.1)] .

Skin:Maculopapular and erythematous rashes, Stevens-Johnson syndrome, toxic epidermal necrolysis, exfoliative dermatitis, erythema multiforme, and fixed drug eruption have been reported. Photosensitivity has been reported [see Warnings and Precautions (5.4)] .

Renal:Rise in BUN has been reported and is apparently dose-related [see Warnings and Precautions (5.7)] .

Hypersensitivity reactions:Urticaria, angioneurotic edema, anaphylaxis, anaphylactoid purpura, serum sickness, pericarditis, exacerbation of systemic lupus erythematosus, and drug reaction with eosinophilia and systemic symptoms (DRESS).

Blood:Hemolytic anemia, thrombocytopenia, neutropenia, and eosinophilia have been reported.

Intracranial Hypertension:Intracranial hypertension (IH, pseudotumor cerebri) has been associated with the use of tetracyclines [see Warnings and Precautions (5.6)] .

Thyroid Gland Changes:When given over prolonged periods, tetracyclines have been reported to produce brown-black microscopic discoloration of thyroid glands. No abnormalities of thyroid function are known to occur.

Psychiatric:Depression, anxiety, suicidal ideation, insomnia, abnormal dreams, hallucination.

7 Drug Interactions (7 DRUG INTERACTIONS)
  • Patients who are on anticoagulant therapy may require downward adjustment of their anticoagulant dosage. ( 7.1)
  • Avoid co-administration of tetracyclines with penicillin. ( 7.2)
  • Absorption of tetracyclines, including doxycycline hyclate is impaired by antacids containing aluminum, calcium, or magnesium, bismuth subsalicylate and iron-containing preparations. ( 7.3)
  • Concurrent use of tetracyclines, including doxycycline hyclate may render oral contraceptives less effective. ( 7.4)
  • Barbiturates, carbamazepine and phenytoin decrease the half-life of doxycycline. ( 7.5)
5.4 Photosensitivity

Photosensitivity manifested by an exaggerated sunburn reaction has been observed in some individuals taking tetracyclines. Patients apt to be exposed to direct sunlight or ultraviolet light should be advised that this reaction can occur with tetracycline drugs, and treatment should be discontinued at the first evidence of skin erythema.

12.3 Pharmacokinetics

Absorption

Doxycycline hyclate tablets: Following administration of a single 300 mg dose to adult volunteers, average peak plasma doxycycline levels were 3.0 mcg per mL at 3 hours, decreasing to 1.18 mcg per mL at 24 hours. The mean C maxand AUC 0-∞of doxycycline are 24% and 15% lower, respectively, following single dose administration of doxycycline hyclate tablets, 150 mg tablets with a high fat meal (including milk) compared to fasted conditions. The clinical significance of these decreases is unknown.

Doxycycline hyclate capsules : Following administration of a single 300 mg dose to adult volunteers, average peak plasma doxycycline levels were 2.8 mcg per mL at 3 hours, decreasing to 1.1 mcg per mL at 24 hours. The mean C maxof doxycycline is approximately 20% lower and the AUC 0-∞is unchanged following single dose administration of doxycycline hyclate capsules with a high fat meal (including milk) compared to fasted conditions. The clinical significance of this decrease in C maxis unknown.

Excretion

Tetracyclines are concentrated in bile by the liver and excreted in the urine and feces at high concentrations and in a biologically active form.

Excretion of doxycycline by the kidney is about 40% per 72 hours in individuals with a creatinine clearance of about 75 mL per minute. This percentage may fall as low as 1% per 72 hours to 5% per 72 hours in individuals with a creatinine clearance below 10 mL per minute. Studies have shown no significant difference in the serum half-life of doxycycline (range 18 to 22 hours) in individuals with normal and severely impaired renal function. Hemodialysis does not alter the serum half-life.

Pediatric Patients

Population pharmacokinetic analysis of sparse concentration-time data of doxycycline following standard of care intravenous and oral dosing in 44 children (2-18 years of age) showed that allometrically-scaled clearance of doxycycline in children ≥2 to ≤8 years of age (median [range] 3.58 [2.27-10.82] L/h/70 kg, N=11) did not differ significantly from children >8 to 18 years of age (3.27 [1.11-8.12] L/h/70 kg, N=33). For pediatric patients weighing ≤45 kg, body weight normalized doxycycline CL in those ≥2 to ≤8 years of age (median [range] 0.071 [0.041-0.202] L/kg/h, N=10) did not differ significantly from those >8 to 18 years of age (0.081 [0.035-0.126] L/kg/h, N=8). In pediatric patients weighing >45 kg no clinically significant differences in body weight normalized doxycycline CL were observed between those ≥2 to ≤8 years (0.050 L/kg/h, N=1) and those >8 years of age (0.044 [0.014-0.121] L/kg/h, N=25). No clinically significant difference in CL differences between oral and IV were observed in the small cohort of pediatric patients who received the oral (N=19) or IV (N=21) formulation alone.

5.1 Tooth Development

The use of doxycycline hyclate during tooth development (last half of pregnancy, infancy and childhood to the age of 8 years) may cause permanent discoloration of the teeth (yellow-gray-brown). This adverse reaction is more common during long-term use of the drugs of the tetracycline class, but it has been observed following repeated short-term courses. Enamel hypoplasia has also been reported with drugs of the tetracycline class. Advise the patient of the potential risk to the fetus if doxycycline hyclate is used during pregnancy [see Use in Specific Populations ( 8.1, 8.4)].

Use doxycycline hyclate in pediatric patients 8 years of age or less only when the potential benefits are expected to outweigh the risks in severe or life-threatening conditions (e.g., anthrax, Rocky Mountain spotted fever), particularly when there are no alternative therapies.

1 Indications and Usage (1 INDICATIONS AND USAGE)

Doxycycline hyclate tablets and doxycycline hyclate capsules are tetracycline class drugs indicated for:

  • Rickettsial infections ( 1.1)
  • Sexually transmitted infections ( 1.2)
  • Respiratory tract infections ( 1.3)
  • Specific bacterial infections ( 1.4)
  • Ophthalmic infections ( 1.5)
  • Anthrax, including inhalational anthrax (post-exposure) ( 1.6)
  • Alternative treatment for selected infections when penicillin is contraindicated ( 1.7)
  • Adjunctive therapy for acute intestinal amebiasis and severe acne ( 1.8)
  • Prophylaxis of malaria ( 1.9)

To reduce the development of drug-resistant bacteria and maintain the effectiveness of doxycycline hyclate and other antibacterial drugs, doxycycline hyclate should be used only to treat or prevent infections that are proven or strongly suspected to be caused by bacteria. ( 1.10)

5.7 Antianabolic Action

The antianabolic action of the tetracyclines may cause an increase in BUN. Studies to date indicate that this does not occur with the use of doxycycline in patients with impaired renal function.

7.1 Anticoagulant Drugs

Because tetracyclines have been shown to depress plasma prothrombin activity, patients who are on anticoagulant therapy may require downward adjustment of their anticoagulant dosage.

7.4 Oral Contraceptives

Concurrent use of tetracyclines, including doxycycline hyclate may render oral contraceptives less effective.

Principal Display Panel (PRINCIPAL DISPLAY PANEL)

Doxycycline Hyclate Tablets, USP 75 mg - NDC 62135-907-20 - 20s Tabs Bottle Label

Doxycycline Hyclate Tablets, USP 150 mg - NDC 62135-908-20 - 20s Tabs Bottle Label

Doxycycline Hyclate Capsules, USP 75 mg - NDC 62135-975-20 - 20s caps Bottle Label

12.1 Mechanism of Action

Doxycycline is a tetracycline-class antimicrobial drug [see Microbiology (12.4)] .

1.5 Ophthalmic Infections

Doxycycline hyclate tablets and capsules are indicated for treatment of the following ophthalmic infections:

  • Trachoma caused by Chlamydia trachomatis, although the infectious agent is not always eliminated as judged by immunofluorescence.
  • Inclusion conjunctivitis caused by Chlamydia trachomatis.
5.5 Severe Skin Reactions

Severe skin reactions, such as exfoliative dermatitis, erythema multiforme, Stevens-Johnson syndrome, toxic epidermal necrolysis, and drug reaction with eosinophilia and systemic symptoms (DRESS) have been reported in patients receiving doxycycline. Fixed drug eruptions have occurred with doxycycline and have been associated with worsening severity upon subsequent administrations, including generalized bullous fixed drug eruption [See Adverse Reactions (6)] . If severe skin reactions occur, discontinue doxycycline hyclate tablets and doxycycline hyclate capsules immediately and institute appropriate therapy.

1.1 Rickettsial Infections

Doxycycline hyclate tablets and capsules are indicated for treatment of Rocky Mountain spotted fever, typhus fever and the typhus group, Q fever, rickettsial pox, and tick fevers caused by Rickettsiae.

1.9 Prophylaxis of Malaria

Doxycycline hyclate tablets and capsules are indicated for the prophylaxis of malaria due to Plasmodium falciparumin short-term travelers (less than 4 months) to areas with chloroquine and/or pyrimethamine-sulfadoxine resistant strains [see Dosage and Administration (2.4)and Patient Counseling Information (17)].

5 Warnings and Precautions (5 WARNINGS AND PRECAUTIONS)
  • The use of doxycycline hyclate during tooth development (last half of pregnancy, infancy and childhood to the age of 8 years) may cause permanent discoloration of the teeth (yellow-gray-brown) and enamel hypoplasia Advise the patient of the potential risk to the fetus during pregnancy. ( 2.2, 5.1, 8.1, 8.4)
  • The use of doxycycline hyclate during the second and third-trimester of pregnancy, infancy and childhood up to the age of 8 years may cause reversible inhibition of bone growth. Advise the patient of the potential risk to the fetus during pregnancy. ( 5.2, 8.1, 8.4)
  • Clostridioides difficile-associated diarrhea (CDAD) has been reported. Evaluate patients if diarrhea occurs. ( 5.3)
  • Photosensitivity manifested by an exaggerated sunburn reaction has been observed in some individuals taking tetracyclines. Limit sun exposure. ( 5.4)
  • Overgrowth of non-susceptible organisms, including fungi, may occur. If such infections occur, discontinue use and institute appropriate therapy. ( 5.10)
2 Dosage and Administration (2 DOSAGE AND ADMINISTRATION)
  • Important Administration Instructions for doxycycline hyclate tablets and doxycycline hyclate capsules:
    • Doxycycline hyclate tablets (150 mg) can be broken into two-thirds or one-third to provide a 50 mg and 100 mg strength, respectively. ( 2.1)
    • Swallow doxycycline hyclate capsule whole. Do not break, open, crush, dissolve or chew the capsule. ( 2.1)
  • Dosage in Adults for doxycycline hyclate tablets and doxycycline hyclate capsules:
    • The usual dosage is 200 mg on the first day of treatment (administered 100 mg every 12 hours) followed by a maintenance dose of 100 mg daily. ( 2.1)
    • In the management of more severe infections (particularly chronic infections of the urinary tract), 100 mg every 12 hours is recommended. ( 2.1)
  • Dosage in Pediatric Patients for doxycycline hyclate tablets and doxycycline hyclate capsules:
    • For all pediatric patients weighing less than 45 kg with severe or life-threatening infections (e.g., anthrax, Rocky Mountain spotted fever), the recommended dose is 2.2 mg per kg of body weight administered every 12 hours. Pediatric patients weighing 45 kg or more should receive the adult dose. ( 2.3)
    • For pediatric patients with less severe disease (greater than 8 years of age and weighing less than 45 kg), the recommended dose is 4.4 mg per kg of body weight divided into two doses on the first day of treatment, followed by a maintenance dose of 2.2 mg per kg of body weight (given as a single daily dose or divided into two doses. For pediatric patients weighing over 45 kg, the usual adult dose should be used. ( 2.3)
  • See Full Prescribing Information for additional indication specific dosage information and important administration instructions for doxycycline hyclate tablets and doxycycline hyclate capsules. ( 2.1, 2.4, 2.5)
2.2 Dosage in Adult Patients
  • The usual dosage of doxycycline hyclate tablet is 200 mg on the first day of treatment (administered 100 mg every 12 hours) followed by a maintenance dose of 100 mg daily. The maintenance dose may be administered as a single dose or as 50 mg every 12 hours.
  • In the management of more severe infections (particularly chronic infections of the urinary tract), 100 mg every 12 hours is recommended.
  • For certain selected specific indications, the recommended duration or dosage and duration of doxycycline hyclate tablets and capsules in adult patients are as follows:
  • Streptococcal infections, therapy should be continued for 10 days.
  • Uncomplicated urethral, endocervical, or rectal infection caused by Chlamydia trachomatis: 100 mg by mouth twice-a-day for 7 days.
  • Uncomplicated gonococcal infections in adults (except anorectal infections in men): 100 mg, by mouth, twice-a-day for 7 days. As an alternate single visit dose, administer 300 mg stat followed in one hour by a second 300 mg dose.
  • Nongonococcal urethritis (NGU) caused by C. trachomatisand U. urealyticum:100 mg by mouth twice‑a‑day for 7 days.
  • Syphilis – early: Patients who are allergic to penicillin should be treated with doxycycline 100 mg by mouth twice-a-day for 2 weeks.
  • Syphilis of more than one year’s duration: Patients who are allergic to penicillin should be treated with doxycycline 100 mg by mouth twice-a-day for 4 weeks.
  • Acute epididymo-orchitis caused by N. gonorrhoeae: 100 mg by mouth, twice-a-day for at least 10 days.
  • Acute epididymo-orchitis caused by C. trachomatis: 100 mg, by mouth, twice-a-day for at least 10 days.
3 Dosage Forms and Strengths (3 DOSAGE FORMS AND STRENGTHS)

Doxycycline Hyclate Tablets, USP:

Doxycycline Hyclate Tablets, USP 75 mg are round convex light blue, film-coated, compressed tablet with “ 75'' debossed on one side of the tablet and "AQ"over "101"debossed on the other (each tablet contains 75 mg doxycycline as 86.6 mg doxycycline hyclate).

Doxycycline Hyclate Tablets, USP 150 mg are capsule-shaped, convex, mossy-green, film-coated compressed tablet. Each side of the tablet is trisected with an " A" debossed on each portion of one side of the tablet, and no debossing on the other (each tablet contains 150 mg doxycycline as 173.1 mg doxycycline hyclate).

Doxycycline Hyclate Capsules, USP:

Doxycycline Hyclate Capsules, USP 75 mg are size #2, hard gelatin capsules, blue opaque cap with white opaque body, imprinted with “ CE” on the cap and “ 227” on the body in black ink, filled with yellow powder (each capsule contains 75 mg doxycycline as 86.6 mg doxycycline hyclate).

5.3 Clostridioides Difficile (5.3 Clostridioides difficile)

Clostridioides difficileassociated diarrhea (CDAD) has been reported with use of nearly all antibacterial agents, including doxycycline hyclate , and may range in severity from mild diarrhea to fatal colitis. Treatment with antibacterial agents alters the normal flora of the colon leading to overgrowth of C. difficile.

C. difficileproduces toxins A and B which contribute to the development of CDAD. Hypertoxin producing strains of C. difficilecause increased morbidity and mortality, as these infections can be refractory to antibacterial therapy and may require colectomy. CDAD must be considered in all patients who present with diarrhea following antibacterial use. Careful medical history is necessary since CDAD has been reported to occur over two months after the administration of antibacterial agents.

If CDAD is suspected or confirmed, ongoing antibacterial use not directed against C. difficilemay need to be discontinued. Appropriate fluid and electrolyte management, protein supplementation, antibacterial treatment of C. difficile ,and surgical evaluation should be instituted as clinically indicated.

5.2 Inhibition of Bone Growth

The use of doxycycline hyclate during the second and third trimester of pregnancy, infancy and childhood up to the age of 8 years may cause reversible inhibition of bone growth. All tetracyclines form a stable calcium complex in any bone-forming tissue. A decrease in fibula growth rate has been observed in premature infants given oral tetracycline in doses of 25 mg/kg every 6 hours. This reaction was shown to be reversible when the drug was discontinued. Advise the patient of the potential risk to the fetus if doxycycline hyclate tablets and capsules are used during pregnancy [see Use in Specific Populations ( 8.1, 8.4)] .

5.6 Intracranial Hypertension

Intracranial hypertension (IH, pseudotumor cerebri) has been associated with the use of tetracyclines including doxycycline hyclate. Clinical manifestations of IH include headache, blurred vision, diplopia, and vision loss; papilledema can be found on fundoscopy. Women of childbearing age who are overweight or have a history of IH are at greater risk for developing tetracycline associated IH. Concomitant use of isotretinoin and doxycycline hyclate should be avoided because isotretinoin is also known to cause pseudotumor cerebri.

Although IH typically resolves after discontinuation of treatment, the possibility for permanent visual loss exists. If visual disturbance occurs during treatment, prompt ophthalmologic evaluation is warranted. Since intracranial pressure can remain elevated for weeks after drug cessation patients should be monitored until they stabilize.

8 Use in Specific Populations (8 USE IN SPECIFIC POPULATIONS)
  • Lactation: Breastfeeding is not recommended. ( 8.2)
1.3 Respiratory Tract Infections

Doxycycline hyclate tablets and capsules are indicated for treatment of the following respiratory tract infections:

  • Respiratory tract infections caused by Mycoplasma pneumoniae.
  • Psittacosis (ornithosis) caused by Chlamydophila psittaci.
  • Because many strains of the following groups of microorganisms have been shown to be resistant to doxycycline, culture and susceptibility testing are recommended.
  • Doxycycline is indicated for treatment of infections caused by the following microorganisms, when bacteriological testing indicates appropriate susceptibility to the drug:
  • Respiratory tract infections caused by Haemophilus influenzae.
  • Respiratory tract infections caused by Klebsiella species.
  • Upper respiratory infections caused by Streptococcus pneumoniae.
2.3 Dosage in Pediatric Patients
  • For all pediatric patients weighing less than 45 kg with severe or life threatening infections (e.g., anthrax, Rocky Mountain spotted fever), the recommended dosage of doxycycline hyclate tablet and capsule is 2.2 mg per kg of body weight administered every 12 hours. Pediatric patients weighing 45 kg or more should receive the adult dose [see Warnings and Precautions (5.1)].
  • For pediatric patients with less severe disease (greater than 8 years of age and weighing less than 45 kg), the recommended dosage schedule of doxycycline hyclate tablet and capsule is 4.4 mg per kg of body weight divided into two doses on the first day of treatment, followed by a maintenance dose of 2.2 mg per kg of body weight (given as a single daily dose or divided into twice daily doses). For pediatric patients weighing over 45 kg, the usual adult dose should be used.
1.4 Specific Bacterial Infections

Doxycycline hyclate tablets and capsules are indicated for treatment of the following specific bacterial infections:

  • Relapsing fever due to Borrelia recurrentis.
  • Plague due to Yersinia pestis.
  • Tularemia due to Francisella tularensis.
  • Cholera caused by Vibrio cholerae.
  • Campylobacter fetus infections caused by Campylobacter fetus.
  • Brucellosis due to Brucellaspecies (in conjunction with streptomycin).
  • Bartonellosis due to Bartonella bacilliformis.

Because many strains of the following groups of microorganisms have been shown to be resistant to doxycycline, culture and susceptibility testing are recommended.

Doxycycline hyclate tablets and capsules are indicated for treatment of infections caused by the following gram-negative microorganisms, when bacteriological testing indicates appropriate susceptibility to the drug:

  • Escherichia coli
  • Enterobacter aerogenes
  • Shigellaspecies
  • Acinetobacterspecies
  • Urinary tract infections caused by Klebsiellaspecies.
17 Patient Counseling Information (17 PATIENT COUNSELING INFORMATION)

Advise the patient to read the FDA-approved patient labeling (Instructions for Use).

Important Administration and Safety Information for Patients and Caregivers

Advise patients taking doxycycline hyclate for malaria prophylaxis:

  • that no present-day antimalarial agent, including doxycycline, guarantees protection against malaria.
  • to avoid being bitten by mosquitoes by using personal protective measures that help avoid contact with mosquitoes, especially from dusk to dawn (for example, staying in well-screened areas, using mosquito nets, covering the body with clothing, and using an effective insect repellent).
  • that doxycycline prophylaxis:
    • should begin 1 day to 2 days before travel to the malarious area,
    • should be continued daily while in the malarious area and after leaving the malarious area,
    • should be continued for 4 further weeks to avoid development of malaria after returning from an endemic area,
    • should not exceed 4 months.

Advise all patients taking doxycycline hyclate:

  • that doxycycline hyclate tablets (150 mg) can be broken into two-thirds or one-third at the scored lines to provide 100 mg or 50 mg strength doses, respectively.
  • that they must swallow doxycycline hyclate capsules whole. They must not break, open, crush, dissolve or chew the capsule [see Dosage and Administration (2.2)] .
  • to avoid excessive sunlight or artificial ultraviolet light while receiving doxycycline and to discontinue therapy if phototoxicity (for example, skin eruptions, etc.) occurs. Sunscreen or sunblock should be considered [see Warnings and Precautions (5.4)].
  • to drink fluids liberally along with doxycycline hyclate to reduce the risk of esophageal irritation and ulceration [see Adverse Reactions (6)] .
  • that the absorption of tetracyclines is reduced when taken with foods, especially those that contain calcium [see Drug Interactions (7.3)]. However, the absorption of doxycycline is not markedly influenced by simultaneous ingestion of food or milk [see Clinical Pharmacology (12.3)] .
  • that if gastric irritation occurs, doxycycline hyclate may be given with food or milk [see Clinical Pharmacology (12.3)].
  • that the absorption of tetracyclines is reduced when taken with antacids containing aluminum, calcium or magnesium, bismuth subsalicylate, and iron-containing preparations [see Drug Interactions (7.3)].
  • that the use of doxycycline might increase the incidence of vaginal candidiasis.

Tooth Discoloration and Inhibition of Bone Growth

Advise patients that doxycycline hyclate, like other tetracycline-class drugs, may cause permanent tooth discoloration of deciduous teeth and reversible inhibition of bone growth when administered during pregnancy. Tell your healthcare provider right away if you become pregnant during treatment [see Warnings and Precautions ( 5.1, 5.2) and Use in Specific Populations ( 8.1, 8.4)] .

Lactation

Advise women not to breastfeed during treatment with doxycycline hyclate and for 5 days after the last dose [see Use in Specific Populations (8.2)] .

Diarrhea

Advise patients that diarrhea is a common problem caused by antibacterial drugs which usually ends when the antibacterial is discontinued. Sometimes after starting treatment with antibacterial drugs, patients can develop watery and bloody stools (with or without stomach cramps and fever) even as late as two or more months after having taken the last dose of antibacterial. If this occurs, patients should contact their physician as soon as possible.

Development of Resistance

Counsel patients that antibacterial drugs including doxycycline hyclate should only be used to treat bacterial infections. They do not treat viral infections (for example, the common cold). When doxycycline hyclate are prescribed to treat a bacterial infection, patients should be told that although it is common to feel better early in the course of therapy, the medication should be taken exactly as directed. Skipping doses or not completing the full course of therapy may (1) decrease the effectiveness of the immediate treatment and (2) increase the likelihood that bacteria will develop resistance and will not be treatable by doxycycline hyclate or other antibacterial drugs in the future.



Manufactured for:

Chartwell RX, LLC.

Congers, NY 10920



Rev. 04/2025-01

L72474



Print Instructions for Use at: www.chartwellpharma.com/our-products/

7.3 Antacids and Iron Preparations

Absorption of tetracyclines, including doxycycline hyclate is impaired by antacids containing aluminum, calcium, or magnesium, bismuth subsalicylate, and iron-containing preparations.

1.2 Sexually Transmitted Infections

Doxycycline hyclate tablets and capsules are indicated for treatment of the following sexually transmitted infections:

  • Uncomplicated urethral, endocervical or rectal infections caused by Chlamydia trachomatis.
  • Nongonococcal urethritis caused by Ureaplasma urealyticum.
  • Lymphogranuloma venereum caused by Chlamydia trachomatis.
  • Granuloma inguinale caused by Klebsiella granulomatis.
  • Uncomplicated gonorrhea caused by Neisseria gonorrhoeae.
  • Chancroid caused by Haemophilus ducreyi.
16 How Supplied/storage and Handling (16 HOW SUPPLIED/STORAGE AND HANDLING)

How Supplied

Doxycycline Hyclate Tablets, USP 75 mg are round convex light blue, film-coated, compressed tablet with “ 75” debossed on one side of the tablet and "AQ"over "101"debossed on the other. Each 75 mg tablet contains 86.6 mg of doxycycline hyclate equivalent to 75 mg of doxycycline.

Bottles of 20 tablets: NDC 62135-907-20

Doxycycline Hyclate Tablets, USP 150 mg are capsule-shaped, convex, mossy-green, film-coated compressed tablet. Each side of the tablet is trisected with an " A" debossed on each portion of one side of the tablet, and no debossing on the other. Each 150 mg tablet contains 173.1 mg of doxycycline hyclate equivalent to 150 mg of doxycycline.

Bottles of 20 tablets: NDC 62135-908-20

Doxycycline Hyclate Capsules, USP 75 mg are size #2, hard gelatin capsules, blue opaque cap with white opaque body, imprinted with “ CE” on the cap and “ 227” on the body in black ink, filled with yellow powder .Each 75 mg capsule contains 86.6 mg of doxycycline hyclate equivalent to 75 mg of doxycycline.

Bottles of 20 capsules: NDC 62135-975-20

Storage

Store at 20° to 25°C (68° to 77°F) excursions permitted to 15° to 30°C (59° to 86°F) [See USP Controlled Room Temperature]. Protect from light and moisture. Dispense in a tight, light-resistant container as defined in the USP using a child-resistant closure.

7.5 Barbiturates and Anti Epileptics (7.5 Barbiturates and Anti-Epileptics)

Barbiturates, carbamazepine, and phenytoin decrease the half-life of doxycycline.

2.4 Dosage for Prophylaxis of Malaria

For adults, the recommended dose of doxycycline hyclate tablet is 100 mg daily.

For pediatric patients 8 years of age and older, the recommended dosage of doxycycline hyclate tablet and capsule is 2 mg per kg of body weight administered once daily. Pediatric patients weighing 45 kg or more should receive the adult dose.

Prophylaxis should begin 1 or 2 days before travel to the malarious area. Prophylaxis should be continued daily during travel in the malarious area and for 4 weeks after the traveler leaves the malarious area.

5.8 Incomplete Suppression of Malaria

Doxycycline offers substantial but not complete suppression of the asexual blood stages of Plasmodiumstrains.

Doxycycline does not suppress P. falciparum’ssexual blood stage gametocytes. Subjects completing this prophylactic regimen may still transmit the infection to mosquitoes outside endemic areas.

5.10 Potential for Microbial Overgrowth

Doxycycline hyclate may result in overgrowth of non-susceptible organisms, including fungi. If such infections occur, discontinue use and institute appropriate therapy.

2.1 Important Administration Instructions
  • The usual dosage and frequency of administration of doxycycline hyclate tablets and capsules differs from that of the other tetracyclines. Exceeding the recommended dosage may result in an increased incidence of adverse reactions.
  • Administer doxycycline hyclate tablets and capsules with adequate amounts of fluid to wash down the drugs and reduce the risk of esophageal irritation and ulceration [see Adverse Reactions (6)] .
  • If gastric irritation occurs, doxycycline hyclate tablets and capsules may be given with food or milk [see Clinical Pharmacology (12.3)]
  • Swallow doxycycline hyclate capsules whole. Do not break, open, crush, dissolve or chew the capsule.
  • Doxycycline hyclate tablets (150 mg) can be broken into two-thirds or one-third to provide a 100 mg and 50 mg strength, respectively [see FDA-approved patient labeling].
7.7 Drug and Laboratory Test Interactions

False elevations of urinary catecholamines may occur due to interference with the fluorescence test.

13.2 Animal Toxicology And/or Pharmacology (13.2 Animal Toxicology and/or Pharmacology)

Hyperpigmentation of the thyroid has been produced by members of the tetracycline-class in the following species: in rats by oxytetracycline, doxycycline, tetracycline PO 4, and methacycline; in minipigs by doxycycline, minocycline, tetracycline PO 4, and methacycline; in dogs by doxycycline and minocycline; in monkeys by minocycline.

Minocycline, tetracycline PO 4, methacycline, doxycycline, tetracycline base, oxytetracycline HCl, and tetracycline HCl, were goitrogenic in rats fed a low iodine diet. This goitrogenic effect was accompanied by high radioactive iodine uptake. Administration of minocycline also produced a large goiter with high radioiodine uptake in rats fed a relatively high iodine diet.

Treatment of various animal species with this class of drugs has also resulted in the induction of thyroid hyperplasia in the following: in rats and dogs (minocycline); in chickens (chlortetracycline); and in rats and mice (oxytetracycline). Adrenal gland hyperplasia has been observed in goats and rats treated with oxytetracycline.

Results of animal studies indicate that tetracyclines cross the placenta and are found in fetal tissues.

5.9 Development of Drug Resistant Bacteria (5.9 Development of Drug-Resistant Bacteria)

Prescribing doxycycline hyclate in the absence of a proven or strongly suspected bacterial infection or a prophylactic indication is unlikely to provide benefit to the patient and increases the risk of the development of drug-resistant bacteria.

8.3 Females and Males of Reproductive Potential

Infertility

Based on findings from a fertility study in animals, doxycycline may impair female and male fertility. The reversibility of this finding is unclear. [see Nonclinical Toxicology (13.1)] .

5.11 Laboratory Monitoring for Long Term Therapy (5.11 Laboratory Monitoring for Long-Term Therapy)

In long-term therapy, periodic laboratory evaluation of organ systems, including hematopoietic, renal and hepatic studies should be performed.

2.5 Dosage for Inhalational Anthrax (post Exposure) (2.5 Dosage for Inhalational Anthrax (Post-Exposure))

For adults, the recommended dosage is 100 mg, of doxycycline hyclate tablet and capsule, by mouth, twice-a-day for 60 days.

For pediatric patients weighing less than 45 kg, the recommended dosage of doxycycline hyclate tablet is 2.2 mg per kg of body weight, by mouth, twice-a-day for 60 days. Pediatric patients weighing 45 kg or more should receive the adult dose.

13.1 Carcinogenesis, Mutagenesis, Impairment of Fertility

Long-term studies in animals to evaluate carcinogenic potential of doxycycline hyclate have not been conducted.

However, a 2 year carcinogenicity study with doxycycline administered daily by oral gavage to adult rats (20, 75, 200 mg/kg/day) demonstrated an increase in uterine polyps in female rats at 200 mg/kg/day (10 times the maximum recommended daily adult dose of doxycycline hyclate based on body surface area comparison) with no change in tumor incidence in male rats at the same dose. A 2-year carcinogenicity study with doxycycline administered daily by oral gavage to adult male (maximum dose 150 mg/kg/day) and female (maximum dose 300 mg/kg/day) mice showed no changes in tumor incidence, at approximately 4 and 7 times the maximum recommended daily adult dose of doxycycline hyclate , based on a body surface area comparison, respectively .

Mutagenesis and fertility studies have not been conducted with doxycycline hyclate. Mutagenesis studies with doxycycline demonstrated no potential to cause genetic toxicity in an in vitropoint mutation study with mammalian cells or in an in vivomicronucleus assay in CD-1 mice. However, data from an in vitromammalian chromosomal aberration assay conducted in CHO cells suggest that doxycycline is a weak clastogen. Oral administration of doxycycline to Sprague-Dawley rats showed adverse effects on fertility and reproduction including increased time for mating, reduced sperm motility, velocity and concentration as well as increased pre and post implantation loss. Reduced sperm velocity was seen at the lowest dosage tested, 50 mg/kg/day which is 2.5 times the maximum recommended daily adult dose of doxycycline hyclate. Although doxycycline impairs the fertility of rats when administered at sufficient dosages, the effect of doxycycline hyclate on human fertility is unknown.

1.6 Anthrax Including Inhalational Anthrax (post Exposure) (1.6 Anthrax Including Inhalational Anthrax (Post-Exposure))

Doxycycline hyclate tablets and capsules are indicated for the treatment of Anthrax due to Bacillus anthracis, including inhalational anthrax (post-exposure); to reduce the incidence or progression of disease following exposure to aerosolized Bacillus anthracis.

1.8 Adjunctive Therapy for Acute Intestinal Amebiasis and Severe Acne

In acute intestinal amebiasis, doxycycline hyclate tablets and capsules may be a useful adjunct to amebicides.

In severe acne, doxycycline hyclate tablets and capsules may be useful adjunctive therapy.

1.7 Alternative Treatment for Selected Infections When Penicillin Is Contraindicated (1.7 Alternative Treatment for Selected Infections when Penicillin is Contraindicated)

Doxycycline hyclate tablets and capsules are indicted as an alternative treatment for the following selected infections when penicillin is contraindicated:

  • Syphilis caused by Treponema pallidum.
  • Yaws caused by Treponema pallidumsubspecies pertenue.
  • Listeriosis due to Listeria monocytogenes.
  • Vincent’s infection caused by Fusobacterium fusiforme.
  • Actinomycosis caused by Actinomyces israelii.
  • Infections caused by Clostridiumspecies.

Advanced Ingredient Data


Raw Label Data

All Sections (JSON)