These Highlights Do Not Include All The Information Needed To Use Wegovy Safely And Effectively. See Full Prescribing Information For Wegovy.

These Highlights Do Not Include All The Information Needed To Use Wegovy Safely And Effectively. See Full Prescribing Information For Wegovy.
SPL v6
SPL
SPL Set ID f5e548d0-cc79-4c34-a3f5-e20a5b8b6564
Route
SUBCUTANEOUS
Published
Effective Date 2024-04-23
Document Type 34391-3 HUMAN PRESCRIPTION DRUG LABEL

Drug Facts

Composition & Product

Active Ingredients
Semaglutide (0.25 mg)
Inactive Ingredients
Sodium Phosphate, Dibasic, Dihydrate Sodium Chloride Water

Identifiers & Packaging

Marketing Status
NDA Active Since 2021-06-05

Description

Indications and Usage ( 1 )………………………………….03/2024 Dosing and Administration (2.2) …………………………. 07/2023 Warnings and Precautions, Hypoglycemia (5.4) …………..03/2024

Indications and Usage

WEGOVY is indicated in combination with a reduced calorie diet and increased physical activity: • to reduce the risk of major adverse cardiovascular events (cardiovascular death, non-fatal myocardial infarction, or non-fatal stroke) in adults with established cardiovascular disease and either obesity or overweight. • to reduce excess body weight and maintain weight reduction long term in: o Adults and pediatric patients aged 12 years and older with obesity o Adults with overweight in the presence of at least one weight-related comorbid condition. Limitations of Use • WEGOVY contains semaglutide. Coadministration with other semaglutide-containing products or with any other GLP-1 receptor agonist is not recommended.

Dosage and Administration

• Administer WEGOVY once weekly as an adjunct to diet and increased physical activity, on the same day each week, at any time of day, with or without meals (2.1). • Inject subcutaneously in the abdomen, thigh or upper arm (2.1). • In patients with type 2 diabetes, monitor blood glucose prior to starting and during WEGOVY treatment (2.1). • Initiate at 0.25 mg once weekly for 4 weeks. Then follow the dosage escalation schedule, titrating every 4 weeks to achieve the maintenance dosage (2.2 , 2.3). • The maintenance dosage of WEGOVY in adults is either 2.4 mg (recommended) or 1.7 mg once weekly (2.2) . • The maintenance dosage of WEGOVY in pediatric patients aged 12 years and older is 2.4 mg once weekly (2.3).

Warnings and Precautions

• Acute Pancreatitis : Has occurred in clinical trials. Discontinue promptly if pancreatitis is suspected. Do not restart if pancreatitis is confirmed ( 5.2 ). • Acute Gallbladder Disease : Has occurred in clinical trials. If cholelithiasis is suspected, gallbladder studies and clinical follow-up are indicated ( 5.3 ). • Hypoglycemia: Concomitant use with insulin or an insulin secretagogue may increase the risk of hypoglycemia, including severe hypoglycemia. Reducing the dose of insulin or insulin secretagogue may be necessary. Inform all patients of the risk of hypoglycemia and educate them on the signs and symptoms of hypoglycemia ( 5.4 ). • Acute Kidney Injury: Has occurred. Monitor renal function when initiating or escalating doses of WEGOVY in patients reporting severe adverse gastrointestinal reactions or in those with renal impairment reporting severe adverse gastrointestinal reactions ( 5.5 ). • Hypersensitivity Reactions: Anaphylactic reactions and angioedema have been reported postmarketing. Discontinue WEGOVY if suspected and promptly seek medical advice ( 5.6 ). • Diabetic Retinopathy Complications in Patients with Type 2 Diabetes : Has been reported in trials with semaglutide. Patients with a history of diabetic retinopathy should be monitored ( 5.7 ). • Heart Rate Increase : Monitor heart rate at regular intervals ( 5.8 ). • Suicidal Behavior and Ideation : Monitor for depression or suicidal thoughts. Discontinue WEGOVY if symptoms develop ( 5.9 ).

Contraindications

WEGOVY is contraindicated in the following conditions: • A personal or family history of MTC or in patients with MEN 2 [see Warnings and Precautions ( 5.1 )] . • A prior serious hypersensitivity reaction to semaglutide or to any of the excipients in WEGOVY. Serious hypersensitivity reactions, including anaphylaxis and angioedema, have been reported with WEGOVY [see Warnings and Precautions ( 5.6 )].

Adverse Reactions

The following serious adverse reactions are described below or elsewhere in the prescribing information: • Risk of Thyroid C-Cell Tumors [see Warnings and Precautions ( 5.1 )] • Acute Pancreatitis [see Warnings and Precautions ( 5.2 )] • Acute Gallbladder Disease [see Warnings and Precautions ( 5.3 )] • Hypoglycemia [see Warnings and Precautions ( 5.4 )] • Acute Kidney Injury [see Warnings and Precautions ( 5.5 )] • Hypersensitivity Reactions [see Warnings and Precautions ( 5.6 )] • Diabetic Retinopathy Complications in Patients with Type 2 Diabetes [see Warnings and Precautions ( 5.7 )] • Heart Rate Increase [see Warnings and Precautions ( 5.8 )] • Suicidal Behavior and Ideation [see Warnings and Precautions ( 5.9 )]

Drug Interactions

WEGOVY delays gastric emptying. May impact absorption of concomitantly administered oral medications. Use with caution ( 7.2 ).

Storage and Handling

Product: 50090-5824 NDC: 50090-5824-0 .5 mL in a SYRINGE, PLASTIC / 4 in a CARTON

How Supplied

Product: 50090-5824 NDC: 50090-5824-0 .5 mL in a SYRINGE, PLASTIC / 4 in a CARTON


Medication Information

Warnings and Precautions

• Acute Pancreatitis : Has occurred in clinical trials. Discontinue promptly if pancreatitis is suspected. Do not restart if pancreatitis is confirmed ( 5.2 ). • Acute Gallbladder Disease : Has occurred in clinical trials. If cholelithiasis is suspected, gallbladder studies and clinical follow-up are indicated ( 5.3 ). • Hypoglycemia: Concomitant use with insulin or an insulin secretagogue may increase the risk of hypoglycemia, including severe hypoglycemia. Reducing the dose of insulin or insulin secretagogue may be necessary. Inform all patients of the risk of hypoglycemia and educate them on the signs and symptoms of hypoglycemia ( 5.4 ). • Acute Kidney Injury: Has occurred. Monitor renal function when initiating or escalating doses of WEGOVY in patients reporting severe adverse gastrointestinal reactions or in those with renal impairment reporting severe adverse gastrointestinal reactions ( 5.5 ). • Hypersensitivity Reactions: Anaphylactic reactions and angioedema have been reported postmarketing. Discontinue WEGOVY if suspected and promptly seek medical advice ( 5.6 ). • Diabetic Retinopathy Complications in Patients with Type 2 Diabetes : Has been reported in trials with semaglutide. Patients with a history of diabetic retinopathy should be monitored ( 5.7 ). • Heart Rate Increase : Monitor heart rate at regular intervals ( 5.8 ). • Suicidal Behavior and Ideation : Monitor for depression or suicidal thoughts. Discontinue WEGOVY if symptoms develop ( 5.9 ).

Indications and Usage

WEGOVY is indicated in combination with a reduced calorie diet and increased physical activity: • to reduce the risk of major adverse cardiovascular events (cardiovascular death, non-fatal myocardial infarction, or non-fatal stroke) in adults with established cardiovascular disease and either obesity or overweight. • to reduce excess body weight and maintain weight reduction long term in: o Adults and pediatric patients aged 12 years and older with obesity o Adults with overweight in the presence of at least one weight-related comorbid condition. Limitations of Use • WEGOVY contains semaglutide. Coadministration with other semaglutide-containing products or with any other GLP-1 receptor agonist is not recommended.

Dosage and Administration

• Administer WEGOVY once weekly as an adjunct to diet and increased physical activity, on the same day each week, at any time of day, with or without meals (2.1). • Inject subcutaneously in the abdomen, thigh or upper arm (2.1). • In patients with type 2 diabetes, monitor blood glucose prior to starting and during WEGOVY treatment (2.1). • Initiate at 0.25 mg once weekly for 4 weeks. Then follow the dosage escalation schedule, titrating every 4 weeks to achieve the maintenance dosage (2.2 , 2.3). • The maintenance dosage of WEGOVY in adults is either 2.4 mg (recommended) or 1.7 mg once weekly (2.2) . • The maintenance dosage of WEGOVY in pediatric patients aged 12 years and older is 2.4 mg once weekly (2.3).

Contraindications

WEGOVY is contraindicated in the following conditions: • A personal or family history of MTC or in patients with MEN 2 [see Warnings and Precautions ( 5.1 )] . • A prior serious hypersensitivity reaction to semaglutide or to any of the excipients in WEGOVY. Serious hypersensitivity reactions, including anaphylaxis and angioedema, have been reported with WEGOVY [see Warnings and Precautions ( 5.6 )].

Adverse Reactions

The following serious adverse reactions are described below or elsewhere in the prescribing information: • Risk of Thyroid C-Cell Tumors [see Warnings and Precautions ( 5.1 )] • Acute Pancreatitis [see Warnings and Precautions ( 5.2 )] • Acute Gallbladder Disease [see Warnings and Precautions ( 5.3 )] • Hypoglycemia [see Warnings and Precautions ( 5.4 )] • Acute Kidney Injury [see Warnings and Precautions ( 5.5 )] • Hypersensitivity Reactions [see Warnings and Precautions ( 5.6 )] • Diabetic Retinopathy Complications in Patients with Type 2 Diabetes [see Warnings and Precautions ( 5.7 )] • Heart Rate Increase [see Warnings and Precautions ( 5.8 )] • Suicidal Behavior and Ideation [see Warnings and Precautions ( 5.9 )]

Drug Interactions

WEGOVY delays gastric emptying. May impact absorption of concomitantly administered oral medications. Use with caution ( 7.2 ).

Storage and Handling

Product: 50090-5824 NDC: 50090-5824-0 .5 mL in a SYRINGE, PLASTIC / 4 in a CARTON

How Supplied

Product: 50090-5824 NDC: 50090-5824-0 .5 mL in a SYRINGE, PLASTIC / 4 in a CARTON

Description

Indications and Usage ( 1 )………………………………….03/2024 Dosing and Administration (2.2) …………………………. 07/2023 Warnings and Precautions, Hypoglycemia (5.4) …………..03/2024

Section 43683-2

Indications and Usage (1)………………………………….03/2024

Dosing and Administration (2.2)…………………………. 07/2023

Warnings and Precautions, Hypoglycemia (5.4)…………..03/2024

10 Overdosage

Overdoses have been reported with other GLP-1 receptor agonists. Effects have included severe nausea, severe vomiting, and severe hypoglycemia. In the event of overdose, appropriate supportive treatment should be initiated according to the patient’s clinical signs and symptoms. In the event of an overdose of WEGOVY, consider contacting the Poison Help line (1-800-222-1222) or a medical toxicologist for additional overdosage management recommendations. A prolonged period of observation and treatment for these symptoms may be necessary, taking into account the long half-life of WEGOVY of approximately 1 week.

8.1 Pregnancy

Pregnancy Exposure Registry

There will be a pregnancy exposure registry that monitors pregnancy outcomes in women exposed to semaglutide during pregnancy. Pregnant women exposed to WEGOVY and healthcare providers are encouraged to contact Novo Nordisk at 1-877-390-2760 or www.wegovypregnancyregistry.com.

Risk Summary

Based on animal reproduction studies, there may be potential risks to the fetus from exposure to semaglutide during pregnancy. Additionally, weight loss offers no benefit to a pregnant patient and may cause fetal harm. When a pregnancy is recognized, advise the pregnant patient of the risk to a fetus, and discontinue WEGOVY (see Clinical Considerations). Available pharmacovigilance data and data from clinical trials with WEGOVY use in pregnant patients are insufficient to establish a drug-associated risk of major birth defects, miscarriage or adverse maternal or fetal outcomes.

In pregnant rats administered semaglutide during organogenesis, embryofetal mortality, structural abnormalities and alterations to growth occurred at maternal exposures below the maximum recommended human dose (MRHD) based on AUC. In rabbits and cynomolgus monkeys administered semaglutide during organogenesis, early pregnancy losses and structural abnormalities were observed at below the MRHD (rabbit) and greater than or equal to 2-fold the MRHD (monkey). These findings coincided with a marked maternal body weight loss in both animal species (see Data).

 

The estimated background risk of major birth defects and miscarriage for the indicated population are unknown. In the U.S. general population, the estimated background risk of major birth defects and miscarriage in clinically recognized pregnancies is 2-4% and 15-20%, respectively.

Clinical Considerations

Disease-associated maternal and/or embryo/fetal risk

Appropriate weight gain based on pre-pregnancy weight is currently recommended for all pregnant patients, including those who already have overweight or obesity, because of the obligatory weight gain that occurs in maternal tissues during pregnancy.

Data

Animal Data

In a combined fertility and embryofetal development study in rats, subcutaneous doses of 0.01, 0.03 and 0.09 mg/kg/day (0.04-, 0.1-, and 0.4-fold the MRHD) were administered to males for 4 weeks prior to and throughout mating and to females for 2 weeks prior to mating, and throughout organogenesis to Gestation Day 17. In parental animals, pharmacologically mediated reductions in body weight gain and food consumption were observed at all dose levels. In the offspring, reduced growth and fetuses with visceral (heart blood vessels) and skeletal (cranial bones, vertebra, ribs) abnormalities were observed at the human exposure.

In an embryofetal development study in pregnant rabbits, subcutaneous doses of 0.0010, 0.0025 or 0.0075 mg/kg/day (0.01-, 0.1-, and 0.9-fold the MRHD) were administered throughout organogenesis from Gestation Day 6 to 19. Pharmacologically mediated reductions in maternal body weight gain and food consumption were observed at all dose levels. Early pregnancy losses and increased incidences of minor visceral (kidney, liver) and skeletal (sternebra) fetal abnormalities were observed at greater than or equal to 0.0025 mg/kg/day, at clinically relevant exposures.

In an embryofetal development study in pregnant cynomolgus monkeys, subcutaneous doses of 0.015, 0.075, and 0.15 mg/kg twice weekly (0.4-, 2-, and 6-fold the MRHD) were administered throughout organogenesis, from Gestation Day 16 to 50. Pharmacologically mediated, marked initial maternal body weight loss and reductions in body weight gain and food consumption coincided with the occurrence of sporadic abnormalities (vertebra, sternebra, ribs) at greater than or equal to 0.075 mg/kg twice weekly (greater than or equal to 2 times human exposure).

In a pre- and postnatal development study in pregnant cynomolgus monkeys, subcutaneous doses of 0.015, 0.075, and 0.15 mg/kg twice weekly (0.2-, 1-, and 3-fold the MRHD) were administered from Gestation Day 16 to 140. Pharmacologically mediated marked initial maternal body weight loss and reductions in body weight gain and food consumption coincided with an increase in early pregnancy losses and led to delivery of slightly smaller offspring at greater than or equal to 0.075 mg/kg twice weekly (greater than or equal to 1-time human exposure).

8.2 Lactation

Risk Summary

There are no data on the presence of semaglutide or its metabolites in human milk, the effects on the breastfed infant, or the effects on milk production. Semaglutide was present in the milk of lactating rats. When a drug is present in animal milk, it is likely that the drug will be present in human milk (see Data). The developmental and health benefits of breastfeeding should be considered along with the mother’s clinical need for WEGOVY and any potential adverse effects on the breastfed infant from WEGOVY or from the underlying maternal condition.

Data

In lactating rats, semaglutide was detected in milk at levels 3-12-fold lower than in maternal plasma.

11 Description

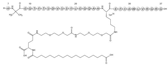
WEGOVY (semaglutide) injection, for subcutaneous use, contains semaglutide, a human GLP-1 receptor agonist (or GLP-1 analog). The peptide backbone is produced by yeast fermentation. The main protraction mechanism of semaglutide is albumin binding, facilitated by modification of position 26 lysine with a hydrophilic spacer and a C18 fatty di-acid. Furthermore, semaglutide is modified in position 8 to provide stabilization against degradation by the enzyme dipeptidyl-peptidase 4 (DPP-4). A minor modification was made in position 34 to ensure the attachment of only one fatty di-acid. The molecular formula is C187H291N45O59 and the molecular weight is 4113.58 g/mol.

  •  
    Figure 1. Structural Formula of semaglutide

WEGOVY is a sterile, aqueous, clear, colorless solution. Each 0.5 mL single-dose pen contains a solution of WEGOVY containing 0.25 mg, 0.5 mg or 1 mg of semaglutide; and each 0.75 mL single-dose pen contains a solution of WEGOVY containing 1.7 or 2.4 mg of semaglutide. Each 1 mL of WEGOVY contains the following inactive ingredients: disodium phosphate dihydrate, 1.42 mg; sodium chloride, 8.25 mg; and water for injection. WEGOVY has a pH of approximately 7.4. Hydrochloric acid or sodium hydroxide may be added to adjust pH.

5.4 Hypoglycemia

WEGOVY lowers blood glucose and can cause hypoglycemia.

In a trial of adult patients with type 2 diabetes and body mass index (BMI) greater than or equal to 27 kg/m2, hypoglycemia (defined as a plasma glucose less than 54 mg/dL) was reported in 6.2% of WEGOVY-treated patients versus 2.5% of placebo-treated patients. One episode of severe hypoglycemia (requiring the assistance of another person) was reported in one WEGOVY-treated patient versus no placebo-treated patients.

Patients with diabetes mellitus taking WEGOVY in combination with insulin or an insulin secretagogue (e.g., sulfonylurea) may have an increased risk of hypoglycemia, including severe hypoglycemia. Hypoglycemia has been observed in patients treated with semaglutide at doses of 0.5 and 1 mg in combination with insulin. The use of WEGOVY (semaglutide 2.4 mg or 1.7 mg once weekly) in patients with type 1 diabetes mellitus or in combination with insulin has not been evaluated.

Inform patients of the risk of hypoglycemia and educate them on the signs and symptoms of hypoglycemia. In patients with diabetes, monitor blood glucose prior to starting WEGOVY and during WEGOVY treatment. When initiating WEGOVY, consider reducing the dose of concomitantly administered insulin or insulin secretagogue (such as sulfonylureas) to reduce the risk of hypoglycemia [see Drug Interactions (7)].

Medication Guide

Medication Guide

WEGOVY® (wee-GOH-vee)

(semaglutide) injection, for subcutaneous use

Read this Medication Guide and Instructions for Use before you start using WEGOVY and each time you get a refill. There may be new information. This information does not take the place of talking to your healthcare provider about your medical condition or your treatment.

What is the most important information I should know about WEGOVY?

WEGOVY may cause serious side effects, including:

  • Possible thyroid tumors, including cancer. Tell your healthcare provider if you get a lump or swelling in your neck, hoarseness, trouble swallowing, or shortness of breath. These may be symptoms of thyroid cancer. In studies with rodents, WEGOVY and medicines that work like WEGOVY caused thyroid tumors, including thyroid cancer. It is not known if WEGOVY will cause thyroid tumors or a type of thyroid cancer called medullary thyroid carcinoma (MTC) in people.
  • Do not use WEGOVY if you or any of your family have ever had a type of thyroid cancer called medullary thyroid carcinoma (MTC), or if you have an endocrine system condition called Multiple Endocrine Neoplasia syndrome type 2 (MEN 2).

What is WEGOVY?

  • WEGOVY is an injectable prescription medicine used with a reduced calorie diet and increased physical activity:
  • o
    to reduce the risk of major cardiovascular events such as death, heart attack, or stroke in adults with known heart disease and with either obesity or overweight.
  • o
    that may help adults and children aged 12 years and older with obesity, or some adults with overweight who also have weight-related medical problems, to help them lose excess body weight and keep the weight off.
  • WEGOVY contains semaglutide and should not be used with other semaglutide-containing products or other GLP-1 receptor agonist medicines.
  • It is not known if WEGOVY is safe and effective for use in children under 12 years of age.

Do not use WEGOVY if:

  • you or any of your family have ever had a type of thyroid cancer called medullary thyroid carcinoma (MTC) or if you have an endocrine system condition called Multiple Endocrine Neoplasia syndrome type 2 (MEN 2).
  • you have had a serious allergic reaction to semaglutide or any of the ingredients in WEGOVY. See the end of this Medication Guide for a complete list of ingredients in WEGOVY. Symptoms of a serious allergic reaction include:
  • o
    swelling of your face, lips, tongue or throat
  • o
    fainting or feeling dizzy
  • o
    problems breathing or swallowing
  • o
    very rapid heartbeat
  • o
    severe rash or itching

Before using WEGOVY, tell your healthcare provider if you have any other medical conditions, including if you:

  • have or have had problems with your pancreas or kidneys.
  • have type 2 diabetes and a history of diabetic retinopathy.
  • have or have had depression or suicidal thoughts, or mental health issues.
  • are pregnant or plan to become pregnant. WEGOVY may harm your unborn baby. You should stop using WEGOVY 2 months before you plan to become pregnant.
    • o
      Pregnancy Exposure Registry: There is a pregnancy exposure registry for women who use WEGOVY during pregnancy. The purpose of this registry is to collect information about the health of you and your baby. Talk to your healthcare provider about how you can take part in this registry or you may contact Novo Nordisk at 1-877-390-2760.
  • are breastfeeding or plan to breastfeed. It is not known if WEGOVY passes into your breast milk. You should talk with your healthcare provider about the best way to feed your baby while using WEGOVY.
  •  
    Tell your healthcare provider about all the medicines you take, including prescription and over-the-counter medicines, vitamins, and herbal supplements. WEGOVY may affect the way some medicines work and some medicines may affect the way WEGOVY works. Tell your healthcare provider if you are taking other medicines to treat diabetes, including sulfonylureas or insulin. WEGOVY slows stomach emptying and can affect medicines that need to pass through the stomach quickly.

Know the medicines you take. Keep a list of them to show your healthcare provider and pharmacist when you get a new medicine.

How should I use WEGOVY?

  • Read the Instructions for Use that comes with WEGOVY.
  • Use WEGOVY exactly as your healthcare provider tells you to.
  • Your healthcare provider should show you how to use WEGOVY before you use it for the first time.
  • WEGOVY is injected under the skin (subcutaneously) of your stomach (abdomen), thigh, or upper arm. Do not inject WEGOVY into a muscle (intramuscularly) or vein (intravenously).
  • Change (rotate) your injection site with each injection. Do not use the same site for each injection.
  • Use WEGOVY 1 time each week, on the same day each week, at any time of the day.
  • Start WEGOVY with 0.25 mg per week in your first month. In your second month, increase your weekly dose to 0.5 mg. In the third month, increase your weekly dose to 1 mg. In the fourth month, increase your weekly dose to 1.7 mg. In the fifth month onwards, your healthcare provider may either maintain your dose at 1.7 mg weekly or increase your weekly dose to 2.4 mg.
  • If you need to change the day of the week, you may do so as long as your last dose of WEGOVY was given 2 or more days before.
  • If you miss a dose of WEGOVY and the next scheduled dose is more than 2 days away (48 hours), take the missed dose as soon as possible. If you miss a dose of WEGOVY and the next schedule dose is less than 2 days away (48 hours), do not administer the dose. Take your next dose on the regularly scheduled day.
  • If you miss doses of WEGOVY for more than 2 weeks, take your next dose on the regularly scheduled day or call your healthcare provider to talk about how to restart your treatment.
  • You can take WEGOVY with or without food.
  • If you take too much WEGOVY, you may have severe nausea, severe vomiting and severe low blood sugar. Call your healthcare provider or go to the nearest hospital emergency room right away if you experience any of these symptoms.

What are the possible side effects of WEGOVY?

WEGOVY may cause serious side effects, including:

  • See “What is the most important information I should know about WEGOVY?”
  • inflammation of your pancreas (pancreatitis). Stop using WEGOVY and call your healthcare provider right away if you have severe pain in your stomach area (abdomen) that will not go away, with or without vomiting. You may feel the pain from your abdomen to your back.
  • gallbladder problems. WEGOVY may cause gallbladder problems including gallstones. Some gallbladder problems need surgery. Call your healthcare provider if you have any of the following symptoms:
  • o
    pain in your upper stomach (abdomen)
  • o
    yellowing of skin or eyes (jaundice)
  • o
    fever
  • o
    clay-colored stools
  • increased risk of low blood sugar (hypoglycemia), especially those who also take medicines to treat diabetes mellitus such as insulin or sulfonylureas. Low blood sugar in patients with diabetes who receive WEGOVY can be a serious side effect. Talk to your healthcare provider about how to recognize and treat low blood sugar. You should check your blood sugar before you start taking WEGOVY and while you take WEGOVY. Signs and symptoms of low blood sugar may include:
  • o
    dizziness or light-headedness
  • o
    sweating
  • o
    shakiness
  • o
    blurred vision
  • o
    slurred speech
  • o
    weakness
  • o
    anxiety
  • o
    hunger
  • o
    headache
  • o
    irritability or mood changes
  • o
    confusion or drowsiness
  • o
    fast heartbeat
  • o
    feeling jitteryt
  • kidney problems (kidney failure). In people who have kidney problems, diarrhea, nausea, and vomiting may cause a loss of fluids (dehydration) which may cause kidney problems to get worse. It is important for you to drink fluids to help reduce your chance of dehydration.
  • serious allergic reactions. Stop using WEGOVY and get medical help right away, if you have any symptoms of a serious allergic reaction including:
  • o
    swelling of your face, lips, tongue or throat
  • o
    severe rash or itching
  • o
    very rapid heartbeat
  • o
    problems breathing or swallowing
  • o
    fainting or feeling dizzy
  • change in vision in people with type 2 diabetes. Tell your healthcare provider if you have changes in vision during treatment with WEGOVY.
  • increased heart rate. WEGOVY can increase your heart rate while you are at rest. Your healthcare provider should check your heart rate while you take WEGOVY. Tell your healthcare provider if you feel your heart racing or pounding in your chest and it lasts for several minutes.
  • depression or thoughts of suicide. You should pay attention to any mental changes, especially sudden changes in your mood, behaviors, thoughts, or feelings. Call your healthcare provider right away if you have any mental changes that are new, worse, or worry you.

The most common side effects of WEGOVY in adults or children aged 12 years and older may include:

  • nausea
  • stomach (abdomen) pain
  • dizziness
  • gas
  • diarrhea
  • headache
  • feeling bloated
  • stomach flu
  • vomiting
  • tiredness (fatigue)
  • belching
  • heartburn
  • constipation
  • upset stomach
  • low blood sugar in people with type 2 diabetes
  • runny nose or sore throat

Talk to your healthcare provider about any side effect that bothers you or does not go away. These are not all the possible side effects of WEGOVY.

Call your doctor for medical advice about side effects. You may report side effects to FDA at 1‑800‑FDA‑1088.

General information about the safe and effective use of WEGOVY.

Medicines are sometimes prescribed for purposes other than those listed in a Medication Guide. Do not use WEGOVY for a condition for which it was not prescribed. Do not give WEGOVY to other people, even if they have the same symptoms that you have. It may harm them. You can ask your pharmacist or healthcare provider for information about WEGOVY that is written for health professionals.

What are the ingredients in WEGOVY?

Active Ingredient: semaglutide

Inactive Ingredients: disodium phosphate dihydrate, 1.42 mg; sodium chloride, 8.25 mg; water for injection; and hydrochloric acid or sodium hydroxide may be added to adjust pH.

Manufactured by: Novo Nordisk A/S, DK-2880 Bagsvaerd, Denmark

WEGOVY ® is a registered trademark of Novo Nordisk A/S.

PATENT Information: http://novonordisk-us.com/products/product-patents.html

© 2024 Novo Nordisk

For more information, go to startWegovy.com or call 1-833-Wegovy-1.

This Medication Guide has been approved by the U.S. Food and Drug Administration. Revised 03/2024

8.4 Pediatric Use

The safety and effectiveness of WEGOVY as an adjunct to a reduced calorie diet and increased physical activity for weight reduction and long-term maintenance have been established in pediatric patients aged 12 years and older with obesity. Use of WEGOVY for this indication is supported by a 68-week, double-blind, placebo-controlled clinical trial in 201 pediatric patients aged 12 years and older with a BMI corresponding to ≥95th percentile for age and sex and from studies in adult patients with obesity [see Clinical Studies (14.3) ].

Adverse reactions with WEGOVY treatment in pediatric patients aged 12 years and older were generally similar to those reported in adults. Pediatric patients aged 12 years and older treated with WEGOVY had greater incidences of cholelithiasis, cholecystitis, hypotension, rash, and urticaria compared to adults treated with WEGOVY [see Adverse Reactions (6.1)].

There are insufficient data in pediatric patients with type 2 diabetes treated with WEGOVY for obesity to determine if there is an increased risk of hypoglycemia with WEGOVY treatment similar to that reported in adults. Inform patients of the risk of hypoglycemia and educate them on the signs and symptoms of hypoglycemia. In pediatric patients aged 12 years and older with type 2 diabetes, monitor blood glucose prior to starting WEGOVY and during WEGOVY treatment. When initiating WEGOVY in pediatric patients aged 12 years and older with type 2 diabetes, consider reducing the dose of concomitantly administered insulin secretagogue (such as sulfonylureas) or insulin to reduce the risk of hypoglycemia [see Warnings and Precautions (5.4)].

The safety and effectiveness of WEGOVY have not been established in pediatric patients less than 12 years of age.

8.5 Geriatric Use

In the WEGOVY clinical trials for weight reduction and long-term maintenance, 233 (9%) WEGOVY-treated patients were aged 65 to 75 years and 23 (1%) WEGOVY-treated patients were aged 75 years and older [see Clinical Studies (14.2)]. In a cardiovascular outcomes trial, 2656 (30%) WEGOVY-treated patients were aged 65 to 75 years and 703 (8%) WEGOVY-treated patients were aged 75 years and older [see Clinical Studies (14.1)]. No overall difference in effectiveness was observed between patients aged 65 years and older and younger adult patients. In the cardiovascular outcomes trial, patients aged 75 years and older reported more fractures of the hip and pelvis on WEGOVY than on placebo. Patients aged 75 years and older (WEGOVY-treated and placebo-treated) reported more serious adverse reactions overall compared to younger adult patients [see Adverse Reactions (6.1)].

12.6 Immunogenicity

The observed incidence of anti-drug antibodies is highly dependent on the sensitivity and specificity of the assay. Differences in assay methods preclude meaningful comparisons of the incidence of anti-drug antibodies in the studies described below with the incidence of anti-drug antibodies in other studies, including those of semaglutide or of other semaglutide products.

During the 68-week treatment periods in Studies 2 and 3 [see Clinical Studies (14.2) ], 50/1709 (3%) of WEGOVY-treated patients developed anti-semaglutide antibodies. Of these 50 WEGOVY-treated patients, 28 patients (2% of the total WEGOVY-treated study population) developed antibodies that cross-reacted with native GLP-1. No identified clinically significant effect of anti-semaglutide antibodies on pharmacokinetics for WEGOVY was observed. There is insufficient evidence to characterize the effects of anti-semaglutide antibodies on pharmacodynamics or effectiveness of semaglutide.

4 Contraindications

WEGOVY is contraindicated in the following conditions:

  • A personal or family history of MTC or in patients with MEN 2 [see Warnings and Precautions ( 5.1 )].
  • A prior serious hypersensitivity reaction to semaglutide or to any of the excipients in WEGOVY. Serious hypersensitivity reactions, including anaphylaxis and angioedema, have been reported with WEGOVY [see Warnings and Precautions ( 5.6 )].
6 Adverse Reactions

The following serious adverse reactions are described below or elsewhere in the prescribing information:

  • Risk of Thyroid C-Cell Tumors [see Warnings and Precautions ( 5.1 )]
  • Acute Pancreatitis [see Warnings and Precautions ( 5.2 )]
  • Acute Gallbladder Disease [see Warnings and Precautions ( 5.3 )]
  • Hypoglycemia [see Warnings and Precautions ( 5.4 )]
  • Acute Kidney Injury [see Warnings and Precautions ( 5.5 )]
  • Hypersensitivity Reactions [see Warnings and Precautions ( 5.6 )]
  • Diabetic Retinopathy Complications in Patients with Type 2 Diabetes [see Warnings and Precautions ( 5.7 )]
  • Heart Rate Increase [see Warnings and Precautions ( 5.8 )]
  • Suicidal Behavior and Ideation [see Warnings and Precautions ( 5.9 )]
7 Drug Interactions

WEGOVY delays gastric emptying. May impact absorption of concomitantly administered oral medications. Use with caution ( 7.2 ).

7.2 Oral Medications

WEGOVY causes a delay of gastric emptying and thereby has the potential to impact the absorption of concomitantly administered oral medications. In clinical pharmacology trials with semaglutide 1 mg, semaglutide did not affect the absorption of orally administered medications [see Clinical Pharmacology ( 12.3 )]. Nonetheless, monitor the effects of oral medications concomitantly administered with WEGOVY.

8.6 Renal Impairment

No dose adjustment of WEGOVY is recommended for patients with renal impairment. In a study in patients with renal impairment, including end-stage renal disease, no clinically relevant change in semaglutide pharmacokinetics was observed [see Clinical Pharmacology ( 12.3 )].

Instructions for Use

Instructions for Use

WEGOVY®

(semaglutide) injection

WEGOVY comes in five strengths:

Before you use your WEGOVY pen for the first time, talk to your healthcare provider or your caregiver about how to prepare and inject WEGOVY correctly.

Important information

Read this Instructions for Use before you start using WEGOVY. This information does not replace talking to your healthcare provider about your medical condition or treatment.

· Your WEGOVY pen is for 1 time use only. The WEGOVY pen is for subcutaneous (under the skin) use only.

· The dose of WEGOVY is already set on your pen.

· The needle is covered by the needle cover and the needle will not be seen.

· Do not remove the pen cap until you are ready to inject.

· Do not touch or push on the needle cover. You could get a needle stick injury.

· Your WEGOVY injection will start when the needle cover is pressed firmly against your skin.

· Do not remove the pen from your skin before the yellow bar in the pen window has stopped moving. The medicine may appear on the skin or squirt from the needle and you may not get your full dose of WEGOVY if:

  • the pen is removed too early or
  • you have not pressed the pen firmly against the skin for the entire injection.

· If the yellow bar does not start moving or stops during the injection, contact your healthcare provider or Novo Nordisk at startWegovy.com or call Novo Nordisk Inc. at 1-833-934-6891.

· The needle cover will lock when the pen is removed from your skin. You cannot stop the injection and restart it later.

· People who are blind or have vision problems should not use the WEGOVY pen without help from a person trained to use the WEGOVY pen.

How do I store WEGOVY?

· Store the WEGOVY pen in the refrigerator between 36°F to 46°F (2°C to 8°C).

· If needed, before removing the pen cap, WEGOVY can be stored from 46°F to 86°F (8°C to 30°C) in the original carton for up to 28 days.

· Keep WEGOVY in the original carton to protect it from light.

· Do not freeze.

· Throw away the pen if WEGOVY has been frozen, has been exposed to light or temperatures above 86°F (30°C), or has been out of the refrigerator for 28 days or longer.

Keep WEGOVY and all medicines out of the reach of children.

How to use your WEGOVY pen

Do not use your WEGOVY pen without receiving training from your healthcare provider. Make sure that you or your caregiver know how to give an injection with the pen before you start your treatment.

Read and follow the instructions so that you use your WEGOVY pen correctly:

Preparation

Step 1. Prepare for your injection.

  • Supplies you will need to give your WEGOVY injection:
    • o
      WEGOVY pen
    • o
      1 alcohol swab or soap and water
    • o
      1 gauze pad or cotton ball
    • o
      1 sharps disposable container for used WEGOVY pens
  • Wash your hands.
  • Check your WEGOVY pen.
    •  
      Do not use your WEGOVY pen if:
  • o
    The pen appears to have been used or any part of the pen appears broken, for example if it has been dropped.
  • o
    The WEGOVY medicine is not clear and colorless through the pen window.
  • o
    The expiration date (EXP) has passed.

Contact Novo Nordisk at 1-833-934-6891 if your WEGOVY pen fails any of these checks.

Step 2. Choose your injection site.

• Your healthcare provider can help you choose the injection site that is best for you

  • You may inject into your upper leg (front of the thighs), lower stomach (keep 2 inches away from your belly button) or upper arm.

• Do not inject into an area where the skin is tender, bruised, red, or hard. Avoid injecting into areas with scars or stretch marks.

• You may inject in the same body area each week, but make sure it is not in the same spot each time.

Clean the injection site with an alcohol swab or soap and water. Do not touch the injection site after cleaning. Allow the skin to dry before injecting.

Injection

Step 3. Remove pen cap.

Pull the pen cap straight off your pen.

Step 4. Inject WEGOVY.

• Push the pen firmly against your skin and keep applying pressure until the yellow bar

has stopped moving.

If the yellow bar does not start moving, press the pen more firmly against your skin.

  • You will hear 2 clicks during the injection.
  • Click 1: the injection has started.
  • Click 2: the injection is ongoing.
  • If you have problems with the injection, refer to the “Troubleshooting” section.

Throw away pen

Step 5. Throw away (dispose of) pen.

Safely dispose of the WEGOVY pen right away after each use. See “How do I throw away (dispose of) WEGOVY pens?”

What if blood appears after injection?

If blood appears at the injection site, press the site lightly with a gauze pad or cotton ball.

  • If you have problems injecting, change to a more firm injection site, such as upper leg, or upper arm or consider standing up while injecting into the lower stomach.
  • If medicine appears on the skin or squirts from the needle, make sure the next time you inject to keep applying pressure until the yellow bar has stopped moving. Then you can lift the pen slowly from your skin.
  •  

How do I throw away (dispose of) WEGOVY pens?

Put the used WEGOVY pen in an FDA-cleared sharps disposal container right away after use. Do not throw away (dispose of) the pen in your household trash.

If you do not have an FDA-cleared sharps disposal container, you may use a household container that is:

  •  
    · made of a heavy-duty plastic,
  •  
    · able to be closed with a tight-fitting, puncture-resistant lid, without sharps being able to come out,
  •  
    · upright and stable during use,
  •  
    · leak-resistant, and
  •  
    · properly labeled to warn of hazardous waste inside the container.

When your sharps disposal container is almost full, you will need to follow your community guidelines for the right way to dispose of your sharps disposal container. There may be state or local laws about how you should throw away used needles and syringes. For more information about safe sharps disposal, and for specific sharps disposal in the state that you live in, go to the FDA’s website at http://www.fda.gov/safesharpsdisposal.

  •  
    · Do not reuse the pen.
  •  
    · Do not recycle the pen or sharps disposal container, or throw them into household trash.

Important: Keep your WEGOVY pen, sharps disposal container and all medicines out of the reach of children.

How do I care for my pen?

Protect your pen

  •  
    · Do not drop your pen or knock it against hard surfaces.
  •  
    · Do not expose your pen to any liquids.
  •  
    · If you think that your pen may be damaged, do not try to fix it. Use a new one.
  •  
    · Keep the pen cap on until you are ready to inject. Your pen will no longer be sterile if you store an unused pen without the cap, if you pull the pen cap off and put it on again, or if the pen cap is missing. This could lead to an infection.
  •  
    If you have any questions about WEGOVY, go to startWegovy.com or call Novo Nordisk Inc. at 1-833-Wegovy-1

Manufactured by:

Novo Nordisk A/S

Novo Allé

DK-2880 Bagsvaerd, Denmark

For information about WEGOVY, go to

startWegovy.com or contact:

Novo Nordisk Inc.

800 Scudders Mill Road

Plainsboro, NJ 08536

1-833-Wegovy-1

Version: 2

WEGOVY ® is a registered trademark of Novo Nordisk A/S.

PATENT Information: http://novonordisk-us.com/products/product-patents.html

© 2022 Novo Nordisk

This Instructions for Use has been approved by the U.S. Food and Drug Administration.

Revised: August 2022

12.2 Pharmacodynamics

Semaglutide lowers body weight with greater fat mass loss than lean mass loss. Semaglutide decreases calorie intake. The effects are likely mediated by affecting appetite.

Semaglutide stimulates insulin secretion and reduces glucagon secretion in a glucose-dependent manner. These effects can lead to a reduction of blood glucose.

Gastric Emptying

Semaglutide delays gastric emptying.

Cardiac Electrophysiology (QTc)

The effect of semaglutide on cardiac repolarization was tested in a thorough QTc trial. Semaglutide did not prolong QTc intervals at doses up to 1.5 mg at steady state.

12.3 Pharmacokinetics

Absorption

Absolute bioavailability of semaglutide is 89%. Maximum concentration of semaglutide is reached 1 to 3 days post dose.

Similar exposure was achieved with subcutaneous administration of semaglutide in the abdomen, thigh, or upper arm.

The average semaglutide steady state concentration following subcutaneous administration of WEGOVY was approximately 75 nmol/L in patients with either obesity (BMI greater than or equal to 30 kg/m2) or overweight (BMI greater than or equal to 27 kg/m2). The steady state exposure of WEGOVY increased proportionally with doses up to 2.4 mg once weekly.

Distribution

The mean volume of distribution of semaglutide following subcutaneous administration in patients with obesity or overweight is approximately 12.5 L. Semaglutide is extensively bound to plasma albumin (greater than 99%) which results in decreased renal clearance and protection from degradation.

Elimination

The apparent clearance of semaglutide in patients with obesity or overweight is approximately 0.05 L/h. With an elimination half-life of approximately 1 week, semaglutide will be present in the circulation for about 5 to 7 weeks after the last dose of 2.4 mg.

Metabolism

The primary route of elimination for semaglutide is metabolism following proteolytic cleavage of the peptide backbone and sequential beta-oxidation of the fatty acid sidechain.

Excretion

The primary excretion routes of semaglutide-related material are via the urine and feces. Approximately 3% of the dose is excreted in the urine as intact semaglutide.

Specific Populations

The effects of intrinsic factors on the pharmacokinetics of semaglutide are shown in Figure 2.

  •  
    Figure 2. Impact of intrinsic factors on semaglutide exposure

Data are steady-state dose-normalized average semaglutide exposures relative to a reference subject profile (non-Hispanic or Latino ethnicity, white female aged 18 to less than 65 years, with a body weight of 110 kg and normal renal function, who injected in the abdomen). Body weight categories (74 and 143 kg) represent the 5% and 95% percentiles in the dataset.

Patients with Renal Impairment

Renal impairment did not impact the exposure of semaglutide in a clinically relevant manner. The pharmacokinetics of semaglutide were evaluated following a single dose of 0.5 mg semaglutide in a study of patients with different degrees of renal impairment (mild, moderate, severe, or ESRD) compared with subjects with normal renal function. The pharmacokinetics were also assessed in subjects with overweight (BMI 27-29.9 kg/m2) or obesity (BMI greater than or equal to 30 kg/m2) and mild to moderate renal impairment, based on data from clinical trials.

Patients with Hepatic Impairment

Hepatic impairment did not impact the exposure of semaglutide. The pharmacokinetics of semaglutide were evaluated following a single dose of 0.5 mg semaglutide in a study of patients with different degrees of hepatic impairment (mild, moderate, severe) compared with subjects with normal hepatic function.

Drug Interactions Studies

In vitro studies have shown very low potential for semaglutide to inhibit or induce CYP enzymes, or to inhibit drug transporters.

The delay of gastric emptying with semaglutide may influence the absorption of concomitantly administered oral medications [see Drug Interactions ( 7.2 )]. The potential effect of semaglutide on the absorption of co-administered oral medications was studied in trials at semaglutide 1 mg steady-state exposure. No clinically relevant drug-drug interactions with semaglutide (Figure 3) were observed based on the evaluated medications. In a separate study, no apparent effect on the rate of gastric emptying was observed with semaglutide 2.4 mg.

  •  
    Figure 3. Impact of semaglutide 1 mg on the pharmacokinetics of co-administered medications

Relative exposure in terms of AUC and Cmax for each medication when given with semaglutide compared to without semaglutide. Metformin and oral contraceptive drug (ethinylestradiol/levonorgestrel) were assessed at steady state. Warfarin (S-warfarin/R-warfarin), digoxin and atorvastatin were assessed after a single dose.

Abbreviations: AUC: area under the curve, Cmax: maximum concentration, CI: confidence interval.

5.2 Acute Pancreatitis

Acute pancreatitis, including fatal and non-fatal hemorrhagic or necrotizing pancreatitis, has been observed in patients treated with GLP-1 receptor agonists, including semaglutide. Acute pancreatitis was observed in patients treated with WEGOVY in clinical trials [see Adverse Reactions ( 6 )]. After initiation of WEGOVY, observe patients carefully for signs and symptoms of acute pancreatitis (including persistent severe abdominal pain, sometimes radiating to the back, and which may or may not be accompanied by vomiting). If acute pancreatitis is suspected, WEGOVY should promptly be discontinued, and appropriate management should be initiated. If acute pancreatitis is confirmed, WEGOVY should not be restarted.

There is limited experience from clinical trials with WEGOVY in patients with a history of pancreatitis. It is unknown if patients with a history of pancreatitis are at higher risk for development of pancreatitis on WEGOVY.

8.7 Hepatic Impairment

No dose adjustment of WEGOVY is recommended for patients with hepatic impairment. In a study in patients with different degrees of hepatic impairment, no clinically relevant change in semaglutide pharmacokinetics was observed [see Clinical Pharmacology ( 12.3 )].

1 Indications and Usage

WEGOVY is indicated in combination with a reduced calorie diet and increased physical activity:

  • to reduce the risk of major adverse cardiovascular events (cardiovascular death, non-fatal myocardial infarction, or non-fatal stroke) in adults with established cardiovascular disease and either obesity or overweight.
  • to reduce excess body weight and maintain weight reduction long term in:
    • o
      Adults and pediatric patients aged 12 years and older with obesity
  • o
    Adults with overweight in the presence of at least one weight-related comorbid condition.

Limitations of Use

  • WEGOVY contains semaglutide. Coadministration with other semaglutide-containing products or with any other GLP-1 receptor agonist is not recommended.
5.5 Acute Kidney Injury

There have been postmarketing reports of acute kidney injury and worsening of chronic renal failure, which have in some cases required hemodialysis, in patients treated with semaglutide. Patients with renal impairment may be at greater risk of acute kidney injury, but some of these events have been reported in patients without known underlying renal disease. A majority of the reported events occurred in patients who had experienced nausea, vomiting, or diarrhea, leading to volume depletion [see Adverse Reactions ( 6 )].

Monitor renal function when initiating or escalating doses of WEGOVY in patients reporting severe adverse gastrointestinal reactions. Monitor renal function in patients with renal impairment reporting any adverse reactions that could lead to volume depletion.

5.8 Heart Rate Increase

Treatment with WEGOVY was associated with increases in resting heart rate. Mean increases in resting heart rate of 1 to 4 beats per minute (bpm) were observed in WEGOVY-treated adult patients compared to placebo in clinical trials. More adult patients treated with WEGOVY compared with placebo had maximum changes from baseline at any visit of 10 to 19 bpm (41% versus 34%, respectively) and 20 bpm or more (26% versus 16%, respectively). In a clinical trial in pediatric patients aged 12 years and older with normal baseline heart rate, more patients treated with WEGOVY compared to placebo had maximum changes in heart rate of 20 bpm or more (54% versus 39%) [see Adverse Reactions ( 6.1)] .

Monitor heart rate at regular intervals consistent with usual clinical practice. Instruct patients to inform their healthcare providers of palpitations or feelings of a racing heartbeat while at rest during WEGOVY treatment. If patients experience a sustained increase in resting heart rate, discontinue WEGOVY.

12.1 Mechanism of Action

Semaglutide is a GLP-1 analogue with 94% sequence homology to human GLP-1. Semaglutide acts as a GLP-1 receptor agonist that selectively binds to and activates the GLP-1 receptor, the target for native GLP-1.

GLP-1 is a physiological regulator of appetite and caloric intake, and the GLP-1 receptor is present in several areas of the brain involved in appetite regulation. Animal studies show that semaglutide distributed to and activated neurons in brain regions involved in regulation of food intake.

The exact mechanism of cardiovascular risk reduction has not been established.

5 Warnings and Precautions
  • Acute Pancreatitis: Has occurred in clinical trials. Discontinue promptly if pancreatitis is suspected. Do not restart if pancreatitis is confirmed ( 5.2 ).
  • Acute Gallbladder Disease: Has occurred in clinical trials. If cholelithiasis is suspected, gallbladder studies and clinical follow-up are indicated ( 5.3 ).
  • Hypoglycemia: Concomitant use with insulin or an insulin secretagogue may increase the risk of hypoglycemia, including severe hypoglycemia. Reducing the dose of insulin or insulin secretagogue may be necessary. Inform all patients of the risk of hypoglycemia and educate them on the signs and symptoms of hypoglycemia ( 5.4 ).
  • Acute Kidney Injury: Has occurred. Monitor renal function when initiating or escalating doses of WEGOVY in patients reporting severe adverse gastrointestinal reactions or in those with renal impairment reporting severe adverse gastrointestinal reactions ( 5.5 ).
  • Hypersensitivity Reactions: Anaphylactic reactions and angioedema have been reported postmarketing. Discontinue WEGOVY if suspected and promptly seek medical advice ( 5.6 ).
  • Diabetic Retinopathy Complications in Patients with Type 2 Diabetes: Has been reported in trials with semaglutide. Patients with a history of diabetic retinopathy should be monitored ( 5.7 ).
  • Heart Rate Increase: Monitor heart rate at regular intervals ( 5.8 ).
  • Suicidal Behavior and Ideation: Monitor for depression or suicidal thoughts. Discontinue WEGOVY if symptoms develop ( 5.9 ).
2 Dosage and Administration
  • Administer WEGOVY once weekly as an adjunct to diet and increased physical activity, on the same day each week, at any time of day, with or without meals (2.1).
    • Inject subcutaneously in the abdomen, thigh or upper arm (2.1).
  • In patients with type 2 diabetes, monitor blood glucose prior to starting and during WEGOVY treatment (2.1).
  • Initiate at 0.25 mg once weekly for 4 weeks. Then follow the dosage escalation schedule, titrating every 4 weeks to achieve the maintenance dosage (2.2, 2.3).
  • The maintenance dosage of WEGOVY in adults is either 2.4 mg (recommended) or 1.7 mg once weekly (2.2).
  • The maintenance dosage of WEGOVY in pediatric patients aged 12 years and older is 2.4 mg once weekly (2.3).
3 Dosage Forms and Strengths

Injection: clear, colorless solution available in 5 pre-filled, disposable, single-dose pens:

  • 0.25 mg/0.5 mL
  • 0.5 mg/0.5 mL
  • 1 mg/0.5 mL
  • 1.7 mg/0.75 mL
  • 2.4 mg/0.75 mL
6.2 Postmarketing Experience

The following adverse reactions have been reported during post-approval use of semaglutide, the active ingredient of WEGOVY. Because these reactions are reported voluntarily from a population of uncertain size, it is not always possible to reliably estimate their frequency or establish a causal relationship to drug exposure.

Gastrointestinal Disorders: acute pancreatitis and necrotizing pancreatitis, sometimes resulting in death; ileus

Hypersensitivity: anaphylaxis, angioedema, rash, urticaria

Renal and Urinary Disorders: acute kidney injury

5.3 Acute Gallbladder Disease

Treatment with WEGOVY is associated with an increased occurrence of cholelithiasis and cholecystitis. The incidence of cholelithiasis and cholecystitis was higher in WEGOVY-treated pediatric patients aged 12 years and older than in WEGOVY-treated adults. In randomized clinical trials in adult patients, cholelithiasis was reported by 1.6% of WEGOVY-treated patients and 0.7% of placebo-treated patients. Cholecystitis was reported by 0.6% of WEGOVY-treated adult patients and 0.2% of placebo-treated patients. In a clinical trial in pediatric patients aged 12 years and older, cholelithiasis was reported by 3.8% of WEGOVY-treated patients and 0% placebo-treated patients. Cholecystitis was reported by 0.8% of WEGOVY-treated pediatric patients and 0% placebo-treated patients [see Adverse Reactions (6.1)] .

Substantial or rapid weight loss can increase the risk of cholelithiasis; however, the incidence of acute gallbladder disease was greater in WEGOVY-treated patients than in placebo-treated patients, even after accounting for the degree of weight loss. If cholelithiasis is suspected, gallbladder studies and appropriate clinical follow-up are indicated.

8 Use in Specific Populations
  • Pregnancy: May cause fetal harm. When pregnancy is recognized, discontinue WEGOVY ( 8.1 ).
  • Females and Males of Reproductive Potential: Discontinue WEGOVY at least 2 months before a planned pregnancy because of the long half-life of semaglutide ( 8.3 ).
5.6 Hypersensitivity Reactions

Serious hypersensitivity reactions (e.g., anaphylaxis, angioedema) have been reported with WEGOVY. If hypersensitivity reactions occur, discontinue use of WEGOVY, treat promptly per standard of care, and monitor until signs and symptoms resolve. WEGOVY is contraindicated in patients with a prior serious hypersensitivity reaction to semaglutide or to any of the excipients in WEGOVY [see Adverse Reactions ( 6.2)] .

Anaphylaxis and angioedema have been reported with other GLP-1 receptor agonists. Use caution in a patient with a history of anaphylaxis or angioedema with another GLP-1 receptor agonist because it is unknown whether such patients will be predisposed to these reactions with WEGOVY.

6.1 Clinical Trials Experience

Because clinical trials are conducted under widely varying conditions, adverse reaction rates observed in the clinical trials of a drug cannot be directly compared to rates in the clinical studies of another drug and may not reflect the rates observed in practice.

Adverse Reactions in Clinical Trials in Adults with Obesity or Overweight

WEGOVY 2.4 mg Subcutaneous Weekly Dosage

WEGOVY was evaluated for safety in 3 randomized, double-blind, placebo-controlled trials that included 2,116 adult patients with obesity or overweight treated with 2.4 mg WEGOVY for up to 68 weeks and a 7 week off-drug follow-up period [see Clinical Studies (14.2) ]. Baseline characteristics included a mean age of 48 years, 71% female, 72% White, 14% Asian, 9% Black or African American, and 5% reported as other or unknown; and 85% were not Hispanic or Latino ethnicity, 13% were Hispanic or Latino ethnicity, and 2% reported as unknown. The baseline characteristics were 42% with hypertension, 19% with type 2 diabetes, 43% with dyslipidemia, 28% with a BMI greater than 40 kg/m2, and 4% with cardiovascular disease.

In these clinical trials, 6.8% of patients treated with 2.4 mg WEGOVY and 3.2% of patients treated with placebo permanently discontinued treatment as a result of adverse reactions. The most common adverse reactions leading to discontinuation were nausea (1.8% versus 0.2%), vomiting (1.2% versus 0%), and diarrhea (0.7% versus 0.1%) for WEGOVY and placebo, respectively.

Adverse reactions reported in clinical trials in adults and greater than or equal to 2% of WEGOVY-treated patients and more frequently than in placebo-treated patients are shown in Table 3.

Table 3. Adverse Reactions (≥2% and Greater Than Placebo) in WEGOVY-treated Adults with Obesity or Overweight

Placebo

N = 1,261

%

WEGOVY 2.4 mg

N = 2,116

%

Nausea

16

44

Diarrhea

16

30

Vomiting

6

24

Constipation

11

24

Abdominal Paina

10

20

Headache

10

14

Fatigueb

5

11

Dyspepsia

3

9

Dizziness

4

8

Abdominal Distension

5

7

Eructation

<1

7

Hypoglycemia in T2DMc

2

6

Flatulence

4

6

Gastroenteritis

4

6

Gastroesophageal Reflux Disease

3

5

Gastritisd

1

4

Gastroenteritis Viral

3

4

Hair Loss

1

3

Dysesthesiae

1

2

aIncludes abdominal pain, abdominal pain upper, abdominal pain lower, gastrointestinal pain, abdominal tenderness, abdominal discomfort and epigastric discomfort

bIncludes fatigue and asthenia

cDefined as blood glucose <54 mg/dL with or without symptoms of hypoglycemia or severe hypoglycemia (requiring the assistance of another person) in patients with type 2 diabetes not on concomitant insulin (Study 3, WEGOVY N=403, Placebo N=402). See text below for further information regarding hypoglycemia in patients with and without type 2 diabetes. T2DM = type 2 diabetes mellitus

dIncludes chronic gastritis, gastritis, gastritis erosive, and reflux gastritis

eIncludes paresthesia, hyperesthesia, burning sensation, allodynia, dysesthesia, skin burning sensation, pain of skin, and sensitive skin

In a cardiovascular outcomes trial, 8,803 patients were exposed to WEGOVY for a median of 37.3 months and 8,801 patients were exposed to placebo for a median of 38.6 months [see Clinical Studies (14.1)]. Safety data collection was limited to serious adverse events (including death), adverse events leading to discontinuation, and adverse events of special interest. Sixteen percent (16%) of WEGOVY-treated patients and 8% of placebo-treated patients, respectively, discontinued study drug due to an adverse event. Additional information from this trial is included in subsequent sections below when relevant.

Adverse Reactions in a Clinical Trial of Pediatric Patients Aged 12 Years and Older with Obesity

WEGOVY was evaluated in a 68-week, double-blind, randomized, parallel group, placebo-controlled, multi-center trial in 201 pediatric patients aged 12 years and older with obesity [see Clinical Studies (14.3) ]. Baseline characteristics included a mean age of 15.4 years; 38% of patients were male; 79% were White, 8% were Black or African American, 2% were Asian, and 11% were of other or unknown race; and 11% were of Hispanic or Latino ethnicity. The mean baseline body weight was 107.5 kg, and mean BMI was 37 kg/m2.

Table 4 shows adverse reactions reported in greater than or equal to 3% of WEGOVY-treated pediatric patients and more frequently than in the placebo group from a study in pediatric patients aged 12 years and older.

Table 4. Adverse Reactions (≥3% and Greater than Placebo) in WEGOVY-Treated Pediatric Patients Aged 12 Years and Older with Obesity

Placebo

N = 67

%
WEGOVY 2.4 mg

N = 133

%

Nausea

18

42

Vomiting

10

36

Diarrhea

19

22

Headache

16

17

Abdominal Pain

6

15

Nasopharyngitis

10

12

Dizziness

3

8

Gastroenteritis

3

7

Constipation

2

6

Gastroesophageal Reflux Disease

2

4

Sinusitis

2

4

Urinary tract infection

2

4

Ligament sprain

2

4

Anxiety

2

4

Hair Loss

0

4

Cholelithiasis

0

4

Eructation

0

4

Influenza

0

3

Rash

0

3

Urticaria

0

3

  •  
    Other Adverse Reactions in Adults and/or Pediatric Patients

Acute Pancreatitis

In WEGOVY clinical trials in adults, acute pancreatitis was confirmed by adjudication in 4 WEGOVY-treated patients (0.2 cases per 100 patient years) versus 1 in placebo-treated patients (less than 0.1 cases per 100 patient years). One additional case of acute pancreatitis was confirmed in a patient treated with WEGOVY in another clinical trial.

Acute Gallbladder Disease

In WEGOVY clinical trials in adults, cholelithiasis was reported by 1.6% of WEGOVY-treated patients and 0.7% of placebo-treated patients. Cholecystitis was reported by 0.6% of WEGOVY-treated adult patients and 0.2% of placebo-treated patients. In a clinical trial in pediatric patients aged 12 years and older [see Clinical Studies (14.3)], cholelithiasis was reported by 3.8% of WEGOVY-treated patients and 0% placebo-treated patients. Cholecystitis was reported by 0.8% of WEGOVY-treated pediatric patients and 0% placebo-treated patients.

Hypoglycemia

Patients with Type 2 Diabetes

In a trial of adult patients with type 2 diabetes and BMI greater than or equal to 27 kg/m2, clinically significant hypoglycemia (defined as a plasma glucose less than 54 mg/dL) was reported in 6.2% of WEGOVY-treated patients versus 2.5% of placebo-treated patients. A higher rate of clinically significant hypoglycemic episodes was reported with WEGOVY (semaglutide 2.4 mg) versus semaglutide 1 mg (10.7 vs. 7.2 episodes per 100 patient years of exposure, respectively); the rate in the placebo-treated group was 3.2 episodes per 100 patient years of exposure. In addition, one episode of severe hypoglycemia requiring intravenous glucose was reported in a WEGOVY-treated patient versus none in placebo-treated patients. The risk of hypoglycemia was increased when WEGOVY was used with a sulfonylurea.

Patients without Type 2 Diabetes

Episodes of hypoglycemia have been reported with GLP-1 receptor agonists in adult patients without type 2 diabetes mellitus. In WEGOVY clinical trials in adult patients without type 2 diabetes mellitus, there was no systematic capturing or reporting of hypoglycemia.

In a cardiovascular outcomes trial in adult patients without type 2 diabetes, 3 episodes of serious hypoglycemia were reported in WEGOVY-treated patients versus 1 episode in placebo. Patients with a history of bariatric surgery (a risk factor for hypoglycemia) had more events of serious hypoglycemia while taking WEGOVY (2.3%, 2/87) than placebo (0%, 0/97).

Acute Kidney Injury

Acute kidney injury occurred in clinical trials in 7 adult patients (0.4 cases per 100 patient years) receiving WEGOVY versus 4 patients (0.2 cases per 100 patient years of exposure) receiving placebo. Some of these adverse reactions occurred in association with gastrointestinal adverse reactions or dehydration. In addition, 2 patients treated with WEGOVY had acute kidney injury with dehydration in other clinical trials. The risk of renal adverse reactions with WEGOVY was increased in adult patients with a history of renal impairment (trials included 65 patients with a history of moderate or severe renal impairment at baseline), and occurred more frequently during dose titration.

Retinal Disorders in Patients with Type 2 Diabetes

In a trial of adult patients with type 2 diabetes and BMI greater than or equal to 27 kg/m2, retinal disorders were reported by 6.9% of patients treated with WEGOVY (semaglutide 2.4 mg), 6.2% of patients treated with semaglutide 1 mg, and 4.2% of patients treated with placebo. The majority of events were reported as diabetic retinopathy (4.0%, 2.7%, and 2.7%, respectively) and non-proliferative retinopathy (0.7%, 0%, and 0%, respectively).

Increase in Heart Rate

Mean increases in resting heart rate of 1 to 4 beats per minute (bpm) were observed with routine clinical monitoring in WEGOVY-treated adult patients compared to placebo in clinical trials. In trials in which adult patients were randomized prior to dose-escalation, more patients treated with WEGOVY, compared with placebo, had maximum changes from baseline at any visit of 10 to 19 bpm (41% versus 34%, respectively) and 20 bpm or more (26% versus 16%, respectively). In a clinical trial in pediatric patients aged 12 years and older with normal baseline heart rate, more patients treated with WEGOVY compared to placebo had maximum changes in heart rate of 20 bpm or more (54% versus 39%).

Hypotension and Syncope

Adverse reactions related to hypotension (hypotension, orthostatic hypotension, and decreased blood pressure) were reported in 1.3% of WEGOVY-treated adult patients versus 0.4% of placebo-treated patients and syncope was reported in 0.8% of WEGOVY-treated patients versus 0.2% of placebo-treated patients. Some reactions were related to gastrointestinal adverse reactions and volume loss associated with WEGOVY. Hypotension and orthostatic hypotension were more frequently seen in patients on concomitant antihypertensive therapy. In a clinical trial in pediatric patients aged 12 years and older, hypotension was reported in 2.3% of WEGOVY-treated patients versus 0% in placebo-treated patients.

Appendicitis

Appendicitis (including perforated appendicitis) occurred in 10 (0.5%) WEGOVY-treated adult patients and 2 (0.2%) patients receiving placebo.

Gastrointestinal Adverse Reactions

In clinical trials in adults, 73% of WEGOVY-treated patients and 47% of patients receiving placebo reported gastrointestinal adverse reactions, including severe reactions that were reported more frequently among patients receiving WEGOVY (4.1%) than placebo (0.9%). The most frequently reported reactions were nausea (44% vs. 16%), vomiting (25% vs. 6%), and diarrhea (30% vs. 16%). Other reactions that occurred at a higher incidence among WEGOVY-treated adult patients included dyspepsia, abdominal pain, abdominal distension, eructation, flatulence, gastroesophageal reflux disease, gastritis, hemorrhoids, and hiccups. These reactions increased during dose escalation.

In the pediatric clinical trial, 62% of WEGOVY-treated patients and 42% of placebo-treated patients reported gastrointestinal disorders. The most frequently reported reactions were nausea (42% vs. 18%), vomiting (36% vs. 10%), and diarrhea (22% vs. 19%). Other gastrointestinal-related reactions that occurred at a higher incidence than placebo among WEGOVY-treated pediatric patients included abdominal pain, constipation, eructation, gastroesophageal reflux disease, dyspepsia, and flatulence.

Permanent discontinuation of treatment as a result of a gastrointestinal adverse reaction occurred in 4.3% of WEGOVY-treated adult patients versus 0.7% of placebo-treated patients. In a pediatric clinical trial, 2.3% of patients treated with WEGOVY versus 1.5% of patients who received placebo discontinued treatment as a result of gastrointestinal adverse reactions.

Injection Site Reactions

In clinical trials in adults, 1.4% of WEGOVY-treated patients and 1.0% of patients receiving placebo experienced injection site reactions (including injection site pruritus, erythema, inflammation, induration, and irritation).

Hypersensitivity Reactions

Serious hypersensitivity reactions (e.g., anaphylaxis, angioedema) have been reported with WEGOVY.

In a pediatric clinical trial, rash was reported in 3% of WEGOVY-treated patients and 0% of placebo-treated patients, and urticaria was reported in 3% of WEGOVY-treated patients and 0% of placebo-treated patients.

In adult clinical trials, allergic reactions occurred in 16% (8/50) of WEGOVY-treated patients with anti-semaglutide antibodies and in 7% (114/1659) of WEGOVY-treated patients who did not develop anti-semaglutide antibodies [see Clinical Pharmacology (12.6)].

Fractures

In the cardiovascular outcomes trial in adults, more fractures of the hip and pelvis were reported on WEGOVY than on placebo in female patients: 1.0% (24/2448) vs. 0.2% (5/2424), and in patients ages 75 years and older: 2.4% (17/703) vs. 0.6% (4/663), respectively.

Urolithiasis

In a cardiovascular outcomes trial, 1.2% of WEGOVY-treated patients and 0.8% of patients receiving placebo reported urolithiasis, including serious reactions that were reported more frequently among patients receiving WEGOVY (0.6%) than placebo (0.4%).

Dysgeusia

In clinical trials in adults, 1.7% of WEGOVY-treated patients and 0.5% of placebo-treated patients reported dysgeusia.

Laboratory Abnormalities

Amylase and Lipase

Adult and pediatric patients treated with WEGOVY had a mean increase from baseline in amylase of 15-16% and lipase of 39%. These changes were not observed in the placebo group. The clinical significance of elevations in lipase or amylase with WEGOVY is unknown in the absence of other signs and symptoms of pancreatitis.

Liver Enzymes

In a pediatric clinical trial, increases in alanine aminotransferase (ALT) greater than or equal to 5 times the upper limit of normal were observed in 4 (3%) WEGOVY-treated patients compared with 0% of placebo-treated patients. In some patients, increases in ALT and AST were associated with other confounding factors (such as gallstones). In the cardiovascular outcomes trial in adults, increases in total bilirubin greater than or equal to 3 times the upper limit of normal were observed in 0.3% (30/8585) of WEGOVY-treated patients versus 0.2% (14/8579) of placebo-treated patients.

2.2 Recommended Dosage in Adults

Dosage Initiation and Escalation

  • Initiate WEGOVY with a dosage of 0.25 mg injected subcutaneously once weekly. Then follow the dose escalation schedule presented in Table 1 to minimize gastrointestinal adverse reactions [see Adverse Reactions ( 6.1 )].
  • If patients do not tolerate a dose during dosage escalation, consider delaying dosage escalation for 4 weeks.

Table 1. Recommended Dosage Regimen for Adults

Treatment

Weeks

Once weekly Subcutaneous Dosage

Initiation

1 through 4

0.25 mg

Escalation

5 through 8

0.5 mg

9 through 12

1 mg

13 through 16

1.7 mg

Maintenance

17 and onward

1.7 mg or 2.4 mg

Maintenance Dosage

  • The maintenance dosage of WEGOVY in adults is either 2.4 mg (recommended) or 1.7 mg once weekly. Consider treatment response and tolerability when selecting the maintenance dosage [see Clinical Studies (14.2) ].
17 Patient Counseling Information

Advise the patient to read the FDA-approved patient labeling (Medication Guide and Instructions for Use).

Risk of Thyroid C-cell Tumors

Inform patients that semaglutide causes thyroid C-cell tumors in rodents and that the human relevance of this finding has not been determined. Counsel patients to report symptoms of thyroid tumors (e.g., a lump in the neck, hoarseness, dysphagia, or dyspnea) to their physician [see Boxed Warning and Warnings and Precautions ( 5.1 )].

Acute Pancreatitis

Inform patients of the potential risk for acute pancreatitis. Instruct patients to discontinue WEGOVY promptly and contact their physician if pancreatitis is suspected (severe abdominal pain that may radiate to the back, and which may or may not be accompanied by vomiting) [see Warnings and Precautions ( 5.2 )].

Acute Gallbladder Disease

Inform patients of the risk of acute gallbladder disease. Advise patients that substantial or rapid weight loss can increase the risk of gallbladder disease, but that gallbladder disease may also occur in the absence of substantial or rapid weight loss. Instruct patients to contact their healthcare provider for appropriate clinical follow-up if gallbladder disease is suspected [see Warnings and Precautions ( 5.3 )].

Hypoglycemia

Inform patients of the risk of hypoglycemia and educate patients on the signs and symptoms of hypoglycemia. Advise patients with diabetes mellitus on glycemic lowering therapy that they may have an increased risk of hypoglycemia when using WEGOVY and to report signs and/or symptoms of hypoglycemia to their healthcare provider [see Warnings and Precautions ( 5.4 )].

Dehydration and Renal Impairment

Advise patients treated with WEGOVY of the potential risk of dehydration due to gastrointestinal adverse reactions and take precautions to avoid fluid depletion. Inform patients of the potential risk for worsening renal function and explain the associated signs and symptoms of renal impairment, as well as the possibility of dialysis as a medical intervention if renal failure occurs [see Warnings and Precautions ( 5.5 )].

Hypersensitivity Reactions

Inform patients that serious hypersensitivity reactions have been reported during postmarketing use of semaglutide, the active ingredient in WEGOVY. Advise patients on the symptoms of hypersensitivity reactions and instruct them to stop taking WEGOVY and seek medical advice promptly if such symptoms occur [see Warnings and Precautions ( 5.6 )].

Diabetic Retinopathy Complications in Patients with Type 2 Diabetes

Inform patients with type 2 diabetes to contact their physician if changes in vision are experienced during treatment with WEGOVY [see Warnings and Precautions ( 5.7 )].

Heart Rate Increase

Instruct patients to inform their healthcare providers of palpitations or feelings of a racing heartbeat while at rest during WEGOVY treatment [see Warnings and Precautions ( 5.8 )].

Suicidal Behavior and Ideation

Advise patients to report emergence or worsening of depression, suicidal thoughts or behavior, and/or any unusual changes in mood or behavior. Inform patients that if they experience suicidal thoughts or behaviors, they should stop taking WEGOVY [see Warnings and Precautions ( 5.9 )].

Pregnancy

WEGOVY may cause fetal harm. Advise patients to inform their healthcare provider of a known or suspected pregnancy. Advise patients who are exposed to WEGOVY during pregnancy to contact Novo Nordisk at 1-877-390-2760 or www.wegovypregnancyregistry.com [see Use in Specific Populations ( 8.1 )].

Manufactured by:

Novo Nordisk A/S

DK-2880 Bagsvaerd

Denmark

For additional information about WEGOVY contact:

Novo Nordisk Inc.

800 Scudders Mill Road

Plainsboro, NJ 08536

1-833-934-6891

Version: 4

WEGOVY® is a registered trademark of Novo Nordisk A/S.

PATENT INFORMATION: http://www.novonordisk-us.com/products/product-patents.html

© 2024 Novo Nordisk

5.1 Risk of Thyroid C Cell Tumors

In mice and rats, semaglutide caused a dose-dependent and treatment-duration-dependent increase in the incidence of thyroid C-cell tumors (adenomas and carcinomas) after lifetime exposure at clinically relevant plasma exposures [see Nonclinical Toxicology ( 13.1 )]. It is unknown whether WEGOVY causes thyroid C-cell tumors, including MTC, in humans, as human relevance of semaglutide-induced rodent thyroid C-cell tumors has not been determined.

Cases of MTC in patients treated with liraglutide, another GLP-1 receptor agonist, have been reported in the postmarketing period; the data in these reports are insufficient to establish or exclude a causal relationship between MTC and GLP-1 receptor agonist use in humans.

WEGOVY is contraindicated in patients with a personal or family history of MTC or in patients with MEN 2. Counsel patients regarding the potential risk for MTC with the use of WEGOVY and inform them of symptoms of thyroid tumors (e.g. a mass in the neck, dysphagia, dyspnea, persistent hoarseness).

Routine monitoring of serum calcitonin or using thyroid ultrasound is of uncertain value for early detection of MTC in patients treated with WEGOVY. Such monitoring may increase the risk of unnecessary procedures, due to the low-test specificity for serum calcitonin and a high background incidence of thyroid disease. Significantly elevated serum calcitonin value may indicate MTC and patients with MTC usually have calcitonin values greater than 50 ng/L. If serum calcitonin is measured and found to be elevated, the patient should be further evaluated. Patients with thyroid nodules noted on physical examination or neck imaging should also be further evaluated.

5.9 Suicidal Behavior and Ideation

Suicidal behavior and ideation have been reported in clinical trials with other weight management products. Monitor patients treated with WEGOVY for the emergence or worsening of depression, suicidal thoughts or behavior, and/or any unusual changes in mood or behavior. Discontinue WEGOVY in patients who experience suicidal thoughts or behaviors. Avoid WEGOVY in patients with a history of suicidal attempts or active suicidal ideation.

16 How Supplied/storage and Handling

Product: 50090-5824

NDC: 50090-5824-0 .5 mL in a SYRINGE, PLASTIC / 4 in a CARTON

Warning: Risk of Thyroid C Cell Tumors
  • In rodents, semaglutide causes dose-dependent and treatment-duration-dependent thyroid C-cell tumors at clinically relevant exposures. It is unknown whether WEGOVY causes thyroid C-cell tumors, including medullary thyroid carcinoma (MTC), in humans as human relevance of semaglutide-induced rodent thyroid C-cell tumors has not been determined [see Warnings and Precautions ( 5.1 ) and Nonclinical Toxicology ( 13.1 )].
  • WEGOVY is contraindicated in patients with a personal or family history of MTC or in patients with Multiple Endocrine Neoplasia syndrome type 2 (MEN 2) [see Contraindications ( 4 )]. Counsel patients regarding the potential risk for MTC with the use of WEGOVY and inform them of symptoms of thyroid tumors (e.g. a mass in the neck, dysphagia, dyspnea, persistent hoarseness). Routine monitoring of serum calcitonin or using thyroid ultrasound is of uncertain value for early detection of MTC in patients treated with WEGOVY [see Contraindications ( 4 ) and Warnings and Precautions ( 5.1 )].
Wegovy (semaglutide) Injection, Solution
2.4 Recommendations Regarding Missed Dose
  • If one dose is missed and the next scheduled dose is more than 2 days away (48 hours), administer WEGOVY as soon as possible. If one dose is missed and the next scheduled dose is less than 2 days away (48 hours), do not administer the dose. Resume dosing on the regularly scheduled day of the week.
  • If 2 or more consecutive doses are missed, resume dosing as scheduled or, if needed, reinitiate WEGOVY and follow the dose escalation schedule, which may reduce the occurrence of gastrointestinal symptoms associated with reinitiation of treatment.
8.3 Females and Males of Reproductive Potential

Because of the potential for fetal harm, discontinue WEGOVY in patients at least 2 months before they plan to become pregnant to account for the long half-life of semaglutide [see Use in Specific Populations ( 8.1 )].

2.1 Important Monitoring and Administration Instructions
  • In patients with type 2 diabetes, monitor blood glucose prior to starting WEGOVY and during WEGOVY treatment [see Warnings and Precautions (5.4 )].
  • Prior to initiation of WEGOVY, train patients on proper injection technique. Refer to the accompanying Instructions for Use for complete administration instructions with illustrations.
  • Inspect WEGOVY visually prior to each injection. Only use if solution is clear, colorless, and contains no particles.
  • Administer WEGOVY in combination with a reduced-calorie diet and increased physical activity.
  • Administer WEGOVY once weekly, on the same day each week, at any time of day, with or without meals.
  • Inject WEGOVY subcutaneously in the abdomen, thigh, or upper arm. The time of day and the injection site can be changed without dose adjustment.
13.1 Carcinogenesis, Mutagenesis, Impairment of Fertility

In a 2-year carcinogenicity study in CD-1 mice, subcutaneous doses of 0.3, 1 and 3 mg/kg/day (2-, 8-, and 22-fold the maximum recommended human dose [MRHD] of 2.4 mg/week, based on AUC) were administered to the males, and 0.1, 0.3 and 1 mg/kg/day (0.6-, 2-, and 5-fold MRHD) were administered to the females. A statistically significant increase in thyroid C-cell adenomas and a numerical increase in C-cell carcinomas were observed in males and females at all dose levels (greater than or equal to 0.6 times human exposure).

In a 2-year carcinogenicity study in Sprague Dawley rats, subcutaneous doses of 0.0025, 0.01, 0.025 and 0.1 mg/kg/day were administered (below quantification, 0.2-, 0.4-, and 2-fold the exposure at the MRHD). A statistically significant increase in thyroid C-cell adenomas was observed in males and females at all dose levels, and a statistically significant increase in thyroid C-cell carcinomas was observed in males at greater than or equal to 0.01 mg/kg/day, at clinically relevant exposures.

Human relevance of thyroid C-cell tumors in rats is unknown and could not be determined by clinical studies or nonclinical studies [see Boxed Warning and Warnings and Precautions ( 5.1 )]. Semaglutide was not mutagenic or clastogenic in a standard battery of genotoxicity tests (bacterial mutagenicity [Ames] human lymphocyte chromosome aberration, rat bone marrow micronucleus).

In a combined fertility and embryo-fetal development study in rats, subcutaneous doses of 0.01, 0.03 and 0.09 mg/kg/day (0.04-, 0.1-, and 0.4-fold the MRHD) were administered to male and female rats. Males were dosed for 4 weeks prior to mating, and females were dosed for 2 weeks prior to mating and throughout organogenesis until Gestation Day 17. No effects were observed on male fertility. In females, an increase in estrus cycle length was observed at all dose levels, together with a small reduction in numbers of corpora lutea at greater than or equal to 0.03 mg/kg/day. These effects were likely an adaptive response secondary to the pharmacological effect of semaglutide on food consumption and body weight.

2.3 Recommended Dosage in Pediatric Patients Aged 12 Years and Older

Dosage Initiation and Escalation

  • Initiate WEGOVY according to the dosage escalation schedule in Table 2 to minimize gastrointestinal adverse reactions [see Adverse Reactions (6.1) ] .
  • If patients do not tolerate a dose during dosage escalation, consider delaying dosage escalation for 4 weeks.
  • The 0.25 mg, 0.5 mg, and 1 mg once-weekly dosages are initiation and escalation dosages and are not approved as maintenance dosages.

    Table 2. Recommended Dosage Regimen for Pediatric Patients Aged 12 Years and Older

Treatment

Weeks

Once weekly Subcutaneous Dosage

Initiation

1 through 4

0.25 mga

Escalation

5 through 8

0.5 mga

9 through 12

1 mga

13 through 16

1.7 mgb

Maintenance

17 and onward

2.4 mg

aNot approved as maintenance dosages

bSee Dosage Modifications for Adverse Reactions

Maintenance Dosage

  • The maintenance dosage of WEGOVY in pediatric patients aged 12 years and older is 2.4 mg once weekly.

Dosage Modifications for Adverse Reactions

  • If patients do not tolerate the 2.4 mg once weekly maintenance dosage, the maintenance dosage may be reduced to 1.7 mg once weekly.
  • Discontinue WEGOVY if the patient cannot tolerate the 1.7 mg once-weekly dosage.
5.7 Diabetic Retinopathy Complications in Patients With Type 2 Diabetes

In a trial of adult patients with type 2 diabetes and BMI greater than or equal to 27 kg/m2, diabetic retinopathy was reported by 4.0% of WEGOVY-treated patients and 2.7% placebo-treated patients.

In a 2-year trial with semaglutide 0.5 mg and 1 mg once-weekly injection in adult patients with type 2 diabetes and high cardiovascular risk, diabetic retinopathy complications (which was a 4-component adjudicated endpoint) occurred in patients treated with semaglutide injection (3.0%) compared to placebo (1.8%). The absolute risk increase for diabetic retinopathy complications was larger among patients with a history of diabetic retinopathy at baseline (semaglutide injection 8.2%, placebo 5.2%) than among patients without a known history of diabetic retinopathy (semaglutide injection 0.7%, placebo 0.4%).

Rapid improvement in glucose control has been associated with a temporary worsening of diabetic retinopathy. The effect of long-term glycemic control with semaglutide on diabetic retinopathy complications has not been studied. Patients with a history of diabetic retinopathy should be monitored for progression of diabetic retinopathy.

7.1 Concomitant Use With Insulin Or An Insulin Secretagogue (e.g., Sulfonylurea)

WEGOVY lowers blood glucose and can cause hypoglycemia. The risk of hypoglycemia is increased when WEGOVY is used in combination with insulin or insulin secretagogues (e.g., sulfonylureas). The addition of WEGOVY in patients treated with insulin has not been evaluated.

When initiating WEGOVY, consider reducing the dose of concomitantly administered insulin secretagogue (such as sulfonylureas) or insulin to reduce the risk of hypoglycemia [see Warnings and Precautions ( 5.4 ) and Adverse Reactions ( 6.1 )].

14.2 Weight Reduction and Long Term Maintenance Studies in Adults With Obesity Or Overweight

Overview of Clinical Studies in Adults

The safety and efficacy of WEGOVY for weight reduction and long-term maintenance of body weight in conjunction with a reduced calorie diet and increased physical activity were studied in three 68-week, randomized, double-blind, placebo-controlled trials; one 68-week, randomized, double-blind, placebo withdrawal trial; and one 68-week, randomized, double-blind trial that investigated 2 different doses of WEGOVY versus placebo. In Studies 2 (NCT#03548935), 3 (NCT#03552757), and 4 (NCT#03611582), WEGOVY or matching placebo was escalated to 2.4 mg subcutaneous weekly during a 16-week period followed by 52 weeks on maintenance dose. In Study 5 (NCT#03548987), WEGOVY was escalated during a 20-week run-in period, and patients who reached a WEGOVY 2.4 mg subcutaneous weekly dosage after the run-in period were randomized to either continued treatment with WEGOVY or placebo for 48 weeks. In Study 6 (NCT#03811574), WEGOVY was escalated to 1.7 mg or 2.4 mg subcutaneous weekly dosages or placebo over 12 to 16 weeks followed by 52 weeks on either maintenance dose.

In Studies 2, 3 and 5, all patients received instruction for a reduced calorie diet (approximately 500 kcal/day deficit) and increased physical activity counseling (recommended to a minimum of 150 min/week) that began with the first dose of study medication or placebo and continued throughout the trial. In Study 4, patients received an initial 8-week low-calorie diet (total energy intake 1,000 to 1,200 kcal/day) followed by 60 weeks of a reduced calorie diet(1200-1800 kcal/day) and increased physical activity (100 mins/week with gradual increase to 200 mins/week).

Study 2 was a 68-week trial that enrolled 1,961 patients with obesity (BMI greater than or equal to 30 kg/m2) or with overweight (BMI 27-29.9 kg/m2) and at least one weight-related comorbid condition, such as treated or untreated dyslipidemia or hypertension; patients with type 2 diabetes mellitus were excluded. Patients were randomized in a 2:1 ratio to either WEGOVY or placebo. At baseline, mean age was 46 years (range 18-86), 74% were female, 75% were White, 13% were Asian and 6% were Black or African American. A total of 12% were Hispanic or Latino ethnicity. Mean baseline body weight was 105.3 kg and mean BMI was 37.9 kg/m2.

Study 3 was a 68-week trial that enrolled 807 patients with type 2 diabetes and BMI greater than or equal to 27 kg/m2. Patients included in the trial had HbA1c 7-10% and were treated with either: diet and exercise alone or 1 to 3 oral anti‑diabetic drugs (metformin, sulfonylurea, glitazone or sodium-glucose co-transporter 2 inhibitor). Patients were randomized in a 1:1 ratio to receive either WEGOVY or placebo. At baseline, the mean age was 55 years (range 19-84), 51% were female, 62% were White, 26% were Asian and 8% were Black or African American. A total of 13% were Hispanic or Latino ethnicity. Mean baseline body weight was 99.8 kg and mean BMI was 35.7 kg/m2.

Study 4 was a 68-week trial that enrolled 611 patients with obesity (BMI greater than or equal to 30 kg/m2) or with overweight (BMI 27-29.9 kg/m2) and at least one weight-related comorbid condition such as treated or untreated dyslipidemia or hypertension; patients with type 2 diabetes mellitus were excluded. The patients were randomized in a 2:1 ratio to receive either WEGOVY or placebo. At baseline, the mean age was 46 years, 81% were female, 76% were White, 19% were Black or African American and 2% were Asian. A total of 20% were Hispanic or Latino ethnicity. Mean baseline body weight was 105.8 kg and mean BMI was 38.0 kg/m2.

Study 5 was a 68-week trial that enrolled 902 patients with obesity (BMI greater than or equal to 30 kg/m2) or with overweight (BMI 27-29.9 kg/m2) and at least one weight-related comorbid condition such as treated or untreated dyslipidemia or hypertension; patients with type 2 diabetes mellitus were excluded. Mean body weight at baseline for the 902 patients was 106.8 kg and mean BMI was 38.3 kg/m². All patients received WEGOVY during the run-in period of 20 weeks that included 16 weeks of dose escalation. Trial product was permanently discontinued before randomization in 99 of 902 patients (11%); the most common reason was adversereactions (n=48, 5.3%); 803 patients reached WEGOVY 2.4 mg and were then randomized in a 2:1 ratio to either continue on WEGOVY or receive placebo. Among the 803 randomized patients, the mean age was 46 years, 79% were female, 84% were White, 13% were Black or African American, and 2% Asian. A total of 8% were Hispanic or Latino ethnicity. Mean body weight at randomization (week 20) was 96.1 kg and mean BMI at randomization (week 20) was 34.4 kg/m2.

Study 6 was a 68-week trial that enrolled 401 East-Asian patients (Japan and South Korea) with BMI greater than or equal to 35 kg/m2 and at least one weight-related comorbid condition or with BMI 27-34.9 kg/m2 and at least two weight-related comorbid conditions. The patients were randomized 2:1:1 to receive WEGOVY 2.4 mg, WEGOVY 1.7 mg, or placebo. At baseline, the mean age was 51 years, 63% were male, and all patients were Asian. Mean baseline body weight was 87.5 kg and mean BMI was 31.9 kg/m2. At baseline, 24.7% of patients had type 2 diabetes mellitus.

Results

The proportions of patients who discontinued study drug in Studies 2, 3, and 4 was 16.0% for the WEGOVY-treated group and 19.1% for the placebo-treated group, and 6.8% of patients treated with WEGOVY and 3.2% of patients treated with placebo discontinued treatment due to an adverse reaction [see Adverse Reactions (6.1)]. In Study 5, the proportions of patients who discontinued study drug were 5.8% and 11.6% for WEGOVY and placebo, respectively. In Study 6, the proportions of patients who discontinued study drug were 7.9%, 6.5%, and 3.0% for WEGOVY 1.7 mg, WEGOVY 2.4 mg, and placebo, respectively.

For Studies 2, 3 and 4, the primary efficacy parameters were mean percent change in body weight and the percentages of patients achieving greater than or equal to 5% weight loss from baseline to week 68.

After 68 weeks, treatment with WEGOVY resulted in a statistically significant reduction in body weight compared with placebo. Greater proportions of patients treated with WEGOVY achieved 5%, 10% and 15% weight loss than those treated with placebo as shown in Table 7.

  •  
    Table 7. Changes in Body Weight at Week 68 in Studies 2, 3, and 4
Study 2 (Obesity or overweight with comorbidity) Study 3 (Type 2 diabetes with obesity or overweight) Study 4 (Obesity or overweight with comorbidity undergoing intensive lifestyle therapy)
Intention-to-Treat1 PLACEBO

N = 655
WEGOVY

N = 1306
PLACEBO

N = 403
WEGOVY

N = 404
PLACEBO

N = 204
WEGOVY

N = 407

Body Weight

  •  
    Baseline mean (kg)

105.2

105.4

100.5

99.9

103.7

106.9

  •  
    % change from baseline (LSMean)

-2.4

-14.9

-3.4

-9.6

-5.7

-16.0

  •  
    % difference from placebo (LSMean) (95% CI)

-12.4

(‑13.3; ‑11.6)*

-6.2

(-7.3; -5.2)*

-10.3

(-11.8; -8.7)*

% of Patients losing greater than or equal to 5% body weight

31.1

83.5

30.2

67.4

47.8

84.8

  •  
    % difference from placebo (LSMean) (95% CI)

52.4

(48.1; 56.7)*

37.2 (30.7; 43.8)*

37.0 (28.9; 45.2)*

% of Patients losing greater than or equal to 10% body weight

12.0

66.1

10.2

44.5

27.1

73.0

  •  
    % difference from placebo (LSMean) (95% CI)

54.1

(50.4; 57.9)*

34.3 (28.4; 40.2)*

45.9 (38.0; 53.7)*

% of Patients losing greater than or equal to 15% body weight

4.8

47.9

4.3

25.1

13.2

53.4

  •  
    % difference from placebo (LSMean) (95% CI)

43.1

(39.8; 46.3)*

20.7

(15.7; 25.8)*

40.2 (33.1; 47.3)*

LSMean = least squares mean; CI = confidence interval

1The intent-to-treat population includes all randomized patients. In Study 2, at week 68, the body weight was missing for 7.2% and 11.9% of patients randomized to WEGOVY and placebo, respectively. In Study 3, at week 68, the body weight was missing for 4.0% and 6.7% of patients randomized to WEGOVY and placebo, respectively. In Study 4, at week 68, the body weight was missing for 8.4% and 7.4% of patients randomized to WEGOVY and placebo, respectively. Missing data were imputed from retrieved subjects of the same randomized treatment arm (RD-MI).

* p<0.0001 (unadjusted 2-sided) for superiority.

For Study 5, the primary efficacy parameter was mean percent change in body weight from randomization (week 20) to week 68.

From randomization (week 20) to week 68, treatment with WEGOVY resulted in a statistically significant reduction in body weight compared with placebo (Table 8). Because patients who discontinued WEGOVY during titration and those who did not reach the 2.4 mg weekly dose were not eligible for the randomized treatment period, the results may not reflect the experience of patients in the general population who are first starting WEGOVY.

  •  
    Table 8. Changes in Body Weight at Week 68 in Study 5 (Obesity or overweight with comorbidity after 20-week run-in)

WEGOVY

N = 8031

Body Weight (only randomized patients)

  •  
    Mean at week 0 (kg)

107.2

PLACEBO

N = 268

WEGOVY

N = 535

Body Weight

  •  
    Mean at week 20 (SD) (kg)

95.4 (22.7)

96.5 (22.5)

  •  
    % change from week 20 at week 68 (LSMean)

6.9

-7.9

  •  
    % difference from placebo (LSMean) (95% CI)

-14.8 (-16.0; -13.5)*

LSMean = least squares mean; CI = confidence interval

1902 patients were enrolled at week 0 with a mean baseline body weight of 106.8 kg. The intent-to-treat population includes all randomized patients. At week 68, the body weight was missing for 2.8% and 6.7% of patients randomized to WEGOVY and placebo, respectively. Missing data were imputed from retrieved subjects of the same randomized treatment arm (RD-MI).

*p<0.001 (unadjusted 2-sided) for superiority, controlled for multiplicity.

For Study 6, the primary efficacy parameters were mean percent change in body weight and the percentage of patients achieving greater than or equal to 5% weight loss from baseline to week 68.

After 68 weeks, treatment with WEGOVY 1.7 mg and 2.4 mg resulted in a statistically significant reduction in body weight compared with placebo. Greater proportions of patients treated with WEGOVY achieved 5%, 10%, and 15% weight loss than those treated with placebo as shown in Table 9.

Table 9. Changes in Body Weight at Week 68 in Study 6 in East-Asian Patients (WEGOVY 1.7 mg)

Study 6 (BMI ≥35 kg/m2 with at least one comorbidity or

BMI 27-34.9 kg/m2 with at least two comorbidities)

Intention-to-treat1

PLACEBO

N = 101

WEGOVY 1.7 mg

N = 101

WEGOVY 2.4 mg

N = 199

Body Weight

  •  
    Baseline mean (kg)

90.2

86.1

86.9

  •  
    % change from baseline (LSMean)

-2.1

-9.6

-13.2

  •  
    % difference from placebo
  •  
    (LSMean) (95% CI)

-7.5

(-9.6; -5.4)*

-11.1

(-12.9; -9.2)*

% of Patients losing greater than or equal to 5% body weight

19.4

72.8

84.0

  •  
    % difference from placebo (LSMean) (95% CI)

53.3

(41.0; 65.6)*

64.5

(54.8; 74.3)*

% of Patients losing greater than or equal to 10% body weight

4.5

39.1

59.9

  •  
    % difference from placebo (LSMean) (95% CI)

34.5

(23.9; 45.1)*

55.4

(47.3; 63.6)*

% of Patients losing greater than or equal to 15% body weight

2.6

20.8

38.2

  •  
    % difference from placebo (LSMean) (95% CI)

18.2

(9.8; 26.7)*

35.6

(27.9; 43.3)*

LSMean = least squares mean; CI = confidence interval

1The intent-to-treat population includes all randomized patients. At baseline, 24.7% of patients had type 2 diabetes mellitus. At week 68, the body weight was missing for 3%, 3%, and 1% of patients randomized to WEGOVY 1.7 mg, WEGOVY 2.4 mg, and placebo, respectively. Missing data were imputed from retrieved subjects of the same randomized treatment arm (RD-MI).

*p<0.0001 (unadjusted 2-sided) for superiority.

A reduction in body weight was observed with WEGOVY irrespective of age, sex, race, ethnicity, BMI at baseline, body weight (kg) at baseline, and level of renal function impairment.

The cumulative frequency distributions of change in body weight are shown in Figure 5 and Figure 6 for Studies 2 and 3. One way to interpret this figure is to select a change in body weight of interest on the horizontal axis and note the corresponding proportions of patients (vertical axis) in each treatment group who achieved at least that degree of weight loss. For example, note that the vertical line arising from ‑10% in Study 2 intersects the WEGOVY and placebo curves at approximately 66%, and 12%, respectively, which correspond to the values shown in Table 7.

  •  
    Figure 5. Change in body weight (%) from baseline to week 68 (Study 2)
  •  

Observed data from in-trial period including imputed data for missing observations (RD-MI).

  •  
    Figure 6. Change in body weight (%) from baseline to week 68 (Study 3)

Observed data from in-trial period including imputed data for missing observations (RD-MI).

The time courses of weight loss with WEGOVY and placebo from baseline through week 68 are depicted in Figure 7, Figure 8 and Figure 9.

  •  
    Figure 7. Change from baseline (%) in body weight (Study 2 on left and Study 3 on right)

Observed values for patients completing each scheduled visit, and estimates with multiple imputations from retrieved dropouts (RD-MI)

  •  
    Figure 8 Change from baseline (%) in body weight (Study 4 on left and Study 5a on right)

Observed values for patients completing each scheduled visit, and estimates with multiple imputations from retrieved dropouts (RD-MI)

aChange from week 0 was not a primary endpoint in study 5. Dotted line indicates time of randomization. Randomized patients (shown) do not include 99 patients that discontinued during the 20-week run-in period.

  •  
    Figure 9. Change in body weight (%) from baseline to week 68 (Study 6 in East-Asian Patients)

Observed values for patients completing each scheduled visit and estimates with multiple imputations from retrieved dropouts (RD-MI). At baseline, 24.7% of patients had type 2 diabetes mellitus.

Effect of WEGOVY on Anthropometry and Cardiometabolic Parameters in Adults

Changes in waist circumference and cardiometabolic parameters with WEGOVY are shown in Table 10 for Studies 2, 3, and 4; in Table 11 for Study 5; and in Table 12 for Study 6.

  •  
    Table 10. Changes in Anthropometry and Cardiometabolic Parameters at Week 68 in Studies 2, 3, and 4
Study 2 (Obesity or overweight with comorbidity) Study 3 (Type 2 diabetes with obesity or overweight) Study 4 (Obesity or overweight with comorbidity undergoing intensive lifestyle therapy)
Intention-to-Treat PLACEBO

N = 655
WEGOVY

N = 1306
PLACEBO

N = 403
WEGOVY

N = 404
PLACEBO

N = 204
WEGOVY

N = 407

Waist Circumference (cm)

  •  
    Baseline
  •  
    Changes from baseline (LSMean1)
  •  
    Difference from placebo (LSMean)

114.8

-4.1

114.6

-13.5

-9.4

115.5

-4.5

114.5

-9.4

-4.9

111.8

-6.3

113.6

-14.6

-8.3

Systolic Blood Pressure (mmHg)

  •  
    Baseline
  •  
    Changes from baseline (LSMean1)
  •  
    Difference from placebo (LSMean)

127

-1.1

126

-6.2

-5.1

130

-0.5

130

-3.9

-3.4

124

-1.6

124

-5.6

-3.9

Diastolic Blood Pressure (mmHg)2

  •  
    Baseline
  •  
    Changes from baseline (LSMean1)
  •  
    Difference from placebo (LSMean)

80

-0.4

80

-2.8

-2.4

80

-0.9

80

-1.6

-0.7

81

-0.8

80

-3.0

-2.2

Heart Rate2,3

  •  
    Baseline
  •  
    Changes from baseline (LSMean)
  •  
    Difference from placebo (LSMean)

72

-0.7

72

3.5

4.3

76

-0.2

75

2.5

2.7

71

2.1

71

3.1

1.0

HbA1c (%)2

  •  
    Baseline
  •  
    Changes from baseline (LSMean1)
  •  
    Difference from placebo (LSMean)

5.7

-0.2

5.7

-0.4

-0.3

8.1

-0.4

8.1

-1.6

-1.2

5.8

-0.3

5.7

-0.5

-0.2

Total Cholesterol (mg/dL)2,4

  •  
    Baseline
  •  
    Percent Change from baseline (LSMean1)
  •  
    Relative difference from placebo (LSMean)

192.1

0.1

189.6

-3.3

-3.3

170.8

-0.5

170.8

-1.4

-0.9

188.7

2.1

185.4

-3.9

-5.8

LDL Cholesterol (mg/dL)2,4

  •  
    Baseline
  •  
    Percent Change from baseline (LSMean1)
  •  
    Relative difference from placebo (LSMean)

112.5

1.3

110.3

-2.5

-3.8

90.1

0.1

90.1

0.5

0.4

111.8

2.6

107.7

-4.7

-7.1

HDL (mg/dL)2,4

  •  
    Baseline
  •  
    Percent Change from baseline (LSMean1)
  •  
    Relative difference from placebo (LSMean)

49.5

1.4

49.4

5.2

3.8

43.8

4.1

44.7

6.9

2.7

50.9

5.0

51.6

6.5

1.5

Triglycerides (mg/dL)2,4

  •  
    Baseline
  •  
    Percent Change from baseline (LSMean1)
  •  
    Relative difference from placebo (LSMean)

127.9

-7.3

126.2

-21.9

-15.8

159.5

-9.4

154.9

-22.0

-13.9

110.9

-6.5

107.9

-22.5

-17.0

Missing data were imputed from retrieved subjects of the same randomized treatment arm (RD-MI)

1Model based estimates based on an analysis of covariance model including treatment (and stratification factors for Study 3 only) as a factor and baseline value as a covariate

2Not included in the pre-specified hierarchical testing (except HbA1c for Study 3)

3Model based estimates based on a mixed model for repeated measures including treatment (and stratification factors for Study 3 only) as a factor and baseline values as a covariate

4Baseline value is the geometric mean

  •  
    Table 11. Mean Changes in Anthropometry and Cardiometabolic Parameters in Study 5 (Obesity or overweight with comorbidity after 20-week run-in)1

PLACEBO

N = 268

WEGOVY

N = 535

Randomization

(week 20)

Change from Randomization

(week 20) to week 68

(LSMean1)

Randomization

(week 20)

Change from Randomization (week 20) to week 68

(LSMean1)

Difference from placebo

(LSMean)

Waist Circumference (cm)

104.7

3.3

105.5

-6.4

-9.7

Systolic Blood Pressure (mmHg)

121

4.4

121

0.5

-3.9

Diastolic Blood Pressure (mmHg)2

78

0.9

78

0.3

-0.5

Heart Rate2,3

76

-5.3

76

-2.0

3.3

HbA1c (%)2

5.4

0.1

5.4

-0.1

-0.2

Randomization

(week 20)

% Change from Randomization

(week 20)

(LSMean1)

Randomization

(week 20)

% Change from Randomization

(week 20)

(LSMean1)

Relative difference from placebo (LSMean)

Total Cholesterol (mg/dL)2,4

175.1

11.4

175.9

4.9

-5.8

LDL Cholesterol (mg/dL)2,4

109.1

7.6

108.7

1.1

-6.1

HDL Cholesterol (mg/dL)2,4

43.6

17.8

44.5

18.2

0.3

Triglycerides (mg/dL)2,4

95.3

14.8

98.1

-5.6

-17.8

Missing data were imputed from retrieved subjects of the same randomized treatment arm (RD-MI)

1Model based estimates based on an analysis of covariance model including treatment as a factor and baseline value as a covariate

2Not included in the pre-specified hierarchical testing

3Model based estimates based on a mixed model for repeated measures including treatment as a factor and baseline values as a covariate

4Baseline value is the geometric mean

Table 12. Mean Changes in Anthropometry and Cardiometabolic Parameters at Week 68 in Study 6 in East-Asian Patients (WEGOVY 1.7 mg)

Study 6 (BMI ≥35 kg/m2 with at least one comorbidity or BMI 27-34.9 kg/m2 with at least two comorbidities)

Intention-to-treat

PLACEBO

N = 101

WEGOVY 1.7 mg

N = 101

WEGOVY 2.4 mg

N = 199

Waist circumference (cm)

Baseline

Change from baseline (LSMean1)

Difference from placebo (LSMean)

103.8

-1.8

101.4

-7.7

-5.9

103.8

-11.0

-9.3

Systolic blood pressure (mmHg)2

Baseline

Change from baseline (LSMean1)

Difference from placebo (LSMean)

133

-5.3

135

-10.8

-5.4

133

-10.8

-5.5

Diastolic blood pressure (mmHg)2

Baseline

Change from baseline (LSMean1)

Difference from placebo (LSMean)

86

-2.2

85

-4.6

-2.4

83

-5.3

-3.1

Heart Rate2, 3

Baseline

Change from baseline (LSMean)

Difference from placebo (LSMean)

73

2.4

73

4.4

2.0

73

6.3

3.9

HbA1c (%)2

Baseline

Change from baseline (LSMean1)

Difference from placebo (LSMean)

6.4

0.0

6.4

-0.9

-0.9

6.4

-0.9

-0.9

Total Cholesterol (mg/dL)2,4

Baseline

Percent change from baseline (LSMean1)

Relative difference from placebo (LSMean)

203.1

0.8

203.3

-6.6

-7.3

197.2

-8.7

-9.4

LDL Cholesterol (mg/dL)2,4

Baseline

Percent change from baseline (LSMean1)

Relative difference from placebo (LSMean)

123.3

-3.8

120.1

-10.1

-6.5

116.5

-14.6

-11.2

HDL Cholesterol (mg/dL)2,4

Baseline

Percent change from baseline (LSMean1)

Relative difference from placebo (LSMean)

48.7

5.9

50.2

6.7

0.7

50.8

9.2

3.1

Triglyceride (mg/dL)2,4

Baseline

Percent change from baseline (LSMean1)

Relative difference from placebo (LSMean)

134.2

5.5

138.8

-19.5

-23.7

127.1

-21.2

-25.3

Missing data were imputed from retrieved subjects of the same randomized treatment arm (RD-MI). At baseline, 24.7% of patients had type 2 diabetes mellitus.

1Model based estimates based on an analysis of covariance model including treatment and type 2 diabetes status as factors and baseline value as a covariate

2Not included in the pre-specified hierarchical testing

3Model based estimates based on a mixed model for repeated measures including treatment and type 2 diabetes status as factors and baseline values as a covariate

4Baseline value is the geometric mean

14.3 Weight Reduction and Long Term Maintenance Study in Pediatric Patients Aged 12 Years and Older With Obesity

Overview of Clinical Trial in Pediatric Patients

WEGOVY was evaluated in a 68-week, double-blind, randomized, parallel group, placebo-controlled, multi-center trial in 201 pubertal pediatric patients aged 12 years and older with BMI corresponding to ≥95th percentile standardized for age and sex (Study 7) (NCT#04102189). After a 12-week lifestyle run-in period (including dietary recommendations and physical activity counseling), patients were randomized 2:1 to WEGOVY once weekly or placebo once weekly. WEGOVY or matching placebo was escalated to 2.4 mg or maximally tolerated dose during a 16-week period followed by 52 weeks on maintenance dose. Of WEGOVY-treated patients who completed the trial, 86.7% were on the 2.4 mg dose at the end of the trial; for 5% of patients, 1.7 mg was the maximum tolerated dose.

The mean age was 15 years; 38% of patients were male; 79% were White, 8% were Black or African American, 2% were Asian, and 11% were of other or unknown race; and 11% were of Hispanic or Latino ethnicity. The mean baseline body weight was 108 kg, and mean BMI was 37 kg/m2.

Results

The proportions of patients who discontinued study drug were 10% for the WEGOVY-treated group and 10% for the placebo-treated group.

The primary endpoint was percent change in BMI from baseline to week 68. After 68 weeks, treatment with WEGOVY resulted in a statistically significant reduction in percent BMI compared with placebo. Greater proportions of patients treated with WEGOVY achieved ≥5% reduction in baseline BMI than those treated with placebo as shown in Table 13.

Table 13. Changes in Weight and BMI at Week 68 in Pediatric Patients with Obesity Aged 12 Years and Older in Study 7

Intention-to-Treata PLACEBO

N = 67
WEGOVY

N = 134

BMI

  •  
    Baseline mean (kg/m2)

35.7

37.7

  •  
    % change from baseline in BMI (LSMean)

0.6

-16.1

  •  
    % difference from placebo
  •  
    (LSMean) (95% CI)

-16.7

(-20.3; -13.2)*

% of Patients with greater than or equal to 5% reduction in baseline BMIb

19.7

77.1

  •  
    % difference from placebo (LSMean)

57.4

% of Patients with greater than or equal to 10% reduction in baseline BMIb

7.7

65.1

  •  
    % difference from placebo (LSMean)

57.5

% of Patients with greater than or equal to 15% reduction in baseline BMIb

4.0

57.8

  •  
    % difference from placebo (LSMean)

53.9

Body Weightb

  •  
    Baseline mean (kg)

102.6

109.9

  •  
    % change from baseline (LSMean)a

2.7

-14.7

  •  
    % difference from placebo (LSMean)

-17.4

LSMean = least squares mean; CI = confidence interval

aThe intention-to-treat population includes all randomized patients. Missing data were imputed using available data according to value and timing of last available observation on treatment and endpoint’s baseline value from retrieved subjects (RD-MI). At week 68, the BMI was missing for 2.2% and 7.5% of patients randomized to WEGOVY and placebo, respectively.

bParameters not included in the pre-specified hierarchical testing.

* p<0.0001 (unadjusted 2-sided) for superiority.

The time course of change in BMI with WEGOVY and placebo from baseline through week 68 is depicted in Figure 10. The cumulative frequency distribution of change in BMI is shown in Figure 11.

Figure 10. Change from Baseline (%) in BMI in Pediatric Patients with Obesity Aged 12 Years and Older in Study 7

Observed values for patients completing each scheduled visit, and estimates with multiple imputations from retrieved dropouts (RD-MI)

Figure 11. Change in BMI (%) from Baseline to Week 68 in Pediatric Patients with Obesity Aged 12 Years and Older in Study 7

Observed data from in-trial period including imputed data for missing observations (RD-MI)

Effect of WEGOVY on Anthropometry and Cardiometabolic Parameters in Pediatric Patients with Obesity Aged 12 Years and Older

Changes in waist circumference and cardiometabolic parameters with WEGOVY are shown in Table 14 for the study in pediatric patients aged 12 years and older.

Table 14. Mean Changes in Anthropometry and Cardiometabolic Parameters in Pediatric Patients with Obesity Aged 12 Years and Older in Study 71

PLACEBO

N = 67

WEGOVY

N = 134

Baseline

Change from Baseline

(LSMean)

Baseline

Change from Baseline

(LSMean)

Difference from placebo

(LSMean)

Waist Circumference (cm)2

107.3

-0.6

111.9

-12.7

-12.1

Systolic Blood Pressure (mmHg)2

120

-0.8

120

-2.7

-1.9

Diastolic Blood Pressure (mmHg)2

73

-0.8

73

-1.4

-0.6

Heart Rate3

76

-2.3

79

1.2

3.5

HbA1c (%)2,4

5.4

-0.1

5.5

-0.4

-0.2

Baseline

% Change from Baseline

(LSMean)

Baseline

% Change from Baseline

(LSMean)

Relative difference from placebo (LSMean)

Total Cholesterol (mg/dL)2,5

160.1

-1.3

159.4

-8.3

-7.1

LDL Cholesterol (mg/dL)2,5

91.7

-3.6

89.8

-9.9

-6.6

HDL Cholesterol (mg/dL)2,5

43.3

3.2

43.7

8.0

4.7

Triglycerides (mg/dL)2,5

108.0

2.6

111.3

-28.4

-30.2

1Parameters listed in the table were not included in the pre-specified hierarchical testing.

2Missing data were imputed using available data according to value and timing of last available observation on treatment and endpoint’s baseline value from retrieved subjects (RD-MI). Model based estimates based on an analysis of covariance model including treatment and stratification groups (gender, Tanner stage group) and the interaction between stratification groups as factors and baseline value as a covariate.

3Model based estimates based on a mixed model for repeated measures including treatment as a factor and baseline value as a covariate all nested within visit.

4For patients without type 2 diabetes at randomization (N=129 for WEGOVY-treated patients and N=64 for placebo-treated patients).

5Baseline value is the geometric mean.

14.1 Cardiovascular Outcomes Trial in Adult Patients With Cardiovascular Disease and Either Obesity Or Overweight

Overview of Clinical Trial

Study 1 (NCT03574597) was a multi-national, multi-center, placebo-controlled, double-blind trial to determine the effect of WEGOVY relative to placebo on major adverse cardiovascular events (MACE) when added to current standard of care, which included management of CV risk factors and individualized healthy lifestyle counseling (including diet and physical activity). The primary endpoint, MACE, was the time to first occurrence of a three-part composite outcome which included cardiovascular death, non-fatal myocardial infarction, and non-fatal stroke.

All patients were 45 years or older, with an initial BMI of 27 kg/m2 or greater and established cardiovascular disease (prior myocardial infarction, prior stroke, or peripheral arterial disease). Patients with a history of type 1 or type 2 diabetes were excluded. Concomitant CV therapies could be adjusted, at the discretion of the investigator, to ensure participants were treated according to the current standard of care for patients with established cardiovascular disease.

In this trial, 17,604 patients were randomized to WEGOVY or placebo. At baseline, the mean age was 62 years (range 45-93), 72% were male, 84% were White, 4% were Black or African American, and 8% were Asian, and 10% were Hispanic or Latino. Mean baseline body weight was 97 kg and mean BMI was 33 kg/m2. At baseline, prior myocardial infarction was reported in 76% of randomized individuals, prior stroke in 23%, and peripheral arterial disease in 9%. Heart failure was reported in 24% of patients. At baseline, cardiovascular disease and risk factors were managed with lipid-lowering therapy (90%), platelet aggregation inhibitors (86%), angiotensin converting enzyme inhibitors or angiotensin II receptor blockers (74%), and beta blockers (70%). A total of 10% had moderate renal impairment (eGFR 30 to <60 mL/min/1.73m2) and 0.4% had severe renal impairment eGFR <30 mL/min/1.73m2.

Results

In total, 96.9% of patients completed the trial, and vital status was available for 99.4% of patients. The median follow-up duration was 41.8 months. A total of 31% of WEGOVY-treated patients and 27% of placebo-treated patients permanently discontinued study drug.

For the primary analysis, a Cox proportional hazards model was used to test for superiority. Type 1 error was controlled across multiple tests.

WEGOVY significantly reduced the risk for first occurrence of MACE. The estimated hazard ratio (95% CI) was 0.80 (0.72, 0.90) (see Figure 4 and Table 5).

Figure 4. Cumulative Incidence Function: Time to First Occurrence of MACE in Study 1

Data from the in-trial period. Cumulative incidence estimates are based on time from randomization to first EAC-confirmed cardiovascular death, non-fatal myocardial infarction, or non-fatal stroke with non-CV death modeled as competing risk using the Aalen-Johansen estimator. Patients without events of interest were censored at the end of their in-trial observation period. Time from randomization to first cardiovascular death, non-fatal myocardial infarction, or non-fatal stroke was analyzed using a Cox proportional hazards model with treatment as categorical fixed factor. The hazard ratio and confidence interval are adjusted for the group sequential design using the likelihood ratio ordering.

HR: Hazard ratio; CI: confidence interval; CV: cardiovascular

The treatment effect for the primary composite endpoint, its components, and other relevant endpoints in Study 1 are shown in Table 5.

Table 5. Treatment Effect for MACE and Other Events in Study 1

Patients with events

n (%)

Placebo

N = 8,801

WEGOVY

N = 8,803

Hazard Ratio

(95% CI)

Primary composite endpoint

Composite of cardiovascular death, non-fatal myocardial infarction, or non-fatal stroke1

701 (8.0%)

569 (6.5%)

0.80 (0.72; 0.90)*2

Key secondary endpoints

Cardiovascular death3

262 (3.0%)

223 (2.5%)

0.85 (0.71; 1.01)

All-cause death4

458 (5.2%)

375 (4.3%)

0.81 (0.71; 0.93)

Other secondary endpoints

Fatal or non-fatal myocardial infarction5

334 (3.8%)

243 (2.8%)

0.72 (0.61; 0.85)

Fatal or non-fatal stroke5

178 (2.0%)

160 (1.8%)

0.89 (0.72; 1.11)

*p-value < 0.001, one-sided p-value

1Primary endpoint

2Adjusted for group sequential design using the likelihood ratio ordering.

3Cardiovascular death was the first confirmatory secondary endpoint in the testing hierarchy and superiority was not confirmed.

4Confirmatory secondary endpoint. Not statistically significant based on the prespecified testing hierarchy.

5Not included in the prespecified testing hierarchy for controlling type-I error.

NOTE: Time to first event was analyzed in a Cox proportional hazards model with treatment as factor. For patients with multiple events, only the first event contributed to the composite endpoint.

Table 6. Mean Changes in Anthropometry and Cardiometabolic Parameters at Week 104 in Study 11,2

PLACEBO

WEGOVY

Baseline

Change from Baseline

(LSMean)

Baseline

Change from Baseline

(LSMean)

Difference from Placebo

(LSMean)

Body Weight (kg)

96.8

-0.93

96.5

-9.43

-8.53

Waist Circumference (cm)

111.4

-1.0

111.3

-7.6

-6.5

Systolic Blood Pressure (mmHg)

131

-0.5

131

-3.8

-3.3

Diastolic Blood Pressure (mmHg)

79

-0.5

79

-1.0

-0.5

Heart Rate

69

0.7

69

3.8

3.1

HbA1c (%)

5.8

0.0

5.8

-0.3

-0.3

Baseline

% Change from Baseline

(LSMean)

Baseline

% Change from Baseline

(LSMean)

Relative difference from placebo (%)

(LSMean)

Total Cholesterol (mg/dL)4

156.0

-1.9

155.5

-4.6

-2.8

LDL Cholesterol (mg/dL)4

78.5

-3.1

78.5

-5.3

-2.2

HDL Cholesterol (mg/dL)4

44.2

0.6

44.1

4.9

4.2

Triglycerides (mg/dL)4

139.5

-3.2

138.6

-18.3

-15.6

1Parameters listed in the table were not included in the pre-specified hierarchical testing.

2Responses were analysed using an ANCOVA with treatment as fixed factor and baseline value as covariate. Before analysis, missing data were multiple imputed. The imputation model (linear regression) was done separately for each treatment arm and included baseline value as a covariate and was fitted to all subjects with a measurement regardless of treatment status at week 104.

3For body weight the ‘change from baseline’ and ‘difference to placebo’ the unit is percentage change from baseline.

4Baseline value is the geometric mean.

The reduction of MACE with WEGOVY was not impacted by age, sex, race, ethnicity, BMI at baseline, or level of renal function impairment.


Structured Label Content

Section 43683-2 (43683-2)

Indications and Usage (1)………………………………….03/2024

Dosing and Administration (2.2)…………………………. 07/2023

Warnings and Precautions, Hypoglycemia (5.4)…………..03/2024

10 Overdosage (10 OVERDOSAGE)

Overdoses have been reported with other GLP-1 receptor agonists. Effects have included severe nausea, severe vomiting, and severe hypoglycemia. In the event of overdose, appropriate supportive treatment should be initiated according to the patient’s clinical signs and symptoms. In the event of an overdose of WEGOVY, consider contacting the Poison Help line (1-800-222-1222) or a medical toxicologist for additional overdosage management recommendations. A prolonged period of observation and treatment for these symptoms may be necessary, taking into account the long half-life of WEGOVY of approximately 1 week.

8.1 Pregnancy

Pregnancy Exposure Registry

There will be a pregnancy exposure registry that monitors pregnancy outcomes in women exposed to semaglutide during pregnancy. Pregnant women exposed to WEGOVY and healthcare providers are encouraged to contact Novo Nordisk at 1-877-390-2760 or www.wegovypregnancyregistry.com.

Risk Summary

Based on animal reproduction studies, there may be potential risks to the fetus from exposure to semaglutide during pregnancy. Additionally, weight loss offers no benefit to a pregnant patient and may cause fetal harm. When a pregnancy is recognized, advise the pregnant patient of the risk to a fetus, and discontinue WEGOVY (see Clinical Considerations). Available pharmacovigilance data and data from clinical trials with WEGOVY use in pregnant patients are insufficient to establish a drug-associated risk of major birth defects, miscarriage or adverse maternal or fetal outcomes.

In pregnant rats administered semaglutide during organogenesis, embryofetal mortality, structural abnormalities and alterations to growth occurred at maternal exposures below the maximum recommended human dose (MRHD) based on AUC. In rabbits and cynomolgus monkeys administered semaglutide during organogenesis, early pregnancy losses and structural abnormalities were observed at below the MRHD (rabbit) and greater than or equal to 2-fold the MRHD (monkey). These findings coincided with a marked maternal body weight loss in both animal species (see Data).

 

The estimated background risk of major birth defects and miscarriage for the indicated population are unknown. In the U.S. general population, the estimated background risk of major birth defects and miscarriage in clinically recognized pregnancies is 2-4% and 15-20%, respectively.

Clinical Considerations

Disease-associated maternal and/or embryo/fetal risk

Appropriate weight gain based on pre-pregnancy weight is currently recommended for all pregnant patients, including those who already have overweight or obesity, because of the obligatory weight gain that occurs in maternal tissues during pregnancy.

Data

Animal Data

In a combined fertility and embryofetal development study in rats, subcutaneous doses of 0.01, 0.03 and 0.09 mg/kg/day (0.04-, 0.1-, and 0.4-fold the MRHD) were administered to males for 4 weeks prior to and throughout mating and to females for 2 weeks prior to mating, and throughout organogenesis to Gestation Day 17. In parental animals, pharmacologically mediated reductions in body weight gain and food consumption were observed at all dose levels. In the offspring, reduced growth and fetuses with visceral (heart blood vessels) and skeletal (cranial bones, vertebra, ribs) abnormalities were observed at the human exposure.

In an embryofetal development study in pregnant rabbits, subcutaneous doses of 0.0010, 0.0025 or 0.0075 mg/kg/day (0.01-, 0.1-, and 0.9-fold the MRHD) were administered throughout organogenesis from Gestation Day 6 to 19. Pharmacologically mediated reductions in maternal body weight gain and food consumption were observed at all dose levels. Early pregnancy losses and increased incidences of minor visceral (kidney, liver) and skeletal (sternebra) fetal abnormalities were observed at greater than or equal to 0.0025 mg/kg/day, at clinically relevant exposures.

In an embryofetal development study in pregnant cynomolgus monkeys, subcutaneous doses of 0.015, 0.075, and 0.15 mg/kg twice weekly (0.4-, 2-, and 6-fold the MRHD) were administered throughout organogenesis, from Gestation Day 16 to 50. Pharmacologically mediated, marked initial maternal body weight loss and reductions in body weight gain and food consumption coincided with the occurrence of sporadic abnormalities (vertebra, sternebra, ribs) at greater than or equal to 0.075 mg/kg twice weekly (greater than or equal to 2 times human exposure).

In a pre- and postnatal development study in pregnant cynomolgus monkeys, subcutaneous doses of 0.015, 0.075, and 0.15 mg/kg twice weekly (0.2-, 1-, and 3-fold the MRHD) were administered from Gestation Day 16 to 140. Pharmacologically mediated marked initial maternal body weight loss and reductions in body weight gain and food consumption coincided with an increase in early pregnancy losses and led to delivery of slightly smaller offspring at greater than or equal to 0.075 mg/kg twice weekly (greater than or equal to 1-time human exposure).

8.2 Lactation

Risk Summary

There are no data on the presence of semaglutide or its metabolites in human milk, the effects on the breastfed infant, or the effects on milk production. Semaglutide was present in the milk of lactating rats. When a drug is present in animal milk, it is likely that the drug will be present in human milk (see Data). The developmental and health benefits of breastfeeding should be considered along with the mother’s clinical need for WEGOVY and any potential adverse effects on the breastfed infant from WEGOVY or from the underlying maternal condition.

Data

In lactating rats, semaglutide was detected in milk at levels 3-12-fold lower than in maternal plasma.

11 Description (11 DESCRIPTION)

WEGOVY (semaglutide) injection, for subcutaneous use, contains semaglutide, a human GLP-1 receptor agonist (or GLP-1 analog). The peptide backbone is produced by yeast fermentation. The main protraction mechanism of semaglutide is albumin binding, facilitated by modification of position 26 lysine with a hydrophilic spacer and a C18 fatty di-acid. Furthermore, semaglutide is modified in position 8 to provide stabilization against degradation by the enzyme dipeptidyl-peptidase 4 (DPP-4). A minor modification was made in position 34 to ensure the attachment of only one fatty di-acid. The molecular formula is C187H291N45O59 and the molecular weight is 4113.58 g/mol.

  •  
    Figure 1. Structural Formula of semaglutide

WEGOVY is a sterile, aqueous, clear, colorless solution. Each 0.5 mL single-dose pen contains a solution of WEGOVY containing 0.25 mg, 0.5 mg or 1 mg of semaglutide; and each 0.75 mL single-dose pen contains a solution of WEGOVY containing 1.7 or 2.4 mg of semaglutide. Each 1 mL of WEGOVY contains the following inactive ingredients: disodium phosphate dihydrate, 1.42 mg; sodium chloride, 8.25 mg; and water for injection. WEGOVY has a pH of approximately 7.4. Hydrochloric acid or sodium hydroxide may be added to adjust pH.

5.4 Hypoglycemia

WEGOVY lowers blood glucose and can cause hypoglycemia.

In a trial of adult patients with type 2 diabetes and body mass index (BMI) greater than or equal to 27 kg/m2, hypoglycemia (defined as a plasma glucose less than 54 mg/dL) was reported in 6.2% of WEGOVY-treated patients versus 2.5% of placebo-treated patients. One episode of severe hypoglycemia (requiring the assistance of another person) was reported in one WEGOVY-treated patient versus no placebo-treated patients.

Patients with diabetes mellitus taking WEGOVY in combination with insulin or an insulin secretagogue (e.g., sulfonylurea) may have an increased risk of hypoglycemia, including severe hypoglycemia. Hypoglycemia has been observed in patients treated with semaglutide at doses of 0.5 and 1 mg in combination with insulin. The use of WEGOVY (semaglutide 2.4 mg or 1.7 mg once weekly) in patients with type 1 diabetes mellitus or in combination with insulin has not been evaluated.

Inform patients of the risk of hypoglycemia and educate them on the signs and symptoms of hypoglycemia. In patients with diabetes, monitor blood glucose prior to starting WEGOVY and during WEGOVY treatment. When initiating WEGOVY, consider reducing the dose of concomitantly administered insulin or insulin secretagogue (such as sulfonylureas) to reduce the risk of hypoglycemia [see Drug Interactions (7)].

Medication Guide

Medication Guide

WEGOVY® (wee-GOH-vee)

(semaglutide) injection, for subcutaneous use

Read this Medication Guide and Instructions for Use before you start using WEGOVY and each time you get a refill. There may be new information. This information does not take the place of talking to your healthcare provider about your medical condition or your treatment.

What is the most important information I should know about WEGOVY?

WEGOVY may cause serious side effects, including:

  • Possible thyroid tumors, including cancer. Tell your healthcare provider if you get a lump or swelling in your neck, hoarseness, trouble swallowing, or shortness of breath. These may be symptoms of thyroid cancer. In studies with rodents, WEGOVY and medicines that work like WEGOVY caused thyroid tumors, including thyroid cancer. It is not known if WEGOVY will cause thyroid tumors or a type of thyroid cancer called medullary thyroid carcinoma (MTC) in people.
  • Do not use WEGOVY if you or any of your family have ever had a type of thyroid cancer called medullary thyroid carcinoma (MTC), or if you have an endocrine system condition called Multiple Endocrine Neoplasia syndrome type 2 (MEN 2).

What is WEGOVY?

  • WEGOVY is an injectable prescription medicine used with a reduced calorie diet and increased physical activity:
  • o
    to reduce the risk of major cardiovascular events such as death, heart attack, or stroke in adults with known heart disease and with either obesity or overweight.
  • o
    that may help adults and children aged 12 years and older with obesity, or some adults with overweight who also have weight-related medical problems, to help them lose excess body weight and keep the weight off.
  • WEGOVY contains semaglutide and should not be used with other semaglutide-containing products or other GLP-1 receptor agonist medicines.
  • It is not known if WEGOVY is safe and effective for use in children under 12 years of age.

Do not use WEGOVY if:

  • you or any of your family have ever had a type of thyroid cancer called medullary thyroid carcinoma (MTC) or if you have an endocrine system condition called Multiple Endocrine Neoplasia syndrome type 2 (MEN 2).
  • you have had a serious allergic reaction to semaglutide or any of the ingredients in WEGOVY. See the end of this Medication Guide for a complete list of ingredients in WEGOVY. Symptoms of a serious allergic reaction include:
  • o
    swelling of your face, lips, tongue or throat
  • o
    fainting or feeling dizzy
  • o
    problems breathing or swallowing
  • o
    very rapid heartbeat
  • o
    severe rash or itching

Before using WEGOVY, tell your healthcare provider if you have any other medical conditions, including if you:

  • have or have had problems with your pancreas or kidneys.
  • have type 2 diabetes and a history of diabetic retinopathy.
  • have or have had depression or suicidal thoughts, or mental health issues.
  • are pregnant or plan to become pregnant. WEGOVY may harm your unborn baby. You should stop using WEGOVY 2 months before you plan to become pregnant.
    • o
      Pregnancy Exposure Registry: There is a pregnancy exposure registry for women who use WEGOVY during pregnancy. The purpose of this registry is to collect information about the health of you and your baby. Talk to your healthcare provider about how you can take part in this registry or you may contact Novo Nordisk at 1-877-390-2760.
  • are breastfeeding or plan to breastfeed. It is not known if WEGOVY passes into your breast milk. You should talk with your healthcare provider about the best way to feed your baby while using WEGOVY.
  •  
    Tell your healthcare provider about all the medicines you take, including prescription and over-the-counter medicines, vitamins, and herbal supplements. WEGOVY may affect the way some medicines work and some medicines may affect the way WEGOVY works. Tell your healthcare provider if you are taking other medicines to treat diabetes, including sulfonylureas or insulin. WEGOVY slows stomach emptying and can affect medicines that need to pass through the stomach quickly.

Know the medicines you take. Keep a list of them to show your healthcare provider and pharmacist when you get a new medicine.

How should I use WEGOVY?

  • Read the Instructions for Use that comes with WEGOVY.
  • Use WEGOVY exactly as your healthcare provider tells you to.
  • Your healthcare provider should show you how to use WEGOVY before you use it for the first time.
  • WEGOVY is injected under the skin (subcutaneously) of your stomach (abdomen), thigh, or upper arm. Do not inject WEGOVY into a muscle (intramuscularly) or vein (intravenously).
  • Change (rotate) your injection site with each injection. Do not use the same site for each injection.
  • Use WEGOVY 1 time each week, on the same day each week, at any time of the day.
  • Start WEGOVY with 0.25 mg per week in your first month. In your second month, increase your weekly dose to 0.5 mg. In the third month, increase your weekly dose to 1 mg. In the fourth month, increase your weekly dose to 1.7 mg. In the fifth month onwards, your healthcare provider may either maintain your dose at 1.7 mg weekly or increase your weekly dose to 2.4 mg.
  • If you need to change the day of the week, you may do so as long as your last dose of WEGOVY was given 2 or more days before.
  • If you miss a dose of WEGOVY and the next scheduled dose is more than 2 days away (48 hours), take the missed dose as soon as possible. If you miss a dose of WEGOVY and the next schedule dose is less than 2 days away (48 hours), do not administer the dose. Take your next dose on the regularly scheduled day.
  • If you miss doses of WEGOVY for more than 2 weeks, take your next dose on the regularly scheduled day or call your healthcare provider to talk about how to restart your treatment.
  • You can take WEGOVY with or without food.
  • If you take too much WEGOVY, you may have severe nausea, severe vomiting and severe low blood sugar. Call your healthcare provider or go to the nearest hospital emergency room right away if you experience any of these symptoms.

What are the possible side effects of WEGOVY?

WEGOVY may cause serious side effects, including:

  • See “What is the most important information I should know about WEGOVY?”
  • inflammation of your pancreas (pancreatitis). Stop using WEGOVY and call your healthcare provider right away if you have severe pain in your stomach area (abdomen) that will not go away, with or without vomiting. You may feel the pain from your abdomen to your back.
  • gallbladder problems. WEGOVY may cause gallbladder problems including gallstones. Some gallbladder problems need surgery. Call your healthcare provider if you have any of the following symptoms:
  • o
    pain in your upper stomach (abdomen)
  • o
    yellowing of skin or eyes (jaundice)
  • o
    fever
  • o
    clay-colored stools
  • increased risk of low blood sugar (hypoglycemia), especially those who also take medicines to treat diabetes mellitus such as insulin or sulfonylureas. Low blood sugar in patients with diabetes who receive WEGOVY can be a serious side effect. Talk to your healthcare provider about how to recognize and treat low blood sugar. You should check your blood sugar before you start taking WEGOVY and while you take WEGOVY. Signs and symptoms of low blood sugar may include:
  • o
    dizziness or light-headedness
  • o
    sweating
  • o
    shakiness
  • o
    blurred vision
  • o
    slurred speech
  • o
    weakness
  • o
    anxiety
  • o
    hunger
  • o
    headache
  • o
    irritability or mood changes
  • o
    confusion or drowsiness
  • o
    fast heartbeat
  • o
    feeling jitteryt
  • kidney problems (kidney failure). In people who have kidney problems, diarrhea, nausea, and vomiting may cause a loss of fluids (dehydration) which may cause kidney problems to get worse. It is important for you to drink fluids to help reduce your chance of dehydration.
  • serious allergic reactions. Stop using WEGOVY and get medical help right away, if you have any symptoms of a serious allergic reaction including:
  • o
    swelling of your face, lips, tongue or throat
  • o
    severe rash or itching
  • o
    very rapid heartbeat
  • o
    problems breathing or swallowing
  • o
    fainting or feeling dizzy
  • change in vision in people with type 2 diabetes. Tell your healthcare provider if you have changes in vision during treatment with WEGOVY.
  • increased heart rate. WEGOVY can increase your heart rate while you are at rest. Your healthcare provider should check your heart rate while you take WEGOVY. Tell your healthcare provider if you feel your heart racing or pounding in your chest and it lasts for several minutes.
  • depression or thoughts of suicide. You should pay attention to any mental changes, especially sudden changes in your mood, behaviors, thoughts, or feelings. Call your healthcare provider right away if you have any mental changes that are new, worse, or worry you.

The most common side effects of WEGOVY in adults or children aged 12 years and older may include:

  • nausea
  • stomach (abdomen) pain
  • dizziness
  • gas
  • diarrhea
  • headache
  • feeling bloated
  • stomach flu
  • vomiting
  • tiredness (fatigue)
  • belching
  • heartburn
  • constipation
  • upset stomach
  • low blood sugar in people with type 2 diabetes
  • runny nose or sore throat

Talk to your healthcare provider about any side effect that bothers you or does not go away. These are not all the possible side effects of WEGOVY.

Call your doctor for medical advice about side effects. You may report side effects to FDA at 1‑800‑FDA‑1088.

General information about the safe and effective use of WEGOVY.

Medicines are sometimes prescribed for purposes other than those listed in a Medication Guide. Do not use WEGOVY for a condition for which it was not prescribed. Do not give WEGOVY to other people, even if they have the same symptoms that you have. It may harm them. You can ask your pharmacist or healthcare provider for information about WEGOVY that is written for health professionals.

What are the ingredients in WEGOVY?

Active Ingredient: semaglutide

Inactive Ingredients: disodium phosphate dihydrate, 1.42 mg; sodium chloride, 8.25 mg; water for injection; and hydrochloric acid or sodium hydroxide may be added to adjust pH.

Manufactured by: Novo Nordisk A/S, DK-2880 Bagsvaerd, Denmark

WEGOVY ® is a registered trademark of Novo Nordisk A/S.

PATENT Information: http://novonordisk-us.com/products/product-patents.html

© 2024 Novo Nordisk

For more information, go to startWegovy.com or call 1-833-Wegovy-1.

This Medication Guide has been approved by the U.S. Food and Drug Administration. Revised 03/2024

8.4 Pediatric Use

The safety and effectiveness of WEGOVY as an adjunct to a reduced calorie diet and increased physical activity for weight reduction and long-term maintenance have been established in pediatric patients aged 12 years and older with obesity. Use of WEGOVY for this indication is supported by a 68-week, double-blind, placebo-controlled clinical trial in 201 pediatric patients aged 12 years and older with a BMI corresponding to ≥95th percentile for age and sex and from studies in adult patients with obesity [see Clinical Studies (14.3) ].

Adverse reactions with WEGOVY treatment in pediatric patients aged 12 years and older were generally similar to those reported in adults. Pediatric patients aged 12 years and older treated with WEGOVY had greater incidences of cholelithiasis, cholecystitis, hypotension, rash, and urticaria compared to adults treated with WEGOVY [see Adverse Reactions (6.1)].

There are insufficient data in pediatric patients with type 2 diabetes treated with WEGOVY for obesity to determine if there is an increased risk of hypoglycemia with WEGOVY treatment similar to that reported in adults. Inform patients of the risk of hypoglycemia and educate them on the signs and symptoms of hypoglycemia. In pediatric patients aged 12 years and older with type 2 diabetes, monitor blood glucose prior to starting WEGOVY and during WEGOVY treatment. When initiating WEGOVY in pediatric patients aged 12 years and older with type 2 diabetes, consider reducing the dose of concomitantly administered insulin secretagogue (such as sulfonylureas) or insulin to reduce the risk of hypoglycemia [see Warnings and Precautions (5.4)].

The safety and effectiveness of WEGOVY have not been established in pediatric patients less than 12 years of age.

8.5 Geriatric Use

In the WEGOVY clinical trials for weight reduction and long-term maintenance, 233 (9%) WEGOVY-treated patients were aged 65 to 75 years and 23 (1%) WEGOVY-treated patients were aged 75 years and older [see Clinical Studies (14.2)]. In a cardiovascular outcomes trial, 2656 (30%) WEGOVY-treated patients were aged 65 to 75 years and 703 (8%) WEGOVY-treated patients were aged 75 years and older [see Clinical Studies (14.1)]. No overall difference in effectiveness was observed between patients aged 65 years and older and younger adult patients. In the cardiovascular outcomes trial, patients aged 75 years and older reported more fractures of the hip and pelvis on WEGOVY than on placebo. Patients aged 75 years and older (WEGOVY-treated and placebo-treated) reported more serious adverse reactions overall compared to younger adult patients [see Adverse Reactions (6.1)].

12.6 Immunogenicity

The observed incidence of anti-drug antibodies is highly dependent on the sensitivity and specificity of the assay. Differences in assay methods preclude meaningful comparisons of the incidence of anti-drug antibodies in the studies described below with the incidence of anti-drug antibodies in other studies, including those of semaglutide or of other semaglutide products.

During the 68-week treatment periods in Studies 2 and 3 [see Clinical Studies (14.2) ], 50/1709 (3%) of WEGOVY-treated patients developed anti-semaglutide antibodies. Of these 50 WEGOVY-treated patients, 28 patients (2% of the total WEGOVY-treated study population) developed antibodies that cross-reacted with native GLP-1. No identified clinically significant effect of anti-semaglutide antibodies on pharmacokinetics for WEGOVY was observed. There is insufficient evidence to characterize the effects of anti-semaglutide antibodies on pharmacodynamics or effectiveness of semaglutide.

4 Contraindications (4 CONTRAINDICATIONS)

WEGOVY is contraindicated in the following conditions:

  • A personal or family history of MTC or in patients with MEN 2 [see Warnings and Precautions ( 5.1 )].
  • A prior serious hypersensitivity reaction to semaglutide or to any of the excipients in WEGOVY. Serious hypersensitivity reactions, including anaphylaxis and angioedema, have been reported with WEGOVY [see Warnings and Precautions ( 5.6 )].
6 Adverse Reactions (6 ADVERSE REACTIONS)

The following serious adverse reactions are described below or elsewhere in the prescribing information:

  • Risk of Thyroid C-Cell Tumors [see Warnings and Precautions ( 5.1 )]
  • Acute Pancreatitis [see Warnings and Precautions ( 5.2 )]
  • Acute Gallbladder Disease [see Warnings and Precautions ( 5.3 )]
  • Hypoglycemia [see Warnings and Precautions ( 5.4 )]
  • Acute Kidney Injury [see Warnings and Precautions ( 5.5 )]
  • Hypersensitivity Reactions [see Warnings and Precautions ( 5.6 )]
  • Diabetic Retinopathy Complications in Patients with Type 2 Diabetes [see Warnings and Precautions ( 5.7 )]
  • Heart Rate Increase [see Warnings and Precautions ( 5.8 )]
  • Suicidal Behavior and Ideation [see Warnings and Precautions ( 5.9 )]
7 Drug Interactions (7 DRUG INTERACTIONS)

WEGOVY delays gastric emptying. May impact absorption of concomitantly administered oral medications. Use with caution ( 7.2 ).

7.2 Oral Medications

WEGOVY causes a delay of gastric emptying and thereby has the potential to impact the absorption of concomitantly administered oral medications. In clinical pharmacology trials with semaglutide 1 mg, semaglutide did not affect the absorption of orally administered medications [see Clinical Pharmacology ( 12.3 )]. Nonetheless, monitor the effects of oral medications concomitantly administered with WEGOVY.

8.6 Renal Impairment

No dose adjustment of WEGOVY is recommended for patients with renal impairment. In a study in patients with renal impairment, including end-stage renal disease, no clinically relevant change in semaglutide pharmacokinetics was observed [see Clinical Pharmacology ( 12.3 )].

Instructions for Use

Instructions for Use

WEGOVY®

(semaglutide) injection

WEGOVY comes in five strengths:

Before you use your WEGOVY pen for the first time, talk to your healthcare provider or your caregiver about how to prepare and inject WEGOVY correctly.

Important information

Read this Instructions for Use before you start using WEGOVY. This information does not replace talking to your healthcare provider about your medical condition or treatment.

· Your WEGOVY pen is for 1 time use only. The WEGOVY pen is for subcutaneous (under the skin) use only.

· The dose of WEGOVY is already set on your pen.

· The needle is covered by the needle cover and the needle will not be seen.

· Do not remove the pen cap until you are ready to inject.

· Do not touch or push on the needle cover. You could get a needle stick injury.

· Your WEGOVY injection will start when the needle cover is pressed firmly against your skin.

· Do not remove the pen from your skin before the yellow bar in the pen window has stopped moving. The medicine may appear on the skin or squirt from the needle and you may not get your full dose of WEGOVY if:

  • the pen is removed too early or
  • you have not pressed the pen firmly against the skin for the entire injection.

· If the yellow bar does not start moving or stops during the injection, contact your healthcare provider or Novo Nordisk at startWegovy.com or call Novo Nordisk Inc. at 1-833-934-6891.

· The needle cover will lock when the pen is removed from your skin. You cannot stop the injection and restart it later.

· People who are blind or have vision problems should not use the WEGOVY pen without help from a person trained to use the WEGOVY pen.

How do I store WEGOVY?

· Store the WEGOVY pen in the refrigerator between 36°F to 46°F (2°C to 8°C).

· If needed, before removing the pen cap, WEGOVY can be stored from 46°F to 86°F (8°C to 30°C) in the original carton for up to 28 days.

· Keep WEGOVY in the original carton to protect it from light.

· Do not freeze.

· Throw away the pen if WEGOVY has been frozen, has been exposed to light or temperatures above 86°F (30°C), or has been out of the refrigerator for 28 days or longer.

Keep WEGOVY and all medicines out of the reach of children.

How to use your WEGOVY pen

Do not use your WEGOVY pen without receiving training from your healthcare provider. Make sure that you or your caregiver know how to give an injection with the pen before you start your treatment.

Read and follow the instructions so that you use your WEGOVY pen correctly:

Preparation

Step 1. Prepare for your injection.

  • Supplies you will need to give your WEGOVY injection:
    • o
      WEGOVY pen
    • o
      1 alcohol swab or soap and water
    • o
      1 gauze pad or cotton ball
    • o
      1 sharps disposable container for used WEGOVY pens
  • Wash your hands.
  • Check your WEGOVY pen.
    •  
      Do not use your WEGOVY pen if:
  • o
    The pen appears to have been used or any part of the pen appears broken, for example if it has been dropped.
  • o
    The WEGOVY medicine is not clear and colorless through the pen window.
  • o
    The expiration date (EXP) has passed.

Contact Novo Nordisk at 1-833-934-6891 if your WEGOVY pen fails any of these checks.

Step 2. Choose your injection site.

• Your healthcare provider can help you choose the injection site that is best for you

  • You may inject into your upper leg (front of the thighs), lower stomach (keep 2 inches away from your belly button) or upper arm.

• Do not inject into an area where the skin is tender, bruised, red, or hard. Avoid injecting into areas with scars or stretch marks.

• You may inject in the same body area each week, but make sure it is not in the same spot each time.

Clean the injection site with an alcohol swab or soap and water. Do not touch the injection site after cleaning. Allow the skin to dry before injecting.

Injection

Step 3. Remove pen cap.

Pull the pen cap straight off your pen.

Step 4. Inject WEGOVY.

• Push the pen firmly against your skin and keep applying pressure until the yellow bar

has stopped moving.

If the yellow bar does not start moving, press the pen more firmly against your skin.

  • You will hear 2 clicks during the injection.
  • Click 1: the injection has started.
  • Click 2: the injection is ongoing.
  • If you have problems with the injection, refer to the “Troubleshooting” section.

Throw away pen

Step 5. Throw away (dispose of) pen.

Safely dispose of the WEGOVY pen right away after each use. See “How do I throw away (dispose of) WEGOVY pens?”

What if blood appears after injection?

If blood appears at the injection site, press the site lightly with a gauze pad or cotton ball.

  • If you have problems injecting, change to a more firm injection site, such as upper leg, or upper arm or consider standing up while injecting into the lower stomach.
  • If medicine appears on the skin or squirts from the needle, make sure the next time you inject to keep applying pressure until the yellow bar has stopped moving. Then you can lift the pen slowly from your skin.
  •  

How do I throw away (dispose of) WEGOVY pens?

Put the used WEGOVY pen in an FDA-cleared sharps disposal container right away after use. Do not throw away (dispose of) the pen in your household trash.

If you do not have an FDA-cleared sharps disposal container, you may use a household container that is:

  •  
    · made of a heavy-duty plastic,
  •  
    · able to be closed with a tight-fitting, puncture-resistant lid, without sharps being able to come out,
  •  
    · upright and stable during use,
  •  
    · leak-resistant, and
  •  
    · properly labeled to warn of hazardous waste inside the container.

When your sharps disposal container is almost full, you will need to follow your community guidelines for the right way to dispose of your sharps disposal container. There may be state or local laws about how you should throw away used needles and syringes. For more information about safe sharps disposal, and for specific sharps disposal in the state that you live in, go to the FDA’s website at http://www.fda.gov/safesharpsdisposal.

  •  
    · Do not reuse the pen.
  •  
    · Do not recycle the pen or sharps disposal container, or throw them into household trash.

Important: Keep your WEGOVY pen, sharps disposal container and all medicines out of the reach of children.

How do I care for my pen?

Protect your pen

  •  
    · Do not drop your pen or knock it against hard surfaces.
  •  
    · Do not expose your pen to any liquids.
  •  
    · If you think that your pen may be damaged, do not try to fix it. Use a new one.
  •  
    · Keep the pen cap on until you are ready to inject. Your pen will no longer be sterile if you store an unused pen without the cap, if you pull the pen cap off and put it on again, or if the pen cap is missing. This could lead to an infection.
  •  
    If you have any questions about WEGOVY, go to startWegovy.com or call Novo Nordisk Inc. at 1-833-Wegovy-1

Manufactured by:

Novo Nordisk A/S

Novo Allé

DK-2880 Bagsvaerd, Denmark

For information about WEGOVY, go to

startWegovy.com or contact:

Novo Nordisk Inc.

800 Scudders Mill Road

Plainsboro, NJ 08536

1-833-Wegovy-1

Version: 2

WEGOVY ® is a registered trademark of Novo Nordisk A/S.

PATENT Information: http://novonordisk-us.com/products/product-patents.html

© 2022 Novo Nordisk

This Instructions for Use has been approved by the U.S. Food and Drug Administration.

Revised: August 2022

12.2 Pharmacodynamics

Semaglutide lowers body weight with greater fat mass loss than lean mass loss. Semaglutide decreases calorie intake. The effects are likely mediated by affecting appetite.

Semaglutide stimulates insulin secretion and reduces glucagon secretion in a glucose-dependent manner. These effects can lead to a reduction of blood glucose.

Gastric Emptying

Semaglutide delays gastric emptying.

Cardiac Electrophysiology (QTc)

The effect of semaglutide on cardiac repolarization was tested in a thorough QTc trial. Semaglutide did not prolong QTc intervals at doses up to 1.5 mg at steady state.

12.3 Pharmacokinetics

Absorption

Absolute bioavailability of semaglutide is 89%. Maximum concentration of semaglutide is reached 1 to 3 days post dose.

Similar exposure was achieved with subcutaneous administration of semaglutide in the abdomen, thigh, or upper arm.

The average semaglutide steady state concentration following subcutaneous administration of WEGOVY was approximately 75 nmol/L in patients with either obesity (BMI greater than or equal to 30 kg/m2) or overweight (BMI greater than or equal to 27 kg/m2). The steady state exposure of WEGOVY increased proportionally with doses up to 2.4 mg once weekly.

Distribution

The mean volume of distribution of semaglutide following subcutaneous administration in patients with obesity or overweight is approximately 12.5 L. Semaglutide is extensively bound to plasma albumin (greater than 99%) which results in decreased renal clearance and protection from degradation.

Elimination

The apparent clearance of semaglutide in patients with obesity or overweight is approximately 0.05 L/h. With an elimination half-life of approximately 1 week, semaglutide will be present in the circulation for about 5 to 7 weeks after the last dose of 2.4 mg.

Metabolism

The primary route of elimination for semaglutide is metabolism following proteolytic cleavage of the peptide backbone and sequential beta-oxidation of the fatty acid sidechain.

Excretion

The primary excretion routes of semaglutide-related material are via the urine and feces. Approximately 3% of the dose is excreted in the urine as intact semaglutide.

Specific Populations

The effects of intrinsic factors on the pharmacokinetics of semaglutide are shown in Figure 2.

  •  
    Figure 2. Impact of intrinsic factors on semaglutide exposure

Data are steady-state dose-normalized average semaglutide exposures relative to a reference subject profile (non-Hispanic or Latino ethnicity, white female aged 18 to less than 65 years, with a body weight of 110 kg and normal renal function, who injected in the abdomen). Body weight categories (74 and 143 kg) represent the 5% and 95% percentiles in the dataset.

Patients with Renal Impairment

Renal impairment did not impact the exposure of semaglutide in a clinically relevant manner. The pharmacokinetics of semaglutide were evaluated following a single dose of 0.5 mg semaglutide in a study of patients with different degrees of renal impairment (mild, moderate, severe, or ESRD) compared with subjects with normal renal function. The pharmacokinetics were also assessed in subjects with overweight (BMI 27-29.9 kg/m2) or obesity (BMI greater than or equal to 30 kg/m2) and mild to moderate renal impairment, based on data from clinical trials.

Patients with Hepatic Impairment

Hepatic impairment did not impact the exposure of semaglutide. The pharmacokinetics of semaglutide were evaluated following a single dose of 0.5 mg semaglutide in a study of patients with different degrees of hepatic impairment (mild, moderate, severe) compared with subjects with normal hepatic function.

Drug Interactions Studies

In vitro studies have shown very low potential for semaglutide to inhibit or induce CYP enzymes, or to inhibit drug transporters.

The delay of gastric emptying with semaglutide may influence the absorption of concomitantly administered oral medications [see Drug Interactions ( 7.2 )]. The potential effect of semaglutide on the absorption of co-administered oral medications was studied in trials at semaglutide 1 mg steady-state exposure. No clinically relevant drug-drug interactions with semaglutide (Figure 3) were observed based on the evaluated medications. In a separate study, no apparent effect on the rate of gastric emptying was observed with semaglutide 2.4 mg.

  •  
    Figure 3. Impact of semaglutide 1 mg on the pharmacokinetics of co-administered medications

Relative exposure in terms of AUC and Cmax for each medication when given with semaglutide compared to without semaglutide. Metformin and oral contraceptive drug (ethinylestradiol/levonorgestrel) were assessed at steady state. Warfarin (S-warfarin/R-warfarin), digoxin and atorvastatin were assessed after a single dose.

Abbreviations: AUC: area under the curve, Cmax: maximum concentration, CI: confidence interval.

5.2 Acute Pancreatitis

Acute pancreatitis, including fatal and non-fatal hemorrhagic or necrotizing pancreatitis, has been observed in patients treated with GLP-1 receptor agonists, including semaglutide. Acute pancreatitis was observed in patients treated with WEGOVY in clinical trials [see Adverse Reactions ( 6 )]. After initiation of WEGOVY, observe patients carefully for signs and symptoms of acute pancreatitis (including persistent severe abdominal pain, sometimes radiating to the back, and which may or may not be accompanied by vomiting). If acute pancreatitis is suspected, WEGOVY should promptly be discontinued, and appropriate management should be initiated. If acute pancreatitis is confirmed, WEGOVY should not be restarted.

There is limited experience from clinical trials with WEGOVY in patients with a history of pancreatitis. It is unknown if patients with a history of pancreatitis are at higher risk for development of pancreatitis on WEGOVY.

8.7 Hepatic Impairment

No dose adjustment of WEGOVY is recommended for patients with hepatic impairment. In a study in patients with different degrees of hepatic impairment, no clinically relevant change in semaglutide pharmacokinetics was observed [see Clinical Pharmacology ( 12.3 )].

1 Indications and Usage (1 INDICATIONS AND USAGE)

WEGOVY is indicated in combination with a reduced calorie diet and increased physical activity:

  • to reduce the risk of major adverse cardiovascular events (cardiovascular death, non-fatal myocardial infarction, or non-fatal stroke) in adults with established cardiovascular disease and either obesity or overweight.
  • to reduce excess body weight and maintain weight reduction long term in:
    • o
      Adults and pediatric patients aged 12 years and older with obesity
  • o
    Adults with overweight in the presence of at least one weight-related comorbid condition.

Limitations of Use

  • WEGOVY contains semaglutide. Coadministration with other semaglutide-containing products or with any other GLP-1 receptor agonist is not recommended.
5.5 Acute Kidney Injury

There have been postmarketing reports of acute kidney injury and worsening of chronic renal failure, which have in some cases required hemodialysis, in patients treated with semaglutide. Patients with renal impairment may be at greater risk of acute kidney injury, but some of these events have been reported in patients without known underlying renal disease. A majority of the reported events occurred in patients who had experienced nausea, vomiting, or diarrhea, leading to volume depletion [see Adverse Reactions ( 6 )].

Monitor renal function when initiating or escalating doses of WEGOVY in patients reporting severe adverse gastrointestinal reactions. Monitor renal function in patients with renal impairment reporting any adverse reactions that could lead to volume depletion.

5.8 Heart Rate Increase

Treatment with WEGOVY was associated with increases in resting heart rate. Mean increases in resting heart rate of 1 to 4 beats per minute (bpm) were observed in WEGOVY-treated adult patients compared to placebo in clinical trials. More adult patients treated with WEGOVY compared with placebo had maximum changes from baseline at any visit of 10 to 19 bpm (41% versus 34%, respectively) and 20 bpm or more (26% versus 16%, respectively). In a clinical trial in pediatric patients aged 12 years and older with normal baseline heart rate, more patients treated with WEGOVY compared to placebo had maximum changes in heart rate of 20 bpm or more (54% versus 39%) [see Adverse Reactions ( 6.1)] .

Monitor heart rate at regular intervals consistent with usual clinical practice. Instruct patients to inform their healthcare providers of palpitations or feelings of a racing heartbeat while at rest during WEGOVY treatment. If patients experience a sustained increase in resting heart rate, discontinue WEGOVY.

12.1 Mechanism of Action

Semaglutide is a GLP-1 analogue with 94% sequence homology to human GLP-1. Semaglutide acts as a GLP-1 receptor agonist that selectively binds to and activates the GLP-1 receptor, the target for native GLP-1.

GLP-1 is a physiological regulator of appetite and caloric intake, and the GLP-1 receptor is present in several areas of the brain involved in appetite regulation. Animal studies show that semaglutide distributed to and activated neurons in brain regions involved in regulation of food intake.

The exact mechanism of cardiovascular risk reduction has not been established.

5 Warnings and Precautions (5 WARNINGS AND PRECAUTIONS)
  • Acute Pancreatitis: Has occurred in clinical trials. Discontinue promptly if pancreatitis is suspected. Do not restart if pancreatitis is confirmed ( 5.2 ).
  • Acute Gallbladder Disease: Has occurred in clinical trials. If cholelithiasis is suspected, gallbladder studies and clinical follow-up are indicated ( 5.3 ).
  • Hypoglycemia: Concomitant use with insulin or an insulin secretagogue may increase the risk of hypoglycemia, including severe hypoglycemia. Reducing the dose of insulin or insulin secretagogue may be necessary. Inform all patients of the risk of hypoglycemia and educate them on the signs and symptoms of hypoglycemia ( 5.4 ).
  • Acute Kidney Injury: Has occurred. Monitor renal function when initiating or escalating doses of WEGOVY in patients reporting severe adverse gastrointestinal reactions or in those with renal impairment reporting severe adverse gastrointestinal reactions ( 5.5 ).
  • Hypersensitivity Reactions: Anaphylactic reactions and angioedema have been reported postmarketing. Discontinue WEGOVY if suspected and promptly seek medical advice ( 5.6 ).
  • Diabetic Retinopathy Complications in Patients with Type 2 Diabetes: Has been reported in trials with semaglutide. Patients with a history of diabetic retinopathy should be monitored ( 5.7 ).
  • Heart Rate Increase: Monitor heart rate at regular intervals ( 5.8 ).
  • Suicidal Behavior and Ideation: Monitor for depression or suicidal thoughts. Discontinue WEGOVY if symptoms develop ( 5.9 ).
2 Dosage and Administration (2 DOSAGE AND ADMINISTRATION)
  • Administer WEGOVY once weekly as an adjunct to diet and increased physical activity, on the same day each week, at any time of day, with or without meals (2.1).
    • Inject subcutaneously in the abdomen, thigh or upper arm (2.1).
  • In patients with type 2 diabetes, monitor blood glucose prior to starting and during WEGOVY treatment (2.1).
  • Initiate at 0.25 mg once weekly for 4 weeks. Then follow the dosage escalation schedule, titrating every 4 weeks to achieve the maintenance dosage (2.2, 2.3).
  • The maintenance dosage of WEGOVY in adults is either 2.4 mg (recommended) or 1.7 mg once weekly (2.2).
  • The maintenance dosage of WEGOVY in pediatric patients aged 12 years and older is 2.4 mg once weekly (2.3).
3 Dosage Forms and Strengths (3 DOSAGE FORMS AND STRENGTHS)

Injection: clear, colorless solution available in 5 pre-filled, disposable, single-dose pens:

  • 0.25 mg/0.5 mL
  • 0.5 mg/0.5 mL
  • 1 mg/0.5 mL
  • 1.7 mg/0.75 mL
  • 2.4 mg/0.75 mL
6.2 Postmarketing Experience

The following adverse reactions have been reported during post-approval use of semaglutide, the active ingredient of WEGOVY. Because these reactions are reported voluntarily from a population of uncertain size, it is not always possible to reliably estimate their frequency or establish a causal relationship to drug exposure.

Gastrointestinal Disorders: acute pancreatitis and necrotizing pancreatitis, sometimes resulting in death; ileus

Hypersensitivity: anaphylaxis, angioedema, rash, urticaria

Renal and Urinary Disorders: acute kidney injury

5.3 Acute Gallbladder Disease

Treatment with WEGOVY is associated with an increased occurrence of cholelithiasis and cholecystitis. The incidence of cholelithiasis and cholecystitis was higher in WEGOVY-treated pediatric patients aged 12 years and older than in WEGOVY-treated adults. In randomized clinical trials in adult patients, cholelithiasis was reported by 1.6% of WEGOVY-treated patients and 0.7% of placebo-treated patients. Cholecystitis was reported by 0.6% of WEGOVY-treated adult patients and 0.2% of placebo-treated patients. In a clinical trial in pediatric patients aged 12 years and older, cholelithiasis was reported by 3.8% of WEGOVY-treated patients and 0% placebo-treated patients. Cholecystitis was reported by 0.8% of WEGOVY-treated pediatric patients and 0% placebo-treated patients [see Adverse Reactions (6.1)] .

Substantial or rapid weight loss can increase the risk of cholelithiasis; however, the incidence of acute gallbladder disease was greater in WEGOVY-treated patients than in placebo-treated patients, even after accounting for the degree of weight loss. If cholelithiasis is suspected, gallbladder studies and appropriate clinical follow-up are indicated.

8 Use in Specific Populations (8 USE IN SPECIFIC POPULATIONS)
  • Pregnancy: May cause fetal harm. When pregnancy is recognized, discontinue WEGOVY ( 8.1 ).
  • Females and Males of Reproductive Potential: Discontinue WEGOVY at least 2 months before a planned pregnancy because of the long half-life of semaglutide ( 8.3 ).
5.6 Hypersensitivity Reactions

Serious hypersensitivity reactions (e.g., anaphylaxis, angioedema) have been reported with WEGOVY. If hypersensitivity reactions occur, discontinue use of WEGOVY, treat promptly per standard of care, and monitor until signs and symptoms resolve. WEGOVY is contraindicated in patients with a prior serious hypersensitivity reaction to semaglutide or to any of the excipients in WEGOVY [see Adverse Reactions ( 6.2)] .

Anaphylaxis and angioedema have been reported with other GLP-1 receptor agonists. Use caution in a patient with a history of anaphylaxis or angioedema with another GLP-1 receptor agonist because it is unknown whether such patients will be predisposed to these reactions with WEGOVY.

6.1 Clinical Trials Experience

Because clinical trials are conducted under widely varying conditions, adverse reaction rates observed in the clinical trials of a drug cannot be directly compared to rates in the clinical studies of another drug and may not reflect the rates observed in practice.

Adverse Reactions in Clinical Trials in Adults with Obesity or Overweight

WEGOVY 2.4 mg Subcutaneous Weekly Dosage

WEGOVY was evaluated for safety in 3 randomized, double-blind, placebo-controlled trials that included 2,116 adult patients with obesity or overweight treated with 2.4 mg WEGOVY for up to 68 weeks and a 7 week off-drug follow-up period [see Clinical Studies (14.2) ]. Baseline characteristics included a mean age of 48 years, 71% female, 72% White, 14% Asian, 9% Black or African American, and 5% reported as other or unknown; and 85% were not Hispanic or Latino ethnicity, 13% were Hispanic or Latino ethnicity, and 2% reported as unknown. The baseline characteristics were 42% with hypertension, 19% with type 2 diabetes, 43% with dyslipidemia, 28% with a BMI greater than 40 kg/m2, and 4% with cardiovascular disease.

In these clinical trials, 6.8% of patients treated with 2.4 mg WEGOVY and 3.2% of patients treated with placebo permanently discontinued treatment as a result of adverse reactions. The most common adverse reactions leading to discontinuation were nausea (1.8% versus 0.2%), vomiting (1.2% versus 0%), and diarrhea (0.7% versus 0.1%) for WEGOVY and placebo, respectively.

Adverse reactions reported in clinical trials in adults and greater than or equal to 2% of WEGOVY-treated patients and more frequently than in placebo-treated patients are shown in Table 3.

Table 3. Adverse Reactions (≥2% and Greater Than Placebo) in WEGOVY-treated Adults with Obesity or Overweight

Placebo

N = 1,261

%

WEGOVY 2.4 mg

N = 2,116

%

Nausea

16

44

Diarrhea

16

30

Vomiting

6

24

Constipation

11

24

Abdominal Paina

10

20

Headache

10

14

Fatigueb

5

11

Dyspepsia

3

9

Dizziness

4

8

Abdominal Distension

5

7

Eructation

<1

7

Hypoglycemia in T2DMc

2

6

Flatulence

4

6

Gastroenteritis

4

6

Gastroesophageal Reflux Disease

3

5

Gastritisd

1

4

Gastroenteritis Viral

3

4

Hair Loss

1

3

Dysesthesiae

1

2

aIncludes abdominal pain, abdominal pain upper, abdominal pain lower, gastrointestinal pain, abdominal tenderness, abdominal discomfort and epigastric discomfort

bIncludes fatigue and asthenia

cDefined as blood glucose <54 mg/dL with or without symptoms of hypoglycemia or severe hypoglycemia (requiring the assistance of another person) in patients with type 2 diabetes not on concomitant insulin (Study 3, WEGOVY N=403, Placebo N=402). See text below for further information regarding hypoglycemia in patients with and without type 2 diabetes. T2DM = type 2 diabetes mellitus

dIncludes chronic gastritis, gastritis, gastritis erosive, and reflux gastritis

eIncludes paresthesia, hyperesthesia, burning sensation, allodynia, dysesthesia, skin burning sensation, pain of skin, and sensitive skin

In a cardiovascular outcomes trial, 8,803 patients were exposed to WEGOVY for a median of 37.3 months and 8,801 patients were exposed to placebo for a median of 38.6 months [see Clinical Studies (14.1)]. Safety data collection was limited to serious adverse events (including death), adverse events leading to discontinuation, and adverse events of special interest. Sixteen percent (16%) of WEGOVY-treated patients and 8% of placebo-treated patients, respectively, discontinued study drug due to an adverse event. Additional information from this trial is included in subsequent sections below when relevant.

Adverse Reactions in a Clinical Trial of Pediatric Patients Aged 12 Years and Older with Obesity

WEGOVY was evaluated in a 68-week, double-blind, randomized, parallel group, placebo-controlled, multi-center trial in 201 pediatric patients aged 12 years and older with obesity [see Clinical Studies (14.3) ]. Baseline characteristics included a mean age of 15.4 years; 38% of patients were male; 79% were White, 8% were Black or African American, 2% were Asian, and 11% were of other or unknown race; and 11% were of Hispanic or Latino ethnicity. The mean baseline body weight was 107.5 kg, and mean BMI was 37 kg/m2.

Table 4 shows adverse reactions reported in greater than or equal to 3% of WEGOVY-treated pediatric patients and more frequently than in the placebo group from a study in pediatric patients aged 12 years and older.

Table 4. Adverse Reactions (≥3% and Greater than Placebo) in WEGOVY-Treated Pediatric Patients Aged 12 Years and Older with Obesity

Placebo

N = 67

%
WEGOVY 2.4 mg

N = 133

%

Nausea

18

42

Vomiting

10

36

Diarrhea

19

22

Headache

16

17

Abdominal Pain

6

15

Nasopharyngitis

10

12

Dizziness

3

8

Gastroenteritis

3

7

Constipation

2

6

Gastroesophageal Reflux Disease

2

4

Sinusitis

2

4

Urinary tract infection

2

4

Ligament sprain

2

4

Anxiety

2

4

Hair Loss

0

4

Cholelithiasis

0

4

Eructation

0

4

Influenza

0

3

Rash

0

3

Urticaria

0

3

  •  
    Other Adverse Reactions in Adults and/or Pediatric Patients

Acute Pancreatitis

In WEGOVY clinical trials in adults, acute pancreatitis was confirmed by adjudication in 4 WEGOVY-treated patients (0.2 cases per 100 patient years) versus 1 in placebo-treated patients (less than 0.1 cases per 100 patient years). One additional case of acute pancreatitis was confirmed in a patient treated with WEGOVY in another clinical trial.

Acute Gallbladder Disease

In WEGOVY clinical trials in adults, cholelithiasis was reported by 1.6% of WEGOVY-treated patients and 0.7% of placebo-treated patients. Cholecystitis was reported by 0.6% of WEGOVY-treated adult patients and 0.2% of placebo-treated patients. In a clinical trial in pediatric patients aged 12 years and older [see Clinical Studies (14.3)], cholelithiasis was reported by 3.8% of WEGOVY-treated patients and 0% placebo-treated patients. Cholecystitis was reported by 0.8% of WEGOVY-treated pediatric patients and 0% placebo-treated patients.

Hypoglycemia

Patients with Type 2 Diabetes

In a trial of adult patients with type 2 diabetes and BMI greater than or equal to 27 kg/m2, clinically significant hypoglycemia (defined as a plasma glucose less than 54 mg/dL) was reported in 6.2% of WEGOVY-treated patients versus 2.5% of placebo-treated patients. A higher rate of clinically significant hypoglycemic episodes was reported with WEGOVY (semaglutide 2.4 mg) versus semaglutide 1 mg (10.7 vs. 7.2 episodes per 100 patient years of exposure, respectively); the rate in the placebo-treated group was 3.2 episodes per 100 patient years of exposure. In addition, one episode of severe hypoglycemia requiring intravenous glucose was reported in a WEGOVY-treated patient versus none in placebo-treated patients. The risk of hypoglycemia was increased when WEGOVY was used with a sulfonylurea.

Patients without Type 2 Diabetes

Episodes of hypoglycemia have been reported with GLP-1 receptor agonists in adult patients without type 2 diabetes mellitus. In WEGOVY clinical trials in adult patients without type 2 diabetes mellitus, there was no systematic capturing or reporting of hypoglycemia.

In a cardiovascular outcomes trial in adult patients without type 2 diabetes, 3 episodes of serious hypoglycemia were reported in WEGOVY-treated patients versus 1 episode in placebo. Patients with a history of bariatric surgery (a risk factor for hypoglycemia) had more events of serious hypoglycemia while taking WEGOVY (2.3%, 2/87) than placebo (0%, 0/97).

Acute Kidney Injury

Acute kidney injury occurred in clinical trials in 7 adult patients (0.4 cases per 100 patient years) receiving WEGOVY versus 4 patients (0.2 cases per 100 patient years of exposure) receiving placebo. Some of these adverse reactions occurred in association with gastrointestinal adverse reactions or dehydration. In addition, 2 patients treated with WEGOVY had acute kidney injury with dehydration in other clinical trials. The risk of renal adverse reactions with WEGOVY was increased in adult patients with a history of renal impairment (trials included 65 patients with a history of moderate or severe renal impairment at baseline), and occurred more frequently during dose titration.

Retinal Disorders in Patients with Type 2 Diabetes

In a trial of adult patients with type 2 diabetes and BMI greater than or equal to 27 kg/m2, retinal disorders were reported by 6.9% of patients treated with WEGOVY (semaglutide 2.4 mg), 6.2% of patients treated with semaglutide 1 mg, and 4.2% of patients treated with placebo. The majority of events were reported as diabetic retinopathy (4.0%, 2.7%, and 2.7%, respectively) and non-proliferative retinopathy (0.7%, 0%, and 0%, respectively).

Increase in Heart Rate

Mean increases in resting heart rate of 1 to 4 beats per minute (bpm) were observed with routine clinical monitoring in WEGOVY-treated adult patients compared to placebo in clinical trials. In trials in which adult patients were randomized prior to dose-escalation, more patients treated with WEGOVY, compared with placebo, had maximum changes from baseline at any visit of 10 to 19 bpm (41% versus 34%, respectively) and 20 bpm or more (26% versus 16%, respectively). In a clinical trial in pediatric patients aged 12 years and older with normal baseline heart rate, more patients treated with WEGOVY compared to placebo had maximum changes in heart rate of 20 bpm or more (54% versus 39%).

Hypotension and Syncope

Adverse reactions related to hypotension (hypotension, orthostatic hypotension, and decreased blood pressure) were reported in 1.3% of WEGOVY-treated adult patients versus 0.4% of placebo-treated patients and syncope was reported in 0.8% of WEGOVY-treated patients versus 0.2% of placebo-treated patients. Some reactions were related to gastrointestinal adverse reactions and volume loss associated with WEGOVY. Hypotension and orthostatic hypotension were more frequently seen in patients on concomitant antihypertensive therapy. In a clinical trial in pediatric patients aged 12 years and older, hypotension was reported in 2.3% of WEGOVY-treated patients versus 0% in placebo-treated patients.

Appendicitis

Appendicitis (including perforated appendicitis) occurred in 10 (0.5%) WEGOVY-treated adult patients and 2 (0.2%) patients receiving placebo.

Gastrointestinal Adverse Reactions

In clinical trials in adults, 73% of WEGOVY-treated patients and 47% of patients receiving placebo reported gastrointestinal adverse reactions, including severe reactions that were reported more frequently among patients receiving WEGOVY (4.1%) than placebo (0.9%). The most frequently reported reactions were nausea (44% vs. 16%), vomiting (25% vs. 6%), and diarrhea (30% vs. 16%). Other reactions that occurred at a higher incidence among WEGOVY-treated adult patients included dyspepsia, abdominal pain, abdominal distension, eructation, flatulence, gastroesophageal reflux disease, gastritis, hemorrhoids, and hiccups. These reactions increased during dose escalation.

In the pediatric clinical trial, 62% of WEGOVY-treated patients and 42% of placebo-treated patients reported gastrointestinal disorders. The most frequently reported reactions were nausea (42% vs. 18%), vomiting (36% vs. 10%), and diarrhea (22% vs. 19%). Other gastrointestinal-related reactions that occurred at a higher incidence than placebo among WEGOVY-treated pediatric patients included abdominal pain, constipation, eructation, gastroesophageal reflux disease, dyspepsia, and flatulence.

Permanent discontinuation of treatment as a result of a gastrointestinal adverse reaction occurred in 4.3% of WEGOVY-treated adult patients versus 0.7% of placebo-treated patients. In a pediatric clinical trial, 2.3% of patients treated with WEGOVY versus 1.5% of patients who received placebo discontinued treatment as a result of gastrointestinal adverse reactions.

Injection Site Reactions

In clinical trials in adults, 1.4% of WEGOVY-treated patients and 1.0% of patients receiving placebo experienced injection site reactions (including injection site pruritus, erythema, inflammation, induration, and irritation).

Hypersensitivity Reactions

Serious hypersensitivity reactions (e.g., anaphylaxis, angioedema) have been reported with WEGOVY.

In a pediatric clinical trial, rash was reported in 3% of WEGOVY-treated patients and 0% of placebo-treated patients, and urticaria was reported in 3% of WEGOVY-treated patients and 0% of placebo-treated patients.

In adult clinical trials, allergic reactions occurred in 16% (8/50) of WEGOVY-treated patients with anti-semaglutide antibodies and in 7% (114/1659) of WEGOVY-treated patients who did not develop anti-semaglutide antibodies [see Clinical Pharmacology (12.6)].

Fractures

In the cardiovascular outcomes trial in adults, more fractures of the hip and pelvis were reported on WEGOVY than on placebo in female patients: 1.0% (24/2448) vs. 0.2% (5/2424), and in patients ages 75 years and older: 2.4% (17/703) vs. 0.6% (4/663), respectively.

Urolithiasis

In a cardiovascular outcomes trial, 1.2% of WEGOVY-treated patients and 0.8% of patients receiving placebo reported urolithiasis, including serious reactions that were reported more frequently among patients receiving WEGOVY (0.6%) than placebo (0.4%).

Dysgeusia

In clinical trials in adults, 1.7% of WEGOVY-treated patients and 0.5% of placebo-treated patients reported dysgeusia.

Laboratory Abnormalities

Amylase and Lipase

Adult and pediatric patients treated with WEGOVY had a mean increase from baseline in amylase of 15-16% and lipase of 39%. These changes were not observed in the placebo group. The clinical significance of elevations in lipase or amylase with WEGOVY is unknown in the absence of other signs and symptoms of pancreatitis.

Liver Enzymes

In a pediatric clinical trial, increases in alanine aminotransferase (ALT) greater than or equal to 5 times the upper limit of normal were observed in 4 (3%) WEGOVY-treated patients compared with 0% of placebo-treated patients. In some patients, increases in ALT and AST were associated with other confounding factors (such as gallstones). In the cardiovascular outcomes trial in adults, increases in total bilirubin greater than or equal to 3 times the upper limit of normal were observed in 0.3% (30/8585) of WEGOVY-treated patients versus 0.2% (14/8579) of placebo-treated patients.

2.2 Recommended Dosage in Adults

Dosage Initiation and Escalation

  • Initiate WEGOVY with a dosage of 0.25 mg injected subcutaneously once weekly. Then follow the dose escalation schedule presented in Table 1 to minimize gastrointestinal adverse reactions [see Adverse Reactions ( 6.1 )].
  • If patients do not tolerate a dose during dosage escalation, consider delaying dosage escalation for 4 weeks.

Table 1. Recommended Dosage Regimen for Adults

Treatment

Weeks

Once weekly Subcutaneous Dosage

Initiation

1 through 4

0.25 mg

Escalation

5 through 8

0.5 mg

9 through 12

1 mg

13 through 16

1.7 mg

Maintenance

17 and onward

1.7 mg or 2.4 mg

Maintenance Dosage

  • The maintenance dosage of WEGOVY in adults is either 2.4 mg (recommended) or 1.7 mg once weekly. Consider treatment response and tolerability when selecting the maintenance dosage [see Clinical Studies (14.2) ].
17 Patient Counseling Information (17 PATIENT COUNSELING INFORMATION)

Advise the patient to read the FDA-approved patient labeling (Medication Guide and Instructions for Use).

Risk of Thyroid C-cell Tumors

Inform patients that semaglutide causes thyroid C-cell tumors in rodents and that the human relevance of this finding has not been determined. Counsel patients to report symptoms of thyroid tumors (e.g., a lump in the neck, hoarseness, dysphagia, or dyspnea) to their physician [see Boxed Warning and Warnings and Precautions ( 5.1 )].

Acute Pancreatitis

Inform patients of the potential risk for acute pancreatitis. Instruct patients to discontinue WEGOVY promptly and contact their physician if pancreatitis is suspected (severe abdominal pain that may radiate to the back, and which may or may not be accompanied by vomiting) [see Warnings and Precautions ( 5.2 )].

Acute Gallbladder Disease

Inform patients of the risk of acute gallbladder disease. Advise patients that substantial or rapid weight loss can increase the risk of gallbladder disease, but that gallbladder disease may also occur in the absence of substantial or rapid weight loss. Instruct patients to contact their healthcare provider for appropriate clinical follow-up if gallbladder disease is suspected [see Warnings and Precautions ( 5.3 )].

Hypoglycemia

Inform patients of the risk of hypoglycemia and educate patients on the signs and symptoms of hypoglycemia. Advise patients with diabetes mellitus on glycemic lowering therapy that they may have an increased risk of hypoglycemia when using WEGOVY and to report signs and/or symptoms of hypoglycemia to their healthcare provider [see Warnings and Precautions ( 5.4 )].

Dehydration and Renal Impairment

Advise patients treated with WEGOVY of the potential risk of dehydration due to gastrointestinal adverse reactions and take precautions to avoid fluid depletion. Inform patients of the potential risk for worsening renal function and explain the associated signs and symptoms of renal impairment, as well as the possibility of dialysis as a medical intervention if renal failure occurs [see Warnings and Precautions ( 5.5 )].

Hypersensitivity Reactions

Inform patients that serious hypersensitivity reactions have been reported during postmarketing use of semaglutide, the active ingredient in WEGOVY. Advise patients on the symptoms of hypersensitivity reactions and instruct them to stop taking WEGOVY and seek medical advice promptly if such symptoms occur [see Warnings and Precautions ( 5.6 )].

Diabetic Retinopathy Complications in Patients with Type 2 Diabetes

Inform patients with type 2 diabetes to contact their physician if changes in vision are experienced during treatment with WEGOVY [see Warnings and Precautions ( 5.7 )].

Heart Rate Increase

Instruct patients to inform their healthcare providers of palpitations or feelings of a racing heartbeat while at rest during WEGOVY treatment [see Warnings and Precautions ( 5.8 )].

Suicidal Behavior and Ideation

Advise patients to report emergence or worsening of depression, suicidal thoughts or behavior, and/or any unusual changes in mood or behavior. Inform patients that if they experience suicidal thoughts or behaviors, they should stop taking WEGOVY [see Warnings and Precautions ( 5.9 )].

Pregnancy

WEGOVY may cause fetal harm. Advise patients to inform their healthcare provider of a known or suspected pregnancy. Advise patients who are exposed to WEGOVY during pregnancy to contact Novo Nordisk at 1-877-390-2760 or www.wegovypregnancyregistry.com [see Use in Specific Populations ( 8.1 )].

Manufactured by:

Novo Nordisk A/S

DK-2880 Bagsvaerd

Denmark

For additional information about WEGOVY contact:

Novo Nordisk Inc.

800 Scudders Mill Road

Plainsboro, NJ 08536

1-833-934-6891

Version: 4

WEGOVY® is a registered trademark of Novo Nordisk A/S.

PATENT INFORMATION: http://www.novonordisk-us.com/products/product-patents.html

© 2024 Novo Nordisk

5.1 Risk of Thyroid C Cell Tumors (5.1 Risk of Thyroid C-Cell Tumors)

In mice and rats, semaglutide caused a dose-dependent and treatment-duration-dependent increase in the incidence of thyroid C-cell tumors (adenomas and carcinomas) after lifetime exposure at clinically relevant plasma exposures [see Nonclinical Toxicology ( 13.1 )]. It is unknown whether WEGOVY causes thyroid C-cell tumors, including MTC, in humans, as human relevance of semaglutide-induced rodent thyroid C-cell tumors has not been determined.

Cases of MTC in patients treated with liraglutide, another GLP-1 receptor agonist, have been reported in the postmarketing period; the data in these reports are insufficient to establish or exclude a causal relationship between MTC and GLP-1 receptor agonist use in humans.

WEGOVY is contraindicated in patients with a personal or family history of MTC or in patients with MEN 2. Counsel patients regarding the potential risk for MTC with the use of WEGOVY and inform them of symptoms of thyroid tumors (e.g. a mass in the neck, dysphagia, dyspnea, persistent hoarseness).

Routine monitoring of serum calcitonin or using thyroid ultrasound is of uncertain value for early detection of MTC in patients treated with WEGOVY. Such monitoring may increase the risk of unnecessary procedures, due to the low-test specificity for serum calcitonin and a high background incidence of thyroid disease. Significantly elevated serum calcitonin value may indicate MTC and patients with MTC usually have calcitonin values greater than 50 ng/L. If serum calcitonin is measured and found to be elevated, the patient should be further evaluated. Patients with thyroid nodules noted on physical examination or neck imaging should also be further evaluated.

5.9 Suicidal Behavior and Ideation

Suicidal behavior and ideation have been reported in clinical trials with other weight management products. Monitor patients treated with WEGOVY for the emergence or worsening of depression, suicidal thoughts or behavior, and/or any unusual changes in mood or behavior. Discontinue WEGOVY in patients who experience suicidal thoughts or behaviors. Avoid WEGOVY in patients with a history of suicidal attempts or active suicidal ideation.

16 How Supplied/storage and Handling (16 HOW SUPPLIED/STORAGE AND HANDLING)

Product: 50090-5824

NDC: 50090-5824-0 .5 mL in a SYRINGE, PLASTIC / 4 in a CARTON

Warning: Risk of Thyroid C Cell Tumors (WARNING: RISK OF THYROID C-CELL TUMORS)
  • In rodents, semaglutide causes dose-dependent and treatment-duration-dependent thyroid C-cell tumors at clinically relevant exposures. It is unknown whether WEGOVY causes thyroid C-cell tumors, including medullary thyroid carcinoma (MTC), in humans as human relevance of semaglutide-induced rodent thyroid C-cell tumors has not been determined [see Warnings and Precautions ( 5.1 ) and Nonclinical Toxicology ( 13.1 )].
  • WEGOVY is contraindicated in patients with a personal or family history of MTC or in patients with Multiple Endocrine Neoplasia syndrome type 2 (MEN 2) [see Contraindications ( 4 )]. Counsel patients regarding the potential risk for MTC with the use of WEGOVY and inform them of symptoms of thyroid tumors (e.g. a mass in the neck, dysphagia, dyspnea, persistent hoarseness). Routine monitoring of serum calcitonin or using thyroid ultrasound is of uncertain value for early detection of MTC in patients treated with WEGOVY [see Contraindications ( 4 ) and Warnings and Precautions ( 5.1 )].
Wegovy (semaglutide) Injection, Solution (WEGOVY (SEMAGLUTIDE) INJECTION, SOLUTION)
2.4 Recommendations Regarding Missed Dose
  • If one dose is missed and the next scheduled dose is more than 2 days away (48 hours), administer WEGOVY as soon as possible. If one dose is missed and the next scheduled dose is less than 2 days away (48 hours), do not administer the dose. Resume dosing on the regularly scheduled day of the week.
  • If 2 or more consecutive doses are missed, resume dosing as scheduled or, if needed, reinitiate WEGOVY and follow the dose escalation schedule, which may reduce the occurrence of gastrointestinal symptoms associated with reinitiation of treatment.
8.3 Females and Males of Reproductive Potential

Because of the potential for fetal harm, discontinue WEGOVY in patients at least 2 months before they plan to become pregnant to account for the long half-life of semaglutide [see Use in Specific Populations ( 8.1 )].

2.1 Important Monitoring and Administration Instructions
  • In patients with type 2 diabetes, monitor blood glucose prior to starting WEGOVY and during WEGOVY treatment [see Warnings and Precautions (5.4 )].
  • Prior to initiation of WEGOVY, train patients on proper injection technique. Refer to the accompanying Instructions for Use for complete administration instructions with illustrations.
  • Inspect WEGOVY visually prior to each injection. Only use if solution is clear, colorless, and contains no particles.
  • Administer WEGOVY in combination with a reduced-calorie diet and increased physical activity.
  • Administer WEGOVY once weekly, on the same day each week, at any time of day, with or without meals.
  • Inject WEGOVY subcutaneously in the abdomen, thigh, or upper arm. The time of day and the injection site can be changed without dose adjustment.
13.1 Carcinogenesis, Mutagenesis, Impairment of Fertility

In a 2-year carcinogenicity study in CD-1 mice, subcutaneous doses of 0.3, 1 and 3 mg/kg/day (2-, 8-, and 22-fold the maximum recommended human dose [MRHD] of 2.4 mg/week, based on AUC) were administered to the males, and 0.1, 0.3 and 1 mg/kg/day (0.6-, 2-, and 5-fold MRHD) were administered to the females. A statistically significant increase in thyroid C-cell adenomas and a numerical increase in C-cell carcinomas were observed in males and females at all dose levels (greater than or equal to 0.6 times human exposure).

In a 2-year carcinogenicity study in Sprague Dawley rats, subcutaneous doses of 0.0025, 0.01, 0.025 and 0.1 mg/kg/day were administered (below quantification, 0.2-, 0.4-, and 2-fold the exposure at the MRHD). A statistically significant increase in thyroid C-cell adenomas was observed in males and females at all dose levels, and a statistically significant increase in thyroid C-cell carcinomas was observed in males at greater than or equal to 0.01 mg/kg/day, at clinically relevant exposures.

Human relevance of thyroid C-cell tumors in rats is unknown and could not be determined by clinical studies or nonclinical studies [see Boxed Warning and Warnings and Precautions ( 5.1 )]. Semaglutide was not mutagenic or clastogenic in a standard battery of genotoxicity tests (bacterial mutagenicity [Ames] human lymphocyte chromosome aberration, rat bone marrow micronucleus).

In a combined fertility and embryo-fetal development study in rats, subcutaneous doses of 0.01, 0.03 and 0.09 mg/kg/day (0.04-, 0.1-, and 0.4-fold the MRHD) were administered to male and female rats. Males were dosed for 4 weeks prior to mating, and females were dosed for 2 weeks prior to mating and throughout organogenesis until Gestation Day 17. No effects were observed on male fertility. In females, an increase in estrus cycle length was observed at all dose levels, together with a small reduction in numbers of corpora lutea at greater than or equal to 0.03 mg/kg/day. These effects were likely an adaptive response secondary to the pharmacological effect of semaglutide on food consumption and body weight.

2.3 Recommended Dosage in Pediatric Patients Aged 12 Years and Older

Dosage Initiation and Escalation

  • Initiate WEGOVY according to the dosage escalation schedule in Table 2 to minimize gastrointestinal adverse reactions [see Adverse Reactions (6.1) ] .
  • If patients do not tolerate a dose during dosage escalation, consider delaying dosage escalation for 4 weeks.
  • The 0.25 mg, 0.5 mg, and 1 mg once-weekly dosages are initiation and escalation dosages and are not approved as maintenance dosages.

    Table 2. Recommended Dosage Regimen for Pediatric Patients Aged 12 Years and Older

Treatment

Weeks

Once weekly Subcutaneous Dosage

Initiation

1 through 4

0.25 mga

Escalation

5 through 8

0.5 mga

9 through 12

1 mga

13 through 16

1.7 mgb

Maintenance

17 and onward

2.4 mg

aNot approved as maintenance dosages

bSee Dosage Modifications for Adverse Reactions

Maintenance Dosage

  • The maintenance dosage of WEGOVY in pediatric patients aged 12 years and older is 2.4 mg once weekly.

Dosage Modifications for Adverse Reactions

  • If patients do not tolerate the 2.4 mg once weekly maintenance dosage, the maintenance dosage may be reduced to 1.7 mg once weekly.
  • Discontinue WEGOVY if the patient cannot tolerate the 1.7 mg once-weekly dosage.
5.7 Diabetic Retinopathy Complications in Patients With Type 2 Diabetes (5.7 Diabetic Retinopathy Complications in Patients with Type 2 Diabetes)

In a trial of adult patients with type 2 diabetes and BMI greater than or equal to 27 kg/m2, diabetic retinopathy was reported by 4.0% of WEGOVY-treated patients and 2.7% placebo-treated patients.

In a 2-year trial with semaglutide 0.5 mg and 1 mg once-weekly injection in adult patients with type 2 diabetes and high cardiovascular risk, diabetic retinopathy complications (which was a 4-component adjudicated endpoint) occurred in patients treated with semaglutide injection (3.0%) compared to placebo (1.8%). The absolute risk increase for diabetic retinopathy complications was larger among patients with a history of diabetic retinopathy at baseline (semaglutide injection 8.2%, placebo 5.2%) than among patients without a known history of diabetic retinopathy (semaglutide injection 0.7%, placebo 0.4%).

Rapid improvement in glucose control has been associated with a temporary worsening of diabetic retinopathy. The effect of long-term glycemic control with semaglutide on diabetic retinopathy complications has not been studied. Patients with a history of diabetic retinopathy should be monitored for progression of diabetic retinopathy.

7.1 Concomitant Use With Insulin Or An Insulin Secretagogue (e.g., Sulfonylurea) (7.1 Concomitant Use with Insulin or an Insulin Secretagogue (e.g., Sulfonylurea))

WEGOVY lowers blood glucose and can cause hypoglycemia. The risk of hypoglycemia is increased when WEGOVY is used in combination with insulin or insulin secretagogues (e.g., sulfonylureas). The addition of WEGOVY in patients treated with insulin has not been evaluated.

When initiating WEGOVY, consider reducing the dose of concomitantly administered insulin secretagogue (such as sulfonylureas) or insulin to reduce the risk of hypoglycemia [see Warnings and Precautions ( 5.4 ) and Adverse Reactions ( 6.1 )].

14.2 Weight Reduction and Long Term Maintenance Studies in Adults With Obesity Or Overweight (14.2 Weight Reduction and Long-term Maintenance Studies in Adults with Obesity or Overweight)

Overview of Clinical Studies in Adults

The safety and efficacy of WEGOVY for weight reduction and long-term maintenance of body weight in conjunction with a reduced calorie diet and increased physical activity were studied in three 68-week, randomized, double-blind, placebo-controlled trials; one 68-week, randomized, double-blind, placebo withdrawal trial; and one 68-week, randomized, double-blind trial that investigated 2 different doses of WEGOVY versus placebo. In Studies 2 (NCT#03548935), 3 (NCT#03552757), and 4 (NCT#03611582), WEGOVY or matching placebo was escalated to 2.4 mg subcutaneous weekly during a 16-week period followed by 52 weeks on maintenance dose. In Study 5 (NCT#03548987), WEGOVY was escalated during a 20-week run-in period, and patients who reached a WEGOVY 2.4 mg subcutaneous weekly dosage after the run-in period were randomized to either continued treatment with WEGOVY or placebo for 48 weeks. In Study 6 (NCT#03811574), WEGOVY was escalated to 1.7 mg or 2.4 mg subcutaneous weekly dosages or placebo over 12 to 16 weeks followed by 52 weeks on either maintenance dose.

In Studies 2, 3 and 5, all patients received instruction for a reduced calorie diet (approximately 500 kcal/day deficit) and increased physical activity counseling (recommended to a minimum of 150 min/week) that began with the first dose of study medication or placebo and continued throughout the trial. In Study 4, patients received an initial 8-week low-calorie diet (total energy intake 1,000 to 1,200 kcal/day) followed by 60 weeks of a reduced calorie diet(1200-1800 kcal/day) and increased physical activity (100 mins/week with gradual increase to 200 mins/week).

Study 2 was a 68-week trial that enrolled 1,961 patients with obesity (BMI greater than or equal to 30 kg/m2) or with overweight (BMI 27-29.9 kg/m2) and at least one weight-related comorbid condition, such as treated or untreated dyslipidemia or hypertension; patients with type 2 diabetes mellitus were excluded. Patients were randomized in a 2:1 ratio to either WEGOVY or placebo. At baseline, mean age was 46 years (range 18-86), 74% were female, 75% were White, 13% were Asian and 6% were Black or African American. A total of 12% were Hispanic or Latino ethnicity. Mean baseline body weight was 105.3 kg and mean BMI was 37.9 kg/m2.

Study 3 was a 68-week trial that enrolled 807 patients with type 2 diabetes and BMI greater than or equal to 27 kg/m2. Patients included in the trial had HbA1c 7-10% and were treated with either: diet and exercise alone or 1 to 3 oral anti‑diabetic drugs (metformin, sulfonylurea, glitazone or sodium-glucose co-transporter 2 inhibitor). Patients were randomized in a 1:1 ratio to receive either WEGOVY or placebo. At baseline, the mean age was 55 years (range 19-84), 51% were female, 62% were White, 26% were Asian and 8% were Black or African American. A total of 13% were Hispanic or Latino ethnicity. Mean baseline body weight was 99.8 kg and mean BMI was 35.7 kg/m2.

Study 4 was a 68-week trial that enrolled 611 patients with obesity (BMI greater than or equal to 30 kg/m2) or with overweight (BMI 27-29.9 kg/m2) and at least one weight-related comorbid condition such as treated or untreated dyslipidemia or hypertension; patients with type 2 diabetes mellitus were excluded. The patients were randomized in a 2:1 ratio to receive either WEGOVY or placebo. At baseline, the mean age was 46 years, 81% were female, 76% were White, 19% were Black or African American and 2% were Asian. A total of 20% were Hispanic or Latino ethnicity. Mean baseline body weight was 105.8 kg and mean BMI was 38.0 kg/m2.

Study 5 was a 68-week trial that enrolled 902 patients with obesity (BMI greater than or equal to 30 kg/m2) or with overweight (BMI 27-29.9 kg/m2) and at least one weight-related comorbid condition such as treated or untreated dyslipidemia or hypertension; patients with type 2 diabetes mellitus were excluded. Mean body weight at baseline for the 902 patients was 106.8 kg and mean BMI was 38.3 kg/m². All patients received WEGOVY during the run-in period of 20 weeks that included 16 weeks of dose escalation. Trial product was permanently discontinued before randomization in 99 of 902 patients (11%); the most common reason was adversereactions (n=48, 5.3%); 803 patients reached WEGOVY 2.4 mg and were then randomized in a 2:1 ratio to either continue on WEGOVY or receive placebo. Among the 803 randomized patients, the mean age was 46 years, 79% were female, 84% were White, 13% were Black or African American, and 2% Asian. A total of 8% were Hispanic or Latino ethnicity. Mean body weight at randomization (week 20) was 96.1 kg and mean BMI at randomization (week 20) was 34.4 kg/m2.

Study 6 was a 68-week trial that enrolled 401 East-Asian patients (Japan and South Korea) with BMI greater than or equal to 35 kg/m2 and at least one weight-related comorbid condition or with BMI 27-34.9 kg/m2 and at least two weight-related comorbid conditions. The patients were randomized 2:1:1 to receive WEGOVY 2.4 mg, WEGOVY 1.7 mg, or placebo. At baseline, the mean age was 51 years, 63% were male, and all patients were Asian. Mean baseline body weight was 87.5 kg and mean BMI was 31.9 kg/m2. At baseline, 24.7% of patients had type 2 diabetes mellitus.

Results

The proportions of patients who discontinued study drug in Studies 2, 3, and 4 was 16.0% for the WEGOVY-treated group and 19.1% for the placebo-treated group, and 6.8% of patients treated with WEGOVY and 3.2% of patients treated with placebo discontinued treatment due to an adverse reaction [see Adverse Reactions (6.1)]. In Study 5, the proportions of patients who discontinued study drug were 5.8% and 11.6% for WEGOVY and placebo, respectively. In Study 6, the proportions of patients who discontinued study drug were 7.9%, 6.5%, and 3.0% for WEGOVY 1.7 mg, WEGOVY 2.4 mg, and placebo, respectively.

For Studies 2, 3 and 4, the primary efficacy parameters were mean percent change in body weight and the percentages of patients achieving greater than or equal to 5% weight loss from baseline to week 68.

After 68 weeks, treatment with WEGOVY resulted in a statistically significant reduction in body weight compared with placebo. Greater proportions of patients treated with WEGOVY achieved 5%, 10% and 15% weight loss than those treated with placebo as shown in Table 7.

  •  
    Table 7. Changes in Body Weight at Week 68 in Studies 2, 3, and 4
Study 2 (Obesity or overweight with comorbidity) Study 3 (Type 2 diabetes with obesity or overweight) Study 4 (Obesity or overweight with comorbidity undergoing intensive lifestyle therapy)
Intention-to-Treat1 PLACEBO

N = 655
WEGOVY

N = 1306
PLACEBO

N = 403
WEGOVY

N = 404
PLACEBO

N = 204
WEGOVY

N = 407

Body Weight

  •  
    Baseline mean (kg)

105.2

105.4

100.5

99.9

103.7

106.9

  •  
    % change from baseline (LSMean)

-2.4

-14.9

-3.4

-9.6

-5.7

-16.0

  •  
    % difference from placebo (LSMean) (95% CI)

-12.4

(‑13.3; ‑11.6)*

-6.2

(-7.3; -5.2)*

-10.3

(-11.8; -8.7)*

% of Patients losing greater than or equal to 5% body weight

31.1

83.5

30.2

67.4

47.8

84.8

  •  
    % difference from placebo (LSMean) (95% CI)

52.4

(48.1; 56.7)*

37.2 (30.7; 43.8)*

37.0 (28.9; 45.2)*

% of Patients losing greater than or equal to 10% body weight

12.0

66.1

10.2

44.5

27.1

73.0

  •  
    % difference from placebo (LSMean) (95% CI)

54.1

(50.4; 57.9)*

34.3 (28.4; 40.2)*

45.9 (38.0; 53.7)*

% of Patients losing greater than or equal to 15% body weight

4.8

47.9

4.3

25.1

13.2

53.4

  •  
    % difference from placebo (LSMean) (95% CI)

43.1

(39.8; 46.3)*

20.7

(15.7; 25.8)*

40.2 (33.1; 47.3)*

LSMean = least squares mean; CI = confidence interval

1The intent-to-treat population includes all randomized patients. In Study 2, at week 68, the body weight was missing for 7.2% and 11.9% of patients randomized to WEGOVY and placebo, respectively. In Study 3, at week 68, the body weight was missing for 4.0% and 6.7% of patients randomized to WEGOVY and placebo, respectively. In Study 4, at week 68, the body weight was missing for 8.4% and 7.4% of patients randomized to WEGOVY and placebo, respectively. Missing data were imputed from retrieved subjects of the same randomized treatment arm (RD-MI).

* p<0.0001 (unadjusted 2-sided) for superiority.

For Study 5, the primary efficacy parameter was mean percent change in body weight from randomization (week 20) to week 68.

From randomization (week 20) to week 68, treatment with WEGOVY resulted in a statistically significant reduction in body weight compared with placebo (Table 8). Because patients who discontinued WEGOVY during titration and those who did not reach the 2.4 mg weekly dose were not eligible for the randomized treatment period, the results may not reflect the experience of patients in the general population who are first starting WEGOVY.

  •  
    Table 8. Changes in Body Weight at Week 68 in Study 5 (Obesity or overweight with comorbidity after 20-week run-in)

WEGOVY

N = 8031

Body Weight (only randomized patients)

  •  
    Mean at week 0 (kg)

107.2

PLACEBO

N = 268

WEGOVY

N = 535

Body Weight

  •  
    Mean at week 20 (SD) (kg)

95.4 (22.7)

96.5 (22.5)

  •  
    % change from week 20 at week 68 (LSMean)

6.9

-7.9

  •  
    % difference from placebo (LSMean) (95% CI)

-14.8 (-16.0; -13.5)*

LSMean = least squares mean; CI = confidence interval

1902 patients were enrolled at week 0 with a mean baseline body weight of 106.8 kg. The intent-to-treat population includes all randomized patients. At week 68, the body weight was missing for 2.8% and 6.7% of patients randomized to WEGOVY and placebo, respectively. Missing data were imputed from retrieved subjects of the same randomized treatment arm (RD-MI).

*p<0.001 (unadjusted 2-sided) for superiority, controlled for multiplicity.

For Study 6, the primary efficacy parameters were mean percent change in body weight and the percentage of patients achieving greater than or equal to 5% weight loss from baseline to week 68.

After 68 weeks, treatment with WEGOVY 1.7 mg and 2.4 mg resulted in a statistically significant reduction in body weight compared with placebo. Greater proportions of patients treated with WEGOVY achieved 5%, 10%, and 15% weight loss than those treated with placebo as shown in Table 9.

Table 9. Changes in Body Weight at Week 68 in Study 6 in East-Asian Patients (WEGOVY 1.7 mg)

Study 6 (BMI ≥35 kg/m2 with at least one comorbidity or

BMI 27-34.9 kg/m2 with at least two comorbidities)

Intention-to-treat1

PLACEBO

N = 101

WEGOVY 1.7 mg

N = 101

WEGOVY 2.4 mg

N = 199

Body Weight

  •  
    Baseline mean (kg)

90.2

86.1

86.9

  •  
    % change from baseline (LSMean)

-2.1

-9.6

-13.2

  •  
    % difference from placebo
  •  
    (LSMean) (95% CI)

-7.5

(-9.6; -5.4)*

-11.1

(-12.9; -9.2)*

% of Patients losing greater than or equal to 5% body weight

19.4

72.8

84.0

  •  
    % difference from placebo (LSMean) (95% CI)

53.3

(41.0; 65.6)*

64.5

(54.8; 74.3)*

% of Patients losing greater than or equal to 10% body weight

4.5

39.1

59.9

  •  
    % difference from placebo (LSMean) (95% CI)

34.5

(23.9; 45.1)*

55.4

(47.3; 63.6)*

% of Patients losing greater than or equal to 15% body weight

2.6

20.8

38.2

  •  
    % difference from placebo (LSMean) (95% CI)

18.2

(9.8; 26.7)*

35.6

(27.9; 43.3)*

LSMean = least squares mean; CI = confidence interval

1The intent-to-treat population includes all randomized patients. At baseline, 24.7% of patients had type 2 diabetes mellitus. At week 68, the body weight was missing for 3%, 3%, and 1% of patients randomized to WEGOVY 1.7 mg, WEGOVY 2.4 mg, and placebo, respectively. Missing data were imputed from retrieved subjects of the same randomized treatment arm (RD-MI).

*p<0.0001 (unadjusted 2-sided) for superiority.

A reduction in body weight was observed with WEGOVY irrespective of age, sex, race, ethnicity, BMI at baseline, body weight (kg) at baseline, and level of renal function impairment.

The cumulative frequency distributions of change in body weight are shown in Figure 5 and Figure 6 for Studies 2 and 3. One way to interpret this figure is to select a change in body weight of interest on the horizontal axis and note the corresponding proportions of patients (vertical axis) in each treatment group who achieved at least that degree of weight loss. For example, note that the vertical line arising from ‑10% in Study 2 intersects the WEGOVY and placebo curves at approximately 66%, and 12%, respectively, which correspond to the values shown in Table 7.

  •  
    Figure 5. Change in body weight (%) from baseline to week 68 (Study 2)
  •  

Observed data from in-trial period including imputed data for missing observations (RD-MI).

  •  
    Figure 6. Change in body weight (%) from baseline to week 68 (Study 3)

Observed data from in-trial period including imputed data for missing observations (RD-MI).

The time courses of weight loss with WEGOVY and placebo from baseline through week 68 are depicted in Figure 7, Figure 8 and Figure 9.

  •  
    Figure 7. Change from baseline (%) in body weight (Study 2 on left and Study 3 on right)

Observed values for patients completing each scheduled visit, and estimates with multiple imputations from retrieved dropouts (RD-MI)

  •  
    Figure 8 Change from baseline (%) in body weight (Study 4 on left and Study 5a on right)

Observed values for patients completing each scheduled visit, and estimates with multiple imputations from retrieved dropouts (RD-MI)

aChange from week 0 was not a primary endpoint in study 5. Dotted line indicates time of randomization. Randomized patients (shown) do not include 99 patients that discontinued during the 20-week run-in period.

  •  
    Figure 9. Change in body weight (%) from baseline to week 68 (Study 6 in East-Asian Patients)

Observed values for patients completing each scheduled visit and estimates with multiple imputations from retrieved dropouts (RD-MI). At baseline, 24.7% of patients had type 2 diabetes mellitus.

Effect of WEGOVY on Anthropometry and Cardiometabolic Parameters in Adults

Changes in waist circumference and cardiometabolic parameters with WEGOVY are shown in Table 10 for Studies 2, 3, and 4; in Table 11 for Study 5; and in Table 12 for Study 6.

  •  
    Table 10. Changes in Anthropometry and Cardiometabolic Parameters at Week 68 in Studies 2, 3, and 4
Study 2 (Obesity or overweight with comorbidity) Study 3 (Type 2 diabetes with obesity or overweight) Study 4 (Obesity or overweight with comorbidity undergoing intensive lifestyle therapy)
Intention-to-Treat PLACEBO

N = 655
WEGOVY

N = 1306
PLACEBO

N = 403
WEGOVY

N = 404
PLACEBO

N = 204
WEGOVY

N = 407

Waist Circumference (cm)

  •  
    Baseline
  •  
    Changes from baseline (LSMean1)
  •  
    Difference from placebo (LSMean)

114.8

-4.1

114.6

-13.5

-9.4

115.5

-4.5

114.5

-9.4

-4.9

111.8

-6.3

113.6

-14.6

-8.3

Systolic Blood Pressure (mmHg)

  •  
    Baseline
  •  
    Changes from baseline (LSMean1)
  •  
    Difference from placebo (LSMean)

127

-1.1

126

-6.2

-5.1

130

-0.5

130

-3.9

-3.4

124

-1.6

124

-5.6

-3.9

Diastolic Blood Pressure (mmHg)2

  •  
    Baseline
  •  
    Changes from baseline (LSMean1)
  •  
    Difference from placebo (LSMean)

80

-0.4

80

-2.8

-2.4

80

-0.9

80

-1.6

-0.7

81

-0.8

80

-3.0

-2.2

Heart Rate2,3

  •  
    Baseline
  •  
    Changes from baseline (LSMean)
  •  
    Difference from placebo (LSMean)

72

-0.7

72

3.5

4.3

76

-0.2

75

2.5

2.7

71

2.1

71

3.1

1.0

HbA1c (%)2

  •  
    Baseline
  •  
    Changes from baseline (LSMean1)
  •  
    Difference from placebo (LSMean)

5.7

-0.2

5.7

-0.4

-0.3

8.1

-0.4

8.1

-1.6

-1.2

5.8

-0.3

5.7

-0.5

-0.2

Total Cholesterol (mg/dL)2,4

  •  
    Baseline
  •  
    Percent Change from baseline (LSMean1)
  •  
    Relative difference from placebo (LSMean)

192.1

0.1

189.6

-3.3

-3.3

170.8

-0.5

170.8

-1.4

-0.9

188.7

2.1

185.4

-3.9

-5.8

LDL Cholesterol (mg/dL)2,4

  •  
    Baseline
  •  
    Percent Change from baseline (LSMean1)
  •  
    Relative difference from placebo (LSMean)

112.5

1.3

110.3

-2.5

-3.8

90.1

0.1

90.1

0.5

0.4

111.8

2.6

107.7

-4.7

-7.1

HDL (mg/dL)2,4

  •  
    Baseline
  •  
    Percent Change from baseline (LSMean1)
  •  
    Relative difference from placebo (LSMean)

49.5

1.4

49.4

5.2

3.8

43.8

4.1

44.7

6.9

2.7

50.9

5.0

51.6

6.5

1.5

Triglycerides (mg/dL)2,4

  •  
    Baseline
  •  
    Percent Change from baseline (LSMean1)
  •  
    Relative difference from placebo (LSMean)

127.9

-7.3

126.2

-21.9

-15.8

159.5

-9.4

154.9

-22.0

-13.9

110.9

-6.5

107.9

-22.5

-17.0

Missing data were imputed from retrieved subjects of the same randomized treatment arm (RD-MI)

1Model based estimates based on an analysis of covariance model including treatment (and stratification factors for Study 3 only) as a factor and baseline value as a covariate

2Not included in the pre-specified hierarchical testing (except HbA1c for Study 3)

3Model based estimates based on a mixed model for repeated measures including treatment (and stratification factors for Study 3 only) as a factor and baseline values as a covariate

4Baseline value is the geometric mean

  •  
    Table 11. Mean Changes in Anthropometry and Cardiometabolic Parameters in Study 5 (Obesity or overweight with comorbidity after 20-week run-in)1

PLACEBO

N = 268

WEGOVY

N = 535

Randomization

(week 20)

Change from Randomization

(week 20) to week 68

(LSMean1)

Randomization

(week 20)

Change from Randomization (week 20) to week 68

(LSMean1)

Difference from placebo

(LSMean)

Waist Circumference (cm)

104.7

3.3

105.5

-6.4

-9.7

Systolic Blood Pressure (mmHg)

121

4.4

121

0.5

-3.9

Diastolic Blood Pressure (mmHg)2

78

0.9

78

0.3

-0.5

Heart Rate2,3

76

-5.3

76

-2.0

3.3

HbA1c (%)2

5.4

0.1

5.4

-0.1

-0.2

Randomization

(week 20)

% Change from Randomization

(week 20)

(LSMean1)

Randomization

(week 20)

% Change from Randomization

(week 20)

(LSMean1)

Relative difference from placebo (LSMean)

Total Cholesterol (mg/dL)2,4

175.1

11.4

175.9

4.9

-5.8

LDL Cholesterol (mg/dL)2,4

109.1

7.6

108.7

1.1

-6.1

HDL Cholesterol (mg/dL)2,4

43.6

17.8

44.5

18.2

0.3

Triglycerides (mg/dL)2,4

95.3

14.8

98.1

-5.6

-17.8

Missing data were imputed from retrieved subjects of the same randomized treatment arm (RD-MI)

1Model based estimates based on an analysis of covariance model including treatment as a factor and baseline value as a covariate

2Not included in the pre-specified hierarchical testing

3Model based estimates based on a mixed model for repeated measures including treatment as a factor and baseline values as a covariate

4Baseline value is the geometric mean

Table 12. Mean Changes in Anthropometry and Cardiometabolic Parameters at Week 68 in Study 6 in East-Asian Patients (WEGOVY 1.7 mg)

Study 6 (BMI ≥35 kg/m2 with at least one comorbidity or BMI 27-34.9 kg/m2 with at least two comorbidities)

Intention-to-treat

PLACEBO

N = 101

WEGOVY 1.7 mg

N = 101

WEGOVY 2.4 mg

N = 199

Waist circumference (cm)

Baseline

Change from baseline (LSMean1)

Difference from placebo (LSMean)

103.8

-1.8

101.4

-7.7

-5.9

103.8

-11.0

-9.3

Systolic blood pressure (mmHg)2

Baseline

Change from baseline (LSMean1)

Difference from placebo (LSMean)

133

-5.3

135

-10.8

-5.4

133

-10.8

-5.5

Diastolic blood pressure (mmHg)2

Baseline

Change from baseline (LSMean1)

Difference from placebo (LSMean)

86

-2.2

85

-4.6

-2.4

83

-5.3

-3.1

Heart Rate2, 3

Baseline

Change from baseline (LSMean)

Difference from placebo (LSMean)

73

2.4

73

4.4

2.0

73

6.3

3.9

HbA1c (%)2

Baseline

Change from baseline (LSMean1)

Difference from placebo (LSMean)

6.4

0.0

6.4

-0.9

-0.9

6.4

-0.9

-0.9

Total Cholesterol (mg/dL)2,4

Baseline

Percent change from baseline (LSMean1)

Relative difference from placebo (LSMean)

203.1

0.8

203.3

-6.6

-7.3

197.2

-8.7

-9.4

LDL Cholesterol (mg/dL)2,4

Baseline

Percent change from baseline (LSMean1)

Relative difference from placebo (LSMean)

123.3

-3.8

120.1

-10.1

-6.5

116.5

-14.6

-11.2

HDL Cholesterol (mg/dL)2,4

Baseline

Percent change from baseline (LSMean1)

Relative difference from placebo (LSMean)

48.7

5.9

50.2

6.7

0.7

50.8

9.2

3.1

Triglyceride (mg/dL)2,4

Baseline

Percent change from baseline (LSMean1)

Relative difference from placebo (LSMean)

134.2

5.5

138.8

-19.5

-23.7

127.1

-21.2

-25.3

Missing data were imputed from retrieved subjects of the same randomized treatment arm (RD-MI). At baseline, 24.7% of patients had type 2 diabetes mellitus.

1Model based estimates based on an analysis of covariance model including treatment and type 2 diabetes status as factors and baseline value as a covariate

2Not included in the pre-specified hierarchical testing

3Model based estimates based on a mixed model for repeated measures including treatment and type 2 diabetes status as factors and baseline values as a covariate

4Baseline value is the geometric mean

14.3 Weight Reduction and Long Term Maintenance Study in Pediatric Patients Aged 12 Years and Older With Obesity (14.3 Weight Reduction and Long-Term Maintenance Study in Pediatric Patients Aged 12 Years and Older with Obesity)

Overview of Clinical Trial in Pediatric Patients

WEGOVY was evaluated in a 68-week, double-blind, randomized, parallel group, placebo-controlled, multi-center trial in 201 pubertal pediatric patients aged 12 years and older with BMI corresponding to ≥95th percentile standardized for age and sex (Study 7) (NCT#04102189). After a 12-week lifestyle run-in period (including dietary recommendations and physical activity counseling), patients were randomized 2:1 to WEGOVY once weekly or placebo once weekly. WEGOVY or matching placebo was escalated to 2.4 mg or maximally tolerated dose during a 16-week period followed by 52 weeks on maintenance dose. Of WEGOVY-treated patients who completed the trial, 86.7% were on the 2.4 mg dose at the end of the trial; for 5% of patients, 1.7 mg was the maximum tolerated dose.

The mean age was 15 years; 38% of patients were male; 79% were White, 8% were Black or African American, 2% were Asian, and 11% were of other or unknown race; and 11% were of Hispanic or Latino ethnicity. The mean baseline body weight was 108 kg, and mean BMI was 37 kg/m2.

Results

The proportions of patients who discontinued study drug were 10% for the WEGOVY-treated group and 10% for the placebo-treated group.

The primary endpoint was percent change in BMI from baseline to week 68. After 68 weeks, treatment with WEGOVY resulted in a statistically significant reduction in percent BMI compared with placebo. Greater proportions of patients treated with WEGOVY achieved ≥5% reduction in baseline BMI than those treated with placebo as shown in Table 13.

Table 13. Changes in Weight and BMI at Week 68 in Pediatric Patients with Obesity Aged 12 Years and Older in Study 7

Intention-to-Treata PLACEBO

N = 67
WEGOVY

N = 134

BMI

  •  
    Baseline mean (kg/m2)

35.7

37.7

  •  
    % change from baseline in BMI (LSMean)

0.6

-16.1

  •  
    % difference from placebo
  •  
    (LSMean) (95% CI)

-16.7

(-20.3; -13.2)*

% of Patients with greater than or equal to 5% reduction in baseline BMIb

19.7

77.1

  •  
    % difference from placebo (LSMean)

57.4

% of Patients with greater than or equal to 10% reduction in baseline BMIb

7.7

65.1

  •  
    % difference from placebo (LSMean)

57.5

% of Patients with greater than or equal to 15% reduction in baseline BMIb

4.0

57.8

  •  
    % difference from placebo (LSMean)

53.9

Body Weightb

  •  
    Baseline mean (kg)

102.6

109.9

  •  
    % change from baseline (LSMean)a

2.7

-14.7

  •  
    % difference from placebo (LSMean)

-17.4

LSMean = least squares mean; CI = confidence interval

aThe intention-to-treat population includes all randomized patients. Missing data were imputed using available data according to value and timing of last available observation on treatment and endpoint’s baseline value from retrieved subjects (RD-MI). At week 68, the BMI was missing for 2.2% and 7.5% of patients randomized to WEGOVY and placebo, respectively.

bParameters not included in the pre-specified hierarchical testing.

* p<0.0001 (unadjusted 2-sided) for superiority.

The time course of change in BMI with WEGOVY and placebo from baseline through week 68 is depicted in Figure 10. The cumulative frequency distribution of change in BMI is shown in Figure 11.

Figure 10. Change from Baseline (%) in BMI in Pediatric Patients with Obesity Aged 12 Years and Older in Study 7

Observed values for patients completing each scheduled visit, and estimates with multiple imputations from retrieved dropouts (RD-MI)

Figure 11. Change in BMI (%) from Baseline to Week 68 in Pediatric Patients with Obesity Aged 12 Years and Older in Study 7

Observed data from in-trial period including imputed data for missing observations (RD-MI)

Effect of WEGOVY on Anthropometry and Cardiometabolic Parameters in Pediatric Patients with Obesity Aged 12 Years and Older

Changes in waist circumference and cardiometabolic parameters with WEGOVY are shown in Table 14 for the study in pediatric patients aged 12 years and older.

Table 14. Mean Changes in Anthropometry and Cardiometabolic Parameters in Pediatric Patients with Obesity Aged 12 Years and Older in Study 71

PLACEBO

N = 67

WEGOVY

N = 134

Baseline

Change from Baseline

(LSMean)

Baseline

Change from Baseline

(LSMean)

Difference from placebo

(LSMean)

Waist Circumference (cm)2

107.3

-0.6

111.9

-12.7

-12.1

Systolic Blood Pressure (mmHg)2

120

-0.8

120

-2.7

-1.9

Diastolic Blood Pressure (mmHg)2

73

-0.8

73

-1.4

-0.6

Heart Rate3

76

-2.3

79

1.2

3.5

HbA1c (%)2,4

5.4

-0.1

5.5

-0.4

-0.2

Baseline

% Change from Baseline

(LSMean)

Baseline

% Change from Baseline

(LSMean)

Relative difference from placebo (LSMean)

Total Cholesterol (mg/dL)2,5

160.1

-1.3

159.4

-8.3

-7.1

LDL Cholesterol (mg/dL)2,5

91.7

-3.6

89.8

-9.9

-6.6

HDL Cholesterol (mg/dL)2,5

43.3

3.2

43.7

8.0

4.7

Triglycerides (mg/dL)2,5

108.0

2.6

111.3

-28.4

-30.2

1Parameters listed in the table were not included in the pre-specified hierarchical testing.

2Missing data were imputed using available data according to value and timing of last available observation on treatment and endpoint’s baseline value from retrieved subjects (RD-MI). Model based estimates based on an analysis of covariance model including treatment and stratification groups (gender, Tanner stage group) and the interaction between stratification groups as factors and baseline value as a covariate.

3Model based estimates based on a mixed model for repeated measures including treatment as a factor and baseline value as a covariate all nested within visit.

4For patients without type 2 diabetes at randomization (N=129 for WEGOVY-treated patients and N=64 for placebo-treated patients).

5Baseline value is the geometric mean.

14.1 Cardiovascular Outcomes Trial in Adult Patients With Cardiovascular Disease and Either Obesity Or Overweight (14.1 Cardiovascular Outcomes Trial in Adult Patients with Cardiovascular Disease and Either Obesity or Overweight)

Overview of Clinical Trial

Study 1 (NCT03574597) was a multi-national, multi-center, placebo-controlled, double-blind trial to determine the effect of WEGOVY relative to placebo on major adverse cardiovascular events (MACE) when added to current standard of care, which included management of CV risk factors and individualized healthy lifestyle counseling (including diet and physical activity). The primary endpoint, MACE, was the time to first occurrence of a three-part composite outcome which included cardiovascular death, non-fatal myocardial infarction, and non-fatal stroke.

All patients were 45 years or older, with an initial BMI of 27 kg/m2 or greater and established cardiovascular disease (prior myocardial infarction, prior stroke, or peripheral arterial disease). Patients with a history of type 1 or type 2 diabetes were excluded. Concomitant CV therapies could be adjusted, at the discretion of the investigator, to ensure participants were treated according to the current standard of care for patients with established cardiovascular disease.

In this trial, 17,604 patients were randomized to WEGOVY or placebo. At baseline, the mean age was 62 years (range 45-93), 72% were male, 84% were White, 4% were Black or African American, and 8% were Asian, and 10% were Hispanic or Latino. Mean baseline body weight was 97 kg and mean BMI was 33 kg/m2. At baseline, prior myocardial infarction was reported in 76% of randomized individuals, prior stroke in 23%, and peripheral arterial disease in 9%. Heart failure was reported in 24% of patients. At baseline, cardiovascular disease and risk factors were managed with lipid-lowering therapy (90%), platelet aggregation inhibitors (86%), angiotensin converting enzyme inhibitors or angiotensin II receptor blockers (74%), and beta blockers (70%). A total of 10% had moderate renal impairment (eGFR 30 to <60 mL/min/1.73m2) and 0.4% had severe renal impairment eGFR <30 mL/min/1.73m2.

Results

In total, 96.9% of patients completed the trial, and vital status was available for 99.4% of patients. The median follow-up duration was 41.8 months. A total of 31% of WEGOVY-treated patients and 27% of placebo-treated patients permanently discontinued study drug.

For the primary analysis, a Cox proportional hazards model was used to test for superiority. Type 1 error was controlled across multiple tests.

WEGOVY significantly reduced the risk for first occurrence of MACE. The estimated hazard ratio (95% CI) was 0.80 (0.72, 0.90) (see Figure 4 and Table 5).

Figure 4. Cumulative Incidence Function: Time to First Occurrence of MACE in Study 1

Data from the in-trial period. Cumulative incidence estimates are based on time from randomization to first EAC-confirmed cardiovascular death, non-fatal myocardial infarction, or non-fatal stroke with non-CV death modeled as competing risk using the Aalen-Johansen estimator. Patients without events of interest were censored at the end of their in-trial observation period. Time from randomization to first cardiovascular death, non-fatal myocardial infarction, or non-fatal stroke was analyzed using a Cox proportional hazards model with treatment as categorical fixed factor. The hazard ratio and confidence interval are adjusted for the group sequential design using the likelihood ratio ordering.

HR: Hazard ratio; CI: confidence interval; CV: cardiovascular

The treatment effect for the primary composite endpoint, its components, and other relevant endpoints in Study 1 are shown in Table 5.

Table 5. Treatment Effect for MACE and Other Events in Study 1

Patients with events

n (%)

Placebo

N = 8,801

WEGOVY

N = 8,803

Hazard Ratio

(95% CI)

Primary composite endpoint

Composite of cardiovascular death, non-fatal myocardial infarction, or non-fatal stroke1

701 (8.0%)

569 (6.5%)

0.80 (0.72; 0.90)*2

Key secondary endpoints

Cardiovascular death3

262 (3.0%)

223 (2.5%)

0.85 (0.71; 1.01)

All-cause death4

458 (5.2%)

375 (4.3%)

0.81 (0.71; 0.93)

Other secondary endpoints

Fatal or non-fatal myocardial infarction5

334 (3.8%)

243 (2.8%)

0.72 (0.61; 0.85)

Fatal or non-fatal stroke5

178 (2.0%)

160 (1.8%)

0.89 (0.72; 1.11)

*p-value < 0.001, one-sided p-value

1Primary endpoint

2Adjusted for group sequential design using the likelihood ratio ordering.

3Cardiovascular death was the first confirmatory secondary endpoint in the testing hierarchy and superiority was not confirmed.

4Confirmatory secondary endpoint. Not statistically significant based on the prespecified testing hierarchy.

5Not included in the prespecified testing hierarchy for controlling type-I error.

NOTE: Time to first event was analyzed in a Cox proportional hazards model with treatment as factor. For patients with multiple events, only the first event contributed to the composite endpoint.

Table 6. Mean Changes in Anthropometry and Cardiometabolic Parameters at Week 104 in Study 11,2

PLACEBO

WEGOVY

Baseline

Change from Baseline

(LSMean)

Baseline

Change from Baseline

(LSMean)

Difference from Placebo

(LSMean)

Body Weight (kg)

96.8

-0.93

96.5

-9.43

-8.53

Waist Circumference (cm)

111.4

-1.0

111.3

-7.6

-6.5

Systolic Blood Pressure (mmHg)

131

-0.5

131

-3.8

-3.3

Diastolic Blood Pressure (mmHg)

79

-0.5

79

-1.0

-0.5

Heart Rate

69

0.7

69

3.8

3.1

HbA1c (%)

5.8

0.0

5.8

-0.3

-0.3

Baseline

% Change from Baseline

(LSMean)

Baseline

% Change from Baseline

(LSMean)

Relative difference from placebo (%)

(LSMean)

Total Cholesterol (mg/dL)4

156.0

-1.9

155.5

-4.6

-2.8

LDL Cholesterol (mg/dL)4

78.5

-3.1

78.5

-5.3

-2.2

HDL Cholesterol (mg/dL)4

44.2

0.6

44.1

4.9

4.2

Triglycerides (mg/dL)4

139.5

-3.2

138.6

-18.3

-15.6

1Parameters listed in the table were not included in the pre-specified hierarchical testing.

2Responses were analysed using an ANCOVA with treatment as fixed factor and baseline value as covariate. Before analysis, missing data were multiple imputed. The imputation model (linear regression) was done separately for each treatment arm and included baseline value as a covariate and was fitted to all subjects with a measurement regardless of treatment status at week 104.

3For body weight the ‘change from baseline’ and ‘difference to placebo’ the unit is percentage change from baseline.

4Baseline value is the geometric mean.

The reduction of MACE with WEGOVY was not impacted by age, sex, race, ethnicity, BMI at baseline, or level of renal function impairment.


Advanced Ingredient Data


Raw Label Data

All Sections (JSON)