Levsin

Levsin
SPL v6
SPL
SPL Set ID f38ece41-b890-11e2-9e96-0800200c9a66
Route
ORAL
Published
Effective Date 2013-05-14
Document Type 34391-3 HUMAN PRESCRIPTION DRUG LABEL

Drug Facts

Composition & Product

Active Ingredients
Hyoscyamine (0.125 mg)
Inactive Ingredients
Fd&c Blue No. 1 Lactose Monohydrate Magnesium Stearate Mannitol Starch, Corn Stearic Acid

Identifiers & Packaging

Pill Appearance
Imprint: AP;113 Shape: round Color: blue Size: 8 mm Score: 1
Marketing Status
UNAPPROVED DRUG OTHER Active Since 2008-12-01

Description

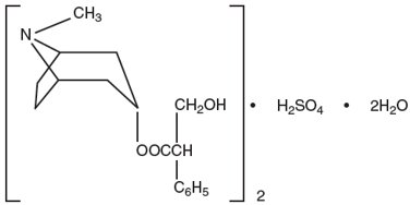
Levsin ® /SL tablets (hyoscyamine sulfate tablets USP) contain 0.125 mg hyoscyamine sulfate formulated for sublingual administration. However, the tablets may be chewed or taken orally. Levsin ® /SL is one of the principal anticholinergic/antispasmodic components of belladonna alkaloids. The empirical formula is (C 17 H 23 NO 3 ) 2 • H 2 SO 4 •2H 2 O and the molecular weight is 712.85. Chemically, it is benzeneacetic acid, α-(hydroxymethyl)-, 8-methyl-8-azabicyclo [3.2.1.] oct-3-yl ester, [3(S)-endo]-, sulfate (2:1), dihydrate with the following structure: Each tablet also contains as inactive ingredients: FD&C blue #1, lactose monohydrate, magnesium stearate, mannitol, starch and stearic acid.

Indications and Usage

Levsin ® /SL is effective as adjunctive therapy in the treatment of peptic ulcer. It can also be used to control gastric secretion, visceral spasm and hypermotility in spastic colitis, spastic bladder, cystitis, pylorospasm, and associated abdominal cramps. May be used in functional intestinal disorders to reduce symptoms such as those seen in mild dysenteries, diverticulitis, and acute enterocolitis. For use as adjunctive therapy in the treatment of irritable bowel syndrome (irritable colon, spastic colon, mucous colitis) and functional gastrointestinal disorders. Also used as adjunctive therapy in the treatment of neurogenic bladder and neurogenic bowel disturbances (including the splenic flexure syndrome and neurogenic colon). Also used in the treatment of infant colic (elixir and drops). Levsin ® /SL is indicated along with morphine or other narcotics in symptomatic relief of biliary and renal colic; as a “drying agent” in the relief of symptoms of acute rhinitis; in the therapy of Parkinsonism to reduce rigidity and tremors and to control associated sialorrhea and hyperhidrosis. May be used in the therapy of poisoning by anticholinesterase agents.

Dosage and Administration

Dosage may be adjusted according to the conditions and severity of symptoms. The tablets may be taken sublingually, orally or chewed. Adults and pediatric patients 12 years of age and older: 1 to 2 tablets every four hours or as needed. Do not exceed 12 tablets in 24 hours. Pediatric patients 2 to under 12 years of age: ½ to 1 tablet every four hours or as needed. Do not exceed 6 tablets in 24 hours.

Contraindications

Glaucoma; obstructive uropathy (for example, bladder neck obstruction due to prostatic hypertrophy); obstructive disease of the gastrointestinal tract (as in achalasia, pyloroduodenal stenosis); paralytic ileus, intestinal atony of elderly or debilitated patients; unstable cardiovascular status in acute hemorrhage; severe ulcerative colitis; toxic megacolon complicating ulcerative colitis; myasthenia gravis.

Adverse Reactions

All of the following adverse reactions have been reported with hyoscyamine sulfate. Adverse reactions may include dryness of the mouth; urinary hesitancy and retention; blurred vision; tachycardia; palpitations; mydriasis; increased ocular tension; loss of taste; headache; nervousness; drowsiness; weakness; fatigue; dizziness; insomnia; nausea; vomiting; impotence; constipation; bloated feeling; abdominal pain; diarrhea; allergic reactions or drug idiosyncrasies; urticaria and other dermal manifestations; ataxia; speech disturbance; some degree of mental confusion and/or excitement (especially in elderly persons); short-term memory loss; hallucinations; and decreased sweating.

Drug Interactions

Additive adverse effects resulting from cholinergic blockade may occur when Levsin ® /SL is administered concomitantly with other antimuscarinics, amantadine, haloperidol, phenothiazines, monoamine oxidase (MAO) inhibitors, tricyclic antidepressants or some antihistamines. Antacids may interfere with the absorption of Levsin ® /SL. Administer Levsin ® /SL before meals; antacids after meals.

How Supplied

Levsin ® /SL (hyoscyamine sulfate tablets USP) 0.125 mg are round, blue colored tablets that are imprinted with “AP” on one side and “113” on the other. Bottles of 100 NDC 68220-113-10 Store at controlled room temperature 20°-25°C (68°- 77°F); brief excursions permitted to 15°-30°C (59°- 86°F). Please refer to current USP. Dispense in tight, light-resistant containers as defined in USP/NF with a child-resistant closure. KEEP OUT OF REACH OF CHILDREN Also available as: Levsin ® Dosage Strength Package Size NDC Tablets 0.125 mg 100 68220-112-10 Sub-lingual Tablets 0.125 mg 100 68220-113-10 Levbid ® extended- release tablets 0.375 mg 100 68220-115-10 For more information, call Viatris at 1-877-446-3679 (1-877-4-INFO-RX). LEVSIN is a registered trademark of Alaven Pharmaceutical LLC, a Viatris Company. © 2025 Viatris Inc. Distributed by: Viatris Specialty LLC Morgantown, WV 26505 U.S.A. 201092-01 VS:SOV:LVBDSL:R1 Rev. 07/2025


Medication Information

Indications and Usage

Levsin®/SL is effective as adjunctive therapy in the treatment of peptic ulcer. It can also be used to control gastric secretion, visceral spasm and hypermotility in spastic colitis, spastic bladder, cystitis, pylorospasm, and associated abdominal cramps. May be used in functional intestinal disorders to reduce symptoms such as those seen in mild dysenteries, diverticulitis, and acute enterocolitis. For use as adjunctive therapy in the treatment of irritable bowel syndrome (irritable colon, spastic colon, mucous colitis) and functional gastrointestinal disorders. Also used as adjunctive therapy in the treatment of neurogenic bladder and neurogenic bowel disturbances (including the splenic flexure syndrome and neurogenic colon). Also used in the treatment of infant colic (elixir and drops). Levsin®/SL is indicated along with morphine or other narcotics in symptomatic relief of biliary and renal colic; as a “drying agent” in the relief of symptoms of acute rhinitis; in the therapy of Parkinsonism to reduce rigidity and tremors and to control associated sialorrhea and hyperhidrosis. May be used in the therapy of poisoning by anticholinesterase agents.

Dosage and Administration

Dosage may be adjusted according to the conditions and severity of symptoms. The tablets may be taken sublingually, orally or chewed.

Adults and pediatric patients 12 years of age and older: 1 to 2 tablets every four hours or as needed. Do not exceed 12 tablets in 24 hours.

Pediatric patients 2 to under 12 years of age: ½ to 1 tablet every four hours or as needed. Do not exceed 6 tablets in 24 hours.

Contraindications

Glaucoma; obstructive uropathy (for example, bladder neck obstruction due to prostatic hypertrophy); obstructive disease of the gastrointestinal tract (as in achalasia, pyloroduodenal stenosis); paralytic ileus, intestinal atony of elderly or debilitated patients; unstable cardiovascular status in acute hemorrhage; severe ulcerative colitis; toxic megacolon complicating ulcerative colitis; myasthenia gravis.

Adverse Reactions

All of the following adverse reactions have been reported with hyoscyamine sulfate. Adverse reactions may include dryness of the mouth; urinary hesitancy and retention; blurred vision; tachycardia; palpitations; mydriasis; increased ocular tension; loss of taste; headache; nervousness; drowsiness; weakness; fatigue; dizziness; insomnia; nausea; vomiting; impotence; constipation; bloated feeling; abdominal pain; diarrhea; allergic reactions or drug idiosyncrasies; urticaria and other dermal manifestations; ataxia; speech disturbance; some degree of mental confusion and/or excitement (especially in elderly persons); short-term memory loss; hallucinations; and decreased sweating.

Drug Interactions

Additive adverse effects resulting from cholinergic blockade may occur when Levsin®/SL is administered concomitantly with other antimuscarinics, amantadine, haloperidol, phenothiazines, monoamine oxidase (MAO) inhibitors, tricyclic antidepressants or some antihistamines.

Antacids may interfere with the absorption of Levsin®/SL. Administer Levsin®/SL before meals; antacids after meals.

How Supplied

Levsin®/SL (hyoscyamine sulfate tablets USP) 0.125 mg are round, blue colored tablets that are imprinted with “AP” on one side and “113” on the other.

Bottles of 100 NDC 68220-113-10

Store at controlled room temperature 20°-25°C (68°- 77°F); brief excursions permitted to 15°-30°C (59°- 86°F). Please refer to current USP.

Dispense in tight, light-resistant containers as defined in USP/NF with a child-resistant closure.

KEEP OUT OF REACH OF CHILDREN

Also available as:

Levsin®

Dosage Strength

Package Size

NDC

Tablets

0.125 mg

100

68220-112-10

Sub-lingual Tablets

0.125 mg

100

68220-113-10

Levbid® extended-

release tablets

0.375 mg

100

68220-115-10

For more information, call Viatris at 1-877-446-3679 (1-877-4-INFO-RX).

LEVSIN is a registered trademark of Alaven Pharmaceutical LLC, a Viatris Company.

© 2025 Viatris Inc.

Distributed by:

Viatris Specialty LLC

Morgantown, WV 26505 U.S.A.

201092-01

VS:SOV:LVBDSL:R1

Rev. 07/2025

Description

Levsin®/SL tablets (hyoscyamine sulfate tablets USP) contain 0.125 mg hyoscyamine sulfate formulated for sublingual administration. However, the tablets may be chewed or taken orally.

Levsin® /SL is one of the principal anticholinergic/antispasmodic components of belladonna alkaloids. The empirical formula is (C17H23NO3)2 • H2SO4•2H2O and the molecular weight is 712.85. Chemically, it is benzeneacetic acid, α-(hydroxymethyl)-, 8-methyl-8-azabicyclo [3.2.1.] oct-3-yl ester, [3(S)-endo]-, sulfate (2:1), dihydrate with the following structure:

Each tablet also contains as inactive ingredients: FD&C blue #1, lactose monohydrate, magnesium stearate, mannitol, starch and stearic acid.

General

Use with caution in patients with: autonomic neuropathy, hyperthyroidism, coronary heart disease, congestive heart failure, cardiac arrhythmias, hypertension, and renal disease. Investigate any tachycardia before giving any anticholinergic drugs since they may increase the heart rate. Use with caution in patients with hiatal hernia associated with reflux esophagitis.

Warnings

In the presence of high environmental temperature, heat prostration can occur with drug use (fever and heat stroke due to decreased sweating). Diarrhea may be an early symptom of incomplete intestinal obstruction especially in patients with ileostomy or colostomy. In this instance, treatment with this drug would be inappropriate and possibly harmful. Like other anticholinergic agents, Levsin®/SL may produce drowsiness, dizziness or blurred vision. In this event, the patient should be warned not to engage in activities requiring mental alertness such as operating a motor vehicle or other machinery or to perform hazardous work while taking this drug.

Psychosis has been reported in sensitive individuals given anticholinergic drugs including hyoscyamine sulfate. CNS signs and symptoms include confusion, disorientation, short-term memory loss, hallucinations, dysarthria, ataxia, euphoria, anxiety, fatigue, insomnia, agitation and mannerisms, and inappropriate affect. These CNS signs and symptoms usually resolve within 12 to 48 hours after discontinuation of the drug.

Pregnancy

Animal reproduction studies have not been conducted with Levsin®/SL. It is also not known whether Levsin®/SL can cause fetal harm when administered to a pregnant woman or can affect reproduction capacity. Levsin®/SL should be given to a pregnant woman only if clearly needed.

Overdosage

The signs and symptoms of overdose are headache, nausea, vomiting, blurred vision, dilated pupils, hot dry skin, dizziness, dryness of the mouth, difficulty in swallowing, and CNS stimulation.

Measures to be taken are immediate lavage of the stomach and injection of physostigmine 0.5 to 2 mg intravenously and repeated as necessary up to a total of 5 mg. Fever may be treated symptomatically (tepid water sponge baths, hypothermic blanket). Excitement to a degree which demands attention may be managed with sodium thiopental 2% solution given slowly intravenously or chloral hydrate (100-200 mL of a 2% solution) by rectal infusion. In the event of progression of the curare-like effect to paralysis of the respiratory muscles, artificial respiration should be instituted and maintained until effective respiratory action returns.

In rats, the LD50 for hyoscyamine is 375 mg/kg. Levsin®/SL is dialyzable.

Geriatric Use

Reported clinical experience has not identified differences in safety between patients aged 65 and over and younger patients. In general, dose selection for an elderly patient should be cautious, usually starting at the low end of the dosing range, reflecting the greater frequency of decreased hepatic, renal, or cardiac function, and of concomitant disease or other drug therapy.

This drug is known to be substantially excreted by the kidney, and the risk of toxic reactions to this drug may be greater in patients with impaired renal function. Because elderly patients are more likely to have decreased renal function, care should be taken in dose selection, and it may be useful to monitor renal function.

Nursing Mothers

Levsin®/SL is excreted in human milk. Caution should be exercised when Levsin®/SL is administered to a nursing woman.

Clinical Pharmacology

Levsin®/SL inhibits specifically the actions of acetylcholine on structures innervated by postganglionic cholinergic nerves and on smooth muscles that respond to acetylcholine but lack cholinergic innervation. These peripheral cholinergic receptors are present in the autonomic effector cells of the smooth muscle, cardiac muscle, the sinoatrial node, the atrioventricular node, and the exocrine glands. At therapeutic doses, it is completely devoid of any action on autonomic ganglia. Levsin®/SL inhibits gastrointestinal propulsive motility and decreases gastric acid secretion. Levsin®/SL also controls excessive pharyngeal, tracheal and bronchial secretions.

Levsin®/SL is absorbed totally and completely by sublingual administration as well as oral administration. Once absorbed, Levsin®/SL disappears rapidly from the blood and is distributed throughout the entire body. The half-life of Levsin®/SL is 2 to 3½ hours. Levsin®/SL is partly hydrolyzed to tropic acid and tropine but the majority of the drug is excreted in the urine unchanged within the first 12 hours. Only traces of this drug are found in breast milk. Levsin®/SL passes the blood brain barrier and the placental barrier. The tablets can be taken orally with the same pharmacological effects occurring; however, the effects may not occur as rapidly as with sublingual administration.

Information for Patients

Like other anticholinergic agents, Levsin®/SL may produce drowsiness, dizziness, or blurred vision. In this event, the patient should be warned not to engage in activities requiring mental alertness such as operating a motor vehicle or other machinery or to perform hazardous work while taking this drug.

Use of Levsin®/SL may decrease sweating resulting in heat prostration, fever or heat stroke; febrile patients or those who may be exposed to elevated environmental temperatures should use caution.

Principal Display Panel – 0.125 Mg

NDC 68220-113-10

Levsin®/SL Tablets

(hyoscyamine sulfate tablets USP)

0.125 mg

sublingual / chewable / oral

Rx only

100 tablets

Each tablet contains 0.125 mg hyoscyamine sulfate, USP.

USUAL DOSAGE:  See package insert for full prescribing information.

Dispense in tight, light-resistant containers as defined in USP/NF with a

child-resistant closure.

Store at controlled room temperature 20° - 25°C (68° - 77°F); brief

excursions permitted to 15° - 30°C (59° - 86°F). Please refer to current USP.

Distributed by: Viatris Specialty LLC

Morgantown, WV 26505 U.S.A.

LEVSIN is a registered trademark

of Alaven Pharmaceutical LLC,

a Viatris Company.

© 2025 Viatris Inc.

VSSOV113A1

200952-01 Rev 07/2025

Carcinogenesis, Mutagenesis, Impairment of Fertility

No long-term studies in animals have been performed to determine the carcinogenic, mutagenic or impairment of fertility potential of Levsin®/SL; however, 40 years of marketing experience with hyoscyamine sulfate shows no demonstrable evidence of a problem.


Structured Label Content

General

Use with caution in patients with: autonomic neuropathy, hyperthyroidism, coronary heart disease, congestive heart failure, cardiac arrhythmias, hypertension, and renal disease. Investigate any tachycardia before giving any anticholinergic drugs since they may increase the heart rate. Use with caution in patients with hiatal hernia associated with reflux esophagitis.

Warnings (WARNINGS)

In the presence of high environmental temperature, heat prostration can occur with drug use (fever and heat stroke due to decreased sweating). Diarrhea may be an early symptom of incomplete intestinal obstruction especially in patients with ileostomy or colostomy. In this instance, treatment with this drug would be inappropriate and possibly harmful. Like other anticholinergic agents, Levsin®/SL may produce drowsiness, dizziness or blurred vision. In this event, the patient should be warned not to engage in activities requiring mental alertness such as operating a motor vehicle or other machinery or to perform hazardous work while taking this drug.

Psychosis has been reported in sensitive individuals given anticholinergic drugs including hyoscyamine sulfate. CNS signs and symptoms include confusion, disorientation, short-term memory loss, hallucinations, dysarthria, ataxia, euphoria, anxiety, fatigue, insomnia, agitation and mannerisms, and inappropriate affect. These CNS signs and symptoms usually resolve within 12 to 48 hours after discontinuation of the drug.

Pregnancy

Animal reproduction studies have not been conducted with Levsin®/SL. It is also not known whether Levsin®/SL can cause fetal harm when administered to a pregnant woman or can affect reproduction capacity. Levsin®/SL should be given to a pregnant woman only if clearly needed.

Overdosage (OVERDOSAGE)

The signs and symptoms of overdose are headache, nausea, vomiting, blurred vision, dilated pupils, hot dry skin, dizziness, dryness of the mouth, difficulty in swallowing, and CNS stimulation.

Measures to be taken are immediate lavage of the stomach and injection of physostigmine 0.5 to 2 mg intravenously and repeated as necessary up to a total of 5 mg. Fever may be treated symptomatically (tepid water sponge baths, hypothermic blanket). Excitement to a degree which demands attention may be managed with sodium thiopental 2% solution given slowly intravenously or chloral hydrate (100-200 mL of a 2% solution) by rectal infusion. In the event of progression of the curare-like effect to paralysis of the respiratory muscles, artificial respiration should be instituted and maintained until effective respiratory action returns.

In rats, the LD50 for hyoscyamine is 375 mg/kg. Levsin®/SL is dialyzable.

Description (DESCRIPTION)

Levsin®/SL tablets (hyoscyamine sulfate tablets USP) contain 0.125 mg hyoscyamine sulfate formulated for sublingual administration. However, the tablets may be chewed or taken orally.

Levsin® /SL is one of the principal anticholinergic/antispasmodic components of belladonna alkaloids. The empirical formula is (C17H23NO3)2 • H2SO4•2H2O and the molecular weight is 712.85. Chemically, it is benzeneacetic acid, α-(hydroxymethyl)-, 8-methyl-8-azabicyclo [3.2.1.] oct-3-yl ester, [3(S)-endo]-, sulfate (2:1), dihydrate with the following structure:

Each tablet also contains as inactive ingredients: FD&C blue #1, lactose monohydrate, magnesium stearate, mannitol, starch and stearic acid.

How Supplied (HOW SUPPLIED)

Levsin®/SL (hyoscyamine sulfate tablets USP) 0.125 mg are round, blue colored tablets that are imprinted with “AP” on one side and “113” on the other.

Bottles of 100 NDC 68220-113-10

Store at controlled room temperature 20°-25°C (68°- 77°F); brief excursions permitted to 15°-30°C (59°- 86°F). Please refer to current USP.

Dispense in tight, light-resistant containers as defined in USP/NF with a child-resistant closure.

KEEP OUT OF REACH OF CHILDREN

Also available as:

Levsin®

Dosage Strength

Package Size

NDC

Tablets

0.125 mg

100

68220-112-10

Sub-lingual Tablets

0.125 mg

100

68220-113-10

Levbid® extended-

release tablets

0.375 mg

100

68220-115-10

For more information, call Viatris at 1-877-446-3679 (1-877-4-INFO-RX).

LEVSIN is a registered trademark of Alaven Pharmaceutical LLC, a Viatris Company.

© 2025 Viatris Inc.

Distributed by:

Viatris Specialty LLC

Morgantown, WV 26505 U.S.A.

201092-01

VS:SOV:LVBDSL:R1

Rev. 07/2025

Geriatric Use

Reported clinical experience has not identified differences in safety between patients aged 65 and over and younger patients. In general, dose selection for an elderly patient should be cautious, usually starting at the low end of the dosing range, reflecting the greater frequency of decreased hepatic, renal, or cardiac function, and of concomitant disease or other drug therapy.

This drug is known to be substantially excreted by the kidney, and the risk of toxic reactions to this drug may be greater in patients with impaired renal function. Because elderly patients are more likely to have decreased renal function, care should be taken in dose selection, and it may be useful to monitor renal function.

Nursing Mothers

Levsin®/SL is excreted in human milk. Caution should be exercised when Levsin®/SL is administered to a nursing woman.

Adverse Reactions (ADVERSE REACTIONS)

All of the following adverse reactions have been reported with hyoscyamine sulfate. Adverse reactions may include dryness of the mouth; urinary hesitancy and retention; blurred vision; tachycardia; palpitations; mydriasis; increased ocular tension; loss of taste; headache; nervousness; drowsiness; weakness; fatigue; dizziness; insomnia; nausea; vomiting; impotence; constipation; bloated feeling; abdominal pain; diarrhea; allergic reactions or drug idiosyncrasies; urticaria and other dermal manifestations; ataxia; speech disturbance; some degree of mental confusion and/or excitement (especially in elderly persons); short-term memory loss; hallucinations; and decreased sweating.

Contraindications (CONTRAINDICATIONS)

Glaucoma; obstructive uropathy (for example, bladder neck obstruction due to prostatic hypertrophy); obstructive disease of the gastrointestinal tract (as in achalasia, pyloroduodenal stenosis); paralytic ileus, intestinal atony of elderly or debilitated patients; unstable cardiovascular status in acute hemorrhage; severe ulcerative colitis; toxic megacolon complicating ulcerative colitis; myasthenia gravis.

Drug Interactions

Additive adverse effects resulting from cholinergic blockade may occur when Levsin®/SL is administered concomitantly with other antimuscarinics, amantadine, haloperidol, phenothiazines, monoamine oxidase (MAO) inhibitors, tricyclic antidepressants or some antihistamines.

Antacids may interfere with the absorption of Levsin®/SL. Administer Levsin®/SL before meals; antacids after meals.

Clinical Pharmacology (CLINICAL PHARMACOLOGY)

Levsin®/SL inhibits specifically the actions of acetylcholine on structures innervated by postganglionic cholinergic nerves and on smooth muscles that respond to acetylcholine but lack cholinergic innervation. These peripheral cholinergic receptors are present in the autonomic effector cells of the smooth muscle, cardiac muscle, the sinoatrial node, the atrioventricular node, and the exocrine glands. At therapeutic doses, it is completely devoid of any action on autonomic ganglia. Levsin®/SL inhibits gastrointestinal propulsive motility and decreases gastric acid secretion. Levsin®/SL also controls excessive pharyngeal, tracheal and bronchial secretions.

Levsin®/SL is absorbed totally and completely by sublingual administration as well as oral administration. Once absorbed, Levsin®/SL disappears rapidly from the blood and is distributed throughout the entire body. The half-life of Levsin®/SL is 2 to 3½ hours. Levsin®/SL is partly hydrolyzed to tropic acid and tropine but the majority of the drug is excreted in the urine unchanged within the first 12 hours. Only traces of this drug are found in breast milk. Levsin®/SL passes the blood brain barrier and the placental barrier. The tablets can be taken orally with the same pharmacological effects occurring; however, the effects may not occur as rapidly as with sublingual administration.

Indications and Usage (INDICATIONS AND USAGE)

Levsin®/SL is effective as adjunctive therapy in the treatment of peptic ulcer. It can also be used to control gastric secretion, visceral spasm and hypermotility in spastic colitis, spastic bladder, cystitis, pylorospasm, and associated abdominal cramps. May be used in functional intestinal disorders to reduce symptoms such as those seen in mild dysenteries, diverticulitis, and acute enterocolitis. For use as adjunctive therapy in the treatment of irritable bowel syndrome (irritable colon, spastic colon, mucous colitis) and functional gastrointestinal disorders. Also used as adjunctive therapy in the treatment of neurogenic bladder and neurogenic bowel disturbances (including the splenic flexure syndrome and neurogenic colon). Also used in the treatment of infant colic (elixir and drops). Levsin®/SL is indicated along with morphine or other narcotics in symptomatic relief of biliary and renal colic; as a “drying agent” in the relief of symptoms of acute rhinitis; in the therapy of Parkinsonism to reduce rigidity and tremors and to control associated sialorrhea and hyperhidrosis. May be used in the therapy of poisoning by anticholinesterase agents.

Information for Patients

Like other anticholinergic agents, Levsin®/SL may produce drowsiness, dizziness, or blurred vision. In this event, the patient should be warned not to engage in activities requiring mental alertness such as operating a motor vehicle or other machinery or to perform hazardous work while taking this drug.

Use of Levsin®/SL may decrease sweating resulting in heat prostration, fever or heat stroke; febrile patients or those who may be exposed to elevated environmental temperatures should use caution.

Dosage and Administration (DOSAGE AND ADMINISTRATION)

Dosage may be adjusted according to the conditions and severity of symptoms. The tablets may be taken sublingually, orally or chewed.

Adults and pediatric patients 12 years of age and older: 1 to 2 tablets every four hours or as needed. Do not exceed 12 tablets in 24 hours.

Pediatric patients 2 to under 12 years of age: ½ to 1 tablet every four hours or as needed. Do not exceed 6 tablets in 24 hours.

Principal Display Panel – 0.125 Mg (PRINCIPAL DISPLAY PANEL – 0.125 mg)

NDC 68220-113-10

Levsin®/SL Tablets

(hyoscyamine sulfate tablets USP)

0.125 mg

sublingual / chewable / oral

Rx only

100 tablets

Each tablet contains 0.125 mg hyoscyamine sulfate, USP.

USUAL DOSAGE:  See package insert for full prescribing information.

Dispense in tight, light-resistant containers as defined in USP/NF with a

child-resistant closure.

Store at controlled room temperature 20° - 25°C (68° - 77°F); brief

excursions permitted to 15° - 30°C (59° - 86°F). Please refer to current USP.

Distributed by: Viatris Specialty LLC

Morgantown, WV 26505 U.S.A.

LEVSIN is a registered trademark

of Alaven Pharmaceutical LLC,

a Viatris Company.

© 2025 Viatris Inc.

VSSOV113A1

200952-01 Rev 07/2025

Carcinogenesis, Mutagenesis, Impairment of Fertility

No long-term studies in animals have been performed to determine the carcinogenic, mutagenic or impairment of fertility potential of Levsin®/SL; however, 40 years of marketing experience with hyoscyamine sulfate shows no demonstrable evidence of a problem.


Advanced Ingredient Data


Raw Label Data

All Sections (JSON)