These Highlights Do Not Include All The Information Needed To Use Abacavir, Lamivudine And Zidovudine Tablets Safely And Effectively. See Full Prescribing Information For Abacavir, Lamivudine And Zidovudine Tablets.

These Highlights Do Not Include All The Information Needed To Use Abacavir, Lamivudine And Zidovudine Tablets Safely And Effectively. See Full Prescribing Information For Abacavir, Lamivudine And Zidovudine Tablets.
SPL v16
SPL
SPL Set ID f5f7c0d9-a247-4308-8269-32accc490ea6
Route
ORAL
Published
Effective Date 2017-07-01
Document Type 34391-3 HUMAN PRESCRIPTION DRUG LABEL

Drug Facts

Composition & Product

Active Ingredients
Lamivudine (150 mg) Zidovudine (300 mg) Abacavir
Inactive Ingredients
Cellulose, Microcrystalline Crospovidone Fd&c Blue No. 2 Ferric Oxide Yellow Magnesium Stearate Polyethylene Glycol, Unspecified Polyvinyl Alcohol, Unspecified Povidone Talc Titanium Dioxide

Identifiers & Packaging

Pill Appearance
Imprint: LU;N51 Shape: oval Color: blue Size: 22 mm Score: 1
Marketing Status
ANDA Completed Since 2013-12-17 Until 2022-12-31

Description

WARNING: HYPERSENSITIVITY REACTIONS, HEMATOLOGIC TOXICITY, MYOPATHY, LACTIC ACIDOSIS AND SEVERE HEPATOMEGALY WITH STEATOSIS, and EXACERBATIONS OF HEPATITIS B See full prescribing information for complete boxed warning. Hypersensitivity Reactions Serious and sometimes fatal hypersensitivity reactions have occurred with abacavir-containing products. ( 5.1 ) Hypersensitivity to abacavir is a multi-organ clinical syndrome. ( 5.1 ) Patients who carry the HLA-B*5701 allele are at a higher risk of experiencing a hypersensitivity reaction to abacavir. ( 5.1 ) Abacavir, lamivudine and zidovudine tablets are contraindicated in patients with a prior hypersensitivity reaction to abacavir and in HLA-B*5701-positive patients. ( 4 ) Discontinue abacavir, lamivudine and zidovudine tablets as soon as a hypersensitivity reaction is suspected. Regardless of HLA-B*5701 status, permanently discontinue abacavir, lamivudine and zidovudine tablets if hypersensitivity cannot be ruled out, even when other diagnoses are possible. ( 5.1 ) Following a hypersensitivity reaction to abacavir, lamivudine and zidovudine tablets NEVER restart abacavir, lamivudine and zidovudine tablets or any other abacavir-containing product. ( 5.1 ) Hematologic Toxicity Hematologic toxicity, including neutropenia and anemia, has been associated with the use of zidovudine, a component of abacavir, lamivudine and zidovudine tablets . ( 5.2 ) Myopathy Symptomatic myopathy associated with prolonged use of zidovudine. ( 5.3 ) Lactic Acidosis and Severe Hepatomegaly with Steatosis   Lactic acidosis and severe hepatomegaly with steatosis, including fatal cases, have been reported with the use of nucleoside analogues, including abacavir, lamivudine, and zidovudine (components of abacavir, lamivudine and zidovudine tablets). Suspend treatment if clinical or laboratory findings suggestive of lactic acidosis or pronounced hepatotoxicity occur. ( 5.4 ) Exacerbations of Hepatitis B Severe acute exacerbations of hepatitis B have been reported in patients who are co-infected with hepatitis B virus (HBV) and human immunodeficiency virus (HIV-1) and have discontinued lamivudine, a component of abacavir, lamivudine and zidovudine tablets. Monitor hepatic function closely in these patients and, if appropriate, initiate anti-hepatitis B treatment. ( 5.5 )

Indications and Usage

Abacavir, lamivudine and zidovudine tablet, a combination of abacavir, lamivudine, and zidovudine, each nucleoside analogue HIV-1 reverse transcriptase inhibitors, is indicated in combination with other antiretroviral agents for the treatment of HIV-1 infection.( 1 )

Dosage and Administration

Before initiating abacavir, lamivudine and zidovudine tablets, screen for the HLA-B*5701 allele because abacavir, lamivudine and zidovudine tablet contains abacavir. ( 2.1 ) Adults and pediatric patients weighing at least 40 kg: 1 tablet twice daily. ( 2.2 ) Because abacavir, lamivudine and zidovudine tablet is a fixed-dose tablet and cannot be dose adjusted, abacavir, lamivudine and zidovudine tablets are not recommended in patients requiring dosage adjustment or patients with hepatic impairment. ( 2.3 , 4 )

Warnings and Precautions

  Hepatic decompensation, some fatal, has occurred in HIV-1/HCV co-infected patients receiving combination antiretroviral therapy and interferon alfa with or without ribavirin. Discontinue abacavir, lamivudine and zidovudine tablets as medically appropriate and consider dose reduction or discontinuation of interferon alfa, ribavirin, or both. ( 5.6 )   Exacerbation of anemia has been reported in HIV-1/HCV co-infected patients receiving ribavirin and zidovudine. Coadministration of ribavirin and zidovudine is not advised. ( 5.6 )   Immune reconstitution syndrome and lipoatrophy have been reported in patients treated with combination antiretroviral therapy. ( 5. 7, 5.8 )

Contraindications

Presence of HLA-B*5701 allele. ( 4 ) Prior hypersensitivity reaction to abacavir, lamivudine, or zidovudine ( 4 ) Moderate or severe hepatic impairment. ( 4 , 8.7 )

Adverse Reactions

The most commonly reported adverse reactions (incidence at least 10%) in clinical trials were nausea, headache, malaise and fatigue, and nausea and vomiting. ( 6.1 ) To report SUSPECTED ADVERSE REACTIONS, contact Lupin Pharmaceuticals, Inc. at 1-800-399-2561 or FDA at 1-800-FDA-1088 or www.fda.gov/medwatch .

Drug Interactions

Methadone: An increased methadone dose may be required in a small number of patients. ( 7.1 ) Riociguat: The riociguat dose may need to be reduced. ( 7.1 ) Sorbitol: Coadministration of lamivudine and sorbitol may decrease lamivudine concentrations; when possible, avoid chronic coadministration. ( 7.2 ) Agents antagonistic with zidovudine: Concomitant use should be avoided. ( 7.3 ) Hematologic/bone marrow suppressive/cytotoxic agents: May increase the hematologic toxicity of zidovudine. ( 7.3 )

Storage and Handling

Abacavir, lamivudine and zidovudine is available as tablets. Each tablet contains 300 mg of abacavir as abacavir sulfate, 150 mg of lamivudine, and 300 mg of zidovudine. The tablets are blue-green colored, oval shaped, biconvex, film-coated, debossed with "LU" on one side and "N51" on the other side. They are packaged as follows: Bottles of 60 Tablets                           NDC 68180-286-07 Bottles of 100 Tablets                         NDC 68180-286-01 Bottles of 500 Tablets                         NDC 68180-286-02 Store at 25°C (77°F); excursions permitted to 15° to 30°C (59° to 86°F) [see USP Controlled Room Temperature].

How Supplied

Abacavir, lamivudine and zidovudine is available as tablets. Each tablet contains 300 mg of abacavir as abacavir sulfate, 150 mg of lamivudine, and 300 mg of zidovudine. The tablets are blue-green colored, oval shaped, biconvex, film-coated, debossed with "LU" on one side and "N51" on the other side. They are packaged as follows: Bottles of 60 Tablets                           NDC 68180-286-07 Bottles of 100 Tablets                         NDC 68180-286-01 Bottles of 500 Tablets                         NDC 68180-286-02 Store at 25°C (77°F); excursions permitted to 15° to 30°C (59° to 86°F) [see USP Controlled Room Temperature].


Medication Information

Warnings and Precautions

  Hepatic decompensation, some fatal, has occurred in HIV-1/HCV co-infected patients receiving combination antiretroviral therapy and interferon alfa with or without ribavirin. Discontinue abacavir, lamivudine and zidovudine tablets as medically appropriate and consider dose reduction or discontinuation of interferon alfa, ribavirin, or both. ( 5.6 )   Exacerbation of anemia has been reported in HIV-1/HCV co-infected patients receiving ribavirin and zidovudine. Coadministration of ribavirin and zidovudine is not advised. ( 5.6 )   Immune reconstitution syndrome and lipoatrophy have been reported in patients treated with combination antiretroviral therapy. ( 5. 7, 5.8 )

Indications and Usage

Abacavir, lamivudine and zidovudine tablet, a combination of abacavir, lamivudine, and zidovudine, each nucleoside analogue HIV-1 reverse transcriptase inhibitors, is indicated in combination with other antiretroviral agents for the treatment of HIV-1 infection.( 1 )

Dosage and Administration

Before initiating abacavir, lamivudine and zidovudine tablets, screen for the HLA-B*5701 allele because abacavir, lamivudine and zidovudine tablet contains abacavir. ( 2.1 ) Adults and pediatric patients weighing at least 40 kg: 1 tablet twice daily. ( 2.2 ) Because abacavir, lamivudine and zidovudine tablet is a fixed-dose tablet and cannot be dose adjusted, abacavir, lamivudine and zidovudine tablets are not recommended in patients requiring dosage adjustment or patients with hepatic impairment. ( 2.3 , 4 )

Contraindications

Presence of HLA-B*5701 allele. ( 4 ) Prior hypersensitivity reaction to abacavir, lamivudine, or zidovudine ( 4 ) Moderate or severe hepatic impairment. ( 4 , 8.7 )

Adverse Reactions

The most commonly reported adverse reactions (incidence at least 10%) in clinical trials were nausea, headache, malaise and fatigue, and nausea and vomiting. ( 6.1 ) To report SUSPECTED ADVERSE REACTIONS, contact Lupin Pharmaceuticals, Inc. at 1-800-399-2561 or FDA at 1-800-FDA-1088 or www.fda.gov/medwatch .

Drug Interactions

Methadone: An increased methadone dose may be required in a small number of patients. ( 7.1 ) Riociguat: The riociguat dose may need to be reduced. ( 7.1 ) Sorbitol: Coadministration of lamivudine and sorbitol may decrease lamivudine concentrations; when possible, avoid chronic coadministration. ( 7.2 ) Agents antagonistic with zidovudine: Concomitant use should be avoided. ( 7.3 ) Hematologic/bone marrow suppressive/cytotoxic agents: May increase the hematologic toxicity of zidovudine. ( 7.3 )

Storage and Handling

Abacavir, lamivudine and zidovudine is available as tablets. Each tablet contains 300 mg of abacavir as abacavir sulfate, 150 mg of lamivudine, and 300 mg of zidovudine. The tablets are blue-green colored, oval shaped, biconvex, film-coated, debossed with "LU" on one side and "N51" on the other side. They are packaged as follows: Bottles of 60 Tablets                           NDC 68180-286-07 Bottles of 100 Tablets                         NDC 68180-286-01 Bottles of 500 Tablets                         NDC 68180-286-02 Store at 25°C (77°F); excursions permitted to 15° to 30°C (59° to 86°F) [see USP Controlled Room Temperature].

How Supplied

Abacavir, lamivudine and zidovudine is available as tablets. Each tablet contains 300 mg of abacavir as abacavir sulfate, 150 mg of lamivudine, and 300 mg of zidovudine. The tablets are blue-green colored, oval shaped, biconvex, film-coated, debossed with "LU" on one side and "N51" on the other side. They are packaged as follows: Bottles of 60 Tablets                           NDC 68180-286-07 Bottles of 100 Tablets                         NDC 68180-286-01 Bottles of 500 Tablets                         NDC 68180-286-02 Store at 25°C (77°F); excursions permitted to 15° to 30°C (59° to 86°F) [see USP Controlled Room Temperature].

Description

WARNING: HYPERSENSITIVITY REACTIONS, HEMATOLOGIC TOXICITY, MYOPATHY, LACTIC ACIDOSIS AND SEVERE HEPATOMEGALY WITH STEATOSIS, and EXACERBATIONS OF HEPATITIS B See full prescribing information for complete boxed warning. Hypersensitivity Reactions Serious and sometimes fatal hypersensitivity reactions have occurred with abacavir-containing products. ( 5.1 ) Hypersensitivity to abacavir is a multi-organ clinical syndrome. ( 5.1 ) Patients who carry the HLA-B*5701 allele are at a higher risk of experiencing a hypersensitivity reaction to abacavir. ( 5.1 ) Abacavir, lamivudine and zidovudine tablets are contraindicated in patients with a prior hypersensitivity reaction to abacavir and in HLA-B*5701-positive patients. ( 4 ) Discontinue abacavir, lamivudine and zidovudine tablets as soon as a hypersensitivity reaction is suspected. Regardless of HLA-B*5701 status, permanently discontinue abacavir, lamivudine and zidovudine tablets if hypersensitivity cannot be ruled out, even when other diagnoses are possible. ( 5.1 ) Following a hypersensitivity reaction to abacavir, lamivudine and zidovudine tablets NEVER restart abacavir, lamivudine and zidovudine tablets or any other abacavir-containing product. ( 5.1 ) Hematologic Toxicity Hematologic toxicity, including neutropenia and anemia, has been associated with the use of zidovudine, a component of abacavir, lamivudine and zidovudine tablets . ( 5.2 ) Myopathy Symptomatic myopathy associated with prolonged use of zidovudine. ( 5.3 ) Lactic Acidosis and Severe Hepatomegaly with Steatosis   Lactic acidosis and severe hepatomegaly with steatosis, including fatal cases, have been reported with the use of nucleoside analogues, including abacavir, lamivudine, and zidovudine (components of abacavir, lamivudine and zidovudine tablets). Suspend treatment if clinical or laboratory findings suggestive of lactic acidosis or pronounced hepatotoxicity occur. ( 5.4 ) Exacerbations of Hepatitis B Severe acute exacerbations of hepatitis B have been reported in patients who are co-infected with hepatitis B virus (HBV) and human immunodeficiency virus (HIV-1) and have discontinued lamivudine, a component of abacavir, lamivudine and zidovudine tablets. Monitor hepatic function closely in these patients and, if appropriate, initiate anti-hepatitis B treatment. ( 5.5 )

Section 42229-5

Hypersensitivity Reactions

Serious and sometimes fatal hypersensitivity reactions, with multiple organ involvement, have occurred with abacavir, a component of abacavir, lamivudine and zidovudine tablets. Patients who carry the HLA-B*5701 allele are at a higher risk of a hypersensitivity reaction to abacavir; although, hypersensitivity reactions have occurred in patients who do not carry the HLA-B*5701 allele [see WARNINGS AND PRECAUTIONS (5.1)].

Abacavir, lamivudine and zidovudine tablets are contraindicated in patients with a prior hypersensitivity reaction to abacavir and in HLA-B*5701-positive patients [see CONTRAINDICATIONS (4), WARNINGS AND PRECAUTIONS (5.1)]. All patients should be screened for the HLA-B*5701 allele prior to initiating therapy with abacavir, lamivudine and zidovudine tablets or reinitiation of therapy with abacavir, lamivudine and zidovudine tablets, unless patients have a previously documented HLA-B*5701 allele assessment. Discontinue abacavir, lamivudine and zidovudine tablets immediately if a hypersensitivity reaction is suspected, regardless of HLA-B*5701 status and even when other diagnoses are possible [see CONTRAINDICATIONS (4), WARNINGS AND PRECAUTIONS (5.1)].

Following a hypersensitivity reaction to abacavir, lamivudine and zidovudine tablets, NEVER restart abacavir, lamivudine and zidovudine tablets or any other abacavir-containing product because more severe symptoms, including death, can occur within hours. Similar severe reactions have also occurred rarely following the reintroduction of abacavir-containing products in patients who have no history of abacavir hypersensitivity [see WARNINGS AND PRECAUTIONS (5.1)].

Hematologic Toxicity

Zidovudine, a component of abacavir, lamivudine and zidovudine tablets, has been associated with hematologic toxicity, including neutropenia and severe anemia, particularly in patients with advanced Human Immunodeficiency Virus (HIV-1) disease [see WARNINGS AND PRECAUTIONS (5.2)].

Myopathy

Prolonged use of zidovudine has been associated with symptomatic myopathy [see WARNINGS AND PRECAUTIONS (5.3)].

Lactic Acidosis and Severe Hepatomegaly with Steatosis

Lactic acidosis and severe hepatomegaly with steatosis, including fatal cases, have been reported with the use of nucleoside analogues, including abacavir, lamivudine, and zidovudine (components of abacavir, lamivudine and zidovudine tablets). Discontinue abacavir, lamivudine and zidovudine tablets if clinical or laboratory findings suggestive of lactic acidosis or pronounced hepatotoxicity occur [see WARNINGS AND PRECAUTIONS (5.4)].

Exacerbations of Hepatitis B

Severe acute exacerbations of hepatitis B have been reported in patients who are co-infected with hepatitis B virus (HBV) and HIV-1 and have discontinued lamivudine, a component of abacavir, lamivudine and zidovudine tablets. Hepatic function should be monitored closely with both clinical and laboratory follow-up for at least several months in patients who discontinue abacavir, lamivudine and zidovudine tablets and are co-infected with HIV-1 and HBV. If appropriate, initiation of anti-hepatitis B therapy may be warranted [see WARNINGS AND PRECAUTIONS (5.5)].

Section 51945-4

ABACAVIR, LAMIVUDINE AND ZIDOVUDINE TABLETS

300 mg 150 mg 300 mg

Rx only

NDC 68180-286-07

Notice to Authorized Dispenser:

Dispense drug product with Medication Guide and Warning Card from the carton.

Each tablet contains abacavir sulfate USP equivalent to 300 mg of abacavir, 150 mg of lamivudine USP, and 300 mg of zidovudine USP.

Store at 25°C (77°F); excursions permitted to 15° to 30°C (59° to 86°F) [see USP Controlled Room Temperature].

See prescribing information for dosage information.

Manufactured for:

Lupin Pharmaceuticals, Inc.

Baltimore, Maryland 21202

United States

Manufactured by:

Lupin Limited

Pithampur (M.P.) - 454 775

INDIA

5.3 Myopathy

Myopathy and myositis, with pathological changes similar to that produced by HIV-1 disease, have been associated with prolonged use of zidovudine, and therefore may occur with therapy with abacavir, lamivudine and zidovudine tablets.

7.1 Abacavir

Methadone

In a trial of 11 HIV-1-infected subjects receiving methadone-maintenance therapy with 600 mg of ZIAGEN® twice daily (twice the currently recommended dose), oral methadone clearance increased [see CLINICAL PHARMACOLOGY (12.3)]. This alteration will not result in a methadone dose modification in the majority of patients; however, an increased methadone dose may be required in a small number of patients.

Riociguat

Coadministration with fixed-dose abacavir/dolutegravir/lamivudine resulted in increased riociguat exposure, which may increase the risk of riociguat adverse reactions [see Clinical Pharmacology (12.3)]. The riociguat dose may need to be reduced. See full prescribing information for ADEMPAS (riociguat).

10 Overdosage

There is no known specific treatment for overdose with abacavir, lamivudine and zidovudine tablets. If overdose occurs, the patient should be monitored and standard supportive treatment applied as required.

Abacavir

It is not known whether abacavir can be removed by peritoneal dialysis or hemodialysis.

Lamivudine

Because a negligible amount of lamivudine was removed via (4-hour) hemodialysis, continuous ambulatory peritoneal dialysis, and automated peritoneal dialysis, it is not known if continuous hemodialysis would provide clinical benefit in a lamivudine overdose event.

Zidovudine

Acute overdoses of zidovudine have been reported in pediatric patients and adults. These involved exposures up to 50 grams. No specific symptoms or signs have been identified following acute overdosage with zidovudine apart from those listed as adverse events such as fatigue, headache, vomiting, and occasional reports of hematological disturbances. Patients recovered without permanent sequelae. Hemodialysis and peritoneal dialysis appear to have a negligible effect on the removal of zidovudine, while elimination of its primary metabolite, 3′- azido-3′-deoxy-5′-O-β-D-glucopyranuronosylthymidine (GZDV), is enhanced.

8.1 Pregnancy

Pregnancy Exposure Registry

There is a pregnancy exposure registry that monitors pregnancy outcomes in women exposed to abacavir, lamivudine and zidovudine tablets during pregnancy. Healthcare providers are encouraged to register patients by calling the Antiretroviral Pregnancy Registry (APR) at 1-800-258-4263.

Risk Summary

Available data from the APR show no difference in the overall risk of birth defects for abacavir, lamivudine, or zidovudine compared with the background rate for birth defects of 2.7% in the Metropolitan Atlanta Congenital Defects Program (MACDP) reference population [see Data]. The APR uses the MACDP as the U.S. reference population for birth defects in the general population. The MACDP evaluates women and infants from a limited geographic area and does not include outcomes for births that occurred at less than 20 weeks' gestation. The rate of miscarriage is not reported in the APR. The estimated background rate of miscarriage in clinically recognized pregnancies in the U.S. general population is 15% to 20%. The background risk for major birth defects and miscarriage for the indicated population is unknown.

Hyperlactatemia, which may be due to mitochondrial dysfunction, has been reported in infants with in utero exposure to zidovudine-containing products. These events were transient and asymptomatic in most cases. There have been few reports of developmental delay, seizures, and other neurological disease. However, a causal relationship between these events and exposure to zidovudine-containing products in utero or peri-partum has not been established (see Data).

In animal reproduction studies, oral administration of abacavir to pregnant rats during organogenesis resulted in fetal malformations and other embryonic and fetal toxicities at exposures 35 times the human exposure (AUC) at the recommended clinical daily dose. However, no adverse developmental effects were observed following oral administration of abacavir to pregnant rabbits during organogenesis, at exposures approximately 9 times the human exposure (AUC) at the recommended clinical dose. Oral administration of lamivudine to pregnant rabbits during organogenesis resulted in embryolethality at systemic exposure (AUC) similar to the recommended clinical dose; however, no adverse development effects were observed with oral administration of lamivudine to pregnant rats during organogenesis at plasma concentrations (Cmax) 35 times the recommended clinical dose. Administration of oral zidovudine to female rats prior to mating and throughout gestation resulted in embryotoxicity at doses that produced systemic exposure (AUC) approximately 33 times higher than exposure at the recommended clinical dose. However, no embryotoxicity was observed after oral administration of zidovudine to pregnant rats during organogenesis at doses that produced systemic exposure (AUC) approximately 117 times higher than exposures at the recommended clinical dose. Administration of oral zidovudine to pregnant rabbits during organogenesis resulted in embryotoxicity at doses that produced systemic exposure (AUC) approximately 108 times higher than exposure at the recommended clinical dose. However, no embryotoxicity was observed at doses that produced systemic exposure (AUC) approximately 23 times higher than exposures at the recommended clinical dose (see Data).

Data

Human Data:

Abacavir

Based on prospective reports to the APR of  exposures to abacavir during pregnancy resulting in live births (including over 1,300 exposed in the first trimester and over 1,300 exposed in the second/third trimester), there was no difference between the overall risk of birth defects for abacavir compared with the background birth defect rate of 2.7% in a U.S. reference population of the MACDP. The prevalence of defects in live births was 3.2% (95% CI: 2.3% to 4.3%) following first trimester exposure to abacavir-containing regimens and 2.9% (95% CI: 2.1% to 4%) following second/third trimester exposure to abacavir-containing regimens.

Abacavir has been shown to cross the placenta and concentrations in neonatal plasma at birth were essentially equal to those in maternal plasma at delivery [see CLINICAL PHARMACOLOGY (12.3)].

Lamivudine

Based on prospective reports to the APR of of exposures to lamivudine during pregnancy resulting in live births (including over 5300 exposed in the first trimester and over 7,400 exposed in the second/third trimester), there was no difference between the overall risk of birth defects for lamivudine compared with the background birth defect rate of 2.7% in a U.S. reference population of the MACDP. The prevalence of birth defects in live births was 3.1% (95% CI: 2.7% to 3.6%) following first trimester exposure to lamivudine-containing regimens and 2.9% (95% CI: 2.5% to 3.3%) following second/third trimester exposure to lamivudine-containing regimens..

Lamivudine pharmacokinetics were studied in pregnant women during 2 clinical trials conducted in South Africa. The trials assessed pharmacokinetics in 16 women at 36 weeks' gestation using 150 mg lamivudine twice daily with zidovudine, 10 women at 38 weeks' gestation using 150 mg lamivudine twice daily with zidovudine, and 10 women at 38 weeks' gestation using lamivudine 300 mg twice daily without other antiretrovirals. These trials were not designed or powered to provide efficacy information. Lamivudine concentrations were generally similar in maternal, neonatal, and umbilical cord serum samples. In a subset of subjects, amniotic fluid specimens were collected following natural rupture of membranes and confirmed that lamivudine crosses the placenta in humans. Based on limited data at delivery, median (range) amniotic fluid concentrations of lamivudine were 3.9 (1.2 to 12.8)–fold greater compared with paired maternal serum concentration (n = 8).

Zidovudine

Based on prospective reports to the APR of exposures to zidovudine during pregnancy resulting in live births (including over 4,200 exposed in the first trimester and over 9,700 exposed in the second/third trimester), there was no difference between the overall risk of birth defects for zidovudine compared with the background birth defect rate of 2.7% in a U.S. reference population of the MACDP. The prevalence of birth defects in live births was 3.2% (95% CI: 2.7% to 3.8%) following first trimester exposure to zidovudine-containing regimens and 2.8% (95% CI: 2.5% to 3.1%) following second/third trimester exposure to zidovudine-containing regimens.

A randomized, double-blind, placebo-controlled trial was conducted in HIV-1-infected pregnant women to determine the utility of zidovudine for the prevention of maternal-fetal HIV-1 transmission. Zidovudine treatment during pregnancy reduced the rate of maternal-fetal HIV-1 transmission from 24.9% for infants born to placebo-treated mothers to 7.8% for infants born to mothers treated with zidovudine. There were no differences in pregnancy-related adverse events between the treatment groups. Of the 363 neonates that were evaluated, congenital abnormalities occurred with similar frequency between neonates born to mothers who received zidovudine and neonates born to mothers who received placebo. The observed abnormalities included problems in embryogenesis (prior to 14 weeks) or were recognized on ultrasound before or immediately after initiation of trial drug. See full prescribing information for RETROVIR® (zidovudine) and COMBIVIR® (lamivudine and zidovudine).

Zidovudine has been shown to cross the placenta and concentrations in neonatal plasma at birth were essentially equal to those in maternal plasma at delivery [see CLINICAL PHARMACOLOGY (12.3)].

There have been reports of mild, transient elevations in serum lactate levels, which may be due to mitochondrial dysfunction, in neonates and infants exposed in utero or peri-partum to zidovudine-containing products. There have been few reports of developmental delay, seizures, and other neurological disease. However, a causal relationship between these events and exposure to zidovudine-containing products in utero or peri-partum has not been established. The clinical relevance of transient elevations in serum lactate is unknown.

Animal Data:

Abacavir

Abacavir was administered orally to pregnant rats (at 100, 300, and 1,000 mg per kg per day) and rabbits (at 125, 350, or 700 mg per kg per day) during organogenesis (on Gestation Days 6 through 17 and 6 through 20, respectively). Fetal malformations (increased incidences of fetal anasarca and skeletal malformations) or developmental toxicity (decreased fetal body weight and crown-rump length) were observed in rats at doses up to 1,000 mg per kg per day, resulting in exposures approximately 35 times the human exposure (AUC) at the recommended daily dose. No developmental effects were observed in rats at 100 mg per kg per day, resulting in exposures (AUC) 3.5 times the human exposure at the recommended daily dose. In a fertility and early embryo-fetal development study conducted in rats (at 60, 160, or 500 mg per kg per day), embryonic and fetal toxicities (increased resorptions, decreased fetal body weights) or toxicities to the offspring (increased incidence of stillbirth and lower body weights) occurred at doses up to 500 mg per kg per day. No developmental effects were observed in rats at 60 mg per kg per day, resulting in exposures (AUC) approximately 4 times the human exposure at the recommended daily dose. Studies in pregnant rats showed that abacavir is transferred to the fetus through the placenta. In pregnant rabbits, no developmental toxicities and no increases in fetal malformations occurred at up to the highest dose evaluated, resulting in exposures (AUC) approximately 9 times the human exposure at the recommended dose.

Lamivudine

Lamivudine was administered orally to pregnant rats (at 90, 600, and 4,000 mg per kg per day) and rabbits (at 90, 300, and 1,000 mg per kg per day and at 15, 40, and 90 mg per kg per day) during organogenesis (on Gestation Days 7 through 16 [rat] and 8 through 20 [rabbit]). No evidence of fetal malformations due to lamivudine was observed in rats and rabbits at doses producing plasma concentrations (Cmax) approximately 35 times higher than human exposure at the recommended daily dose. Evidence of early embryolethality was seen in the rabbit at systemic exposures (AUC) similar to those observed in humans, but there was no indication of this effect in the rat at plasma concentrations (Cmax) 35 times higher than human exposure at the recommended daily dose. Studies in pregnant rats showed that lamivudine is transferred to the fetus through the placenta. In the fertility/pre-and postnatal development study in rats, lamivudine was administered orally at doses of 180, 900, and 4,000 mg per kg per day (from prior to mating through postnatal Day 20). In the study, development of the offspring, including fertility and reproductive performance, was not affected by maternal administration of lamivudine.

Zidovudine

A study in pregnant rats (at 50, 150, or 450 mg per kg per day starting 26 days prior to mating through Gestation to postnatal Day 21) showed increased fetal resorptions at doses that produced systemic exposures (AUC) approximately 33 times higher than exposure at the recommended daily human dose (300 mg twice daily). However, in an oral embryo-fetal development study in rats (at 125, 250, or 500 mg per kg per day on Gestation Days 6 through 15), no fetal resorptions were observed at doses that produced systemic exposure (AUC) approximately 117 times higher than exposures at the recommended daily human dose. An oral embryo-fetal development study in rabbits (at 75, 150, or 500 mg per kg per day on gestation Days 6 through 18) showed increased fetal resorptions at the 500-mg-per-kg-per-day dose which produced systemic exposures (AUC) approximately 108 times higher than exposure at the recommended daily human dose; however, no fetal resorptions were noted at doses up to 150 mg per kg per day, which produced systemic exposure (AUC) approximately 23 times higher than exposures at the recommended daily human dose. These oral embryo-fetal development studies in the rat and rabbit revealed no evidence of fetal malformations with zidovudine. In another developmental toxicity study, pregnant rats (dosed at 3,000 mg per kg per day from Days 6 through 15 of gestation) showed marked maternal toxicity and an increased incidence of fetal malformations at exposures greater than 300 times the recommended daily human dose based on AUC. However, there were no signs of fetal malformations at doses up to 600 mg per kg per day.

8.2 Lactation

Risk Summary

The Centers for Disease Control and Prevention recommends that HIV-1-infected mothers in the United States not breastfeed their infants to avoid risking postnatal transmission of HIV-1 infection. Abacavir, lamivudine and zidovudine are present in human milk. There is no information on the effects of abacavir, lamivudine and zidovudine on the breastfed infant or the effects of the drug on milk production. Because of the potential for (1) HIV-1 transmission (in HIV-negative infants), (2) developing viral resistance (in HIV-positive infants), and (3) adverse reactions in a breastfed infant similar to those seen in adults, instruct mothers not to breastfeed if they are receiving abacavir, lamivudine and zidovudine tablets.

11 Description

Abacavir, lamivudine and zidovudine tablets contain the following 3 synthetic nucleoside analogues: abacavir (ZIAGEN®), lamivudine (also known as EPIVIR® or 3TC), and zidovudine (also known as RETROVIR®, azidothymidine, or ZDV) with inhibitory activity against HIV-1.

Abacavir, lamivudine and zidovudine tablets are for oral administration. Each film-coated tablet contains the active ingredients 300 mg of abacavir as abacavir sulfate, 150 mg of lamivudine, and 300 mg of zidovudine, and the inactive ingredients crospovidone, magnesium stearate, microcrystalline cellulose, povidone, and yellow ferric oxide. The tablets are coated with a film opadry green that is made of FD&C blue no. 2, polyethylene glycol, polyvinyl alcohol, talc, titanium dioxide and yellow ferric oxide.

Abacavir Sulfate

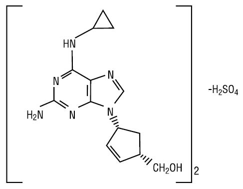
The chemical name of abacavir sulfate is (1S,cis)-4-[2-amino-6-(cyclopropylamino)-9H-purin-9-yl]-2-cyclopentene-1-methanol sulfate (salt) (2:1). Abacavir sulfate is the enantiomer with 1S, 4R absolute configuration on the cyclopentene ring. It has a molecular formula of (C14H18N6O)2·H2SO4 and a molecular weight of 670.74 g per mol. It has the following structural formula:

Abacavir sulfate is a white to off-white powder and soluble in water. Dosages are expressed in terms of abacavir.

Lamivudine

The chemical name of lamivudine is (2R,cis)-4-amino-1-(2-hydroxymethyl-1,3-oxathiolan-5-yl)-(1H)-pyrimidin-2-one, 0.2 hydrate. Lamivudine is the (-) enantiomer of a dideoxy analogue of cytidine. Lamivudine has also been referred to as (-)2',3'-dideoxy, 3'-thiacytidine. It has a molecular formula of C8H11N3O3S·0.2H2O and a molecular weight of 232.86 g per mol. It has the following structural formula:

Lamivudine is a white to off-white solid and is soluble in water.

Zidovudine

The chemical name of zidovudine is 3'-azido-3'-deoxythymidine. It has a molecular formula of C10H13N5O4 and a molecular weight of 267.24 g per mol. It has the following structural formula:

Zidovudine is a white to yellowish powder with a solubility of 20.1 mg/mL in water at 25°C.

7.2 Lamivudine

Sorbitol

Coadministration of single doses of lamivudine and sorbitol resulted in a sorbitol dose-dependent reduction in lamivudine exposures. When possible, avoid use of sorbitol-containing medicines with lamivudine-containing medicines [see CLINICAL PHARMACOLOGY (12.3)].

 

7.3 Zidovudine

Agents Antagonistic with Zidovudine

Concomitant use of zidovudine with the following drugs should be avoided since an antagonistic relationship has been demonstrated in vitro:

  • Stavudine
  • Doxorubicin
  • Nucleoside analogues, e.g., ribavirin

Hematologic/Bone Marrow Suppressive/Cytotoxic Agents

Coadministration with the following drugs may increase the hematologic toxicity of zidovudine:

  • Ganciclovir
  • Interferon alfa
  • Ribavirin
  • Other bone marrow suppressive or cytotoxic agents
5.8 Lipoatrophy

Treatment with zidovudine, a component of abacavir, lamivudine and zidovudine tablets, has been associated with loss of subcutaneous fat. The incidence and severity of lipoatrophy are related to cumulative exposure. This fat loss, which is most evident in the face, limbs, and buttocks, may be only partially reversible and improvement may take months to years after switching to a non-zidovudine-containing regimen. Patients should be regularly assessed for signs of lipoatrophy during therapy with zidovudine-containing products, and if feasible, therapy should be switched to an alternative regimen if there is suspicion of lipoatrophy.

12.4 Microbiology

Mechanism of Action

Abacavir :

Abacavir is a carbocyclic synthetic nucleoside analogue. Abacavir is converted by cellular enzymes to the active metabolite, carbovir triphosphate (CBV-TP), an analogue of deoxyguanosine-5′-triphosphate (dGTP). CBV-TP inhibits the activity of HIV-1 reverse transcriptase (RT) both by competing with the natural substrate dGTP and by its incorporation into viral DNA.

Lamivudine:  

Lamivudine is a synthetic nucleoside analogue. Intracellularly, lamivudine is phosphorylated to its active 5′-triphosphate metabolite, lamivudine triphosphate (3TC-TP). The principal mode of action of 3TC-TP is inhibition of RT via DNA chain termination after incorporation of the nucleotide analogue.

Zidovudine :

Zidovudine is a synthetic nucleoside analogue. Intracellularly, zidovudine is phosphorylated to its active 5′-triphosphate metabolite, zidovudine triphosphate (ZDV-TP). The principal mode of action of ZDV-TP is inhibition of RT via DNA chain termination after incorporation of the nucleotide analogue.

Antiviral Activity

Abacavir :

The antiviral activity of abacavir against HIV-1 was assessed in a number of cell lines including primary monocytes/macrophages and peripheral blood mononuclear cells (PBMCs). EC50 values ranged from 3.7 to 5.8 microM (1 microM = 0.28 mcg per mL) and 0.07 to 1.0 microM against HIV-1IIIB and HIV-1BaL, respectively, and the mean EC50 value was 0.26 + 0.18 microM against 8 clinical isolates. The median EC50 values of abacavir were 344 nM (range: 14.8 to 676 nM), 16.9 nM (range: 5.9 to 27.9 nM), 8.1 nM (range: 1.5 to 16.7 nM), 356 nM (range: 35.7 to 396 nM), 105 nM (range: 28.1 to 168 nM), 47.6 nM (range: 5.2 to 200 nM), 51.4 nM (range: 7.1 to 177 nM), and 282 nM (range: 22.4 to 598 nM) against HIV-1 clades A-G and group O viruses (n = 3 except n = 2 for clade B), respectively. The EC50 values against HIV-2 isolates (n = 4), ranged from 0.024 to 0.49 microM.

Lamivudine:  

The antiviral activity of lamivudine against HIV-1 was assessed in a number of cell lines including monocytes and PBMCs using standard susceptibility assays. EC50 values were in the range of 0.003 to 15 microM (1 microM = 0.23 mcg per mL). The median EC50 values of lamivudine were 60 nM (range: 20 to 70 nM), 35 nM (range: 30 to 40 nM), 30 nM (range: 20 to 90 nM), 20 nM (range: 3 to 40 nM), 30 nM (range: 1 to 60 nM), 30 nM (range: 20 to 70 nM), 30 nM (range: 3 to 70 nM), and 30 nM (range: 20 to 90 nM) against HIV-1 clades A - G and group O viruses (n = 3 except n = 2 for clade B), respectively. The EC50 values against HIV-2 isolates (n = 4) ranged from 0.003 to 0.120 microM in PBMCs. Ribavirin (50 microM) used in the treatment of chronic HCV infection decreased the anti-HIV-1 activity of lamivudine by 3.5-fold in MT-4 cells.

Zidovudine:  

The antiviral activity of zidovudine against HIV-1 was assessed in a number of cell lines including monocytes and fresh human peripheral blood lymphocytes. The EC50 and EC90 values for zidovudine were 0.01 to 0.49 microM (1 microM = 0.27 mcg per mL) and 0.1 to 9 microM, respectively. HIV-1 from therapy-naive subjects with no amino acid substitutions associated with resistance gave median EC50 values of 0.011 microM (range: 0.005 to 0.110 microM) from Virco (n = 92 baseline samples) and 0.0017 microM (range: 0.006 to 0.0340 microM) from Monogram Biosciences (n = 135 baseline samples). The EC50 values of zidovudine against different HIV-1 clades (A-G) ranged from 0.00018 to 0.02 microM, and against HIV-2 isolates from 0.00049 to 0.004 microM. Ribavirin has been found to inhibit the phosphorylation of zidovudine in cell culture.

Neither abacavir, lamivudine, nor zidovudine was antagonistic to tested anti-HIV agents, with the exception of stavudine where an antagonistic relationship with zidovudine has been demonstrated in cell culture. See full prescribing information for ZIAGEN (abacavir), EPIVIR (lamivudine), RETROVIR (zidovudine).

Resistance

HIV-1 isolates with reduced susceptibility to abacavir, lamivudine, or zidovudine have been selected in cell culture and were also recovered from subjects treated with abacavir, lamivudine, and zidovudine, or the combinations of the individual components.

Abacavir and Lamivudine :  

HIV-1 isolates with reduced susceptibility to the combination of abacavir and lamivudine have been selected in cell culture with amino acid substitutions, K65R, L74V, Y115F, and M184V/I emerging in HIV-1 RT. M184V or I substitutions resulted in high-level resistance to lamivudine and an approximately 2-fold decrease in susceptibility to abacavir. Substitutions K65R, L74M, or Y115F with M184V or I conferred a 7- to 8-fold reduction in abacavir susceptibility, and combinations of three substitutions were required to confer more than an 8-fold reduction in susceptibility.

Zidovudine:

Genotypic analyses of the isolates selected in cell culture and recovered from zidovudine-treated subjects showed thymidine analogue mutation (TAM) substitutions in HIV-1 RT (M41L, D67N, K70R, L210W, T215Y or F, and K219E/R/H/Q/N) that confer zidovudine resistance. In general, higher levels of resistance were associated with a greater number of substitutions. In some subjects harboring zidovudine-resistant virus at baseline, phenotypic sensitivity to zidovudine was restored by 12 weeks of treatment with lamivudine and zidovudine.

Cross-Resistance

Cross-resistance has been observed among NRTIs. The combination of abacavir/lamivudine has demonstrated decreased susceptibility to viruses with a K65R substitution with or without an M184V/I substitution, viruses with L74V plus the M184V/I substitution, and viruses with TAM substitutions (M41L, D67N, K70R, L210W, T215Y/F, K219 E/R/H/Q/N) plus M184V. An increasing number of TAMs is associated with a progressive reduction in abacavir susceptibility.

TAMs are selected by zidovudine and confer cross-resistance to abacavir, didanosine, stavudine, and tenofovir. Cross-resistance between lamivudine and zidovudine has not been reported.

8.4 Pediatric Use

Abacavir, lamivudine and zidovudine tablet is not recommended in children who weigh less than 40 kg because it is a fixed-dose tablet that cannot be adjusted for these patient populations [see DOSAGE AND ADMINISTRATION (2.3)].

Therapy-Experienced Pediatric Trial

A randomized, double-blind trial, CNA3006, compared ZIAGEN® plus lamivudine and zidovudine versus lamivudine and zidovudine in pediatric subjects, most of whom were extensively pretreated with nucleoside analogue antiretroviral agents. Subjects in this trial had a limited response to abacavir.

8.5 Geriatric Use

Clinical trials of abacavir, lamivudine, and zidovudine did not include sufficient numbers of subjects aged 65 and over to determine whether they respond differently from younger subjects. In general, caution should be exercised in the administration of abacavir, lamivudine and zidovudine tablets in elderly patients reflecting the greater frequency of decreased hepatic, renal, or cardiac function, and of concomitant disease or other drug therapy [see CLINICAL PHARMACOLOGY (12.3)].

14 Clinical Studies

The following trial was conducted with the individual components of abacavir, lamivudine and zidovudine tablet [see CLINICAL PHARMACOLOGY (12.3)].

CNA3005 was a multicenter, double-blind, controlled trial in which 562 HIV-1-infected, therapy-naive adults were randomized to receive either ZIAGEN (300 mg twice daily) plus COMBIVIR (lamivudine 150 mg/zidovudine 300 mg twice daily), or indinavir (800 mg 3 times a day) plus COMBIVIR twice daily. The trial was stratified at randomization by pre-entry plasma HIV-1 RNA 10,000 to 100,000 copies per mL and plasma HIV-1 RNA greater than 100,000 copies per mL. Trial participants were male (87%), Caucasian (73%), black (15%), and Hispanic (9%). At baseline the median age was 36 years; the median pretreatment CD4+ cell count was 360 cells per mm3, and median plasma HIV-1 RNA was 4.8 log10 copies per mL. Proportions of subjects with plasma HIV-1 RNA less than 400 copies per mL (using Roche AMPLICOR HIV-1 MONITOR Test) through 48 weeks of treatment are summarized in Table 5.

Header$Outcome

ZIAGEN plus

Lamivudine/Zidovudine

(n = 262)

Indinavir plus

Lamivudine/Zidovudine

(n = 265)

Respondera

49%

50%

Virologic failureb

31%

28%

Discontinued due to adverse reactions

10%

12%

Discontinued due to other reasonsc

11%

10%

Treatment response by plasma HIV-1 RNA strata is shown in Table 6.

Table 6. Proportions of Responders through Week 48 by Screening Plasma HIV-1 RNA Levels (CNA3005)
Screening  HIV - RNA

( copies / mL )

ZIAGEN ®  plus

Lamivudine / Zidovudine

( 262 )

Indinavir  plus

Lamivudine / Zidovudine

( 265 )



< 400  copies / mL

n

< 400  copies / mL

n

≥10,000 to ≤100,000

50%

166

48%

165

>100,000

48%

96

52%

100

In subjects with baseline viral load greater than 100,000 copies per mL, percentages of subjects with HIV-1 RNA levels less than 50 copies per mL were 31% in the group receiving abacavir vs. 45% in the group receiving indinavir.

Through Week 48, an overall mean increase in CD4+ cell count of about 150 cells per mm3 was observed in both treatment arms. Through Week 48, 9 subjects (3.4%) in the group receiving abacavir (6 CDC classification C events and 3 deaths) and 3 subjects (1.5%) in the group receiving indinavir (2 CDC classification C events and 1 death) experienced clinical disease progression.

29 a Subjects achieved and maintained confirmed HIV-1 RNA less than 400 copies per mL.

4 Contraindications
  • Presence of HLA-B*5701 allele. (4)
  • Prior hypersensitivity reaction to abacavir, lamivudine, or zidovudine (4)
  • Moderate or severe hepatic impairment. (4, 8.7)
6 Adverse Reactions

The most commonly reported adverse reactions (incidence at least 10%) in clinical trials were nausea, headache, malaise and fatigue, and nausea and vomiting. (6.1)

To report SUSPECTED ADVERSE REACTIONS, contact Lupin Pharmaceuticals, Inc. at 1-800-399-2561 or FDA at 1-800-FDA-1088 or www.fda.gov/medwatch.

7 Drug Interactions
  • Methadone: An increased methadone dose may be required in a small number of patients. (7.1)
  • Riociguat: The riociguat dose may need to be reduced. (7.1)
  • Sorbitol: Coadministration of lamivudine and sorbitol may decrease lamivudine concentrations; when possible, avoid chronic coadministration. (7.2)
  • Agents antagonistic with zidovudine: Concomitant use should be avoided. (7.3)
  • Hematologic/bone marrow suppressive/cytotoxic agents: May increase the hematologic toxicity of zidovudine. (7.3)
12.3 Pharmacokinetics

Pharmacokinetics in Adults

In a single-dose, 3-way crossover bioavailability trial of 1 abacavir, lamivudine and zidovudine tablet versus 1 ZIAGEN tablet (300 mg), 1 EPIVIR tablet (150 mg), plus 1 RETROVIR tablet (300 mg) administered simultaneously in healthy subjects (n = 24), there was no difference in the extent of absorption, as measured by the area under the plasma concentration-time curve (AUC) and maximal peak concentration (Cmax), of all 3 components. One abacavir, lamivudine and zidovudine tablet was bioequivalent to 1 ZIAGEN tablet (300 mg), 1 EPIVIR tablet (150 mg), plus 1 RETROVIR tablet (300 mg) following single-dose administration to fasting healthy subjects (n = 24).

Abacavir:

Following oral administration, abacavir is rapidly absorbed and extensively distributed. After oral administration of 300 mg of abacavir twice daily in 20 subjects, Cmax was 3.0 ± 0.89 mcg per mL (mean ± SD) and AUC(0 to 12 h) was 6.02 ± 1.73 mcg•hour per mL. Binding of abacavir to human plasma proteins is approximately 50% and was independent of concentration. Total blood and plasma drug-related radioactivity concentrations are identical, demonstrating that abacavir readily distributes into erythrocytes. The primary routes of elimination of abacavir are metabolism by alcohol dehydrogenase to form the 5′-carboxylic acid and glucuronyl transferase to form the 5′-glucuronide.

Lamivudine:

Following oral administration, lamivudine is rapidly absorbed and extensively distributed. Binding to plasma protein is low. Approximately 70% of an intravenous dose of lamivudine is recovered as unchanged drug in the urine. Metabolism of lamivudine is a minor route of elimination. In humans, the only known metabolite is the trans-sulfoxide metabolite (approximately 5% of an oral dose after 12 hours).

Zidovudine:

Following oral administration, zidovudine is rapidly absorbed and extensively distributed. Binding to plasma protein is low. Zidovudine is eliminated primarily by hepatic metabolism. The major metabolite of zidovudine is GZDV. GZDV AUC is about 3-fold greater than the zidovudine AUC. Urinary recovery of zidovudine and GZDV accounts for 14% and 74% of the dose following oral administration, respectively. A second metabolite, 3′-amino-3′  deoxythymidine (AMT), has been identified in plasma. The AMT AUC was one-fifth of the zidovudine AUC.

In humans, abacavir, lamivudine, and zidovudine are not significantly metabolized by CYP enzymes.

The pharmacokinetic properties of abacavir, lamivudine, and zidovudine in fasting subjects are summarized in Table 3.

Header$Parameter

Abacavir

Lamivudine

Zidovudine

Oral bioavailability (%)

86 ± 25

n = 6

86 ± 16

n = 12

64 ± 10

n = 5

Apparent volume of distribution (L/kg)

0.86 ± 0.15

n = 6

1.3 ± 0.4

n = 20

1.6 ± 0.6

n = 8

Systemic clearance (L/h/kg)

0.80 ± 0.24

n = 6

0.33 ± 0.06

n = 20

1.6 ± 0.6

n = 6

Renal clearance (L/h/kg)

0.007 ± 0.008

n = 6

0.22 ± 0.06

n = 20

0.34 ± 0.05

n = 9

Elimination half-life (h)

1.45 ± 0.32

n = 20

13 to 19b

0.5 to 3b

Effect of Food on Absorption of Abacavir, Lamivudine and Zidovudine Tablets

Administration with food in a single-dose bioavailability trial resulted in lower Cmax, similar to results observed previously for the reference formulations. The average [90% CI] decrease in abacavir, lamivudine, and zidovudine Cmax was 32% [24% to 38%], 18% [10% to 25%], and 28% [13% to 40%], respectively, when administered with a high-fat meal, compared with administration under fasted conditions. Administration of abacavir, lamivudine and zidovudine tablets with food did not alter the extent of abacavir, lamivudine, and zidovudine absorption (AUC), as compared with administration under fasted conditions (n = 24) [see DOSAGE AND ADMINISTRATION (2.2)].

Specific Populations

Patients with Renal Impairment:  

Abacavir, Lamivudine and Zidovudine Tablets 

The effect of renal impairment on the combination of abacavir, lamivudine, and zidovudine has not been evaluated (see the U.S. prescribing information for the individual abacavir, lamivudine, and zidovudine components).

Patients with Hepatic Impairment:  

Abacavir, Lamivudine and Zidovudine Tablets 

The effect of hepatic impairment on the combination of abacavir, lamivudine, and zidovudine has not been evaluated (see the U.S. prescribing information for the individual abacavir, lamivudine, and zidovudine components).

Pregnant Women:  

Abacavir 

Abacavir pharmacokinetics were studied in 25 pregnant women during the last trimester of pregnancy receiving abacavir 300 mg twice daily. Abacavir exposure (AUC) during pregnancy was similar to those in postpartum and in HIV-infected non-pregnant historical controls. Consistent with passive diffusion of abacavir across the placenta, abacavir concentrations in neonatal plasma cord samples at birth were essentially equal to those in maternal plasma at delivery.

Lamivudine

Lamivudine pharmacokinetics were studied in 36 pregnant women during 2 clinical trials conducted in South Africa. Lamivudine pharmacokinetics in pregnant women were similar to those seen in non-pregnant adults and in postpartum women. Lamivudine concentrations were generally similar in maternal, neonatal, and umbilical cord serum samples.

Zidovudine

Zidovudine pharmacokinetics have been studied in a Phase 1 trial of 8 women during the last trimester of pregnancy. Zidovudine pharmacokinetics were similar to those of nonpregnant adults. Consistent with passive transmission of the drug across the placenta, zidovudine concentrations in neonatal plasma at birth were essentially equal to those in maternal plasma at delivery.

Although data are limited, methadone maintenance therapy in 5 pregnant women did not appear to alter zidovudine pharmacokinetics.

Geriatric Patients:  

The pharmacokinetics of abacavir, lamivudine, and zidovudine have not been studied in subjects over 65 years of age.

Male and Female Patients :

There are no significant or clinically relevant gender differences in the pharmacokinetics of the individual components (abacavir, lamivudine, or zidovudine) based on the available information that was analyzed for each of the individual components.

Racial Groups:  

Abacavir and Lamivudine 

There are no significant or clinically relevant racial differences in pharmacokinetics of abacavir or lamivudine based on the available information that was analyzed for each of the individual components.

Zidovudine

The pharmacokinetics of zidovudine with respect to race have not been determined.

Drug Interaction Studies:

The drug interaction trials described were conducted with abacavir, lamivudine or zidovudine as single entities; no drug interaction trials have been conducted using abacavir, lamivudine and zidovudine tablets. No clinically significant drug interactions are expected between abacavir, lamivudine, and zidovudine.

Effect of Abacavir and Lamivudine on the Pharmacokinetics of Other Agents :

In vitro studies have shown that abacavir has potential to inhibit CYP1A1 and limited potential to inhibit metabolism mediated by CYP3A4. Lamivudine does not inhibit or induce CYP3A4. Abacavir and lamivudine do not inhibit or induce other CYP enzymes (such as CYP2C9, or CYP2D6). Based on in vitro study results, abacavir and lamivudine at therapeutic drug exposures are not expected to affect the pharmacokinetics of drugs that are substrates of the following transporters: organic anion transporter polypeptide (OATP)1B1/3, breast cancer resistance protein (BCRP) or P-glycoprotein (P-gp), organic cation transporter (OCT)1, OCT2, OCT3 (lamivudine only), or multidrug and toxic extrusion protein (MATE)1 and MATE2-K.

Riociguat: Coadministration of a single dose of riociguat (0.5 mg) to HIV-1–infected subjects receiving fixed-dose abacavir/dolutegravir/lamivudine is reported to increase riociguat AUC(∞) compared with riociguat AUC(∞) reported in healthy subjects due to CYP1A1 inhibition by abacavir. The exact magnitude of increase in riociguat exposure has not been fully characterized based on findings from two studies [see Drug Interactions (7.1)].

Effect of Other Agents on the Pharmacokinetics of Abacavir, Lamivudine, or Zidovudine:

Abacavir, lamivudine, and zidovudine are not significantly metabolized by CYP P450 enzymes; therefore, CYP enzyme inhibitors or inducers are not expected to affect their concentrations. In vitro, abacavir is not a substrate of OATP1B1, OATP1B3, OCT1, OCT2, OAT1, MATE1, MATE2-K, multidrug resistance-associated protein (MRP)2 or MRP4; therefore, drugs that modulate these transporters are not expected to affect abacavir plasma concentrations. Abacavir is a substrate of BCRP and P-gp in vitro; however, considering its absolute bioavailability (83%), modulators of these transporters are unlikely to result in a clinically relevant impact on abacavir concentrations.

Lamivudine is a substrate of MATE1, MATE2-K, and OCT2 in vitro. Trimethoprim (an inhibitor of these drug transporters) has been shown to increase lamivudine plasma concentrations. This interaction is not considered clinically significant as no dose adjustment of lamivudine is needed.

Lamivudine is a substrate of P-gp and BCRP; however, considering its absolute bioavailability (87%), it is unlikely that these transporters play a significant role in the absorption of lamivudine. Therefore, coadministration of drugs that are inhibitors of these efflux transporters is unlikely to affect the disposition and elimination of lamivudine.

Glucuronyl Transferase :

Due to the common metabolic pathways of abacavir and zidovudine via glucuronyl transferase, 15 HIV-1-infected subjects were enrolled in a crossover trial evaluating single doses of abacavir (600 mg), lamivudine (150 mg), and zidovudine (300 mg) alone or in combination. Analysis showed no clinically relevant changes in the pharmacokinetics of abacavir with the addition of lamivudine or zidovudine or the combination of lamivudine and zidovudine. Lamivudine exposure (AUC decreased 15%) and zidovudine exposure (AUC increased 10%) did not show clinically relevant changes with concurrent abacavir.

Ethanol :

Abacavir has no effect on the pharmacokinetic properties of ethanol. Ethanol decreases the elimination of abacavir causing an increase in overall exposure.

Interferon Alfa :

There was no significant pharmacokinetic interaction between lamivudine and interferon alfa in a trial of 19 healthy male subjects.

Methadone :

In a trial of 11 HIV-1-infected subjects receiving methadone-maintenance therapy (40 mg and 90 mg daily), with 600 mg of abacavir twice daily (twice the currently recommended dose), oral methadone clearance increased 22% (90% CI: 6% to 42%) [see DRUG INTERACTIONS (7.1)]. The addition of methadone has no clinically significant effect on the pharmacokinetic properties of abacavir.

Ribavirin :

In vitro data indicate ribavirin reduces phosphorylation of lamivudine, stavudine, and zidovudine. However, no pharmacokinetic (e.g., plasma concentrations or intracellular triphosphorylated active metabolite concentrations) or pharmacodynamic (e.g., loss of HIV-1/HCV virologic suppression) interaction was observed when ribavirin and lamivudine (n = 18), stavudine (n = 10), or zidovudine (n = 6) were coadministered as part of a multi-drug regimen to HIV-1/HCV co-infected subjects [see WARNINGS AND PRECAUTIONS (5.6)].

Sorbitol (Excipient):

Lamivudine and sorbitol solutions were coadministered to 16 healthy adult subjects in an open-label, randomized-sequence, 4-period, crossover trial. Each subject received a single 300-mg dose of lamivudine oral solution alone or coadministered with a single dose of 3.2 grams, 10.2 grams, or 13.4 grams of sorbitol in solution. Coadministration of lamivudine with sorbitol resulted in dose-dependent decreases of 20%, 39%, and 44% in the AUC (0-24); 14%, 32%, and 36% in the AUC( ); and 28%, 52%, and 55% in the Cmax; of lamivudine, respectively.

The effects of other coadministered drugs on abacavir, lamivudine, or zidovudine are provided in Table 4.

Table 4. Effect of Coadministered Drugs on Abacavir, Lamivudine, and Zidovudine AUC
See DRUG INTERACTIONS (7) for additional information on drug interactions.

↑= Increase; ↓= Decrease; ↔= No significant change; AUC = Area under the concentration versus time curve; CI = Confidence interval.



Coadministered 

Drug  and  Dose

Drug  and  Dose

n

Concentrations  of  Abacavir Lamivudine or  Zidovudine

Concentration  of  Coadministered  Drug







AUC

Variability



Ethanol

0.7 g/kg

Abacavir single

600 mg

24

↑41%

90% CI:

35% to 48%

The drug-drug interaction was only evaluated in males.


Nelfinavir

750 mg every 8 h x 7 to 10 days

Lamivudine single

150 mg

11

↑10%

95% CI:

1% to 20%



Trimethoprim 160 mg/ Sulfamethoxazole 

800 mg daily x 5 days

Lamivudine single

300 mg

14

↑43%

90% CI:

32% to 55%



Atovaquone

750 mg every 12 h with food

Zidovudine

200 mg every

8 h

14

↑31%

Range: 23% to 78%
Estimated range of percent difference.




Clarithromycin 500 mg twice daily

Zidovudine

100 mg every

4 h x 7 days

4

↓12%

Range:

↓34% to ↑14%

Not Reported

Fluconazole 400 mg daily

Zidovudine

200 mg every

8 h

12

↑74%

95% CI:

54% to 98%

Not Reported

Methadone 30 to 90 mg daily

Zidovudine

200 mg every

4 h

9

↑43%

Range:

16% to 64%




Nelfinavir 750 mg every 8 h x 7 to 10 days

Zidovudine

single

200 mg

11

↓35%

Range:

28% to 41%



Probenecid 500 mg every 6 h x

2 days

Zidovudine

2 mg/kg every

8 h x 3 days

3

↑106%

Range:

100% to 170% c

Not Assessed

Rifampin

   600 mg daily x

   14 days

Zidovudine

200 mg every

8 h x 14 days

8

↓47%

90% CI:

41% to 53%

Not Assessed

Ritonavir

   300 mg every 6 h x 4

   days

Zidovudine

200 mg every 8 h x 4 days

9

↓25%

95% CI:

15% to 34%



Valproic acid

   250 mg or 500 mg

   every 8 h x 4 days

Zidovudine

100 mg every 8 h x

4 days

6

↑80%

Range:

64% to 130%


Not Assesed

1 Indications and Usage

Abacavir, lamivudine and zidovudine tablet, a combination of abacavir, lamivudine, and zidovudine, each nucleoside analogue HIV-1 reverse transcriptase inhibitors, is indicated in combination with other antiretroviral agents for the treatment of HIV-1 infection.(1)

12.1 Mechanism of Action

Abacavir, lamivudine and zidovudine tablet is an antiretroviral agent [see Microbiology (12.4)].

5.9 Myocardial Infarction

Several prospective, observational, epidemiological studies have reported an association with the use of abacavir and the risk of myocardial infarction (MI). Meta-analyses of randomized, controlled clinical trials have observed no excess risk of MI in abacavir-treated subjects as compared with control subjects. To date, there is no established biological mechanism to explain a potential increase in risk. In totality, the available data from the observational studies and from controlled clinical trials show inconsistency; therefore, evidence for a causal relationship between abacavir treatment and the risk of MI is inconclusive.

As a precaution, the underlying risk of coronary heart disease should be considered when prescribing antiretroviral therapies, including abacavir, and action taken to minimize all modifiable risk factors (e.g., hypertension, hyperlipidemia, diabetes mellitus, smoking).

5 Warnings and Precautions
  •   Hepatic decompensation, some fatal, has occurred in HIV-1/HCV co-infected patients receiving combination antiretroviral therapy and interferon alfa with or without ribavirin. Discontinue abacavir, lamivudine and zidovudine tablets as medically appropriate and consider dose reduction or discontinuation of interferon alfa, ribavirin, or both. (5.6)
  •   Exacerbation of anemia has been reported in HIV-1/HCV co-infected patients receiving ribavirin and zidovudine. Coadministration of ribavirin and zidovudine is not advised. (5.6)
  •   Immune reconstitution syndrome and lipoatrophy have been reported in patients treated with combination antiretroviral therapy. (5.7, 5.8)
2 Dosage and Administration
  • Before initiating abacavir, lamivudine and zidovudine tablets, screen for the HLA-B*5701 allele because abacavir, lamivudine and zidovudine tablet contains abacavir. (2.1)
  • Adults and pediatric patients weighing at least 40 kg: 1 tablet twice daily. (2.2)
  • Because abacavir, lamivudine and zidovudine tablet is a fixed-dose tablet and cannot be dose adjusted, abacavir, lamivudine and zidovudine tablets are not recommended in patients requiring dosage adjustment or patients with hepatic impairment. (2.3, 4)
3 Dosage Forms and Strengths
  • Tablets: 300 mg abacavir, 150 mg lamivudine, and 300 mg zidovudine. (3)
6.2 Postmarketing Experience

The following adverse reactions have been identified during postmarketing use. Because these reactions are reported voluntarily from a population of unknown size, it is not always possible to reliably estimate their frequency or establish a causal relationship to drug exposure.

 

Abacavir

Cardiovascular :

Myocardial infarction.

 

Skin :

Suspected Stevens-Johnson syndrome (SJS) and toxic epidermal necrolysis (TEN) have been reported in patients receiving abacavir primarily in combination with medications known to be associated with SJS and TEN, respectively. Because of the overlap of clinical signs and symptoms between hypersensitivity to abacavir and SJS and TEN, and the possibility of multiple drug sensitivities in some patients, abacavir should be discontinued and not restarted in such cases. There have also been reports of erythema multiforme with abacavir use [see ADVERSE REACTIONS (6.1)].

 

Abacavir, Lamivudine, and/or Zidovudine

Body as a Whole :

Redistribution/accumulation of body fat.

 

Cardiovascular :

Cardiomyopathy.

 

Digestive :

Stomatitis.

 

Endocrine and Metabolic :

Gynecomastia.

 

Gastrointestinal:

Anorexia and/or decreased appetite, abdominal pain, dyspepsia, oral mucosal pigmentation.

 

General :

Vasculitis, weakness.

 

Hemic and Lymphatic :

Aplastic anemia, anemia (including pure red cell aplasia and severe anemias progressing on therapy), lymphadenopathy, splenomegaly, thrombocytopenia.

 

Hepatic :

Lactic acidosis and hepatic steatosis [see WARNINGS AND PRECAUTIONS (5.4)], elevated bilirubin, elevated transaminases, posttreatment exacerbations of hepatitis B [see WARNINGS AND PRECAUTIONS (5.5)].

 

Hypersensitivity :

Sensitization reactions (including anaphylaxis), urticaria.

 

Musculoskeletal :

Arthralgia, myalgia, muscle weakness, rhabdomyolysis.

 

Nervous :

Dizziness, paresthesia, peripheral neuropathy, seizures.

 

Psychiatric :

Insomnia and other sleep disorders.

 

Respiratory :

Abnormal breath sounds/wheezing.

 

Skin :

Alopecia, erythema multiforme, Stevens-Johnson syndrome.

 

 

8 Use in Specific Populations
  • Lactation: Women infected with HIV should be instructed not to breastfeed due to potential for HIV transmission. (8.2)
5.1 Hypersensitivity Reactions

Serious and sometimes fatal hypersensitivity reactions have occurred with abacavir, a component of abacavir, lamivudine and zidovudine tablets. These hypersensitivity reactions have included multi-organ failure and anaphylaxis and typically occurred within the first 6 weeks of treatment with abacavir (median time to onset was 9 days); although abacavir hypersensitivity reactions have occurred any time during treatment [see ADVERSE REACTIONS (6.1)]. Patients who carry the HLA-B*5701 allele are at a higher risk of abacavir hypersensitivity reactions; although, patients who do not carry the HLA-B*5701 allele have developed hypersensitivity reactions. Hypersensitivity to abacavir was reported in approximately 206 (8%) of 2,670 patients in 9 clinical trials with abacavir-containing products where HLA-B*5701 screening was not performed. The incidence of suspected abacavir hypersensitivity reactions in clinical trials was 1% when subjects carrying the HLA-B*5701 allele were excluded. In any patient treated with abacavir, the clinical diagnosis of hypersensitivity reaction must remain the basis of clinical decision making.

Due to the potential for severe, serious, and possibly fatal hypersensitivity reactions with abacavir:

  • All patients should be screened for the HLA-B*5701 allele prior to initiating therapy with abacavir, lamivudine and zidovudine tablets or reinitiation of therapy with abacavir, lamivudine and zidovudine tablets, unless patients have a previously documented HLA-B*5701 allele assessment.
  • Abacavir, lamivudine, and zidovudine tablets are contraindicated in patients with a prior hypersensitivity reaction to abacavir and in HLA-B*5701-positive patients.
  • Before starting abacavir, lamivudine and zidovudine tablets, review medical history for prior exposure to any abacavir-containing product. NEVER restart abacavir, lamivudine and zidovudine tablets or any other abacavir-containing product following a hypersensitivity reaction to abacavir, regardless of HLA-B*5701 status.
  • To reduce the risk of a life-threatening hypersensitivity reaction, regardless of HLA-B*5701 status, discontinue abacavir, lamivudine and zidovudine tablets immediately if a hypersensitivity reaction is suspected, even when other diagnoses are possible (e.g., acute onset respiratory diseases such as pneumonia, bronchitis, pharyngitis, or influenza; gastroenteritis; or reactions to other medications).
  • If a hypersensitivity reaction cannot be ruled out, do not restart abacavir, lamivudine and zidovudine tablets or any other abacavir-containing products because more severe symptoms, which may include life-threatening hypotension and death, can occur within hours.
  • If a hypersensitivity reaction is ruled out, patients may restart abacavir, lamivudine and zidovudine tablets. Rarely, patients who have stopped abacavir for reasons other than symptoms of hypersensitivity have also experienced life-threatening reactions within hours of reinitiating abacavir therapy. Therefore, reintroduction of abacavir, lamivudine and zidovudine tablets or any other abacavir-containing product is recommended only if medical care can be readily accessed.
  • A Medication Guide and Warning Card that provide information about recognition of abacavir hypersensitivity reactions should be dispensed with each new prescription and refill.
6.1 Clinical Trials Experience

Because clinical trials are conducted under widely varying conditions, adverse reaction rates observed in the clinical trials of a drug cannot be directly compared with rates in the clinical trials of another drug and may not reflect the rates observed in clinical practice.

Serious and Fatal Abacavir-Associated Hypersensitivity Reactions

In clinical trials, serious and sometimes fatal hypersensitivity reactions have occurred with abacavir, a component of abacavir, lamivudine and zidovudine tablets [see BOXED WARNING, WARNINGS AND PRECAUTIONS (5.1)]. These reactions have been characterized by 2 or more of the following signs or symptoms: (1) fever; (2) rash; (3) gastrointestinal symptoms (including nausea, vomiting, diarrhea, or abdominal pain); (4) constitutional symptoms (including generalized malaise, fatigue, or achiness); (5) respiratory symptoms (including dyspnea, cough, or pharyngitis). Almost all abacavir hypersensitivity reactions include fever and/or rash as part of the syndrome.

Other signs and symptoms have included lethargy, headache, myalgia, edema, arthralgia, and paresthesia. Anaphylaxis, liver failure, renal failure, hypotension, adult respiratory distress syndrome, respiratory failure, myolysis, and death have occurred in association with these hypersensitivity reactions. Physical findings have included lymphadenopathy, mucous membrane lesions (conjunctivitis and mouth ulcerations), and maculopapular or urticarial rash (although some patients had other types of rashes and others did not have a rash). There were reports of erythema multiforme. Laboratory abnormalities included elevated liver chemistries, elevated creatine phosphokinase, elevated creatinine, and lymphopenia, and abnormal chest x-ray findings (predominantly infiltrates, which were localized).

Additional Adverse Reactions with Use of Abacavir, Lamivudine and Zidovudine Tablets

Treatment-emergent clinical adverse reactions (rated by the investigator as moderate or severe) with a frequency greater than or equal to 5% during therapy with abacavir 300 mg twice daily, lamivudine 150 mg twice daily, and zidovudine 300 mg twice daily compared with indinavir 800 mg 3 times daily, lamivudine 150 mg twice daily, and zidovudine 300 mg twice daily from CNA3005 are listed in Table 1.

Table 1. Treatment-Emergent (All Causality) Adverse Reactions of at Least Moderate Intensity (Grades 2 to 4, Greater than or Equal to 5% Frequency) in Therapy-Naive Adults (CNA3005) through 48 Weeks of Treatment
Adverse  Reaction

ZIAGEN ®  plus

Lamivudine / Zidovudine

( n = 262 )

Indinavir  plus

Lamivudine / Zidovudine

( n = 264 )

Nausea

19%

17%

Headache

13%

9%

Malaise and fatigue

12%

12%

Nausea and vomiting

10%

10%

Hypersensitivity reaction

8%

2%

Diarrhea

7%

5%

Fever and/or chills

6%

3%

Depressive disorders

6%

4%

Musculoskeletal pain

5%

7%

Skin rashes

5%

4%

Ear/nose/throat infections

5%

4%

Viral respiratory infections

5%

5%

Anxiety

5%

3%

Renal signs/symptoms

<1%

5%

Pain (non-site-specific)

<1%

5%

Five subjects receiving abacavir in CNA3005 experienced worsening of pre-existing depression compared to none in the indinavir arm. The background rates of pre-existing depression were similar in the 2 treatment arms.

Laboratory Abnormalities

Laboratory abnormalities in CNA3005 are listed in Table 2.

Table 2. Treatment-Emergent Laboratory Abnormalities (Grades 3/4) in CNA3005

ULN = Upper limit of normal.

n = Number of subjects assessed.

Laboratory  Parameter

ZIAGEN ®   plus  Lamivudine / Zidovudine

( 262 )

Indinavir  plus  Lamivudine / Zidovudine

( 264 )

Elevated CPK (>4 x ULN)

18 (7%)

18 (7%)

ALT (>5.0 x ULN)

16 (6%)

16 (6%)

Neutropenia (<750/mm3)

13 (5%)

13 (5%)

Hypertriglyceridemia (>750 mg/dL)

5 (2%)

3 (1%)

Hyperamylasemia (>2.0 x ULN)

5 (2%)

1 (<1%)

Hyperglycemia (>13.9 mmol/L)

2 (<1%)

2 (<1%)

Anemia (Hgb ≤6.9 g/dL)

0 (0%)

3 (1%)

Other Adverse Events

In addition to adverse reactions in Tables 1 and 2, other adverse events observed in the expanded access program for abacavir were pancreatitis and increased GGT.

17 Patient Counseling Information

Advise the patient to read the FDA-approved patient labeling (Medication Guide).

Hypersensitivity Reaction

Inform patients:

  • that a Medication Guide and Warning Card summarizing the symptoms of the abacavir hypersensitivity reaction and other product information will be dispensed by the pharmacist with each new prescription and refill of abacavir, lamivudine and zidovudine tablet, and instruct the patient to read the Medication Guide and Warning Card every time to obtain any new information that may be present about abacavir, lamivudine and zidovudine tablets. The complete text of the Medication Guide is reprinted at the end of this document.
  • to carry the Warning Card with them.
  • how to identify a hypersensitivity reaction [see WARNINGS AND PRECAUTIONS (5.1), MEDICATION GUIDE] .
  • that if they develop symptoms consistent with a hypersensitivity reaction they should call their healthcare provider right away to determine if they should stop taking abacavir, lamivudine and zidovudine tablet.
  • that a hypersensitivity reaction can worsen and lead to hospitalization or death if abacavir, lamivudine and zidovudine tablet is not immediately discontinued.
  • to not restart abacavir, lamivudine and zidovudine tablet or any other abacavir-containing product following a hypersensitivity reaction because more severe symptoms can occur within hours and may include life-threatening hypotension and death.
  • that if they have a hypersensitivity reaction, they should dispose of any unused abacavir, lamivudine and zidovudine tablet to avoid restarting abacavir.
  • that a hypersensitivity reaction is usually reversible if it is detected promptly and abacavir, lamivudine and zidovudine tablet is stopped right away.
  • that if they have interrupted abacavir, lamivudine and zidovudine tablet for reasons other than symptoms of hypersensitivity (for example, those who have an interruption in drug supply), a serious or fatal hypersensitivity reaction may occur with reintroduction of abacavir.
  • to not restart abacavir, lamivudine and zidovudine tablet or any other abacavir-containing product without medical consultation and only if medical care can be readily accessed by the patient or others.

Neutropenia and Anemia

Inform patients that the important toxicities associated with zidovudine are neutropenia and/or anemia. Inform them of the extreme importance of having their blood counts followed closely while on therapy, especially for patients with advanced HIV-1 disease [see BOXED WARNING, WARNINGS AND PRECAUTIONS (5.2)].

Myopathy

Inform patients that myopathy and myositis with pathological changes, similar to that produced by HIV-1 disease, have been associated with prolonged use of zidovudine [see WARNINGS AND PRECAUTIONS (5.3)].

Lactic Acidosis/Hepatomegaly with Steatosis

Advise patients that lactic acidosis and severe hepatomegaly with steatosis have been reported with use of nucleoside analogues and other antiretrovirals. Advise patients to stop taking abacavir, lamivudine and zidovudine tablets if they develop clinical symptoms suggestive of lactic acidosis or pronounced hepatotoxicity [see WARNINGS AND PRECAUTIONS (5.4)].

Patients with Hepatitis B or C Co-infection

Advise patients co-infected with HIV-1 and HBV that worsening of liver disease has occurred in some cases when treatment with lamivudine was discontinued. Advise patients to discuss any changes in regimen with their healthcare provider [see WARNINGS AND PRECAUTIONS (5.5)].

Inform patients with HIV-1/HCV co-infection that hepatic decompensation (some fatal) has occurred in HIV-1/HCV co-infected patients receiving combination antiretroviral therapy for HIV-1 and interferon alfa with or without ribavirin [see WARNINGS AND PRECAUTIONS (5.6)].

Drug Interactions

Advise patients that other medications may interact with abacavir, lamivudine and zidovudine tablets and certain medications, including ganciclovir, interferon alfa, and ribavirin, may exacerbate the toxicity of zidovudine, a component of abacavir, lamivudine and zidovudine tablets [see DRUG INTERACTIONS (7.3)]. 

Immune Reconstitution Syndrome

Advise patients to inform their healthcare provider immediately of any signs and symptoms of infection as inflammation from previous infection may occur soon after combination antiretroviral therapy, including when abacavir, lamivudine and zidovudine tablets are started [see WARNINGS AND PRECAUTIONS (5.7)].

Lipoatrophy

Advise patients that loss of subcutaneous fat may occur in patients receiving abacavir, lamivudine and zidovudine tablets and that they will be regularly assessed during therapy [see WARNINGS AND PRECAUTIONS (5.8)].

Pregnancy Registry

Advise patients that there is a pregnancy exposure registry that monitors pregnancy outcomes in women exposed to abacavir, lamivudine and zidovudine tablets during pregnancy [see USE IN SPECIFIC POPULATIONS (8.1)].

Lactation

Instruct women with HIV-1 infection not to breastfeed because HIV-1 can be passed to the baby in the breast milk [see USE IN SPECIFIC POPULATIONS (8.2)].

Missed Dose

Instruct patients that if they miss a dose of abacavir, lamivudine and zidovudine tablets, to take it as soon as they remember. Advise patients not to double their next dose or take more than the prescribed dose [see DOSAGE AND ADMINISTRATION (2)].

Availability of Medication Guide

Instruct patients to read the Medication Guide before starting abacavir, lamivudine and zidovudine tablets and to re-read it each time the prescription is renewed. Instruct patients to inform their physician or pharmacist if they develop any unusual symptom, or if any known symptom persists or worsens.

The brands listed are trademarks of their respective owners and are not trademarks of Lupin Pharmaceuticals, Inc. The makers of these brands are not affiliated with and do not endorse Lupin Pharmaceuticals, Inc. or its products.

Manufactured for:

Lupin Pharmaceuticals, Inc.

Baltimore, Maryland 21202

United States

Manufactured by:

Lupin Limited

Pithampur (M.P.) - 454 775

India

Revised: May 2021                                                                            ID#: 267549

5.10 Therapy Experienced Patients

In clinical trials, subjects with prolonged prior nucleoside reverse transcriptase inhibitor (NRTI) exposure or who had HIV-1 isolates that contained multiple mutations conferring resistance to NRTIs had limited response to abacavir. The potential for cross-resistance between abacavir and other NRTIs should be considered when choosing new therapeutic regimens in therapy- experienced patients [see Microbiology (12.4)].

5.7 Immune Reconstitution Syndrome

Immune reconstitution syndrome has been reported in patients treated with combination antiretroviral therapy, including abacavir, lamivudine and zidovudine tablets. During the initial phase of combination antiretroviral treatment, patients whose immune systems respond may develop an inflammatory response to indolent or residual opportunistic infections (such as Mycobacterium avium infection, cytomegalovirus, Pneumocystis jirovecii pneumonia [PCP], or tuberculosis), which may necessitate further evaluation and treatment.

Autoimmune disorders (such as Graves' disease, polymyositis, and Guillain-BarrÉ syndrome) have also been reported to occur in the setting of immune reconstitution; however, the time to onset is more variable, and can occur many months after initiation of treatment.

16 How Supplied/storage and Handling

Abacavir, lamivudine and zidovudine is available as tablets. Each tablet contains 300 mg of abacavir as abacavir sulfate, 150 mg of lamivudine, and 300 mg of zidovudine. The tablets are blue-green colored, oval shaped, biconvex, film-coated, debossed with "LU" on one side and "N51" on the other side. They are packaged as follows:

Bottles of 60 Tablets                           NDC 68180-286-07

Bottles of 100 Tablets                         NDC 68180-286-01

Bottles of 500 Tablets                         NDC 68180-286-02

Store at 25°C (77°F); excursions permitted to 15° to 30°C (59° to 86°F) [see USP Controlled Room Temperature].

8.6 Patients With Impaired Renal Function

Abacavir, lamivudine and zidovudine tablet is not recommended for patients with creatinine clearance less than 50 mL per min because abacavir, lamivudine and zidovudine tablet is a fixed-dose combination and the dosage of the individual components cannot be adjusted. If a dose reduction of the lamivudine or zidovudine components of abacavir, lamivudine and zidovudine tablet is required for patients with renal impairment then the individual components should be used [see DOSAGE AND ADMINISTRATION (2.3), CLINICAL PHARMACOLOGY (12.3)].

13.2 Animal Toxicology And/or Pharmacology

Myocardial degeneration was found in mice and rats following administration of abacavir for 2 years. The systemic exposures were equivalent to 7 to 24 times the expected systemic exposure in humans at a dose of 600 mg. The clinical relevance of this finding has not been determined.

8.7 Patients With Impaired Hepatic Function

Abacavir, lamivudine and zidovudine tablet is a fixed-dose combination and the dosage of the individual components cannot be adjusted. If a dose reduction of abacavir, a component of abacavir, lamivudine and zidovudine tablet, is required for patients with mild hepatic impairment (Child-Pugh Class A), then the individual components should be used [see CLINICAL PHARMACOLOGY (12.3)].

The safety, efficacy, and pharmacokinetic properties of abacavir have not been established in patients with moderate (Child-Pugh Class B) or severe (Child-Pugh Class C) hepatic impairment; therefore, abacavir, lamivudine and zidovudine tablets are contraindicated in these patients [see CONTRAINDICATIONS (4)].

Zidovudine is primarily eliminated by hepatic metabolism and zidovudine concentrations are increased in patients with impaired hepatic function, which may increase the risk of hematologic toxicity. Frequent monitoring of hematologic toxicities is advised.

5.2 Hematologic Toxicity/bone Marrow Suppression

Zidovudine, a component of abacavir, lamivudine and zidovudine tablet, has been associated with hematologic toxicity including neutropenia and anemia, particularly in patients with advanced HIV-1 disease. Abacavir, lamivudine and zidovudine tablets should be used with caution in patients who have bone marrow compromise evidenced by granulocyte count less than 1,000 cells per mm3 or hemoglobin less than 9.5 grams per dL [see ADVERSE REACTIONS (6.1)].

Frequent blood counts are strongly recommended in patients with advanced HIV-1 disease who are treated with abacavir, lamivudine and zidovudine tablets. Periodic blood counts are recommended for other HIV-1-infected patients. If anemia or neutropenia develops, dosage interruption may be needed.

5.5 Patients With Hepatitis B Virus Co Infection

Posttreatment Exacerbations of Hepatitis

Clinical and laboratory evidence of exacerbations of hepatitis have occurred after discontinuation of lamivudine. See full prescribing information for EPIVIR® (lamivudine). Patients should be closely monitored with both clinical and laboratory follow-up for at least several months after stopping treatment.

Emergence of Lamivudine-Resistant HBV

Safety and efficacy of lamivudine have not been established for treatment of chronic hepatitis B in subjects dually infected with HIV-1 and HBV. Emergence of hepatitis B virus variants associated with resistance to lamivudine has been reported in HIV–1-infected subjects who have received lamivudine-containing antiretroviral regimens in the presence of concurrent infection with hepatitis B virus. See full prescribing information for EPIVIR® (lamivudine).

2.3 Not Recommended Due to Lack of Dosage Adjustment

Because abacavir, lamivudine and zidovudine tablet is a fixed-dose tablet and cannot be dose adjusted, abacavir, lamivudine and zidovudine tablet is not recommended for:

  • pediatric patients who weigh less than 40 kg [see USE IN SPECIFIC POPULATIONS (8.4)].
  • patients with creatinine clearance less than 50 mL per minute [see USE IN SPECIFIC POPULATIONS (8.6)].
  • patients with mild hepatic impairment. Abacavir, lamivudine and zidovudine tablet is contraindicated in patients with moderate or severe hepatic impairment [see CONTRAINDICATIONS (4), USE IN SPECIFIC POPULATIONS (8.7)] .
5.6 Use With Interferon and Ribavirin Based Regimens

 Patients receiving interferon alfa with or without ribavirin and abacavir, lamivudine and zidovudine tablets should be closely monitored for treatment-associated toxicities, especially hepatic decompensation, neutropenia, and anemia. See full prescribing information for RETROVIR® (zidovudine). Discontinuation of abacavir, lamivudine and zidovudine tablets should be considered as medically appropriate. Dose reduction or discontinuation of interferon alfa, ribavirin, or both should also be considered if worsening clinical toxicities are observed, including hepatic decompensation (e.g., Child-Pugh greater than 6) (see full prescribing information for interferon and ribavirin).

Exacerbation of anemia has been reported in HIV-1/HCV co-infected patients receiving ribavirin and zidovudine. Coadministration of ribavirin and abacavir, lamivudine and zidovudine tablet is not advised.

13.1 Carcinogenesis, Mutagenesis, Impairment of Fertility

Carcinogenicity

Abacavir:  

Abacavir was administered orally at 3 dosage levels to separate groups of mice and rats in 2-year carcinogenicity studies. Results showed an increase in the incidence of malignant and non-malignant tumors. Malignant tumors occurred in the preputial gland of males and the clitoral gland of females of both species, and in the liver of female rats. In addition, non-malignant tumors also occurred in the liver and thyroid gland of female rats.  These observations were made at systemic exposures in the range of 6 to 32 times the human exposure at the recommended dose of 600 mg.

Lamivudine:  

Long-term carcinogenicity studies with lamivudine in mice and rats showed no evidence of carcinogenic potential at exposures up to 10 times (mice) and 58 times (rats) the human exposures at the recommended dose of 300 mg.

Zidovudine:  

Zidovudine was administered orally at 3 dosage levels to separate groups of mice and rats (60 females and 60 males in each group). Initial single daily doses were 30, 60, and 120 mg per kg per day in mice and 80, 220, and 600 mg per kg per day in rats. The doses in mice were reduced to 20, 30, and 40 mg per kg per day after Day 90 because of treatment-related anemia, whereas in rats only the high dose was reduced to 450 mg per kg per day on Day 91 and then to 300 mg per kg per day on Day 279.

In mice, 7 late-appearing (after 19 months) vaginal neoplasms (5 non-metastasizing squamous cell carcinomas, 1 squamous cell papilloma, and 1 squamous polyp) occurred in animals given the highest dose. One late-appearing squamous cell papilloma occurred in the vagina of a middle-dose animal. No vaginal tumors were found at the lowest dose.

In rats, 2 late-appearing (after 20 months), non-metastasizing vaginal squamous cell carcinomas occurred in animals given the highest dose. No vaginal tumors occurred at the low or middle dose in rats. No other drug-related tumors were observed in either sex of either species.

At doses that produced tumors in mice and rats, the estimated drug exposure (as measured by AUC) was approximately 3 times (mouse) and 24 times (rat) the estimated human exposure at the recommended therapeutic dose of 100 mg every 4 hours.

It is not known how predictive the results of rodent carcinogenicity studies may be for humans.

Two transplacental carcinogenicity studies were conducted in mice. One study administered zidovudine at doses of 20 mg per kg per day or 40 mg per kg per day from gestation Day 10 through parturition and lactation with dosing continuing in offspring for 24 months postnatally. At these doses, exposures were approximately 3 times the estimated human exposure at the recommended doses. After 24 months at the 40-mg-per-kg-per-day dose, an increase in incidence of vaginal tumors was noted with no increase in tumors in the liver or lung or any other organ in either gender. These findings are consistent with results of the standard oral carcinogenicity study in mice, as described earlier. A second study administered zidovudine at maximum tolerated doses of 12.5 mg per day or 25 mg per day (approximately 1,000 mg per kg nonpregnant body weight or approximately 450 mg per kg of term body weight) to pregnant mice from Days 12 through 18 of gestation. There was an increase in the number of tumors in the lung, liver, and female reproductive tracts in the offspring of mice receiving the higher dose level of zidovudine.

Mutagenicity

Abacavir:  

Abacavir induced chromosomal aberrations both in the presence and absence of metabolic activation in an in vitro cytogenetic study in human lymphocytes. Abacavir was mutagenic in the absence of metabolic activation, although it was not mutagenic in the presence of metabolic activation in an L5178Y mouse lymphoma assay. Abacavir was clastogenic in males and not clastogenic in females in an in vivo mouse bone marrow micronucleus assay. Abacavir was not mutagenic in bacterial mutagenicity assays in the presence and absence of metabolic activation.

Lamivudine:  

Lamivudine was mutagenic in an L5178Y mouse lymphoma assay and clastogenic in a cytogenetic assay using cultured human lymphocytes. Lamivudine was not mutagenic in a microbial mutagenicity assay, in an in vitro cell transformation assay, in a rat micronucleus test, in a rat bone marrow cytogenetic assay, and in an assay for unscheduled DNA synthesis in rat liver.

Zidovudine:  

Zidovudine was mutagenic in an L5178Y mouse lymphoma assay, positive in an in vitro cell transformation assay, clastogenic in a cytogenetic assay using cultured human lymphocytes, and positive in mouse and rat micronucleus tests after repeated doses. It was negative in a cytogenetic study in rats given a single dose.

Impairment of Fertility

Abacavir:

Abacavir did not affect male or female fertility in rats at a dose associated with exposures (AUC) approximately 3.3 times (male) or 4.1 times (female) those in humans at the clinically recommended dose.

Lamivudine:

Lamivudine did not affect male or female fertility in rats at doses up to 4,000 mg per kg per day, associated with concentrations approximately 42 times (male) or 63 times (female) higher than the concentrations (Cmax) in humans at the dose of 300 mg.

Zidovudine:

Zidovudine, administered to male and female rats at doses up to 450 mg per kg per day, which is 7 times the recommended adult dose (300 mg twice daily) based on body surface area, had no effect on fertility based on conception rates.

5.4 Lactic Acidosis and Severe Hepatomegaly With Steatosis

Lactic acidosis and severe hepatomegaly with steatosis, including fatal cases, have been reported with the use of nucleoside analogues, including abacavir, lamivudine and zidovudine (components of abacavir, lamivudine and zidovudine tablets). A majority of these cases have been in women. Female sex and obesity may be risk factors for the development of lactic acidosis and severe hepatomegaly with steatosis in patients treated with antiretroviral nucleoside analogues. See full prescribing information for ZIAGEN® (abacavir), EPIVIR® (lamivudine), and RETROVIR® (zidovudine). Treatment with abacavir, lamivudine and zidovudine tablets should be suspended in any patient who develops clinical or laboratory findings suggestive of lactic acidosis or pronounced hepatotoxicity (which may include hepatomegaly and steatosis even in the absence of marked transaminase elevations).

2.2 Recommended Dosage for Adults and Pediatric Patients Weighing At Least 40 Kg

The recommended dosage of abacavir, lamivudine and zidovudine tablet is one tablet taken orally twice daily with or without food.

2.1 Screening for Hla B*5701 Allele Prior to Starting Abacavir, Lamivudine and Zidovudine Tablets

Screen for the HLA-B*5701 allele prior to initiating therapy with abacavir, lamivudine and zidovudine tablets [see BOXED WARNING, WARNINGS AND PRECAUTIONS (5.1)].

Warning: Hypersensitivity Reactions, Hematologic Toxicity, Myopathy, Lactic Acidosis and Severe Hepatomegaly With Steatosis, and Exacerbations of Hepatitis B

WARNING: HYPERSENSITIVITY REACTIONS, HEMATOLOGIC TOXICITY, MYOPATHY, LACTIC ACIDOSIS AND SEVERE HEPATOMEGALY WITH STEATOSIS, and EXACERBATIONS OF HEPATITIS B

See full prescribing information for complete boxed warning.

Hypersensitivity Reactions

  • Serious and sometimes fatal hypersensitivity reactions have occurred with abacavir-containing products. (5.1)
  • Hypersensitivity to abacavir is a multi-organ clinical syndrome. (5.1)
  • Patients who carry the HLA-B*5701 allele are at a higher risk of experiencing a hypersensitivity reaction to abacavir. (5.1)
  • Abacavir, lamivudine and zidovudine tablets are contraindicated in patients with a prior hypersensitivity reaction to abacavir and in HLA-B*5701-positive patients. (4)
  • Discontinue abacavir, lamivudine and zidovudine tablets as soon as a hypersensitivity reaction is suspected. Regardless of HLA-B*5701 status, permanently discontinue abacavir, lamivudine and zidovudine tablets if hypersensitivity cannot be ruled out, even when other diagnoses are possible. (5.1)
  • Following a hypersensitivity reaction to abacavir, lamivudine and zidovudine tablets NEVER restart abacavir, lamivudine and zidovudine tablets or any other abacavir-containing product. (5.1)

Hematologic Toxicity

  • Hematologic toxicity, including neutropenia and anemia, has been associated with the use of zidovudine, a component of abacavir, lamivudine and zidovudine tablets . (5.2)

Myopathy

  • Symptomatic myopathy associated with prolonged use of zidovudine. (5.3)

Lactic Acidosis and Severe Hepatomegaly with Steatosis

  •   Lactic acidosis and severe hepatomegaly with steatosis, including fatal cases, have been reported with the use of nucleoside analogues, including abacavir, lamivudine, and zidovudine (components of abacavir, lamivudine and zidovudine tablets). Suspend treatment if clinical or laboratory findings suggestive of lactic acidosis or pronounced hepatotoxicity occur. (5.4)

Exacerbations of Hepatitis B

  • Severe acute exacerbations of hepatitis B have been reported in patients who are co-infected with hepatitis B virus (HBV) and human immunodeficiency virus (HIV-1) and have discontinued lamivudine, a component of abacavir, lamivudine and zidovudine tablets. Monitor hepatic function closely in these patients and, if appropriate, initiate anti-hepatitis B treatment. (5.5)

Structured Label Content

Section 42229-5 (42229-5)

Hypersensitivity Reactions

Serious and sometimes fatal hypersensitivity reactions, with multiple organ involvement, have occurred with abacavir, a component of abacavir, lamivudine and zidovudine tablets. Patients who carry the HLA-B*5701 allele are at a higher risk of a hypersensitivity reaction to abacavir; although, hypersensitivity reactions have occurred in patients who do not carry the HLA-B*5701 allele [see WARNINGS AND PRECAUTIONS (5.1)].

Abacavir, lamivudine and zidovudine tablets are contraindicated in patients with a prior hypersensitivity reaction to abacavir and in HLA-B*5701-positive patients [see CONTRAINDICATIONS (4), WARNINGS AND PRECAUTIONS (5.1)]. All patients should be screened for the HLA-B*5701 allele prior to initiating therapy with abacavir, lamivudine and zidovudine tablets or reinitiation of therapy with abacavir, lamivudine and zidovudine tablets, unless patients have a previously documented HLA-B*5701 allele assessment. Discontinue abacavir, lamivudine and zidovudine tablets immediately if a hypersensitivity reaction is suspected, regardless of HLA-B*5701 status and even when other diagnoses are possible [see CONTRAINDICATIONS (4), WARNINGS AND PRECAUTIONS (5.1)].

Following a hypersensitivity reaction to abacavir, lamivudine and zidovudine tablets, NEVER restart abacavir, lamivudine and zidovudine tablets or any other abacavir-containing product because more severe symptoms, including death, can occur within hours. Similar severe reactions have also occurred rarely following the reintroduction of abacavir-containing products in patients who have no history of abacavir hypersensitivity [see WARNINGS AND PRECAUTIONS (5.1)].

Hematologic Toxicity

Zidovudine, a component of abacavir, lamivudine and zidovudine tablets, has been associated with hematologic toxicity, including neutropenia and severe anemia, particularly in patients with advanced Human Immunodeficiency Virus (HIV-1) disease [see WARNINGS AND PRECAUTIONS (5.2)].

Myopathy

Prolonged use of zidovudine has been associated with symptomatic myopathy [see WARNINGS AND PRECAUTIONS (5.3)].

Lactic Acidosis and Severe Hepatomegaly with Steatosis

Lactic acidosis and severe hepatomegaly with steatosis, including fatal cases, have been reported with the use of nucleoside analogues, including abacavir, lamivudine, and zidovudine (components of abacavir, lamivudine and zidovudine tablets). Discontinue abacavir, lamivudine and zidovudine tablets if clinical or laboratory findings suggestive of lactic acidosis or pronounced hepatotoxicity occur [see WARNINGS AND PRECAUTIONS (5.4)].

Exacerbations of Hepatitis B

Severe acute exacerbations of hepatitis B have been reported in patients who are co-infected with hepatitis B virus (HBV) and HIV-1 and have discontinued lamivudine, a component of abacavir, lamivudine and zidovudine tablets. Hepatic function should be monitored closely with both clinical and laboratory follow-up for at least several months in patients who discontinue abacavir, lamivudine and zidovudine tablets and are co-infected with HIV-1 and HBV. If appropriate, initiation of anti-hepatitis B therapy may be warranted [see WARNINGS AND PRECAUTIONS (5.5)].

Section 51945-4 (51945-4)

ABACAVIR, LAMIVUDINE AND ZIDOVUDINE TABLETS

300 mg 150 mg 300 mg

Rx only

NDC 68180-286-07

Notice to Authorized Dispenser:

Dispense drug product with Medication Guide and Warning Card from the carton.

Each tablet contains abacavir sulfate USP equivalent to 300 mg of abacavir, 150 mg of lamivudine USP, and 300 mg of zidovudine USP.

Store at 25°C (77°F); excursions permitted to 15° to 30°C (59° to 86°F) [see USP Controlled Room Temperature].

See prescribing information for dosage information.

Manufactured for:

Lupin Pharmaceuticals, Inc.

Baltimore, Maryland 21202

United States

Manufactured by:

Lupin Limited

Pithampur (M.P.) - 454 775

INDIA

5.3 Myopathy

Myopathy and myositis, with pathological changes similar to that produced by HIV-1 disease, have been associated with prolonged use of zidovudine, and therefore may occur with therapy with abacavir, lamivudine and zidovudine tablets.

7.1 Abacavir

Methadone

In a trial of 11 HIV-1-infected subjects receiving methadone-maintenance therapy with 600 mg of ZIAGEN® twice daily (twice the currently recommended dose), oral methadone clearance increased [see CLINICAL PHARMACOLOGY (12.3)]. This alteration will not result in a methadone dose modification in the majority of patients; however, an increased methadone dose may be required in a small number of patients.

Riociguat

Coadministration with fixed-dose abacavir/dolutegravir/lamivudine resulted in increased riociguat exposure, which may increase the risk of riociguat adverse reactions [see Clinical Pharmacology (12.3)]. The riociguat dose may need to be reduced. See full prescribing information for ADEMPAS (riociguat).

10 Overdosage (10 OVERDOSAGE)

There is no known specific treatment for overdose with abacavir, lamivudine and zidovudine tablets. If overdose occurs, the patient should be monitored and standard supportive treatment applied as required.

Abacavir

It is not known whether abacavir can be removed by peritoneal dialysis or hemodialysis.

Lamivudine

Because a negligible amount of lamivudine was removed via (4-hour) hemodialysis, continuous ambulatory peritoneal dialysis, and automated peritoneal dialysis, it is not known if continuous hemodialysis would provide clinical benefit in a lamivudine overdose event.

Zidovudine

Acute overdoses of zidovudine have been reported in pediatric patients and adults. These involved exposures up to 50 grams. No specific symptoms or signs have been identified following acute overdosage with zidovudine apart from those listed as adverse events such as fatigue, headache, vomiting, and occasional reports of hematological disturbances. Patients recovered without permanent sequelae. Hemodialysis and peritoneal dialysis appear to have a negligible effect on the removal of zidovudine, while elimination of its primary metabolite, 3′- azido-3′-deoxy-5′-O-β-D-glucopyranuronosylthymidine (GZDV), is enhanced.

8.1 Pregnancy

Pregnancy Exposure Registry

There is a pregnancy exposure registry that monitors pregnancy outcomes in women exposed to abacavir, lamivudine and zidovudine tablets during pregnancy. Healthcare providers are encouraged to register patients by calling the Antiretroviral Pregnancy Registry (APR) at 1-800-258-4263.

Risk Summary

Available data from the APR show no difference in the overall risk of birth defects for abacavir, lamivudine, or zidovudine compared with the background rate for birth defects of 2.7% in the Metropolitan Atlanta Congenital Defects Program (MACDP) reference population [see Data]. The APR uses the MACDP as the U.S. reference population for birth defects in the general population. The MACDP evaluates women and infants from a limited geographic area and does not include outcomes for births that occurred at less than 20 weeks' gestation. The rate of miscarriage is not reported in the APR. The estimated background rate of miscarriage in clinically recognized pregnancies in the U.S. general population is 15% to 20%. The background risk for major birth defects and miscarriage for the indicated population is unknown.

Hyperlactatemia, which may be due to mitochondrial dysfunction, has been reported in infants with in utero exposure to zidovudine-containing products. These events were transient and asymptomatic in most cases. There have been few reports of developmental delay, seizures, and other neurological disease. However, a causal relationship between these events and exposure to zidovudine-containing products in utero or peri-partum has not been established (see Data).

In animal reproduction studies, oral administration of abacavir to pregnant rats during organogenesis resulted in fetal malformations and other embryonic and fetal toxicities at exposures 35 times the human exposure (AUC) at the recommended clinical daily dose. However, no adverse developmental effects were observed following oral administration of abacavir to pregnant rabbits during organogenesis, at exposures approximately 9 times the human exposure (AUC) at the recommended clinical dose. Oral administration of lamivudine to pregnant rabbits during organogenesis resulted in embryolethality at systemic exposure (AUC) similar to the recommended clinical dose; however, no adverse development effects were observed with oral administration of lamivudine to pregnant rats during organogenesis at plasma concentrations (Cmax) 35 times the recommended clinical dose. Administration of oral zidovudine to female rats prior to mating and throughout gestation resulted in embryotoxicity at doses that produced systemic exposure (AUC) approximately 33 times higher than exposure at the recommended clinical dose. However, no embryotoxicity was observed after oral administration of zidovudine to pregnant rats during organogenesis at doses that produced systemic exposure (AUC) approximately 117 times higher than exposures at the recommended clinical dose. Administration of oral zidovudine to pregnant rabbits during organogenesis resulted in embryotoxicity at doses that produced systemic exposure (AUC) approximately 108 times higher than exposure at the recommended clinical dose. However, no embryotoxicity was observed at doses that produced systemic exposure (AUC) approximately 23 times higher than exposures at the recommended clinical dose (see Data).

Data

Human Data:

Abacavir

Based on prospective reports to the APR of  exposures to abacavir during pregnancy resulting in live births (including over 1,300 exposed in the first trimester and over 1,300 exposed in the second/third trimester), there was no difference between the overall risk of birth defects for abacavir compared with the background birth defect rate of 2.7% in a U.S. reference population of the MACDP. The prevalence of defects in live births was 3.2% (95% CI: 2.3% to 4.3%) following first trimester exposure to abacavir-containing regimens and 2.9% (95% CI: 2.1% to 4%) following second/third trimester exposure to abacavir-containing regimens.

Abacavir has been shown to cross the placenta and concentrations in neonatal plasma at birth were essentially equal to those in maternal plasma at delivery [see CLINICAL PHARMACOLOGY (12.3)].

Lamivudine

Based on prospective reports to the APR of of exposures to lamivudine during pregnancy resulting in live births (including over 5300 exposed in the first trimester and over 7,400 exposed in the second/third trimester), there was no difference between the overall risk of birth defects for lamivudine compared with the background birth defect rate of 2.7% in a U.S. reference population of the MACDP. The prevalence of birth defects in live births was 3.1% (95% CI: 2.7% to 3.6%) following first trimester exposure to lamivudine-containing regimens and 2.9% (95% CI: 2.5% to 3.3%) following second/third trimester exposure to lamivudine-containing regimens..

Lamivudine pharmacokinetics were studied in pregnant women during 2 clinical trials conducted in South Africa. The trials assessed pharmacokinetics in 16 women at 36 weeks' gestation using 150 mg lamivudine twice daily with zidovudine, 10 women at 38 weeks' gestation using 150 mg lamivudine twice daily with zidovudine, and 10 women at 38 weeks' gestation using lamivudine 300 mg twice daily without other antiretrovirals. These trials were not designed or powered to provide efficacy information. Lamivudine concentrations were generally similar in maternal, neonatal, and umbilical cord serum samples. In a subset of subjects, amniotic fluid specimens were collected following natural rupture of membranes and confirmed that lamivudine crosses the placenta in humans. Based on limited data at delivery, median (range) amniotic fluid concentrations of lamivudine were 3.9 (1.2 to 12.8)–fold greater compared with paired maternal serum concentration (n = 8).

Zidovudine

Based on prospective reports to the APR of exposures to zidovudine during pregnancy resulting in live births (including over 4,200 exposed in the first trimester and over 9,700 exposed in the second/third trimester), there was no difference between the overall risk of birth defects for zidovudine compared with the background birth defect rate of 2.7% in a U.S. reference population of the MACDP. The prevalence of birth defects in live births was 3.2% (95% CI: 2.7% to 3.8%) following first trimester exposure to zidovudine-containing regimens and 2.8% (95% CI: 2.5% to 3.1%) following second/third trimester exposure to zidovudine-containing regimens.

A randomized, double-blind, placebo-controlled trial was conducted in HIV-1-infected pregnant women to determine the utility of zidovudine for the prevention of maternal-fetal HIV-1 transmission. Zidovudine treatment during pregnancy reduced the rate of maternal-fetal HIV-1 transmission from 24.9% for infants born to placebo-treated mothers to 7.8% for infants born to mothers treated with zidovudine. There were no differences in pregnancy-related adverse events between the treatment groups. Of the 363 neonates that were evaluated, congenital abnormalities occurred with similar frequency between neonates born to mothers who received zidovudine and neonates born to mothers who received placebo. The observed abnormalities included problems in embryogenesis (prior to 14 weeks) or were recognized on ultrasound before or immediately after initiation of trial drug. See full prescribing information for RETROVIR® (zidovudine) and COMBIVIR® (lamivudine and zidovudine).

Zidovudine has been shown to cross the placenta and concentrations in neonatal plasma at birth were essentially equal to those in maternal plasma at delivery [see CLINICAL PHARMACOLOGY (12.3)].

There have been reports of mild, transient elevations in serum lactate levels, which may be due to mitochondrial dysfunction, in neonates and infants exposed in utero or peri-partum to zidovudine-containing products. There have been few reports of developmental delay, seizures, and other neurological disease. However, a causal relationship between these events and exposure to zidovudine-containing products in utero or peri-partum has not been established. The clinical relevance of transient elevations in serum lactate is unknown.

Animal Data:

Abacavir

Abacavir was administered orally to pregnant rats (at 100, 300, and 1,000 mg per kg per day) and rabbits (at 125, 350, or 700 mg per kg per day) during organogenesis (on Gestation Days 6 through 17 and 6 through 20, respectively). Fetal malformations (increased incidences of fetal anasarca and skeletal malformations) or developmental toxicity (decreased fetal body weight and crown-rump length) were observed in rats at doses up to 1,000 mg per kg per day, resulting in exposures approximately 35 times the human exposure (AUC) at the recommended daily dose. No developmental effects were observed in rats at 100 mg per kg per day, resulting in exposures (AUC) 3.5 times the human exposure at the recommended daily dose. In a fertility and early embryo-fetal development study conducted in rats (at 60, 160, or 500 mg per kg per day), embryonic and fetal toxicities (increased resorptions, decreased fetal body weights) or toxicities to the offspring (increased incidence of stillbirth and lower body weights) occurred at doses up to 500 mg per kg per day. No developmental effects were observed in rats at 60 mg per kg per day, resulting in exposures (AUC) approximately 4 times the human exposure at the recommended daily dose. Studies in pregnant rats showed that abacavir is transferred to the fetus through the placenta. In pregnant rabbits, no developmental toxicities and no increases in fetal malformations occurred at up to the highest dose evaluated, resulting in exposures (AUC) approximately 9 times the human exposure at the recommended dose.

Lamivudine

Lamivudine was administered orally to pregnant rats (at 90, 600, and 4,000 mg per kg per day) and rabbits (at 90, 300, and 1,000 mg per kg per day and at 15, 40, and 90 mg per kg per day) during organogenesis (on Gestation Days 7 through 16 [rat] and 8 through 20 [rabbit]). No evidence of fetal malformations due to lamivudine was observed in rats and rabbits at doses producing plasma concentrations (Cmax) approximately 35 times higher than human exposure at the recommended daily dose. Evidence of early embryolethality was seen in the rabbit at systemic exposures (AUC) similar to those observed in humans, but there was no indication of this effect in the rat at plasma concentrations (Cmax) 35 times higher than human exposure at the recommended daily dose. Studies in pregnant rats showed that lamivudine is transferred to the fetus through the placenta. In the fertility/pre-and postnatal development study in rats, lamivudine was administered orally at doses of 180, 900, and 4,000 mg per kg per day (from prior to mating through postnatal Day 20). In the study, development of the offspring, including fertility and reproductive performance, was not affected by maternal administration of lamivudine.

Zidovudine

A study in pregnant rats (at 50, 150, or 450 mg per kg per day starting 26 days prior to mating through Gestation to postnatal Day 21) showed increased fetal resorptions at doses that produced systemic exposures (AUC) approximately 33 times higher than exposure at the recommended daily human dose (300 mg twice daily). However, in an oral embryo-fetal development study in rats (at 125, 250, or 500 mg per kg per day on Gestation Days 6 through 15), no fetal resorptions were observed at doses that produced systemic exposure (AUC) approximately 117 times higher than exposures at the recommended daily human dose. An oral embryo-fetal development study in rabbits (at 75, 150, or 500 mg per kg per day on gestation Days 6 through 18) showed increased fetal resorptions at the 500-mg-per-kg-per-day dose which produced systemic exposures (AUC) approximately 108 times higher than exposure at the recommended daily human dose; however, no fetal resorptions were noted at doses up to 150 mg per kg per day, which produced systemic exposure (AUC) approximately 23 times higher than exposures at the recommended daily human dose. These oral embryo-fetal development studies in the rat and rabbit revealed no evidence of fetal malformations with zidovudine. In another developmental toxicity study, pregnant rats (dosed at 3,000 mg per kg per day from Days 6 through 15 of gestation) showed marked maternal toxicity and an increased incidence of fetal malformations at exposures greater than 300 times the recommended daily human dose based on AUC. However, there were no signs of fetal malformations at doses up to 600 mg per kg per day.

8.2 Lactation

Risk Summary

The Centers for Disease Control and Prevention recommends that HIV-1-infected mothers in the United States not breastfeed their infants to avoid risking postnatal transmission of HIV-1 infection. Abacavir, lamivudine and zidovudine are present in human milk. There is no information on the effects of abacavir, lamivudine and zidovudine on the breastfed infant or the effects of the drug on milk production. Because of the potential for (1) HIV-1 transmission (in HIV-negative infants), (2) developing viral resistance (in HIV-positive infants), and (3) adverse reactions in a breastfed infant similar to those seen in adults, instruct mothers not to breastfeed if they are receiving abacavir, lamivudine and zidovudine tablets.

11 Description (11 DESCRIPTION)

Abacavir, lamivudine and zidovudine tablets contain the following 3 synthetic nucleoside analogues: abacavir (ZIAGEN®), lamivudine (also known as EPIVIR® or 3TC), and zidovudine (also known as RETROVIR®, azidothymidine, or ZDV) with inhibitory activity against HIV-1.

Abacavir, lamivudine and zidovudine tablets are for oral administration. Each film-coated tablet contains the active ingredients 300 mg of abacavir as abacavir sulfate, 150 mg of lamivudine, and 300 mg of zidovudine, and the inactive ingredients crospovidone, magnesium stearate, microcrystalline cellulose, povidone, and yellow ferric oxide. The tablets are coated with a film opadry green that is made of FD&C blue no. 2, polyethylene glycol, polyvinyl alcohol, talc, titanium dioxide and yellow ferric oxide.

Abacavir Sulfate

The chemical name of abacavir sulfate is (1S,cis)-4-[2-amino-6-(cyclopropylamino)-9H-purin-9-yl]-2-cyclopentene-1-methanol sulfate (salt) (2:1). Abacavir sulfate is the enantiomer with 1S, 4R absolute configuration on the cyclopentene ring. It has a molecular formula of (C14H18N6O)2·H2SO4 and a molecular weight of 670.74 g per mol. It has the following structural formula:

Abacavir sulfate is a white to off-white powder and soluble in water. Dosages are expressed in terms of abacavir.

Lamivudine

The chemical name of lamivudine is (2R,cis)-4-amino-1-(2-hydroxymethyl-1,3-oxathiolan-5-yl)-(1H)-pyrimidin-2-one, 0.2 hydrate. Lamivudine is the (-) enantiomer of a dideoxy analogue of cytidine. Lamivudine has also been referred to as (-)2',3'-dideoxy, 3'-thiacytidine. It has a molecular formula of C8H11N3O3S·0.2H2O and a molecular weight of 232.86 g per mol. It has the following structural formula:

Lamivudine is a white to off-white solid and is soluble in water.

Zidovudine

The chemical name of zidovudine is 3'-azido-3'-deoxythymidine. It has a molecular formula of C10H13N5O4 and a molecular weight of 267.24 g per mol. It has the following structural formula:

Zidovudine is a white to yellowish powder with a solubility of 20.1 mg/mL in water at 25°C.

7.2 Lamivudine

Sorbitol

Coadministration of single doses of lamivudine and sorbitol resulted in a sorbitol dose-dependent reduction in lamivudine exposures. When possible, avoid use of sorbitol-containing medicines with lamivudine-containing medicines [see CLINICAL PHARMACOLOGY (12.3)].

 

7.3 Zidovudine

Agents Antagonistic with Zidovudine

Concomitant use of zidovudine with the following drugs should be avoided since an antagonistic relationship has been demonstrated in vitro:

  • Stavudine
  • Doxorubicin
  • Nucleoside analogues, e.g., ribavirin

Hematologic/Bone Marrow Suppressive/Cytotoxic Agents

Coadministration with the following drugs may increase the hematologic toxicity of zidovudine:

  • Ganciclovir
  • Interferon alfa
  • Ribavirin
  • Other bone marrow suppressive or cytotoxic agents
5.8 Lipoatrophy

Treatment with zidovudine, a component of abacavir, lamivudine and zidovudine tablets, has been associated with loss of subcutaneous fat. The incidence and severity of lipoatrophy are related to cumulative exposure. This fat loss, which is most evident in the face, limbs, and buttocks, may be only partially reversible and improvement may take months to years after switching to a non-zidovudine-containing regimen. Patients should be regularly assessed for signs of lipoatrophy during therapy with zidovudine-containing products, and if feasible, therapy should be switched to an alternative regimen if there is suspicion of lipoatrophy.

12.4 Microbiology

Mechanism of Action

Abacavir :

Abacavir is a carbocyclic synthetic nucleoside analogue. Abacavir is converted by cellular enzymes to the active metabolite, carbovir triphosphate (CBV-TP), an analogue of deoxyguanosine-5′-triphosphate (dGTP). CBV-TP inhibits the activity of HIV-1 reverse transcriptase (RT) both by competing with the natural substrate dGTP and by its incorporation into viral DNA.

Lamivudine:  

Lamivudine is a synthetic nucleoside analogue. Intracellularly, lamivudine is phosphorylated to its active 5′-triphosphate metabolite, lamivudine triphosphate (3TC-TP). The principal mode of action of 3TC-TP is inhibition of RT via DNA chain termination after incorporation of the nucleotide analogue.

Zidovudine :

Zidovudine is a synthetic nucleoside analogue. Intracellularly, zidovudine is phosphorylated to its active 5′-triphosphate metabolite, zidovudine triphosphate (ZDV-TP). The principal mode of action of ZDV-TP is inhibition of RT via DNA chain termination after incorporation of the nucleotide analogue.

Antiviral Activity

Abacavir :

The antiviral activity of abacavir against HIV-1 was assessed in a number of cell lines including primary monocytes/macrophages and peripheral blood mononuclear cells (PBMCs). EC50 values ranged from 3.7 to 5.8 microM (1 microM = 0.28 mcg per mL) and 0.07 to 1.0 microM against HIV-1IIIB and HIV-1BaL, respectively, and the mean EC50 value was 0.26 + 0.18 microM against 8 clinical isolates. The median EC50 values of abacavir were 344 nM (range: 14.8 to 676 nM), 16.9 nM (range: 5.9 to 27.9 nM), 8.1 nM (range: 1.5 to 16.7 nM), 356 nM (range: 35.7 to 396 nM), 105 nM (range: 28.1 to 168 nM), 47.6 nM (range: 5.2 to 200 nM), 51.4 nM (range: 7.1 to 177 nM), and 282 nM (range: 22.4 to 598 nM) against HIV-1 clades A-G and group O viruses (n = 3 except n = 2 for clade B), respectively. The EC50 values against HIV-2 isolates (n = 4), ranged from 0.024 to 0.49 microM.

Lamivudine:  

The antiviral activity of lamivudine against HIV-1 was assessed in a number of cell lines including monocytes and PBMCs using standard susceptibility assays. EC50 values were in the range of 0.003 to 15 microM (1 microM = 0.23 mcg per mL). The median EC50 values of lamivudine were 60 nM (range: 20 to 70 nM), 35 nM (range: 30 to 40 nM), 30 nM (range: 20 to 90 nM), 20 nM (range: 3 to 40 nM), 30 nM (range: 1 to 60 nM), 30 nM (range: 20 to 70 nM), 30 nM (range: 3 to 70 nM), and 30 nM (range: 20 to 90 nM) against HIV-1 clades A - G and group O viruses (n = 3 except n = 2 for clade B), respectively. The EC50 values against HIV-2 isolates (n = 4) ranged from 0.003 to 0.120 microM in PBMCs. Ribavirin (50 microM) used in the treatment of chronic HCV infection decreased the anti-HIV-1 activity of lamivudine by 3.5-fold in MT-4 cells.

Zidovudine:  

The antiviral activity of zidovudine against HIV-1 was assessed in a number of cell lines including monocytes and fresh human peripheral blood lymphocytes. The EC50 and EC90 values for zidovudine were 0.01 to 0.49 microM (1 microM = 0.27 mcg per mL) and 0.1 to 9 microM, respectively. HIV-1 from therapy-naive subjects with no amino acid substitutions associated with resistance gave median EC50 values of 0.011 microM (range: 0.005 to 0.110 microM) from Virco (n = 92 baseline samples) and 0.0017 microM (range: 0.006 to 0.0340 microM) from Monogram Biosciences (n = 135 baseline samples). The EC50 values of zidovudine against different HIV-1 clades (A-G) ranged from 0.00018 to 0.02 microM, and against HIV-2 isolates from 0.00049 to 0.004 microM. Ribavirin has been found to inhibit the phosphorylation of zidovudine in cell culture.

Neither abacavir, lamivudine, nor zidovudine was antagonistic to tested anti-HIV agents, with the exception of stavudine where an antagonistic relationship with zidovudine has been demonstrated in cell culture. See full prescribing information for ZIAGEN (abacavir), EPIVIR (lamivudine), RETROVIR (zidovudine).

Resistance

HIV-1 isolates with reduced susceptibility to abacavir, lamivudine, or zidovudine have been selected in cell culture and were also recovered from subjects treated with abacavir, lamivudine, and zidovudine, or the combinations of the individual components.

Abacavir and Lamivudine :  

HIV-1 isolates with reduced susceptibility to the combination of abacavir and lamivudine have been selected in cell culture with amino acid substitutions, K65R, L74V, Y115F, and M184V/I emerging in HIV-1 RT. M184V or I substitutions resulted in high-level resistance to lamivudine and an approximately 2-fold decrease in susceptibility to abacavir. Substitutions K65R, L74M, or Y115F with M184V or I conferred a 7- to 8-fold reduction in abacavir susceptibility, and combinations of three substitutions were required to confer more than an 8-fold reduction in susceptibility.

Zidovudine:

Genotypic analyses of the isolates selected in cell culture and recovered from zidovudine-treated subjects showed thymidine analogue mutation (TAM) substitutions in HIV-1 RT (M41L, D67N, K70R, L210W, T215Y or F, and K219E/R/H/Q/N) that confer zidovudine resistance. In general, higher levels of resistance were associated with a greater number of substitutions. In some subjects harboring zidovudine-resistant virus at baseline, phenotypic sensitivity to zidovudine was restored by 12 weeks of treatment with lamivudine and zidovudine.

Cross-Resistance

Cross-resistance has been observed among NRTIs. The combination of abacavir/lamivudine has demonstrated decreased susceptibility to viruses with a K65R substitution with or without an M184V/I substitution, viruses with L74V plus the M184V/I substitution, and viruses with TAM substitutions (M41L, D67N, K70R, L210W, T215Y/F, K219 E/R/H/Q/N) plus M184V. An increasing number of TAMs is associated with a progressive reduction in abacavir susceptibility.

TAMs are selected by zidovudine and confer cross-resistance to abacavir, didanosine, stavudine, and tenofovir. Cross-resistance between lamivudine and zidovudine has not been reported.

8.4 Pediatric Use

Abacavir, lamivudine and zidovudine tablet is not recommended in children who weigh less than 40 kg because it is a fixed-dose tablet that cannot be adjusted for these patient populations [see DOSAGE AND ADMINISTRATION (2.3)].

Therapy-Experienced Pediatric Trial

A randomized, double-blind trial, CNA3006, compared ZIAGEN® plus lamivudine and zidovudine versus lamivudine and zidovudine in pediatric subjects, most of whom were extensively pretreated with nucleoside analogue antiretroviral agents. Subjects in this trial had a limited response to abacavir.

8.5 Geriatric Use

Clinical trials of abacavir, lamivudine, and zidovudine did not include sufficient numbers of subjects aged 65 and over to determine whether they respond differently from younger subjects. In general, caution should be exercised in the administration of abacavir, lamivudine and zidovudine tablets in elderly patients reflecting the greater frequency of decreased hepatic, renal, or cardiac function, and of concomitant disease or other drug therapy [see CLINICAL PHARMACOLOGY (12.3)].

14 Clinical Studies (14 CLINICAL STUDIES)

The following trial was conducted with the individual components of abacavir, lamivudine and zidovudine tablet [see CLINICAL PHARMACOLOGY (12.3)].

CNA3005 was a multicenter, double-blind, controlled trial in which 562 HIV-1-infected, therapy-naive adults were randomized to receive either ZIAGEN (300 mg twice daily) plus COMBIVIR (lamivudine 150 mg/zidovudine 300 mg twice daily), or indinavir (800 mg 3 times a day) plus COMBIVIR twice daily. The trial was stratified at randomization by pre-entry plasma HIV-1 RNA 10,000 to 100,000 copies per mL and plasma HIV-1 RNA greater than 100,000 copies per mL. Trial participants were male (87%), Caucasian (73%), black (15%), and Hispanic (9%). At baseline the median age was 36 years; the median pretreatment CD4+ cell count was 360 cells per mm3, and median plasma HIV-1 RNA was 4.8 log10 copies per mL. Proportions of subjects with plasma HIV-1 RNA less than 400 copies per mL (using Roche AMPLICOR HIV-1 MONITOR Test) through 48 weeks of treatment are summarized in Table 5.

Header$Outcome

ZIAGEN plus

Lamivudine/Zidovudine

(n = 262)

Indinavir plus

Lamivudine/Zidovudine

(n = 265)

Respondera

49%

50%

Virologic failureb

31%

28%

Discontinued due to adverse reactions

10%

12%

Discontinued due to other reasonsc

11%

10%

Treatment response by plasma HIV-1 RNA strata is shown in Table 6.

Table 6. Proportions of Responders through Week 48 by Screening Plasma HIV-1 RNA Levels (CNA3005)
Screening  HIV - RNA

( copies / mL )

ZIAGEN ®  plus

Lamivudine / Zidovudine

( 262 )

Indinavir  plus

Lamivudine / Zidovudine

( 265 )



< 400  copies / mL

n

< 400  copies / mL

n

≥10,000 to ≤100,000

50%

166

48%

165

>100,000

48%

96

52%

100

In subjects with baseline viral load greater than 100,000 copies per mL, percentages of subjects with HIV-1 RNA levels less than 50 copies per mL were 31% in the group receiving abacavir vs. 45% in the group receiving indinavir.

Through Week 48, an overall mean increase in CD4+ cell count of about 150 cells per mm3 was observed in both treatment arms. Through Week 48, 9 subjects (3.4%) in the group receiving abacavir (6 CDC classification C events and 3 deaths) and 3 subjects (1.5%) in the group receiving indinavir (2 CDC classification C events and 1 death) experienced clinical disease progression.

29 a Subjects achieved and maintained confirmed HIV-1 RNA less than 400 copies per mL.

4 Contraindications (4 CONTRAINDICATIONS)
  • Presence of HLA-B*5701 allele. (4)
  • Prior hypersensitivity reaction to abacavir, lamivudine, or zidovudine (4)
  • Moderate or severe hepatic impairment. (4, 8.7)
6 Adverse Reactions (6 ADVERSE REACTIONS)

The most commonly reported adverse reactions (incidence at least 10%) in clinical trials were nausea, headache, malaise and fatigue, and nausea and vomiting. (6.1)

To report SUSPECTED ADVERSE REACTIONS, contact Lupin Pharmaceuticals, Inc. at 1-800-399-2561 or FDA at 1-800-FDA-1088 or www.fda.gov/medwatch.

7 Drug Interactions (7 DRUG INTERACTIONS)
  • Methadone: An increased methadone dose may be required in a small number of patients. (7.1)
  • Riociguat: The riociguat dose may need to be reduced. (7.1)
  • Sorbitol: Coadministration of lamivudine and sorbitol may decrease lamivudine concentrations; when possible, avoid chronic coadministration. (7.2)
  • Agents antagonistic with zidovudine: Concomitant use should be avoided. (7.3)
  • Hematologic/bone marrow suppressive/cytotoxic agents: May increase the hematologic toxicity of zidovudine. (7.3)
12.3 Pharmacokinetics

Pharmacokinetics in Adults

In a single-dose, 3-way crossover bioavailability trial of 1 abacavir, lamivudine and zidovudine tablet versus 1 ZIAGEN tablet (300 mg), 1 EPIVIR tablet (150 mg), plus 1 RETROVIR tablet (300 mg) administered simultaneously in healthy subjects (n = 24), there was no difference in the extent of absorption, as measured by the area under the plasma concentration-time curve (AUC) and maximal peak concentration (Cmax), of all 3 components. One abacavir, lamivudine and zidovudine tablet was bioequivalent to 1 ZIAGEN tablet (300 mg), 1 EPIVIR tablet (150 mg), plus 1 RETROVIR tablet (300 mg) following single-dose administration to fasting healthy subjects (n = 24).

Abacavir:

Following oral administration, abacavir is rapidly absorbed and extensively distributed. After oral administration of 300 mg of abacavir twice daily in 20 subjects, Cmax was 3.0 ± 0.89 mcg per mL (mean ± SD) and AUC(0 to 12 h) was 6.02 ± 1.73 mcg•hour per mL. Binding of abacavir to human plasma proteins is approximately 50% and was independent of concentration. Total blood and plasma drug-related radioactivity concentrations are identical, demonstrating that abacavir readily distributes into erythrocytes. The primary routes of elimination of abacavir are metabolism by alcohol dehydrogenase to form the 5′-carboxylic acid and glucuronyl transferase to form the 5′-glucuronide.

Lamivudine:

Following oral administration, lamivudine is rapidly absorbed and extensively distributed. Binding to plasma protein is low. Approximately 70% of an intravenous dose of lamivudine is recovered as unchanged drug in the urine. Metabolism of lamivudine is a minor route of elimination. In humans, the only known metabolite is the trans-sulfoxide metabolite (approximately 5% of an oral dose after 12 hours).

Zidovudine:

Following oral administration, zidovudine is rapidly absorbed and extensively distributed. Binding to plasma protein is low. Zidovudine is eliminated primarily by hepatic metabolism. The major metabolite of zidovudine is GZDV. GZDV AUC is about 3-fold greater than the zidovudine AUC. Urinary recovery of zidovudine and GZDV accounts for 14% and 74% of the dose following oral administration, respectively. A second metabolite, 3′-amino-3′  deoxythymidine (AMT), has been identified in plasma. The AMT AUC was one-fifth of the zidovudine AUC.

In humans, abacavir, lamivudine, and zidovudine are not significantly metabolized by CYP enzymes.

The pharmacokinetic properties of abacavir, lamivudine, and zidovudine in fasting subjects are summarized in Table 3.

Header$Parameter

Abacavir

Lamivudine

Zidovudine

Oral bioavailability (%)

86 ± 25

n = 6

86 ± 16

n = 12

64 ± 10

n = 5

Apparent volume of distribution (L/kg)

0.86 ± 0.15

n = 6

1.3 ± 0.4

n = 20

1.6 ± 0.6

n = 8

Systemic clearance (L/h/kg)

0.80 ± 0.24

n = 6

0.33 ± 0.06

n = 20

1.6 ± 0.6

n = 6

Renal clearance (L/h/kg)

0.007 ± 0.008

n = 6

0.22 ± 0.06

n = 20

0.34 ± 0.05

n = 9

Elimination half-life (h)

1.45 ± 0.32

n = 20

13 to 19b

0.5 to 3b

Effect of Food on Absorption of Abacavir, Lamivudine and Zidovudine Tablets

Administration with food in a single-dose bioavailability trial resulted in lower Cmax, similar to results observed previously for the reference formulations. The average [90% CI] decrease in abacavir, lamivudine, and zidovudine Cmax was 32% [24% to 38%], 18% [10% to 25%], and 28% [13% to 40%], respectively, when administered with a high-fat meal, compared with administration under fasted conditions. Administration of abacavir, lamivudine and zidovudine tablets with food did not alter the extent of abacavir, lamivudine, and zidovudine absorption (AUC), as compared with administration under fasted conditions (n = 24) [see DOSAGE AND ADMINISTRATION (2.2)].

Specific Populations

Patients with Renal Impairment:  

Abacavir, Lamivudine and Zidovudine Tablets 

The effect of renal impairment on the combination of abacavir, lamivudine, and zidovudine has not been evaluated (see the U.S. prescribing information for the individual abacavir, lamivudine, and zidovudine components).

Patients with Hepatic Impairment:  

Abacavir, Lamivudine and Zidovudine Tablets 

The effect of hepatic impairment on the combination of abacavir, lamivudine, and zidovudine has not been evaluated (see the U.S. prescribing information for the individual abacavir, lamivudine, and zidovudine components).

Pregnant Women:  

Abacavir 

Abacavir pharmacokinetics were studied in 25 pregnant women during the last trimester of pregnancy receiving abacavir 300 mg twice daily. Abacavir exposure (AUC) during pregnancy was similar to those in postpartum and in HIV-infected non-pregnant historical controls. Consistent with passive diffusion of abacavir across the placenta, abacavir concentrations in neonatal plasma cord samples at birth were essentially equal to those in maternal plasma at delivery.

Lamivudine

Lamivudine pharmacokinetics were studied in 36 pregnant women during 2 clinical trials conducted in South Africa. Lamivudine pharmacokinetics in pregnant women were similar to those seen in non-pregnant adults and in postpartum women. Lamivudine concentrations were generally similar in maternal, neonatal, and umbilical cord serum samples.

Zidovudine

Zidovudine pharmacokinetics have been studied in a Phase 1 trial of 8 women during the last trimester of pregnancy. Zidovudine pharmacokinetics were similar to those of nonpregnant adults. Consistent with passive transmission of the drug across the placenta, zidovudine concentrations in neonatal plasma at birth were essentially equal to those in maternal plasma at delivery.

Although data are limited, methadone maintenance therapy in 5 pregnant women did not appear to alter zidovudine pharmacokinetics.

Geriatric Patients:  

The pharmacokinetics of abacavir, lamivudine, and zidovudine have not been studied in subjects over 65 years of age.

Male and Female Patients :

There are no significant or clinically relevant gender differences in the pharmacokinetics of the individual components (abacavir, lamivudine, or zidovudine) based on the available information that was analyzed for each of the individual components.

Racial Groups:  

Abacavir and Lamivudine 

There are no significant or clinically relevant racial differences in pharmacokinetics of abacavir or lamivudine based on the available information that was analyzed for each of the individual components.

Zidovudine

The pharmacokinetics of zidovudine with respect to race have not been determined.

Drug Interaction Studies:

The drug interaction trials described were conducted with abacavir, lamivudine or zidovudine as single entities; no drug interaction trials have been conducted using abacavir, lamivudine and zidovudine tablets. No clinically significant drug interactions are expected between abacavir, lamivudine, and zidovudine.

Effect of Abacavir and Lamivudine on the Pharmacokinetics of Other Agents :

In vitro studies have shown that abacavir has potential to inhibit CYP1A1 and limited potential to inhibit metabolism mediated by CYP3A4. Lamivudine does not inhibit or induce CYP3A4. Abacavir and lamivudine do not inhibit or induce other CYP enzymes (such as CYP2C9, or CYP2D6). Based on in vitro study results, abacavir and lamivudine at therapeutic drug exposures are not expected to affect the pharmacokinetics of drugs that are substrates of the following transporters: organic anion transporter polypeptide (OATP)1B1/3, breast cancer resistance protein (BCRP) or P-glycoprotein (P-gp), organic cation transporter (OCT)1, OCT2, OCT3 (lamivudine only), or multidrug and toxic extrusion protein (MATE)1 and MATE2-K.

Riociguat: Coadministration of a single dose of riociguat (0.5 mg) to HIV-1–infected subjects receiving fixed-dose abacavir/dolutegravir/lamivudine is reported to increase riociguat AUC(∞) compared with riociguat AUC(∞) reported in healthy subjects due to CYP1A1 inhibition by abacavir. The exact magnitude of increase in riociguat exposure has not been fully characterized based on findings from two studies [see Drug Interactions (7.1)].

Effect of Other Agents on the Pharmacokinetics of Abacavir, Lamivudine, or Zidovudine:

Abacavir, lamivudine, and zidovudine are not significantly metabolized by CYP P450 enzymes; therefore, CYP enzyme inhibitors or inducers are not expected to affect their concentrations. In vitro, abacavir is not a substrate of OATP1B1, OATP1B3, OCT1, OCT2, OAT1, MATE1, MATE2-K, multidrug resistance-associated protein (MRP)2 or MRP4; therefore, drugs that modulate these transporters are not expected to affect abacavir plasma concentrations. Abacavir is a substrate of BCRP and P-gp in vitro; however, considering its absolute bioavailability (83%), modulators of these transporters are unlikely to result in a clinically relevant impact on abacavir concentrations.

Lamivudine is a substrate of MATE1, MATE2-K, and OCT2 in vitro. Trimethoprim (an inhibitor of these drug transporters) has been shown to increase lamivudine plasma concentrations. This interaction is not considered clinically significant as no dose adjustment of lamivudine is needed.

Lamivudine is a substrate of P-gp and BCRP; however, considering its absolute bioavailability (87%), it is unlikely that these transporters play a significant role in the absorption of lamivudine. Therefore, coadministration of drugs that are inhibitors of these efflux transporters is unlikely to affect the disposition and elimination of lamivudine.

Glucuronyl Transferase :

Due to the common metabolic pathways of abacavir and zidovudine via glucuronyl transferase, 15 HIV-1-infected subjects were enrolled in a crossover trial evaluating single doses of abacavir (600 mg), lamivudine (150 mg), and zidovudine (300 mg) alone or in combination. Analysis showed no clinically relevant changes in the pharmacokinetics of abacavir with the addition of lamivudine or zidovudine or the combination of lamivudine and zidovudine. Lamivudine exposure (AUC decreased 15%) and zidovudine exposure (AUC increased 10%) did not show clinically relevant changes with concurrent abacavir.

Ethanol :

Abacavir has no effect on the pharmacokinetic properties of ethanol. Ethanol decreases the elimination of abacavir causing an increase in overall exposure.

Interferon Alfa :

There was no significant pharmacokinetic interaction between lamivudine and interferon alfa in a trial of 19 healthy male subjects.

Methadone :

In a trial of 11 HIV-1-infected subjects receiving methadone-maintenance therapy (40 mg and 90 mg daily), with 600 mg of abacavir twice daily (twice the currently recommended dose), oral methadone clearance increased 22% (90% CI: 6% to 42%) [see DRUG INTERACTIONS (7.1)]. The addition of methadone has no clinically significant effect on the pharmacokinetic properties of abacavir.

Ribavirin :

In vitro data indicate ribavirin reduces phosphorylation of lamivudine, stavudine, and zidovudine. However, no pharmacokinetic (e.g., plasma concentrations or intracellular triphosphorylated active metabolite concentrations) or pharmacodynamic (e.g., loss of HIV-1/HCV virologic suppression) interaction was observed when ribavirin and lamivudine (n = 18), stavudine (n = 10), or zidovudine (n = 6) were coadministered as part of a multi-drug regimen to HIV-1/HCV co-infected subjects [see WARNINGS AND PRECAUTIONS (5.6)].

Sorbitol (Excipient):

Lamivudine and sorbitol solutions were coadministered to 16 healthy adult subjects in an open-label, randomized-sequence, 4-period, crossover trial. Each subject received a single 300-mg dose of lamivudine oral solution alone or coadministered with a single dose of 3.2 grams, 10.2 grams, or 13.4 grams of sorbitol in solution. Coadministration of lamivudine with sorbitol resulted in dose-dependent decreases of 20%, 39%, and 44% in the AUC (0-24); 14%, 32%, and 36% in the AUC( ); and 28%, 52%, and 55% in the Cmax; of lamivudine, respectively.

The effects of other coadministered drugs on abacavir, lamivudine, or zidovudine are provided in Table 4.

Table 4. Effect of Coadministered Drugs on Abacavir, Lamivudine, and Zidovudine AUC
See DRUG INTERACTIONS (7) for additional information on drug interactions.

↑= Increase; ↓= Decrease; ↔= No significant change; AUC = Area under the concentration versus time curve; CI = Confidence interval.



Coadministered 

Drug  and  Dose

Drug  and  Dose

n

Concentrations  of  Abacavir Lamivudine or  Zidovudine

Concentration  of  Coadministered  Drug







AUC

Variability



Ethanol

0.7 g/kg

Abacavir single

600 mg

24

↑41%

90% CI:

35% to 48%

The drug-drug interaction was only evaluated in males.


Nelfinavir

750 mg every 8 h x 7 to 10 days

Lamivudine single

150 mg

11

↑10%

95% CI:

1% to 20%



Trimethoprim 160 mg/ Sulfamethoxazole 

800 mg daily x 5 days

Lamivudine single

300 mg

14

↑43%

90% CI:

32% to 55%



Atovaquone

750 mg every 12 h with food

Zidovudine

200 mg every

8 h

14

↑31%

Range: 23% to 78%
Estimated range of percent difference.




Clarithromycin 500 mg twice daily

Zidovudine

100 mg every

4 h x 7 days

4

↓12%

Range:

↓34% to ↑14%

Not Reported

Fluconazole 400 mg daily

Zidovudine

200 mg every

8 h

12

↑74%

95% CI:

54% to 98%

Not Reported

Methadone 30 to 90 mg daily

Zidovudine

200 mg every

4 h

9

↑43%

Range:

16% to 64%




Nelfinavir 750 mg every 8 h x 7 to 10 days

Zidovudine

single

200 mg

11

↓35%

Range:

28% to 41%



Probenecid 500 mg every 6 h x

2 days

Zidovudine

2 mg/kg every

8 h x 3 days

3

↑106%

Range:

100% to 170% c

Not Assessed

Rifampin

   600 mg daily x

   14 days

Zidovudine

200 mg every

8 h x 14 days

8

↓47%

90% CI:

41% to 53%

Not Assessed

Ritonavir

   300 mg every 6 h x 4

   days

Zidovudine

200 mg every 8 h x 4 days

9

↓25%

95% CI:

15% to 34%



Valproic acid

   250 mg or 500 mg

   every 8 h x 4 days

Zidovudine

100 mg every 8 h x

4 days

6

↑80%

Range:

64% to 130%


Not Assesed

1 Indications and Usage (1 INDICATIONS AND USAGE)

Abacavir, lamivudine and zidovudine tablet, a combination of abacavir, lamivudine, and zidovudine, each nucleoside analogue HIV-1 reverse transcriptase inhibitors, is indicated in combination with other antiretroviral agents for the treatment of HIV-1 infection.(1)

12.1 Mechanism of Action

Abacavir, lamivudine and zidovudine tablet is an antiretroviral agent [see Microbiology (12.4)].

5.9 Myocardial Infarction

Several prospective, observational, epidemiological studies have reported an association with the use of abacavir and the risk of myocardial infarction (MI). Meta-analyses of randomized, controlled clinical trials have observed no excess risk of MI in abacavir-treated subjects as compared with control subjects. To date, there is no established biological mechanism to explain a potential increase in risk. In totality, the available data from the observational studies and from controlled clinical trials show inconsistency; therefore, evidence for a causal relationship between abacavir treatment and the risk of MI is inconclusive.

As a precaution, the underlying risk of coronary heart disease should be considered when prescribing antiretroviral therapies, including abacavir, and action taken to minimize all modifiable risk factors (e.g., hypertension, hyperlipidemia, diabetes mellitus, smoking).

5 Warnings and Precautions (5 WARNINGS AND PRECAUTIONS)
  •   Hepatic decompensation, some fatal, has occurred in HIV-1/HCV co-infected patients receiving combination antiretroviral therapy and interferon alfa with or without ribavirin. Discontinue abacavir, lamivudine and zidovudine tablets as medically appropriate and consider dose reduction or discontinuation of interferon alfa, ribavirin, or both. (5.6)
  •   Exacerbation of anemia has been reported in HIV-1/HCV co-infected patients receiving ribavirin and zidovudine. Coadministration of ribavirin and zidovudine is not advised. (5.6)
  •   Immune reconstitution syndrome and lipoatrophy have been reported in patients treated with combination antiretroviral therapy. (5.7, 5.8)
2 Dosage and Administration (2 DOSAGE AND ADMINISTRATION)
  • Before initiating abacavir, lamivudine and zidovudine tablets, screen for the HLA-B*5701 allele because abacavir, lamivudine and zidovudine tablet contains abacavir. (2.1)
  • Adults and pediatric patients weighing at least 40 kg: 1 tablet twice daily. (2.2)
  • Because abacavir, lamivudine and zidovudine tablet is a fixed-dose tablet and cannot be dose adjusted, abacavir, lamivudine and zidovudine tablets are not recommended in patients requiring dosage adjustment or patients with hepatic impairment. (2.3, 4)
3 Dosage Forms and Strengths (3 DOSAGE FORMS AND STRENGTHS)
  • Tablets: 300 mg abacavir, 150 mg lamivudine, and 300 mg zidovudine. (3)
6.2 Postmarketing Experience

The following adverse reactions have been identified during postmarketing use. Because these reactions are reported voluntarily from a population of unknown size, it is not always possible to reliably estimate their frequency or establish a causal relationship to drug exposure.

 

Abacavir

Cardiovascular :

Myocardial infarction.

 

Skin :

Suspected Stevens-Johnson syndrome (SJS) and toxic epidermal necrolysis (TEN) have been reported in patients receiving abacavir primarily in combination with medications known to be associated with SJS and TEN, respectively. Because of the overlap of clinical signs and symptoms between hypersensitivity to abacavir and SJS and TEN, and the possibility of multiple drug sensitivities in some patients, abacavir should be discontinued and not restarted in such cases. There have also been reports of erythema multiforme with abacavir use [see ADVERSE REACTIONS (6.1)].

 

Abacavir, Lamivudine, and/or Zidovudine

Body as a Whole :

Redistribution/accumulation of body fat.

 

Cardiovascular :

Cardiomyopathy.

 

Digestive :

Stomatitis.

 

Endocrine and Metabolic :

Gynecomastia.

 

Gastrointestinal:

Anorexia and/or decreased appetite, abdominal pain, dyspepsia, oral mucosal pigmentation.

 

General :

Vasculitis, weakness.

 

Hemic and Lymphatic :

Aplastic anemia, anemia (including pure red cell aplasia and severe anemias progressing on therapy), lymphadenopathy, splenomegaly, thrombocytopenia.

 

Hepatic :

Lactic acidosis and hepatic steatosis [see WARNINGS AND PRECAUTIONS (5.4)], elevated bilirubin, elevated transaminases, posttreatment exacerbations of hepatitis B [see WARNINGS AND PRECAUTIONS (5.5)].

 

Hypersensitivity :

Sensitization reactions (including anaphylaxis), urticaria.

 

Musculoskeletal :

Arthralgia, myalgia, muscle weakness, rhabdomyolysis.

 

Nervous :

Dizziness, paresthesia, peripheral neuropathy, seizures.

 

Psychiatric :

Insomnia and other sleep disorders.

 

Respiratory :

Abnormal breath sounds/wheezing.

 

Skin :

Alopecia, erythema multiforme, Stevens-Johnson syndrome.

 

 

8 Use in Specific Populations (8 USE IN SPECIFIC POPULATIONS)
  • Lactation: Women infected with HIV should be instructed not to breastfeed due to potential for HIV transmission. (8.2)
5.1 Hypersensitivity Reactions

Serious and sometimes fatal hypersensitivity reactions have occurred with abacavir, a component of abacavir, lamivudine and zidovudine tablets. These hypersensitivity reactions have included multi-organ failure and anaphylaxis and typically occurred within the first 6 weeks of treatment with abacavir (median time to onset was 9 days); although abacavir hypersensitivity reactions have occurred any time during treatment [see ADVERSE REACTIONS (6.1)]. Patients who carry the HLA-B*5701 allele are at a higher risk of abacavir hypersensitivity reactions; although, patients who do not carry the HLA-B*5701 allele have developed hypersensitivity reactions. Hypersensitivity to abacavir was reported in approximately 206 (8%) of 2,670 patients in 9 clinical trials with abacavir-containing products where HLA-B*5701 screening was not performed. The incidence of suspected abacavir hypersensitivity reactions in clinical trials was 1% when subjects carrying the HLA-B*5701 allele were excluded. In any patient treated with abacavir, the clinical diagnosis of hypersensitivity reaction must remain the basis of clinical decision making.

Due to the potential for severe, serious, and possibly fatal hypersensitivity reactions with abacavir:

  • All patients should be screened for the HLA-B*5701 allele prior to initiating therapy with abacavir, lamivudine and zidovudine tablets or reinitiation of therapy with abacavir, lamivudine and zidovudine tablets, unless patients have a previously documented HLA-B*5701 allele assessment.
  • Abacavir, lamivudine, and zidovudine tablets are contraindicated in patients with a prior hypersensitivity reaction to abacavir and in HLA-B*5701-positive patients.
  • Before starting abacavir, lamivudine and zidovudine tablets, review medical history for prior exposure to any abacavir-containing product. NEVER restart abacavir, lamivudine and zidovudine tablets or any other abacavir-containing product following a hypersensitivity reaction to abacavir, regardless of HLA-B*5701 status.
  • To reduce the risk of a life-threatening hypersensitivity reaction, regardless of HLA-B*5701 status, discontinue abacavir, lamivudine and zidovudine tablets immediately if a hypersensitivity reaction is suspected, even when other diagnoses are possible (e.g., acute onset respiratory diseases such as pneumonia, bronchitis, pharyngitis, or influenza; gastroenteritis; or reactions to other medications).
  • If a hypersensitivity reaction cannot be ruled out, do not restart abacavir, lamivudine and zidovudine tablets or any other abacavir-containing products because more severe symptoms, which may include life-threatening hypotension and death, can occur within hours.
  • If a hypersensitivity reaction is ruled out, patients may restart abacavir, lamivudine and zidovudine tablets. Rarely, patients who have stopped abacavir for reasons other than symptoms of hypersensitivity have also experienced life-threatening reactions within hours of reinitiating abacavir therapy. Therefore, reintroduction of abacavir, lamivudine and zidovudine tablets or any other abacavir-containing product is recommended only if medical care can be readily accessed.
  • A Medication Guide and Warning Card that provide information about recognition of abacavir hypersensitivity reactions should be dispensed with each new prescription and refill.
6.1 Clinical Trials Experience

Because clinical trials are conducted under widely varying conditions, adverse reaction rates observed in the clinical trials of a drug cannot be directly compared with rates in the clinical trials of another drug and may not reflect the rates observed in clinical practice.

Serious and Fatal Abacavir-Associated Hypersensitivity Reactions

In clinical trials, serious and sometimes fatal hypersensitivity reactions have occurred with abacavir, a component of abacavir, lamivudine and zidovudine tablets [see BOXED WARNING, WARNINGS AND PRECAUTIONS (5.1)]. These reactions have been characterized by 2 or more of the following signs or symptoms: (1) fever; (2) rash; (3) gastrointestinal symptoms (including nausea, vomiting, diarrhea, or abdominal pain); (4) constitutional symptoms (including generalized malaise, fatigue, or achiness); (5) respiratory symptoms (including dyspnea, cough, or pharyngitis). Almost all abacavir hypersensitivity reactions include fever and/or rash as part of the syndrome.

Other signs and symptoms have included lethargy, headache, myalgia, edema, arthralgia, and paresthesia. Anaphylaxis, liver failure, renal failure, hypotension, adult respiratory distress syndrome, respiratory failure, myolysis, and death have occurred in association with these hypersensitivity reactions. Physical findings have included lymphadenopathy, mucous membrane lesions (conjunctivitis and mouth ulcerations), and maculopapular or urticarial rash (although some patients had other types of rashes and others did not have a rash). There were reports of erythema multiforme. Laboratory abnormalities included elevated liver chemistries, elevated creatine phosphokinase, elevated creatinine, and lymphopenia, and abnormal chest x-ray findings (predominantly infiltrates, which were localized).

Additional Adverse Reactions with Use of Abacavir, Lamivudine and Zidovudine Tablets

Treatment-emergent clinical adverse reactions (rated by the investigator as moderate or severe) with a frequency greater than or equal to 5% during therapy with abacavir 300 mg twice daily, lamivudine 150 mg twice daily, and zidovudine 300 mg twice daily compared with indinavir 800 mg 3 times daily, lamivudine 150 mg twice daily, and zidovudine 300 mg twice daily from CNA3005 are listed in Table 1.

Table 1. Treatment-Emergent (All Causality) Adverse Reactions of at Least Moderate Intensity (Grades 2 to 4, Greater than or Equal to 5% Frequency) in Therapy-Naive Adults (CNA3005) through 48 Weeks of Treatment
Adverse  Reaction

ZIAGEN ®  plus

Lamivudine / Zidovudine

( n = 262 )

Indinavir  plus

Lamivudine / Zidovudine

( n = 264 )

Nausea

19%

17%

Headache

13%

9%

Malaise and fatigue

12%

12%

Nausea and vomiting

10%

10%

Hypersensitivity reaction

8%

2%

Diarrhea

7%

5%

Fever and/or chills

6%

3%

Depressive disorders

6%

4%

Musculoskeletal pain

5%

7%

Skin rashes

5%

4%

Ear/nose/throat infections

5%

4%

Viral respiratory infections

5%

5%

Anxiety

5%

3%

Renal signs/symptoms

<1%

5%

Pain (non-site-specific)

<1%

5%

Five subjects receiving abacavir in CNA3005 experienced worsening of pre-existing depression compared to none in the indinavir arm. The background rates of pre-existing depression were similar in the 2 treatment arms.

Laboratory Abnormalities

Laboratory abnormalities in CNA3005 are listed in Table 2.

Table 2. Treatment-Emergent Laboratory Abnormalities (Grades 3/4) in CNA3005

ULN = Upper limit of normal.

n = Number of subjects assessed.

Laboratory  Parameter

ZIAGEN ®   plus  Lamivudine / Zidovudine

( 262 )

Indinavir  plus  Lamivudine / Zidovudine

( 264 )

Elevated CPK (>4 x ULN)

18 (7%)

18 (7%)

ALT (>5.0 x ULN)

16 (6%)

16 (6%)

Neutropenia (<750/mm3)

13 (5%)

13 (5%)

Hypertriglyceridemia (>750 mg/dL)

5 (2%)

3 (1%)

Hyperamylasemia (>2.0 x ULN)

5 (2%)

1 (<1%)

Hyperglycemia (>13.9 mmol/L)

2 (<1%)

2 (<1%)

Anemia (Hgb ≤6.9 g/dL)

0 (0%)

3 (1%)

Other Adverse Events

In addition to adverse reactions in Tables 1 and 2, other adverse events observed in the expanded access program for abacavir were pancreatitis and increased GGT.

17 Patient Counseling Information (17 PATIENT COUNSELING INFORMATION)

Advise the patient to read the FDA-approved patient labeling (Medication Guide).

Hypersensitivity Reaction

Inform patients:

  • that a Medication Guide and Warning Card summarizing the symptoms of the abacavir hypersensitivity reaction and other product information will be dispensed by the pharmacist with each new prescription and refill of abacavir, lamivudine and zidovudine tablet, and instruct the patient to read the Medication Guide and Warning Card every time to obtain any new information that may be present about abacavir, lamivudine and zidovudine tablets. The complete text of the Medication Guide is reprinted at the end of this document.
  • to carry the Warning Card with them.
  • how to identify a hypersensitivity reaction [see WARNINGS AND PRECAUTIONS (5.1), MEDICATION GUIDE] .
  • that if they develop symptoms consistent with a hypersensitivity reaction they should call their healthcare provider right away to determine if they should stop taking abacavir, lamivudine and zidovudine tablet.
  • that a hypersensitivity reaction can worsen and lead to hospitalization or death if abacavir, lamivudine and zidovudine tablet is not immediately discontinued.
  • to not restart abacavir, lamivudine and zidovudine tablet or any other abacavir-containing product following a hypersensitivity reaction because more severe symptoms can occur within hours and may include life-threatening hypotension and death.
  • that if they have a hypersensitivity reaction, they should dispose of any unused abacavir, lamivudine and zidovudine tablet to avoid restarting abacavir.
  • that a hypersensitivity reaction is usually reversible if it is detected promptly and abacavir, lamivudine and zidovudine tablet is stopped right away.
  • that if they have interrupted abacavir, lamivudine and zidovudine tablet for reasons other than symptoms of hypersensitivity (for example, those who have an interruption in drug supply), a serious or fatal hypersensitivity reaction may occur with reintroduction of abacavir.
  • to not restart abacavir, lamivudine and zidovudine tablet or any other abacavir-containing product without medical consultation and only if medical care can be readily accessed by the patient or others.

Neutropenia and Anemia

Inform patients that the important toxicities associated with zidovudine are neutropenia and/or anemia. Inform them of the extreme importance of having their blood counts followed closely while on therapy, especially for patients with advanced HIV-1 disease [see BOXED WARNING, WARNINGS AND PRECAUTIONS (5.2)].

Myopathy

Inform patients that myopathy and myositis with pathological changes, similar to that produced by HIV-1 disease, have been associated with prolonged use of zidovudine [see WARNINGS AND PRECAUTIONS (5.3)].

Lactic Acidosis/Hepatomegaly with Steatosis

Advise patients that lactic acidosis and severe hepatomegaly with steatosis have been reported with use of nucleoside analogues and other antiretrovirals. Advise patients to stop taking abacavir, lamivudine and zidovudine tablets if they develop clinical symptoms suggestive of lactic acidosis or pronounced hepatotoxicity [see WARNINGS AND PRECAUTIONS (5.4)].

Patients with Hepatitis B or C Co-infection

Advise patients co-infected with HIV-1 and HBV that worsening of liver disease has occurred in some cases when treatment with lamivudine was discontinued. Advise patients to discuss any changes in regimen with their healthcare provider [see WARNINGS AND PRECAUTIONS (5.5)].

Inform patients with HIV-1/HCV co-infection that hepatic decompensation (some fatal) has occurred in HIV-1/HCV co-infected patients receiving combination antiretroviral therapy for HIV-1 and interferon alfa with or without ribavirin [see WARNINGS AND PRECAUTIONS (5.6)].

Drug Interactions

Advise patients that other medications may interact with abacavir, lamivudine and zidovudine tablets and certain medications, including ganciclovir, interferon alfa, and ribavirin, may exacerbate the toxicity of zidovudine, a component of abacavir, lamivudine and zidovudine tablets [see DRUG INTERACTIONS (7.3)]. 

Immune Reconstitution Syndrome

Advise patients to inform their healthcare provider immediately of any signs and symptoms of infection as inflammation from previous infection may occur soon after combination antiretroviral therapy, including when abacavir, lamivudine and zidovudine tablets are started [see WARNINGS AND PRECAUTIONS (5.7)].

Lipoatrophy

Advise patients that loss of subcutaneous fat may occur in patients receiving abacavir, lamivudine and zidovudine tablets and that they will be regularly assessed during therapy [see WARNINGS AND PRECAUTIONS (5.8)].

Pregnancy Registry

Advise patients that there is a pregnancy exposure registry that monitors pregnancy outcomes in women exposed to abacavir, lamivudine and zidovudine tablets during pregnancy [see USE IN SPECIFIC POPULATIONS (8.1)].

Lactation

Instruct women with HIV-1 infection not to breastfeed because HIV-1 can be passed to the baby in the breast milk [see USE IN SPECIFIC POPULATIONS (8.2)].

Missed Dose

Instruct patients that if they miss a dose of abacavir, lamivudine and zidovudine tablets, to take it as soon as they remember. Advise patients not to double their next dose or take more than the prescribed dose [see DOSAGE AND ADMINISTRATION (2)].

Availability of Medication Guide

Instruct patients to read the Medication Guide before starting abacavir, lamivudine and zidovudine tablets and to re-read it each time the prescription is renewed. Instruct patients to inform their physician or pharmacist if they develop any unusual symptom, or if any known symptom persists or worsens.

The brands listed are trademarks of their respective owners and are not trademarks of Lupin Pharmaceuticals, Inc. The makers of these brands are not affiliated with and do not endorse Lupin Pharmaceuticals, Inc. or its products.

Manufactured for:

Lupin Pharmaceuticals, Inc.

Baltimore, Maryland 21202

United States

Manufactured by:

Lupin Limited

Pithampur (M.P.) - 454 775

India

Revised: May 2021                                                                            ID#: 267549

5.10 Therapy Experienced Patients (5.10 Therapy-Experienced Patients)

In clinical trials, subjects with prolonged prior nucleoside reverse transcriptase inhibitor (NRTI) exposure or who had HIV-1 isolates that contained multiple mutations conferring resistance to NRTIs had limited response to abacavir. The potential for cross-resistance between abacavir and other NRTIs should be considered when choosing new therapeutic regimens in therapy- experienced patients [see Microbiology (12.4)].

5.7 Immune Reconstitution Syndrome

Immune reconstitution syndrome has been reported in patients treated with combination antiretroviral therapy, including abacavir, lamivudine and zidovudine tablets. During the initial phase of combination antiretroviral treatment, patients whose immune systems respond may develop an inflammatory response to indolent or residual opportunistic infections (such as Mycobacterium avium infection, cytomegalovirus, Pneumocystis jirovecii pneumonia [PCP], or tuberculosis), which may necessitate further evaluation and treatment.

Autoimmune disorders (such as Graves' disease, polymyositis, and Guillain-BarrÉ syndrome) have also been reported to occur in the setting of immune reconstitution; however, the time to onset is more variable, and can occur many months after initiation of treatment.

16 How Supplied/storage and Handling (16 HOW SUPPLIED/STORAGE AND HANDLING)

Abacavir, lamivudine and zidovudine is available as tablets. Each tablet contains 300 mg of abacavir as abacavir sulfate, 150 mg of lamivudine, and 300 mg of zidovudine. The tablets are blue-green colored, oval shaped, biconvex, film-coated, debossed with "LU" on one side and "N51" on the other side. They are packaged as follows:

Bottles of 60 Tablets                           NDC 68180-286-07

Bottles of 100 Tablets                         NDC 68180-286-01

Bottles of 500 Tablets                         NDC 68180-286-02

Store at 25°C (77°F); excursions permitted to 15° to 30°C (59° to 86°F) [see USP Controlled Room Temperature].

8.6 Patients With Impaired Renal Function (8.6 Patients with Impaired Renal Function)

Abacavir, lamivudine and zidovudine tablet is not recommended for patients with creatinine clearance less than 50 mL per min because abacavir, lamivudine and zidovudine tablet is a fixed-dose combination and the dosage of the individual components cannot be adjusted. If a dose reduction of the lamivudine or zidovudine components of abacavir, lamivudine and zidovudine tablet is required for patients with renal impairment then the individual components should be used [see DOSAGE AND ADMINISTRATION (2.3), CLINICAL PHARMACOLOGY (12.3)].

13.2 Animal Toxicology And/or Pharmacology (13.2 Animal Toxicology and/or Pharmacology)

Myocardial degeneration was found in mice and rats following administration of abacavir for 2 years. The systemic exposures were equivalent to 7 to 24 times the expected systemic exposure in humans at a dose of 600 mg. The clinical relevance of this finding has not been determined.

8.7 Patients With Impaired Hepatic Function (8.7 Patients with Impaired Hepatic Function)

Abacavir, lamivudine and zidovudine tablet is a fixed-dose combination and the dosage of the individual components cannot be adjusted. If a dose reduction of abacavir, a component of abacavir, lamivudine and zidovudine tablet, is required for patients with mild hepatic impairment (Child-Pugh Class A), then the individual components should be used [see CLINICAL PHARMACOLOGY (12.3)].

The safety, efficacy, and pharmacokinetic properties of abacavir have not been established in patients with moderate (Child-Pugh Class B) or severe (Child-Pugh Class C) hepatic impairment; therefore, abacavir, lamivudine and zidovudine tablets are contraindicated in these patients [see CONTRAINDICATIONS (4)].

Zidovudine is primarily eliminated by hepatic metabolism and zidovudine concentrations are increased in patients with impaired hepatic function, which may increase the risk of hematologic toxicity. Frequent monitoring of hematologic toxicities is advised.

5.2 Hematologic Toxicity/bone Marrow Suppression (5.2 Hematologic Toxicity/Bone Marrow Suppression)

Zidovudine, a component of abacavir, lamivudine and zidovudine tablet, has been associated with hematologic toxicity including neutropenia and anemia, particularly in patients with advanced HIV-1 disease. Abacavir, lamivudine and zidovudine tablets should be used with caution in patients who have bone marrow compromise evidenced by granulocyte count less than 1,000 cells per mm3 or hemoglobin less than 9.5 grams per dL [see ADVERSE REACTIONS (6.1)].

Frequent blood counts are strongly recommended in patients with advanced HIV-1 disease who are treated with abacavir, lamivudine and zidovudine tablets. Periodic blood counts are recommended for other HIV-1-infected patients. If anemia or neutropenia develops, dosage interruption may be needed.

5.5 Patients With Hepatitis B Virus Co Infection (5.5 Patients with Hepatitis B Virus Co-infection)

Posttreatment Exacerbations of Hepatitis

Clinical and laboratory evidence of exacerbations of hepatitis have occurred after discontinuation of lamivudine. See full prescribing information for EPIVIR® (lamivudine). Patients should be closely monitored with both clinical and laboratory follow-up for at least several months after stopping treatment.

Emergence of Lamivudine-Resistant HBV

Safety and efficacy of lamivudine have not been established for treatment of chronic hepatitis B in subjects dually infected with HIV-1 and HBV. Emergence of hepatitis B virus variants associated with resistance to lamivudine has been reported in HIV–1-infected subjects who have received lamivudine-containing antiretroviral regimens in the presence of concurrent infection with hepatitis B virus. See full prescribing information for EPIVIR® (lamivudine).

2.3 Not Recommended Due to Lack of Dosage Adjustment

Because abacavir, lamivudine and zidovudine tablet is a fixed-dose tablet and cannot be dose adjusted, abacavir, lamivudine and zidovudine tablet is not recommended for:

  • pediatric patients who weigh less than 40 kg [see USE IN SPECIFIC POPULATIONS (8.4)].
  • patients with creatinine clearance less than 50 mL per minute [see USE IN SPECIFIC POPULATIONS (8.6)].
  • patients with mild hepatic impairment. Abacavir, lamivudine and zidovudine tablet is contraindicated in patients with moderate or severe hepatic impairment [see CONTRAINDICATIONS (4), USE IN SPECIFIC POPULATIONS (8.7)] .
5.6 Use With Interferon and Ribavirin Based Regimens (5.6 Use with Interferon- and Ribavirin-Based Regimens)

 Patients receiving interferon alfa with or without ribavirin and abacavir, lamivudine and zidovudine tablets should be closely monitored for treatment-associated toxicities, especially hepatic decompensation, neutropenia, and anemia. See full prescribing information for RETROVIR® (zidovudine). Discontinuation of abacavir, lamivudine and zidovudine tablets should be considered as medically appropriate. Dose reduction or discontinuation of interferon alfa, ribavirin, or both should also be considered if worsening clinical toxicities are observed, including hepatic decompensation (e.g., Child-Pugh greater than 6) (see full prescribing information for interferon and ribavirin).

Exacerbation of anemia has been reported in HIV-1/HCV co-infected patients receiving ribavirin and zidovudine. Coadministration of ribavirin and abacavir, lamivudine and zidovudine tablet is not advised.

13.1 Carcinogenesis, Mutagenesis, Impairment of Fertility

Carcinogenicity

Abacavir:  

Abacavir was administered orally at 3 dosage levels to separate groups of mice and rats in 2-year carcinogenicity studies. Results showed an increase in the incidence of malignant and non-malignant tumors. Malignant tumors occurred in the preputial gland of males and the clitoral gland of females of both species, and in the liver of female rats. In addition, non-malignant tumors also occurred in the liver and thyroid gland of female rats.  These observations were made at systemic exposures in the range of 6 to 32 times the human exposure at the recommended dose of 600 mg.

Lamivudine:  

Long-term carcinogenicity studies with lamivudine in mice and rats showed no evidence of carcinogenic potential at exposures up to 10 times (mice) and 58 times (rats) the human exposures at the recommended dose of 300 mg.

Zidovudine:  

Zidovudine was administered orally at 3 dosage levels to separate groups of mice and rats (60 females and 60 males in each group). Initial single daily doses were 30, 60, and 120 mg per kg per day in mice and 80, 220, and 600 mg per kg per day in rats. The doses in mice were reduced to 20, 30, and 40 mg per kg per day after Day 90 because of treatment-related anemia, whereas in rats only the high dose was reduced to 450 mg per kg per day on Day 91 and then to 300 mg per kg per day on Day 279.

In mice, 7 late-appearing (after 19 months) vaginal neoplasms (5 non-metastasizing squamous cell carcinomas, 1 squamous cell papilloma, and 1 squamous polyp) occurred in animals given the highest dose. One late-appearing squamous cell papilloma occurred in the vagina of a middle-dose animal. No vaginal tumors were found at the lowest dose.

In rats, 2 late-appearing (after 20 months), non-metastasizing vaginal squamous cell carcinomas occurred in animals given the highest dose. No vaginal tumors occurred at the low or middle dose in rats. No other drug-related tumors were observed in either sex of either species.

At doses that produced tumors in mice and rats, the estimated drug exposure (as measured by AUC) was approximately 3 times (mouse) and 24 times (rat) the estimated human exposure at the recommended therapeutic dose of 100 mg every 4 hours.

It is not known how predictive the results of rodent carcinogenicity studies may be for humans.

Two transplacental carcinogenicity studies were conducted in mice. One study administered zidovudine at doses of 20 mg per kg per day or 40 mg per kg per day from gestation Day 10 through parturition and lactation with dosing continuing in offspring for 24 months postnatally. At these doses, exposures were approximately 3 times the estimated human exposure at the recommended doses. After 24 months at the 40-mg-per-kg-per-day dose, an increase in incidence of vaginal tumors was noted with no increase in tumors in the liver or lung or any other organ in either gender. These findings are consistent with results of the standard oral carcinogenicity study in mice, as described earlier. A second study administered zidovudine at maximum tolerated doses of 12.5 mg per day or 25 mg per day (approximately 1,000 mg per kg nonpregnant body weight or approximately 450 mg per kg of term body weight) to pregnant mice from Days 12 through 18 of gestation. There was an increase in the number of tumors in the lung, liver, and female reproductive tracts in the offspring of mice receiving the higher dose level of zidovudine.

Mutagenicity

Abacavir:  

Abacavir induced chromosomal aberrations both in the presence and absence of metabolic activation in an in vitro cytogenetic study in human lymphocytes. Abacavir was mutagenic in the absence of metabolic activation, although it was not mutagenic in the presence of metabolic activation in an L5178Y mouse lymphoma assay. Abacavir was clastogenic in males and not clastogenic in females in an in vivo mouse bone marrow micronucleus assay. Abacavir was not mutagenic in bacterial mutagenicity assays in the presence and absence of metabolic activation.

Lamivudine:  

Lamivudine was mutagenic in an L5178Y mouse lymphoma assay and clastogenic in a cytogenetic assay using cultured human lymphocytes. Lamivudine was not mutagenic in a microbial mutagenicity assay, in an in vitro cell transformation assay, in a rat micronucleus test, in a rat bone marrow cytogenetic assay, and in an assay for unscheduled DNA synthesis in rat liver.

Zidovudine:  

Zidovudine was mutagenic in an L5178Y mouse lymphoma assay, positive in an in vitro cell transformation assay, clastogenic in a cytogenetic assay using cultured human lymphocytes, and positive in mouse and rat micronucleus tests after repeated doses. It was negative in a cytogenetic study in rats given a single dose.

Impairment of Fertility

Abacavir:

Abacavir did not affect male or female fertility in rats at a dose associated with exposures (AUC) approximately 3.3 times (male) or 4.1 times (female) those in humans at the clinically recommended dose.

Lamivudine:

Lamivudine did not affect male or female fertility in rats at doses up to 4,000 mg per kg per day, associated with concentrations approximately 42 times (male) or 63 times (female) higher than the concentrations (Cmax) in humans at the dose of 300 mg.

Zidovudine:

Zidovudine, administered to male and female rats at doses up to 450 mg per kg per day, which is 7 times the recommended adult dose (300 mg twice daily) based on body surface area, had no effect on fertility based on conception rates.

5.4 Lactic Acidosis and Severe Hepatomegaly With Steatosis (5.4 Lactic Acidosis and Severe Hepatomegaly with Steatosis)

Lactic acidosis and severe hepatomegaly with steatosis, including fatal cases, have been reported with the use of nucleoside analogues, including abacavir, lamivudine and zidovudine (components of abacavir, lamivudine and zidovudine tablets). A majority of these cases have been in women. Female sex and obesity may be risk factors for the development of lactic acidosis and severe hepatomegaly with steatosis in patients treated with antiretroviral nucleoside analogues. See full prescribing information for ZIAGEN® (abacavir), EPIVIR® (lamivudine), and RETROVIR® (zidovudine). Treatment with abacavir, lamivudine and zidovudine tablets should be suspended in any patient who develops clinical or laboratory findings suggestive of lactic acidosis or pronounced hepatotoxicity (which may include hepatomegaly and steatosis even in the absence of marked transaminase elevations).

2.2 Recommended Dosage for Adults and Pediatric Patients Weighing At Least 40 Kg (2.2 Recommended Dosage for Adults and Pediatric Patients Weighing at Least 40 kg)

The recommended dosage of abacavir, lamivudine and zidovudine tablet is one tablet taken orally twice daily with or without food.

2.1 Screening for Hla B*5701 Allele Prior to Starting Abacavir, Lamivudine and Zidovudine Tablets (2.1 Screening for HLA-B*5701 Allele prior to Starting Abacavir, Lamivudine and Zidovudine Tablets)

Screen for the HLA-B*5701 allele prior to initiating therapy with abacavir, lamivudine and zidovudine tablets [see BOXED WARNING, WARNINGS AND PRECAUTIONS (5.1)].

Warning: Hypersensitivity Reactions, Hematologic Toxicity, Myopathy, Lactic Acidosis and Severe Hepatomegaly With Steatosis, and Exacerbations of Hepatitis B (WARNING: HYPERSENSITIVITY REACTIONS, HEMATOLOGIC TOXICITY, MYOPATHY, LACTIC ACIDOSIS AND SEVERE HEPATOMEGALY WITH STEATOSIS, and EXACERBATIONS OF HEPATITIS B)

WARNING: HYPERSENSITIVITY REACTIONS, HEMATOLOGIC TOXICITY, MYOPATHY, LACTIC ACIDOSIS AND SEVERE HEPATOMEGALY WITH STEATOSIS, and EXACERBATIONS OF HEPATITIS B

See full prescribing information for complete boxed warning.

Hypersensitivity Reactions

  • Serious and sometimes fatal hypersensitivity reactions have occurred with abacavir-containing products. (5.1)
  • Hypersensitivity to abacavir is a multi-organ clinical syndrome. (5.1)
  • Patients who carry the HLA-B*5701 allele are at a higher risk of experiencing a hypersensitivity reaction to abacavir. (5.1)
  • Abacavir, lamivudine and zidovudine tablets are contraindicated in patients with a prior hypersensitivity reaction to abacavir and in HLA-B*5701-positive patients. (4)
  • Discontinue abacavir, lamivudine and zidovudine tablets as soon as a hypersensitivity reaction is suspected. Regardless of HLA-B*5701 status, permanently discontinue abacavir, lamivudine and zidovudine tablets if hypersensitivity cannot be ruled out, even when other diagnoses are possible. (5.1)
  • Following a hypersensitivity reaction to abacavir, lamivudine and zidovudine tablets NEVER restart abacavir, lamivudine and zidovudine tablets or any other abacavir-containing product. (5.1)

Hematologic Toxicity

  • Hematologic toxicity, including neutropenia and anemia, has been associated with the use of zidovudine, a component of abacavir, lamivudine and zidovudine tablets . (5.2)

Myopathy

  • Symptomatic myopathy associated with prolonged use of zidovudine. (5.3)

Lactic Acidosis and Severe Hepatomegaly with Steatosis

  •   Lactic acidosis and severe hepatomegaly with steatosis, including fatal cases, have been reported with the use of nucleoside analogues, including abacavir, lamivudine, and zidovudine (components of abacavir, lamivudine and zidovudine tablets). Suspend treatment if clinical or laboratory findings suggestive of lactic acidosis or pronounced hepatotoxicity occur. (5.4)

Exacerbations of Hepatitis B

  • Severe acute exacerbations of hepatitis B have been reported in patients who are co-infected with hepatitis B virus (HBV) and human immunodeficiency virus (HIV-1) and have discontinued lamivudine, a component of abacavir, lamivudine and zidovudine tablets. Monitor hepatic function closely in these patients and, if appropriate, initiate anti-hepatitis B treatment. (5.5)

Advanced Ingredient Data


Raw Label Data

All Sections (JSON)