These Highlights Do Not Include All The Information Needed To Use Bupivacaine Hydrochloride Injection Safely And Effectively. See Full Prescribing Information For Bupivacaine Hydrochloride Injection.

These Highlights Do Not Include All The Information Needed To Use Bupivacaine Hydrochloride Injection Safely And Effectively. See Full Prescribing Information For Bupivacaine Hydrochloride Injection.
SPL v2
SPL
SPL Set ID f29c905e-9a55-446f-a89d-860ad9ade7ad
Routes
EPIDURAL PERINEURAL INTRACAUDAL
Published
Effective Date 2023-03-31
Document Type 34391-3 HUMAN PRESCRIPTION DRUG LABEL

Drug Facts

Composition & Product

Active Ingredients
Bupivacaine (2.5 mg)

Identifiers & Packaging

Marketing Status
ANDA Active Since 2023-06-01

Description

There have been reports of cardiac arrest with difficult resuscitation or death during use of bupivacaine hydrochloride injection for epidural anesthesia in obstetrical patients. In most cases, this has followed use of the 0.75% (7.5 mg/mL) concentration. Resuscitation has been difficult or impossible despite apparently adequate preparation and appropriate management. Cardiac arrest has occurred after convulsions resulting from systemic toxicity, presumably following unintentional intravascular injection. The 0.75% (7.5 mg/mL) concentration of bupivacaine hydrochloride injection is not recommended for obstetrical anesthesia and should be reserved for surgical procedures where a high degree of muscle relaxation and prolonged effect are necessary [see Warnings and Precautions (5.1) ] .

Indications and Usage

Bupivacaine hydrochloride injection is indicated in adults for the production of local or regional anesthesia or analgesia for surgery and oral surgery procedures, diagnostic and therapeutic procedures, and for obstetrical procedures. Specific concentrations and presentations of bupivacaine hydrochloride injection are recommended for each type of block indicated to produce local or regional anesthesia or analgesia [see Dosage and Administration (2.2) ].

Dosage and Administration

Not for intrathecal use. ( 2.1 ) Avoid use of solutions containing antimicrobial preservatives (i.e., multiple-dose vials) for epidural or caudal anesthesia. ( 2.1 , 5.4 ) See full prescribing information for: — Recommended concentrations and dosages of bupivacaine hydrochloride injection according to type of block. ( 2.2 ) — Additional dosage and administration information pertaining to use in epidural anesthesia and use in ophthalmic surgery. ( 2.3 , 2.4, 2.5, 2.6 )

Warnings and Precautions

Dose-Related Toxicity : Monitor cardiovascular and respiratory vital signs and patient's state of consciousness after injection of bupivacaine hydro- chloride injection. ( 5.2 ) Methemoglobinemia : Cases of methemoglobinemia have been reported in association with local anesthetic use. See full prescribing information for more detail on managing these risks. ( 5.3 ) Chondrolysis with Intra-Articular Infusion : Intra-articular infusions of local anesthetics including bupivacaine hydrochloride injection following ar- throscopic and other surgical procedures is an unapproved use, and there have been post-marketing reports of chondrolysis in patients receiving such infusions. ( 5.5 ) Risk of Cardiac Arrest with Intravenous Regional Anesthesia Use (Bier Block) : There have been reports of cardiac arrest and death during the use of bupivacaine for intravenous regional anesthesia (Bier Block). ( 5.7 ) Risk of Systemic Toxicities with Unintended Intravascular or Intrathecal Injection : Unintended intravascular or intrathecal injection may be associated with systemic toxicities, including CNS or cardiorespiratory depression and coma, progressing ultimately to respiratory arrest. Aspirate for blood or cerebrospinal fluid (where applicable) prior to each dose. ( 5.9 )

Contraindications

Bupivacaine hydrochloride injection is contraindicated in: obstetrical paracervical block anesthesia. Its use in this technique has resulted in fetal bradycardia and death. intravenous regional anesthesia (Bier Block) [see Warnings and Precautions (5.7) ] . patients with a known hypersensitivity to bupivacaine or to any local anesthetic agent of the amide-type or to other components of bupivacaine hydrochloride injection.

Adverse Reactions

The following clinically significant adverse reactions have been reported and described in the Warnings and Precautions section of the labeling: Cardiac Arrest in Obstetrical Anesthesia [see Warnings and Precautions (5.1) ] Dose-Related Toxicity [see Warnings and Precautions (5.2) ] Methemoglobinemia [see Warnings and Precautions (5.3) ] Chondrolysis with Intra-Articular Infusion [see Warnings and Precautions (5.5) ] Cardiac Arrest with Intravenous Regional Anesthesia Use [see Contraindications (4) , Warnings and Precautions (5.7) ] Systemic Toxicities with Unintended Intravascular or Intrathecal Injection [see Warnings and Precautions (5.9) ] Respiratory Arrest Following Retrobulbar Block [see Warnings and Precautions (5.15) ] The following adverse reactions from voluntary reports or clinical studies have been reported with bupivacaine. Because many of these reactions were reported voluntarily from a population of uncertain size, it is not always possible to reliably estimate their frequency or establish a causal relationship to drug exposure. Adverse reactions to bupivacaine hydrochloride injection are characteristic of those associated with other amide-type local anesthetics. A major cause of adverse reactions to this group of drugs is excessive plasma levels, which may be due to overdosage, unintentional intravascular injection, or slow metabolic degradation. The most commonly encountered acute adverse reactions that demand immediate counter-measures were related to the CNS and the cardiovascular system. These adverse reactions were generally dose-related and due to high plasma levels which may have resulted from overdosage, rapid absorption from the injection site, diminished tolerance, or from unintentional intravascular injection of the local anesthetic solution. In addition to systemic dose-related toxicity, unintentional intrathecal injection of drug during the intended performance of caudal or lumbar epidural block or nerve blocks near the vertebral column (especially in the head and neck region) has resulted in underventilation or apnea ("Total or High Spinal"). Also, hypotension due to loss of sympathetic tone and respiratory paralysis or underventilation due to cephalad extension of the motor level of anesthesia have occurred. This has led to secondary cardiac arrest when untreated. Nervous System Disorders : Adverse reactions were characterized by excitation and/or depression of the central nervous system and included restlessness, anxiety, dizziness, tinnitus, blurred vision, tremors, convulsions, drowsiness, unconsciousness, respiratory arrest, nausea, vomiting, chills, pupillary constriction. In the practice of caudal or lumbar epidural block, unintentional penetration of the subarachnoid space by the catheter or needle has occurred. Subsequent adverse effects may have depended partially on the amount of drug administered intrathecally and the physiological and physical effects of a dural puncture. A high spinal has been characterized by paralysis of the legs, loss of consciousness, respiratory paralysis, and bradycardia. Neurologic effects following epidural or caudal anesthesia have included spinal block of varying magnitude (including high or total spinal block); hypotension secondary to spinal block; urinary retention; fecal and urinary incontinence; loss of perineal sensation and sexual function; persistent anesthesia, paresthesia, weakness, paralysis of the lower extremities and loss of sphincter control, all of which had slow, incomplete, or no recovery; headache; backache; septic meningitis; meningismus; slowing of labor; increased incidence of forceps delivery; and cranial nerve palsies due to traction on nerves from loss of cerebrospinal fluid. Neurologic effects following other procedures or routes of administration have included persistent anesthesia, paresthesia, weakness, paralysis, all with slow, incomplete, or no recovery. Convulsions : Incidence varied with the procedure used and the total dose administered. In a survey of studies of epidural anesthesia, overt toxicity progressing to convulsions occurred in approximately 0.1% of local anesthetic administrations. The incidences of adverse neurologic reactions associated with the use of local anesthetics may be related to the total dose of local anesthetic administered and are also dependent upon the particular drug used, the route of administration, and the physical status of the patient. Cardiac Disorders : High doses or unintentional intravascular injection have led to high plasma levels and related depression of the myocardium, decreased cardiac output, heartblock, hypotension, bradycardia, ventricular arrhythmias, including ventricular tachycardia and ventricular fibrillation, and cardiac arrest [see Warnings and Precautions (5.9) ] . Immune System Disorders : Allergic-type reactions have occurred as a result of sensitivity to bupivacaine or to other formulation ingredients, such as the antimicrobial preservative methylparaben contained in multiple-dose vials. These reactions were characterized by signs such as urticaria, pruritus, erythema, angioneurotic edema (including laryngeal edema), tachycardia, sneezing, nausea, vomiting, dizziness, syncope, excessive sweating, elevated temperature, and severe hypotension. Cross sensitivity among members of the amide-type local anesthetic group has been reported [see Warnings and Precautions (5.8)] .

Drug Interactions

Local Anesthetics: The toxic effects of local anesthetics are additive. Monitor for neurologic and cardiovascular effects when additional local anesthetics are administered. ( 7.1 ) Drugs Associated with Methemoglobinemia : Patients are at increased risk of developing methemoglobinemia when concurrently exposed to nitrates, nitrites, local anesthetics, antineoplastic agents, antibiotics, antimalarials, anticonvulsants, and other drugs. ( 7.5 )


Medication Information

Warnings and Precautions

Dose-Related Toxicity : Monitor cardiovascular and respiratory vital signs and patient's state of consciousness after injection of bupivacaine hydro- chloride injection. ( 5.2 ) Methemoglobinemia : Cases of methemoglobinemia have been reported in association with local anesthetic use. See full prescribing information for more detail on managing these risks. ( 5.3 ) Chondrolysis with Intra-Articular Infusion : Intra-articular infusions of local anesthetics including bupivacaine hydrochloride injection following ar- throscopic and other surgical procedures is an unapproved use, and there have been post-marketing reports of chondrolysis in patients receiving such infusions. ( 5.5 ) Risk of Cardiac Arrest with Intravenous Regional Anesthesia Use (Bier Block) : There have been reports of cardiac arrest and death during the use of bupivacaine for intravenous regional anesthesia (Bier Block). ( 5.7 ) Risk of Systemic Toxicities with Unintended Intravascular or Intrathecal Injection : Unintended intravascular or intrathecal injection may be associated with systemic toxicities, including CNS or cardiorespiratory depression and coma, progressing ultimately to respiratory arrest. Aspirate for blood or cerebrospinal fluid (where applicable) prior to each dose. ( 5.9 )

Indications and Usage

Bupivacaine hydrochloride injection is indicated in adults for the production of local or regional anesthesia or analgesia for surgery and oral surgery procedures, diagnostic and therapeutic procedures, and for obstetrical procedures. Specific concentrations and presentations of bupivacaine hydrochloride injection are recommended for each type of block indicated to produce local or regional anesthesia or analgesia [see Dosage and Administration (2.2) ].

Dosage and Administration

Not for intrathecal use. ( 2.1 ) Avoid use of solutions containing antimicrobial preservatives (i.e., multiple-dose vials) for epidural or caudal anesthesia. ( 2.1 , 5.4 ) See full prescribing information for: — Recommended concentrations and dosages of bupivacaine hydrochloride injection according to type of block. ( 2.2 ) — Additional dosage and administration information pertaining to use in epidural anesthesia and use in ophthalmic surgery. ( 2.3 , 2.4, 2.5, 2.6 )

Contraindications

Bupivacaine hydrochloride injection is contraindicated in: obstetrical paracervical block anesthesia. Its use in this technique has resulted in fetal bradycardia and death. intravenous regional anesthesia (Bier Block) [see Warnings and Precautions (5.7) ] . patients with a known hypersensitivity to bupivacaine or to any local anesthetic agent of the amide-type or to other components of bupivacaine hydrochloride injection.

Adverse Reactions

The following clinically significant adverse reactions have been reported and described in the Warnings and Precautions section of the labeling: Cardiac Arrest in Obstetrical Anesthesia [see Warnings and Precautions (5.1) ] Dose-Related Toxicity [see Warnings and Precautions (5.2) ] Methemoglobinemia [see Warnings and Precautions (5.3) ] Chondrolysis with Intra-Articular Infusion [see Warnings and Precautions (5.5) ] Cardiac Arrest with Intravenous Regional Anesthesia Use [see Contraindications (4) , Warnings and Precautions (5.7) ] Systemic Toxicities with Unintended Intravascular or Intrathecal Injection [see Warnings and Precautions (5.9) ] Respiratory Arrest Following Retrobulbar Block [see Warnings and Precautions (5.15) ] The following adverse reactions from voluntary reports or clinical studies have been reported with bupivacaine. Because many of these reactions were reported voluntarily from a population of uncertain size, it is not always possible to reliably estimate their frequency or establish a causal relationship to drug exposure. Adverse reactions to bupivacaine hydrochloride injection are characteristic of those associated with other amide-type local anesthetics. A major cause of adverse reactions to this group of drugs is excessive plasma levels, which may be due to overdosage, unintentional intravascular injection, or slow metabolic degradation. The most commonly encountered acute adverse reactions that demand immediate counter-measures were related to the CNS and the cardiovascular system. These adverse reactions were generally dose-related and due to high plasma levels which may have resulted from overdosage, rapid absorption from the injection site, diminished tolerance, or from unintentional intravascular injection of the local anesthetic solution. In addition to systemic dose-related toxicity, unintentional intrathecal injection of drug during the intended performance of caudal or lumbar epidural block or nerve blocks near the vertebral column (especially in the head and neck region) has resulted in underventilation or apnea ("Total or High Spinal"). Also, hypotension due to loss of sympathetic tone and respiratory paralysis or underventilation due to cephalad extension of the motor level of anesthesia have occurred. This has led to secondary cardiac arrest when untreated. Nervous System Disorders : Adverse reactions were characterized by excitation and/or depression of the central nervous system and included restlessness, anxiety, dizziness, tinnitus, blurred vision, tremors, convulsions, drowsiness, unconsciousness, respiratory arrest, nausea, vomiting, chills, pupillary constriction. In the practice of caudal or lumbar epidural block, unintentional penetration of the subarachnoid space by the catheter or needle has occurred. Subsequent adverse effects may have depended partially on the amount of drug administered intrathecally and the physiological and physical effects of a dural puncture. A high spinal has been characterized by paralysis of the legs, loss of consciousness, respiratory paralysis, and bradycardia. Neurologic effects following epidural or caudal anesthesia have included spinal block of varying magnitude (including high or total spinal block); hypotension secondary to spinal block; urinary retention; fecal and urinary incontinence; loss of perineal sensation and sexual function; persistent anesthesia, paresthesia, weakness, paralysis of the lower extremities and loss of sphincter control, all of which had slow, incomplete, or no recovery; headache; backache; septic meningitis; meningismus; slowing of labor; increased incidence of forceps delivery; and cranial nerve palsies due to traction on nerves from loss of cerebrospinal fluid. Neurologic effects following other procedures or routes of administration have included persistent anesthesia, paresthesia, weakness, paralysis, all with slow, incomplete, or no recovery. Convulsions : Incidence varied with the procedure used and the total dose administered. In a survey of studies of epidural anesthesia, overt toxicity progressing to convulsions occurred in approximately 0.1% of local anesthetic administrations. The incidences of adverse neurologic reactions associated with the use of local anesthetics may be related to the total dose of local anesthetic administered and are also dependent upon the particular drug used, the route of administration, and the physical status of the patient. Cardiac Disorders : High doses or unintentional intravascular injection have led to high plasma levels and related depression of the myocardium, decreased cardiac output, heartblock, hypotension, bradycardia, ventricular arrhythmias, including ventricular tachycardia and ventricular fibrillation, and cardiac arrest [see Warnings and Precautions (5.9) ] . Immune System Disorders : Allergic-type reactions have occurred as a result of sensitivity to bupivacaine or to other formulation ingredients, such as the antimicrobial preservative methylparaben contained in multiple-dose vials. These reactions were characterized by signs such as urticaria, pruritus, erythema, angioneurotic edema (including laryngeal edema), tachycardia, sneezing, nausea, vomiting, dizziness, syncope, excessive sweating, elevated temperature, and severe hypotension. Cross sensitivity among members of the amide-type local anesthetic group has been reported [see Warnings and Precautions (5.8)] .

Drug Interactions

Local Anesthetics: The toxic effects of local anesthetics are additive. Monitor for neurologic and cardiovascular effects when additional local anesthetics are administered. ( 7.1 ) Drugs Associated with Methemoglobinemia : Patients are at increased risk of developing methemoglobinemia when concurrently exposed to nitrates, nitrites, local anesthetics, antineoplastic agents, antibiotics, antimalarials, anticonvulsants, and other drugs. ( 7.5 )

Description

There have been reports of cardiac arrest with difficult resuscitation or death during use of bupivacaine hydrochloride injection for epidural anesthesia in obstetrical patients. In most cases, this has followed use of the 0.75% (7.5 mg/mL) concentration. Resuscitation has been difficult or impossible despite apparently adequate preparation and appropriate management. Cardiac arrest has occurred after convulsions resulting from systemic toxicity, presumably following unintentional intravascular injection. The 0.75% (7.5 mg/mL) concentration of bupivacaine hydrochloride injection is not recommended for obstetrical anesthesia and should be reserved for surgical procedures where a high degree of muscle relaxation and prolonged effect are necessary [see Warnings and Precautions (5.1) ] .

Section 42229-5

Limitations of Use

Not all blocks are indicated for use with bupivacaine hydrochloride injection given clinically significant risks associated with use [see Dosage and Administration (2.2), Contraindications (4), Warnings and Precautions (5.1, 5.4, 5.5, 5.7, 5.9)].

Section 44425-7

Store at 20 °C to 25 °C (68 °F to 77 °F); excursions permitted between 15 °C to 30 °C (59 ° F to 86 °F). [See USP Controlled Room Temperature.]

Protect from light. This product is clear and colorless. Do not use the solution if it is discolored or if it contains a precipitate.

Unit of Sale Concentration Each
0.25% Contains 2.5 mg bupivacaine hydrochloride per mL.
NDC 70594-114-02

Carton of 10
25 mg/10 mL (2.5 mg/mL) NDC 70594-114-01

single-dose vial
NDC 70594-115-01

Carton of 1
75 mg/30 mL (2.5 mg/mL) NDC 70594-115-01

single-dose vial
0.5% Contains 5 mg bupivacaine hydrochloride per mL.
NDC 70594-117-02

Carton of 10
50 mg/10 mL (5 mg/mL) NDC 70594-117-01

single-dose vial
NDC 70594-118-01

Carton of 1
150 mg/30 mL (5 mg/mL) NDC 70594-118-01

single-dose vial
0.75% Contains 7.5 mg bupivacaine hydrochloride per mL.
NDC 70594-120-02

Carton of 10
75 mg/10 mL (7.5 mg/mL) NDC 70594-120-01

single-dose vial
NDC 70594-121-01

Carton of 1
225 mg/30 mL (7.5 mg/mL) NDC 70594-121-01

single-dose vial

For single-dose vials: Discard unused portion.

11 Description

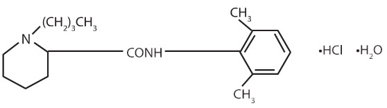
Bupivacaine hydrochloride injection contains bupivacaine hydrochloride, an amide local anesthetic, as the active pharmaceutical ingredient. The route of administration for bupivacaine hydrochloride injection is by injection, for infiltration, perineural, caudal, epidural, or retrobulbar use. [see Warnings and Precautions (5.4)].

Bupivacaine hydrochloride is 2-piperidinecarboxamide, 1-butyl-N-(2,6-dimethylphenyl)-, monohydrochloride, monohydrate. It is a white crystalline powder that is freely soluble in 95 percent ethanol, soluble in water, and slightly soluble in chloroform or acetone. It has the following structural formula:

Bupivacaine hydrochloride injection is a clear and colorless sterile isotonic solution. Each mL of single-dose vial contains 2.5 mg, 5 mg or 7.5 mg of bupivacaine hydrochloride (equivalent to 2.22 mg, 4.44 mg or 6.66 mg of bupivacaine, respectively), sodium chloride for isotonicity, sodium hydroxide or hydrochloric acid to adjust the pH between 4 and 6.5, in water for injection.

For the Multiple-dose vials, each mL also contains 1 mg methylparaben as preservative.

8.4 Pediatric Use

Bupivacaine hydrochloride injection is approved for use in adults. Administration of bupivacaine hydrochloride injection in pediatric patients younger than 12 years is not recommended.

Continuous infusions of bupivacaine in pediatric patients have been reported to result in high systemic levels of bupivacaine and seizures; high plasma levels may also be associated with cardiovascular abnormalities.

8.5 Geriatric Use

Patients 65 years and over, particularly those with hypertension, may be at increased risk for developing hypotension while undergoing anesthesia with bupivacaine hydrochloride injection.

In clinical studies of bupivacaine, elderly patients reached the maximal spread of analgesia and maximal motor blockade more rapidly than younger adult patients.

Differences in various pharmacokinetic parameters have been observed between elderly and younger adult patients [see Clinical Pharmacology (12.3)].

This product is known to be substantially excreted by the kidney, and the risk of adverse reactions to this drug may be greater in patients with impaired renal function. Because elderly patients are more likely to have decreased renal function, care should be taken in dose selection, and it may be useful to monitor renal function. Elderly patients may require lower doses of bupivacaine hydrochloride injection.

4 Contraindications

Bupivacaine hydrochloride injection is contraindicated in:

  • obstetrical paracervical block anesthesia. Its use in this technique has resulted in fetal bradycardia and death.
  • intravenous regional anesthesia (Bier Block) [see Warnings and Precautions (5.7)].
  • patients with a known hypersensitivity to bupivacaine or to any local anesthetic agent of the amide-type or to other components of bupivacaine hydrochloride injection.
6 Adverse Reactions

The following clinically significant adverse reactions have been reported and described in the Warnings and Precautions section of the labeling:

The following adverse reactions from voluntary reports or clinical studies have been reported with bupivacaine. Because many of these reactions were reported voluntarily from a population of uncertain size, it is not always possible to reliably estimate their frequency or establish a causal relationship to drug exposure.

Adverse reactions to bupivacaine hydrochloride injection are characteristic of those associated with other amide-type local anesthetics. A major cause of adverse reactions to this group of drugs is excessive plasma levels, which may be due to overdosage, unintentional intravascular injection, or slow metabolic degradation.

The most commonly encountered acute adverse reactions that demand immediate counter-measures were related to the CNS and the cardiovascular system. These adverse reactions were generally dose-related and due to high plasma levels which may have resulted from overdosage, rapid absorption from the injection site, diminished tolerance, or from unintentional intravascular injection of the local anesthetic solution. In addition to systemic dose-related toxicity, unintentional intrathecal injection of drug during the intended performance of caudal or lumbar epidural block or nerve blocks near the vertebral column (especially in the head and neck region) has resulted in underventilation or apnea ("Total or High Spinal"). Also, hypotension due to loss of sympathetic tone and respiratory paralysis or underventilation due to cephalad extension of the motor level of anesthesia have occurred. This has led to secondary cardiac arrest when untreated.

Nervous System Disorders: Adverse reactions were characterized by excitation and/or depression of the central nervous system and included restlessness, anxiety, dizziness, tinnitus, blurred vision, tremors, convulsions, drowsiness, unconsciousness, respiratory arrest, nausea, vomiting, chills, pupillary constriction.

In the practice of caudal or lumbar epidural block, unintentional penetration of the subarachnoid space by the catheter or needle has occurred. Subsequent adverse effects may have depended partially on the amount of drug administered intrathecally and the physiological and physical effects of a dural puncture. A high spinal has been characterized by paralysis of the legs, loss of consciousness, respiratory paralysis, and bradycardia.

Neurologic effects following epidural or caudal anesthesia have included spinal block of varying magnitude (including high or total spinal block); hypotension secondary to spinal block; urinary retention; fecal and urinary incontinence; loss of perineal sensation and sexual function; persistent anesthesia, paresthesia, weakness, paralysis of the lower extremities and loss of sphincter control, all of which had slow, incomplete, or no recovery; headache; backache; septic meningitis; meningismus; slowing of labor; increased incidence of forceps delivery; and cranial nerve palsies due to traction on nerves from loss of cerebrospinal fluid.

Neurologic effects following other procedures or routes of administration have included persistent anesthesia, paresthesia, weakness, paralysis, all with slow, incomplete, or no recovery.

Convulsions: Incidence varied with the procedure used and the total dose administered. In a survey of studies of epidural anesthesia, overt toxicity progressing to convulsions occurred in approximately 0.1% of local anesthetic administrations. The incidences of adverse neurologic reactions associated with the use of local anesthetics may be related to the total dose of local anesthetic administered and are also dependent upon the particular drug used, the route of administration, and the physical status of the patient.

Cardiac Disorders: High doses or unintentional intravascular injection have led to high plasma levels and related depression of the myocardium, decreased cardiac output, heartblock, hypotension, bradycardia, ventricular arrhythmias, including ventricular tachycardia and ventricular fibrillation, and cardiac arrest [see Warnings and Precautions (5.9)].

Immune System Disorders: Allergic-type reactions have occurred as a result of sensitivity to bupivacaine or to other formulation ingredients, such as the antimicrobial preservative methylparaben contained in multiple-dose vials. These reactions were characterized by signs such as urticaria, pruritus, erythema, angioneurotic edema (including laryngeal edema), tachycardia, sneezing, nausea, vomiting, dizziness, syncope, excessive sweating, elevated temperature, and severe hypotension. Cross sensitivity among members of the amide-type local anesthetic group has been reported [see Warnings and Precautions (5.8)].

7 Drug Interactions
  • Local Anesthetics: The toxic effects of local anesthetics are additive. Monitor for neurologic and cardiovascular effects when additional local anesthetics are administered. (7.1)
  • Drugs Associated with Methemoglobinemia: Patients are at increased risk of developing methemoglobinemia when concurrently exposed to nitrates, nitrites, local anesthetics, antineoplastic agents, antibiotics, antimalarials, anticonvulsants, and other drugs. (7.5)
8.7 Renal Impairment

Bupivacaine is known to be substantially excreted by the kidney, and the risk of adverse reactions to this drug may be greater in patients with renal impairment. This should be considered when selecting the bupivacaine hydrochloride injection dosage [see Use in Specific Populations (8.5)].

12.2 Pharmacodynamics

Systemic absorption of bupivacaine produces effects on the cardiovascular system and CNS. At blood concentrations achieved with normal therapeutic doses, changes in cardiac conduction, excitability, refractoriness, contractility, and peripheral vascular resistance are minimal. However, toxic blood concentrations depress cardiac conduction and excitability, which may lead to atrioventricular block, ventricular arrhythmias, and cardiac arrest, sometimes resulting in fatalities. In addition, myocardial contractility is depressed and peripheral vasodilation occurs, leading to decreased cardiac output and arterial blood pressure. These cardiovascular changes are more likely to occur after unintended intravascular injection of bupivacaine [see Warnings and Precautions (5.9)].

Following systemic absorption, bupivacaine can produce CNS stimulation, CNS depression, or both. Apparent central stimulation is manifested as restlessness, tremors, and shivering, progressing to convulsions, followed by CNS depression and coma progressing ultimately to respiratory arrest. However, bupivacaine has a primary depressant effect on the medulla and on higher centers. The depressed stage may occur without a prior excited state.

The duration of local anesthesia after administration of bupivacaine hydrochloride injection is longer than that observed after administration of other commonly used short-acting local anesthetics. There appears to be period of analgesia that persists after the resolution of the block and return of sensation.

12.3 Pharmacokinetics

Systemic plasma levels of bupivacaine following administration of bupivacaine hydrochloride injection do not correlate with local efficacy.

5.3 Methemoglobinemia

Cases of methemoglobinemia have been reported in association with local anesthetic use. Although all patients are at risk for methemoglobinemia, patients with glucose-6-phosphate dehydrogenase deficiency, congenital or idiopathic methemoglobinemia, cardiac or pulmonary compromise, infants under 6 months of age, and concurrent exposure to oxidizing agents or their metabolites are more susceptible to developing clinical manifestations of the condition [see Drug Interactions (7.5)]. If local anesthetics must be used in these patients, close monitoring for symptoms and signs of methemoglobinemia is recommended.

Signs of methemoglobinemia may occur immediately or may be delayed some hours after exposure and are characterized by a cyanotic skin discoloration and/or abnormal coloration of the blood. Methemoglobin levels may continue to rise; therefore, immediate treatment is required to avert more serious CNS and cardiovascular adverse effects, including seizures, coma, arrhythmias, and death. Discontinue bupivacaine hydrochloride injection and any other oxidizing agents. Depending on the severity of the signs and symptoms, patients may respond to supportive care, i.e., oxygen therapy, hydration. A more severe clinical presentation may require treatment with methylene blue, exchange transfusion, or hyperbaric oxygen.

7.1 Local Anesthetics

The toxic effects of local anesthetics are additive. If coadministration of other local anesthetics with bupivacaine hydrochloride injection cannot be avoided, monitor patients for neurologic and cardiovascular effects related to local anesthetic systemic toxicity [see Dosage and Administration (2.1), Warnings and Precautions (5.2)].

8.6 Hepatic Impairment

Amide-type local anesthetics, such as bupivacaine, are metabolized by the liver. Patients with severe hepatic impairment, because of their inability to metabolize local anesthetics normally, are at a greater risk of developing toxic plasma concentrations, and potentially local anesthetic systemic toxicity. Therefore, consider reduced dosing and increased monitoring for local anesthetic systemic toxicity in patients with moderate to severe hepatic impairment treated with bupivacaine hydrochloride injection, especially with repeat doses [see Warnings and Precautions (5.10)].

1 Indications and Usage

Bupivacaine hydrochloride injection is indicated in adults for the production of local or regional anesthesia or analgesia for surgery and oral surgery procedures, diagnostic and therapeutic procedures, and for obstetrical procedures. Specific concentrations and presentations of bupivacaine hydrochloride injection are recommended for each type of block indicated to produce local or regional anesthesia or analgesia [see Dosage and Administration (2.2)].

12.1 Mechanism of Action

Bupivacaine blocks the generation and the conduction of nerve impulses, presumably by increasing the threshold for electrical excitation in the nerve, by slowing the propagation of the nerve impulse, and by reducing the rate of rise of the action potential. In general, the progression of anesthesia is related to the diameter, myelination, and conduction velocity of affected nerve fibers. Clinically, the order of loss of nerve function is as follows: (1) pain, (2) temperature, (3) touch, (4) proprioception, and (5) skeletal muscle tone.

5.2 Dose Related Toxicity

The safety and effectiveness of bupivacaine hydrochloride injection depend on proper dosage, correct technique, adequate precautions, and readiness for emergencies. Careful and constant monitoring of cardiovascular and respiratory (adequacy of ventilation) vital signs and the patient's state of consciousness should be performed after injection of bupivacaine hydrochloride injection solutions.

Possible early warning signs of central nervous system (CNS) toxicity are restlessness, anxiety, incoherent speech, lightheadedness, numbness and tingling of the mouth and lips, metallic taste, tinnitus, dizziness, blurred vision, tremors, twitching, CNS depression, or drowsiness. Delay in proper management of dose-related toxicity, underventilation from any cause, and/or altered sensitivity may lead to the development of acidosis, cardiac arrest, and, possibly, death.

During major regional nerve blocks, such as those of the brachial plexus or lower extremity, the patient should have an indwelling intravenous catheter to assure adequate intravenous access. Use the lowest dosage of bupivacaine hydrochloride injection that results in effective anesthesia to avoid high plasma levels and serious adverse effects. Avoid rapid injection of a large volume of bupivacaine hydrochloride injection solution and administer fractional (incremental) doses when feasible.

Injection of repeated doses of bupivacaine hydrochloride injection may cause significant increases in plasma levels with each repeated dose due to slow accumulation of the drug or its metabolites, or to slow metabolic degradation. Tolerance to elevated blood levels varies with the status of the patient. Debilitated, elderly patients and acutely ill patients should be given reduced doses commensurate with their age and physical status.

5 Warnings and Precautions
  • Dose-Related Toxicity: Monitor cardiovascular and respiratory vital signs and patient's state of consciousness after injection of bupivacaine hydro- chloride injection. (5.2)
  • Methemoglobinemia: Cases of methemoglobinemia have been reported in association with local anesthetic use. See full prescribing information for more detail on managing these risks. (5.3)
  • Chondrolysis with Intra-Articular Infusion: Intra-articular infusions of local anesthetics including bupivacaine hydrochloride injection following ar- throscopic and other surgical procedures is an unapproved use, and there have been post-marketing reports of chondrolysis in patients receiving such infusions. (5.5)
  • Risk of Cardiac Arrest with Intravenous Regional Anesthesia Use (Bier Block): There have been reports of cardiac arrest and death during the use of bupivacaine for intravenous regional anesthesia (Bier Block). (5.7)
  • Risk of Systemic Toxicities with Unintended Intravascular or Intrathecal Injection: Unintended intravascular or intrathecal injection may be associated with systemic toxicities, including CNS or cardiorespiratory depression and coma, progressing ultimately to respiratory arrest. Aspirate for blood or cerebrospinal fluid (where applicable) prior to each dose. (5.9)
2 Dosage and Administration
  • Not for intrathecal use. (2.1)
  • Avoid use of solutions containing antimicrobial preservatives (i.e., multiple-dose vials) for epidural or caudal anesthesia. (2.1, 5.4)
  • See full prescribing information for:
    • Recommended concentrations and dosages of bupivacaine hydrochloride injection according to type of block. (2.2)
    • Additional dosage and administration information pertaining to use in epidural anesthesia and use in ophthalmic surgery. (2.3, 2.4, 2.5, 2.6)
3 Dosage Forms and Strengths

Bupivacaine hydrochloride injection is a clear, colorless solution available as:

  • 0.25% (25 mg/10 mL) (2.5 mg/mL) in single-dose vials.
  • 0.25% (75 mg/30 mL) (2.5 mg/mL) in single-dose vials.
  • 0.5% (50 mg/10 mL) (5 mg/mL) in single-dose vials.
  • 0.5% (150 mg/30 mL) (5 mg/mL) in single-dose vials.
  • 0.75% (75 mg/10 mL) (7.5 mg/mL) in single-dose vials.
  • 0.75% (225 mg/30 mL) (7.5 mg/mL) in single-dose vials.
2.6 Use in Ophthalmic Surgery

When bupivacaine hydrochloride injection 0.75% (7.5 mg/mL) is used for retrobulbar block, complete corneal anesthesia usually precedes onset of clinically acceptable external ocular muscle akinesia. Therefore, presence of akinesia rather than anesthesia alone should determine readiness of the patient for surgery [see Warnings and Precautions (5.15)].

8 Use in Specific Populations
  • Pediatric Use: Administration of bupivacaine hydrochloride injection in pediatric patients younger than 12 years is not recommended. (8.4)
  • Geriatric Use: Patients 65 years and over, particularly those with hypertension, may be at increased risk for developing hypotension while undergoing anesthesia with bupivacaine hydrochloride injection. (8.5)
  • Moderate to Severe Hepatic Impairment: Consider increased monitoring for bupivacaine systemic toxicity. (8.6)
2.3 Use in Epidural Anesthesia

During epidural administration, administer bupivacaine hydrochloride injection 0.75% (7.5 mg/mL) solutions in incremental doses of 3 mL to 5 mL with sufficient time between doses to detect toxic manifestations of unintentional intravascular or intrathecal injection. Administer injections slowly, with frequent aspirations before and during the injection to avoid intravascular injection. Perform syringe aspirations before and during each supplemental injection in continuous (intermittent) catheter techniques. In obstetrics, use ONLY the 0.5% (5 mg/mL) and 0.25% (2.5 mg/mL) concentrations of bupivacaine hydrochloride injection [see Warnings and Precautions (5.1)]; incremental doses of 3 mL to 5 mL of the 0.5% (5 mg/mL) solution not exceeding 50 mg to 100 mg at any dosing interval are recommended. Use only the single-dose vials for caudal or epidural anesthesia; avoid use of the multiple-dose vials for these procedures, which contain a preservative [see Dosage and Administration (2.1, 2.4), Warnings and Precautions (5.4, 5.9)].

7.5 Drugs Associated With Methemoglobinemia

Patients who are administered bupivacaine hydrochloride injection are at increased risk of developing methemoglobinemia when concurrently exposed to following drugs, which could include other local anesthetics [see Warnings and Precautions (5.3)].

Examples of Drugs Associated with Methemoglobinemia:
Class Examples
Nitrates/Nitrites nitric oxide, nitroglycerin, nitroprusside, nitrous oxide
Local anesthetics articaine, benzocaine, bupivacaine, lidocaine, mepivacaine, prilocaine, procaine, ropivacaine, tetracaine
Antineoplastic agents cyclophosphamide, flutamide, hydroxyurea, isofamide, rasburicase
Antibiotics dapsone, nitrofurantoin, para-aminosalicylic acid, sulfonamides
Antimalarials chloroquine, primaquine
Anticonvulsants phenobarbital, phenytoin, sodium valproate
Other drugs acetaminophen, metoclopramide, quinine, sulfasalazine
5.5 Chondrolysis With Intra Articular Infusion

Intra-articular infusions of local anesthetics including bupivacaine hydrochloride injection following arthroscopic and other surgical procedures is an unapproved use, and there have been post-marketing reports of chondrolysis in patients receiving such infusions. The majority of reported cases of chondrolysis have involved the shoulder joint; cases of gleno-humeral chondrolysis have been described in pediatric and adult patients following intra-articular infusions of local anesthetics periods of 48 to 72 hours. There is insufficient information to determine whether shorter infusion periods are associated with chondrolysis. The time of onset of symptoms, such as joint pain, stiffness and loss of motion can be variable, but may begin as early as the 2nd month after surgery. Currently, there is no effective treatment for chondrolysis; patients who experienced chondrolysis have required additional diagnostic and therapeutic procedures and some required arthroplasty or shoulder replacement.

Principal Display Panel 25 Mg/10 Ml Vial Carton

NDC 70594-114-02

Rx only

LATEX-FREE

Preservative-Free

Bupivacaine 0.25%

HCl Injection, USP

25 mg/10 mL (2.5 mg/mL)

For INFILTRATION,

NERVE BLOCK, CAUDAL and

EPIDURAL ANESTHESIA

10 x 10 mL Single-dose Vials

steriscience

NOT FOR INTRATHECAL ANESTHESIA

xellia

PHARMACEUTICALS

Principal Display Panel 50 Mg/10 Ml Vial Carton

NDC 70594-117-02

Rx only

LATEX-FREE

Preservative-Free

Bupivacaine 0.5%

HCl Injection, USP

50 mg/10 mL (5 mg/mL)

For NERVE BLOCK, CAUDAL and

EPIDURAL ANESTHESIA

10 x 10 mL Single-dose Vials

steriscience

NOT FOR INTRATHECAL ANESTHESIA

xellia

PHARMACEUTICALS

Principal Display Panel 75 Mg/10 Ml Vial Carton

NDC 70594-120-02

Rx only

LATEX-FREE

Preservative-Free

Bupivacaine 0.75%

HCl Injection, USP

75 mg/10 mL (7.5 mg/mL)

For EPIDURAL and

RETROBULBAR ANESTHESIA

10 x 10 mL Single-dose Vials

steriscience

NOT FOR OBSTETRIC OR

INTRATHECAL ANESTHESIA

xellia

PHARMACEUTICALS

Principal Display Panel 75 Mg/30 Ml Vial Carton

NDC 70594-115-01

Rx only

Bupivacaine 0.25%

HCl Injection, USP

75 mg/30 mL (2.5 mg/mL)

For INFILTRATION,

NERVE BLOCK, CAUDAL,

and EPIDURAL ANESTHESIA

NOT FOR INTRATHECAL ANESTHESIA

PRESERVATIVE FREE

LATEX-FREE

1 x 30 mL SINGLE-DOSE VIAL

steriscience

Principal Display Panel 150 Mg/30 Ml Vial Carton

NDC 70594-118-01

Rx only

Bupivacaine 0.5%

HCl Injection, USP

150 mg/30 mL (5 mg/mL)

For NERVE BLOCK,

CAUDAL, and

EPIDURAL ANESTHESIA

NOT FOR INTRATHECAL ANESTHESIA

PRESERVATIVE FREE

LATEX-FREE

1 x 30 mL SINGLE-DOSE VIAL

steriscience

Principal Display Panel 225 Mg/30 Ml Vial Carton

NDC 70594-121-01

Rx only

Bupivacaine 0.75%

HCl Injection, USP

225 mg/30 mL (7.5 mg/mL)

For EPIDURAL and

RETROBULBAR ANESTHESIA

NOT FOR OBSTETRIC OR

INTRATHECAL ANESTHESIA

PRESERVATIVE FREE

LATEX-FREE

1 x 30 mL SINGLE-DOSE VIAL

steriscience

2.1 Important Dosage and Administration Information
  • Bupivacaine hydrochloride injection is not for intrathecal use.
  • Avoid use of bupivacaine hydrochloride injection solutions containing antimicrobial preservatives (i.e., multiple-dose vials) for epidural or caudal anesthesia [see Warnings and Precautions (5.4)].
  • Discard unused portions of solution not containing preservatives, i.e., those supplied in single-dose vials, following initial use.
  • Visually inspect this product for particulate matter and discoloration prior to administration whenever solution and container permit. Bupivacaine hydrochloride injection is clear, colorless solutions. Do not administer solutions which are discolored or contain particulate matter.
  • Mixing or the prior or intercurrent use of any other local anesthetic with bupivacaine hydrochloride injection is not recommended because of insufficient data on the clinical use of such mixtures.
5.4 Antimicrobial Preservatives in Multiple Dose Vials

Avoid use of bupivacaine hydrochloride injection solutions containing antimicrobial preservatives, i.e., those supplied in multiple-dose vials, for epidural or caudal anesthesia because safety has not been established with such use.

5.10 Risk of Toxicity in Patients With Hepatic Impairment

Because amide local anesthetics such as bupivacaine are metabolized by the liver, consider reduced dosing and increased monitoring for bupivacaine systemic toxicity in patients with moderate to severe hepatic impairment who are treated with bupivacaine hydrochloride injection, especially with repeat doses [see Use in Specific Populations (8.6)].

5.14 Risk of Adverse Reactions With Use in Head and Neck Area

Small doses of local anesthetics (e.g., bupivacaine hydrochloride injection) injected into the head and neck area, including retrobulbar and stellate ganglion blocks, may produce adverse reactions similar to systemic toxicity seen with unintentional intravascular injections of larger doses. The injection procedures require the utmost care.

Confusion, convulsions, respiratory depression, and/or respiratory arrest, and cardiovascular stimulation or depression have been reported. These reactions may be due to intra-arterial injection of the local anesthetic with retrograde flow to the cerebral circulation. They may also be due to puncture of the dural sheath of the optic nerve during retrobulbar block with diffusion of any local anesthetic along the subdural space to the midbrain. Monitor circulation and respiration and constantly observe patients receiving bupivacaine hydrochloride injection blocks. Resuscitative equipment and drugs, and personnel for treating adverse reactions should be immediately available. Dosage recommendations should not be exceeded [see Dosage and Administration (2.2)].

5.15 Risk of Respiratory Arrest With Use in Ophthalmic Surgery

Clinicians who perform retrobulbar blocks should be aware that there have been reports of respiratory arrest following local anesthetic injection. Prior to retrobulbar block (e.g., with bupivacaine hydrochloride injection), as with all other regional procedures, resuscitative equipment and drugs, and personnel to manage respiratory arrest or depression, convulsions, and cardiac stimulation or depression should be immediately available [see Warnings and Precautions (5.14)]. As with other anesthetic procedures, patients should be constantly monitored following ophthalmic blocks for signs of these adverse reactions, which may occur following relatively low total doses.

A concentration of 0.75% bupivacaine is indicated for retrobulbar block; however, this concentration is not indicated for any other peripheral nerve block, including the facial nerve, and not indicated for local infiltration, including the conjunctiva [see Indications and Usage (1)].

5.11 Risk of Use in Patients With Impaired Cardiovascular Function

Bupivacaine hydrochloride injection, should be given in reduced doses in patients with impaired cardiovascular function (e.g., hypotension, heartblock) because they may be less able to compensate for functional changes associated with the prolongation of AV conduction produced by bupivacaine hydrochloride injection. Monitor patients closely for blood pressure, heart rate, and ECG changes.

5.7 Risk of Cardiac Arrest With Intravenous Regional Anesthesia Use (bier Block)

There have been reports of cardiac arrest and death during the use of bupivacaine for intravenous regional anesthesia (Bier Block). Information on safe dosages and techniques of administration of bupivacaine hydrochloride injection in this procedure is lacking. Therefore, bupivacaine hydrochloride injection is contraindicated for use with this technique [see Contraindications (4)].

2.2 Recommended Concentrations and Dosages of Bupivacaine Hydrochloride Injection

The dosage of bupivacaine hydrochloride injection administered varies with the anesthetic procedure, the area to be anesthetized, the vascularity of the tissues, the number of neuronal segments to be blocked, the depth of anesthesia and degree of muscle relaxation required, the duration of anesthesia desired, individual tolerance, and the physical condition of the patient. Administer the smallest dosage and concentration required to produce the desired result.

The types of block and recommended bupivacaine hydrochloride injection concentrations are shown in Table 1.

Table 1. Types of Block and Recommended bupivacaine hydrochloride injection Concentrations
Type of Block Bupivacaine hydrochloride injection
0.25% (2.5 mg/mL) 0.5% (5 mg/mL) 0.75%(7.5 mg/mL)
Bupivacaine hydrochloride injection 0.75% (7.5 mg/mL) is not recommended for non-obstetrical surgical procedures in pregnant patients.
= indicated use [see Warnings and Precautions (5.1) ].
Local infiltration
Peripheral nerve block
Retrobulbar block
Sympathetic block
Caudal block
Avoid use of multiple-dose vials of bupivacaine hydrochloride injection for caudal or epidural anesthesia [see Warnings and Precautions (5.4)].
Lumbar epidural block
(not for obstetrical anesthesia)

At recommended dosages, bupivacaine hydrochloride injection produces complete sensory block, but the effect on motor function differs among the three concentrations. Table 2 provides information on the expected effect on motor function for the three concentrations.

Table 2. Bupivacaine Hydrochloride Injection Concentration vs. Motor Function
Bupivacaine Hydrochloride Injection Concentration Motor Function
0.25%

(2.5 mg/mL)
When used for caudal, epidural, or peripheral nerve block, produces incomplete motor block. Should be used for operations in which muscle relaxation is not important, or when another means of providing muscle relaxation is used concurrently. Onset of action may be slower than with the 0.5% (5 mg/mL) or 0.75% (7.5 mg/mL) solutions.
0.5%

(5 mg/mL)
Provides motor blockade for caudal, epidural, or nerve block, but muscle relaxation may be inadequate for operations in which complete muscle relaxation is essential.
0.75%

(7.5 mg/mL)
Produces complete motor block. Most useful for epidural block in abdominal operations requiring complete muscle relaxation, and for retrobulbar anesthesia. Not for obstetrical anesthesia.

The duration of anesthesia with bupivacaine hydrochloride injection is such that for most indications, a single-dose is sufficient.

The maximum dosage limit within the recommended dosage range must be individualized in each case after evaluating the size and physical status of the patient, as well as the anticipated rate of systemic absorption from a particular injection site.

The dosages in Table 3 are recommended as a guide for use in the average adult. These doses may be repeated once every three hours. Do not exceed a total daily dosage of 400 mg in 24 hours. The duration of anesthetic effect may be prolonged by the addition of epinephrine.

Table 3. Recommended Concentrations and Doses of bupivacaine hydrochloride injection in Adults
Type of Block Concentration of Bupivacaine Hydrochloride Injection Each Dose Motor Block
With continuous (intermittent) techniques, repeat doses increase the degree of motor block. The first repeat dose of 0.5% (5 mg/mL) may produce complete motor block. Intercostal nerve block with 0.25% (2.5 mg/mL) also may produce complete motor block for intra-thoracic and upper intra-abdominal surgery.
mL mg of Bupivacaine Hydrochloride Injection
Local infiltration 0.25% (2.5 mg/mL)
Solutions with or without epinephrine (i.e., applies to bupivacaine hydrochloride injection )
Up to 70 (without epinephrine) Up to 175 (without epinephrine)
Peripheral nerve block 0.5% (5 mg/mL)
5-35 (without epinephrine) 25-175 (without epinephrine) moderate to complete
0.25% (2.5 mg/mL)
5-70 (without epinephrine) 12.5-175 (without epinephrine) moderate to complete
Retrobulbar block [see Dosage and Administration (2.6)] 0.75% (7.5 mg/mL) 2-4 15-30 complete
Sympathetic block 0.25% (2.5 mg/mL) 20-50 50-125
Caudal block [see Dosage and Administration (2.4)] 0.5% (5 mg/mL)
15-30 75-150 moderate to complete
0.25% (2.5 mg/mL)
15-30 37.5-75 moderate
Lumbar epidural block [see Dosage and Administration (2.3)] 0.75% (7.5 mg/mL)
For single-dose use; not for intermittent epidural technique. Not for obstetrical anesthesia.
10-20 75-150 complete
0.5% (5 mg/mL)
10-20 50-100 moderate to complete
0.25% (2.5 mg/mL)
10-20 25-50 partial to moderate
5.9 Risk of Systemic Toxicities With Unintended Intravascular Or Intrathecal Injection

Unintended intravascular or intrathecal injection of bupivacaine hydrochloride injection may be associated with systemic toxicities, including CNS or cardiorespiratory depression and coma, progressing ultimately to respiratory arrest. Unintentional intrathecal injection during the intended performance of caudal or lumbar epidural block or nerve blocks near the vertebral column has resulted in underventilation or apnea ("Total or High Spinal"). A high spinal has been characterized by paralysis of the legs, loss of consciousness, respiratory paralysis, and bradycardia [see Adverse Reactions (6)].

Aspirate for blood or cerebrospinal fluid (where applicable) before injecting bupivacaine hydrochloride injection, the initial dose and all subsequent doses, to avoid intravascular or intrathecal injection. However, a negative aspiration for blood or cerebrospinal fluid does not ensure against an intravascular or intrathecal injection.

5.1 Risk of Cardiac Arrest With Use of Bupivacaine Hydrochloride Injection in Obstetrical Anesthesia

There have been reports of cardiac arrest with difficult resuscitation or death during use of bupivacaine hydrochloride injection for epidural anesthesia in obstetrical patients. In most cases, this has followed use of the 0.75% (7.5 mg/mL) concentration. Resuscitation has been difficult or impossible despite apparently adequate preparation and appropriate management. Cardiac arrest has occurred after convulsions resulting from systemic toxicity, presumably following unintentional intravascular injection. The 0.75% (7.5 mg/mL) concentration of bupivacaine hydrochloride injection is not recommended for obstetrical anesthesia and should be reserved for surgical procedures where a high degree of muscle relaxation and prolonged effect are necessary.

Warning: Risk of Cardiac Arrest With Use of Bupivacaine Hydrochloride Injection in Obstetrical Anesthesia

There have been reports of cardiac arrest with difficult resuscitation or death during use of bupivacaine hydrochloride injection for epidural anesthesia in obstetrical patients. In most cases, this has followed use of the 0.75% (7.5 mg/mL) concentration. Resuscitation has been difficult or impossible despite apparently adequate preparation and appropriate management. Cardiac arrest has occurred after convulsions resulting from systemic toxicity, presumably following unintentional intravascular injection. The 0.75% (7.5 mg/mL) concentration of bupivacaine hydrochloride injection is not recommended for obstetrical anesthesia and should be reserved for surgical procedures where a high degree of muscle relaxation and prolonged effect are necessary [see Warnings and Precautions (5.1)].


Structured Label Content

Section 42229-5 (42229-5)

Limitations of Use

Not all blocks are indicated for use with bupivacaine hydrochloride injection given clinically significant risks associated with use [see Dosage and Administration (2.2), Contraindications (4), Warnings and Precautions (5.1, 5.4, 5.5, 5.7, 5.9)].

Section 44425-7 (44425-7)

Store at 20 °C to 25 °C (68 °F to 77 °F); excursions permitted between 15 °C to 30 °C (59 ° F to 86 °F). [See USP Controlled Room Temperature.]

Protect from light. This product is clear and colorless. Do not use the solution if it is discolored or if it contains a precipitate.

Unit of Sale Concentration Each
0.25% Contains 2.5 mg bupivacaine hydrochloride per mL.
NDC 70594-114-02

Carton of 10
25 mg/10 mL (2.5 mg/mL) NDC 70594-114-01

single-dose vial
NDC 70594-115-01

Carton of 1
75 mg/30 mL (2.5 mg/mL) NDC 70594-115-01

single-dose vial
0.5% Contains 5 mg bupivacaine hydrochloride per mL.
NDC 70594-117-02

Carton of 10
50 mg/10 mL (5 mg/mL) NDC 70594-117-01

single-dose vial
NDC 70594-118-01

Carton of 1
150 mg/30 mL (5 mg/mL) NDC 70594-118-01

single-dose vial
0.75% Contains 7.5 mg bupivacaine hydrochloride per mL.
NDC 70594-120-02

Carton of 10
75 mg/10 mL (7.5 mg/mL) NDC 70594-120-01

single-dose vial
NDC 70594-121-01

Carton of 1
225 mg/30 mL (7.5 mg/mL) NDC 70594-121-01

single-dose vial

For single-dose vials: Discard unused portion.

11 Description (11 DESCRIPTION)

Bupivacaine hydrochloride injection contains bupivacaine hydrochloride, an amide local anesthetic, as the active pharmaceutical ingredient. The route of administration for bupivacaine hydrochloride injection is by injection, for infiltration, perineural, caudal, epidural, or retrobulbar use. [see Warnings and Precautions (5.4)].

Bupivacaine hydrochloride is 2-piperidinecarboxamide, 1-butyl-N-(2,6-dimethylphenyl)-, monohydrochloride, monohydrate. It is a white crystalline powder that is freely soluble in 95 percent ethanol, soluble in water, and slightly soluble in chloroform or acetone. It has the following structural formula:

Bupivacaine hydrochloride injection is a clear and colorless sterile isotonic solution. Each mL of single-dose vial contains 2.5 mg, 5 mg or 7.5 mg of bupivacaine hydrochloride (equivalent to 2.22 mg, 4.44 mg or 6.66 mg of bupivacaine, respectively), sodium chloride for isotonicity, sodium hydroxide or hydrochloric acid to adjust the pH between 4 and 6.5, in water for injection.

For the Multiple-dose vials, each mL also contains 1 mg methylparaben as preservative.

8.4 Pediatric Use

Bupivacaine hydrochloride injection is approved for use in adults. Administration of bupivacaine hydrochloride injection in pediatric patients younger than 12 years is not recommended.

Continuous infusions of bupivacaine in pediatric patients have been reported to result in high systemic levels of bupivacaine and seizures; high plasma levels may also be associated with cardiovascular abnormalities.

8.5 Geriatric Use

Patients 65 years and over, particularly those with hypertension, may be at increased risk for developing hypotension while undergoing anesthesia with bupivacaine hydrochloride injection.

In clinical studies of bupivacaine, elderly patients reached the maximal spread of analgesia and maximal motor blockade more rapidly than younger adult patients.

Differences in various pharmacokinetic parameters have been observed between elderly and younger adult patients [see Clinical Pharmacology (12.3)].

This product is known to be substantially excreted by the kidney, and the risk of adverse reactions to this drug may be greater in patients with impaired renal function. Because elderly patients are more likely to have decreased renal function, care should be taken in dose selection, and it may be useful to monitor renal function. Elderly patients may require lower doses of bupivacaine hydrochloride injection.

4 Contraindications (4 CONTRAINDICATIONS)

Bupivacaine hydrochloride injection is contraindicated in:

  • obstetrical paracervical block anesthesia. Its use in this technique has resulted in fetal bradycardia and death.
  • intravenous regional anesthesia (Bier Block) [see Warnings and Precautions (5.7)].
  • patients with a known hypersensitivity to bupivacaine or to any local anesthetic agent of the amide-type or to other components of bupivacaine hydrochloride injection.
6 Adverse Reactions (6 ADVERSE REACTIONS)

The following clinically significant adverse reactions have been reported and described in the Warnings and Precautions section of the labeling:

The following adverse reactions from voluntary reports or clinical studies have been reported with bupivacaine. Because many of these reactions were reported voluntarily from a population of uncertain size, it is not always possible to reliably estimate their frequency or establish a causal relationship to drug exposure.

Adverse reactions to bupivacaine hydrochloride injection are characteristic of those associated with other amide-type local anesthetics. A major cause of adverse reactions to this group of drugs is excessive plasma levels, which may be due to overdosage, unintentional intravascular injection, or slow metabolic degradation.

The most commonly encountered acute adverse reactions that demand immediate counter-measures were related to the CNS and the cardiovascular system. These adverse reactions were generally dose-related and due to high plasma levels which may have resulted from overdosage, rapid absorption from the injection site, diminished tolerance, or from unintentional intravascular injection of the local anesthetic solution. In addition to systemic dose-related toxicity, unintentional intrathecal injection of drug during the intended performance of caudal or lumbar epidural block or nerve blocks near the vertebral column (especially in the head and neck region) has resulted in underventilation or apnea ("Total or High Spinal"). Also, hypotension due to loss of sympathetic tone and respiratory paralysis or underventilation due to cephalad extension of the motor level of anesthesia have occurred. This has led to secondary cardiac arrest when untreated.

Nervous System Disorders: Adverse reactions were characterized by excitation and/or depression of the central nervous system and included restlessness, anxiety, dizziness, tinnitus, blurred vision, tremors, convulsions, drowsiness, unconsciousness, respiratory arrest, nausea, vomiting, chills, pupillary constriction.

In the practice of caudal or lumbar epidural block, unintentional penetration of the subarachnoid space by the catheter or needle has occurred. Subsequent adverse effects may have depended partially on the amount of drug administered intrathecally and the physiological and physical effects of a dural puncture. A high spinal has been characterized by paralysis of the legs, loss of consciousness, respiratory paralysis, and bradycardia.

Neurologic effects following epidural or caudal anesthesia have included spinal block of varying magnitude (including high or total spinal block); hypotension secondary to spinal block; urinary retention; fecal and urinary incontinence; loss of perineal sensation and sexual function; persistent anesthesia, paresthesia, weakness, paralysis of the lower extremities and loss of sphincter control, all of which had slow, incomplete, or no recovery; headache; backache; septic meningitis; meningismus; slowing of labor; increased incidence of forceps delivery; and cranial nerve palsies due to traction on nerves from loss of cerebrospinal fluid.

Neurologic effects following other procedures or routes of administration have included persistent anesthesia, paresthesia, weakness, paralysis, all with slow, incomplete, or no recovery.

Convulsions: Incidence varied with the procedure used and the total dose administered. In a survey of studies of epidural anesthesia, overt toxicity progressing to convulsions occurred in approximately 0.1% of local anesthetic administrations. The incidences of adverse neurologic reactions associated with the use of local anesthetics may be related to the total dose of local anesthetic administered and are also dependent upon the particular drug used, the route of administration, and the physical status of the patient.

Cardiac Disorders: High doses or unintentional intravascular injection have led to high plasma levels and related depression of the myocardium, decreased cardiac output, heartblock, hypotension, bradycardia, ventricular arrhythmias, including ventricular tachycardia and ventricular fibrillation, and cardiac arrest [see Warnings and Precautions (5.9)].

Immune System Disorders: Allergic-type reactions have occurred as a result of sensitivity to bupivacaine or to other formulation ingredients, such as the antimicrobial preservative methylparaben contained in multiple-dose vials. These reactions were characterized by signs such as urticaria, pruritus, erythema, angioneurotic edema (including laryngeal edema), tachycardia, sneezing, nausea, vomiting, dizziness, syncope, excessive sweating, elevated temperature, and severe hypotension. Cross sensitivity among members of the amide-type local anesthetic group has been reported [see Warnings and Precautions (5.8)].

7 Drug Interactions (7 DRUG INTERACTIONS)
  • Local Anesthetics: The toxic effects of local anesthetics are additive. Monitor for neurologic and cardiovascular effects when additional local anesthetics are administered. (7.1)
  • Drugs Associated with Methemoglobinemia: Patients are at increased risk of developing methemoglobinemia when concurrently exposed to nitrates, nitrites, local anesthetics, antineoplastic agents, antibiotics, antimalarials, anticonvulsants, and other drugs. (7.5)
8.7 Renal Impairment

Bupivacaine is known to be substantially excreted by the kidney, and the risk of adverse reactions to this drug may be greater in patients with renal impairment. This should be considered when selecting the bupivacaine hydrochloride injection dosage [see Use in Specific Populations (8.5)].

12.2 Pharmacodynamics

Systemic absorption of bupivacaine produces effects on the cardiovascular system and CNS. At blood concentrations achieved with normal therapeutic doses, changes in cardiac conduction, excitability, refractoriness, contractility, and peripheral vascular resistance are minimal. However, toxic blood concentrations depress cardiac conduction and excitability, which may lead to atrioventricular block, ventricular arrhythmias, and cardiac arrest, sometimes resulting in fatalities. In addition, myocardial contractility is depressed and peripheral vasodilation occurs, leading to decreased cardiac output and arterial blood pressure. These cardiovascular changes are more likely to occur after unintended intravascular injection of bupivacaine [see Warnings and Precautions (5.9)].

Following systemic absorption, bupivacaine can produce CNS stimulation, CNS depression, or both. Apparent central stimulation is manifested as restlessness, tremors, and shivering, progressing to convulsions, followed by CNS depression and coma progressing ultimately to respiratory arrest. However, bupivacaine has a primary depressant effect on the medulla and on higher centers. The depressed stage may occur without a prior excited state.

The duration of local anesthesia after administration of bupivacaine hydrochloride injection is longer than that observed after administration of other commonly used short-acting local anesthetics. There appears to be period of analgesia that persists after the resolution of the block and return of sensation.

12.3 Pharmacokinetics

Systemic plasma levels of bupivacaine following administration of bupivacaine hydrochloride injection do not correlate with local efficacy.

5.3 Methemoglobinemia

Cases of methemoglobinemia have been reported in association with local anesthetic use. Although all patients are at risk for methemoglobinemia, patients with glucose-6-phosphate dehydrogenase deficiency, congenital or idiopathic methemoglobinemia, cardiac or pulmonary compromise, infants under 6 months of age, and concurrent exposure to oxidizing agents or their metabolites are more susceptible to developing clinical manifestations of the condition [see Drug Interactions (7.5)]. If local anesthetics must be used in these patients, close monitoring for symptoms and signs of methemoglobinemia is recommended.

Signs of methemoglobinemia may occur immediately or may be delayed some hours after exposure and are characterized by a cyanotic skin discoloration and/or abnormal coloration of the blood. Methemoglobin levels may continue to rise; therefore, immediate treatment is required to avert more serious CNS and cardiovascular adverse effects, including seizures, coma, arrhythmias, and death. Discontinue bupivacaine hydrochloride injection and any other oxidizing agents. Depending on the severity of the signs and symptoms, patients may respond to supportive care, i.e., oxygen therapy, hydration. A more severe clinical presentation may require treatment with methylene blue, exchange transfusion, or hyperbaric oxygen.

7.1 Local Anesthetics

The toxic effects of local anesthetics are additive. If coadministration of other local anesthetics with bupivacaine hydrochloride injection cannot be avoided, monitor patients for neurologic and cardiovascular effects related to local anesthetic systemic toxicity [see Dosage and Administration (2.1), Warnings and Precautions (5.2)].

8.6 Hepatic Impairment

Amide-type local anesthetics, such as bupivacaine, are metabolized by the liver. Patients with severe hepatic impairment, because of their inability to metabolize local anesthetics normally, are at a greater risk of developing toxic plasma concentrations, and potentially local anesthetic systemic toxicity. Therefore, consider reduced dosing and increased monitoring for local anesthetic systemic toxicity in patients with moderate to severe hepatic impairment treated with bupivacaine hydrochloride injection, especially with repeat doses [see Warnings and Precautions (5.10)].

1 Indications and Usage (1 INDICATIONS AND USAGE)

Bupivacaine hydrochloride injection is indicated in adults for the production of local or regional anesthesia or analgesia for surgery and oral surgery procedures, diagnostic and therapeutic procedures, and for obstetrical procedures. Specific concentrations and presentations of bupivacaine hydrochloride injection are recommended for each type of block indicated to produce local or regional anesthesia or analgesia [see Dosage and Administration (2.2)].

12.1 Mechanism of Action

Bupivacaine blocks the generation and the conduction of nerve impulses, presumably by increasing the threshold for electrical excitation in the nerve, by slowing the propagation of the nerve impulse, and by reducing the rate of rise of the action potential. In general, the progression of anesthesia is related to the diameter, myelination, and conduction velocity of affected nerve fibers. Clinically, the order of loss of nerve function is as follows: (1) pain, (2) temperature, (3) touch, (4) proprioception, and (5) skeletal muscle tone.

5.2 Dose Related Toxicity (5.2 Dose-Related Toxicity)

The safety and effectiveness of bupivacaine hydrochloride injection depend on proper dosage, correct technique, adequate precautions, and readiness for emergencies. Careful and constant monitoring of cardiovascular and respiratory (adequacy of ventilation) vital signs and the patient's state of consciousness should be performed after injection of bupivacaine hydrochloride injection solutions.

Possible early warning signs of central nervous system (CNS) toxicity are restlessness, anxiety, incoherent speech, lightheadedness, numbness and tingling of the mouth and lips, metallic taste, tinnitus, dizziness, blurred vision, tremors, twitching, CNS depression, or drowsiness. Delay in proper management of dose-related toxicity, underventilation from any cause, and/or altered sensitivity may lead to the development of acidosis, cardiac arrest, and, possibly, death.

During major regional nerve blocks, such as those of the brachial plexus or lower extremity, the patient should have an indwelling intravenous catheter to assure adequate intravenous access. Use the lowest dosage of bupivacaine hydrochloride injection that results in effective anesthesia to avoid high plasma levels and serious adverse effects. Avoid rapid injection of a large volume of bupivacaine hydrochloride injection solution and administer fractional (incremental) doses when feasible.

Injection of repeated doses of bupivacaine hydrochloride injection may cause significant increases in plasma levels with each repeated dose due to slow accumulation of the drug or its metabolites, or to slow metabolic degradation. Tolerance to elevated blood levels varies with the status of the patient. Debilitated, elderly patients and acutely ill patients should be given reduced doses commensurate with their age and physical status.

5 Warnings and Precautions (5 WARNINGS AND PRECAUTIONS)
  • Dose-Related Toxicity: Monitor cardiovascular and respiratory vital signs and patient's state of consciousness after injection of bupivacaine hydro- chloride injection. (5.2)
  • Methemoglobinemia: Cases of methemoglobinemia have been reported in association with local anesthetic use. See full prescribing information for more detail on managing these risks. (5.3)
  • Chondrolysis with Intra-Articular Infusion: Intra-articular infusions of local anesthetics including bupivacaine hydrochloride injection following ar- throscopic and other surgical procedures is an unapproved use, and there have been post-marketing reports of chondrolysis in patients receiving such infusions. (5.5)
  • Risk of Cardiac Arrest with Intravenous Regional Anesthesia Use (Bier Block): There have been reports of cardiac arrest and death during the use of bupivacaine for intravenous regional anesthesia (Bier Block). (5.7)
  • Risk of Systemic Toxicities with Unintended Intravascular or Intrathecal Injection: Unintended intravascular or intrathecal injection may be associated with systemic toxicities, including CNS or cardiorespiratory depression and coma, progressing ultimately to respiratory arrest. Aspirate for blood or cerebrospinal fluid (where applicable) prior to each dose. (5.9)
2 Dosage and Administration (2 DOSAGE AND ADMINISTRATION)
  • Not for intrathecal use. (2.1)
  • Avoid use of solutions containing antimicrobial preservatives (i.e., multiple-dose vials) for epidural or caudal anesthesia. (2.1, 5.4)
  • See full prescribing information for:
    • Recommended concentrations and dosages of bupivacaine hydrochloride injection according to type of block. (2.2)
    • Additional dosage and administration information pertaining to use in epidural anesthesia and use in ophthalmic surgery. (2.3, 2.4, 2.5, 2.6)
3 Dosage Forms and Strengths (3 DOSAGE FORMS AND STRENGTHS)

Bupivacaine hydrochloride injection is a clear, colorless solution available as:

  • 0.25% (25 mg/10 mL) (2.5 mg/mL) in single-dose vials.
  • 0.25% (75 mg/30 mL) (2.5 mg/mL) in single-dose vials.
  • 0.5% (50 mg/10 mL) (5 mg/mL) in single-dose vials.
  • 0.5% (150 mg/30 mL) (5 mg/mL) in single-dose vials.
  • 0.75% (75 mg/10 mL) (7.5 mg/mL) in single-dose vials.
  • 0.75% (225 mg/30 mL) (7.5 mg/mL) in single-dose vials.
2.6 Use in Ophthalmic Surgery

When bupivacaine hydrochloride injection 0.75% (7.5 mg/mL) is used for retrobulbar block, complete corneal anesthesia usually precedes onset of clinically acceptable external ocular muscle akinesia. Therefore, presence of akinesia rather than anesthesia alone should determine readiness of the patient for surgery [see Warnings and Precautions (5.15)].

8 Use in Specific Populations (8 USE IN SPECIFIC POPULATIONS)
  • Pediatric Use: Administration of bupivacaine hydrochloride injection in pediatric patients younger than 12 years is not recommended. (8.4)
  • Geriatric Use: Patients 65 years and over, particularly those with hypertension, may be at increased risk for developing hypotension while undergoing anesthesia with bupivacaine hydrochloride injection. (8.5)
  • Moderate to Severe Hepatic Impairment: Consider increased monitoring for bupivacaine systemic toxicity. (8.6)
2.3 Use in Epidural Anesthesia

During epidural administration, administer bupivacaine hydrochloride injection 0.75% (7.5 mg/mL) solutions in incremental doses of 3 mL to 5 mL with sufficient time between doses to detect toxic manifestations of unintentional intravascular or intrathecal injection. Administer injections slowly, with frequent aspirations before and during the injection to avoid intravascular injection. Perform syringe aspirations before and during each supplemental injection in continuous (intermittent) catheter techniques. In obstetrics, use ONLY the 0.5% (5 mg/mL) and 0.25% (2.5 mg/mL) concentrations of bupivacaine hydrochloride injection [see Warnings and Precautions (5.1)]; incremental doses of 3 mL to 5 mL of the 0.5% (5 mg/mL) solution not exceeding 50 mg to 100 mg at any dosing interval are recommended. Use only the single-dose vials for caudal or epidural anesthesia; avoid use of the multiple-dose vials for these procedures, which contain a preservative [see Dosage and Administration (2.1, 2.4), Warnings and Precautions (5.4, 5.9)].

7.5 Drugs Associated With Methemoglobinemia (7.5 Drugs Associated with Methemoglobinemia)

Patients who are administered bupivacaine hydrochloride injection are at increased risk of developing methemoglobinemia when concurrently exposed to following drugs, which could include other local anesthetics [see Warnings and Precautions (5.3)].

Examples of Drugs Associated with Methemoglobinemia:
Class Examples
Nitrates/Nitrites nitric oxide, nitroglycerin, nitroprusside, nitrous oxide
Local anesthetics articaine, benzocaine, bupivacaine, lidocaine, mepivacaine, prilocaine, procaine, ropivacaine, tetracaine
Antineoplastic agents cyclophosphamide, flutamide, hydroxyurea, isofamide, rasburicase
Antibiotics dapsone, nitrofurantoin, para-aminosalicylic acid, sulfonamides
Antimalarials chloroquine, primaquine
Anticonvulsants phenobarbital, phenytoin, sodium valproate
Other drugs acetaminophen, metoclopramide, quinine, sulfasalazine
5.5 Chondrolysis With Intra Articular Infusion (5.5 Chondrolysis with Intra-Articular Infusion)

Intra-articular infusions of local anesthetics including bupivacaine hydrochloride injection following arthroscopic and other surgical procedures is an unapproved use, and there have been post-marketing reports of chondrolysis in patients receiving such infusions. The majority of reported cases of chondrolysis have involved the shoulder joint; cases of gleno-humeral chondrolysis have been described in pediatric and adult patients following intra-articular infusions of local anesthetics periods of 48 to 72 hours. There is insufficient information to determine whether shorter infusion periods are associated with chondrolysis. The time of onset of symptoms, such as joint pain, stiffness and loss of motion can be variable, but may begin as early as the 2nd month after surgery. Currently, there is no effective treatment for chondrolysis; patients who experienced chondrolysis have required additional diagnostic and therapeutic procedures and some required arthroplasty or shoulder replacement.

Principal Display Panel 25 Mg/10 Ml Vial Carton (PRINCIPAL DISPLAY PANEL - 25 mg/10 mL Vial Carton)

NDC 70594-114-02

Rx only

LATEX-FREE

Preservative-Free

Bupivacaine 0.25%

HCl Injection, USP

25 mg/10 mL (2.5 mg/mL)

For INFILTRATION,

NERVE BLOCK, CAUDAL and

EPIDURAL ANESTHESIA

10 x 10 mL Single-dose Vials

steriscience

NOT FOR INTRATHECAL ANESTHESIA

xellia

PHARMACEUTICALS

Principal Display Panel 50 Mg/10 Ml Vial Carton (PRINCIPAL DISPLAY PANEL - 50 mg/10 mL Vial Carton)

NDC 70594-117-02

Rx only

LATEX-FREE

Preservative-Free

Bupivacaine 0.5%

HCl Injection, USP

50 mg/10 mL (5 mg/mL)

For NERVE BLOCK, CAUDAL and

EPIDURAL ANESTHESIA

10 x 10 mL Single-dose Vials

steriscience

NOT FOR INTRATHECAL ANESTHESIA

xellia

PHARMACEUTICALS

Principal Display Panel 75 Mg/10 Ml Vial Carton (PRINCIPAL DISPLAY PANEL - 75 mg/10 mL Vial Carton)

NDC 70594-120-02

Rx only

LATEX-FREE

Preservative-Free

Bupivacaine 0.75%

HCl Injection, USP

75 mg/10 mL (7.5 mg/mL)

For EPIDURAL and

RETROBULBAR ANESTHESIA

10 x 10 mL Single-dose Vials

steriscience

NOT FOR OBSTETRIC OR

INTRATHECAL ANESTHESIA

xellia

PHARMACEUTICALS

Principal Display Panel 75 Mg/30 Ml Vial Carton (PRINCIPAL DISPLAY PANEL - 75 mg/30 mL Vial Carton)

NDC 70594-115-01

Rx only

Bupivacaine 0.25%

HCl Injection, USP

75 mg/30 mL (2.5 mg/mL)

For INFILTRATION,

NERVE BLOCK, CAUDAL,

and EPIDURAL ANESTHESIA

NOT FOR INTRATHECAL ANESTHESIA

PRESERVATIVE FREE

LATEX-FREE

1 x 30 mL SINGLE-DOSE VIAL

steriscience

Principal Display Panel 150 Mg/30 Ml Vial Carton (PRINCIPAL DISPLAY PANEL - 150 mg/30 mL Vial Carton)

NDC 70594-118-01

Rx only

Bupivacaine 0.5%

HCl Injection, USP

150 mg/30 mL (5 mg/mL)

For NERVE BLOCK,

CAUDAL, and

EPIDURAL ANESTHESIA

NOT FOR INTRATHECAL ANESTHESIA

PRESERVATIVE FREE

LATEX-FREE

1 x 30 mL SINGLE-DOSE VIAL

steriscience

Principal Display Panel 225 Mg/30 Ml Vial Carton (PRINCIPAL DISPLAY PANEL - 225 mg/30 mL Vial Carton)

NDC 70594-121-01

Rx only

Bupivacaine 0.75%

HCl Injection, USP

225 mg/30 mL (7.5 mg/mL)

For EPIDURAL and

RETROBULBAR ANESTHESIA

NOT FOR OBSTETRIC OR

INTRATHECAL ANESTHESIA

PRESERVATIVE FREE

LATEX-FREE

1 x 30 mL SINGLE-DOSE VIAL

steriscience

2.1 Important Dosage and Administration Information
  • Bupivacaine hydrochloride injection is not for intrathecal use.
  • Avoid use of bupivacaine hydrochloride injection solutions containing antimicrobial preservatives (i.e., multiple-dose vials) for epidural or caudal anesthesia [see Warnings and Precautions (5.4)].
  • Discard unused portions of solution not containing preservatives, i.e., those supplied in single-dose vials, following initial use.
  • Visually inspect this product for particulate matter and discoloration prior to administration whenever solution and container permit. Bupivacaine hydrochloride injection is clear, colorless solutions. Do not administer solutions which are discolored or contain particulate matter.
  • Mixing or the prior or intercurrent use of any other local anesthetic with bupivacaine hydrochloride injection is not recommended because of insufficient data on the clinical use of such mixtures.
5.4 Antimicrobial Preservatives in Multiple Dose Vials (5.4 Antimicrobial Preservatives in Multiple-Dose Vials)

Avoid use of bupivacaine hydrochloride injection solutions containing antimicrobial preservatives, i.e., those supplied in multiple-dose vials, for epidural or caudal anesthesia because safety has not been established with such use.

5.10 Risk of Toxicity in Patients With Hepatic Impairment (5.10 Risk of Toxicity in Patients with Hepatic Impairment)

Because amide local anesthetics such as bupivacaine are metabolized by the liver, consider reduced dosing and increased monitoring for bupivacaine systemic toxicity in patients with moderate to severe hepatic impairment who are treated with bupivacaine hydrochloride injection, especially with repeat doses [see Use in Specific Populations (8.6)].

5.14 Risk of Adverse Reactions With Use in Head and Neck Area (5.14 Risk of Adverse Reactions with Use in Head and Neck Area)

Small doses of local anesthetics (e.g., bupivacaine hydrochloride injection) injected into the head and neck area, including retrobulbar and stellate ganglion blocks, may produce adverse reactions similar to systemic toxicity seen with unintentional intravascular injections of larger doses. The injection procedures require the utmost care.

Confusion, convulsions, respiratory depression, and/or respiratory arrest, and cardiovascular stimulation or depression have been reported. These reactions may be due to intra-arterial injection of the local anesthetic with retrograde flow to the cerebral circulation. They may also be due to puncture of the dural sheath of the optic nerve during retrobulbar block with diffusion of any local anesthetic along the subdural space to the midbrain. Monitor circulation and respiration and constantly observe patients receiving bupivacaine hydrochloride injection blocks. Resuscitative equipment and drugs, and personnel for treating adverse reactions should be immediately available. Dosage recommendations should not be exceeded [see Dosage and Administration (2.2)].

5.15 Risk of Respiratory Arrest With Use in Ophthalmic Surgery (5.15 Risk of Respiratory Arrest with Use in Ophthalmic Surgery)

Clinicians who perform retrobulbar blocks should be aware that there have been reports of respiratory arrest following local anesthetic injection. Prior to retrobulbar block (e.g., with bupivacaine hydrochloride injection), as with all other regional procedures, resuscitative equipment and drugs, and personnel to manage respiratory arrest or depression, convulsions, and cardiac stimulation or depression should be immediately available [see Warnings and Precautions (5.14)]. As with other anesthetic procedures, patients should be constantly monitored following ophthalmic blocks for signs of these adverse reactions, which may occur following relatively low total doses.

A concentration of 0.75% bupivacaine is indicated for retrobulbar block; however, this concentration is not indicated for any other peripheral nerve block, including the facial nerve, and not indicated for local infiltration, including the conjunctiva [see Indications and Usage (1)].

5.11 Risk of Use in Patients With Impaired Cardiovascular Function (5.11 Risk of Use in Patients with Impaired Cardiovascular Function)

Bupivacaine hydrochloride injection, should be given in reduced doses in patients with impaired cardiovascular function (e.g., hypotension, heartblock) because they may be less able to compensate for functional changes associated with the prolongation of AV conduction produced by bupivacaine hydrochloride injection. Monitor patients closely for blood pressure, heart rate, and ECG changes.

5.7 Risk of Cardiac Arrest With Intravenous Regional Anesthesia Use (bier Block) (5.7 Risk of Cardiac Arrest with Intravenous Regional Anesthesia Use (Bier Block))

There have been reports of cardiac arrest and death during the use of bupivacaine for intravenous regional anesthesia (Bier Block). Information on safe dosages and techniques of administration of bupivacaine hydrochloride injection in this procedure is lacking. Therefore, bupivacaine hydrochloride injection is contraindicated for use with this technique [see Contraindications (4)].

2.2 Recommended Concentrations and Dosages of Bupivacaine Hydrochloride Injection (2.2 Recommended Concentrations and Dosages of bupivacaine hydrochloride injection)

The dosage of bupivacaine hydrochloride injection administered varies with the anesthetic procedure, the area to be anesthetized, the vascularity of the tissues, the number of neuronal segments to be blocked, the depth of anesthesia and degree of muscle relaxation required, the duration of anesthesia desired, individual tolerance, and the physical condition of the patient. Administer the smallest dosage and concentration required to produce the desired result.

The types of block and recommended bupivacaine hydrochloride injection concentrations are shown in Table 1.

Table 1. Types of Block and Recommended bupivacaine hydrochloride injection Concentrations
Type of Block Bupivacaine hydrochloride injection
0.25% (2.5 mg/mL) 0.5% (5 mg/mL) 0.75%(7.5 mg/mL)
Bupivacaine hydrochloride injection 0.75% (7.5 mg/mL) is not recommended for non-obstetrical surgical procedures in pregnant patients.
= indicated use [see Warnings and Precautions (5.1) ].
Local infiltration
Peripheral nerve block
Retrobulbar block
Sympathetic block
Caudal block
Avoid use of multiple-dose vials of bupivacaine hydrochloride injection for caudal or epidural anesthesia [see Warnings and Precautions (5.4)].
Lumbar epidural block
(not for obstetrical anesthesia)

At recommended dosages, bupivacaine hydrochloride injection produces complete sensory block, but the effect on motor function differs among the three concentrations. Table 2 provides information on the expected effect on motor function for the three concentrations.

Table 2. Bupivacaine Hydrochloride Injection Concentration vs. Motor Function
Bupivacaine Hydrochloride Injection Concentration Motor Function
0.25%

(2.5 mg/mL)
When used for caudal, epidural, or peripheral nerve block, produces incomplete motor block. Should be used for operations in which muscle relaxation is not important, or when another means of providing muscle relaxation is used concurrently. Onset of action may be slower than with the 0.5% (5 mg/mL) or 0.75% (7.5 mg/mL) solutions.
0.5%

(5 mg/mL)
Provides motor blockade for caudal, epidural, or nerve block, but muscle relaxation may be inadequate for operations in which complete muscle relaxation is essential.
0.75%

(7.5 mg/mL)
Produces complete motor block. Most useful for epidural block in abdominal operations requiring complete muscle relaxation, and for retrobulbar anesthesia. Not for obstetrical anesthesia.

The duration of anesthesia with bupivacaine hydrochloride injection is such that for most indications, a single-dose is sufficient.

The maximum dosage limit within the recommended dosage range must be individualized in each case after evaluating the size and physical status of the patient, as well as the anticipated rate of systemic absorption from a particular injection site.

The dosages in Table 3 are recommended as a guide for use in the average adult. These doses may be repeated once every three hours. Do not exceed a total daily dosage of 400 mg in 24 hours. The duration of anesthetic effect may be prolonged by the addition of epinephrine.

Table 3. Recommended Concentrations and Doses of bupivacaine hydrochloride injection in Adults
Type of Block Concentration of Bupivacaine Hydrochloride Injection Each Dose Motor Block
With continuous (intermittent) techniques, repeat doses increase the degree of motor block. The first repeat dose of 0.5% (5 mg/mL) may produce complete motor block. Intercostal nerve block with 0.25% (2.5 mg/mL) also may produce complete motor block for intra-thoracic and upper intra-abdominal surgery.
mL mg of Bupivacaine Hydrochloride Injection
Local infiltration 0.25% (2.5 mg/mL)
Solutions with or without epinephrine (i.e., applies to bupivacaine hydrochloride injection )
Up to 70 (without epinephrine) Up to 175 (without epinephrine)
Peripheral nerve block 0.5% (5 mg/mL)
5-35 (without epinephrine) 25-175 (without epinephrine) moderate to complete
0.25% (2.5 mg/mL)
5-70 (without epinephrine) 12.5-175 (without epinephrine) moderate to complete
Retrobulbar block [see Dosage and Administration (2.6)] 0.75% (7.5 mg/mL) 2-4 15-30 complete
Sympathetic block 0.25% (2.5 mg/mL) 20-50 50-125
Caudal block [see Dosage and Administration (2.4)] 0.5% (5 mg/mL)
15-30 75-150 moderate to complete
0.25% (2.5 mg/mL)
15-30 37.5-75 moderate
Lumbar epidural block [see Dosage and Administration (2.3)] 0.75% (7.5 mg/mL)
For single-dose use; not for intermittent epidural technique. Not for obstetrical anesthesia.
10-20 75-150 complete
0.5% (5 mg/mL)
10-20 50-100 moderate to complete
0.25% (2.5 mg/mL)
10-20 25-50 partial to moderate
5.9 Risk of Systemic Toxicities With Unintended Intravascular Or Intrathecal Injection (5.9 Risk of Systemic Toxicities with Unintended Intravascular or Intrathecal Injection)

Unintended intravascular or intrathecal injection of bupivacaine hydrochloride injection may be associated with systemic toxicities, including CNS or cardiorespiratory depression and coma, progressing ultimately to respiratory arrest. Unintentional intrathecal injection during the intended performance of caudal or lumbar epidural block or nerve blocks near the vertebral column has resulted in underventilation or apnea ("Total or High Spinal"). A high spinal has been characterized by paralysis of the legs, loss of consciousness, respiratory paralysis, and bradycardia [see Adverse Reactions (6)].

Aspirate for blood or cerebrospinal fluid (where applicable) before injecting bupivacaine hydrochloride injection, the initial dose and all subsequent doses, to avoid intravascular or intrathecal injection. However, a negative aspiration for blood or cerebrospinal fluid does not ensure against an intravascular or intrathecal injection.

5.1 Risk of Cardiac Arrest With Use of Bupivacaine Hydrochloride Injection in Obstetrical Anesthesia (5.1 Risk of Cardiac Arrest with Use of Bupivacaine Hydrochloride Injection in Obstetrical Anesthesia)

There have been reports of cardiac arrest with difficult resuscitation or death during use of bupivacaine hydrochloride injection for epidural anesthesia in obstetrical patients. In most cases, this has followed use of the 0.75% (7.5 mg/mL) concentration. Resuscitation has been difficult or impossible despite apparently adequate preparation and appropriate management. Cardiac arrest has occurred after convulsions resulting from systemic toxicity, presumably following unintentional intravascular injection. The 0.75% (7.5 mg/mL) concentration of bupivacaine hydrochloride injection is not recommended for obstetrical anesthesia and should be reserved for surgical procedures where a high degree of muscle relaxation and prolonged effect are necessary.

Warning: Risk of Cardiac Arrest With Use of Bupivacaine Hydrochloride Injection in Obstetrical Anesthesia (WARNING: RISK OF CARDIAC ARREST WITH USE OF BUPIVACAINE HYDROCHLORIDE INJECTION IN OBSTETRICAL ANESTHESIA)

There have been reports of cardiac arrest with difficult resuscitation or death during use of bupivacaine hydrochloride injection for epidural anesthesia in obstetrical patients. In most cases, this has followed use of the 0.75% (7.5 mg/mL) concentration. Resuscitation has been difficult or impossible despite apparently adequate preparation and appropriate management. Cardiac arrest has occurred after convulsions resulting from systemic toxicity, presumably following unintentional intravascular injection. The 0.75% (7.5 mg/mL) concentration of bupivacaine hydrochloride injection is not recommended for obstetrical anesthesia and should be reserved for surgical procedures where a high degree of muscle relaxation and prolonged effect are necessary [see Warnings and Precautions (5.1)].


Advanced Ingredient Data


Raw Label Data

All Sections (JSON)