Librax®

Librax®
SPL v16
SPL
SPL Set ID f99ebf66-f207-4a97-9666-4da1d72b061c
Route
ORAL
Published
Effective Date 2023-01-13
Document Type 34391-3 HUMAN PRESCRIPTION DRUG LABEL

Drug Facts

Composition & Product

Active Ingredients
Chlordiazepoxide (5 mg) Clidinium (2.5 mg)
Inactive Ingredients
Starch, Corn Lactose, Unspecified Form Talc D&c Yellow No. 10 Fd&c Green No. 3 Titanium Dioxide Gelatin, Unspecified Methylparaben Propylparaben Potassium Sorbate

Identifiers & Packaging

Pill Appearance
Imprint: LIBRAX;ICN Shape: capsule Color: green Size: 14 mm Score: 1
Marketing Status
NDA Active Since 1966-09-01

Description

• Concomitant use of benzodiazepines and opioids may result in profound sedation, respiratory depression, coma, and death. Reserve concomitant prescribing of these drugs in patients for whom alternative treatment options are inadequate. Limit dosages and durations to the minimum required. Follow patients for signs and symptoms of respiratory depression and sedation (see WARNINGS and PRECAUTIONS and PRECAUTIONS , Drug Interactions ). • The use of benzodiazepines, including chlordiazepoxide hydrochloride, a component of Librax, exposes users to risks of abuse, misuse, and addiction, which can lead to overdose or death. Abuse and misuse of benzodiazepines commonly involve concomitant use of other medications, alcohol, and/or illicit substances, which is associated with an increased frequency of serious adverse outcomes. Before prescribing Librax and throughout treatment, assess each patient’s risk for abuse, misuse, and addiction (see WARNINGS ) . • The continued use of benzodiazepines, including Librax, may lead to clinically significant physical dependence. The risks of dependence and withdrawal increase with longer treatment duration and higher daily dose. Abrupt discontinuation or rapid dosage reduction of Librax after continued use may precipitate acute withdrawal reactions, which can be life-threatening. To reduce the risk of withdrawal reactions, use a gradual taper to discontinue Librax or reduce the dosage (see WARNINGS and DOSAGE AND ADMINISTRATION ) .

Indications and Usage

Librax is indicated to control emotional and somatic factors in gastrointestinal disorders. Librax may also be used as adjunctive therapy in the treatment of peptic ulcer and in the treatment of the irritable bowel syndrome (irritable colon, spastic colon, mucous colitis) and acute enterocolitis.

Dosage and Administration

Recommended Dosage Because of the varied individual responses to tranquilizers and anticholinergics, the optimum dosage of Librax varies with the diagnosis and response of the individual patient. The dosage, therefore, should be individualized for maximum beneficial effects. The usual maintenance dose is 1 or 2 capsules, 3 or 4 times a day administered before meals and at bedtime. Recommended Geriatric Dosage Dosage should be limited to the smallest effective amount to preclude the development of ataxia, oversedation or confusion. The initial dose should not exceed 2 Librax capsules per day, to be increased gradually as needed and tolerated. Elderly patients have an increased risk of dose-related adverse reactions (see PRECAUTIONS ). Discontinuation or Dosage Reduction of Librax To reduce the risk of withdrawal reactions, use a gradual taper to discontinue Librax or reduce the dosage. If a patient develops withdrawal reactions, consider pausing the taper or increasing the dosage to the previous tapered dosage level. Subsequently decrease the dosage more slowly (see WARNINGS and DRUG ABUSE AND DEPENDENCE ).

Contraindications

Librax is contraindicated in the presence of glaucoma (since the anticholinergic component may produce some degree of mydriasis) and in patients with prostatic hypertrophy and benign bladder neck obstruction. It is contraindicated in patients with known hypersensitivity to chlordiazepoxide hydrochloride and/or clidinium bromide.

Adverse Reactions

No side effects or manifestations not seen with either compound alone have been reported with the administration of Librax. However, since Librax contains chlordiazepoxide hydrochloride and clidinium bromide, the possibility of untoward effects which may be seen with either of these two compounds cannot be excluded. When chlordiazepoxide hydrochloride has been used alone the necessity of discontinuing therapy because of undesirable effects has been rare. Drowsiness, ataxia and confusion have been reported in some patients — particularly the elderly and debilitated. While these effects can be avoided in almost all instances by proper dosage adjustment, they have occasionally been observed at the lower dosage ranges. In a few instances syncope has been reported. Other adverse reactions reported during therapy with chlordiazepoxide hydrochloride include isolated instances of skin eruptions, edema, minor menstrual irregularities, nausea and constipation, extrapyramidal symptoms, as well as increased and decreased libido. Such side effects have been infrequent and are generally controlled with reduction of dosage. Changes in EEG patterns (low-voltage fast activity) have been observed in patients during and after chlordiazepoxide hydrochloride treatment. Blood dyscrasias, including agranulocytosis, jaundice and hepatic dysfunction have occasionally been reported during therapy with chlordiazepoxide hydrochloride. When chlordiazepoxide hydrochloride treatment is protracted, periodic blood counts and liver function tests are advisable. Adverse effects reported with use of Librax are those typical of anticholinergic agents, i.e., dryness of the mouth, blurring of vision, urinary hesitancy and constipation. Constipation has occurred most often when Librax therapy has been combined with other spasmolytic agents and/or a low residue diet. To report SUSPECTED ADVERSE REACTIONS, contact Bausch Health US, LLC at 1-800-321-4576 or FDA at 1-800-FDA-1088 or www.fda.gov/medwatch.

Drug Interactions

Opioids The concomitant use of benzodiazepines, including chlordiazepoxide hydrochloride, a component of Librax, and opioids increases the risk of respiratory depression because of actions at different receptor sites in the CNS that control respiration. Benzodiazepines interact at GABA A sites and opioids interact primarily at mu receptors. When benzodiazepines and opioids are combined, the potential for benzodiazepines to significantly worsen opioid-related respiratory depression exists. Limit dosage and duration of concomitant use of Librax and opioids, and follow patients closely for respiratory depression and sedation. Oral Anticoagulants Although clinical studies have not established a cause and effect relationship, physicians should be aware that variable effects on blood coagulation have been reported very rarely in patients receiving oral anticoagulants and chlordiazepoxide hydrochloride, a component of Librax. Pregnancy Risk Summary Chlordiazepoxide Hydrochloride Neonates born to mothers using benzodiazepines during the later stages of pregnancy have been reported to experience symptoms of sedation and/or neonatal withdrawal (see WARNINGS, Neonatal Sedation and Withdrawal Syndrome and PRECAUTIONS: Clinical Considerations ). Available data from published observational studies of pregnant women exposed to benzodiazepines do not report a clear association with benzodiazepines and major birth defects (see Data). Clidinium Bromide Over decades of use, there is an absence of published data on orally administered clidinium bromide in pregnant women, including an absence of any reports of a drug-associated risk of major birth defects, miscarriage, or other adverse maternal or fetal outcomes. The background risk of major birth defects and miscarriage for the indicated population is unknown. All pregnancies have a background risk of birth defect, loss, or other adverse outcomes. In the U.S. general population, the estimated risk of major birth defects and miscarriage in clinically recognized pregnancies is 2% to 4% and 15% to 20%, respectively. Clinical Considerations Fetal/Neonatal Adverse Reactions Benzodiazepines cross the placenta and may produce respiratory depression, hypotonia and sedation in neonates. Monitor neonates exposed to Librax, which contains a benzodiazepine (chlordiazepoxide hydrochloride), during pregnancy or labor for signs of sedation, respiratory depression, hypotonia, and feeding problems. Monitor neonates exposed to Librax during pregnancy for signs of withdrawal. Manage these neonates accordingly (see WARNINGS, Neonatal Sedation and Withdrawal Syndrome). Data Human Data Published data from observational studies on the use of benzodiazepines during pregnancy do not report a clear association with benzodiazepines and major birth defects. Although early studies reported an increased risk of congenital malformations with diazepam and chlordiazepoxide, there was no consistent pattern noted. In addition, the majority of more recent case-control and cohort studies of benzodiazepine use during pregnancy, which were adjusted for confounding exposures to alcohol. Tobacco and other medications, have not confirmed these findings. Animal Data Oral daily doses of 2.5 mg/kg chlordiazepoxide hydrochloride with 1.25 mg/kg clidinium bromide or 25 mg/kg chlordiazepoxide hydrochloride with 12.5 mg/kg clidinium bromide (0.6 and 6.1 times, respectively, the maximum recommended clinical dose for both drugs, based on body surface area) were administered to rats in a reproduction study through two successive matings. In the first mating, no significant differences were noted between the control or the treated groups, with the exception of a slight decrease in the number of animals surviving during lactation among those receiving the highest dosage. In the second mating, similar results were obtained except for a slight decrease in the number of pregnant females and in the percentage of offspring surviving until weaning. No congenital anomalies were observed in both matings in either the control or treated groups. Nursing Mothers Chlordiazepoxide Hydrochloride There are no data on the presence of chlordiazepoxide in either human or animal milk, the effects on the breastfed infant, or the effects on milk production. However, there are reports of sedation, poor feeding and poor weight gain in infants exposed to other benzodiazepines through breast milk. Reproduction studies in rats fed chlordiazepoxide hydrochloride, 10, 20 and 80 mg/kg daily (2.4, 4.8 and 19.4 times respectively, the maximum recommended clinical dose of 40 mg/day, based on body surface area), and bred through one or two matings showed no adverse effects on lactation of the dams. Clidinium Bromide There are no data on the presence of clidinium in either human or animal milk, the effects on the breastfed infant, or the effects on milk production. As with other anticholinergic drugs, clidinium may cause suppression of lactation. The developmental and health benefits of breastfeeding should be considered along with the mother’s clinical need for Librax and any potential adverse effects on the breastfed infant from Librax. Infants exposed to Librax through breast milk should be monitored for sedation, poor feeding and poor weight gain. Pediatric Use Safety and effectiveness in pediatric patients have not been established.

How Supplied

Librax is available in light green opaque capsules, each containing 5 mg chlordiazepoxide hydrochloride and 2.5 mg clidinium bromide in bottles of 100 (NDC 0187-4100-10), with “LIBRAX® ICN” imprinted on the body of the capsule. Store at 25°C (77°F); excursions permitted to 15°C to 30°C (59°F to 86°F). Keep out of reach of children. Dispense in tight, light-resistant container as defined in USP/NF. Distributed by: Bausch Health US, LLC Bridgewater, NJ 08807 USA Manufactured by: Bausch Health Companies Inc. Steinbach, MB R5G 1Z7, Canada LIBRAX is a trademark of Bausch Health Companies Inc. or its affiliates. © 2023 Bausch Health Companies Inc. or its affiliates Revised: 01/2023 9548904 2005280


Medication Information

Indications and Usage

Librax is indicated to control emotional and somatic factors in gastrointestinal disorders. Librax may also be used as adjunctive therapy in the treatment of peptic ulcer and in the treatment of the irritable bowel syndrome (irritable colon, spastic colon, mucous colitis) and acute enterocolitis.

Dosage and Administration

Recommended Dosage Because of the varied individual responses to tranquilizers and anticholinergics, the optimum dosage of Librax varies with the diagnosis and response of the individual patient. The dosage, therefore, should be individualized for maximum beneficial effects. The usual maintenance dose is 1 or 2 capsules, 3 or 4 times a day administered before meals and at bedtime. Recommended Geriatric Dosage Dosage should be limited to the smallest effective amount to preclude the development of ataxia, oversedation or confusion. The initial dose should not exceed 2 Librax capsules per day, to be increased gradually as needed and tolerated. Elderly patients have an increased risk of dose-related adverse reactions (see PRECAUTIONS ). Discontinuation or Dosage Reduction of Librax To reduce the risk of withdrawal reactions, use a gradual taper to discontinue Librax or reduce the dosage. If a patient develops withdrawal reactions, consider pausing the taper or increasing the dosage to the previous tapered dosage level. Subsequently decrease the dosage more slowly (see WARNINGS and DRUG ABUSE AND DEPENDENCE ).

Contraindications

Librax is contraindicated in the presence of glaucoma (since the anticholinergic component may produce some degree of mydriasis) and in patients with prostatic hypertrophy and benign bladder neck obstruction. It is contraindicated in patients with known hypersensitivity to chlordiazepoxide hydrochloride and/or clidinium bromide.

Adverse Reactions

No side effects or manifestations not seen with either compound alone have been reported with the administration of Librax. However, since Librax contains chlordiazepoxide hydrochloride and clidinium bromide, the possibility of untoward effects which may be seen with either of these two compounds cannot be excluded. When chlordiazepoxide hydrochloride has been used alone the necessity of discontinuing therapy because of undesirable effects has been rare. Drowsiness, ataxia and confusion have been reported in some patients — particularly the elderly and debilitated. While these effects can be avoided in almost all instances by proper dosage adjustment, they have occasionally been observed at the lower dosage ranges. In a few instances syncope has been reported. Other adverse reactions reported during therapy with chlordiazepoxide hydrochloride include isolated instances of skin eruptions, edema, minor menstrual irregularities, nausea and constipation, extrapyramidal symptoms, as well as increased and decreased libido. Such side effects have been infrequent and are generally controlled with reduction of dosage. Changes in EEG patterns (low-voltage fast activity) have been observed in patients during and after chlordiazepoxide hydrochloride treatment. Blood dyscrasias, including agranulocytosis, jaundice and hepatic dysfunction have occasionally been reported during therapy with chlordiazepoxide hydrochloride. When chlordiazepoxide hydrochloride treatment is protracted, periodic blood counts and liver function tests are advisable. Adverse effects reported with use of Librax are those typical of anticholinergic agents, i.e., dryness of the mouth, blurring of vision, urinary hesitancy and constipation. Constipation has occurred most often when Librax therapy has been combined with other spasmolytic agents and/or a low residue diet. To report SUSPECTED ADVERSE REACTIONS, contact Bausch Health US, LLC at 1-800-321-4576 or FDA at 1-800-FDA-1088 or www.fda.gov/medwatch.

Drug Interactions

Opioids

The concomitant use of benzodiazepines, including chlordiazepoxide hydrochloride, a component of Librax, and opioids increases the risk of respiratory depression because of actions at different receptor sites in the CNS that control respiration. Benzodiazepines interact at GABAA sites and opioids interact primarily at mu receptors.

When benzodiazepines and opioids are combined, the potential for benzodiazepines to significantly worsen opioid-related respiratory depression exists. Limit dosage and duration of concomitant use of Librax and opioids, and follow patients closely for respiratory depression and sedation.

Oral Anticoagulants

Although clinical studies have not established a cause and effect relationship, physicians should be aware that variable effects on blood coagulation have been reported very rarely in patients receiving oral anticoagulants and chlordiazepoxide hydrochloride, a component of Librax.

Pregnancy

Risk Summary

Chlordiazepoxide Hydrochloride

Neonates born to mothers using benzodiazepines during the later stages of pregnancy have been reported to experience symptoms of sedation and/or neonatal withdrawal (see WARNINGS, Neonatal Sedation and Withdrawal Syndrome and PRECAUTIONS: Clinical Considerations ). Available data from published observational studies of pregnant women exposed to benzodiazepines do not report a clear association with benzodiazepines and major birth defects (see Data).

Clidinium Bromide

Over decades of use, there is an absence of published data on orally administered clidinium bromide in pregnant women, including an absence of any reports of a drug-associated risk of major birth defects, miscarriage, or other adverse maternal or fetal outcomes. The background risk of major birth defects and miscarriage for the indicated population is unknown. All pregnancies have a background risk of birth defect, loss, or other adverse outcomes. In the U.S. general population, the estimated risk of major birth defects and miscarriage in clinically recognized pregnancies is 2% to 4% and 15% to 20%, respectively.

Clinical Considerations

Fetal/Neonatal Adverse Reactions

Benzodiazepines cross the placenta and may produce respiratory depression, hypotonia and sedation in neonates. Monitor neonates exposed to Librax, which contains a benzodiazepine (chlordiazepoxide hydrochloride), during pregnancy or labor for signs of sedation, respiratory depression, hypotonia, and feeding problems. Monitor neonates exposed to Librax during pregnancy for signs of withdrawal. Manage these neonates accordingly (see WARNINGS, Neonatal Sedation and Withdrawal Syndrome).

Data

Human Data

Published data from observational studies on the use of benzodiazepines during pregnancy do not report a clear association with benzodiazepines and major birth defects. Although early studies reported an increased risk of congenital malformations with diazepam and chlordiazepoxide, there was no consistent pattern noted. In addition, the majority of more recent case-control and cohort studies of benzodiazepine use during pregnancy, which were adjusted for confounding exposures to alcohol. Tobacco and other medications, have not confirmed these findings.

Animal Data

Oral daily doses of 2.5 mg/kg chlordiazepoxide hydrochloride with 1.25 mg/kg clidinium bromide or 25 mg/kg chlordiazepoxide hydrochloride with 12.5 mg/kg clidinium bromide (0.6 and 6.1 times, respectively, the maximum recommended clinical dose for both drugs, based on body surface area) were administered to rats in a reproduction study through two successive matings. In the first mating, no significant differences were noted between the control or the treated groups, with the exception of a slight decrease in the number of animals surviving during lactation among those receiving the highest dosage. In the second mating, similar results were obtained except for a slight decrease in the number of pregnant females and in the percentage of offspring surviving until weaning. No congenital anomalies were observed in both matings in either the control or treated groups.

Nursing Mothers

Chlordiazepoxide Hydrochloride

There are no data on the presence of chlordiazepoxide in either human or animal milk, the effects on the breastfed infant, or the effects on milk production. However, there are reports of sedation, poor feeding and poor weight gain in infants exposed to other benzodiazepines through breast milk. Reproduction studies in rats fed chlordiazepoxide hydrochloride, 10, 20 and 80 mg/kg daily (2.4, 4.8 and 19.4 times respectively, the maximum recommended clinical dose of 40 mg/day, based on body surface area), and bred through one or two matings showed no adverse effects on lactation of the dams.

Clidinium Bromide

There are no data on the presence of clidinium in either human or animal milk, the effects on the breastfed infant, or the effects on milk production. As with other anticholinergic drugs, clidinium may cause suppression of lactation.

The developmental and health benefits of breastfeeding should be considered along with the mother’s clinical need for Librax and any potential adverse effects on the breastfed infant from Librax. Infants exposed to Librax through breast milk should be monitored for sedation, poor feeding and poor weight gain.

Pediatric Use

Safety and effectiveness in pediatric patients have not been established.

How Supplied

Librax is available in light green opaque capsules, each containing 5 mg chlordiazepoxide hydrochloride and 2.5 mg clidinium bromide in bottles of 100 (NDC 0187-4100-10), with “LIBRAX® ICN” imprinted on the body of the capsule. Store at 25°C (77°F); excursions permitted to 15°C to 30°C (59°F to 86°F). Keep out of reach of children. Dispense in tight, light-resistant container as defined in USP/NF. Distributed by: Bausch Health US, LLC Bridgewater, NJ 08807 USA Manufactured by: Bausch Health Companies Inc. Steinbach, MB R5G 1Z7, Canada LIBRAX is a trademark of Bausch Health Companies Inc. or its affiliates. © 2023 Bausch Health Companies Inc. or its affiliates Revised: 01/2023 9548904 2005280

Description

• Concomitant use of benzodiazepines and opioids may result in profound sedation, respiratory depression, coma, and death. Reserve concomitant prescribing of these drugs in patients for whom alternative treatment options are inadequate. Limit dosages and durations to the minimum required. Follow patients for signs and symptoms of respiratory depression and sedation (see WARNINGS and PRECAUTIONS and PRECAUTIONS , Drug Interactions ). • The use of benzodiazepines, including chlordiazepoxide hydrochloride, a component of Librax, exposes users to risks of abuse, misuse, and addiction, which can lead to overdose or death. Abuse and misuse of benzodiazepines commonly involve concomitant use of other medications, alcohol, and/or illicit substances, which is associated with an increased frequency of serious adverse outcomes. Before prescribing Librax and throughout treatment, assess each patient’s risk for abuse, misuse, and addiction (see WARNINGS ) . • The continued use of benzodiazepines, including Librax, may lead to clinically significant physical dependence. The risks of dependence and withdrawal increase with longer treatment duration and higher daily dose. Abrupt discontinuation or rapid dosage reduction of Librax after continued use may precipitate acute withdrawal reactions, which can be life-threatening. To reduce the risk of withdrawal reactions, use a gradual taper to discontinue Librax or reduce the dosage (see WARNINGS and DOSAGE AND ADMINISTRATION ) .

Warnings:

Risks From Concomitant Use with Opioids

Concomitant use of benzodiazepines, including Librax, and opioids may result in profound sedation, respiratory depression, coma, and death. Because of these risks, reserve concomitant prescribing of these drugs - in patients for whom alternative treatment options are inadequate.

Observational studies have demonstrated that concomitant use of opioid analgesics and benzodiazepines increases the risk of drug-related mortality compared to use of opioids alone. If a decision is made to prescribe Librax concomitantly with opioids, prescribe the lowest effective dosages and minimum durations of concomitant use, and follow patients closely for signs and symptoms of respiratory depression and sedation. Advise both patients and caregivers about the risks of respiratory depression and sedation when Librax is used with opioids (see PRECAUTIONS ).

Abuse, Misuse, and Addiction

The use of benzodiazepines, including chlordiazepoxide hydrochloride, a component of Librax, exposes users to the risks of abuse, misuse, and addiction, which can lead to overdose or death. Abuse and misuse of benzodiazepines often (but not always) involve the use of doses greater than the maximum recommended dosage and commonly involve concomitant use of other medications, alcohol, and/or illicit substances, which is associated with an increased frequency of serious adverse outcomes, including respiratory depression, overdose, or death (see DRUG ABUSE AND DEPENDENCE ).

Before prescribing Librax and throughout treatment, assess each patient’s risk for abuse, misuse, and addiction (e.g., using a standardized screening tool). Use of Librax, particularly in patients at elevated risk, necessitates counseling about the risks and proper use of Librax along with monitoring for signs and symptoms of abuse, misuse, and addiction. Prescribe the lowest effective dosage; avoid or minimize concomitant use of CNS depressants and other substances associated with abuse, misuse, and addiction (e.g., opioid analgesics, stimulants); and advise patients on the proper disposal of unused drug. If a substance use disorder is suspected, evaluate the patient and institute (or refer them for) early treatment, as appropriate.

Dependence and Withdrawal Reactions

To reduce the risk of withdrawal reactions, use a gradual taper to discontinue Librax or reduce the dosage (a patient-specific plan should be used to taper the dosage) (see DOSAGE AND ADMINISTRATION ).

Patients at an increased risk of withdrawal adverse reactions after benzodiazepine discontinuation or rapid dosage reduction include those who take higher dosages, and those who have had longer durations of use.

Acute Withdrawal Reactions

The continued use of benzodiazepines, including Librax, may lead to clinically significant physical dependence. Abrupt discontinuation or rapid dosage reduction of Librax after continued use, or administration of flumazenil (a benzodiazepine antagonist) may precipitate acute withdrawal reactions, which can be life-threatening (e.g., seizures) (see DRUG ABUSE AND DEPENDENCE ).

Protracted Withdrawal Syndrome

In some cases, benzodiazepine users have developed a protracted withdrawal syndrome with withdrawal symptoms lasting weeks to more than 12 months (see DRUG ABUSE AND DEPENDENCE ).

Effects on the Ability to Drive or Operate Machinery

As in the case of other preparations containing CNS-acting drugs, patients receiving Librax should be cautioned about possible combined effects with opioids, alcohol and other CNS depressants. For the same reason, they should be cautioned against hazardous occupations requiring complete mental alertness, such as operating machinery or driving a motor vehicle.

Neonatal Sedation and Withdrawal Syndrome

Use of benzodiazepines late in pregnancy can result in sedation (respiratory depression, lethargy, hypotonia) and/or withdrawal symptoms (hyperreflexia, irritability, restlessness, tremors, inconsolable crying, and feeding difficulties) in the neonate (see PRECAUTIONS, Pregnancy ). Monitor neonates exposed to Librax, which contains a benzodiazepine (chlordiazepoxide hydrochloride), during pregnancy and labor for signs of sedation and monitor neonates exposed to Librax during pregnancy for signs of withdrawal; manage these neonates accordingly.

Description:

Librax capsules is a fixed-combination of chlordiazepoxide hydrochloride, a benzodiazepine, and clidinium bromide, an anticholinergic.

Each Librax capsule contains the active ingredients 5 mg chlordiazepoxide hydrochloride and 2.5 mg clidinium bromide. Each capsule also contains the inactive ingredients corn starch, lactose monohydrate, talc, methylparaben, propylparaben, potassium sorbate, D&C Yellow No. 10, FD&C Green No. 3, titanium dioxide, and gelatin.

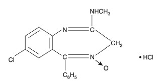
Chlordiazepoxide hydrochloride is 7-chloro-2-methylamino-5-phenyl-3H-1,4-benzodiazepine 4-oxide hydrochloride. A colorless, crystalline substance, it is soluble in water. It is unstable in solution and the powder must be protected from light. The molecular weight is 336.22. The structural formula of chlordiazepoxide hydrochloride is as follows:

Clidinium bromide is a synthetic anticholinergic agent which has been shown in experimental and clinical studies to have antispasmodic and antisecretory effects on the gastrointestinal tract.

Structurally clidinium bromide is:

Precautions:

CNS Adverse Reactions

In geriatric or debilitated patients, it is recommended that the dosage be limited to the smallest effective amount to preclude the development of ataxia, oversedation or confusion (not more than 2 Librax capsules per day initially, to be increased gradually as needed and tolerated). In general, the concomitant administration of Librax and other psychotropic agents is not recommended. If such combination therapy seems indicated, careful consideration should be given to the pharmacology of the agents to be employed — particularly when the known potentiating compounds such as the MAO inhibitors and phenothiazines are to be used. The usual precautions in treating patients with impaired renal or hepatic function should be observed.

Paradoxical reactions to chlordiazepoxide hydrochloride, e.g., excitement, stimulation and acute rage, have been reported in psychiatric patients and should be watched for during Librax therapy. The usual precautions are indicated when chlordiazepoxide hydrochloride is used in the treatment of anxiety states where there is any evidence of impending depression; it should be borne in mind that suicidal tendencies may be present and protective measures may be necessary.

Geriatric Use

Geriatric subjects may be particularly prone to experiencing drowsiness, ataxia and confusion while receiving Librax. These effects can usually be avoided with proper dosage adjustment, although they have occasionally been observed even at the lower dosage ranges. Dosing in geriatric subjects should be initiated cautiously (no more than 2 capsules per day) and increased gradually if needed and tolerated (see DOSAGE AND ADMINISTRATION ). Librax is contraindicated in the presence of glaucoma, prostatic hypertrophy and benign bladder neck obstruction (see CONTRAINDICATIONS ).

How Supplied:

Librax is available in light green opaque capsules, each containing 5 mg chlordiazepoxide hydrochloride and 2.5 mg clidinium bromide in bottles of 100 (NDC 0187-4100-10), with “LIBRAX® ICN” imprinted on the body of the capsule.

Store at 25°C (77°F); excursions permitted to 15°C to 30°C (59°F to 86°F).

Keep out of reach of children.

Dispense in tight, light-resistant container as defined in USP/NF.

Distributed by:

Bausch Health US, LLC

Bridgewater, NJ 08807 USA

Manufactured by:

Bausch Health Companies Inc.

Steinbach, MB R5G 1Z7, Canada

LIBRAX is a trademark of Bausch Health Companies Inc. or its affiliates.

© 2023 Bausch Health Companies Inc. or its affiliates

Revised: 01/2023

9548904

2005280

Medication Guide

MEDICATION GUIDE

LIBRAX® (lee braks)

(chlordiazepoxide hydrochloride and clidinium bromide) Capsules

for oral use

What is the most important information I should know about Librax?

  • Librax contains a benzodiazepine medicine. Taking Librax with opioid medicines, alcohol, or other central nervous system (CNS) depressants (including street drugs) can cause severe drowsiness, breathing problems (respiratory depression), coma, and death. Get emergency help right away if any of the following happens:
    • o
      shallow or slowed breathing
    • o
      breathing stops (which may lead to the heart stopping)
    • o
      excessive sleepiness (sedation)
  •  
    Do not drive or operate heavy machinery until you know how taking Librax with opioids affects you.
  • Risk of abuse, misuse, and addiction. There is a risk of abuse, misuse, and addiction with benzodiazepines, including Librax, which can lead to overdose or death.
    • o
      Serious side effects including coma and death have happened in people who have abused or misused benzodiazepines, including Librax. These serious side effects may also include delirium, paranoia, suicidal thoughts or actions, seizures, and difficulty breathing. Call your healthcare provider or go to the nearest hospital emergency room right away if you get any of these serious side effects.
    • o
      You can develop an addiction even if you take Librax as prescribed by your healthcare provider.
    • o
      Take Librax exactly as your healthcare provider prescribed.
    • o
      Do not share your Librax with other people.
    • o
      Keep Librax in a safe place and away from children.
  • Physical dependence and withdrawal reactions. Librax can cause physical dependence and withdrawal reactions.
    • o
      Do not suddenly stop using Librax. Stopping Librax suddenly can cause serious and life-threatening side effects, including unusual movements, responses, or expressions, seizures, sudden and severe mental or nervous system changes, depression, seeing or hearing things that others do not see or hear, an extreme increase in activity or talking, losing touch with reality, and suicidal thoughts or actions. Call your healthcare provider or go to the nearest hospital emergency room right away if you get any of these symptoms.
    • o
      Some people who suddenly stop benzodiazepines have symptoms that can last for several weeks to more than 12 months, including anxiety, trouble remembering, learning, or concentrating, depression, problems sleeping, feeling like insects are crawling under your skin, weakness, shaking, muscle twitches, burning or prickling feeling in your hands, arms, legs or feet, and ringing in your ears.
    • o
      Physical dependence is not the same as drug addiction. Your healthcare provider can tell you more about the differences between physical dependence and drug addiction.
    • o
      Do not take more Librax than prescribed or take Librax for longer than prescribed.

What is Librax?

  • Librax is a prescription medicine that is used with other therapies for the treatment of:
    • o
      stomach (peptic) ulcers
    • o
      irritable bowel syndrome (IBS)
    • o
      inflammation of the colon called acute enterocolitis
  • Librax contains the medicines chlordiazepoxide hydrochloride and clidinium bromide.
  • Librax contains chlordiazepoxide hydrochloride that can be abused or lead to dependence. Keep Librax in a safe place to prevent misuse and abuse. Selling or giving away Librax may harm others. Tell your healthcare provider if you have abused or been dependent on alcohol, prescription medicines or street drugs.
  • It is not known if Librax is safe and effective in children.

Do not take Librax if you:

  • have glaucoma
  • have an enlarged prostate
  • have a blockage of your bladder that causes problems with urination
  • are allergic to chlordiazepoxide hydrochloride or clidinium bromide

Before you take Librax, tell your healthcare provider about all of your medical conditions, including if you:

  • have eye problems
  • have problems urinating or emptying your bladder
  • have coordination problems
  • have kidney or liver problems
  • have a history of depression, mental illness, or suicidal thoughts
  • have a history of drug or alcohol abuse or addiction
  • have bleeding problems
  • are pregnant or plan to become pregnant. Librax may harm your unborn baby.
    • o
      Taking Librax late in pregnancy may cause your baby to have symptoms of sedation (breathing problems, sluggishness, low muscle tone), and/or withdrawal symptoms (jitteriness, irritability, restlessness, shaking, excessive crying, feeding problems).
    • o
      Tell your healthcare provider right away if you become pregnant or think you are pregnant during treatment with Librax.
  • are breastfeeding or plan to breastfeed. Librax may pass through your breast milk and may cause sedation, poor feeding or poor weight gain in your baby. Talk to your healthcare provider about the best way to feed your baby if you take Librax. Librax may decrease the amount of breast milk your body makes.

Tell your healthcare provider about all the medicines you take, including prescription and over-the-counter medicines, vitamins, and herbal supplements.

Taking Librax with certain other medicines can cause side effects or affect how well Librax or the other medicines work. Do not start or stop other medicines without talking to your healthcare provider.

Especially tell your healthcare provider if you:

  • take a monoamine oxidase inhibitor (MAOI) medicine or an anti-psychotic medicine called phenothiazine.

How should I take Librax?

  • Take Librax exactly as your healthcare provider tells you to take it.
  • Your healthcare provider may change your dose of Librax if needed. Do not change your dose of Librax or suddenly stop taking Librax without talking with your healthcare provider.
  • If you take too much Librax, call your healthcare provider or go to the nearest hospital emergency room right away.

What are the possible side effects of Librax?

Librax may cause serious side effects, including: See “What is the most important information I should know about Librax?”

  • Librax can make you sleepy or dizzy and can slow your thinking and motor skills.
    • o
      Do not drive, operate heavy machinery, or do other dangerous activities until you know how Librax affects you.
    • o
      Do not drink alcohol or take other drugs that may make you sleepy or dizzy while taking Librax without first talking to your healthcare provider. When taken with alcohol or drugs that cause sleepiness or dizziness, Librax may make your sleepiness or dizziness much worse.

The most common side effects of Librax include:

  • dry mouth
  • blurred vision
  • nausea
  • constipation
  • skin problems
  • swelling
  • irregular menstrual (periods) cycles
  • increase and decreased desire for sex (libido)
  • problems starting to urinate
  • drowsiness, coordination problems, and confusion may happen, especially in people who are elderly or weak

These are not all the possible side effects of Librax.

Call your doctor for medical advice about side effects. You may report side effects to FDA at 1-800-FDA-1088.

How should I store Librax?

  • Store Librax at room temperature 77°F (25°C).
  • Keep Librax and all medicines out of the reach of children.

General information about the safe and effective use of Librax.

Medicines are sometimes prescribed for purposes other than those listed in a Medication Guide. Do not take Librax for a condition for which it was not prescribed. Do not give Librax to other people, even if they have the same symptoms that you have. It may harm them. You can ask your pharmacist or healthcare provider for information about Librax that is written for health professionals.

What are the ingredients in Librax?

Active ingredients: chlordiazepoxide hydrochloride and clidinium bromide

Inactive ingredients: corn starch, lactose monohydrate, and talc. Gelatin capsule shells may contain methylparaben, propylparaben, and potassium sorbate, with the following dye systems: D&C Yellow No. 10 and FD&C Green No. 3, titanium dioxide, and gelatin.

Distributed by:

Bausch Health US, LLC

Bridgewater, NJ 08807 USA

Manufactured by:

Bausch Health Companies Inc.

Steinbach, MB R5G 1Z7, Canada

For more information, go to bauschhealth.com or contact Bausch Health US, LLC at 1-800-321-4576.

LIBRAX is a trademark of Bausch Health Companies Inc. or its affiliates.

© 2023 Bausch Health Companies Inc. or its affiliates

  •  
    This Medication Guide has been approved by the U.S. Food and Drug Administration.

    9548904

    2005280
  •  
    Revised: 01/2023
Adverse Reactions:

No side effects or manifestations not seen with either compound alone have been reported with the administration of Librax. However, since Librax contains chlordiazepoxide hydrochloride and clidinium bromide, the possibility of untoward effects which may be seen with either of these two compounds cannot be excluded.

When chlordiazepoxide hydrochloride has been used alone the necessity of discontinuing therapy because of undesirable effects has been rare. Drowsiness, ataxia and confusion have been reported in some patients — particularly the elderly and debilitated. While these effects can be avoided in almost all instances by proper dosage adjustment, they have occasionally been observed at the lower dosage ranges. In a few instances syncope has been reported.

Other adverse reactions reported during therapy with chlordiazepoxide hydrochloride include isolated instances of skin eruptions, edema, minor menstrual irregularities, nausea and constipation, extrapyramidal symptoms, as well as increased and decreased libido. Such side effects have been infrequent and are generally controlled with reduction of dosage. Changes in EEG patterns (low-voltage fast activity) have been observed in patients during and after chlordiazepoxide hydrochloride treatment.

Blood dyscrasias, including agranulocytosis, jaundice and hepatic dysfunction have occasionally been reported during therapy with chlordiazepoxide hydrochloride. When chlordiazepoxide hydrochloride treatment is protracted, periodic blood counts and liver function tests are advisable.

Adverse effects reported with use of Librax are those typical of anticholinergic agents, i.e., dryness of the mouth, blurring of vision, urinary hesitancy and constipation. Constipation has occurred most often when Librax therapy has been combined with other spasmolytic agents and/or a low residue diet.

To report SUSPECTED ADVERSE REACTIONS, contact Bausch Health US, LLC at 1-800-321-4576 or FDA at 1-800-FDA-1088 or www.fda.gov/medwatch.

Contraindications:

Librax is contraindicated in the presence of glaucoma (since the anticholinergic component may produce some degree of mydriasis) and in patients with prostatic hypertrophy and benign bladder neck obstruction. It is contraindicated in patients with known hypersensitivity to chlordiazepoxide hydrochloride and/or clidinium bromide.

Indications and Usage:

Librax is indicated to control emotional and somatic factors in gastrointestinal disorders. Librax may also be used as adjunctive therapy in the treatment of peptic ulcer and in the treatment of the irritable bowel syndrome (irritable colon, spastic colon, mucous colitis) and acute enterocolitis.

Information for Patients

Abuse, Misuse, and Addiction

Inform patients that the use of Librax, even at recommended dosages, exposes users to risks of abuse, misuse, and addiction, which can lead to overdose and death, especially when used in combination with other medications (e.g., opioid analgesics), alcohol, and/or illicit substances. Inform patients about the signs and symptoms of benzodiazepine abuse, misuse, and addiction; to seek medical help if they develop these signs and/or symptoms; and on the proper disposal of unused drug (see WARNINGS ).

Withdrawal Reactions

Inform patients that the continued use of Librax may lead to clinically significant physical dependence and that abrupt discontinuation or rapid dosage reduction of Librax may precipitate acute withdrawal reactions, which can be life-threatening. Inform patients that in some cases, patients taking benzodiazepines have developed a protracted withdrawal syndrome with withdrawal symptoms lasting weeks to more than 12 months. Instruct patients that discontinuation or dosage reduction of Librax may require a slow taper (see WARNINGS and DRUG ABUSE AND DEPENDENCE ).

Concomitant Use with Opioids and Other CNS Depressants

Inform patients and caregivers that potentially fatal additive effects may occur if Librax is used with opioids or other CNS depressants, including alcohol, and not to use these concomitantly unless supervised by a health care provider (see WARNINGS and PRECAUTIONS, Drug Interactions ).

Pregnancy

Advise pregnant females that use of Librax late in pregnancy can result in sedation (respiratory depression, lethargy, hypotonia) and /or withdrawal symptoms (hyperreflexia, irritability, restlessness,

tremors, inconsolable crying, and feeding difficulties) in newborns (see WARNINGS, Neonatal Sedation and Withdrawal Syndrome and PRECAUTIONS, Pregnancy ). Instruct patients to inform their healthcare provider if they are pregnant.

Nursing

Instruct patients to notify their healthcare provider if they are breastfeeding or intend to breastfeed (see PRECAUTIONS, Nursing Mothers).

Dosage and Administration:

Recommended Dosage

Because of the varied individual responses to tranquilizers and anticholinergics, the optimum dosage of Librax varies with the diagnosis and response of the individual patient. The dosage, therefore, should be individualized for maximum beneficial effects. The usual maintenance dose is 1 or 2 capsules, 3 or 4 times a day administered before meals and at bedtime.

Recommended Geriatric Dosage

Dosage should be limited to the smallest effective amount to preclude the development of ataxia, oversedation or confusion. The initial dose should not exceed 2 Librax capsules per day, to be increased gradually as needed and tolerated. Elderly patients have an increased risk of dose-related adverse reactions (see PRECAUTIONS ).

Discontinuation or Dosage Reduction of Librax

To reduce the risk of withdrawal reactions, use a gradual taper to discontinue Librax or reduce the dosage. If a patient develops withdrawal reactions, consider pausing the taper or increasing the dosage to the previous tapered dosage level. Subsequently decrease the dosage more slowly (see WARNINGS and DRUG ABUSE AND DEPENDENCE ).

Drug Abuse and Dependence:

Controlled Substance

Librax contains chlordiazepoxide hydrochloride, a Schedule IV controlled substance and clidinium bromide, which is not a controlled substance. Librax is exempted from Schedule IV and is not controlled under the Controlled Substances Act.

Abuse

Chlordiazepoxide hydrochloride, a component of Librax, is a CNS depressant with a potential for abuse and addiction. Abuse is the intentional, non-therapeutic use of a drug, even once, for its desirable psychological or physiological effects. Misuse is the intentional use, for therapeutic purposes, of a drug by an individual in a way other than prescribed by a health care provider or for whom it was not prescribed. Drug addiction is a cluster of behavioral, cognitive, and physiological phenomena that may include a strong desire to take the drug, difficulties in controlling drug use (e.g., continuing drug use despite harmful consequences, giving a higher priority to drug use than other activities and obligations), and possible tolerance or physical dependence. Even taking benzodiazepines as prescribed may put patients at risk for abuse and misuse of their medication. Abuse and misuse of benzodiazepines may lead to addiction.

Abuse and misuse of benzodiazepines often (but not always) involve the use of doses greater than the maximum recommended dosage and commonly involve concomitant use of other medications, alcohol, and/or illicit substances, which is associated with an increased frequency of serious adverse outcomes, including respiratory depression, overdose, or death. Benzodiazepines are often sought by individuals who abuse drugs and other substances, and by individuals with addictive disorders (see WARNINGS ).

The following adverse reactions have occurred with benzodiazepine abuse and/or misuse: abdominal pain, amnesia, anorexia, anxiety, aggression, ataxia, blurred vision, confusion, depression, disinhibition, disorientation, dizziness, euphoria, impaired concentration and memory, indigestion, irritability, muscle pain, slurred speech, tremors, and vertigo. The following severe adverse reactions have occurred with benzodiazepine abuse and/or misuse: delirium, paranoia, suicidal ideation and behavior, seizures, coma, breathing difficulty, and death. Death is more often associated with polysubstance use (especially benzodiazepines with other CNS depressants such as opioids and alcohol).

Dependence

Physical Dependence

Librax may produce physical dependence from continued therapy. Physical dependence is a state that develops as a result of physiological adaptation in response to repeated drug use, manifested by withdrawal signs and symptoms after abrupt discontinuation or a significant dose reduction of a drug. Abrupt discontinuation or rapid dosage reduction of benzodiazepines or administration of flumazenil, a benzodiazepine antagonist, may precipitate acute withdrawal reactions, including seizures, which can be life-threatening. Patients at an increased risk of withdrawal adverse reactions after benzodiazepine discontinuation or rapid dosage reduction include those who take higher dosages (i.e., higher and/or more frequent doses) and those who have had longer durations of use (see WARNINGS ).

To reduce the risk of withdrawal reactions, use a gradual taper to discontinue Librax or reduce the dosage (see WARNINGS and DOSAGE AND ADMINISTRATION ).

Acute Withdrawal Signs and Symptoms

Acute withdrawal signs and symptoms associated with benzodiazepines have included abnormal involuntary movements, anxiety, blurred vision, depersonalization, depression, derealization, dizziness, fatigue, gastrointestinal adverse reactions (e.g., nausea, vomiting, diarrhea, weight loss, decreased appetite), headache, hyperacusis, hypertension, irritability, insomnia, memory impairment, muscle pain and stiffness, panic attacks, photophobia, restlessness, tachycardia, and tremor. More severe acute withdrawal signs and symptoms, including life-threatening reactions, have included catatonia, convulsions, delirium tremens, depression, hallucinations, mania, psychosis, seizures and suicidality.

Protracted Withdrawal Syndrome

Protracted withdrawal syndrome associated with benzodiazepines is characterized by anxiety, cognitive impairment, depression, insomnia, formication, motor symptoms (e.g., weakness, tremor, muscle twitches), paresthesia, and tinnitus that persists beyond 4 to 6 weeks after initial benzodiazepine withdrawal. Protracted withdrawal symptoms may last weeks to more than 12 months. As a result, there may be difficulty in differentiating withdrawal symptoms from potential re-emergence or continuation of symptoms for which the benzodiazepine was being used.

Tolerance

Tolerance to Librax may develop from continued therapy. Tolerance is a physiological state characterized by a reduced response to a drug after repeated administration (i.e., a higher dose of a drug is required to produce the same effect that was once obtained at a lower dose). Tolerance to the therapeutic effects of Librax may develop; however, little tolerance develops to the amnestic reactions and other cognitive impairments caused by benzodiazepines.

OVERDOSAGE

Overdosage of Librax, which contains a benzodiazepine (chlordiazepoxide hydrochloride) and an anticholinergic (clidinium bromide) may manifest signs and symptoms related to either of its components, although some effects such as altered levels of consciousness may be synergistic. Overdosage of benzodiazepines, such as chlordiazepoxide hydrochloride, is characterized by central nervous system depression ranging from drowsiness to coma. In mild to moderate cases, symptoms can include drowsiness, confusion, dysarthria, lethargy, hypnotic state, diminished reflexes, ataxia, and hypotonia. Rarely, paradoxical or disinhibitory reactions (including agitation, irritability, impulsivity, violent behavior, confusion, restlessness, excitement, and talkativeness) may occur. In severe overdosage cases, patients may develop respiratory depression and coma.

Signs and symptoms of anticholinergic overdosage are related to excessive anti-muscarinic anticholinergic activity. Peripheral signs and symptoms may include dry mucous membranes and skin, flushing, tachycardia, hypertension, ileus, urinary retention, and mydriasis. Garbled speech is often pathognomonic. Central signs and symptoms may include agitation and delirium, seizures, and hyperthermia. Benzodiazepines are considered a first-line treatment for anticholinergic toxicity acting to treat mild to moderate agitation and prevent seizures.

Overdosage of benzodiazepines in combination with other CNS depressants (including alcohol and opioids) may be fatal (see WARNINGS, Dependence and Withdrawal Reactions ). Markedly abnormal (lowered or elevated) blood pressure, heart rate, or respiratory rate raise the concern that additional drugs and/or alcohol are involved in the overdosage. Anticholinergic drugs usually increase heart rate and blood pressure. In managing benzodiazepine overdosage, employ general supportive measures, including intravenous fluids, and airway management.

Flumazenil, a specific benzodiazepine receptor antagonist is indicated for the complete or partial reversal of the sedative effects of benzodiazepines in the management of benzodiazepine overdosage. Use of flumazenil may increase the risk of seizures in mixed overdosage with drugs that may precipitate seizures, including anticholinergic medications. Benzodiazepines are used to treat agitated delirium from anticholinergic toxicity. Therefore flumazenil administration may worsen the anticholinergic delirium and should generally be avoided.

Anticholinesterase inhibitors may reverse severe agitated delirium that is not controlled by benzodiazepines. They may also improve the airway and breathing in CNS depressed patients. Caution is warranted especially in mixed drug overdoses.

Consider contacting a poison center (1-800-222-1222) or a medical toxicologist for overdosage management recommendations.

Animal Pharmacology And/or Animal Toxicology:

Effects on Reproduction

Reproduction studies in rats fed chlordiazepoxide hydrochloride, 10, 20 and 80 mg/kg daily (2.4, 4.8 and 19.4 times, respectively, the maximum recommended clinical dose of 40 mg/day, based on body surface area), and bred through one or two matings showed no congenital anomalies, nor were there adverse effects on growth of the newborn. However, in another study at 100 mg/kg daily there was noted a significant decrease in the fertilization rate and a marked decrease in the viability and body weight of offspring which may be attributable to sedative activity, thus resulting in lack of interest in mating and lessened maternal nursing and care of the young. One neonate in each of the first and second matings in the rat reproduction study at the 100 mg/kg dose (24.2 times the maximum recommended human dose of 40 mg/day, based on body surface area) exhibited major skeletal defects.

Two series of reproduction experiments with clidinium bromide were carried out in rats, employing dosages of 2.5 and 10 mg/kg daily (1.2 and 4.9 times, respectively, the maximum recommended clinical dose of 20 mg/day, based on body surface area) in each experiment. In the first experiment, clidinium bromide was administered for a 9-week interval prior to mating; no untoward effect on fertilization or gestation was noted. The offspring were taken by caesarean section and did not show a significant incidence of congenital anomalies when compared to control animals. In the second experiment, adult animals were given clidinium bromide for 10 days prior to and through two mating cycles. No significant effects were observed on fertility, gestation, viability of offspring or lactation, as compared to control animals, nor was there a significant incidence of congenital anomalies in the offspring derived from these experiments.

A reproduction study was carried out in rats through two successive matings with administration of oral daily doses of 2.5 mg/kg chlordiazepoxide hydrochloride and 1.25 mg/kg clidinium bromide (0.6 times the maximum recommended clinical dose for both drugs, based on body surface area) or 25 mg/kg chlordiazepoxide hydrochloride and 12.5 mg/kg clidinium bromide (6.1 times the maximum recommended clinical dose for both drugs, based on body surface area). In the first mating, no significant differences were noted between the control or the treated groups, with the exception of a slight decrease in the number of animals surviving during lactation among those receiving the high dosage. In the second mating, similar results were obtained except for a slight decrease in the number of pregnant females and in the percentage of offspring surviving until weaning. No congenital anomalies were observed in both matings in either the control or treated groups.

Package/label Principal Display Panel Label

NDC 0187-4100-10

Rx only

Librax®

(chlordiazepoxide hydrochloride

and clindinium bromide)

Capsules

5 mg

and

2.5 mg

100 Capsules

Each capsule contains 5 mg chlordiazepoxide hydrochloride

and 2.5 mg clindinium bromide.

MEDICATION GUIDE TO BE DISPENSED

WITH EACH PRESCRIPTION

BAUSCH Health

9581702

20003145

Warning: Risks From Concomitant Use With Opioids; Abuse, Misuse, and Addiction; and Dependence and Withdrawal Reactions
  • Concomitant use of benzodiazepines and opioids may result in profound sedation, respiratory depression, coma, and death. Reserve concomitant prescribing of these drugs in patients for whom alternative treatment options are inadequate. Limit dosages and durations to the minimum required. Follow patients for signs and symptoms of respiratory depression and sedation (see WARNINGS and PRECAUTIONS and PRECAUTIONS, Drug Interactions).
  • The use of benzodiazepines, including chlordiazepoxide hydrochloride, a component of Librax, exposes users to risks of abuse, misuse, and addiction, which can lead to overdose or death. Abuse and misuse of benzodiazepines commonly involve concomitant use of other medications, alcohol, and/or illicit substances, which is associated with an increased frequency of serious adverse outcomes. Before prescribing Librax and throughout treatment, assess each patient’s risk for abuse, misuse, and addiction (see WARNINGS).
  • The continued use of benzodiazepines, including Librax, may lead to clinically significant physical dependence. The risks of dependence and withdrawal increase with longer treatment duration and higher daily dose. Abrupt discontinuation or rapid dosage reduction of Librax after continued use may precipitate acute withdrawal reactions, which can be life-threatening. To reduce the risk of withdrawal reactions, use a gradual taper to discontinue Librax or reduce the dosage (see WARNINGS and DOSAGE AND ADMINISTRATION).

Structured Label Content

Warnings: (WARNINGS:)

Risks From Concomitant Use with Opioids

Concomitant use of benzodiazepines, including Librax, and opioids may result in profound sedation, respiratory depression, coma, and death. Because of these risks, reserve concomitant prescribing of these drugs - in patients for whom alternative treatment options are inadequate.

Observational studies have demonstrated that concomitant use of opioid analgesics and benzodiazepines increases the risk of drug-related mortality compared to use of opioids alone. If a decision is made to prescribe Librax concomitantly with opioids, prescribe the lowest effective dosages and minimum durations of concomitant use, and follow patients closely for signs and symptoms of respiratory depression and sedation. Advise both patients and caregivers about the risks of respiratory depression and sedation when Librax is used with opioids (see PRECAUTIONS ).

Abuse, Misuse, and Addiction

The use of benzodiazepines, including chlordiazepoxide hydrochloride, a component of Librax, exposes users to the risks of abuse, misuse, and addiction, which can lead to overdose or death. Abuse and misuse of benzodiazepines often (but not always) involve the use of doses greater than the maximum recommended dosage and commonly involve concomitant use of other medications, alcohol, and/or illicit substances, which is associated with an increased frequency of serious adverse outcomes, including respiratory depression, overdose, or death (see DRUG ABUSE AND DEPENDENCE ).

Before prescribing Librax and throughout treatment, assess each patient’s risk for abuse, misuse, and addiction (e.g., using a standardized screening tool). Use of Librax, particularly in patients at elevated risk, necessitates counseling about the risks and proper use of Librax along with monitoring for signs and symptoms of abuse, misuse, and addiction. Prescribe the lowest effective dosage; avoid or minimize concomitant use of CNS depressants and other substances associated with abuse, misuse, and addiction (e.g., opioid analgesics, stimulants); and advise patients on the proper disposal of unused drug. If a substance use disorder is suspected, evaluate the patient and institute (or refer them for) early treatment, as appropriate.

Dependence and Withdrawal Reactions

To reduce the risk of withdrawal reactions, use a gradual taper to discontinue Librax or reduce the dosage (a patient-specific plan should be used to taper the dosage) (see DOSAGE AND ADMINISTRATION ).

Patients at an increased risk of withdrawal adverse reactions after benzodiazepine discontinuation or rapid dosage reduction include those who take higher dosages, and those who have had longer durations of use.

Acute Withdrawal Reactions

The continued use of benzodiazepines, including Librax, may lead to clinically significant physical dependence. Abrupt discontinuation or rapid dosage reduction of Librax after continued use, or administration of flumazenil (a benzodiazepine antagonist) may precipitate acute withdrawal reactions, which can be life-threatening (e.g., seizures) (see DRUG ABUSE AND DEPENDENCE ).

Protracted Withdrawal Syndrome

In some cases, benzodiazepine users have developed a protracted withdrawal syndrome with withdrawal symptoms lasting weeks to more than 12 months (see DRUG ABUSE AND DEPENDENCE ).

Effects on the Ability to Drive or Operate Machinery

As in the case of other preparations containing CNS-acting drugs, patients receiving Librax should be cautioned about possible combined effects with opioids, alcohol and other CNS depressants. For the same reason, they should be cautioned against hazardous occupations requiring complete mental alertness, such as operating machinery or driving a motor vehicle.

Neonatal Sedation and Withdrawal Syndrome

Use of benzodiazepines late in pregnancy can result in sedation (respiratory depression, lethargy, hypotonia) and/or withdrawal symptoms (hyperreflexia, irritability, restlessness, tremors, inconsolable crying, and feeding difficulties) in the neonate (see PRECAUTIONS, Pregnancy ). Monitor neonates exposed to Librax, which contains a benzodiazepine (chlordiazepoxide hydrochloride), during pregnancy and labor for signs of sedation and monitor neonates exposed to Librax during pregnancy for signs of withdrawal; manage these neonates accordingly.

Description: (DESCRIPTION:)

Librax capsules is a fixed-combination of chlordiazepoxide hydrochloride, a benzodiazepine, and clidinium bromide, an anticholinergic.

Each Librax capsule contains the active ingredients 5 mg chlordiazepoxide hydrochloride and 2.5 mg clidinium bromide. Each capsule also contains the inactive ingredients corn starch, lactose monohydrate, talc, methylparaben, propylparaben, potassium sorbate, D&C Yellow No. 10, FD&C Green No. 3, titanium dioxide, and gelatin.

Chlordiazepoxide hydrochloride is 7-chloro-2-methylamino-5-phenyl-3H-1,4-benzodiazepine 4-oxide hydrochloride. A colorless, crystalline substance, it is soluble in water. It is unstable in solution and the powder must be protected from light. The molecular weight is 336.22. The structural formula of chlordiazepoxide hydrochloride is as follows:

Clidinium bromide is a synthetic anticholinergic agent which has been shown in experimental and clinical studies to have antispasmodic and antisecretory effects on the gastrointestinal tract.

Structurally clidinium bromide is:

Precautions: (PRECAUTIONS:)

CNS Adverse Reactions

In geriatric or debilitated patients, it is recommended that the dosage be limited to the smallest effective amount to preclude the development of ataxia, oversedation or confusion (not more than 2 Librax capsules per day initially, to be increased gradually as needed and tolerated). In general, the concomitant administration of Librax and other psychotropic agents is not recommended. If such combination therapy seems indicated, careful consideration should be given to the pharmacology of the agents to be employed — particularly when the known potentiating compounds such as the MAO inhibitors and phenothiazines are to be used. The usual precautions in treating patients with impaired renal or hepatic function should be observed.

Paradoxical reactions to chlordiazepoxide hydrochloride, e.g., excitement, stimulation and acute rage, have been reported in psychiatric patients and should be watched for during Librax therapy. The usual precautions are indicated when chlordiazepoxide hydrochloride is used in the treatment of anxiety states where there is any evidence of impending depression; it should be borne in mind that suicidal tendencies may be present and protective measures may be necessary.

Geriatric Use

Geriatric subjects may be particularly prone to experiencing drowsiness, ataxia and confusion while receiving Librax. These effects can usually be avoided with proper dosage adjustment, although they have occasionally been observed even at the lower dosage ranges. Dosing in geriatric subjects should be initiated cautiously (no more than 2 capsules per day) and increased gradually if needed and tolerated (see DOSAGE AND ADMINISTRATION ). Librax is contraindicated in the presence of glaucoma, prostatic hypertrophy and benign bladder neck obstruction (see CONTRAINDICATIONS ).

How Supplied: (HOW SUPPLIED:)

Librax is available in light green opaque capsules, each containing 5 mg chlordiazepoxide hydrochloride and 2.5 mg clidinium bromide in bottles of 100 (NDC 0187-4100-10), with “LIBRAX® ICN” imprinted on the body of the capsule.

Store at 25°C (77°F); excursions permitted to 15°C to 30°C (59°F to 86°F).

Keep out of reach of children.

Dispense in tight, light-resistant container as defined in USP/NF.

Distributed by:

Bausch Health US, LLC

Bridgewater, NJ 08807 USA

Manufactured by:

Bausch Health Companies Inc.

Steinbach, MB R5G 1Z7, Canada

LIBRAX is a trademark of Bausch Health Companies Inc. or its affiliates.

© 2023 Bausch Health Companies Inc. or its affiliates

Revised: 01/2023

9548904

2005280

Medication Guide

MEDICATION GUIDE

LIBRAX® (lee braks)

(chlordiazepoxide hydrochloride and clidinium bromide) Capsules

for oral use

What is the most important information I should know about Librax?

  • Librax contains a benzodiazepine medicine. Taking Librax with opioid medicines, alcohol, or other central nervous system (CNS) depressants (including street drugs) can cause severe drowsiness, breathing problems (respiratory depression), coma, and death. Get emergency help right away if any of the following happens:
    • o
      shallow or slowed breathing
    • o
      breathing stops (which may lead to the heart stopping)
    • o
      excessive sleepiness (sedation)
  •  
    Do not drive or operate heavy machinery until you know how taking Librax with opioids affects you.
  • Risk of abuse, misuse, and addiction. There is a risk of abuse, misuse, and addiction with benzodiazepines, including Librax, which can lead to overdose or death.
    • o
      Serious side effects including coma and death have happened in people who have abused or misused benzodiazepines, including Librax. These serious side effects may also include delirium, paranoia, suicidal thoughts or actions, seizures, and difficulty breathing. Call your healthcare provider or go to the nearest hospital emergency room right away if you get any of these serious side effects.
    • o
      You can develop an addiction even if you take Librax as prescribed by your healthcare provider.
    • o
      Take Librax exactly as your healthcare provider prescribed.
    • o
      Do not share your Librax with other people.
    • o
      Keep Librax in a safe place and away from children.
  • Physical dependence and withdrawal reactions. Librax can cause physical dependence and withdrawal reactions.
    • o
      Do not suddenly stop using Librax. Stopping Librax suddenly can cause serious and life-threatening side effects, including unusual movements, responses, or expressions, seizures, sudden and severe mental or nervous system changes, depression, seeing or hearing things that others do not see or hear, an extreme increase in activity or talking, losing touch with reality, and suicidal thoughts or actions. Call your healthcare provider or go to the nearest hospital emergency room right away if you get any of these symptoms.
    • o
      Some people who suddenly stop benzodiazepines have symptoms that can last for several weeks to more than 12 months, including anxiety, trouble remembering, learning, or concentrating, depression, problems sleeping, feeling like insects are crawling under your skin, weakness, shaking, muscle twitches, burning or prickling feeling in your hands, arms, legs or feet, and ringing in your ears.
    • o
      Physical dependence is not the same as drug addiction. Your healthcare provider can tell you more about the differences between physical dependence and drug addiction.
    • o
      Do not take more Librax than prescribed or take Librax for longer than prescribed.

What is Librax?

  • Librax is a prescription medicine that is used with other therapies for the treatment of:
    • o
      stomach (peptic) ulcers
    • o
      irritable bowel syndrome (IBS)
    • o
      inflammation of the colon called acute enterocolitis
  • Librax contains the medicines chlordiazepoxide hydrochloride and clidinium bromide.
  • Librax contains chlordiazepoxide hydrochloride that can be abused or lead to dependence. Keep Librax in a safe place to prevent misuse and abuse. Selling or giving away Librax may harm others. Tell your healthcare provider if you have abused or been dependent on alcohol, prescription medicines or street drugs.
  • It is not known if Librax is safe and effective in children.

Do not take Librax if you:

  • have glaucoma
  • have an enlarged prostate
  • have a blockage of your bladder that causes problems with urination
  • are allergic to chlordiazepoxide hydrochloride or clidinium bromide

Before you take Librax, tell your healthcare provider about all of your medical conditions, including if you:

  • have eye problems
  • have problems urinating or emptying your bladder
  • have coordination problems
  • have kidney or liver problems
  • have a history of depression, mental illness, or suicidal thoughts
  • have a history of drug or alcohol abuse or addiction
  • have bleeding problems
  • are pregnant or plan to become pregnant. Librax may harm your unborn baby.
    • o
      Taking Librax late in pregnancy may cause your baby to have symptoms of sedation (breathing problems, sluggishness, low muscle tone), and/or withdrawal symptoms (jitteriness, irritability, restlessness, shaking, excessive crying, feeding problems).
    • o
      Tell your healthcare provider right away if you become pregnant or think you are pregnant during treatment with Librax.
  • are breastfeeding or plan to breastfeed. Librax may pass through your breast milk and may cause sedation, poor feeding or poor weight gain in your baby. Talk to your healthcare provider about the best way to feed your baby if you take Librax. Librax may decrease the amount of breast milk your body makes.

Tell your healthcare provider about all the medicines you take, including prescription and over-the-counter medicines, vitamins, and herbal supplements.

Taking Librax with certain other medicines can cause side effects or affect how well Librax or the other medicines work. Do not start or stop other medicines without talking to your healthcare provider.

Especially tell your healthcare provider if you:

  • take a monoamine oxidase inhibitor (MAOI) medicine or an anti-psychotic medicine called phenothiazine.

How should I take Librax?

  • Take Librax exactly as your healthcare provider tells you to take it.
  • Your healthcare provider may change your dose of Librax if needed. Do not change your dose of Librax or suddenly stop taking Librax without talking with your healthcare provider.
  • If you take too much Librax, call your healthcare provider or go to the nearest hospital emergency room right away.

What are the possible side effects of Librax?

Librax may cause serious side effects, including: See “What is the most important information I should know about Librax?”

  • Librax can make you sleepy or dizzy and can slow your thinking and motor skills.
    • o
      Do not drive, operate heavy machinery, or do other dangerous activities until you know how Librax affects you.
    • o
      Do not drink alcohol or take other drugs that may make you sleepy or dizzy while taking Librax without first talking to your healthcare provider. When taken with alcohol or drugs that cause sleepiness or dizziness, Librax may make your sleepiness or dizziness much worse.

The most common side effects of Librax include:

  • dry mouth
  • blurred vision
  • nausea
  • constipation
  • skin problems
  • swelling
  • irregular menstrual (periods) cycles
  • increase and decreased desire for sex (libido)
  • problems starting to urinate
  • drowsiness, coordination problems, and confusion may happen, especially in people who are elderly or weak

These are not all the possible side effects of Librax.

Call your doctor for medical advice about side effects. You may report side effects to FDA at 1-800-FDA-1088.

How should I store Librax?

  • Store Librax at room temperature 77°F (25°C).
  • Keep Librax and all medicines out of the reach of children.

General information about the safe and effective use of Librax.

Medicines are sometimes prescribed for purposes other than those listed in a Medication Guide. Do not take Librax for a condition for which it was not prescribed. Do not give Librax to other people, even if they have the same symptoms that you have. It may harm them. You can ask your pharmacist or healthcare provider for information about Librax that is written for health professionals.

What are the ingredients in Librax?

Active ingredients: chlordiazepoxide hydrochloride and clidinium bromide

Inactive ingredients: corn starch, lactose monohydrate, and talc. Gelatin capsule shells may contain methylparaben, propylparaben, and potassium sorbate, with the following dye systems: D&C Yellow No. 10 and FD&C Green No. 3, titanium dioxide, and gelatin.

Distributed by:

Bausch Health US, LLC

Bridgewater, NJ 08807 USA

Manufactured by:

Bausch Health Companies Inc.

Steinbach, MB R5G 1Z7, Canada

For more information, go to bauschhealth.com or contact Bausch Health US, LLC at 1-800-321-4576.

LIBRAX is a trademark of Bausch Health Companies Inc. or its affiliates.

© 2023 Bausch Health Companies Inc. or its affiliates

  •  
    This Medication Guide has been approved by the U.S. Food and Drug Administration.

    9548904

    2005280
  •  
    Revised: 01/2023
Drug Interactions

Opioids

The concomitant use of benzodiazepines, including chlordiazepoxide hydrochloride, a component of Librax, and opioids increases the risk of respiratory depression because of actions at different receptor sites in the CNS that control respiration. Benzodiazepines interact at GABAA sites and opioids interact primarily at mu receptors.

When benzodiazepines and opioids are combined, the potential for benzodiazepines to significantly worsen opioid-related respiratory depression exists. Limit dosage and duration of concomitant use of Librax and opioids, and follow patients closely for respiratory depression and sedation.

Oral Anticoagulants

Although clinical studies have not established a cause and effect relationship, physicians should be aware that variable effects on blood coagulation have been reported very rarely in patients receiving oral anticoagulants and chlordiazepoxide hydrochloride, a component of Librax.

Pregnancy

Risk Summary

Chlordiazepoxide Hydrochloride

Neonates born to mothers using benzodiazepines during the later stages of pregnancy have been reported to experience symptoms of sedation and/or neonatal withdrawal (see WARNINGS, Neonatal Sedation and Withdrawal Syndrome and PRECAUTIONS: Clinical Considerations ). Available data from published observational studies of pregnant women exposed to benzodiazepines do not report a clear association with benzodiazepines and major birth defects (see Data).

Clidinium Bromide

Over decades of use, there is an absence of published data on orally administered clidinium bromide in pregnant women, including an absence of any reports of a drug-associated risk of major birth defects, miscarriage, or other adverse maternal or fetal outcomes. The background risk of major birth defects and miscarriage for the indicated population is unknown. All pregnancies have a background risk of birth defect, loss, or other adverse outcomes. In the U.S. general population, the estimated risk of major birth defects and miscarriage in clinically recognized pregnancies is 2% to 4% and 15% to 20%, respectively.

Clinical Considerations

Fetal/Neonatal Adverse Reactions

Benzodiazepines cross the placenta and may produce respiratory depression, hypotonia and sedation in neonates. Monitor neonates exposed to Librax, which contains a benzodiazepine (chlordiazepoxide hydrochloride), during pregnancy or labor for signs of sedation, respiratory depression, hypotonia, and feeding problems. Monitor neonates exposed to Librax during pregnancy for signs of withdrawal. Manage these neonates accordingly (see WARNINGS, Neonatal Sedation and Withdrawal Syndrome).

Data

Human Data

Published data from observational studies on the use of benzodiazepines during pregnancy do not report a clear association with benzodiazepines and major birth defects. Although early studies reported an increased risk of congenital malformations with diazepam and chlordiazepoxide, there was no consistent pattern noted. In addition, the majority of more recent case-control and cohort studies of benzodiazepine use during pregnancy, which were adjusted for confounding exposures to alcohol. Tobacco and other medications, have not confirmed these findings.

Animal Data

Oral daily doses of 2.5 mg/kg chlordiazepoxide hydrochloride with 1.25 mg/kg clidinium bromide or 25 mg/kg chlordiazepoxide hydrochloride with 12.5 mg/kg clidinium bromide (0.6 and 6.1 times, respectively, the maximum recommended clinical dose for both drugs, based on body surface area) were administered to rats in a reproduction study through two successive matings. In the first mating, no significant differences were noted between the control or the treated groups, with the exception of a slight decrease in the number of animals surviving during lactation among those receiving the highest dosage. In the second mating, similar results were obtained except for a slight decrease in the number of pregnant females and in the percentage of offspring surviving until weaning. No congenital anomalies were observed in both matings in either the control or treated groups.

Nursing Mothers

Chlordiazepoxide Hydrochloride

There are no data on the presence of chlordiazepoxide in either human or animal milk, the effects on the breastfed infant, or the effects on milk production. However, there are reports of sedation, poor feeding and poor weight gain in infants exposed to other benzodiazepines through breast milk. Reproduction studies in rats fed chlordiazepoxide hydrochloride, 10, 20 and 80 mg/kg daily (2.4, 4.8 and 19.4 times respectively, the maximum recommended clinical dose of 40 mg/day, based on body surface area), and bred through one or two matings showed no adverse effects on lactation of the dams.

Clidinium Bromide

There are no data on the presence of clidinium in either human or animal milk, the effects on the breastfed infant, or the effects on milk production. As with other anticholinergic drugs, clidinium may cause suppression of lactation.

The developmental and health benefits of breastfeeding should be considered along with the mother’s clinical need for Librax and any potential adverse effects on the breastfed infant from Librax. Infants exposed to Librax through breast milk should be monitored for sedation, poor feeding and poor weight gain.

Pediatric Use

Safety and effectiveness in pediatric patients have not been established.

Adverse Reactions: (ADVERSE REACTIONS:)

No side effects or manifestations not seen with either compound alone have been reported with the administration of Librax. However, since Librax contains chlordiazepoxide hydrochloride and clidinium bromide, the possibility of untoward effects which may be seen with either of these two compounds cannot be excluded.

When chlordiazepoxide hydrochloride has been used alone the necessity of discontinuing therapy because of undesirable effects has been rare. Drowsiness, ataxia and confusion have been reported in some patients — particularly the elderly and debilitated. While these effects can be avoided in almost all instances by proper dosage adjustment, they have occasionally been observed at the lower dosage ranges. In a few instances syncope has been reported.

Other adverse reactions reported during therapy with chlordiazepoxide hydrochloride include isolated instances of skin eruptions, edema, minor menstrual irregularities, nausea and constipation, extrapyramidal symptoms, as well as increased and decreased libido. Such side effects have been infrequent and are generally controlled with reduction of dosage. Changes in EEG patterns (low-voltage fast activity) have been observed in patients during and after chlordiazepoxide hydrochloride treatment.

Blood dyscrasias, including agranulocytosis, jaundice and hepatic dysfunction have occasionally been reported during therapy with chlordiazepoxide hydrochloride. When chlordiazepoxide hydrochloride treatment is protracted, periodic blood counts and liver function tests are advisable.

Adverse effects reported with use of Librax are those typical of anticholinergic agents, i.e., dryness of the mouth, blurring of vision, urinary hesitancy and constipation. Constipation has occurred most often when Librax therapy has been combined with other spasmolytic agents and/or a low residue diet.

To report SUSPECTED ADVERSE REACTIONS, contact Bausch Health US, LLC at 1-800-321-4576 or FDA at 1-800-FDA-1088 or www.fda.gov/medwatch.

Contraindications: (CONTRAINDICATIONS:)

Librax is contraindicated in the presence of glaucoma (since the anticholinergic component may produce some degree of mydriasis) and in patients with prostatic hypertrophy and benign bladder neck obstruction. It is contraindicated in patients with known hypersensitivity to chlordiazepoxide hydrochloride and/or clidinium bromide.

Indications and Usage: (INDICATIONS AND USAGE:)

Librax is indicated to control emotional and somatic factors in gastrointestinal disorders. Librax may also be used as adjunctive therapy in the treatment of peptic ulcer and in the treatment of the irritable bowel syndrome (irritable colon, spastic colon, mucous colitis) and acute enterocolitis.

Information for Patients

Abuse, Misuse, and Addiction

Inform patients that the use of Librax, even at recommended dosages, exposes users to risks of abuse, misuse, and addiction, which can lead to overdose and death, especially when used in combination with other medications (e.g., opioid analgesics), alcohol, and/or illicit substances. Inform patients about the signs and symptoms of benzodiazepine abuse, misuse, and addiction; to seek medical help if they develop these signs and/or symptoms; and on the proper disposal of unused drug (see WARNINGS ).

Withdrawal Reactions

Inform patients that the continued use of Librax may lead to clinically significant physical dependence and that abrupt discontinuation or rapid dosage reduction of Librax may precipitate acute withdrawal reactions, which can be life-threatening. Inform patients that in some cases, patients taking benzodiazepines have developed a protracted withdrawal syndrome with withdrawal symptoms lasting weeks to more than 12 months. Instruct patients that discontinuation or dosage reduction of Librax may require a slow taper (see WARNINGS and DRUG ABUSE AND DEPENDENCE ).

Concomitant Use with Opioids and Other CNS Depressants

Inform patients and caregivers that potentially fatal additive effects may occur if Librax is used with opioids or other CNS depressants, including alcohol, and not to use these concomitantly unless supervised by a health care provider (see WARNINGS and PRECAUTIONS, Drug Interactions ).

Pregnancy

Advise pregnant females that use of Librax late in pregnancy can result in sedation (respiratory depression, lethargy, hypotonia) and /or withdrawal symptoms (hyperreflexia, irritability, restlessness,

tremors, inconsolable crying, and feeding difficulties) in newborns (see WARNINGS, Neonatal Sedation and Withdrawal Syndrome and PRECAUTIONS, Pregnancy ). Instruct patients to inform their healthcare provider if they are pregnant.

Nursing

Instruct patients to notify their healthcare provider if they are breastfeeding or intend to breastfeed (see PRECAUTIONS, Nursing Mothers).

Dosage and Administration: (DOSAGE AND ADMINISTRATION:)

Recommended Dosage

Because of the varied individual responses to tranquilizers and anticholinergics, the optimum dosage of Librax varies with the diagnosis and response of the individual patient. The dosage, therefore, should be individualized for maximum beneficial effects. The usual maintenance dose is 1 or 2 capsules, 3 or 4 times a day administered before meals and at bedtime.

Recommended Geriatric Dosage

Dosage should be limited to the smallest effective amount to preclude the development of ataxia, oversedation or confusion. The initial dose should not exceed 2 Librax capsules per day, to be increased gradually as needed and tolerated. Elderly patients have an increased risk of dose-related adverse reactions (see PRECAUTIONS ).

Discontinuation or Dosage Reduction of Librax

To reduce the risk of withdrawal reactions, use a gradual taper to discontinue Librax or reduce the dosage. If a patient develops withdrawal reactions, consider pausing the taper or increasing the dosage to the previous tapered dosage level. Subsequently decrease the dosage more slowly (see WARNINGS and DRUG ABUSE AND DEPENDENCE ).

Drug Abuse and Dependence: (DRUG ABUSE AND DEPENDENCE:)

Controlled Substance

Librax contains chlordiazepoxide hydrochloride, a Schedule IV controlled substance and clidinium bromide, which is not a controlled substance. Librax is exempted from Schedule IV and is not controlled under the Controlled Substances Act.

Abuse

Chlordiazepoxide hydrochloride, a component of Librax, is a CNS depressant with a potential for abuse and addiction. Abuse is the intentional, non-therapeutic use of a drug, even once, for its desirable psychological or physiological effects. Misuse is the intentional use, for therapeutic purposes, of a drug by an individual in a way other than prescribed by a health care provider or for whom it was not prescribed. Drug addiction is a cluster of behavioral, cognitive, and physiological phenomena that may include a strong desire to take the drug, difficulties in controlling drug use (e.g., continuing drug use despite harmful consequences, giving a higher priority to drug use than other activities and obligations), and possible tolerance or physical dependence. Even taking benzodiazepines as prescribed may put patients at risk for abuse and misuse of their medication. Abuse and misuse of benzodiazepines may lead to addiction.

Abuse and misuse of benzodiazepines often (but not always) involve the use of doses greater than the maximum recommended dosage and commonly involve concomitant use of other medications, alcohol, and/or illicit substances, which is associated with an increased frequency of serious adverse outcomes, including respiratory depression, overdose, or death. Benzodiazepines are often sought by individuals who abuse drugs and other substances, and by individuals with addictive disorders (see WARNINGS ).

The following adverse reactions have occurred with benzodiazepine abuse and/or misuse: abdominal pain, amnesia, anorexia, anxiety, aggression, ataxia, blurred vision, confusion, depression, disinhibition, disorientation, dizziness, euphoria, impaired concentration and memory, indigestion, irritability, muscle pain, slurred speech, tremors, and vertigo. The following severe adverse reactions have occurred with benzodiazepine abuse and/or misuse: delirium, paranoia, suicidal ideation and behavior, seizures, coma, breathing difficulty, and death. Death is more often associated with polysubstance use (especially benzodiazepines with other CNS depressants such as opioids and alcohol).

Dependence

Physical Dependence

Librax may produce physical dependence from continued therapy. Physical dependence is a state that develops as a result of physiological adaptation in response to repeated drug use, manifested by withdrawal signs and symptoms after abrupt discontinuation or a significant dose reduction of a drug. Abrupt discontinuation or rapid dosage reduction of benzodiazepines or administration of flumazenil, a benzodiazepine antagonist, may precipitate acute withdrawal reactions, including seizures, which can be life-threatening. Patients at an increased risk of withdrawal adverse reactions after benzodiazepine discontinuation or rapid dosage reduction include those who take higher dosages (i.e., higher and/or more frequent doses) and those who have had longer durations of use (see WARNINGS ).

To reduce the risk of withdrawal reactions, use a gradual taper to discontinue Librax or reduce the dosage (see WARNINGS and DOSAGE AND ADMINISTRATION ).

Acute Withdrawal Signs and Symptoms

Acute withdrawal signs and symptoms associated with benzodiazepines have included abnormal involuntary movements, anxiety, blurred vision, depersonalization, depression, derealization, dizziness, fatigue, gastrointestinal adverse reactions (e.g., nausea, vomiting, diarrhea, weight loss, decreased appetite), headache, hyperacusis, hypertension, irritability, insomnia, memory impairment, muscle pain and stiffness, panic attacks, photophobia, restlessness, tachycardia, and tremor. More severe acute withdrawal signs and symptoms, including life-threatening reactions, have included catatonia, convulsions, delirium tremens, depression, hallucinations, mania, psychosis, seizures and suicidality.

Protracted Withdrawal Syndrome

Protracted withdrawal syndrome associated with benzodiazepines is characterized by anxiety, cognitive impairment, depression, insomnia, formication, motor symptoms (e.g., weakness, tremor, muscle twitches), paresthesia, and tinnitus that persists beyond 4 to 6 weeks after initial benzodiazepine withdrawal. Protracted withdrawal symptoms may last weeks to more than 12 months. As a result, there may be difficulty in differentiating withdrawal symptoms from potential re-emergence or continuation of symptoms for which the benzodiazepine was being used.

Tolerance

Tolerance to Librax may develop from continued therapy. Tolerance is a physiological state characterized by a reduced response to a drug after repeated administration (i.e., a higher dose of a drug is required to produce the same effect that was once obtained at a lower dose). Tolerance to the therapeutic effects of Librax may develop; however, little tolerance develops to the amnestic reactions and other cognitive impairments caused by benzodiazepines.

OVERDOSAGE

Overdosage of Librax, which contains a benzodiazepine (chlordiazepoxide hydrochloride) and an anticholinergic (clidinium bromide) may manifest signs and symptoms related to either of its components, although some effects such as altered levels of consciousness may be synergistic. Overdosage of benzodiazepines, such as chlordiazepoxide hydrochloride, is characterized by central nervous system depression ranging from drowsiness to coma. In mild to moderate cases, symptoms can include drowsiness, confusion, dysarthria, lethargy, hypnotic state, diminished reflexes, ataxia, and hypotonia. Rarely, paradoxical or disinhibitory reactions (including agitation, irritability, impulsivity, violent behavior, confusion, restlessness, excitement, and talkativeness) may occur. In severe overdosage cases, patients may develop respiratory depression and coma.

Signs and symptoms of anticholinergic overdosage are related to excessive anti-muscarinic anticholinergic activity. Peripheral signs and symptoms may include dry mucous membranes and skin, flushing, tachycardia, hypertension, ileus, urinary retention, and mydriasis. Garbled speech is often pathognomonic. Central signs and symptoms may include agitation and delirium, seizures, and hyperthermia. Benzodiazepines are considered a first-line treatment for anticholinergic toxicity acting to treat mild to moderate agitation and prevent seizures.

Overdosage of benzodiazepines in combination with other CNS depressants (including alcohol and opioids) may be fatal (see WARNINGS, Dependence and Withdrawal Reactions ). Markedly abnormal (lowered or elevated) blood pressure, heart rate, or respiratory rate raise the concern that additional drugs and/or alcohol are involved in the overdosage. Anticholinergic drugs usually increase heart rate and blood pressure. In managing benzodiazepine overdosage, employ general supportive measures, including intravenous fluids, and airway management.

Flumazenil, a specific benzodiazepine receptor antagonist is indicated for the complete or partial reversal of the sedative effects of benzodiazepines in the management of benzodiazepine overdosage. Use of flumazenil may increase the risk of seizures in mixed overdosage with drugs that may precipitate seizures, including anticholinergic medications. Benzodiazepines are used to treat agitated delirium from anticholinergic toxicity. Therefore flumazenil administration may worsen the anticholinergic delirium and should generally be avoided.

Anticholinesterase inhibitors may reverse severe agitated delirium that is not controlled by benzodiazepines. They may also improve the airway and breathing in CNS depressed patients. Caution is warranted especially in mixed drug overdoses.

Consider contacting a poison center (1-800-222-1222) or a medical toxicologist for overdosage management recommendations.

Animal Pharmacology And/or Animal Toxicology: (ANIMAL PHARMACOLOGY AND/OR ANIMAL TOXICOLOGY:)

Effects on Reproduction

Reproduction studies in rats fed chlordiazepoxide hydrochloride, 10, 20 and 80 mg/kg daily (2.4, 4.8 and 19.4 times, respectively, the maximum recommended clinical dose of 40 mg/day, based on body surface area), and bred through one or two matings showed no congenital anomalies, nor were there adverse effects on growth of the newborn. However, in another study at 100 mg/kg daily there was noted a significant decrease in the fertilization rate and a marked decrease in the viability and body weight of offspring which may be attributable to sedative activity, thus resulting in lack of interest in mating and lessened maternal nursing and care of the young. One neonate in each of the first and second matings in the rat reproduction study at the 100 mg/kg dose (24.2 times the maximum recommended human dose of 40 mg/day, based on body surface area) exhibited major skeletal defects.

Two series of reproduction experiments with clidinium bromide were carried out in rats, employing dosages of 2.5 and 10 mg/kg daily (1.2 and 4.9 times, respectively, the maximum recommended clinical dose of 20 mg/day, based on body surface area) in each experiment. In the first experiment, clidinium bromide was administered for a 9-week interval prior to mating; no untoward effect on fertilization or gestation was noted. The offspring were taken by caesarean section and did not show a significant incidence of congenital anomalies when compared to control animals. In the second experiment, adult animals were given clidinium bromide for 10 days prior to and through two mating cycles. No significant effects were observed on fertility, gestation, viability of offspring or lactation, as compared to control animals, nor was there a significant incidence of congenital anomalies in the offspring derived from these experiments.

A reproduction study was carried out in rats through two successive matings with administration of oral daily doses of 2.5 mg/kg chlordiazepoxide hydrochloride and 1.25 mg/kg clidinium bromide (0.6 times the maximum recommended clinical dose for both drugs, based on body surface area) or 25 mg/kg chlordiazepoxide hydrochloride and 12.5 mg/kg clidinium bromide (6.1 times the maximum recommended clinical dose for both drugs, based on body surface area). In the first mating, no significant differences were noted between the control or the treated groups, with the exception of a slight decrease in the number of animals surviving during lactation among those receiving the high dosage. In the second mating, similar results were obtained except for a slight decrease in the number of pregnant females and in the percentage of offspring surviving until weaning. No congenital anomalies were observed in both matings in either the control or treated groups.

Package/label Principal Display Panel Label (PACKAGE/LABEL PRINCIPAL DISPLAY PANEL - Label)

NDC 0187-4100-10

Rx only

Librax®

(chlordiazepoxide hydrochloride

and clindinium bromide)

Capsules

5 mg

and

2.5 mg

100 Capsules

Each capsule contains 5 mg chlordiazepoxide hydrochloride

and 2.5 mg clindinium bromide.

MEDICATION GUIDE TO BE DISPENSED

WITH EACH PRESCRIPTION

BAUSCH Health

9581702

20003145

Warning: Risks From Concomitant Use With Opioids; Abuse, Misuse, and Addiction; and Dependence and Withdrawal Reactions (WARNING: RISKS FROM CONCOMITANT USE WITH OPIOIDS; ABUSE, MISUSE, AND ADDICTION; and DEPENDENCE AND WITHDRAWAL REACTIONS)
  • Concomitant use of benzodiazepines and opioids may result in profound sedation, respiratory depression, coma, and death. Reserve concomitant prescribing of these drugs in patients for whom alternative treatment options are inadequate. Limit dosages and durations to the minimum required. Follow patients for signs and symptoms of respiratory depression and sedation (see WARNINGS and PRECAUTIONS and PRECAUTIONS, Drug Interactions).
  • The use of benzodiazepines, including chlordiazepoxide hydrochloride, a component of Librax, exposes users to risks of abuse, misuse, and addiction, which can lead to overdose or death. Abuse and misuse of benzodiazepines commonly involve concomitant use of other medications, alcohol, and/or illicit substances, which is associated with an increased frequency of serious adverse outcomes. Before prescribing Librax and throughout treatment, assess each patient’s risk for abuse, misuse, and addiction (see WARNINGS).
  • The continued use of benzodiazepines, including Librax, may lead to clinically significant physical dependence. The risks of dependence and withdrawal increase with longer treatment duration and higher daily dose. Abrupt discontinuation or rapid dosage reduction of Librax after continued use may precipitate acute withdrawal reactions, which can be life-threatening. To reduce the risk of withdrawal reactions, use a gradual taper to discontinue Librax or reduce the dosage (see WARNINGS and DOSAGE AND ADMINISTRATION).

Advanced Ingredient Data


Raw Label Data

All Sections (JSON)