SPL v4
SPL
SPL Set ID f795db5e-d5ef-4a20-e053-6394a90a7fda
Route
ORAL
Published
Effective Date 2023-08-11
Document Type 34391-3 HUMAN PRESCRIPTION DRUG LABEL

Drug Facts

Composition & Product

Active Ingredients
Hydrochlorothiazide (25 mg)
Inactive Ingredients
Starch, Corn Magnesium Stearate Sodium Starch Glycolate Type A Potato Anhydrous Lactose D&c Yellow No. 10 Aluminum Lake Fd&c Red No. 40

Identifiers & Packaging

Pill Appearance
Imprint: H;2 Shape: round Color: orange Size: 6 mm Score: 2
Marketing Status
ANDA Active Since 2015-01-15

Description

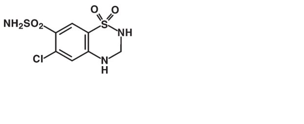
Hydrochlorothiazide is a diuretic and antihypertensive. It is the 3,4-dihydro derivative of chlorothiazide. Its chemical name is 6-chloro-3,4-dihydro-2 H -1,2,4-benzothiadiazine-7-sulfonamide 1,1-dioxide. Its molecular formula is C 7 H 8 CIN 3 O 4 S 2 and its structural formula is: It is a white, or practically white, crystalline powder with a molecular weight of 297.74 which is slightly soluble in water, freely soluble in sodium hydroxide solution, in n-butylamine and in dimethylformamide; sparingly soluble in methanol; insoluble in ether, in chloroform and in dilute mineral acids. Each tablet for oral administration contains 12.5 mg, 25 mg or 50 mg of hydrochlorothiazide respectively. In addition, each tablet contains following inactive ingredients: anhydrous lactose, D&C Yellow No.10 aluminum lake, FD&C Red No. 40 aluminum lake, magnesium stearate, pregelatinized starch and sodium starch glycolate.

Indications and Usage

Hydrochlorothiazide tablets are indicated as adjunctive therapy in edema associated  with congestive heart failure, hepatic cirrhosis, and corticosteroid and estrogen therapy. Hydrochlorothiazide tablets have also been found useful in edema due to various forms of renal dysfunction such as nephrotic syndrome, acute glomerulonephritis, and chronic renal failure. Hydrochlorothiazide tablets are indicated in the management of hypertension either as the sole therapeutic agent or to enhance the effectiveness of other antihypertensive drugs in the more severe forms of hypertension. Use in Pregnancy Routine use of diuretics during normal pregnancy is inappropriate and exposes mother and fetus to unnecessary hazard. Diuretics do not prevent development of toxemia of pregnancy, and there is no satisfactory evidence that they are useful in the treatment of toxemia. Edema during pregnancy may arise from pathologic causes or from the physiologic and mechanical consequences of pregnancy. Thiazides are indicated in pregnancy when edema is due to pathologic causes, just as they are in the absence of pregnancy (see PRECAUTIONS, Pregnancy ). Dependent edema in pregnancy, resulting from restriction of venous return by the gravid uterus, is properly treated through elevation of the lower extremities and use of support stockings. Use of diuretics to lower intravascular volume in this instance is illogical and unnecessary. During normal pregnancy there is hypervolemia  which is not harmful to the fetus or the mother in the absence of cardiovascular disease. However, it may be associated with edema, rarely generalized edema. If such edema causes discomfort, increased recumbency will often provide relief. Rarely this edema may cause extreme discomfort which is not relieved by rest. In these instances, a short course of diuretic therapy may provide relief and be appropriate.

Dosage and Administration

Therapy should be individualized according to patient response. Use the smallest dosage necessary to achieve the required response.

Contraindications

Anuria. Hypersensitivity to this product or to other sulfonamide-derived drugs.

Adverse Reactions

The following adverse reactions have been reported and, within each category, are listed in order of decreasing severity. Body as a Whole: Weakness. Cardiovascular: Hypotension including orthostatic hypotension (may be aggravated by alcohol, barbiturates, narcotics or antihypertensive drugs). Digestive: Pancreatitis, jaundice (intrahepatic cholestatic jaundice), diarrhea, vomiting sialadenitis, cramping, constipation, gastric irritation, nausea, anorexia. Hematologic: Aplastic anemia, agranulocytosis, leukopenia, hemolytic anemia, thrombocytopenia. Hypersensitivity : Anaphylactic reactions, necrotizing angiitis (vasculitis and cutaneous vasculitis), respiratory distress including pneumonitis and pulmonary edema, photosensitivity, fever, urticaria, rash, purpura. Metabolic: Electrolyte imbalance ( see PRECAUTIONS ), hyperglycemia, glycosuria, hyperuricemia. Musculosketetal: Muscle spasm. Nervous System/Psychiatric: Vertigo, paresthesias, dizziness, headache, restlessness. Renal: Renal failure, renal dysfunction, interstitial nephritis. ( See WARNINGS .) Skin: Erythema multiforme including Stevens-Johnson syndrome, exfoliative dermatitis including toxic epidermal necrolysis, alopecia. Special Senses: Transient blurred vision, xanthopsia. Urogenital: Impotence. Whenever adverse reactions are moderate or severe, thiazide dosage should be reduced or therapy withdrawn. Postmarketing Experience Non-melanoma Skin Cancer Hydrochlorothiazide is associated with an increased risk of non-melanoma skin cancer. In a study conducted in the Sentinel System, increased risk was predominantly for squamous cell carcinoma (SCC) and in white patients taking large cumulative doses. The increased risk for SCC in the overall population was approximately 1 additional case per 16,000 patients per year, and for white patients taking a cumulative dose of ≥50,000 mg the risk increase was approximately 1 additional SCC case for every 6,700 patients per year. Call your doctor for medical advice about side effects. To report SUSPECTED ADVERSE REACTION, contact Avet Pharmaceuticals Inc. at 1-866-901-DRUG (3784) or FDA at 1-800-FDA-1088 or FDA at 1-800-FDA-1088 or www.fda.gov/medwatch. 

Drug Interactions

When given concurrently the following drugs may interact with thiazide diuretics. Alcohol, barbiturates or narcotics - potentiation of orthostatic hypotension may occur. Antidiabetic drugs - (oral agents and insulin) - dosage adjustment of the antidiabetic drug may be required. Other antihypertensive drugs - additive effect or potentiation. Cholestyramine and colestipol resins - Absorption of hydrochlorothiazide is impaired in the presence of anionic exchange resins. Single doses of either cholestyramine or colestipol resins bind the hydrochlorothiazide and reduce its absorption from the gastrointestinal tract by up to 85 and 43 percent, respectively. Corticosteroids, ACTH - intensified electrolyte depletion, particularly hypokalemia. Pressor amines (e.g., norepinephrine) - possible decreased response to pressor amines but not sufficient to preclude their use. Skeletal muscle relaxants, nondepolarizing (e.g., tubocurarine) - possible increased responsiveness to the muscle relaxant. Lithium - generally should not be given with diluretics. Diuretic agents reduce the renal clearance of lithium and add a high risk of lithium toxicity. Refer to the package insert for lithium preparations before use of such preparations with hydrochlorothiazide Non - steroidal Anti - inflammatory Drugs - In some patients, the administration of a non-steroidal anti-inflammatory agent can reduce the diuretic, natriuretic and antihypertensive effects of loop, potassium-sparing and thiazide diuretics. Therefore when hydrochlorothiazide and non-steroidal anti-inflammatory agents are used concomitantly the patient should be observed closely to determine if the desired effect of the diuretic is obtained.

How Supplied

Hydrochlorothiazide Tablets USP, 25 mg are peach colored, round, debossed on one side with "H" above and "2" below the bisect and plain on the other side. Hydrochlorothiazide Tablets USP, 25 mg are supplied as follows: Bottles of 30 NDC 42708-164-30 Dispense in a tight, light-resistant container. Store at 20° to 25°C (68° to 77°F); excursions permitted to 15°C to 30°C (59°F to 86°F) [see USP Controlled Room Temperature]. Rx only


Medication Information

Indications and Usage

Hydrochlorothiazide tablets are indicated as adjunctive therapy in edema associated  with congestive heart failure, hepatic cirrhosis, and corticosteroid and estrogen therapy.

Hydrochlorothiazide tablets have also been found useful in edema due to various forms of renal dysfunction such as nephrotic syndrome, acute glomerulonephritis, and chronic renal failure.

Hydrochlorothiazide tablets are indicated in the management of hypertension either as the sole therapeutic agent or to enhance the effectiveness of other antihypertensive drugs in the more severe forms of hypertension.

Use in Pregnancy

Routine use of diuretics during normal pregnancy is inappropriate and exposes mother and fetus to unnecessary hazard. Diuretics do not prevent development of toxemia of pregnancy, and there is no satisfactory evidence that they are useful in the treatment of toxemia.

Edema during pregnancy may arise from pathologic causes or from the physiologic and mechanical consequences of pregnancy. Thiazides are indicated in pregnancy when edema is due to pathologic causes, just as they are in the absence of pregnancy (see PRECAUTIONS, Pregnancy). Dependent edema in pregnancy, resulting from restriction of venous return by the gravid uterus, is properly treated through elevation of the lower extremities and use of support stockings. Use of diuretics to lower intravascular volume in this instance is illogical and unnecessary. During normal pregnancy there is hypervolemia  which is not harmful to the fetus or the mother in the absence of cardiovascular disease. However, it may be associated with edema, rarely generalized edema. If such edema causes discomfort, increased recumbency will often provide relief. Rarely this edema may cause extreme discomfort which is not relieved by rest. In these instances, a short course of diuretic therapy may provide relief and be appropriate.

Dosage and Administration

Therapy should be individualized according to patient response. Use the smallest dosage necessary to achieve the required response.

Contraindications

Anuria.

Hypersensitivity to this product or to other sulfonamide-derived drugs.

Adverse Reactions

The following adverse reactions have been reported and, within each category, are listed in order of decreasing severity.

Body as a Whole:Weakness.

Cardiovascular:Hypotension including orthostatic hypotension (may be aggravated by alcohol, barbiturates, narcotics or antihypertensive drugs).

Digestive:Pancreatitis, jaundice (intrahepatic cholestatic jaundice), diarrhea, vomiting sialadenitis, cramping, constipation, gastric irritation, nausea, anorexia.

Hematologic:Aplastic anemia, agranulocytosis, leukopenia, hemolytic anemia, thrombocytopenia.

Hypersensitivity :Anaphylactic reactions, necrotizing angiitis (vasculitis and cutaneous vasculitis), respiratory distress including pneumonitis and pulmonary edema, photosensitivity, fever, urticaria, rash, purpura.

Metabolic:Electrolyte imbalance ( see PRECAUTIONS), hyperglycemia, glycosuria, hyperuricemia.

Musculosketetal:Muscle spasm.

Nervous System/Psychiatric:Vertigo, paresthesias, dizziness, headache, restlessness.

Renal:Renal failure, renal dysfunction, interstitial nephritis. ( See WARNINGS.)

Skin:Erythema multiforme including Stevens-Johnson syndrome, exfoliative dermatitis including toxic epidermal necrolysis, alopecia.

Special Senses:Transient blurred vision, xanthopsia.

Urogenital:Impotence.

Whenever adverse reactions are moderate or severe, thiazide dosage should be reduced or therapy withdrawn.

Postmarketing Experience

Non-melanoma Skin Cancer

Hydrochlorothiazide is associated with an increased risk of non-melanoma skin cancer. In a study conducted in the Sentinel System, increased risk was predominantly for squamous cell carcinoma (SCC) and in white patients taking large cumulative doses. The increased risk for SCC in the overall population was approximately 1 additional case per 16,000 patients per year, and for white patients taking a cumulative dose of ≥50,000 mg the risk increase was approximately 1 additional SCC case for every 6,700 patients per year.

Call your doctor for medical advice about side effects.

To report SUSPECTED ADVERSE REACTION, contact Avet Pharmaceuticals Inc. at 1-866-901-DRUG (3784) or FDA at 1-800-FDA-1088 or FDA at 1-800-FDA-1088 or www.fda.gov/medwatch. 

Drug Interactions

When given concurrently the following drugs may interact with thiazide diuretics.

Alcohol, barbiturates or narcotics- potentiation of orthostatic hypotension may occur.

Antidiabetic drugs- (oral agents and insulin) - dosage adjustment of the antidiabetic drug may be required.

Other antihypertensive drugs- additive effect or potentiation.

Cholestyramine and colestipol resins- Absorption of hydrochlorothiazide is impaired in the presence of anionic exchange resins. Single doses of either cholestyramine or colestipol resins bind the hydrochlorothiazide and reduce its absorption from the gastrointestinal tract by up to 85 and 43 percent, respectively.

Corticosteroids, ACTH- intensified electrolyte depletion, particularly hypokalemia.

Pressor amines (e.g., norepinephrine)- possible decreased response to pressor amines but not sufficient to preclude their use.

Skeletal muscle relaxants, nondepolarizing (e.g., tubocurarine)- possible increased responsiveness to the muscle relaxant.

Lithium - generallyshould not be given with diluretics. Diuretic agents reduce the renal clearance of lithium and add a high risk of lithium toxicity. Refer to the package insert for lithium preparations before use of such preparations with hydrochlorothiazide

Non - steroidal Anti - inflammatory Drugs- In some patients, the administration of a non-steroidal anti-inflammatory agent can reduce the diuretic, natriuretic and antihypertensive effects of loop, potassium-sparing and thiazide diuretics. Therefore when hydrochlorothiazide and non-steroidal anti-inflammatory agents are used concomitantly the patient should be observed closely to determine if the desired effect of the diuretic is obtained.

How Supplied

Hydrochlorothiazide Tablets USP, 25 mg are peach colored, round, debossed on one side with "H" above and "2" below the bisect and plain on the other side.

Hydrochlorothiazide Tablets USP, 25 mg are supplied as follows:

Bottles of 30 NDC 42708-164-30

Dispense in a tight, light-resistant container.

Store at 20° to 25°C (68° to 77°F); excursions permitted to 15°C to 30°C (59°F to 86°F) [see USP Controlled Room Temperature].

Rx only

Description

Hydrochlorothiazide is a diuretic and antihypertensive. It is the 3,4-dihydro derivative of chlorothiazide. Its chemical name is 6-chloro-3,4-dihydro-2 H-1,2,4-benzothiadiazine-7-sulfonamide 1,1-dioxide. Its molecular formula is C 7H 8CIN 3O 4S 2and its structural formula is:

It is a white, or practically white, crystalline powder with a molecular weight of 297.74 which is slightly soluble in water, freely soluble in sodium hydroxide solution, in n-butylamine and in dimethylformamide; sparingly soluble in methanol; insoluble in ether, in chloroform and in dilute mineral acids.

Each tablet for oral administration contains 12.5 mg, 25 mg or 50 mg of hydrochlorothiazide respectively. In addition, each tablet contains following inactive ingredients: anhydrous lactose, D&C Yellow No.10 aluminum lake, FD&C Red No. 40 aluminum lake, magnesium stearate, pregelatinized starch and sodium starch glycolate.

Adults

For Edema

The usual adult dosage is 25 to 100 mg daily as a single or divided dose. Many patients with edema respond to intermittent therapy, i.e., administration on alternate days or on three to five days each week. With an intermittent schedule, excessive response and the resulting undesirable electrolyte imbalance are less likely to occur.

For Control of Hypertension

The usual initial dose in adults is 25 mg daily given as a single dose. The dose may be increased to 50 mg daily, given as a single or two divided doses. Doses above 50 mg are often associated with marked reductions in serum potassium (see also PRECAUTIONS).

Patients usually do not require doses in excess of 50 mg of hydrochlorothiazide daily when used concomitantly with other antihypertensive agents.

Section 42229-5

Distributed by:

Avet Pharmaceuticals Inc.

East Brunswick, NJ 08816

1.866.901.DRUG (3784)

51U000000416US01

Revised: 07/2022

General

All patients receiving diuretic therapy should be observed for evidence of fluid or electrolyte imbalance: namely, hyponatremia, hypochloremic alkalosis, and hypokalemia. Serum and urine electrolyte determinations are particularly important when the patient is vomiting excessively or receiving parenteral fluids. Warning signs or symptoms of fluid and electrolyte imbalance, irrespective of cause, include dryness of mouth, thirst weakness, lethargy, drowsiness, restlessness, confusion, seizures, muscle pains or cramps, muscular fatigue, hypotension, oliguria, tachycardia, and gastrointestinal disturbances such as nousea and vomiting.

Hypokalemia may develop, especially with brisk diuresis, when severe cirrhosis is present or after prolonged therapy.

Interference with adequate oral electrolyte intake will also contribute to hypokalemia. Hypokalemia may cause cardiac arrhythmia and may also sensitize or exaggerate the response of the heart to the toxic effects of digitalis (e.g. increased ventricular irritability). Hypokalemia may be avoided or treated by use of potassium sparing diuretics or potassium supplements such as foods with a high potassium content.

Although any chloride deficit is generally mild and usually does not require specific treatment except under extraordinary circumstances (as in liver disease or renal disease), chloride replacement may be required in the treatment of metabolic alkalosis.

Dilutional hyponatremia may occur in edematous patients in hot weather appropriate therapy is water restriction, rather than administration of salt, except in rare instances  when the hyponatremia is life threatening. In actual salt depletion, appropriate replacement is the therapy of choice.

Hyperuricemia may occur or acute gout may be precipitated in certain patients receiving thiazides.

In diabetic patients dosage adjustments of insulin or oral hypoglycemic agents may be required. Hyperglycemia may occur with thiazide diuretics. Thus latent diabetes mellitus may become manifest during thiazide therapy.

The antihypertensive effects of the drug may be enhanced in the post-sympathectomy patient.

If progressive renal impairment becomes evident, consider withholding or discontinuing diuretic therapy.

Thiazides have been shown to increase the urinary excretion of magnesium; this may result in hypomagnesemia.

Thiazides may decrease urinary calcium excretion. Thiazides may cause intermittent and slight elevation of serum calcium in the absence of known disorders of calcium metabolism. Marked hypercalcemia may be evidence of hidden hyperparathyroidism. Thiazides should be discontinued before carrying out tests for parathyroid function.

Increases in cholesterol and triglyceride levels may be associated with thiazide diuretic therapy.

Warnings

Use with caution in severe renal disease. In patients with renal disease, thiazides may precipitate azotemia. Cumulative effects of the drug may develop in patients with imparied renal function.

Thiazides should be used with caution in patients with impaired hepatic function or progressive liver disease, since minor alterations of fluid and electrolyte balance may precipitate hepatic coma.

Thiazides may add to or potentiate the action of other antihypertensive drugs.

Sensitivity reactions may occur in patients with or without a history of allergy or bronchial asthma.

The possibility of exacerbation or activation of systemic lupus erythematosus has been reported.

Lithium generally should not be given with diuretics (see PRECAUTIONS, Drug Interactions).

Acute Myopia and Secondary Angle-Closure Glaucoma

Hydrochlorothiazide, a sulfonamide, can cause an idiosyncratic reaction, resulting in acute transient myopia and acute angle-closure glaucoma. Symptoms include acute onset of decreased visual acuity or ocular pain and typically occur within hours to weeks of drug initiation. Untreated acute angle-closure glaucoma can lead to permanent vision loss. The primary treatment is to discontinue hydrochlorothiazide as rapidly as possible. Prompt medical or surgical treatments may need to be considered if the intraocular pressure remains uncontrolled. Risk factors for developing acute angle-closure glaucoma may include a history of sulfonamide or penicillin allergy.

Pregnancy

Teratogenic Effects

Studies in which hydrochlorothiazide was orally administered to pregnant mice and rats during their respective periods of major organogenesis at doses up to 3,000 and 1,000 mg hydrochlorothiazide/kg, respectively provided no evidence of harm to the fetus.

There are, however, no adequate and well-controlled studies in pregnant women. Because animal reproduction studies are not always predictive of human response, this drug should be used during pregnancy only if clearly needed.

Nonteratogenic Effects

Thiazides cross the placental barrier and appear in cord blood. There is a risk of fetal or neonatal jaundice, thrombocytopenia, and possibly other adverse reactions that have occurred in adults.

Overdosage

The most common signs and symptoms observed are those caused by electrolyte depletion (hypokalemia, hypochloremia, hyponatremia) and dehydration resulting from excessive diuresis. If digitalis has also been administered, hypokalemia may accentuate cardiac arrhythmias.

In the event of overdosage, symptomatic and supportive measures should be employed. Emesis should be induced or gastric lavage performed. Correct dehydration, electrolyte imbalance, hepatic comma and hypotension by established procedures. If required, give oxygen or artificial respiration for respiratory impairment. The degree to which hydrochlorothiazide is removed by hemodialysis has not been established.

The oral LD 50of hydrochlorothiazide is greater than 10 g/kg in the mouse and rat.

Pediatric Use

There are no well-controlled clinical trials in pediatric patients. Information on dosing in this age group is supported by evidence from empiric use in pediatric patients and published literature regarding the treatment of hypertension in such patients ( See DOSAGE AND ADMINISTRATION, Infants and Children).

Nursing Mother

Thiazides are excreted in breast milk, Because of the potential for serious adverse reactions in nursing infants, a decision should be made whether to discontinue nursing or to discontinue hydrochlorothiazide, taking into account the importance of the drug to the mother.

Laboratory Tests

Periodic determination of serum electrolytes to detect possible electrolyte imbalance should be done at appropriate intervals.

Infants and Children

For Diuresis and For Control of Hypertension

The usual pediatric dosage is 0.5 to 1 mg per pound (1 to 2 mg/kg) per day in single or two divided doses, not to exceed 37.5 mg per day in infants up to 2 years of age or 100 mg per day in children 2 to 12 years of age. In infants less than 6 months of age, doses up to 1.5 mg per pound (3 mg/kg) per day in two divided doses may be required. ( See PRECAUTIONS, Pediatric Use.)

Clinical Pharmacology

The mechanism of the antihypertensive effect of thiazides is unknown. Hydrochlorothiazide does not usually affect normal blood pressure.

Hydrochlorothiazide affects the distal renal tubular mechanism of electrolyte reabsorption. At maximal therapeutic dosage all thiazides are approximately equal in their diuretic efficacy.

Hydrochlorothiazide increases excretion of sodium and chloride in approximately equivalent amounts. Natriuresis may be accompanied by some loss of potassium and bicarbonate.

After oral use diuresis begins within 2 hours, peaks in about 4 hours and lasts about 6 to 12 hours.

Pharmacokinetics and Metabolism

Hydrochlorothiazide is not metabolized but is eliminated rapidly by the kidney. When plasma levels have been followed for at least 24 hours, the plasma half-life has been observed to vary between 5.6 and 14.8 hours. At least 61 percent of the oral dose is eliminated unchanged within 24 hours. Hydrochlorothiazide crosses the placental but not the blood-brain barrier and is excreted in breast milk.

Principal Display Panel

NDC: 42708-164-30

Information for Patients

Non-melanoma Skin Cancer:Instruct patients taking hydrochlorothiazide to protect skin from the sun and undergo regular skin cancer screening.

Drug/laboratory Test Interactions

Thiazides should be discontinued before carrying out tests for parathyroid function (s ee PRECAUTIONS, General)

Carcinogenesis, Mutagenesis, Impairment of Fertility

Two-year feeding studies in mice and rats conducted under the auspices of the National Toxicology Program (NTP) uncovered no evidence of a carcinogenic potential of hydrochlorothiazide in female mice (at doses of up to approximately 600 mg/kg/day) or in male and female rats (at doses of up to approximately 100 mg/kg/day). The NTP, however, found equivocal evidence for hepatocarcinogenicity in male mice.

Hydrochlorothiazide was not genotoxic in vitroin the Ames mutagenicity assay of Salmonella typhimuriumstrains TA 98, TA100, TA 1535, TA 1537, and TA 1538 and in the Chinese Hamster Ovary (CHO) test for chromosomal aberrations, or in vivoin assays using mouse germinal cell chromosomes, Chinese hamster bone marrow chromosomes, and the Drosophilasex-linked recessive lethal trait gene. Positive test results were obtained only in the in vitroCHO Sister Chromatid Exchange (clastogenicity) and in the Mouse Lymphoma Cell (mutagenicity) assays, using concentrations of hydrochlorothiazide from 43 to 1,300 mcg/mL, and in the Aspergillus nidulansnon-disjunction assay at an unspecified concentration.

Hydrochlorothiazide had no adverse effects on the fertility of mice and rats of either sex in studies wherein these species were exposed, via their diet, to doses of up to 100 and 4 mg/kg, respectively, prior to conception and throughout gestation.


Structured Label Content

Adults

For Edema

The usual adult dosage is 25 to 100 mg daily as a single or divided dose. Many patients with edema respond to intermittent therapy, i.e., administration on alternate days or on three to five days each week. With an intermittent schedule, excessive response and the resulting undesirable electrolyte imbalance are less likely to occur.

For Control of Hypertension

The usual initial dose in adults is 25 mg daily given as a single dose. The dose may be increased to 50 mg daily, given as a single or two divided doses. Doses above 50 mg are often associated with marked reductions in serum potassium (see also PRECAUTIONS).

Patients usually do not require doses in excess of 50 mg of hydrochlorothiazide daily when used concomitantly with other antihypertensive agents.

Section 42229-5 (42229-5)

Distributed by:

Avet Pharmaceuticals Inc.

East Brunswick, NJ 08816

1.866.901.DRUG (3784)

51U000000416US01

Revised: 07/2022

General

All patients receiving diuretic therapy should be observed for evidence of fluid or electrolyte imbalance: namely, hyponatremia, hypochloremic alkalosis, and hypokalemia. Serum and urine electrolyte determinations are particularly important when the patient is vomiting excessively or receiving parenteral fluids. Warning signs or symptoms of fluid and electrolyte imbalance, irrespective of cause, include dryness of mouth, thirst weakness, lethargy, drowsiness, restlessness, confusion, seizures, muscle pains or cramps, muscular fatigue, hypotension, oliguria, tachycardia, and gastrointestinal disturbances such as nousea and vomiting.

Hypokalemia may develop, especially with brisk diuresis, when severe cirrhosis is present or after prolonged therapy.

Interference with adequate oral electrolyte intake will also contribute to hypokalemia. Hypokalemia may cause cardiac arrhythmia and may also sensitize or exaggerate the response of the heart to the toxic effects of digitalis (e.g. increased ventricular irritability). Hypokalemia may be avoided or treated by use of potassium sparing diuretics or potassium supplements such as foods with a high potassium content.

Although any chloride deficit is generally mild and usually does not require specific treatment except under extraordinary circumstances (as in liver disease or renal disease), chloride replacement may be required in the treatment of metabolic alkalosis.

Dilutional hyponatremia may occur in edematous patients in hot weather appropriate therapy is water restriction, rather than administration of salt, except in rare instances  when the hyponatremia is life threatening. In actual salt depletion, appropriate replacement is the therapy of choice.

Hyperuricemia may occur or acute gout may be precipitated in certain patients receiving thiazides.

In diabetic patients dosage adjustments of insulin or oral hypoglycemic agents may be required. Hyperglycemia may occur with thiazide diuretics. Thus latent diabetes mellitus may become manifest during thiazide therapy.

The antihypertensive effects of the drug may be enhanced in the post-sympathectomy patient.

If progressive renal impairment becomes evident, consider withholding or discontinuing diuretic therapy.

Thiazides have been shown to increase the urinary excretion of magnesium; this may result in hypomagnesemia.

Thiazides may decrease urinary calcium excretion. Thiazides may cause intermittent and slight elevation of serum calcium in the absence of known disorders of calcium metabolism. Marked hypercalcemia may be evidence of hidden hyperparathyroidism. Thiazides should be discontinued before carrying out tests for parathyroid function.

Increases in cholesterol and triglyceride levels may be associated with thiazide diuretic therapy.

Warnings (WARNINGS)

Use with caution in severe renal disease. In patients with renal disease, thiazides may precipitate azotemia. Cumulative effects of the drug may develop in patients with imparied renal function.

Thiazides should be used with caution in patients with impaired hepatic function or progressive liver disease, since minor alterations of fluid and electrolyte balance may precipitate hepatic coma.

Thiazides may add to or potentiate the action of other antihypertensive drugs.

Sensitivity reactions may occur in patients with or without a history of allergy or bronchial asthma.

The possibility of exacerbation or activation of systemic lupus erythematosus has been reported.

Lithium generally should not be given with diuretics (see PRECAUTIONS, Drug Interactions).

Acute Myopia and Secondary Angle-Closure Glaucoma

Hydrochlorothiazide, a sulfonamide, can cause an idiosyncratic reaction, resulting in acute transient myopia and acute angle-closure glaucoma. Symptoms include acute onset of decreased visual acuity or ocular pain and typically occur within hours to weeks of drug initiation. Untreated acute angle-closure glaucoma can lead to permanent vision loss. The primary treatment is to discontinue hydrochlorothiazide as rapidly as possible. Prompt medical or surgical treatments may need to be considered if the intraocular pressure remains uncontrolled. Risk factors for developing acute angle-closure glaucoma may include a history of sulfonamide or penicillin allergy.

Pregnancy

Teratogenic Effects

Studies in which hydrochlorothiazide was orally administered to pregnant mice and rats during their respective periods of major organogenesis at doses up to 3,000 and 1,000 mg hydrochlorothiazide/kg, respectively provided no evidence of harm to the fetus.

There are, however, no adequate and well-controlled studies in pregnant women. Because animal reproduction studies are not always predictive of human response, this drug should be used during pregnancy only if clearly needed.

Nonteratogenic Effects

Thiazides cross the placental barrier and appear in cord blood. There is a risk of fetal or neonatal jaundice, thrombocytopenia, and possibly other adverse reactions that have occurred in adults.

Overdosage (OVERDOSAGE)

The most common signs and symptoms observed are those caused by electrolyte depletion (hypokalemia, hypochloremia, hyponatremia) and dehydration resulting from excessive diuresis. If digitalis has also been administered, hypokalemia may accentuate cardiac arrhythmias.

In the event of overdosage, symptomatic and supportive measures should be employed. Emesis should be induced or gastric lavage performed. Correct dehydration, electrolyte imbalance, hepatic comma and hypotension by established procedures. If required, give oxygen or artificial respiration for respiratory impairment. The degree to which hydrochlorothiazide is removed by hemodialysis has not been established.

The oral LD 50of hydrochlorothiazide is greater than 10 g/kg in the mouse and rat.

Description (DESCRIPTION)

Hydrochlorothiazide is a diuretic and antihypertensive. It is the 3,4-dihydro derivative of chlorothiazide. Its chemical name is 6-chloro-3,4-dihydro-2 H-1,2,4-benzothiadiazine-7-sulfonamide 1,1-dioxide. Its molecular formula is C 7H 8CIN 3O 4S 2and its structural formula is:

It is a white, or practically white, crystalline powder with a molecular weight of 297.74 which is slightly soluble in water, freely soluble in sodium hydroxide solution, in n-butylamine and in dimethylformamide; sparingly soluble in methanol; insoluble in ether, in chloroform and in dilute mineral acids.

Each tablet for oral administration contains 12.5 mg, 25 mg or 50 mg of hydrochlorothiazide respectively. In addition, each tablet contains following inactive ingredients: anhydrous lactose, D&C Yellow No.10 aluminum lake, FD&C Red No. 40 aluminum lake, magnesium stearate, pregelatinized starch and sodium starch glycolate.

How Supplied (HOW SUPPLIED)

Hydrochlorothiazide Tablets USP, 25 mg are peach colored, round, debossed on one side with "H" above and "2" below the bisect and plain on the other side.

Hydrochlorothiazide Tablets USP, 25 mg are supplied as follows:

Bottles of 30 NDC 42708-164-30

Dispense in a tight, light-resistant container.

Store at 20° to 25°C (68° to 77°F); excursions permitted to 15°C to 30°C (59°F to 86°F) [see USP Controlled Room Temperature].

Rx only

Pediatric Use

There are no well-controlled clinical trials in pediatric patients. Information on dosing in this age group is supported by evidence from empiric use in pediatric patients and published literature regarding the treatment of hypertension in such patients ( See DOSAGE AND ADMINISTRATION, Infants and Children).

Nursing Mother

Thiazides are excreted in breast milk, Because of the potential for serious adverse reactions in nursing infants, a decision should be made whether to discontinue nursing or to discontinue hydrochlorothiazide, taking into account the importance of the drug to the mother.

Laboratory Tests

Periodic determination of serum electrolytes to detect possible electrolyte imbalance should be done at appropriate intervals.

Adverse Reactions (ADVERSE REACTIONS)

The following adverse reactions have been reported and, within each category, are listed in order of decreasing severity.

Body as a Whole:Weakness.

Cardiovascular:Hypotension including orthostatic hypotension (may be aggravated by alcohol, barbiturates, narcotics or antihypertensive drugs).

Digestive:Pancreatitis, jaundice (intrahepatic cholestatic jaundice), diarrhea, vomiting sialadenitis, cramping, constipation, gastric irritation, nausea, anorexia.

Hematologic:Aplastic anemia, agranulocytosis, leukopenia, hemolytic anemia, thrombocytopenia.

Hypersensitivity :Anaphylactic reactions, necrotizing angiitis (vasculitis and cutaneous vasculitis), respiratory distress including pneumonitis and pulmonary edema, photosensitivity, fever, urticaria, rash, purpura.

Metabolic:Electrolyte imbalance ( see PRECAUTIONS), hyperglycemia, glycosuria, hyperuricemia.

Musculosketetal:Muscle spasm.

Nervous System/Psychiatric:Vertigo, paresthesias, dizziness, headache, restlessness.

Renal:Renal failure, renal dysfunction, interstitial nephritis. ( See WARNINGS.)

Skin:Erythema multiforme including Stevens-Johnson syndrome, exfoliative dermatitis including toxic epidermal necrolysis, alopecia.

Special Senses:Transient blurred vision, xanthopsia.

Urogenital:Impotence.

Whenever adverse reactions are moderate or severe, thiazide dosage should be reduced or therapy withdrawn.

Postmarketing Experience

Non-melanoma Skin Cancer

Hydrochlorothiazide is associated with an increased risk of non-melanoma skin cancer. In a study conducted in the Sentinel System, increased risk was predominantly for squamous cell carcinoma (SCC) and in white patients taking large cumulative doses. The increased risk for SCC in the overall population was approximately 1 additional case per 16,000 patients per year, and for white patients taking a cumulative dose of ≥50,000 mg the risk increase was approximately 1 additional SCC case for every 6,700 patients per year.

Call your doctor for medical advice about side effects.

To report SUSPECTED ADVERSE REACTION, contact Avet Pharmaceuticals Inc. at 1-866-901-DRUG (3784) or FDA at 1-800-FDA-1088 or FDA at 1-800-FDA-1088 or www.fda.gov/medwatch. 

Contraindications (CONTRAINDICATIONS)

Anuria.

Hypersensitivity to this product or to other sulfonamide-derived drugs.

Drug Interactions

When given concurrently the following drugs may interact with thiazide diuretics.

Alcohol, barbiturates or narcotics- potentiation of orthostatic hypotension may occur.

Antidiabetic drugs- (oral agents and insulin) - dosage adjustment of the antidiabetic drug may be required.

Other antihypertensive drugs- additive effect or potentiation.

Cholestyramine and colestipol resins- Absorption of hydrochlorothiazide is impaired in the presence of anionic exchange resins. Single doses of either cholestyramine or colestipol resins bind the hydrochlorothiazide and reduce its absorption from the gastrointestinal tract by up to 85 and 43 percent, respectively.

Corticosteroids, ACTH- intensified electrolyte depletion, particularly hypokalemia.

Pressor amines (e.g., norepinephrine)- possible decreased response to pressor amines but not sufficient to preclude their use.

Skeletal muscle relaxants, nondepolarizing (e.g., tubocurarine)- possible increased responsiveness to the muscle relaxant.

Lithium - generallyshould not be given with diluretics. Diuretic agents reduce the renal clearance of lithium and add a high risk of lithium toxicity. Refer to the package insert for lithium preparations before use of such preparations with hydrochlorothiazide

Non - steroidal Anti - inflammatory Drugs- In some patients, the administration of a non-steroidal anti-inflammatory agent can reduce the diuretic, natriuretic and antihypertensive effects of loop, potassium-sparing and thiazide diuretics. Therefore when hydrochlorothiazide and non-steroidal anti-inflammatory agents are used concomitantly the patient should be observed closely to determine if the desired effect of the diuretic is obtained.

Infants and Children

For Diuresis and For Control of Hypertension

The usual pediatric dosage is 0.5 to 1 mg per pound (1 to 2 mg/kg) per day in single or two divided doses, not to exceed 37.5 mg per day in infants up to 2 years of age or 100 mg per day in children 2 to 12 years of age. In infants less than 6 months of age, doses up to 1.5 mg per pound (3 mg/kg) per day in two divided doses may be required. ( See PRECAUTIONS, Pediatric Use.)

Clinical Pharmacology (CLINICAL PHARMACOLOGY)

The mechanism of the antihypertensive effect of thiazides is unknown. Hydrochlorothiazide does not usually affect normal blood pressure.

Hydrochlorothiazide affects the distal renal tubular mechanism of electrolyte reabsorption. At maximal therapeutic dosage all thiazides are approximately equal in their diuretic efficacy.

Hydrochlorothiazide increases excretion of sodium and chloride in approximately equivalent amounts. Natriuresis may be accompanied by some loss of potassium and bicarbonate.

After oral use diuresis begins within 2 hours, peaks in about 4 hours and lasts about 6 to 12 hours.

Pharmacokinetics and Metabolism

Hydrochlorothiazide is not metabolized but is eliminated rapidly by the kidney. When plasma levels have been followed for at least 24 hours, the plasma half-life has been observed to vary between 5.6 and 14.8 hours. At least 61 percent of the oral dose is eliminated unchanged within 24 hours. Hydrochlorothiazide crosses the placental but not the blood-brain barrier and is excreted in breast milk.

Indications and Usage (INDICATIONS AND USAGE)

Hydrochlorothiazide tablets are indicated as adjunctive therapy in edema associated  with congestive heart failure, hepatic cirrhosis, and corticosteroid and estrogen therapy.

Hydrochlorothiazide tablets have also been found useful in edema due to various forms of renal dysfunction such as nephrotic syndrome, acute glomerulonephritis, and chronic renal failure.

Hydrochlorothiazide tablets are indicated in the management of hypertension either as the sole therapeutic agent or to enhance the effectiveness of other antihypertensive drugs in the more severe forms of hypertension.

Use in Pregnancy

Routine use of diuretics during normal pregnancy is inappropriate and exposes mother and fetus to unnecessary hazard. Diuretics do not prevent development of toxemia of pregnancy, and there is no satisfactory evidence that they are useful in the treatment of toxemia.

Edema during pregnancy may arise from pathologic causes or from the physiologic and mechanical consequences of pregnancy. Thiazides are indicated in pregnancy when edema is due to pathologic causes, just as they are in the absence of pregnancy (see PRECAUTIONS, Pregnancy). Dependent edema in pregnancy, resulting from restriction of venous return by the gravid uterus, is properly treated through elevation of the lower extremities and use of support stockings. Use of diuretics to lower intravascular volume in this instance is illogical and unnecessary. During normal pregnancy there is hypervolemia  which is not harmful to the fetus or the mother in the absence of cardiovascular disease. However, it may be associated with edema, rarely generalized edema. If such edema causes discomfort, increased recumbency will often provide relief. Rarely this edema may cause extreme discomfort which is not relieved by rest. In these instances, a short course of diuretic therapy may provide relief and be appropriate.

Principal Display Panel

NDC: 42708-164-30

Information for Patients

Non-melanoma Skin Cancer:Instruct patients taking hydrochlorothiazide to protect skin from the sun and undergo regular skin cancer screening.

Dosage and Administration (DOSAGE AND ADMINISTRATION)

Therapy should be individualized according to patient response. Use the smallest dosage necessary to achieve the required response.

Drug/laboratory Test Interactions (Drug/Laboratory Test Interactions)

Thiazides should be discontinued before carrying out tests for parathyroid function (s ee PRECAUTIONS, General)

Carcinogenesis, Mutagenesis, Impairment of Fertility

Two-year feeding studies in mice and rats conducted under the auspices of the National Toxicology Program (NTP) uncovered no evidence of a carcinogenic potential of hydrochlorothiazide in female mice (at doses of up to approximately 600 mg/kg/day) or in male and female rats (at doses of up to approximately 100 mg/kg/day). The NTP, however, found equivocal evidence for hepatocarcinogenicity in male mice.

Hydrochlorothiazide was not genotoxic in vitroin the Ames mutagenicity assay of Salmonella typhimuriumstrains TA 98, TA100, TA 1535, TA 1537, and TA 1538 and in the Chinese Hamster Ovary (CHO) test for chromosomal aberrations, or in vivoin assays using mouse germinal cell chromosomes, Chinese hamster bone marrow chromosomes, and the Drosophilasex-linked recessive lethal trait gene. Positive test results were obtained only in the in vitroCHO Sister Chromatid Exchange (clastogenicity) and in the Mouse Lymphoma Cell (mutagenicity) assays, using concentrations of hydrochlorothiazide from 43 to 1,300 mcg/mL, and in the Aspergillus nidulansnon-disjunction assay at an unspecified concentration.

Hydrochlorothiazide had no adverse effects on the fertility of mice and rats of either sex in studies wherein these species were exposed, via their diet, to doses of up to 100 and 4 mg/kg, respectively, prior to conception and throughout gestation.


Advanced Ingredient Data


Raw Label Data

All Sections (JSON)