These Highlights Do Not Include All The Information Needed To Use Pitavastatin Tablets Safely And Effectively. See Full Prescribing Information For Pitavastatin Tablets. Pitavastatin Tablets, For Oral Use. Initial U.s. Approval: 2009

These Highlights Do Not Include All The Information Needed To Use Pitavastatin Tablets Safely And Effectively. See Full Prescribing Information For Pitavastatin Tablets. Pitavastatin Tablets, For Oral Use. Initial U.s. Approval: 2009
SPL v25
SPL
SPL Set ID fac09182-dcf2-1770-e053-6394a90af50c
Route
ORAL
Published
Effective Date 2024-05-23
Document Type 34391-3 HUMAN PRESCRIPTION DRUG LABEL

Drug Facts

Composition & Product

Active Ingredients
Pitavastatin (2.09 mg)
Inactive Ingredients
Lactose Monohydrate Cellulose, Microcrystalline Magnesium Oxide Povidone K30 Sodium Starch Glycolate Type A Potato Crospovidone Magnesium Stearate Hypromelloses Titanium Dioxide Triacetin

Identifiers & Packaging

Pill Appearance
Imprint: 57;OP Shape: round Color: white Size: 7 mm Size: 9 mm Size: 6 mm Score: 1
Marketing Status
ANDA Active Since 2023-11-02

Description

Pitavastatin tablets are indicated as an adjunct to diet to reduce low-density lipoprotein cholesterol (LDL-C) in: Adult with primary hyperlipidemia. Adults and pediatric patients aged 8 years and older with heterozygous familial hypercholesterolemia (HeFH).

Indications and Usage

Pitavastatin tablets are indicated as an adjunct to diet to reduce low-density lipoprotein cholesterol (LDL-C) in: Adult with primary hyperlipidemia. Adults and pediatric patients aged 8 years and older with heterozygous familial hypercholesterolemia (HeFH).

Dosage and Administration

Take orally once daily with or without food at the same time each day ( 2.1 ). For patients requiring a high-intensity statin or are unable to achieve their LDL-C goal receiving pitavastatin tablets 4 mg daily, prescribe alternative LDL-C-lowering treatment. ( 2.1 ). Assess LDL-C when clinically appropriate, as early as 4 weeks after initiation of pitavastatin tablets, and adjust the dosage if necessary. ( 2.1 ). Recommended dosage is 2 mg to 4 mg once daily. Maximum recommended dosage is 4 mg once daily. ( 2.2 ) Recommended starting dosage for patients with moderate and severe renal impairment and end-stage renal disease on hemodialysis is 1 mg once daily. Maximum recommended dosage is 2 mg once daily. ( 2.3 ) See full prescribing information for pitavastatin tablets dosage modifications due to drug interactions. ( 2.4 )

Warnings and Precautions

Myopathy and Rhabdomyolysis: Risk factors include age 65 or greater, renal impairment, uncontrolled hypothyroidism, concomitant use with certain other drugs, and higher doses of pitavastatin tablets. Discontinue pitavastatin tablets if markedly elevated CK levels occur or myopathy is diagnosed or suspected. Temporarily discontinue pitavastatin tablets in patients experiencing an acute or serious condition at high risk of developing renal failure secondary to rhabdomyolysis. Inform patients of the risk of myopathy and rhabdomyolysis when starting or increasing the pitavastatin tablets dosage. Instruct patients to promptly report any unexplained muscle pain, tenderness or weakness particularly if accompanied by malaise or fever ( 5.1 , 7 , 8.5 , 8.6 ). Immune-Mediated Necrotizing Myopathy (IMNM): Rare reports of IMNM, an autoimmune myopathy, have been reported. Discontinue pitavastatin tablets if IMNM is suspected ( 5.2 ). Hepatic Dysfunction: Increases in serum transaminases have occurred, some persistent. Rare reports of fatal and non-fatal hepatic failure have occurred. Consider testing liver enzyme before initiating therapy and as clinically indicated thereafter. If serious hepatic injury with clinical symptoms and/or hyperbilirubinemia or jaundice occurs, promptly discontinue pitavastatin tablets ( 5.3 )

Contraindications

Pitavastatin tablets are contraindicated in the following conditions: Concomitant use of cyclosporine [see Drug Interactions ( 7 )] . Acute liver failure or decompensated cirrhosis [see Warning and Precautions ( 5.3 )]. Hypersensitivity to pitavastatin or any excipients in pitavastatin tablets. Hypersensitivity reactions including angioedema, rash, pruritus, and urticaria have been reported with pitavastatin tablets [see Adverse Reactions ( 6 )] .

Adverse Reactions

The following serious adverse reactions are discussed in other sections of the labeling: Myopathy and Rhabdomyolysis [see Warnings and Precautions ( 5.1 )] Immune-Mediated Necrotizing Myopathy [see Warning and Precautions ( 5.2 )] Hepatic Dysfunction [see Warning and Precautions ( 5.3 )] Increases in HbA1c and Fasting Serum Glucose Levels [see Warning and Precautions ( 5.4 )].

Drug Interactions

Table 2 includes a list of drugs that increase the risk of myopathy and rhabdomyolysis when administered concomitantly with pitavastatin tablets and instructions for preventing or managing drug interactions [see Warnings and Precautions ( 5.1 ), Clinical Pharmacology ( 12.3 )]. Table 2. Drug Interactions that Increase the Risk of Myopathy and Rhabdomyolysis with pitavastatin tablets Cyclosporine Clinical Impact: Cyclosporine significantly increases pitavastatin exposure and increases the risk of myopathy and rhabdomyolysis. Intervention: Concomitant use of cyclosporine with pitavastatin tablets is contraindicated [see Contraindications ( 4 )]. Gemfibrozil Clinical Impact: Gemfibrozil may cause myopathy when given alone. The risk of myopathy and rhabdomyolysis is increased with concomitant use of gemfibrozil with statins, including pitavastatin tablets. Intervention: Avoid concomitant use of gemfibrozil with pitavastatin tablets. Erythromycin Clinical Impact: Erythromycin significantly increases pitavastatin exposure and increases the risk of myopathy and rhabdomyolysis. Intervention: In patients taking erythromycin, do not exceed pitavastatin tablets 1 mg once daily [see Dosage and Administration ( 2.4 )]. Rifampin Clinical Impact: Rifampin significantly increases peak pitavastatin exposure and increases the risk of myopathy and rhabdomyolysis. Intervention: In patients taking rifampin, do not exceed pitavastatin tablets 2 mg once daily [see Dosage and Administration ( 2.4 )]. Fibrates Clinical Impact: Fibrates may cause myopathy when given alone. The risk of myopathy and rhabdomyolysis is increased with concomitant use of fibrates with statins, including pitavastatin tablets. Intervention: Consider if the benefit of using fibrates concomitantly with pitavastatin tablets outweighs the increased risk of myopathy and rhabdomyolysis. Niacin Clinical Impact: The risk of myopathy and rhabdomyolysis may be increased with concomitant use of lipid-modifying doses (≥1 g/day) of niacin with pitavastatin tablets. Intervention: Consider if the benefit of using lipid-modifying doses (≥1 g/day) of niacin concomitantly with pitavastatin tablets outweighs the increased risk of myopathy and rhabdomyolysis. Colchicine Clinical Impact: Cases of myopathy and rhabdomyolysis have been reported with concomitant use of colchicine with statins, including pitavastatin tablets. Intervention: Consider the risk/benefit of concomitant use of colchicine with pitavastatin tablets.

Storage and Handling

Pitavastatin tablets for oral administration are provided as white to off-white circular biconvex film-coated tablets that contain 1 mg, 2 mg, or 4 mg of pitavastatin. Each tablet has “OP” debossed on one side and a code number specific to the tablet strength on the other. Packaging Pitavastatin tablets are supplied as: 1 mg: White to off-white circular biconvex film-coated tablets, debossed with the logo “OP” on one side and “57” on the other side.  Supplied as follows:   NDC 0480-3631-98; HDPE bottles of 90 tablets 2 mg: White to off-white circular biconvex film-coated tablets, debossed with the logo “OP” on one side and “58” on the other side.  Supplied as follows:   NDC 0480-3632-98; HDPE bottles of 90 tablets 4 mg: White to off-white circular biconvex film-coated tablets, debossed with the logo “OP” on one side and “59” on the other side.  Supplied as follows:   NDC 0480-3633-98; HDPE bottles of 90 tablets Storage Store at 25°C (77° F), excursions permitted from 15°C-30°C (59°F-86°F). [See USP Controlled Room Temperature]. Protect from light.

How Supplied

Pitavastatin tablets for oral administration are provided as white to off-white circular biconvex film-coated tablets that contain 1 mg, 2 mg, or 4 mg of pitavastatin. Each tablet has “OP” debossed on one side and a code number specific to the tablet strength on the other. Packaging Pitavastatin tablets are supplied as: 1 mg: White to off-white circular biconvex film-coated tablets, debossed with the logo “OP” on one side and “57” on the other side.  Supplied as follows:   NDC 0480-3631-98; HDPE bottles of 90 tablets 2 mg: White to off-white circular biconvex film-coated tablets, debossed with the logo “OP” on one side and “58” on the other side.  Supplied as follows:   NDC 0480-3632-98; HDPE bottles of 90 tablets 4 mg: White to off-white circular biconvex film-coated tablets, debossed with the logo “OP” on one side and “59” on the other side.  Supplied as follows:   NDC 0480-3633-98; HDPE bottles of 90 tablets Storage Store at 25°C (77° F), excursions permitted from 15°C-30°C (59°F-86°F). [See USP Controlled Room Temperature]. Protect from light.


Medication Information

Warnings and Precautions

Myopathy and Rhabdomyolysis: Risk factors include age 65 or greater, renal impairment, uncontrolled hypothyroidism, concomitant use with certain other drugs, and higher doses of pitavastatin tablets. Discontinue pitavastatin tablets if markedly elevated CK levels occur or myopathy is diagnosed or suspected. Temporarily discontinue pitavastatin tablets in patients experiencing an acute or serious condition at high risk of developing renal failure secondary to rhabdomyolysis. Inform patients of the risk of myopathy and rhabdomyolysis when starting or increasing the pitavastatin tablets dosage. Instruct patients to promptly report any unexplained muscle pain, tenderness or weakness particularly if accompanied by malaise or fever ( 5.1 , 7 , 8.5 , 8.6 ). Immune-Mediated Necrotizing Myopathy (IMNM): Rare reports of IMNM, an autoimmune myopathy, have been reported. Discontinue pitavastatin tablets if IMNM is suspected ( 5.2 ). Hepatic Dysfunction: Increases in serum transaminases have occurred, some persistent. Rare reports of fatal and non-fatal hepatic failure have occurred. Consider testing liver enzyme before initiating therapy and as clinically indicated thereafter. If serious hepatic injury with clinical symptoms and/or hyperbilirubinemia or jaundice occurs, promptly discontinue pitavastatin tablets ( 5.3 )

Indications and Usage

Pitavastatin tablets are indicated as an adjunct to diet to reduce low-density lipoprotein cholesterol (LDL-C) in: Adult with primary hyperlipidemia. Adults and pediatric patients aged 8 years and older with heterozygous familial hypercholesterolemia (HeFH).

Dosage and Administration

Take orally once daily with or without food at the same time each day ( 2.1 ). For patients requiring a high-intensity statin or are unable to achieve their LDL-C goal receiving pitavastatin tablets 4 mg daily, prescribe alternative LDL-C-lowering treatment. ( 2.1 ). Assess LDL-C when clinically appropriate, as early as 4 weeks after initiation of pitavastatin tablets, and adjust the dosage if necessary. ( 2.1 ). Recommended dosage is 2 mg to 4 mg once daily. Maximum recommended dosage is 4 mg once daily. ( 2.2 ) Recommended starting dosage for patients with moderate and severe renal impairment and end-stage renal disease on hemodialysis is 1 mg once daily. Maximum recommended dosage is 2 mg once daily. ( 2.3 ) See full prescribing information for pitavastatin tablets dosage modifications due to drug interactions. ( 2.4 )

Contraindications

Pitavastatin tablets are contraindicated in the following conditions: Concomitant use of cyclosporine [see Drug Interactions ( 7 )] . Acute liver failure or decompensated cirrhosis [see Warning and Precautions ( 5.3 )]. Hypersensitivity to pitavastatin or any excipients in pitavastatin tablets. Hypersensitivity reactions including angioedema, rash, pruritus, and urticaria have been reported with pitavastatin tablets [see Adverse Reactions ( 6 )] .

Adverse Reactions

The following serious adverse reactions are discussed in other sections of the labeling: Myopathy and Rhabdomyolysis [see Warnings and Precautions ( 5.1 )] Immune-Mediated Necrotizing Myopathy [see Warning and Precautions ( 5.2 )] Hepatic Dysfunction [see Warning and Precautions ( 5.3 )] Increases in HbA1c and Fasting Serum Glucose Levels [see Warning and Precautions ( 5.4 )].

Drug Interactions

Table 2 includes a list of drugs that increase the risk of myopathy and rhabdomyolysis when administered concomitantly with pitavastatin tablets and instructions for preventing or managing drug interactions [see Warnings and Precautions ( 5.1 ), Clinical Pharmacology ( 12.3 )]. Table 2. Drug Interactions that Increase the Risk of Myopathy and Rhabdomyolysis with pitavastatin tablets Cyclosporine Clinical Impact: Cyclosporine significantly increases pitavastatin exposure and increases the risk of myopathy and rhabdomyolysis. Intervention: Concomitant use of cyclosporine with pitavastatin tablets is contraindicated [see Contraindications ( 4 )]. Gemfibrozil Clinical Impact: Gemfibrozil may cause myopathy when given alone. The risk of myopathy and rhabdomyolysis is increased with concomitant use of gemfibrozil with statins, including pitavastatin tablets. Intervention: Avoid concomitant use of gemfibrozil with pitavastatin tablets. Erythromycin Clinical Impact: Erythromycin significantly increases pitavastatin exposure and increases the risk of myopathy and rhabdomyolysis. Intervention: In patients taking erythromycin, do not exceed pitavastatin tablets 1 mg once daily [see Dosage and Administration ( 2.4 )]. Rifampin Clinical Impact: Rifampin significantly increases peak pitavastatin exposure and increases the risk of myopathy and rhabdomyolysis. Intervention: In patients taking rifampin, do not exceed pitavastatin tablets 2 mg once daily [see Dosage and Administration ( 2.4 )]. Fibrates Clinical Impact: Fibrates may cause myopathy when given alone. The risk of myopathy and rhabdomyolysis is increased with concomitant use of fibrates with statins, including pitavastatin tablets. Intervention: Consider if the benefit of using fibrates concomitantly with pitavastatin tablets outweighs the increased risk of myopathy and rhabdomyolysis. Niacin Clinical Impact: The risk of myopathy and rhabdomyolysis may be increased with concomitant use of lipid-modifying doses (≥1 g/day) of niacin with pitavastatin tablets. Intervention: Consider if the benefit of using lipid-modifying doses (≥1 g/day) of niacin concomitantly with pitavastatin tablets outweighs the increased risk of myopathy and rhabdomyolysis. Colchicine Clinical Impact: Cases of myopathy and rhabdomyolysis have been reported with concomitant use of colchicine with statins, including pitavastatin tablets. Intervention: Consider the risk/benefit of concomitant use of colchicine with pitavastatin tablets.

Storage and Handling

Pitavastatin tablets for oral administration are provided as white to off-white circular biconvex film-coated tablets that contain 1 mg, 2 mg, or 4 mg of pitavastatin. Each tablet has “OP” debossed on one side and a code number specific to the tablet strength on the other. Packaging Pitavastatin tablets are supplied as: 1 mg: White to off-white circular biconvex film-coated tablets, debossed with the logo “OP” on one side and “57” on the other side.  Supplied as follows:   NDC 0480-3631-98; HDPE bottles of 90 tablets 2 mg: White to off-white circular biconvex film-coated tablets, debossed with the logo “OP” on one side and “58” on the other side.  Supplied as follows:   NDC 0480-3632-98; HDPE bottles of 90 tablets 4 mg: White to off-white circular biconvex film-coated tablets, debossed with the logo “OP” on one side and “59” on the other side.  Supplied as follows:   NDC 0480-3633-98; HDPE bottles of 90 tablets Storage Store at 25°C (77° F), excursions permitted from 15°C-30°C (59°F-86°F). [See USP Controlled Room Temperature]. Protect from light.

How Supplied

Pitavastatin tablets for oral administration are provided as white to off-white circular biconvex film-coated tablets that contain 1 mg, 2 mg, or 4 mg of pitavastatin. Each tablet has “OP” debossed on one side and a code number specific to the tablet strength on the other. Packaging Pitavastatin tablets are supplied as: 1 mg: White to off-white circular biconvex film-coated tablets, debossed with the logo “OP” on one side and “57” on the other side.  Supplied as follows:   NDC 0480-3631-98; HDPE bottles of 90 tablets 2 mg: White to off-white circular biconvex film-coated tablets, debossed with the logo “OP” on one side and “58” on the other side.  Supplied as follows:   NDC 0480-3632-98; HDPE bottles of 90 tablets 4 mg: White to off-white circular biconvex film-coated tablets, debossed with the logo “OP” on one side and “59” on the other side.  Supplied as follows:   NDC 0480-3633-98; HDPE bottles of 90 tablets Storage Store at 25°C (77° F), excursions permitted from 15°C-30°C (59°F-86°F). [See USP Controlled Room Temperature]. Protect from light.

Description

Pitavastatin tablets are indicated as an adjunct to diet to reduce low-density lipoprotein cholesterol (LDL-C) in: Adult with primary hyperlipidemia. Adults and pediatric patients aged 8 years and older with heterozygous familial hypercholesterolemia (HeFH).

10 Overdosage

No specific treatment for pitavastatin tablets overdose is known. Contact Poison Control (1-800-222-1222) for latest recommendations. Hemodialysis is unlikely to be of benefit due to high protein binding ratio of pitavastatin tablets.

8.1 Pregnancy

Risk Summary

Discontinue pitavastatin tablets when pregnancy is recognized. Alternatively, consider the ongoing therapeutic needs of the individual patient.

Pitavastatin tablets decreases synthesis of cholesterol and possibly other biologically active substances derived from cholesterol; therefore, pitavastatin may cause fetal harm when administered to pregnant patients based on the mechanism of action [see Clinical Pharmacology ( 12.1 )].

In addition, treatment of hyperlipidemia is not generally necessary during pregnancy. Atherosclerosis is a chronic process and the discontinuation of lipid-lowering drugs during pregnancy should have little impact on the outcome of long-term therapy of primary hyperlipidemia for most patients.

Available data from case series and prospective and retrospective observational cohort studies over decades of use with statins in pregnant women have not identified a drug-associated risk of major congenital malformations. Published data from prospective and retrospective observational cohort studies with statin use in pregnant women are insufficient to determine if there is a drug associated risk of miscarriage [see Data].

In animal reproduction studies, no embryo-fetal toxicity or congenital malformations were observed in pregnant rats and rabbits orally administered pitavastatin during the period of organogenesis at doses which were 22 and 4 times, respectively, the human exposure at the maximum recommended human dosage (MRHD) of 4 mg, based on AUC [see Data].

The estimated background risk of major birth defects and miscarriage for the indicated population is unknown. Adverse outcomes in pregnancy occur regardless of the health of the mother or the use of medications. In the U.S. general population, the estimated background risk of major birth defects and miscarriage in clinically recognized pregnancies is 2-4% and 15-20%, respectively.

Data

Human Data

A Medicaid cohort linkage study of 1152 statin-exposed pregnant women compared to 886,996 controls did not find a significant teratogenic effect from maternal use of statins in the first trimester of pregnancy, after adjusting for potential confounders – including maternal age, diabetes mellitus, hypertension, obesity, and alcohol and tobacco use – using propensity score-based methods. The relative risk of congenital malformations between the group with statin use and the group with no statin use in the first trimester was 1.07 (95% confidence interval 0.85 to 1.37) after controlling for confounders, particularly pre-existing diabetes mellitus. There were also no statistically significant increases in any of the organ-specific malformations assessed after accounting for confounders. In the majority of pregnancies, statin treatment was initiated prior to pregnancy and was discontinued at some point in the first trimester when pregnancy was identified.

Study limitations include reliance on physician coding to define the presence of a malformation, lack of control for certain confounders such as body mass index, use of prescription dispensing as verification for the use of a statin, and lack of information on non-live births.

Animal Data

Embryo-fetal developmental studies were conducted in pregnant rats administered 3, 10, 30 mg/kg/day pitavastatin by oral gavage during organogenesis (gestation days 7-17). No adverse effects were observed at 3 mg/kg/day, systemic exposures 22 times human systemic exposure at 4 mg/day based on AUC.

Embryo-fetal developmental studies were conducted in pregnant rabbits administered 0.1, 0.3, 1 mg/kg/day pitavastatin by oral gavage during the period of fetal organogenesis(gestation days 6-18). Maternal toxicity consisting of reduced body weight and abortion was observed at all doses tested (4 times human systemic exposure at 4 mg/day based on AUC).

In perinatal/postnatal studies in pregnant rats given oral gavage doses of pitavastatin at 0.1, 0.3, 1, 3, 10, 30 mg/kg/day from organogenesis through weaning (gestation day 17 to lactation day 21), maternal toxicity consisting of mortality at ≥0.3 mg/kg/day and impaired lactation at all doses contributed to the decreased survival of neonates in all dose groups (0.1 mg/kg/day represents approximately 1 time human systemic exposure at 4 mg/day dose based on AUC).

Reproductive toxicity studies have shown that pitavastatin crosses the placenta in rats and is found in fetal tissues at ≤36% of maternal plasma concentrations following a single dose of 1 mg/kg/day during gestation (at the end of organogenesis).

8.2 Lactation

Risk Summary

There is no available information about the presence of pitavastatin in human or animal milk, the effects of the drug on the breastfed infant or the effects of the drug on milk production. However, it has been shown that another drug in this class passes into human milk.Statins, including pitavastatin tablets, decrease cholesterol synthesis and possibly the synthesis of other biologically active substances derived from cholesterol and may cause harm to the breastfed infant.

Because of the potential for serious adverse reactions in a breastfed infant, based upon the mechanism of action, advise patients that breastfeeding is not recommended during treatment with pitavastatin tablets. [see Use in Specific Populations ( 8.1 ), Clinical Pharmacology ( 12.1 )]

11 Description

Pitavastatin tablets for oral use is an HMG-CoA reductase inhibitor.



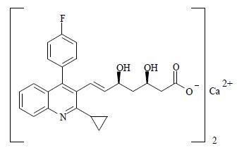
The chemical name for pitavastatin is (+)monocalcium bis{(3R, 5S, 6 E)-7-[2-cyclopropyl-4-(4-fluorophenyl)-3-quinolyl]-3,5-dihydroxy-6-heptenoate}. The structural formula is:

The empirical formula for pitavastatin is C 50H 46CaF 2N 2O 8 and the molecular weight is 880.98. Pitavastatin is odorless and occurs as white to pale-yellow powder. It is freely soluble in pyridine, chloroform, dilute hydrochloric acid, and tetrahydrofuran, soluble in ethylene glycol, sparingly soluble in octanol, slightly soluble in methanol, very slightly soluble in water or ethanol, and practically insoluble in acetonitrile or diethyl ether. Pitavastatin is hygroscopic and slightly unstable in light.

Each film-coated tablet of pitavastatin tablets contains 1 mg, 2 mg, or 4 mg of pitavastatin, which is equivalent to 1.045 mg, 2.09 mg, or 4.18 mg, respectively, of pitavastatin calcium and the following inactive ingredients: crospovidone, lactose monohydrate, microcrystalline cellulose, magnesium oxide, magnesium stearate, povidone, sodium starch glycolate, and film coating containing the following inactive ingredients: hypromellose, lactose monohydrate, titanium dioxide, and triacetin.

8.4 Pediatric Use

The safety and effectiveness of pitavastatin tablets as an adjunctive therapy to diet to reduce elevated LDL-C in pediatric patients aged 8 years and older with HeFH have been established. Use of pitavastatin tablets for this indication is supported by a 12-week, double-blind, placebo-controlled trial in 82 pediatric patients 8 to 16 years of age with HeFH [ see Clinical Studies ( 14)] and a 52-week open-label trial in 85 pediatric patients with HeFH.



The safety and effectiveness of pitavastatin tablets have not been established in pediatric patients younger than 8 years of age with HeFH or in pediatric patients with other types of hyperlipidemia (other than HeFH).

8.5 Geriatric Use

In controlled clinical studies, 1,209 (43%) patients were 65 years and older. No significant differences in efficacy or safety were observed between geriatric patients and younger patients.

Advanced age (≥65 years) is a risk factor for pitavastatin tablets-associated myopathy and rhabdomyolysis. Dose selection for a geriatric patient should be cautious, recognizing the greater frequency of decreased hepatic, renal, or cardiac function, and of concomitant disease or other drug therapy and the higher risk of myopathy. Monitor geriatric patients receiving pitavastatin tablets for the increased risk of myopathy [see Warnings and Precautions ( 5.1 )].

4 Contraindications

Pitavastatin tablets are contraindicated in the following conditions:

  • Concomitant use of cyclosporine [see Drug Interactions ( 7 )].
  • Acute liver failure or decompensated cirrhosis [see Warning and Precautions ( 5.3 )].
  • Hypersensitivity to pitavastatin or any excipients in pitavastatin tablets. Hypersensitivity reactions including angioedema, rash, pruritus, and urticaria have been reported with pitavastatin tablets [see Adverse Reactions ( 6 )].
6 Adverse Reactions

The following serious adverse reactions are discussed in other sections of the labeling:

  • Myopathy and Rhabdomyolysis [see Warnings and Precautions ( 5.1 )]
  • Immune-Mediated Necrotizing Myopathy [see Warning and Precautions ( 5.2 )]
  • Hepatic Dysfunction [see Warning and Precautions ( 5.3 )]
  • Increases in HbA1c and Fasting Serum Glucose Levels [see Warning and Precautions ( 5.4 )].
7 Drug Interactions

Table 2 includes a list of drugs that increase the risk of myopathy and rhabdomyolysis when administered concomitantly with pitavastatin tablets and instructions for preventing or managing drug interactions [see Warnings and Precautions ( 5.1 ), Clinical Pharmacology ( 12.3 )].



Table 2. Drug Interactions that Increase the Risk of Myopathy and Rhabdomyolysis with pitavastatin tablets

Cyclosporine
Clinical Impact: Cyclosporine significantly increases pitavastatin exposure and increases the risk of myopathy and rhabdomyolysis.
Intervention: Concomitant use of cyclosporine with pitavastatin tablets is contraindicated [see Contraindications ( 4 )].
Gemfibrozil
Clinical Impact: Gemfibrozil may cause myopathy when given alone. The risk of myopathy and rhabdomyolysis is increased with concomitant use of gemfibrozil with statins, including pitavastatin tablets.
Intervention: Avoid concomitant use of gemfibrozil with pitavastatin tablets.
Erythromycin
Clinical Impact: Erythromycin significantly increases pitavastatin exposure and increases the risk of myopathy and rhabdomyolysis.
Intervention: In patients taking erythromycin, do not exceed pitavastatin tablets 1 mg once daily [see Dosage and Administration ( 2.4 )].
Rifampin
Clinical Impact: Rifampin significantly increases peak pitavastatin exposure and increases the risk of myopathy and rhabdomyolysis.
Intervention: In patients taking rifampin, do not exceed pitavastatin tablets 2 mg once daily [see Dosage and Administration ( 2.4 )].
Fibrates
Clinical Impact: Fibrates may cause myopathy when given alone. The risk of myopathy and rhabdomyolysis is increased with concomitant use of fibrates with statins, including pitavastatin tablets.
Intervention: Consider if the benefit of using fibrates concomitantly with pitavastatin tablets outweighs the increased risk of myopathy and rhabdomyolysis.
Niacin
Clinical Impact: The risk of myopathy and rhabdomyolysis may be increased with concomitant use of lipid-modifying doses (≥1 g/day) of niacin with pitavastatin tablets.
Intervention: Consider if the benefit of using lipid-modifying doses (≥1 g/day) of niacin concomitantly with pitavastatin tablets outweighs the increased risk of myopathy and rhabdomyolysis.
Colchicine
Clinical Impact: Cases of myopathy and rhabdomyolysis have been reported with concomitant use of colchicine with statins, including pitavastatin tablets.
Intervention: Consider the risk/benefit of concomitant use of colchicine with pitavastatin tablets.

8.6 Renal Impairment

Renal impairment is a risk factor for myopathy and rhabdomyolysis. Monitor all patients with renal impairment for development of myopathy. Due to the risk of myopathy, a dosage modification of pitavastatin tablets is recommended for patients with moderate and severe renal impairment (estimated glomerular filtration rate 30 – 59 mL/min/1.73 m 2 and 15 – 29 mL/min/1.73 m 2, respectively), as well as end-stage renal disease receiving hemodialysis. [see Dosage and Administration ( 2.3 ), Warnings and Precautions ( 5.1 ), Clinical Pharmacology ( 12.3 )].

12.2 Pharmacodynamics

Cardiac Electrophysiology

In a randomized, double-blind, placebo-controlled, 4-way parallel, active-comparator study with moxifloxacin in 174 healthy participants, pitavastatin tablets were not associated with clinically meaningful prolongation of the QTc interval or heart rate at daily doses up to 16 mg (4 times the recommended maximum dose of 4 mg daily).

12.3 Pharmacokinetics

Absorption

Pitavastatin peak plasma concentrations are achieved about 1 hour after oral administration. Both C max and AUC 0-inf increased in an approximately dose-proportional manner for single pitavastatin tablets doses from 1 mg to 24 mg once daily. The absolute bioavailability of pitavastatin oral solution is 51%. The C max and AUC of pitavastatin did not differ following evening or morning drug administration. In healthy volunteers receiving 4 mg pitavastatin, the percent change from baseline for LDL-C following evening dosing was slightly greater than that following morning dosing. Pitavastatin was absorbed in the small intestine but very little in the colon.

Effect of Food

Administration of pitavastatin tablets with a high fat meal (50% fat content) decreases pitavastatin C max by 43% but does not significantly reduce pitavastatin AUC.

Distribution

Pitavastatin is more than 99% protein bound in human plasma, mainly to albumin and alpha 1-acid glycoprotein, and the mean volume of distribution is approximately 148 L.

Elimination

Metabolism

The principal route of pitavastatin metabolism is glucuronidation via liver uridine 5'-diphosphate glucuronosyltransferase (UGT) with subsequent formation of pitavastatin lactone. There is only minimal metabolism by the cytochrome P450 system. Pitavastatin is marginally metabolized by CYP2C9 and to a lesser extent by CYP2C8. The major metabolite in human plasma is the lactone, which is formed via an ester-type pitavastatin glucuronide conjugate by UGTs (UGT1A3 and UGT2B7).

Excretion

A mean of 15% of radioactivity of orally administered, single 32 mg 14C-labeled pitavastatin dose was excreted in urine, whereas a mean of 79% of the dose was excreted in feces within 7 days. The mean plasma elimination half-life is approximately 12 hours.

Specific Populations

Geriatric Patients

In a pharmacokinetic study which compared healthy young and geriatric (≥65 years) volunteers, pitavastatin C max and AUC were 10 and 30% higher, respectively, in the geriatric patients [see Use in Specific Populations ( 8.5 )]

Pediatric Patients

A 12-week study in pediatric patients 8 to 16 years of age treated with pitavastatin 1 mg, 2 mg and 4 mg administered once daily, showed a dose-dependent increase in pitavastatin plasma concentrations at trough (for 2 mg and 4 mg doses) and 1 hour post dose. A dose-dependent increase in pitavastatin lactone plasma concentrations was observed at trough and 1 hour post dose.

Male and Female Patients

In a pharmacokinetic study, which compared healthy male and female volunteers, pitavastatin C max and AUC were 60 and 54% higher, respectively in females.

Racial or Ethnic Groups

In pharmacokinetic studies pitavastatin C max and AUC were 21 and 5% lower, respectively in Black or African American healthy volunteers compared with those of White healthy volunteers. In pharmacokinetic comparison between White volunteers and Japanese volunteers, there were no significant differences in C max and AUC.

Patients with Renal Impairment

In patients with moderate renal impairment (estimated glomerular filtration rate of 30 – 59 mL/min/1.73 m 2) and end stage renal disease receiving hemodialysis, pitavastatin AUC 0-inf is 102% and 86% higher than those of healthy volunteers, respectively, while pitavastatin C max is 60% and 40% higher than those of healthy volunteers, respectively. Patients received hemodialysis immediately before pitavastatin dosing and did not undergo hemodialysis during the pharmacokinetic study. Hemodialysis patients have 33% and 36% increases in the mean unbound fraction of pitavastatin as compared to healthy volunteers and patients with moderate renal impairment, respectively [see Use in Specific Populations ( 8.6 )].

In another pharmacokinetic study, patients with severe renal impairment (estimated glomerular filtration rate 15 – 29 mL/min/1.73 m 2) not receiving hemodialysis were administered a single dose of pitavastatin tablets 4 mg. The AUC 0-inf and the C max were 36% and 18% higher, respectively, compared with those of healthy volunteers. For both patients with severe renal impairment and healthy volunteers, the mean percentage of protein-unbound pitavastatin was approximately 0.6% [see Use in Specific Populations ( 8.6 )].

The effect of mild renal impairment on pitavastatin exposure has not been studied.

Patients with Hepatic Impairment

The disposition of pitavastatin was compared in healthy volunteers and patients with various degrees of hepatic impairment. Pitavastatin C max and AUC inf in patients with moderate hepatic impairment (Child-Pugh B disease) was 2.7-fold and 3.8-fold higher, respectively as compared to healthy volunteers. In patients with mild hepatic impairment (Child-Pugh A disease), pitavastatin C max and AUC inf were 30% and 60% higher as compared to healthy volunteers. Mean pitavastatin half-life for moderate hepatic impairment, mild hepatic impairment, and healthy volunteers were 15, 10, and 8 hours, respectively [see Contraindications ( 4 ), Warnings and Precautions ( 5.3 )].

Drug Interaction Studies

Warfarin

The steady-state pharmacodynamics (international normalized ratio [INR] and prothrombin time [PT]) and pharmacokinetics of warfarin in healthy volunteers were unaffected by the coadministration of pitavastatin tablets 4 mg daily.

Table 3 presents the effect of coadministered drugs on pitavastatin systemic exposure:

Table 3. Effect of Coadministered Drugs on Pitavastatin Systemic Exposure

Coadministered drug Dosage regimen Change in

AUC*
Change in

C max*
Cyclosporine Pitavastatin 2 mg QD for 6 days + cyclosporine 2 mg/kg on Day 6 ↑ 4.6 fold ↑ 6.6 fold
Erythromycin Pitavastatin 4 mg single dose on Day 4 + erythromycin 500 mg 4 times daily for 6 days ↑ 2.8 fold ↑ 3.6 fold
Rifampin Pitavastatin 4 mg QD + rifampin 600 mg QD for 5 days ↑ 29% ↑ 2.0 fold
Atazanavir Pitavastatin 4 mg QD + atazanavir 300 mg daily for 5 days ↑ 31% ↑ 60%
Darunavir/Ritonavir Pitavastatin 4 mg QD on Days 1-5 and 12-16 + darunavir/ritonavir 800 mg/100 mg QD on Days 6-16 ↓ 26% ↓ 4%
Lopinavir/Ritonavir Pitavastatin 4 mg QD on Days 1-5 and 20-24 + lopinavir/ritonavir 400 mg/100 mg BID on Days 9-24 ↓ 20% ↓ 4 %
Gemfibrozil Pitavastatin 4 mg QD + gemfibrozil 600 mg BID for 7 days ↑ 45% ↑ 31%
Fenofibrate Pitavastatin 4 mg QD + fenofibrate 160 mg QD for 7 days ↑ 18% ↑ 11%
Ezetimibe Pitavastatin 2 mg QD + ezetimibe 10 mg for 7 days ↓ 2% ↓ 0.2%
Enalapril Pitavastatin 4 mg QD + enalapril 20 mg daily for 5 days ↑ 6% ↓ 7%
Digoxin Pitavastatin 4 mg QD + digoxin 0.25 mg for 7 days ↑ 4% ↓ 9%
Diltiazem LA Pitavastatin 4 mg QD on Days 1-5 and 11-15 and diltiazem LA 240 mg on Days 6-15 ↑ 10% ↑ 15%
Grapefruit Juice Pitavastatin 2 mg single dose on Day 3 + grapefruit juice for 4 days ↑ 15% ↓ 12%
Itraconazole Pitavastatin 4 mg single dose on Day 4 + itraconazole 200 mg daily for 5 days ↓ 23% ↓ 22%

* Data presented as x-fold change represent the ratio between coadministration and pitavastatin alone (i.e., 1-fold = no change). Data presented as % change represent % difference relative to pitavastatin alone (i.e., 0% = no change).

† Considered clinically significant [see Dosage and Administration ( 2.4 ), Drug Interactions ( 7 )]

BID = twice daily; QD = once daily; LA = Long Acting

Table 4 presents the effect of pitavastatin coadministration on systemic exposure of other drugs:

Table 4. Effect of Pitavastatin Coadministration on Systemic Exposure to Other Drugs

Coadministered drug Dosage regimen Change in

AUC*
Change in

C max*
Atazanavir Pitavastatin 4 mg QD + atazanavir 300 mg daily for 5 days ↑ 6% ↑ 13%
Darunavir Pitavastatin 4 mg QD on Days 1-5 and 12-16 + darunavir/ritonavir 800 mg/100 mg QD on Days 6-16 ↑ 3% ↑ 6%
Lopinavir Pitavastatin 4 mg QD on Days 1-5 and 20-24 + lopinavir/ritonavir 400 mg/100 mg BID on Days 9-24 ↓ 9% ↓ 7%
Ritonavir Pitavastatin 4 mg QD on Days 1-5 and 20-24 + lopinavir/ritonavir 400 mg/100 mg BID on Days 9-24 ↓ 11% ↓ 11%
Ritonavir Pitavastatin 4 mg QD on Days 1-5 and 12-16 + darunavir/ritonavir 800 mg/100 mg QD on Days 6-16 ↑ 8% ↑ 2%
Enalapril Pitavastatin 4 mg QD + enalapril 20 mg daily for 5 days Enalapril ↑ 12% ↑ 12%
Enalaprilat ↓ 1% ↓ 1%
Warfarin Individualized maintenance dose of warfarin (2-7 mg) for 8 days + pitavastatin 4 mg QD for 9 days R-warfarin ↑ 7% ↑ 3%
S-warfarin ↑ 6% ↑ 3%
Ezetimibe Pitavastatin 2 mg QD + ezetimibe 10 mg for 7 days ↑ 9% ↑ 2%
Digoxin Pitavastatin 4 mg QD + digoxin 0.25 mg for 7 days ↓ 3% ↓ 4%
Diltiazem LA Pitavastatin 4 mg QD on Days 1-5 and 11-15 and diltiazem LA 240 mg on Days 6-15 ↓ 2% ↓ 7%
Rifampin Pitavastatin 4 mg QD + rifampin 600 mg QD for 5 days ↓ 15% ↓ 18%

*Data presented as % change represent % difference relative to the investigated drug alone (i.e., 0% = no change).

BID = twice daily; QD = once daily; LA = Long Acting

8.7 Hepatic Impairment

Pitavastatin is contraindicated in patients with active liver failure or decompensated cirrhosis [see Contraindications ( 4 ), Warnings and Precautions ( 5.3 )].

1 Indications and Usage

Pitavastatin tablets are indicated as an adjunct to diet to reduce low-density lipoprotein cholesterol (LDL-C) in:

  • Adult with primary hyperlipidemia.
  • Adults and pediatric patients aged 8 years and older with heterozygous familial hypercholesterolemia (HeFH).

5.3 Hepatic Dysfunction

Increases in serum transaminases have been reported with pitavastatin tablets [see Adverse Reactions ( 6 )]. In most cases, these changes appeared soon after initiation, were transient, were not accompanied by symptoms, and resolved or improved on continued therapy or after a brief interruption in therapy. There have been rare postmarketing reports of fatal and non-fatal hepatic failure in patients taking statins, including pitavastatin tablets.

Patients who consume substantial quantities of alcohol and/or have a history of liver disease may be at increased risk for hepatic injury.

Consider liver enzyme testing before the initiation of pitavastatin tablets and when clinically indicated thereafter. Pitavastatin tablets are contraindicated in patients with acute liver failure or decompensated cirrhosis [see Contraindications ( 4 )]. If serious hepatic injury with clinical symptoms and/or hyperbilirubinemia or jaundice occurs, promptly discontinue pitavastatin tablets.

12 Clinical Pharmacology

12.1 Mechanism of Action

Pitavastatin is an inhibitor of 3-hydroxy-3-methylglutaryl-coenzyme A (HMG-CoA) reductase, the enzyme that catalyzes the conversion of HMG-CoA to mevalonate, a rate-limiting step in the biosynthetic pathway for cholesterol. As a result, the expression of LDL-receptors followed by the uptake of LDL from blood to liver is accelerated and then the plasma TC decreases. Sustained inhibition of cholesterol synthesis in the liver also decreases levels of very low density lipoproteins.

13 Nonclinical Toxicology

5 Warnings and Precautions

  • Myopathy and Rhabdomyolysis: Risk factors include age 65 or greater, renal impairment, uncontrolled hypothyroidism, concomitant use with certain other drugs, and higher doses of pitavastatin tablets. Discontinue pitavastatin tablets if markedly elevated CK levels occur or myopathy is diagnosed or suspected. Temporarily discontinue pitavastatin tablets in patients experiencing an acute or serious condition at high risk of developing renal failure secondary to rhabdomyolysis. Inform patients of the risk of myopathy and rhabdomyolysis when starting or increasing the pitavastatin tablets dosage. Instruct patients to promptly report any unexplained muscle pain, tenderness or weakness particularly if accompanied by malaise or fever ( 5.1, 7, 8.5, 8.6).
  • Immune-Mediated Necrotizing Myopathy (IMNM): Rare reports of IMNM, an autoimmune myopathy, have been reported. Discontinue pitavastatin tablets if IMNM is suspected ( 5.2).
  • Hepatic Dysfunction: Increases in serum transaminases have occurred, some persistent. Rare reports of fatal and non-fatal hepatic failure have occurred. Consider testing liver enzyme before initiating therapy and as clinically indicated thereafter. If serious hepatic injury with clinical symptoms and/or hyperbilirubinemia or jaundice occurs, promptly discontinue pitavastatin tablets ( 5.3)

2 Dosage and Administration

3 Dosage Forms and Strengths

Tablets:

  • 1 mg: White to off-white circular biconvex film-coated tablets. Debossed with the logo “OP” on one side and “57” on the other side of the tablet.
  • 2 mg: White to off-white circular biconvex film-coated tablets. Debossed with the logo “OP” on one side and “58” on the other side of the tablet.
  • 4 mg: White to off-white circular biconvex film-coated tablets. Debossed with the logo “OP” on one side and “59” on the other side of the tablet.
6.2 Postmarketing Experience

The following adverse reactions have been identified during postapproval use of pitavastatin tablets. Because these reactions are reported voluntarily from a population of uncertain size, it is not always possible to reliably estimate their frequency or establish a causal relationship to drug exposure.



Gastrointestinal disorders: abdominal discomfort, abdominal pain, dyspepsia, nausea

General disorders: asthenia, fatigue, malaise, dizziness

Hepatobiliary disorders: hepatitis, jaundice, fatal and non-fatal hepatic failure

Immune system disorders: angioedema, immune-mediated necrotizing myopathy associated with statin use.

Metabolism and nutrition disorders: increases in HbA1c, fasting serum glucose levels

Musculoskeletal and connective tissue disorders: muscle spasms, myopathy, rhabdomyolysis

Nervous system disorders: hypoesthesia, peripheral neuropathy.There have been rare reports of new onset or exacerbation of myasthenia gravis, including ocular myasthenia, and reports of recurrence when the same or a different statin was administered. Rare reports of cognitive impairment (e.g., memory loss, forgetfulness, amnesia, memory impairment, confusion) associated with statin use. Cognitive impairment was generally nonserious, and reversible upon statin discontinuation, with variable times to symptom onset (1 day to years) and symptom resolution (median of 3 weeks).

Psychiatric disorders: insomnia, depression.

Reproductive system and breast disorders: erectile dysfunction

Respiratory, thoracic and mediastinal disorders: interstitial lung disease

Skin and subcutaneous tissue disorders: lichen planus

8 Use in Specific Populations

  • Pregnancy: May cause fetal harm. ( 8.1)
  • Lactation: Breastfeeding not recommended during treatment with pitavastatin tablets. ( 8.2 )

See 17 for PATIENT COUNSELING INFORMATION.

5.1 Myopathy and Rhabdomyolysis

Pitavastatin tablets may cause myopathy (muscle pain, tenderness, or weakness associated with elevated creatine kinase [CK]) and rhabdomyolysis. Acute kidney injury secondary to myoglobinuria and rare fatalities have occurred as a result of rhabdomyolysis in patients treated with statin, including pitavastatin tablets.

Risk Factors for Myopathy

Risk factors for myopathy include age 65 years or greater, uncontrolled hypothyroidism, renal impairment, concomitant use of certain drugs (including other lipidlowering therapies), and higher pitavastatin tablets dosage [see Dosage and Administration ( 2.2 ), Drug Interactions ( 7 ), and Use in Specific Populations ( 8.5 , 8.6 )]. Dosages of pitavastatin tablets greater than 4 mg once daily were associated with an increased risk for severe myopathy in premarketing clinical studies. The maximum recommended dose of pitavastatin tablets is 4 mg once daily .

Steps to Prevent or Reduce the Risk of Myopathy and Rhabdomyolysis

Pitavastatin tablets are contraindicated in patients taking cyclosporine and not recommended in patients taking gemfibrozil [see Contraindications ( 4 ) and Drug Interactions ( 7 )]. There are pitavastatin tablets dosage restrictions for patients taking erythromycin or rifampin [see Dosage and Administration ( 2.4 )]. The following drugs when used concomitantly with pitavastatin tablets may also increase the risk of myopathy and rhabdomyolysis: lipid-modifying dosages of niacin (>1grams/day), fibrates, and colchicine [see Drug Interactions ( 7 )].

Discontinue pitavastatin tablets if markedly elevated CK levels occur or if myopathy is either diagnosed or suspected. Muscle symptoms and CK elevations may resolve if pitavastatin tablets are discontinued. Temporarily discontinue pitavastatin tablets in patients experiencing an acute or serious condition at high risk of developing renal failure secondary to rhabdomyolysis, (e.g., sepsis; shock; severe hypovolemia; major surgery; trauma; severe metabolic, endocrine, or electrolyte disorders; or uncontrolled epilepsy).

Inform patients of the risk of myopathy and rhabdomyolysis when starting or increasing the pitavastatin tablets dosage. Instruct patients to promptly report any unexplained muscle pain, tenderness or weakness, particularly if accompanied by malaise or fever.

6.1 Clinical Studies Experience

Because clinical studies are conducted under widely varying conditions, adverse reaction rates observed in the clinical studies of one drug cannot be directly compared to rates in the clinical studies of another drug and may not reflect the rates observed in practice.

Adverse Reactions in Adults with Primary Hyperlipidemia

In 10 controlled clinical studies and 4 subsequent open-label extension studies, 3,291 adult patients with primary hyperlipidemia were administered pitavastatin tablets 1 mg to 4 mg daily. The mean continuous exposure of pitavastatin (1 mg to 4 mg) was 36.7 weeks (median 51.1 weeks). The mean age of the patients was 60.9 years (range; 18 years – 89 years) and 52% were females.

Approximately 93% of the patients were White, 7% were Asian/Indian, 0.2% were African American and 0.3% were Hispanic and other.

In controlled clinical studies and their open-label extensions, 3.9% (1 mg), 3.3% (2 mg), and 3.7% (4 mg) of pitavastatin tablets -treated patients were discontinued due to adverse reactions. The most common adverse reactions that led to treatment discontinuation were: elevated creatine phosphokinase (0.6% on 4 mg) and myalgia (0.5% on 4 mg).

Adverse reactions reported in ≥ 2% of patients in controlled clinical studies and at a rate greater than or equal to placebo are shown in Table 1. These studies had treatment duration of up to 12 weeks.

Table 1. Adverse Reactions ( ≥ 2% and ≥ placebo) in Adults with Primary Hyperlipidemia in Studies up to 12 Weeks

Adverse

Reactions
Placebo

(n= 208)

%
Pitavastatin

Tablets 1 mg

(n=309)

%
Pitavastatin

Tablets 2 mg

(n=951)

%
Pitavastatin

Tablets 4 mg

(n=1540)

%
Myalgia 1.4 1.9 2.8 3.1
Constipation 1.9 3.6 1.5 2.2
Diarrhea 1.9 2.6 1.5 1.9
Back Pain 2.9 3.9 1.8 1.4
Pain in extremity 1.9 2.3 0.6 0.9

Other adverse reactions reported from clinical studies were arthralgia, headache, influenza, and nasopharyngitis.

Hypersensitivity reactions including rash, pruritus, and urticaria have been reported with Pitavastatin tablets.

The following laboratory abnormalities have been reported: elevated creatine phosphokinase, transaminases, alkaline phosphatase, bilirubin, and glucose.

Adverse Reactions in Adult HIV-Infected Patients with Dyslipidemia

In a double-blind, randomized, controlled, 52-week trial, 252 HIV-infected patients with dyslipidemia were treated with either pitavastatin tablets 4mg once daily (n=126) or another statin (n=126). All patients were taking antiretroviral therapy (excluding darunavir) and had HIV-1 RNA less than 200 copies/mL and CD4 count greater than 200 cell/μL for at least 3 months prior to randomization. The safety profile of pitavastatin tablets was generally consistent with that observed in the clinical trials described above. One patient (0.8%) treated with pitavastatin tablets had a peak creatine phosphokinase value exceeding 10 times the upper limit of normal (ULN), which resolved spontaneously. Four patients (3%) treated with pitavastatin tablets had at least one ALT value exceeding 3 times but less than 5 times the ULN, none of which led to drug discontinuation. Virologic failure was reported for four patients (3%) treated with pitavastatin tablets, defined as a confirmed measurement of HIV-1 RNA exceeding 200 copies/mL that was also more than a 2-fold increase from baseline.

Adverse Reactions in Pediatric Patients Aged 8 Years and Older with HeFH

In a 12-week, double-blind, placebo-controlled trial of pitavastain tablets 1 mg, 2 mg, and 4 mg once daily in 82 pediatric patients 8 years to 16 years of age with HeFH and a 52-week open-label trial in 85 pediatric patients with HeFH, the safety profile was similar to that observed in the adult population.

Primary Hyperlipidemia in Adult

Study with Atorvastatin (Study 301)

Pitavastatin tablets were compared with Atorvastatin Calcium Tablets (referred to as atorvastatin) in a randomized, multicenter, double-blind, double-dummy, active-controlled, non-inferiority study of 817 adult patients with primary hyperlipidemia or mixed dyslipidemia. Patients entered a 6- to 8-week wash-out/dietary lead-in period and then were randomized to a 12-week treatment with either pitavastatin tablets or atorvastatin (Table 5). Non-inferiority of pitavastatin to a given dose of atorvastatin was considered to be demonstrated if the lower bound of the 95% CI for the mean treatment difference was greater than -6% for the mean percent change in LDL-C.

Lipid results are shown in Table 5. For the percent change from baseline to endpoint in LDL-C, pitavastatin tablets were non-inferior to atorvastatin for the two pairwise comparisons: pitavastatin tablets 2 mg vs. atorvastatin 10 mg and pitavastatin tablets 4 mg vs. atorvastatin 20 mg. Mean treatment differences (95% CI) were 0% (-3%, 3%) and 1% (-2%, 4%), respectively.

Table 5. Lipid Response by Dose of Pitavastatin Tablets and Atorvastatin in Adult Patients with Primary Hyperlipidemia or Mixed Dyslipidemia in Study 301 (Mean % Change from Baseline at Week 12)
Treatment N LDL-C Apo-B TC TG HDL-C non-HDL-C
Pitavastatin Tablets

2 mg daily
315 -38 -30 -28 -14 4 -35
Pitavastatin Tablets

4 mg daily
298 -45 -35 -32 -19 5 -41
Atorvastatin

10 mg daily
102 -38 -29 -28 -18 3 -35
Atorvastatin

20 mg daily
102 -44 -36 -33 -22 2 -41

Study with Simvastatin (Study 302)

Pitavastatin tablets were compared with Simvastatin Tablets (referred to as simvastatin) in a randomized, multicenter, double-blind, double-dummy, active-controlled, non-inferiority study of 843 adult patients with primary hyperlipidemia or mixed dyslipidemia. Patients entered a 6- to 8-week wash-out/dietary lead-in period and then were randomized to a 12 week treatment with either pitavastatin tablets or simvastatin (Table 6). Non-inferiority of pitavastatin to a given dose of simvastatin was considered to be demonstrated if the lower bound of the 95% CI for the mean treatment difference was greater than -6% for the mean percent change in LDL-C.

Lipid results are shown in Table 6. For the percent change from baseline to endpoint in LDL-C, pitavastatin tablets were non-inferior to simvastatin for the two pairwise comparisons: pitavastatin tablets 2 mg vs. simvastatin 20 mg and pitavastatin tablets 4 mg vs. simvastatin 40 mg. Mean treatment differences (95% CI) were 4% (1%, 7%) and 1% (-2%, 4%), respectively.

Table 6. Lipid Response by Dose of Pitavastatin Tablets and Simvastatin in Adult Patients with Primary Hyperlipidemia or Mixed Dyslipidemia in Study 302 (Mean % Change from Baseline at Week 12)
Treatment N LDL-C Apo-B TC TG HDL-C non-HDL-C
Pitavastatin Tablets

2 mg daily
307 -39 -30 -28 -16 6 -36
Pitavastatin Tablets

4 mg daily
319 -44 -35 -32 -17 6 -41
Simvastatin

20 mg daily
107 -35 -27 -25 -16 6 -32
Simvastatin

40 mg daily
110 -43 -34 -31 -16 7 -39

Study with Pravastatin in Geriatric Patients (Study 306)

Pitavastatin tablets were compared with Pravastatin Sodium Tablets (referred to as pravastatin) in a randomized, multicenter, double-blind, double-dummy, parallel group, active-controlled non-inferiority study of 942 geriatric patients (≥65 years) with primary hyperlipidemia or mixed dyslipidemia. Patients entered a 6- to 8-week wash-out/dietary lead-in period, and then were randomized to a once daily dose of pitavastatin tablets or pravastatin for 12 weeks (Table 7). Non-inferiority of pitavastatin tablets to a given dose of pravastatin was assumed if the lower bound of the 95% CI for the treatment difference was greater than -6% for the mean percent change in LDL-C.

Lipid results are shown in Table 7. Pitavastatin tablets significantly reduced LDL-C compared to pravastatin as demonstrated by the following pairwise dose comparisons: pitavastatin tablets 1 mg vs. pravastatin 10 mg, pitavastatin tablets 2 mg vs. pravastatin 20 mg and pitavastatin tablets 4 mg vs. pravastatin 40 mg. Mean treatment differences (95% CI) were 9% (6%, 12%), 10% (7%, 13%) and 10% (7%, 13%), respectively.

Table 7. Lipid Response by Dose of Pitavastatin Tablets and Pravastatin in Geriatric Patients with Primary Hyperlipidemia or Mixed Dyslipidemia in Study 306 (Mean % Change from Baseline at Week 12)
Treatment N LDL-C Apo-B TC TG HDL-C non-HDL-C
Pitavastatin Tablets

1 mg daily
207 -31 -25 -22 -13 1 -29
Pitavastatin Tablets

2 mg daily
224 -39 -31 -27 -15 2 -36
Pitavastatin Tablets

4 mg daily
210 -44 -37 -31 -22 4 -41
Pravastatin

10 mg daily
103 -22 -17 -15 -5 0 -20
Pravastatin

20 mg daily
96 -29 -22 -21 -11 -1 -27
Pravastatin

40 mg daily
102 -34 -28 -24 -15 1 -32

Study with Simvastatin in Patients with ≥ 2 Risk Factors for Coronary Heart Disease (Study 304)

Pitavastatin tablets were compared with Simvastatin Tablets (referred to as simvastatin) in a randomized, multicenter, double-blind, double-dummy, active-controlled, non-inferiority study of 351 adult patients with primary hyperlipidemia or mixed dyslipidemia with ≥2 risk factors for coronary heart disease. After a 6- to 8-week wash-out/dietary lead-in period, patients were randomized to a 12-week treatment with either pitavastatin tablets or simvastatin (Table 8). Non-inferiority of pitavastatin tablets to simvastatin was considered to be demonstrated if the lower bound of the 95% CI for the mean treatment difference was greater than -6% for the mean percent change in LDL-C.

Lipid results are shown in Table 8. Pitavastatin tablets 4 mg was non-inferior to simvastatin 40 mg for percent change from baseline to endpoint in LDL-C. The mean treatment difference (95% CI) was 0% (-2%, 3%).

Table 8. Lipid Response by Dose of Pitavastatin Tablets and Simvastatin in Adult Patients with Primary Hyperlipidemia or Mixed Dyslipidemia with ≥2 Risk Factors for Coronary Heart Disease in Study 304 (Mean % Change from Baseline at Week 12)
Treatment N LDL-C Apo-B TC TG HDL-C non-HDL-C
Pitavastatin Tablets

4 mg daily
233 -44 -34 -31 -20 7 -40
Simvastatin

40 mg daily
118 -44 -34 -31 -15 5 -39

Study with Atorvastatin in Patients with Type 2 Diabetes Mellitus (Study 305)

Pitavastatin tablets were compared with Atorvastatin Calcium Tablets (referred to as atorvastatin) in a randomized, multicenter, double-blind, double-dummy, parallel group, active-controlled, non-inferiority study of 410 adult patients with type 2 diabetes mellitus and mixed dyslipidemia. Patients entered a 6- to 8-week washout/dietary lead-in period and were randomized to a once daily dose of pitavastatin tablets or atorvastatin for 12 weeks. Non-inferiority of pitavastatin tablets was considered to be demonstrated if the lower bound of the 95% CI for the mean treatment difference was greater than -6% for the mean percent change in LDL-C.

Lipid results are shown in Table 9. The treatment difference (95% CI) for LDL-C percent change from baseline was -2% (-6.2%, 1.5%). The two treatment groups were not statistically different on LDL-C. However, the lower limit of the CI was -6.2%, slightly exceeding the -6% non-inferiority limit. The study failed to demonstrate that pitavastatin tablets were not significantly different than atorvastatin in lowering LDL-C in patients with type 2 diabetes mellitus and mixed dyslipidemia.

Table 9. Lipid Response by Dose of Pitavastatin Tablets and Atorvastatin in Adult Patients with Type 2 Diabetes Mellitus and Mixed Dyslipidemia in Study 305 (Mean % Change from Baseline at Week 12)
Treatment N LDL-C Apo-B TC TG HDL-C non-HDL-C
Pitavastatin Tablets

4 mg daily
274 -41 -32 -28 -20 7 -36
Atorvastatin

20 mg daily
136 -43 -34 -32 -27 8 -40

The treatment differences in efficacy in LDL-C change from baseline between pitavastatin tablets and active controls (i.e., atorvastatin, simvastatin, or pravastatin) in the active-controlled studies described above are summarized in Figure 1.

Figure 1. Treatment Difference in Adjusted Mean Percent Change in LDL-C between Pitavastatin Tablets and the Comparator (Atorvastatin, Simvastatin, or Pravastatin)

NL=non-inferiority limit.

HeFH in Pediatric Patients

In a double-blind, placebo-controlled, 12-week trial, 82 pediatric patients (36 boys and 46 girls), 8 to 16 years of age with genetically confirmed HeFH, fasting low-density lipoprotein cholesterol (LDL-C) ≥190 mg/dL or LDL-C ≥160 mg/dL with an additional cardiovascular risk factor (male gender, a family history of premature CV disease, presence of low HDL (<45 mg/dL) or high TG (>150 mg/dL), presence of high lipoprotein (a) (>75 nmol/L), presence of type 2 diabetes mellitus or presence of hypertension) were randomized to pitavastatin tablets 1 mg, 2 mg, and 4 mg. Mean LDL-C at baseline was 235 mg/dL (range 160.5 mg/dL to 441mg/dL). Approximately 39% of patients were Tanner Stage 1 at baseline.

Pitavastatin tablets significantly reduced plasma LDL-C, non-HDL-C, TC, and Apo-B compared to placebo. The reductions in LDL-C, Apo-B, TC, and non-HDL-C were dose dependent. There was no statistically significant improvement in HDL-C or TG at any pitavastatin tablets dose. See the lipid results in Table 10.

Table 10. Lipid Response in Pediatric Patients with HeFH (Mean % Change from Baseline at Week 12)
Treatment N LDL-C Apo-B TC TG*# HDL-C* non-HDL-C
Placebo 19 -1 -3 -1 -3 -1 -1

Pitavastatin Tablets

1 mg daily
20 -21 -20 -16 -14 7 -21

Pitavastatin Tablets

2 mg daily
24 -30 -25 -25 -15 -3 -29

Pitavastatin Tablets

4 mg daily
19 -38 -28 -30 5 -2 -36

*Difference from placebo not statistically significant

# Median Percent Change from Baseline at Week 12

17 Patient Counseling Information

Myopathy and Rhabdomyolysis

Advise patients that pitavastatin tablets may cause myopathy and rhabdomyolysis. Inform patients that the risk is increased when taking certain types of medication and they should discuss all medication, both prescription and over the counter, with their healthcare provider. Instruct patients to promptly report any unexplained muscle pain, tenderness or weakness particularly if accompanied by malaise or fever [see Warnings and Precautions ( 5.1 )].

Hepatic Dysfunction

Inform patients that pitavastatin tablets may cause liver enzyme elevations and possibly liver failure. Advise patients to promptly report fatigue, anorexia, right upper abdominal discomfort, dark urine or jaundice [see Warnings and Precautions ( 5.3 )].

Increases in HbA1c and Fasting Serum Glucose Levels

Inform patients that increases in HbA1c and fasting serum glucose levels may occur with pitavastatin tablets. Encourage patients to optimize lifestyle measures, including regular exercise, maintaining a healthy body weight, and making healthy food choices [see Warnings and Precautions ( 5.4 )].

Pregnancy

Advise pregnant patients and patients who become pregnant of the potential risk to a fetus. Advise patients to inform their healthcare provider of a known or suspected pregnancy to discuss if pitavastatin tablets should discontinued [see Use in Specific Populations ( 8.1 )].

Lactation

Advise patients that breastfeed is not recommended during treatment with pitavastatin tablets [see Use in Specific Populations ( 8.2 )].

Manufactured by:

Orient Pharma Co., Ltd.

8 Kehu 1 st Road, Huwei Township, Yunlin, Taiwan 63247

Manufactured for:

Teva Pharmaceuticals

Parsippany, NJ 07054

Product of Taiwan

To request additional information or if you have questions concerning pitavastatin tablets please phone Orient Pharma Co., Ltd. at 1-855-642-2594

16 How Supplied/storage and Handling

Pitavastatin tablets for oral administration are provided as white to off-white circular biconvex film-coated tablets that contain 1 mg, 2 mg, or 4 mg of pitavastatin. Each tablet has “OP” debossed on one side and a code number specific to the tablet strength on the other.



Packaging

Pitavastatin tablets are supplied as:

  • 1 mg: White to off-white circular biconvex film-coated tablets, debossed with the logo “OP” on one side and “57” on the other side.

 Supplied as follows:

  NDC 0480-3631-98; HDPE bottles of 90 tablets

  • 2 mg: White to off-white circular biconvex film-coated tablets, debossed with the logo “OP” on one side and “58” on the other side.

 Supplied as follows:

  NDC 0480-3632-98; HDPE bottles of 90 tablets

  • 4 mg: White to off-white circular biconvex film-coated tablets, debossed with the logo “OP” on one side and “59” on the other side.

 Supplied as follows:

  NDC 0480-3633-98; HDPE bottles of 90 tablets

Storage

Store at 25°C (77° F), excursions permitted from 15°C-30°C (59°F-86°F). [See USP Controlled Room Temperature]. Protect from light.

Package Label.principal Display Panel

PRINCIPAL DISPLAY PANEL - 1 mg Tablet Bottle Label

NDC 0480-3631-98

Pitavastatin Tablets

1 mg

Rx Only

PRINCIPAL DISPLAY PANEL - 2 mg Tablet Bottle Label

NDC 0480-3632-98

Pitavastatin Tablets

2 mg

Rx Only

PRINCIPAL DISPLAY PANEL - 4 mg Tablet Bottle Label

NDC 0480-3633-98

Pitavastatin Tablets

4 mg

Rx Only

5.2 Immune Mediated Necrotizing Myopathy

There have been rare reports of immune-mediated necrotizing myopathy (IMNM), an autoimmune myopathy, associated with statin use, including reports of recurrence when the same or a different statin was administered. IMNM is characterized by proximal muscle weakness and elevated serum creatine kinase that persist despite discontinuation of statin treatment; positive anti-HMG CoA reductase antibody; muscle biopsy showing necrotizing myopathy; and improvement with immunosuppressive agents. Additional neuromuscular and serologic testing may be necessary. Treatment with immunosuppressive agents may be required. Discontinue pitavastatin tablets if IMNM is suspected.

2.4 Dosage Modifications Due to Drug Interactions

  • In patients taking erythromycin, do not exceed pitavastatin tablets 1 mg once daily [see Drug Interactions ( 7 )].
  • In patients taking rifampin, do not exceed pitavastatin tablets 2 mg once daily [see Drug Interactions ( 7 )].
2.1 Important Dosage and Administration Information
  • Take pitavastatin tablets orally once daily with or without food at the same time each day.
  • For patients that require a high-intensity statin or are unable to achieve their LDL-C goal receiving pitavastatin tablets 4 mg daily, prescribe alternative LDL-C-lowering treatment.
  • Assess LDL-C when clinically appropriate, as early as 4 weeks after initiation of pitavastatin tablets, and adjust the dosage if necessary.
5.4 Increases in Hba1c and Fasting Serum Glucose Levels

Increases in HbA1c and fasting serum glucose levels have been reported with statins, including pitavastatin tablets. Optimize lifestyle measures, including regular exercise, maintaining a healthy body weight, and making healthy food choices.

2.3 Recommended Dosage in Patients With Renal Impairment
  • The recommended starting dose for patients with moderate and severe renal impairment (estimated glomerular filtration rate 30 – 59 mL/minute/1.73 m 2 and 15 – 29 mL/minute/1.73 m 2, respectively) and patients with end-stage renal disease receiving hemodialysis is pitavastatin tablets 1 mg once daily. The maximum recommended dose for these patients is pitavastatin tablets 2 mg once daily [see Use in Specific Populations ( 8.6 )].
  • There are no dosage adjustment recommendation for patients with mild renal impairment.
13.1 Carcinogenesis, Mutagenesis, Impairment of Fertility

In a 92-week carcinogenicity study in mice given pitavastatin, at the maximum tolerated dose of 75 mg/kg/day with systemic maximum exposures (AUC) 26 times the clinical maximum exposure at 4 mg daily, there was an absence of drug-related tumors.

In a 92-week carcinogenicity study in rats given pitavastatin at 1, 5, 25 mg/kg/day by oral gavage there was a significant increase in the incidence of thyroid follicular cell tumors at 25 mg/kg/day, which represents 295 times human systemic exposures based on AUC at the 4 mg daily maximum human dose.

In a 26-week transgenic mouse (Tg rasH2) carcinogenicity study where animals were given pitavastatin at 30, 75, and 150 mg/kg/day by oral gavage, no clinically significant tumors were observed.

Pitavastatin was not mutagenic in the Ames test with Salmonella typhimurium and Escherichia coli with and without metabolic activation, the micronucleus test following a single administration in mice and multiple administrations in rats, the unscheduled DNA synthesis test in rats, and a Comet assay in mice. In the chromosomal aberration test, clastogenicity was observed at the highest doses tested, which also elicited high levels of cytotoxicity.

Pitavastatin had no adverse effects on male and female rat fertility at oral doses of 10 and 30 mg/kg/day, respectively, at systemic exposures 56- and 354-times clinical exposure at 4 mg daily based on AUC.

Pitavastatin treatment in rabbits resulted in mortality in males and females given 1 mg/kg/day (30-times clinical systemic exposure at 4 mg daily based on AUC) and higher during a fertility study. Although the cause of death was not determined, rabbits had gross signs of renal toxicity (kidneys whitened) indicative of possible ischemia. Lower doses (15-times human systemic exposure) did not show significant toxicity in adult males and females. However, decreased implantations, increased resorptions, and decreased viability of fetuses were observed.

2.2 Recommended Dosage for Adults and Pediatric Patients Aged 8 Years and Older
  • The recommended dosage range of pitavastatin tablets is 2 mg to 4 mg daily.
  • The maximum recommended dosage is pitavastatin tablets 4 mg once daily.

Structured Label Content

10 Overdosage (10 OVERDOSAGE)

No specific treatment for pitavastatin tablets overdose is known. Contact Poison Control (1-800-222-1222) for latest recommendations. Hemodialysis is unlikely to be of benefit due to high protein binding ratio of pitavastatin tablets.

8.1 Pregnancy

Risk Summary

Discontinue pitavastatin tablets when pregnancy is recognized. Alternatively, consider the ongoing therapeutic needs of the individual patient.

Pitavastatin tablets decreases synthesis of cholesterol and possibly other biologically active substances derived from cholesterol; therefore, pitavastatin may cause fetal harm when administered to pregnant patients based on the mechanism of action [see Clinical Pharmacology ( 12.1 )].

In addition, treatment of hyperlipidemia is not generally necessary during pregnancy. Atherosclerosis is a chronic process and the discontinuation of lipid-lowering drugs during pregnancy should have little impact on the outcome of long-term therapy of primary hyperlipidemia for most patients.

Available data from case series and prospective and retrospective observational cohort studies over decades of use with statins in pregnant women have not identified a drug-associated risk of major congenital malformations. Published data from prospective and retrospective observational cohort studies with statin use in pregnant women are insufficient to determine if there is a drug associated risk of miscarriage [see Data].

In animal reproduction studies, no embryo-fetal toxicity or congenital malformations were observed in pregnant rats and rabbits orally administered pitavastatin during the period of organogenesis at doses which were 22 and 4 times, respectively, the human exposure at the maximum recommended human dosage (MRHD) of 4 mg, based on AUC [see Data].

The estimated background risk of major birth defects and miscarriage for the indicated population is unknown. Adverse outcomes in pregnancy occur regardless of the health of the mother or the use of medications. In the U.S. general population, the estimated background risk of major birth defects and miscarriage in clinically recognized pregnancies is 2-4% and 15-20%, respectively.

Data

Human Data

A Medicaid cohort linkage study of 1152 statin-exposed pregnant women compared to 886,996 controls did not find a significant teratogenic effect from maternal use of statins in the first trimester of pregnancy, after adjusting for potential confounders – including maternal age, diabetes mellitus, hypertension, obesity, and alcohol and tobacco use – using propensity score-based methods. The relative risk of congenital malformations between the group with statin use and the group with no statin use in the first trimester was 1.07 (95% confidence interval 0.85 to 1.37) after controlling for confounders, particularly pre-existing diabetes mellitus. There were also no statistically significant increases in any of the organ-specific malformations assessed after accounting for confounders. In the majority of pregnancies, statin treatment was initiated prior to pregnancy and was discontinued at some point in the first trimester when pregnancy was identified.

Study limitations include reliance on physician coding to define the presence of a malformation, lack of control for certain confounders such as body mass index, use of prescription dispensing as verification for the use of a statin, and lack of information on non-live births.

Animal Data

Embryo-fetal developmental studies were conducted in pregnant rats administered 3, 10, 30 mg/kg/day pitavastatin by oral gavage during organogenesis (gestation days 7-17). No adverse effects were observed at 3 mg/kg/day, systemic exposures 22 times human systemic exposure at 4 mg/day based on AUC.

Embryo-fetal developmental studies were conducted in pregnant rabbits administered 0.1, 0.3, 1 mg/kg/day pitavastatin by oral gavage during the period of fetal organogenesis(gestation days 6-18). Maternal toxicity consisting of reduced body weight and abortion was observed at all doses tested (4 times human systemic exposure at 4 mg/day based on AUC).

In perinatal/postnatal studies in pregnant rats given oral gavage doses of pitavastatin at 0.1, 0.3, 1, 3, 10, 30 mg/kg/day from organogenesis through weaning (gestation day 17 to lactation day 21), maternal toxicity consisting of mortality at ≥0.3 mg/kg/day and impaired lactation at all doses contributed to the decreased survival of neonates in all dose groups (0.1 mg/kg/day represents approximately 1 time human systemic exposure at 4 mg/day dose based on AUC).

Reproductive toxicity studies have shown that pitavastatin crosses the placenta in rats and is found in fetal tissues at ≤36% of maternal plasma concentrations following a single dose of 1 mg/kg/day during gestation (at the end of organogenesis).

8.2 Lactation

Risk Summary

There is no available information about the presence of pitavastatin in human or animal milk, the effects of the drug on the breastfed infant or the effects of the drug on milk production. However, it has been shown that another drug in this class passes into human milk.Statins, including pitavastatin tablets, decrease cholesterol synthesis and possibly the synthesis of other biologically active substances derived from cholesterol and may cause harm to the breastfed infant.

Because of the potential for serious adverse reactions in a breastfed infant, based upon the mechanism of action, advise patients that breastfeeding is not recommended during treatment with pitavastatin tablets. [see Use in Specific Populations ( 8.1 ), Clinical Pharmacology ( 12.1 )]

11 Description (11 DESCRIPTION)

Pitavastatin tablets for oral use is an HMG-CoA reductase inhibitor.



The chemical name for pitavastatin is (+)monocalcium bis{(3R, 5S, 6 E)-7-[2-cyclopropyl-4-(4-fluorophenyl)-3-quinolyl]-3,5-dihydroxy-6-heptenoate}. The structural formula is:

The empirical formula for pitavastatin is C 50H 46CaF 2N 2O 8 and the molecular weight is 880.98. Pitavastatin is odorless and occurs as white to pale-yellow powder. It is freely soluble in pyridine, chloroform, dilute hydrochloric acid, and tetrahydrofuran, soluble in ethylene glycol, sparingly soluble in octanol, slightly soluble in methanol, very slightly soluble in water or ethanol, and practically insoluble in acetonitrile or diethyl ether. Pitavastatin is hygroscopic and slightly unstable in light.

Each film-coated tablet of pitavastatin tablets contains 1 mg, 2 mg, or 4 mg of pitavastatin, which is equivalent to 1.045 mg, 2.09 mg, or 4.18 mg, respectively, of pitavastatin calcium and the following inactive ingredients: crospovidone, lactose monohydrate, microcrystalline cellulose, magnesium oxide, magnesium stearate, povidone, sodium starch glycolate, and film coating containing the following inactive ingredients: hypromellose, lactose monohydrate, titanium dioxide, and triacetin.

8.4 Pediatric Use

The safety and effectiveness of pitavastatin tablets as an adjunctive therapy to diet to reduce elevated LDL-C in pediatric patients aged 8 years and older with HeFH have been established. Use of pitavastatin tablets for this indication is supported by a 12-week, double-blind, placebo-controlled trial in 82 pediatric patients 8 to 16 years of age with HeFH [ see Clinical Studies ( 14)] and a 52-week open-label trial in 85 pediatric patients with HeFH.



The safety and effectiveness of pitavastatin tablets have not been established in pediatric patients younger than 8 years of age with HeFH or in pediatric patients with other types of hyperlipidemia (other than HeFH).

8.5 Geriatric Use

In controlled clinical studies, 1,209 (43%) patients were 65 years and older. No significant differences in efficacy or safety were observed between geriatric patients and younger patients.

Advanced age (≥65 years) is a risk factor for pitavastatin tablets-associated myopathy and rhabdomyolysis. Dose selection for a geriatric patient should be cautious, recognizing the greater frequency of decreased hepatic, renal, or cardiac function, and of concomitant disease or other drug therapy and the higher risk of myopathy. Monitor geriatric patients receiving pitavastatin tablets for the increased risk of myopathy [see Warnings and Precautions ( 5.1 )].

4 Contraindications (4 CONTRAINDICATIONS)

Pitavastatin tablets are contraindicated in the following conditions:

  • Concomitant use of cyclosporine [see Drug Interactions ( 7 )].
  • Acute liver failure or decompensated cirrhosis [see Warning and Precautions ( 5.3 )].
  • Hypersensitivity to pitavastatin or any excipients in pitavastatin tablets. Hypersensitivity reactions including angioedema, rash, pruritus, and urticaria have been reported with pitavastatin tablets [see Adverse Reactions ( 6 )].
6 Adverse Reactions (6 ADVERSE REACTIONS)

The following serious adverse reactions are discussed in other sections of the labeling:

  • Myopathy and Rhabdomyolysis [see Warnings and Precautions ( 5.1 )]
  • Immune-Mediated Necrotizing Myopathy [see Warning and Precautions ( 5.2 )]
  • Hepatic Dysfunction [see Warning and Precautions ( 5.3 )]
  • Increases in HbA1c and Fasting Serum Glucose Levels [see Warning and Precautions ( 5.4 )].
7 Drug Interactions (7 DRUG INTERACTIONS)

Table 2 includes a list of drugs that increase the risk of myopathy and rhabdomyolysis when administered concomitantly with pitavastatin tablets and instructions for preventing or managing drug interactions [see Warnings and Precautions ( 5.1 ), Clinical Pharmacology ( 12.3 )].



Table 2. Drug Interactions that Increase the Risk of Myopathy and Rhabdomyolysis with pitavastatin tablets

Cyclosporine
Clinical Impact: Cyclosporine significantly increases pitavastatin exposure and increases the risk of myopathy and rhabdomyolysis.
Intervention: Concomitant use of cyclosporine with pitavastatin tablets is contraindicated [see Contraindications ( 4 )].
Gemfibrozil
Clinical Impact: Gemfibrozil may cause myopathy when given alone. The risk of myopathy and rhabdomyolysis is increased with concomitant use of gemfibrozil with statins, including pitavastatin tablets.
Intervention: Avoid concomitant use of gemfibrozil with pitavastatin tablets.
Erythromycin
Clinical Impact: Erythromycin significantly increases pitavastatin exposure and increases the risk of myopathy and rhabdomyolysis.
Intervention: In patients taking erythromycin, do not exceed pitavastatin tablets 1 mg once daily [see Dosage and Administration ( 2.4 )].
Rifampin
Clinical Impact: Rifampin significantly increases peak pitavastatin exposure and increases the risk of myopathy and rhabdomyolysis.
Intervention: In patients taking rifampin, do not exceed pitavastatin tablets 2 mg once daily [see Dosage and Administration ( 2.4 )].
Fibrates
Clinical Impact: Fibrates may cause myopathy when given alone. The risk of myopathy and rhabdomyolysis is increased with concomitant use of fibrates with statins, including pitavastatin tablets.
Intervention: Consider if the benefit of using fibrates concomitantly with pitavastatin tablets outweighs the increased risk of myopathy and rhabdomyolysis.
Niacin
Clinical Impact: The risk of myopathy and rhabdomyolysis may be increased with concomitant use of lipid-modifying doses (≥1 g/day) of niacin with pitavastatin tablets.
Intervention: Consider if the benefit of using lipid-modifying doses (≥1 g/day) of niacin concomitantly with pitavastatin tablets outweighs the increased risk of myopathy and rhabdomyolysis.
Colchicine
Clinical Impact: Cases of myopathy and rhabdomyolysis have been reported with concomitant use of colchicine with statins, including pitavastatin tablets.
Intervention: Consider the risk/benefit of concomitant use of colchicine with pitavastatin tablets.

8.6 Renal Impairment

Renal impairment is a risk factor for myopathy and rhabdomyolysis. Monitor all patients with renal impairment for development of myopathy. Due to the risk of myopathy, a dosage modification of pitavastatin tablets is recommended for patients with moderate and severe renal impairment (estimated glomerular filtration rate 30 – 59 mL/min/1.73 m 2 and 15 – 29 mL/min/1.73 m 2, respectively), as well as end-stage renal disease receiving hemodialysis. [see Dosage and Administration ( 2.3 ), Warnings and Precautions ( 5.1 ), Clinical Pharmacology ( 12.3 )].

12.2 Pharmacodynamics

Cardiac Electrophysiology

In a randomized, double-blind, placebo-controlled, 4-way parallel, active-comparator study with moxifloxacin in 174 healthy participants, pitavastatin tablets were not associated with clinically meaningful prolongation of the QTc interval or heart rate at daily doses up to 16 mg (4 times the recommended maximum dose of 4 mg daily).

12.3 Pharmacokinetics

Absorption

Pitavastatin peak plasma concentrations are achieved about 1 hour after oral administration. Both C max and AUC 0-inf increased in an approximately dose-proportional manner for single pitavastatin tablets doses from 1 mg to 24 mg once daily. The absolute bioavailability of pitavastatin oral solution is 51%. The C max and AUC of pitavastatin did not differ following evening or morning drug administration. In healthy volunteers receiving 4 mg pitavastatin, the percent change from baseline for LDL-C following evening dosing was slightly greater than that following morning dosing. Pitavastatin was absorbed in the small intestine but very little in the colon.

Effect of Food

Administration of pitavastatin tablets with a high fat meal (50% fat content) decreases pitavastatin C max by 43% but does not significantly reduce pitavastatin AUC.

Distribution

Pitavastatin is more than 99% protein bound in human plasma, mainly to albumin and alpha 1-acid glycoprotein, and the mean volume of distribution is approximately 148 L.

Elimination

Metabolism

The principal route of pitavastatin metabolism is glucuronidation via liver uridine 5'-diphosphate glucuronosyltransferase (UGT) with subsequent formation of pitavastatin lactone. There is only minimal metabolism by the cytochrome P450 system. Pitavastatin is marginally metabolized by CYP2C9 and to a lesser extent by CYP2C8. The major metabolite in human plasma is the lactone, which is formed via an ester-type pitavastatin glucuronide conjugate by UGTs (UGT1A3 and UGT2B7).

Excretion

A mean of 15% of radioactivity of orally administered, single 32 mg 14C-labeled pitavastatin dose was excreted in urine, whereas a mean of 79% of the dose was excreted in feces within 7 days. The mean plasma elimination half-life is approximately 12 hours.

Specific Populations

Geriatric Patients

In a pharmacokinetic study which compared healthy young and geriatric (≥65 years) volunteers, pitavastatin C max and AUC were 10 and 30% higher, respectively, in the geriatric patients [see Use in Specific Populations ( 8.5 )]

Pediatric Patients

A 12-week study in pediatric patients 8 to 16 years of age treated with pitavastatin 1 mg, 2 mg and 4 mg administered once daily, showed a dose-dependent increase in pitavastatin plasma concentrations at trough (for 2 mg and 4 mg doses) and 1 hour post dose. A dose-dependent increase in pitavastatin lactone plasma concentrations was observed at trough and 1 hour post dose.

Male and Female Patients

In a pharmacokinetic study, which compared healthy male and female volunteers, pitavastatin C max and AUC were 60 and 54% higher, respectively in females.

Racial or Ethnic Groups

In pharmacokinetic studies pitavastatin C max and AUC were 21 and 5% lower, respectively in Black or African American healthy volunteers compared with those of White healthy volunteers. In pharmacokinetic comparison between White volunteers and Japanese volunteers, there were no significant differences in C max and AUC.

Patients with Renal Impairment

In patients with moderate renal impairment (estimated glomerular filtration rate of 30 – 59 mL/min/1.73 m 2) and end stage renal disease receiving hemodialysis, pitavastatin AUC 0-inf is 102% and 86% higher than those of healthy volunteers, respectively, while pitavastatin C max is 60% and 40% higher than those of healthy volunteers, respectively. Patients received hemodialysis immediately before pitavastatin dosing and did not undergo hemodialysis during the pharmacokinetic study. Hemodialysis patients have 33% and 36% increases in the mean unbound fraction of pitavastatin as compared to healthy volunteers and patients with moderate renal impairment, respectively [see Use in Specific Populations ( 8.6 )].

In another pharmacokinetic study, patients with severe renal impairment (estimated glomerular filtration rate 15 – 29 mL/min/1.73 m 2) not receiving hemodialysis were administered a single dose of pitavastatin tablets 4 mg. The AUC 0-inf and the C max were 36% and 18% higher, respectively, compared with those of healthy volunteers. For both patients with severe renal impairment and healthy volunteers, the mean percentage of protein-unbound pitavastatin was approximately 0.6% [see Use in Specific Populations ( 8.6 )].

The effect of mild renal impairment on pitavastatin exposure has not been studied.

Patients with Hepatic Impairment

The disposition of pitavastatin was compared in healthy volunteers and patients with various degrees of hepatic impairment. Pitavastatin C max and AUC inf in patients with moderate hepatic impairment (Child-Pugh B disease) was 2.7-fold and 3.8-fold higher, respectively as compared to healthy volunteers. In patients with mild hepatic impairment (Child-Pugh A disease), pitavastatin C max and AUC inf were 30% and 60% higher as compared to healthy volunteers. Mean pitavastatin half-life for moderate hepatic impairment, mild hepatic impairment, and healthy volunteers were 15, 10, and 8 hours, respectively [see Contraindications ( 4 ), Warnings and Precautions ( 5.3 )].

Drug Interaction Studies

Warfarin

The steady-state pharmacodynamics (international normalized ratio [INR] and prothrombin time [PT]) and pharmacokinetics of warfarin in healthy volunteers were unaffected by the coadministration of pitavastatin tablets 4 mg daily.

Table 3 presents the effect of coadministered drugs on pitavastatin systemic exposure:

Table 3. Effect of Coadministered Drugs on Pitavastatin Systemic Exposure

Coadministered drug Dosage regimen Change in

AUC*
Change in

C max*
Cyclosporine Pitavastatin 2 mg QD for 6 days + cyclosporine 2 mg/kg on Day 6 ↑ 4.6 fold ↑ 6.6 fold
Erythromycin Pitavastatin 4 mg single dose on Day 4 + erythromycin 500 mg 4 times daily for 6 days ↑ 2.8 fold ↑ 3.6 fold
Rifampin Pitavastatin 4 mg QD + rifampin 600 mg QD for 5 days ↑ 29% ↑ 2.0 fold
Atazanavir Pitavastatin 4 mg QD + atazanavir 300 mg daily for 5 days ↑ 31% ↑ 60%
Darunavir/Ritonavir Pitavastatin 4 mg QD on Days 1-5 and 12-16 + darunavir/ritonavir 800 mg/100 mg QD on Days 6-16 ↓ 26% ↓ 4%
Lopinavir/Ritonavir Pitavastatin 4 mg QD on Days 1-5 and 20-24 + lopinavir/ritonavir 400 mg/100 mg BID on Days 9-24 ↓ 20% ↓ 4 %
Gemfibrozil Pitavastatin 4 mg QD + gemfibrozil 600 mg BID for 7 days ↑ 45% ↑ 31%
Fenofibrate Pitavastatin 4 mg QD + fenofibrate 160 mg QD for 7 days ↑ 18% ↑ 11%
Ezetimibe Pitavastatin 2 mg QD + ezetimibe 10 mg for 7 days ↓ 2% ↓ 0.2%
Enalapril Pitavastatin 4 mg QD + enalapril 20 mg daily for 5 days ↑ 6% ↓ 7%
Digoxin Pitavastatin 4 mg QD + digoxin 0.25 mg for 7 days ↑ 4% ↓ 9%
Diltiazem LA Pitavastatin 4 mg QD on Days 1-5 and 11-15 and diltiazem LA 240 mg on Days 6-15 ↑ 10% ↑ 15%
Grapefruit Juice Pitavastatin 2 mg single dose on Day 3 + grapefruit juice for 4 days ↑ 15% ↓ 12%
Itraconazole Pitavastatin 4 mg single dose on Day 4 + itraconazole 200 mg daily for 5 days ↓ 23% ↓ 22%

* Data presented as x-fold change represent the ratio between coadministration and pitavastatin alone (i.e., 1-fold = no change). Data presented as % change represent % difference relative to pitavastatin alone (i.e., 0% = no change).

† Considered clinically significant [see Dosage and Administration ( 2.4 ), Drug Interactions ( 7 )]

BID = twice daily; QD = once daily; LA = Long Acting

Table 4 presents the effect of pitavastatin coadministration on systemic exposure of other drugs:

Table 4. Effect of Pitavastatin Coadministration on Systemic Exposure to Other Drugs

Coadministered drug Dosage regimen Change in

AUC*
Change in

C max*
Atazanavir Pitavastatin 4 mg QD + atazanavir 300 mg daily for 5 days ↑ 6% ↑ 13%
Darunavir Pitavastatin 4 mg QD on Days 1-5 and 12-16 + darunavir/ritonavir 800 mg/100 mg QD on Days 6-16 ↑ 3% ↑ 6%
Lopinavir Pitavastatin 4 mg QD on Days 1-5 and 20-24 + lopinavir/ritonavir 400 mg/100 mg BID on Days 9-24 ↓ 9% ↓ 7%
Ritonavir Pitavastatin 4 mg QD on Days 1-5 and 20-24 + lopinavir/ritonavir 400 mg/100 mg BID on Days 9-24 ↓ 11% ↓ 11%
Ritonavir Pitavastatin 4 mg QD on Days 1-5 and 12-16 + darunavir/ritonavir 800 mg/100 mg QD on Days 6-16 ↑ 8% ↑ 2%
Enalapril Pitavastatin 4 mg QD + enalapril 20 mg daily for 5 days Enalapril ↑ 12% ↑ 12%
Enalaprilat ↓ 1% ↓ 1%
Warfarin Individualized maintenance dose of warfarin (2-7 mg) for 8 days + pitavastatin 4 mg QD for 9 days R-warfarin ↑ 7% ↑ 3%
S-warfarin ↑ 6% ↑ 3%
Ezetimibe Pitavastatin 2 mg QD + ezetimibe 10 mg for 7 days ↑ 9% ↑ 2%
Digoxin Pitavastatin 4 mg QD + digoxin 0.25 mg for 7 days ↓ 3% ↓ 4%
Diltiazem LA Pitavastatin 4 mg QD on Days 1-5 and 11-15 and diltiazem LA 240 mg on Days 6-15 ↓ 2% ↓ 7%
Rifampin Pitavastatin 4 mg QD + rifampin 600 mg QD for 5 days ↓ 15% ↓ 18%

*Data presented as % change represent % difference relative to the investigated drug alone (i.e., 0% = no change).

BID = twice daily; QD = once daily; LA = Long Acting

8.7 Hepatic Impairment

Pitavastatin is contraindicated in patients with active liver failure or decompensated cirrhosis [see Contraindications ( 4 ), Warnings and Precautions ( 5.3 )].

1 Indications and Usage (1 INDICATIONS AND USAGE)

Pitavastatin tablets are indicated as an adjunct to diet to reduce low-density lipoprotein cholesterol (LDL-C) in:

  • Adult with primary hyperlipidemia.
  • Adults and pediatric patients aged 8 years and older with heterozygous familial hypercholesterolemia (HeFH).

5.3 Hepatic Dysfunction

Increases in serum transaminases have been reported with pitavastatin tablets [see Adverse Reactions ( 6 )]. In most cases, these changes appeared soon after initiation, were transient, were not accompanied by symptoms, and resolved or improved on continued therapy or after a brief interruption in therapy. There have been rare postmarketing reports of fatal and non-fatal hepatic failure in patients taking statins, including pitavastatin tablets.

Patients who consume substantial quantities of alcohol and/or have a history of liver disease may be at increased risk for hepatic injury.

Consider liver enzyme testing before the initiation of pitavastatin tablets and when clinically indicated thereafter. Pitavastatin tablets are contraindicated in patients with acute liver failure or decompensated cirrhosis [see Contraindications ( 4 )]. If serious hepatic injury with clinical symptoms and/or hyperbilirubinemia or jaundice occurs, promptly discontinue pitavastatin tablets.

12 Clinical Pharmacology (12 CLINICAL PHARMACOLOGY)

12.1 Mechanism of Action

Pitavastatin is an inhibitor of 3-hydroxy-3-methylglutaryl-coenzyme A (HMG-CoA) reductase, the enzyme that catalyzes the conversion of HMG-CoA to mevalonate, a rate-limiting step in the biosynthetic pathway for cholesterol. As a result, the expression of LDL-receptors followed by the uptake of LDL from blood to liver is accelerated and then the plasma TC decreases. Sustained inhibition of cholesterol synthesis in the liver also decreases levels of very low density lipoproteins.

13 Nonclinical Toxicology (13 NONCLINICAL TOXICOLOGY)

5 Warnings and Precautions (5 WARNINGS AND PRECAUTIONS)

  • Myopathy and Rhabdomyolysis: Risk factors include age 65 or greater, renal impairment, uncontrolled hypothyroidism, concomitant use with certain other drugs, and higher doses of pitavastatin tablets. Discontinue pitavastatin tablets if markedly elevated CK levels occur or myopathy is diagnosed or suspected. Temporarily discontinue pitavastatin tablets in patients experiencing an acute or serious condition at high risk of developing renal failure secondary to rhabdomyolysis. Inform patients of the risk of myopathy and rhabdomyolysis when starting or increasing the pitavastatin tablets dosage. Instruct patients to promptly report any unexplained muscle pain, tenderness or weakness particularly if accompanied by malaise or fever ( 5.1, 7, 8.5, 8.6).
  • Immune-Mediated Necrotizing Myopathy (IMNM): Rare reports of IMNM, an autoimmune myopathy, have been reported. Discontinue pitavastatin tablets if IMNM is suspected ( 5.2).
  • Hepatic Dysfunction: Increases in serum transaminases have occurred, some persistent. Rare reports of fatal and non-fatal hepatic failure have occurred. Consider testing liver enzyme before initiating therapy and as clinically indicated thereafter. If serious hepatic injury with clinical symptoms and/or hyperbilirubinemia or jaundice occurs, promptly discontinue pitavastatin tablets ( 5.3)

2 Dosage and Administration (2 DOSAGE AND ADMINISTRATION)

3 Dosage Forms and Strengths (3 DOSAGE FORMS AND STRENGTHS)

Tablets:

  • 1 mg: White to off-white circular biconvex film-coated tablets. Debossed with the logo “OP” on one side and “57” on the other side of the tablet.
  • 2 mg: White to off-white circular biconvex film-coated tablets. Debossed with the logo “OP” on one side and “58” on the other side of the tablet.
  • 4 mg: White to off-white circular biconvex film-coated tablets. Debossed with the logo “OP” on one side and “59” on the other side of the tablet.
6.2 Postmarketing Experience

The following adverse reactions have been identified during postapproval use of pitavastatin tablets. Because these reactions are reported voluntarily from a population of uncertain size, it is not always possible to reliably estimate their frequency or establish a causal relationship to drug exposure.



Gastrointestinal disorders: abdominal discomfort, abdominal pain, dyspepsia, nausea

General disorders: asthenia, fatigue, malaise, dizziness

Hepatobiliary disorders: hepatitis, jaundice, fatal and non-fatal hepatic failure

Immune system disorders: angioedema, immune-mediated necrotizing myopathy associated with statin use.

Metabolism and nutrition disorders: increases in HbA1c, fasting serum glucose levels

Musculoskeletal and connective tissue disorders: muscle spasms, myopathy, rhabdomyolysis

Nervous system disorders: hypoesthesia, peripheral neuropathy.There have been rare reports of new onset or exacerbation of myasthenia gravis, including ocular myasthenia, and reports of recurrence when the same or a different statin was administered. Rare reports of cognitive impairment (e.g., memory loss, forgetfulness, amnesia, memory impairment, confusion) associated with statin use. Cognitive impairment was generally nonserious, and reversible upon statin discontinuation, with variable times to symptom onset (1 day to years) and symptom resolution (median of 3 weeks).

Psychiatric disorders: insomnia, depression.

Reproductive system and breast disorders: erectile dysfunction

Respiratory, thoracic and mediastinal disorders: interstitial lung disease

Skin and subcutaneous tissue disorders: lichen planus

8 Use in Specific Populations (8 USE IN SPECIFIC POPULATIONS)

  • Pregnancy: May cause fetal harm. ( 8.1)
  • Lactation: Breastfeeding not recommended during treatment with pitavastatin tablets. ( 8.2 )

See 17 for PATIENT COUNSELING INFORMATION.

5.1 Myopathy and Rhabdomyolysis

Pitavastatin tablets may cause myopathy (muscle pain, tenderness, or weakness associated with elevated creatine kinase [CK]) and rhabdomyolysis. Acute kidney injury secondary to myoglobinuria and rare fatalities have occurred as a result of rhabdomyolysis in patients treated with statin, including pitavastatin tablets.

Risk Factors for Myopathy

Risk factors for myopathy include age 65 years or greater, uncontrolled hypothyroidism, renal impairment, concomitant use of certain drugs (including other lipidlowering therapies), and higher pitavastatin tablets dosage [see Dosage and Administration ( 2.2 ), Drug Interactions ( 7 ), and Use in Specific Populations ( 8.5 , 8.6 )]. Dosages of pitavastatin tablets greater than 4 mg once daily were associated with an increased risk for severe myopathy in premarketing clinical studies. The maximum recommended dose of pitavastatin tablets is 4 mg once daily .

Steps to Prevent or Reduce the Risk of Myopathy and Rhabdomyolysis

Pitavastatin tablets are contraindicated in patients taking cyclosporine and not recommended in patients taking gemfibrozil [see Contraindications ( 4 ) and Drug Interactions ( 7 )]. There are pitavastatin tablets dosage restrictions for patients taking erythromycin or rifampin [see Dosage and Administration ( 2.4 )]. The following drugs when used concomitantly with pitavastatin tablets may also increase the risk of myopathy and rhabdomyolysis: lipid-modifying dosages of niacin (>1grams/day), fibrates, and colchicine [see Drug Interactions ( 7 )].

Discontinue pitavastatin tablets if markedly elevated CK levels occur or if myopathy is either diagnosed or suspected. Muscle symptoms and CK elevations may resolve if pitavastatin tablets are discontinued. Temporarily discontinue pitavastatin tablets in patients experiencing an acute or serious condition at high risk of developing renal failure secondary to rhabdomyolysis, (e.g., sepsis; shock; severe hypovolemia; major surgery; trauma; severe metabolic, endocrine, or electrolyte disorders; or uncontrolled epilepsy).

Inform patients of the risk of myopathy and rhabdomyolysis when starting or increasing the pitavastatin tablets dosage. Instruct patients to promptly report any unexplained muscle pain, tenderness or weakness, particularly if accompanied by malaise or fever.

6.1 Clinical Studies Experience

Because clinical studies are conducted under widely varying conditions, adverse reaction rates observed in the clinical studies of one drug cannot be directly compared to rates in the clinical studies of another drug and may not reflect the rates observed in practice.

Adverse Reactions in Adults with Primary Hyperlipidemia

In 10 controlled clinical studies and 4 subsequent open-label extension studies, 3,291 adult patients with primary hyperlipidemia were administered pitavastatin tablets 1 mg to 4 mg daily. The mean continuous exposure of pitavastatin (1 mg to 4 mg) was 36.7 weeks (median 51.1 weeks). The mean age of the patients was 60.9 years (range; 18 years – 89 years) and 52% were females.

Approximately 93% of the patients were White, 7% were Asian/Indian, 0.2% were African American and 0.3% were Hispanic and other.

In controlled clinical studies and their open-label extensions, 3.9% (1 mg), 3.3% (2 mg), and 3.7% (4 mg) of pitavastatin tablets -treated patients were discontinued due to adverse reactions. The most common adverse reactions that led to treatment discontinuation were: elevated creatine phosphokinase (0.6% on 4 mg) and myalgia (0.5% on 4 mg).

Adverse reactions reported in ≥ 2% of patients in controlled clinical studies and at a rate greater than or equal to placebo are shown in Table 1. These studies had treatment duration of up to 12 weeks.

Table 1. Adverse Reactions ( ≥ 2% and ≥ placebo) in Adults with Primary Hyperlipidemia in Studies up to 12 Weeks

Adverse

Reactions
Placebo

(n= 208)

%
Pitavastatin

Tablets 1 mg

(n=309)

%
Pitavastatin

Tablets 2 mg

(n=951)

%
Pitavastatin

Tablets 4 mg

(n=1540)

%
Myalgia 1.4 1.9 2.8 3.1
Constipation 1.9 3.6 1.5 2.2
Diarrhea 1.9 2.6 1.5 1.9
Back Pain 2.9 3.9 1.8 1.4
Pain in extremity 1.9 2.3 0.6 0.9

Other adverse reactions reported from clinical studies were arthralgia, headache, influenza, and nasopharyngitis.

Hypersensitivity reactions including rash, pruritus, and urticaria have been reported with Pitavastatin tablets.

The following laboratory abnormalities have been reported: elevated creatine phosphokinase, transaminases, alkaline phosphatase, bilirubin, and glucose.

Adverse Reactions in Adult HIV-Infected Patients with Dyslipidemia

In a double-blind, randomized, controlled, 52-week trial, 252 HIV-infected patients with dyslipidemia were treated with either pitavastatin tablets 4mg once daily (n=126) or another statin (n=126). All patients were taking antiretroviral therapy (excluding darunavir) and had HIV-1 RNA less than 200 copies/mL and CD4 count greater than 200 cell/μL for at least 3 months prior to randomization. The safety profile of pitavastatin tablets was generally consistent with that observed in the clinical trials described above. One patient (0.8%) treated with pitavastatin tablets had a peak creatine phosphokinase value exceeding 10 times the upper limit of normal (ULN), which resolved spontaneously. Four patients (3%) treated with pitavastatin tablets had at least one ALT value exceeding 3 times but less than 5 times the ULN, none of which led to drug discontinuation. Virologic failure was reported for four patients (3%) treated with pitavastatin tablets, defined as a confirmed measurement of HIV-1 RNA exceeding 200 copies/mL that was also more than a 2-fold increase from baseline.

Adverse Reactions in Pediatric Patients Aged 8 Years and Older with HeFH

In a 12-week, double-blind, placebo-controlled trial of pitavastain tablets 1 mg, 2 mg, and 4 mg once daily in 82 pediatric patients 8 years to 16 years of age with HeFH and a 52-week open-label trial in 85 pediatric patients with HeFH, the safety profile was similar to that observed in the adult population.

Primary Hyperlipidemia in Adult

Study with Atorvastatin (Study 301)

Pitavastatin tablets were compared with Atorvastatin Calcium Tablets (referred to as atorvastatin) in a randomized, multicenter, double-blind, double-dummy, active-controlled, non-inferiority study of 817 adult patients with primary hyperlipidemia or mixed dyslipidemia. Patients entered a 6- to 8-week wash-out/dietary lead-in period and then were randomized to a 12-week treatment with either pitavastatin tablets or atorvastatin (Table 5). Non-inferiority of pitavastatin to a given dose of atorvastatin was considered to be demonstrated if the lower bound of the 95% CI for the mean treatment difference was greater than -6% for the mean percent change in LDL-C.

Lipid results are shown in Table 5. For the percent change from baseline to endpoint in LDL-C, pitavastatin tablets were non-inferior to atorvastatin for the two pairwise comparisons: pitavastatin tablets 2 mg vs. atorvastatin 10 mg and pitavastatin tablets 4 mg vs. atorvastatin 20 mg. Mean treatment differences (95% CI) were 0% (-3%, 3%) and 1% (-2%, 4%), respectively.

Table 5. Lipid Response by Dose of Pitavastatin Tablets and Atorvastatin in Adult Patients with Primary Hyperlipidemia or Mixed Dyslipidemia in Study 301 (Mean % Change from Baseline at Week 12)
Treatment N LDL-C Apo-B TC TG HDL-C non-HDL-C
Pitavastatin Tablets

2 mg daily
315 -38 -30 -28 -14 4 -35
Pitavastatin Tablets

4 mg daily
298 -45 -35 -32 -19 5 -41
Atorvastatin

10 mg daily
102 -38 -29 -28 -18 3 -35
Atorvastatin

20 mg daily
102 -44 -36 -33 -22 2 -41

Study with Simvastatin (Study 302)

Pitavastatin tablets were compared with Simvastatin Tablets (referred to as simvastatin) in a randomized, multicenter, double-blind, double-dummy, active-controlled, non-inferiority study of 843 adult patients with primary hyperlipidemia or mixed dyslipidemia. Patients entered a 6- to 8-week wash-out/dietary lead-in period and then were randomized to a 12 week treatment with either pitavastatin tablets or simvastatin (Table 6). Non-inferiority of pitavastatin to a given dose of simvastatin was considered to be demonstrated if the lower bound of the 95% CI for the mean treatment difference was greater than -6% for the mean percent change in LDL-C.

Lipid results are shown in Table 6. For the percent change from baseline to endpoint in LDL-C, pitavastatin tablets were non-inferior to simvastatin for the two pairwise comparisons: pitavastatin tablets 2 mg vs. simvastatin 20 mg and pitavastatin tablets 4 mg vs. simvastatin 40 mg. Mean treatment differences (95% CI) were 4% (1%, 7%) and 1% (-2%, 4%), respectively.

Table 6. Lipid Response by Dose of Pitavastatin Tablets and Simvastatin in Adult Patients with Primary Hyperlipidemia or Mixed Dyslipidemia in Study 302 (Mean % Change from Baseline at Week 12)
Treatment N LDL-C Apo-B TC TG HDL-C non-HDL-C
Pitavastatin Tablets

2 mg daily
307 -39 -30 -28 -16 6 -36
Pitavastatin Tablets

4 mg daily
319 -44 -35 -32 -17 6 -41
Simvastatin

20 mg daily
107 -35 -27 -25 -16 6 -32
Simvastatin

40 mg daily
110 -43 -34 -31 -16 7 -39

Study with Pravastatin in Geriatric Patients (Study 306)

Pitavastatin tablets were compared with Pravastatin Sodium Tablets (referred to as pravastatin) in a randomized, multicenter, double-blind, double-dummy, parallel group, active-controlled non-inferiority study of 942 geriatric patients (≥65 years) with primary hyperlipidemia or mixed dyslipidemia. Patients entered a 6- to 8-week wash-out/dietary lead-in period, and then were randomized to a once daily dose of pitavastatin tablets or pravastatin for 12 weeks (Table 7). Non-inferiority of pitavastatin tablets to a given dose of pravastatin was assumed if the lower bound of the 95% CI for the treatment difference was greater than -6% for the mean percent change in LDL-C.

Lipid results are shown in Table 7. Pitavastatin tablets significantly reduced LDL-C compared to pravastatin as demonstrated by the following pairwise dose comparisons: pitavastatin tablets 1 mg vs. pravastatin 10 mg, pitavastatin tablets 2 mg vs. pravastatin 20 mg and pitavastatin tablets 4 mg vs. pravastatin 40 mg. Mean treatment differences (95% CI) were 9% (6%, 12%), 10% (7%, 13%) and 10% (7%, 13%), respectively.

Table 7. Lipid Response by Dose of Pitavastatin Tablets and Pravastatin in Geriatric Patients with Primary Hyperlipidemia or Mixed Dyslipidemia in Study 306 (Mean % Change from Baseline at Week 12)
Treatment N LDL-C Apo-B TC TG HDL-C non-HDL-C
Pitavastatin Tablets

1 mg daily
207 -31 -25 -22 -13 1 -29
Pitavastatin Tablets

2 mg daily
224 -39 -31 -27 -15 2 -36
Pitavastatin Tablets

4 mg daily
210 -44 -37 -31 -22 4 -41
Pravastatin

10 mg daily
103 -22 -17 -15 -5 0 -20
Pravastatin

20 mg daily
96 -29 -22 -21 -11 -1 -27
Pravastatin

40 mg daily
102 -34 -28 -24 -15 1 -32

Study with Simvastatin in Patients with ≥ 2 Risk Factors for Coronary Heart Disease (Study 304)

Pitavastatin tablets were compared with Simvastatin Tablets (referred to as simvastatin) in a randomized, multicenter, double-blind, double-dummy, active-controlled, non-inferiority study of 351 adult patients with primary hyperlipidemia or mixed dyslipidemia with ≥2 risk factors for coronary heart disease. After a 6- to 8-week wash-out/dietary lead-in period, patients were randomized to a 12-week treatment with either pitavastatin tablets or simvastatin (Table 8). Non-inferiority of pitavastatin tablets to simvastatin was considered to be demonstrated if the lower bound of the 95% CI for the mean treatment difference was greater than -6% for the mean percent change in LDL-C.

Lipid results are shown in Table 8. Pitavastatin tablets 4 mg was non-inferior to simvastatin 40 mg for percent change from baseline to endpoint in LDL-C. The mean treatment difference (95% CI) was 0% (-2%, 3%).

Table 8. Lipid Response by Dose of Pitavastatin Tablets and Simvastatin in Adult Patients with Primary Hyperlipidemia or Mixed Dyslipidemia with ≥2 Risk Factors for Coronary Heart Disease in Study 304 (Mean % Change from Baseline at Week 12)
Treatment N LDL-C Apo-B TC TG HDL-C non-HDL-C
Pitavastatin Tablets

4 mg daily
233 -44 -34 -31 -20 7 -40
Simvastatin

40 mg daily
118 -44 -34 -31 -15 5 -39

Study with Atorvastatin in Patients with Type 2 Diabetes Mellitus (Study 305)

Pitavastatin tablets were compared with Atorvastatin Calcium Tablets (referred to as atorvastatin) in a randomized, multicenter, double-blind, double-dummy, parallel group, active-controlled, non-inferiority study of 410 adult patients with type 2 diabetes mellitus and mixed dyslipidemia. Patients entered a 6- to 8-week washout/dietary lead-in period and were randomized to a once daily dose of pitavastatin tablets or atorvastatin for 12 weeks. Non-inferiority of pitavastatin tablets was considered to be demonstrated if the lower bound of the 95% CI for the mean treatment difference was greater than -6% for the mean percent change in LDL-C.

Lipid results are shown in Table 9. The treatment difference (95% CI) for LDL-C percent change from baseline was -2% (-6.2%, 1.5%). The two treatment groups were not statistically different on LDL-C. However, the lower limit of the CI was -6.2%, slightly exceeding the -6% non-inferiority limit. The study failed to demonstrate that pitavastatin tablets were not significantly different than atorvastatin in lowering LDL-C in patients with type 2 diabetes mellitus and mixed dyslipidemia.

Table 9. Lipid Response by Dose of Pitavastatin Tablets and Atorvastatin in Adult Patients with Type 2 Diabetes Mellitus and Mixed Dyslipidemia in Study 305 (Mean % Change from Baseline at Week 12)
Treatment N LDL-C Apo-B TC TG HDL-C non-HDL-C
Pitavastatin Tablets

4 mg daily
274 -41 -32 -28 -20 7 -36
Atorvastatin

20 mg daily
136 -43 -34 -32 -27 8 -40

The treatment differences in efficacy in LDL-C change from baseline between pitavastatin tablets and active controls (i.e., atorvastatin, simvastatin, or pravastatin) in the active-controlled studies described above are summarized in Figure 1.

Figure 1. Treatment Difference in Adjusted Mean Percent Change in LDL-C between Pitavastatin Tablets and the Comparator (Atorvastatin, Simvastatin, or Pravastatin)

NL=non-inferiority limit.

HeFH in Pediatric Patients

In a double-blind, placebo-controlled, 12-week trial, 82 pediatric patients (36 boys and 46 girls), 8 to 16 years of age with genetically confirmed HeFH, fasting low-density lipoprotein cholesterol (LDL-C) ≥190 mg/dL or LDL-C ≥160 mg/dL with an additional cardiovascular risk factor (male gender, a family history of premature CV disease, presence of low HDL (<45 mg/dL) or high TG (>150 mg/dL), presence of high lipoprotein (a) (>75 nmol/L), presence of type 2 diabetes mellitus or presence of hypertension) were randomized to pitavastatin tablets 1 mg, 2 mg, and 4 mg. Mean LDL-C at baseline was 235 mg/dL (range 160.5 mg/dL to 441mg/dL). Approximately 39% of patients were Tanner Stage 1 at baseline.

Pitavastatin tablets significantly reduced plasma LDL-C, non-HDL-C, TC, and Apo-B compared to placebo. The reductions in LDL-C, Apo-B, TC, and non-HDL-C were dose dependent. There was no statistically significant improvement in HDL-C or TG at any pitavastatin tablets dose. See the lipid results in Table 10.

Table 10. Lipid Response in Pediatric Patients with HeFH (Mean % Change from Baseline at Week 12)
Treatment N LDL-C Apo-B TC TG*# HDL-C* non-HDL-C
Placebo 19 -1 -3 -1 -3 -1 -1

Pitavastatin Tablets

1 mg daily
20 -21 -20 -16 -14 7 -21

Pitavastatin Tablets

2 mg daily
24 -30 -25 -25 -15 -3 -29

Pitavastatin Tablets

4 mg daily
19 -38 -28 -30 5 -2 -36

*Difference from placebo not statistically significant

# Median Percent Change from Baseline at Week 12

17 Patient Counseling Information (17 PATIENT COUNSELING INFORMATION)

Myopathy and Rhabdomyolysis

Advise patients that pitavastatin tablets may cause myopathy and rhabdomyolysis. Inform patients that the risk is increased when taking certain types of medication and they should discuss all medication, both prescription and over the counter, with their healthcare provider. Instruct patients to promptly report any unexplained muscle pain, tenderness or weakness particularly if accompanied by malaise or fever [see Warnings and Precautions ( 5.1 )].

Hepatic Dysfunction

Inform patients that pitavastatin tablets may cause liver enzyme elevations and possibly liver failure. Advise patients to promptly report fatigue, anorexia, right upper abdominal discomfort, dark urine or jaundice [see Warnings and Precautions ( 5.3 )].

Increases in HbA1c and Fasting Serum Glucose Levels

Inform patients that increases in HbA1c and fasting serum glucose levels may occur with pitavastatin tablets. Encourage patients to optimize lifestyle measures, including regular exercise, maintaining a healthy body weight, and making healthy food choices [see Warnings and Precautions ( 5.4 )].

Pregnancy

Advise pregnant patients and patients who become pregnant of the potential risk to a fetus. Advise patients to inform their healthcare provider of a known or suspected pregnancy to discuss if pitavastatin tablets should discontinued [see Use in Specific Populations ( 8.1 )].

Lactation

Advise patients that breastfeed is not recommended during treatment with pitavastatin tablets [see Use in Specific Populations ( 8.2 )].

Manufactured by:

Orient Pharma Co., Ltd.

8 Kehu 1 st Road, Huwei Township, Yunlin, Taiwan 63247

Manufactured for:

Teva Pharmaceuticals

Parsippany, NJ 07054

Product of Taiwan

To request additional information or if you have questions concerning pitavastatin tablets please phone Orient Pharma Co., Ltd. at 1-855-642-2594

16 How Supplied/storage and Handling (16 HOW SUPPLIED/STORAGE AND HANDLING)

Pitavastatin tablets for oral administration are provided as white to off-white circular biconvex film-coated tablets that contain 1 mg, 2 mg, or 4 mg of pitavastatin. Each tablet has “OP” debossed on one side and a code number specific to the tablet strength on the other.



Packaging

Pitavastatin tablets are supplied as:

  • 1 mg: White to off-white circular biconvex film-coated tablets, debossed with the logo “OP” on one side and “57” on the other side.

 Supplied as follows:

  NDC 0480-3631-98; HDPE bottles of 90 tablets

  • 2 mg: White to off-white circular biconvex film-coated tablets, debossed with the logo “OP” on one side and “58” on the other side.

 Supplied as follows:

  NDC 0480-3632-98; HDPE bottles of 90 tablets

  • 4 mg: White to off-white circular biconvex film-coated tablets, debossed with the logo “OP” on one side and “59” on the other side.

 Supplied as follows:

  NDC 0480-3633-98; HDPE bottles of 90 tablets

Storage

Store at 25°C (77° F), excursions permitted from 15°C-30°C (59°F-86°F). [See USP Controlled Room Temperature]. Protect from light.

Package Label.principal Display Panel (PACKAGE LABEL.PRINCIPAL DISPLAY PANEL)

PRINCIPAL DISPLAY PANEL - 1 mg Tablet Bottle Label

NDC 0480-3631-98

Pitavastatin Tablets

1 mg

Rx Only

PRINCIPAL DISPLAY PANEL - 2 mg Tablet Bottle Label

NDC 0480-3632-98

Pitavastatin Tablets

2 mg

Rx Only

PRINCIPAL DISPLAY PANEL - 4 mg Tablet Bottle Label

NDC 0480-3633-98

Pitavastatin Tablets

4 mg

Rx Only

5.2 Immune Mediated Necrotizing Myopathy (5.2 Immune-Mediated Necrotizing Myopathy)

There have been rare reports of immune-mediated necrotizing myopathy (IMNM), an autoimmune myopathy, associated with statin use, including reports of recurrence when the same or a different statin was administered. IMNM is characterized by proximal muscle weakness and elevated serum creatine kinase that persist despite discontinuation of statin treatment; positive anti-HMG CoA reductase antibody; muscle biopsy showing necrotizing myopathy; and improvement with immunosuppressive agents. Additional neuromuscular and serologic testing may be necessary. Treatment with immunosuppressive agents may be required. Discontinue pitavastatin tablets if IMNM is suspected.

2.4 Dosage Modifications Due to Drug Interactions

  • In patients taking erythromycin, do not exceed pitavastatin tablets 1 mg once daily [see Drug Interactions ( 7 )].
  • In patients taking rifampin, do not exceed pitavastatin tablets 2 mg once daily [see Drug Interactions ( 7 )].
2.1 Important Dosage and Administration Information
  • Take pitavastatin tablets orally once daily with or without food at the same time each day.
  • For patients that require a high-intensity statin or are unable to achieve their LDL-C goal receiving pitavastatin tablets 4 mg daily, prescribe alternative LDL-C-lowering treatment.
  • Assess LDL-C when clinically appropriate, as early as 4 weeks after initiation of pitavastatin tablets, and adjust the dosage if necessary.
5.4 Increases in Hba1c and Fasting Serum Glucose Levels (5.4 Increases in HbA1c and Fasting Serum Glucose Levels)

Increases in HbA1c and fasting serum glucose levels have been reported with statins, including pitavastatin tablets. Optimize lifestyle measures, including regular exercise, maintaining a healthy body weight, and making healthy food choices.

2.3 Recommended Dosage in Patients With Renal Impairment (2.3 Recommended Dosage in Patients with Renal Impairment)
  • The recommended starting dose for patients with moderate and severe renal impairment (estimated glomerular filtration rate 30 – 59 mL/minute/1.73 m 2 and 15 – 29 mL/minute/1.73 m 2, respectively) and patients with end-stage renal disease receiving hemodialysis is pitavastatin tablets 1 mg once daily. The maximum recommended dose for these patients is pitavastatin tablets 2 mg once daily [see Use in Specific Populations ( 8.6 )].
  • There are no dosage adjustment recommendation for patients with mild renal impairment.
13.1 Carcinogenesis, Mutagenesis, Impairment of Fertility

In a 92-week carcinogenicity study in mice given pitavastatin, at the maximum tolerated dose of 75 mg/kg/day with systemic maximum exposures (AUC) 26 times the clinical maximum exposure at 4 mg daily, there was an absence of drug-related tumors.

In a 92-week carcinogenicity study in rats given pitavastatin at 1, 5, 25 mg/kg/day by oral gavage there was a significant increase in the incidence of thyroid follicular cell tumors at 25 mg/kg/day, which represents 295 times human systemic exposures based on AUC at the 4 mg daily maximum human dose.

In a 26-week transgenic mouse (Tg rasH2) carcinogenicity study where animals were given pitavastatin at 30, 75, and 150 mg/kg/day by oral gavage, no clinically significant tumors were observed.

Pitavastatin was not mutagenic in the Ames test with Salmonella typhimurium and Escherichia coli with and without metabolic activation, the micronucleus test following a single administration in mice and multiple administrations in rats, the unscheduled DNA synthesis test in rats, and a Comet assay in mice. In the chromosomal aberration test, clastogenicity was observed at the highest doses tested, which also elicited high levels of cytotoxicity.

Pitavastatin had no adverse effects on male and female rat fertility at oral doses of 10 and 30 mg/kg/day, respectively, at systemic exposures 56- and 354-times clinical exposure at 4 mg daily based on AUC.

Pitavastatin treatment in rabbits resulted in mortality in males and females given 1 mg/kg/day (30-times clinical systemic exposure at 4 mg daily based on AUC) and higher during a fertility study. Although the cause of death was not determined, rabbits had gross signs of renal toxicity (kidneys whitened) indicative of possible ischemia. Lower doses (15-times human systemic exposure) did not show significant toxicity in adult males and females. However, decreased implantations, increased resorptions, and decreased viability of fetuses were observed.

2.2 Recommended Dosage for Adults and Pediatric Patients Aged 8 Years and Older
  • The recommended dosage range of pitavastatin tablets is 2 mg to 4 mg daily.
  • The maximum recommended dosage is pitavastatin tablets 4 mg once daily.

Advanced Ingredient Data


Raw Label Data

All Sections (JSON)