Metformin Hydrochloride Extended-release Tablets 500 Mg And 750 Mg

Metformin Hydrochloride Extended-release Tablets 500 Mg And 750 Mg
SPL v3
SPL
SPL Set ID f29892f8-142e-4d24-9ccd-5d6b408328cd
Route
ORAL
Published
Effective Date 2025-08-06
Document Type 34391-3 HUMAN PRESCRIPTION DRUG LABEL

Drug Facts

Composition & Product

Active Ingredients
Metformin (500 mg)
Inactive Ingredients
Povidone, Unspecified Hypromellose, Unspecified Magnesium Stearate

Identifiers & Packaging

Pill Appearance
Imprint: G7 Shape: capsule Color: white Size: 18 mm Score: 1
Marketing Status
ANDA Active Since 2023-07-26

Description

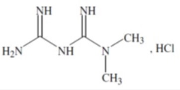
Metformin Hydrochloride Extended-Release Tablets, USP Metformin hydrochloride extended-release tablets, USP are oral antihyperglycemic drugs used in the management of type 2 diabetes. Metformin hydrochloride, USP (N,N-dimethyl-monohydrochloride,Imidodicarbonimidic diamide) is not chemically or pharmacologically related to any other classes of oral antihyperglycemic agents. The structural formula is as shown: Metformin hydrochloride, USP is a white or almost white, crystalline powder with a molecular formula of C4H11N5•HCl and a molecular weight of 165.62. Metformin hydrochloride is freely soluble in water, slightly soluble in alcohol, practically insoluble in acetone and in Methylene chloride. The pKa of metformin is 12.4. The pH of a 1% aqueous solution of metformin hydrochloride is 6.35. Metformin hydrochloride extended-release tablets, USP contain 500 mg or 750 mg of metformin hydrochloride as the active ingredient. Metformin hydrochloride extended-release tablets, USP 500 mg and 750 mg tablets contain the inactive ingredients hypromellose, magnesium stearate, and polyvinyl pyrrolidone. Dissolution Method: Test 10 System Components and Performance - Metformin hydrochloride extended-release tablets, USP comprises a dual hydrophilic polymer matrix system. Metformin hydrochloride, USP is combined with a drug release controlling polymer to form an "inner" phase, which is then incorporated as discrete particles into an "external" phase of a second polymer. After administration, fluid from the gastrointestinal (GI) tract enters the tablet, causing the polymers to hydrate and swell. Drug is released slowly from the dosage form by a process of diffusion through the gel matrix that is essentially independent of pH. The hydrated polymer system is not rigid and is expected to be broken up by normal peristalsis in the GI tract. The biologically inert components of the tablet may occasionally remain intact during GI transit and will be eliminated in the feces as a soft, hydrated mass.

Contraindications

Metformin hydrochloride extended-release tablets, USP are contraindicated in patients with: 1. Severe Renal Impairment (eGFR below 30mL/min/1.73m2) (see and PRECAUTIONS ). 2.Known hypersensitivity to metformin hydrochloride, USP. 3.Acute or chronic metabolic acidosis, including diabetic ketoacidosis, with or without coma. Diabetic ketoacidosis should be treated with insulin.

Adverse Reactions

In A US double blind clinical study of metformin hydrochloride tablets in patients with type 2 diabetes, a total of 141 patients received metformin hydrochloride tablets therapy (up to 2550 mg per day) and 145 patients received placebo. Adverse reactions reported in greater than 5% of the metformin hydrochloride tablets patients, and that were more common in metformin hydrochloride tablets than placebo treated patients, are listed in Table 6. Table 6: Most Common Adverse Reactions (>5 Percent) in a Placebo-Controlled Clinical Study of Metformin Hydrochloride Tablets Monotherapy* Adverse Reaction Metformin Hydrochloride Tablets (n=141) Placebo (n=145) % of Patients Diarrhea 53.2 11.7 Nausea/Vomiting 25.5 8.3 Flatulence 12.1 5.5 Asthenia 9.2 5.5 Indigestion 7.1 4.1 Abdominal Discomfort 6.4 4.8 Headache 5.7 4.8 *Reactions that were more common in metformin hydrochloride tablets than placebo treated patients. Diarrhea led to discontinuation of study medication in 6% of patients treated with metformin hydrochloride tablets. Additionally, the following adverse reactions were reported in ≥1 - ≤5% of metformin hydrochloride tablets patients and myalgia, lightheaded, dyspnea, nail disorder, rash, sweating increased, taste disorder, chest discomfort, chills, flu syndrome, flushing, and palpitation. In worldwide clinical trials over 900 patients with type 2 diabetes have been treated with metformin hydrochloride extended-release tablets in placebo and active controlled studies. In placebo controlled trails, 781 patients were administered metformin hydrochloride extended-release tablets and 195 patients received placebo. Adverse reactions reported in greater than 5% of the metformin hydrochloride extended release tablets patients, and that were more common in metformin hydrochloride extended-release tablets than placebo treated patients are listed in Table 7. Table 7: Most Common Adverse Reactions (>5 Percent) in Placebo-Controlled Studies of Metformin Hydrochloride Extended-Release Tablets* Metformin Hydrochloride Extended-Release Tablets(N=781) Placebo (N=195) Adverse Reactions % of patients Diarrhea 9.6 2.6 Nausea/Vomiting 6.5 1.5 Diarrhea led to discontinuation of study medication in 0.6% of patients treated with metformin hydrochloride extended-release tablets. Additionally, the following adverse reactions were reported in ≥1 - ≤5% of metformin hydrochloride extended-release tablets patients and were more commonly reported with metformin hydrochloride extended-release tablets than placebo: abdominal pain, constipation, distention abdomen, dyspepsia/heartburn, flatulence, dizziness, headache, upper respiratory infection, taste disturbance.*Reactions that were more common in metformin hydrochloride extended-release tablets than placebo treated patients.

Drug Interactions

Glyburide —In a single-dose interaction study in type 2 diabetes patients, coadministration of metformin and glyburide did not result in any changes in either metformin pharmacokinetics or pharmacodynamics. Decreases in glyburide AUC and C max were observed, but were highly variable. The single-dose nature of this study and the lack of correlation between glyburide blood levels and pharmacodynamic effects, makes the clinical significance of this interaction uncertain (see : Concomitant metformin hydrochloride extended-release tablets and Oral Sulfonylurea Therapy in Adult Patients ). Furosemide —A single-dose, metformin-furosemide drug interaction study in healthy subjects demonstrated that pharmacokinetic parameters of both compounds were affected by coadministration. Furosemide increased the metformin plasma and blood C max by 22% and blood AUC by 15%, without any significant change in metformin renal clearance. When administered with metformin, the Cmax and AUC of furosemide were 31% and 12% smaller, respectively, than when administered alone, and the terminal half-life was decreased by 32%, without any significant change in furosemide renal clearance. No information is available about the interaction of metformin and furosemide when coadministered chronically. Nifedipine —A single-dose, metformin-nifedipine drug interaction study in normal healthy volunteers demonstrated that co-administration of nifedipine increased plasma metformin C max and AUC by 20% and 9%, respectively, and increased the amount excreted in the urine. T max and half-life were unaffected. Nifedipine appears to enhance the absorption of metformin. Metformin had minimal effects on nifedipine. Drugs that reduce metformin clearance—Concomitant use of drugs that interfere with common renal tubular transport systems involved in the renal elimination of metformin (e.g., organic cationic transporter-2 [OCT2] / multidrug and toxin extrusion [MATE] inhibitors such as ranolazine, vandetanib, dolutegravir, and cimetidine) could increase systemic exposure to metformin and may increase the risk for lactic acidosis. Consider the benefits and risks of concomitant use. Such interaction between metformin and oral cimetidine has been observed in normal healthy volunteers in both single- and multiple-dose, metformin-cimetidine drug interaction studies, with a 60% increase in peak metformin plasma and whole blood concentrations and a 40% increase in plasma and whole blood metformin AUC. There was no change in elimination half-life in the single-dose study. Metformin had no effect on cimetidine pharmacokinetics. Although such interactions remain theoretical (except for cimetidine), careful patient monitoring and dose adjustment of metformin hydrochloride extended-release tablets and/or the interfering drug is recommended in patients who are taking cationic medications that are excreted via the proximal renal tubular secretory system. Other —Certain drugs tend to produce hyperglycemia and may lead to loss of glycemic control. These drugs include the thiazides and other diuretics, corticosteroids, phenothiazines, thyroid products, estrogens, oral contraceptives, phenytoin, nicotinic acid, sympathomimetics, calcium channel blocking drugs, and isoniazid. When such drugs are administered to a patient receiving metformin hydrochloride extended-release tablets, the patient should be closely observed for loss of blood glucose control. When such drugs are withdrawn from a patient receiving metformin hydrochloride extended-release tablets, the patient should be observed closely for hypoglycemia. Carbonic   anhydrase   inhibitors —Topiramate   or   other   carbonic   anhydrase   inhibitors  (e.g., zonisamide, acetazolamide or dichlorphenamide) frequently cause a decrease in serum bicarbonate and induce non-anion gap, hyperchloremic metabolic acidosis. Concomitant use of these drugs with metformin hydrochloride extended-release tablets may increase the risk for lactic acidosis. Consider more frequent monitoring of these patients. Alcohol —Alcohol is known to potentiate the effect of metformin on lactate metabolism. Warn patients against excessive alcohol intake while receiving metformin hydrochloride extended-release tablets.

How Supplied

Metformin Hydrochloride Extended-Release Tablets, USP Metformin Hydrochloride Extended-Release Tablets, USP 500 mg tablets are white to off-white uncoated, modified capsule shaped tablets debossed with “G7” on one side and plain on the other side. Bottles of 30 NDC 68788-8495-3 Bottles of 60 NDC 68788-8495-6 Bottles of 90 NDC 68788-8495-9 Bottles of 100 NDC 68788-8495-1 Bottles of 120 NDC 68788-8495-8 Storage Store at 20° to 25° C (68° to 77° F); excursions permitted within 15° to 30° C (59° to 86° F). [See USP Controlled Room Temperature.] Dispense in light-resistant containers. Dispense with Patient Information available at: https://granulespharma.com/product/metformin-er-tab-500-750/ Manufactured by: Granules India Limited Hyderabad-500 081, India Manufactured for: Granules Pharmaceuticals Inc. Chantilly, VA 20151. Revision date: May 2023 Repackaged By: Preferred Pharmaceuticals Inc.


Medication Information

Contraindications

Metformin hydrochloride extended-release tablets, USP are contraindicated in patients with:

1. Severe Renal Impairment (eGFR below 30mL/min/1.73m2) (see and PRECAUTIONS ).

2.Known hypersensitivity to metformin hydrochloride, USP.

3.Acute or chronic metabolic acidosis, including diabetic ketoacidosis, with or without coma. Diabetic ketoacidosis should be treated with insulin.











Adverse Reactions

In A US double blind clinical study of metformin hydrochloride tablets in patients with type 2 diabetes, a total of 141 patients received metformin hydrochloride tablets therapy (up to 2550 mg per day) and 145 patients received placebo. Adverse reactions reported in greater than 5% of the metformin hydrochloride tablets patients, and that were more common in metformin hydrochloride tablets than placebo treated patients, are listed in Table 6.

Table 6: Most Common Adverse Reactions (>5 Percent) in a Placebo-Controlled Clinical Study of Metformin Hydrochloride Tablets Monotherapy*

Adverse Reaction

Metformin Hydrochloride Tablets (n=141)

Placebo

(n=145)

% of Patients

Diarrhea

53.2

11.7

Nausea/Vomiting

25.5

8.3

Flatulence

12.1

5.5

Asthenia

9.2

5.5

Indigestion

7.1

4.1

Abdominal Discomfort

6.4

4.8

Headache

5.7

4.8

*Reactions that were more common in metformin hydrochloride tablets than placebo treated patients.

Diarrhea led to discontinuation of study medication in 6% of patients treated with metformin hydrochloride tablets. Additionally, the following adverse reactions were reported in ≥1 - ≤5% of metformin hydrochloride tablets patients and myalgia, lightheaded, dyspnea, nail disorder, rash, sweating increased, taste disorder, chest discomfort, chills, flu syndrome, flushing, and palpitation.

In worldwide clinical trials over 900 patients with type 2 diabetes have been treated with metformin hydrochloride extended-release tablets in placebo and active controlled studies. In placebo controlled trails, 781 patients were administered metformin hydrochloride extended-release tablets and 195 patients received placebo. Adverse reactions reported in greater than 5% of the metformin hydrochloride extended release tablets patients, and that were more common in metformin hydrochloride extended-release tablets than placebo treated patients are listed in Table 7.

Table 7: Most Common Adverse Reactions (>5 Percent) in Placebo-Controlled Studies of Metformin Hydrochloride Extended-Release Tablets*

Metformin Hydrochloride Extended-Release Tablets(N=781)

Placebo

(N=195)

Adverse Reactions

% of patients

Diarrhea

9.6

2.6

Nausea/Vomiting

6.5

1.5

Diarrhea led to discontinuation of study medication in 0.6% of patients treated with metformin hydrochloride extended-release tablets. Additionally, the following adverse reactions were reported in ≥1 - ≤5% of metformin hydrochloride extended-release tablets patients and were more commonly reported with metformin hydrochloride extended-release tablets than placebo: abdominal pain, constipation, distention abdomen, dyspepsia/heartburn, flatulence, dizziness, headache, upper respiratory infection, taste disturbance.*Reactions that were more common in metformin hydrochloride extended-release tablets than placebo treated patients.

Drug Interactions

Glyburide —In a single-dose interaction study in type 2 diabetes patients, coadministration of metformin and glyburide did not result in any changes in either metformin pharmacokinetics or pharmacodynamics. Decreases in glyburide AUC and C max were observed, but were highly variable. The single-dose nature of this study and the lack of correlation between glyburide blood levels and pharmacodynamic effects, makes the clinical significance of this interaction uncertain (see : Concomitant metformin hydrochloride extended-release tablets and Oral Sulfonylurea Therapy in Adult Patients ). Furosemide —A single-dose, metformin-furosemide drug interaction study in healthy subjects demonstrated that pharmacokinetic parameters of both compounds were affected by coadministration. Furosemide increased the metformin plasma and blood C max by 22% and blood AUC by 15%, without any significant change in metformin renal clearance. When administered with metformin, the Cmax and AUC of furosemide were 31% and 12% smaller, respectively, than when administered alone, and the terminal half-life was decreased by 32%, without any significant change in furosemide renal clearance. No information is available about the interaction of metformin and furosemide when coadministered chronically. Nifedipine —A single-dose, metformin-nifedipine drug interaction study in normal healthy volunteers demonstrated that co-administration of nifedipine increased plasma metformin C max and AUC by 20% and 9%, respectively, and increased the amount excreted in the urine. T max and half-life were unaffected. Nifedipine appears to enhance the absorption of metformin. Metformin had minimal effects on nifedipine. Drugs that reduce metformin clearance—Concomitant use of drugs that interfere with common renal tubular transport systems involved in the renal elimination of metformin (e.g., organic cationic transporter-2 [OCT2] / multidrug and toxin extrusion [MATE] inhibitors such as ranolazine, vandetanib, dolutegravir, and cimetidine) could increase systemic exposure to metformin and may increase the risk for lactic acidosis. Consider the benefits and risks of concomitant use. Such interaction between metformin and oral cimetidine has been observed in normal healthy volunteers in both single- and multiple-dose, metformin-cimetidine drug interaction studies, with a 60% increase in peak metformin plasma and whole blood concentrations and a 40% increase in plasma and whole blood metformin AUC. There was no change in elimination half-life in the single-dose study. Metformin had no effect on cimetidine pharmacokinetics. Although such interactions remain theoretical (except for cimetidine), careful patient monitoring and dose adjustment of metformin hydrochloride extended-release tablets and/or the interfering drug is recommended in patients who are taking cationic medications that are excreted via the proximal renal tubular secretory system. Other —Certain drugs tend to produce hyperglycemia and may lead to loss of glycemic control. These drugs include the thiazides and other diuretics, corticosteroids, phenothiazines, thyroid products, estrogens, oral contraceptives, phenytoin, nicotinic acid, sympathomimetics, calcium channel blocking drugs, and isoniazid. When such drugs are administered to a patient receiving metformin hydrochloride extended-release tablets, the patient should be closely observed for loss of blood glucose control. When such drugs are withdrawn from a patient receiving metformin hydrochloride extended-release tablets, the patient should be observed closely for hypoglycemia. Carbonic   anhydrase   inhibitors —Topiramate   or   other   carbonic   anhydrase   inhibitors  (e.g., zonisamide, acetazolamide or dichlorphenamide) frequently cause a decrease in serum bicarbonate and induce non-anion gap, hyperchloremic metabolic acidosis. Concomitant use of these drugs with metformin hydrochloride extended-release tablets may increase the risk for lactic acidosis. Consider more frequent monitoring of these patients. Alcohol —Alcohol is known to potentiate the effect of metformin on lactate metabolism. Warn patients against excessive alcohol intake while receiving metformin hydrochloride extended-release tablets.

How Supplied

Metformin Hydrochloride Extended-Release Tablets, USP

Metformin Hydrochloride Extended-Release Tablets, USP 500 mg tablets are white to off-white uncoated, modified capsule shaped tablets debossed with “G7” on one side and plain on the other side.

Bottles of 30 NDC 68788-8495-3

Bottles of 60 NDC 68788-8495-6

Bottles of 90 NDC 68788-8495-9

Bottles of 100 NDC 68788-8495-1

Bottles of 120 NDC 68788-8495-8



Storage

Store at 20° to 25° C (68° to 77° F); excursions permitted within 15° to 30° C (59° to 86° F). [See USP Controlled Room Temperature.]

Dispense in light-resistant containers.



Dispense with Patient Information available at:

https://granulespharma.com/product/metformin-er-tab-500-750/



Manufactured by:

Granules India Limited

Hyderabad-500 081, India



Manufactured for:

Granules Pharmaceuticals Inc.

Chantilly, VA 20151.







Revision date: May 2023

Repackaged By: Preferred Pharmaceuticals Inc.

Description

Metformin Hydrochloride Extended-Release Tablets, USP

Metformin hydrochloride extended-release tablets, USP are oral antihyperglycemic drugs used in the management of type 2 diabetes. Metformin hydrochloride, USP (N,N-dimethyl-monohydrochloride,Imidodicarbonimidic diamide) is not chemically or pharmacologically related to any other classes of oral antihyperglycemic agents. The structural formula is as shown:

Metformin hydrochloride, USP is a white or almost white, crystalline powder with a molecular formula of C4H11N5•HCl and a molecular weight of 165.62. Metformin hydrochloride is freely soluble in water, slightly soluble in alcohol, practically insoluble in acetone and in Methylene chloride. The pKa of metformin is 12.4. The pH of a 1% aqueous solution of metformin hydrochloride is 6.35.







Metformin hydrochloride extended-release tablets, USP contain 500 mg or 750 mg of metformin hydrochloride as the active ingredient.







Metformin hydrochloride extended-release tablets, USP 500 mg and 750 mg tablets contain the inactive ingredients hypromellose, magnesium stearate, and polyvinyl pyrrolidone.







Dissolution Method: Test 10







System Components and Performance - Metformin hydrochloride extended-release tablets, USP comprises a dual hydrophilic polymer matrix system. Metformin hydrochloride, USP is combined with a drug release controlling polymer to form an "inner" phase, which is then incorporated as discrete particles into an "external" phase of a second polymer. After administration, fluid from the gastrointestinal (GI) tract enters the tablet, causing the polymers to hydrate and swell. Drug is released slowly from the dosage form by a process of diffusion through the gel matrix that is essentially independent of pH. The hydrated polymer system is not rigid and is expected to be broken up by normal peristalsis in the GI tract. The biologically inert components of the tablet may occasionally remain intact during GI transit and will be eliminated in the feces as a soft, hydrated mass.

Warnings

LACTIC ACIDOSIS:



Postmarketing cases of metformin-associated lactic acidosis have resulted in death, hypothermia, hypotension and resistant bradyarrhythmias. The onset of metformin associated lactic acidosis is often subtle, accompanied only by nonspecific symptoms such as malaise, myalgias, respiratory distress, somnolence, and abdominal pain. Metformin associated lactic acidosis was characterized by elevated blood lactate levels(>5 mmol/Liter), anion gap acidosis (without evidenceof ketonuria or ketonemia), an increased lactate/pyruvate ratio; and metformin plasma levels generally >5 mcg/mL (see PRECAUTIONS).







Risk factors for metformin associated lactic acidosis include renal impairment, concamitent use of certain drugs (e.g carbonic anhydrase inhibitors such as topiramate), age 65 years old or greater, having a radiological study with contrast, surgery and other procedures, hypoxic states (e.g., acute congestive heart failure), excessive alcohol intake, and hepatic impairment.







Steps to reduce the risk of and manage metformin-associated lactic acidosis in these high risk groups are provided (see , , AND PRECAUTIONS ).







If metformin associated lactic acidosis is suspected, immediately discontinue metformin hydrochloride extend release tablets and institute general supportive measures in a hospital setting. Prompt hemodialysis is recommended (see PRECAUTIONS ).

Pregnancy

Teratogenic Effects: Pregnancy Category B

Recent information strongly suggests that abnormal blood glucose levels during pregnancy are associated with a higher incidence of congenital abnormalities. Most experts recommend that insulin be used during pregnancy to maintain blood glucose levels as close to normal as possible. Because animal reproduction studies are not always predictive of human response, metformin hydrochloride extended-release tablets should not be used during pregnancy unless clearly needed.

There are no adequate and well-controlled studies in pregnant women with metformin hydrochloride extended-release tablets. Metformin was not teratogenic in rats and rabbits at doses up to 600 mg/kg/day. This represents an exposure of about 2 and 6 times the maximum recommended human daily dose of 2000 mg based on body surface area comparisons for rats and rabbits, respectively. Determination of fetal concentrations demonstrated a partial placental barrier to metformin.

Overdosage

Overdose of metformin hydrochloride has occurred, including ingestion of amounts greater than 50 grams. Hypoglycemia was reported in approximately 10% of cases, but no causal association with metformin hydrochloride has been established. Lactic acidosis has been reported in approximately 32% of metformin overdose cases (see ). Metformin is dialyzable with a clearance of up to 170 mL/min under good hemodynamic conditions. Therefore, hemodialysis may be useful for removal of accumulated drug from patients in whom metformin overdosage is suspected.

Geriatric Use

Controlled clinical studies of metformin hydrochloride extended-release tablets did not include sufficient numbers of elderly patients to determine whether they respond differently from younger patients, although other reported clinical experience has not identified differences in responses between the elderly and younger patients. In general, dose selection for an elderly patient should be cautious, usually starting at the low end of the dosing range, reflecting the greater frequency of decreased hepatic, renal, or cardiac function, and of concomitant disease or other drug therapy and the higher risk of lactic acidosis. Assess renal function more frequently in elderly patients (see , PRECAUTIONS, and )

Pediatric Use

Safety and effectiveness of metformin hydrochloride extended-release tablets in pediatric patients have not been established.

Nursing Mothers

Studies in lactating rats show that metformin is excreted into milk and reaches levels comparable to those in plasma. Similar studies have not been conducted in nursing mothers. Because the potential for hypoglycemia in nursing infants may exist, a decision should be made whether to discontinue nursing or to discontinue the drug, taking into account the importance of the drug to the mother. If metformin hydrochloride extended-release tablets is discontinued, and if diet alone is inadequate for controlling blood glucose, insulin therapy should be considered.

Clinical Studies

Metformin Hydrochloride Extended-Release Tablets

A 24-week, double-blind, placebo-controlled study of metformin hydrochloride extended-release tablets, taken once daily with the evening meal, was conducted in patients with type 2 diabetes who had failed to achieve glycemic control with diet and exercise (HbA1c 7 to 10%, FPG 126 to 270 mg/dL). Patients entering the study had a mean baseline HbA1c of 8% and a mean baseline FPG of 176 mg/dL. After 12 weeks treatment, mean HbA 1c had increased from baseline by 0.1% and mean FPG decreased from baseline by 2 mg/dL in the placebo group, compared with a decrease in mean HbA 1c of 0.6% and a decrease in mean  FPG  of  23  mg/dL  in  patients  treated  with  metformin hydrochloride extended-release tablets  1000  mg  once  daily. Subsequently, the treatment dose was increased to 1500 mg once daily if HbA 1c was ≥7% but <8% (patients with HbA 1c ≥8% were discontinued from the study). At the final visit (24-week), mean HbA 1c had increased 0.2% from baseline in placebo patients and decreased 0.6% with metformin hydrochloride extended-release tablets. 

A 16-week, double-blind, placebo-controlled, dose-response study of metformin hydrochloride extended-release tablets, taken once daily with the evening meal or twice daily with meals, was conducted in patients with type 2 diabetes who had failed to achieve glycemic control with diet and exercise (HbA 1c 7 to 11%, FPG 126 to 280 mg/dL). Changes in glycemic control and body weight are shown in Table 2.



Table 2:Sum mary of Mean Ch a nges f rom Baseline* in Hb A1c, Fasting Plasma Glucose, and Body Weight at Final Visit (16-week study)



 



Metformin Hydrochloride Extended–Release Tablets



 

Placebo



 500 mg once Daily



1000 mg once Daily



1500 mg once Daily



2000 mg once Daily



1000 mg Twice Daily



Hemoglobin A1c (%)

Baseline

Change at FINAL VISIT

   p-value a



(n=115)

8.2

     -0.4

     <0.001



(n=115)

8.4

-0.6

   <0.001



 (n=111)

8.3

-0.9

   <0.001



(n=125)

8.4

-0.8

  <0.001



(n=112)

8.4

-1.1

  <0.001



(n=111)

     8.4

     0.1

         -



FPG (mg/dL)

Baseline

Change at FINAL VISIT

  p-value a



  (n=126)

    182.7

     -15.2

     <0.001



  (n=118)

     183.7

-19.3

 <0.001



  (n=120)

     178.9

-28.5

 <0.001



   (n=132)

181

-29.9

<0.001



   (n=122)

     181.6

      -33.6

<0.001



  (n=113)

    179.6

7.6

-



  Body Weight (lbs)

Baseline

Change at FINAL VISIT

    p-value a



  (n=125)

    192.9

  -1.3

 NS**



  (n=119)

     191.8

  -1.3

  NS**



   (n=117)

     188.3

 -0.7

      NS**



   (n=131)

     195.4

 -1.5

        NS**



   (n=119)

     192.5

 -2.2

  NS**



  (n=113)

     194.3

 -1.8

 -

*All patients on diet therapy at Baseline

a All comparisons versus Placebo

**Not statistically significant

Compared with placebo, improvement in glycemic control was seen at all dose levels of metformin hydrochloride extended-release tablets and treatment was not associated with any significant change in weight (see ) for dosing recommendations for metformin hydrochloride extended-release tablets.

A 24-week, double-blind, randomized study of metformin hydrochloride extended-release tablets, taken once daily with the evening meal, and metformin hydrochloride tablets, taken twice daily (with breakfast and evening meal), was conducted in patients with type 2 diabetes who had been treated with metformin hydrochloride 500 mg twice daily for at least 8 weeks prior to study entry.

The metformin hydrochloride dose had not necessarily been titrated to achieve a specific level of glycemic control prior to study entry. Patients qualified for the study if HbA 1c was ≤8.5% and FPG was ≤200 mg/dL. Changes in glycemic control and body weight are shown in Table 3. 



Table3:          Summary of Mean Changes from Baseline* in HbA1c, Fasting Plasma Glucose, and Body Weight at Week 12 and at Final Visit (24-week study) 


  


Metformin Hydrochloride Tablets

500 mg

 Twice Daily  


Metformin Hydrochloride Extended-Release Tablets 


1000 mg

Once Daily  


1500 mg

Once Daily  



Hemoglobin A1c (%) 



(n=67) 



(n=72) 



(n=66) 



Baseline 



7.06 



6.99 



7.02 



Change at 12 Weeks 



0.14 



0.23 



0.04 



(95% CI) 



(-0.03, 0.31) 



(0.10, 0.36) 



(-0.08, 0.15) 



Change at FINAL VISIT 



0.14 a 



0.27 



0.13 



(95% CI) 



(-0.04, 0.31) 



(0.11, 0.43) 



(-0.02, 0.28) 



FPG (mg/dL) 



(n=69) 



(n=72) 



(n=70) 



Baseline 



127.2 



131 



131.4 



Change at 12 Weeks 



12.9 



9.5 



3.7 



(95% CI) 



(6.5, 19.4) 



(4.4, 14.6) 



(-0.4, 7.8) 



Change at FINAL VISIT 



14 



11.5 



7.6 



(95% CI) 



(7, 21) 



(4.4, 18.6) 



(1.0, 14.2) 



Body Weight (lbs) 



(n=71) 



(n=74) 



(n=71) 



Baseline 



210.3 



202.8 



192.7 



Change at 12 Weeks 



0.4 



0.9 



0.7 



(95% CI) 



(-0.4, 1.5) 



(0.0, 2) 



(-0.4, 1.8) 



Change at FINAL VISIT 



0.9 



1.1 



0.9 



(95% CI) 



(-0.4, 2.2) 



(-0.2, 2.4) 



(-0.4, 2) 

*   All patients on metformin hydrochloride tablets 500 mg twice daily at Baseline

a n=68

 After 12 weeks of treatment, there was an increase in mean HbA 1c in all groups; in the metformin hydrochloride extended-release tablets 1000 mg group, the increase from baseline of 0.23% was statistically significant (see ).

Changes in lipid parameters in the previously described placebo-controlled dose-response study of metformin hydrochloride extended-release tablets are shown in Table 4.



Table 4:Summary of Mean Percent Changes from Baseline* in Major Lipid Variables at Final Visit (16-week study) 



 



Metformin Hydrochloride Extended–Release Tablets 



 

Placebo 



 

500 mg once Daily



1000 mg once Daily 



1500 mg once Daily 



2000 mg once Daily 



1000 mg Twice Daily 



Total Cholesterol (mg/dL)

   Baseline

   Mean % Change at FINAL

   VISIT



(n=120)

210.3

1%



(n=113)

218.1

1.7%



(n=110)

214.6

0.7%



(n=126)

204.4

-1.6%



(n=117)

208.2

-2.6%



(n=110)

208.6

-2.6%



Total Triglyceides (mg/dL)

   Baseline

   Mean % Change at FINAL

   VISIT



(n=120)

220.2

14.5%



(n=113)

211.9

9.4%



(n=110)

198

15.1%



(n=126)

194.2

14.9%



(n=117)

179

9.4%



(n=110)

211.7

10.9%



LDL Cholesterol (mg/dL)

   Baseline

   Mean % Change at FINAL

   VISIT



(n=119)

131

-1.4%



(n=113)

134.9

-1.6%



(n=109)

135.8

-3.5%



(n=126)

125.8

-3.3%



(n=117)

131.4

-5.5%



(n=107)

131.9

-3.2%



HDL Cholesterol (mg/dL)

   Baseline

   Mean % Change at FINAL

   VISIT



(n=120)

40.8

6.2%



(n=108)

41.6

8.6%



(n=108)

40.6

5.5%



(n=125)

40.2

6.1%



(n=117)

42.4

7.1%



(n=108)

39.4

5.8%

*All patients on diet therapy at Baseline

Changes in lipid parameters in the previously described study of metformin hydrochloride tablets and metformin hydrochloride extended-release tablets are shown in Table 5.



Table 5:                        Summary of Mean Percent Changes from Baseline* in Major Lipid Variables at Final Visit (24 week study)



 



Metformin Hydrochloride Tablets  500 mg

Twice Daily



Metformin Hydrochloride Extended-Release Tablets



1000 mg Once Daily



1500 mg Once Daily



Total Cholesterol (mg/dL)



(n=68)



(n=70)



(n=66)



Baseline



199



201.9



201.6



Mean % Change at FINAL VISIT



0.1%



1.3%



0.1%



Total Triglycerides (mg/dL)



(n=68)



(n=70)



(n=66)



Baseline



178



169.2



206.8



Mean % Change at FINAL VISIT



6.3%



25.3%



33.4%



LDL-Cholesterol (mg/dL)



(n=68)



(n=70)



(n=66)



Baseline



122.1



126.2



115.7



Mean % Change at FINAL VISIT



-1.3%



-3.3%



-3.7%



HDL-Cholesterol (mg/dL)



(n=68)



(n=70)



(n=65)



Baseline



41.9



41.7



44.6



Mean % Change at FINALVISIT



4.8%



1%



-2.1%

*All patients on metformin hydrochloride tablets  500 mg twice daily at baseline

Laboratory Tests

Response to all diabetic therapies should be monitored by periodic measurements of fasting blood glucose and glycosylated hemoglobin levels, with a goal of decreasing these levels toward the normal range. During initial dose titration, fasting glucose can be used to determine the therapeutic response. Thereafter, both glucose and glycosylated hemoglobin should be monitored. Measurements of glycosylated hemoglobin may be especially useful for evaluating long-term control (see also ).

Initial and periodic monitoring of hematologic parameters (e.g., hemoglobin/hematocrit and red blood cell indices) and renal function (serum creatinine) should be performed, at least on an annual basis.While megaloblastic anemia has rarely been seen with metformin hydrochloride therapy, if this is suspected, vitamin B12 deficiency should be excluded.

Instruct patients to inform their doctor that they are taking metformin hydrochloride extended-release tablets prior to any surgical or radiological procedure, as temporary discontinuation of metformin hydrochloride extended-release tablets may be required until renal function has been confirmed to be normal (see PRECAUTIONS ).

General Precautions

 Lactic acidosis –There have been post marketing cases of metformin-associated lactic acidosis, including fatal cases. These cases had a subtle onset and were accompanied by

    nonspecific symptoms such as malaise, myalgias, abdominal pain, respiratory distress, or increased somnolence; however, hypotension and resistant bradyarrhythmias have

    occurred with severe acidosis. Metformin-associated lactic acidosis was characterized by elevated blood lactate concentrations (>5 mmol/L), anion gap acidosis (without evidence

    of ketonuria or ketonemia), and an increased lactate: pyruvate ratio; metformin plasma levels were generally >5 mcg/mL. Metformin decreases liver uptake of lactate increasing

    lactate blood levels which may increase the risk of lactic acidosis, especially in patients at risk.



    If metformin-associated lactic acidosis is suspected, general supportive measures should be instituted promptly in a hospital setting, along with immediate discontinuation of or 

    metformin hydrochloride extend release tablets. In metformin hydrochloride extend release tablets treated patients with a diagnosis or strong suspicion of lactic acidosis, prompt

    hemodialysis is recommended to correct the acidosis and remove accumulated metformin (metformin hydrochloride is dialyzable with a clearance of up to 170 mL/min under good

    hemodynamic conditions). Hemodialysis has often resulted in reversal of symptoms and recovery.



    Educate patients and their families about the symptoms of lactic acidosis and, if these symptoms occur, instruct them to discontinue metformin hydrochloride extend release

    tablets and report these symptoms to their healthcare provider.



    For each of the known and possible risk factors for metformin-associated lactic acidosis, recommendations to reduce the risk of and manage metformin-associated lactic acidosis

    are provided below:



Renal impairment—The post marketing metformin-associated lactic acidosis cases primarily occurred in patients with significant renal impairment.



    The risk of metformin accumulation and metformin-associated lactic acidosis increases with the severity of renal impairment because metformin is substantially excreted by the

    kidney. Clinical recommendations based upon the patient’s renal function include (see , ):



    o Before initiating metformin hydrochloride extend release tablets, obtain an estimated  glomerular filtration rate (eGFR)



    o Metformin hydrochloride extend release tablets is contraindicated in patients with an eGFR less than 30 mL/min/1.73 m2 (see ).



    o Initiation of metformin hydrochloride extend release tablets is not recommended in patients with eGFR between 30-45 mL/min/1.73 m2.



    o Obtain an eGFR at least annually in all patients taking metformin hydrochloride extend release tablets. In patients at risk for the development of renal impairment (e.g., the  

       elderly), renal function should be assessed more frequently.



    o In patients taking metformin hydrochloride extend release tablets whose eGFR falls below 45 mL/min/1.73 m2, assess the benefit and risk of continuing therapy.



•  Drug Interactions – The concomitant use of metformin hydrochloride extend release tablets with   specific drugs may increase the risk of metformin-associated lactic acidosis:

    those that impair renal function, result in significant hemodynamic change, interfere with acid-base balance, or increase metformin accumulation. Consider more frequent

    monitoring of patients.



•  Age 65 or greater—The risk of metformin-associated lactic acidosis increases with the   patient’s age because elderly patients have a greater likelihood of having hepatic, renal,

    or cardiac impairment than younger patients. Assess renal function more frequently in elderly patients.



•  Radiologic studies with contrast—Administration of intravascular iodinated contrast agents in metformin-treated patients has led to an acute decrease in renal function and the

    occurrence of lactic acidosis. Stop metformin hydrochloride extended release tablets at the time of, or prior to, an iodinated contrast imaging procedure in patients with an eGFR

    between 30 and 60 mL/min/1.73 m2; in patients with a history of hepatic impairment, alcoholism or heart failure; or in patients who will be administered intra-arterial iodinated

    contrast. Re-evaluate eGFR 48 hours after the imaging procedure, and restart metformin hydrochloride extended release tablets if renal function is stable.



•  Surgery and other procedures—withholding of food and fluids during surgical or other procedures may increase the risk for volume depletion, hypotension, and renal impairment.

     Metformin hydrochloride extended-release tablets should be temporarily discontinued while patients have restricted food and fluid intake.



•  Hypoxic states— several of the postmarketing cases of metformin-associated lactic acidosis occurred in the setting of acute congestive heart failure (particularly when

     accompanied by hypoperfusion and hypoxemia). Cardiovascular collapse (shock), acute myocardial infarction, sepsis, and other conditions associated with hypoxemia have been

     associated with lactic acidosis and may cause prerenal azotemia. When such an event occurs, discontinue metformin hydrochloride extended release tablets.

• Excessive alcohol intake—Alcohol is known to potentiate the effect of metformin on lactate metabolism. Patients, therefore, should be warned against excessive alcohol intake,

    acute or chronic, while receiving  metformin hydrochloride extended-release tablets.

•  Hepatic impairment—Patients with hepatic impairment have developed cases of metformin‑ associated lactic acidosis. This may be due to impaired lactate clearance resulting in

     higher lactate blood levels. Therefore, avoid use of metformin hydrochloride extended release tablets in patients with clinical or laboratory evidence of hepatic disease.

Vitamin B12 levels— In controlled clinical trials of metformin of 29 weeks duration, a decrease to subnormal levels of previously normal serum vitamin B12 levels, without clinical manifestations, was observed in approximately 7% of patients. Such decrease, possibly due to interference with B12 absorption from the B12-intrinsic factor complex, is, however, very rarely associated with anemia and appears to be rapidly reversible with discontinuation of metformin or vitamin B12 supplementation. Measurement of hematologic parameters on an annual basis is advised in patients on metformin hydrochloride extended-release tablets and any apparent abnormalities should be appropriately investigated and managed (see P R ECAUTIONS: ).

Certain individuals (those with inadequate vitamin B12 or calcium intake or absorption) appear to be predisposed to developing subnormal vitamin B12 levels. In these patients, routine serum vitamin B12 measurements at 2- to 3- year intervals may be useful.

Change in clinical status of patients with previously controlled type 2 diabetes—A patient with type 2 diabetes previously well controlled on metformin hydrochloride extended-release tablets who develops laboratory abnormalities or clinical illness (especially vague and poorly defined illness) should be evaluated promptly for evidence of ketoacidosis or lactic acidosis. Evaluation should include serum electrolytes and ketones, blood glucose and, if indicated, blood pH, lactate, pyruvate, and metformin levels. If acidosis of either form occurs, metformin hydrochloride extended-release tablets must be stopped immediately and other appropriate corrective measures initiated (see also ).

Hypoglycemia—Hypoglycemia does  not  occur  in patients  receiving metformin hydrochloride extended-release tablets alone under usual circumstances of use, but could occur when caloric intake is deficient, when strenuous exercise is not compensated by caloric supplementation, or during concomitant use with other glucose-lowering agents (such as sulfonylureas and insulin) or ethanol.

Elderly, debilitated, or malnourished patients, and those with adrenal or pituitary insufficiency or alcohol intoxication are particularly susceptible to hypoglycemic effects. Hypoglycemia may be difficult to recognize in the elderly, and in people who are taking beta-adrenergic blocking drugs.

Macrovascular Outcomes—There have been no clinical studies establishing conclusive evidence of  macrovascular risk reduction with metformin hydrochloride extended-release tablets or any other anti-diabetic drug.

Indications & Usage

Metformin hydrochloride extended-release tablets, USP are indicated as an adjunct to diet and exercise to improve glycemic control in patients with type 2 diabetes mellitus.

Mechanism of Action

Metformin is an antihyperglycemic agent which improves glucose tolerance in patients with type 2 diabetes, lowering both basal and postprandial plasma glucose. Its pharmacologic mechanisms of action are different from other classes of oral antihyperglycemic agents. Metformin decreases hepatic glucose production, decreases intestinal absorption of glucose, and improves insulin sensitivity by increasing peripheral glucose uptake and utilization. Unlike sulfonylureas, metformin does not produce hypoglycemia in either patients with type 2 diabetes or normal subjects (except in special circumstances, see PRECAUTIONS ) and does not cause hyperinsulinemia. With metformin therapy, insulin secretion remains unchanged while fasting insulin levels and day-long plasma insulin response may actually decrease.

Specific Population

Patients with Type 2 Diabetes

In the presence of normal renal function, there are no differences between single- or multiple-dose pharmacokinetics of metformin between patients with type 2 diabetes and normal subjects (see Table 1) nor is there any accumulation of metformin in either group at usual clinical doses.

The pharmacokinetics of metformin hydrochloride extended-release tablets in patients with type 2 diabetes is comparable to those in healthy normal adults.

Renal Impairment

In patients with decreased renal function (based on measured creatinine clearance), the plasma and blood half-life of metformin is prolonged and the renal clearance is decreased in proportion to the decrease in creatinine clearance (see Table 1: also see also see , , PRECAUTIONS, and ).

Hepatic Impairment

No parmacokinetic studies of metformin have been conducted in patients with hepatic insufficiency (see PRECAUTIONS).

Geriatrics

Limited data from controlled pharmacokinetic studies of metformin hydrochloride tablets in healthy elderly subjects suggest that total plasma clearance of metformin is decreased, the half-life is prolonged, and Cmax is increased, compared to healthy young subjects. From these data, it appears that the change in metformin pharmacokinetics with aging is primarily accounted for by a change in renal function (see Table 1; also see  , PRECAUTIONS, and ). Metformin hydrochloride extended-release tablets treatment should not be initiated in patients ≥80 years of age unless measurement of creatinine clearance demonstrates that renal function is not reduced (see and ).

  Table 1:             Select Mean (± S.D.) Metformin Pharmacokinetic Parameters Following Single or Multiple Oral Doses of  Metformin  Hydrochloride Tablets

 

  Subject Groups: Metformin Hydrochloride Tablet dose a (number of subjects)

 

  Cmax b

   (mcg/mL)

 

  Tmax c

   (hrs)

 

  Renal

  Clearance (mL/min)

 

  Healthy, nondiabetic adults:

 

  

 

  

 

  

 

 500 mg single dose (24)

 

 1.03 (±0.33)

 

 2.75 (±0.81)

 

 600 (±132)

 

 850 mg single dose (74)d

 

 1.60 (±0.38)

 

 2.64 (±0.82)

 

 552 (±139)

 

 850 mg three times daily for 19 doses e  (9)

 

 2.01 (±0.42)

 

 1.79 (±0.94)

 

 642 (±173)

 

  Adults with type 2 diabetes:

 

  

 

  

 

  

 

 850 mg single dose (23)

 

 1.48 (±0.5)

 

 3.32 (±1.08)

 

 491 (±138)

 

 850 mg three times daily for 19 dosese  (9)

 

 1.90 (±0.62)

 

 2.01 (±1.22)

 

 550 (±160)

 

  Elderly f , healthy nondiabetic adults:

 

  

 

  

 

  

 

 850 mg single dose (12)

 

 2.45 (±0.70)

 

 2.71 (±1.05)

 

 412 (±98)

 

  Renal-impaired adults:

 

  

 

  

 

  

 

  850 mg single dose

 

  

 

  

 

  

 

 Mild (CL cr g 61-90 mL/min) (5)

 

 1.86 (±0.52)

 

 3.20 (±0.45)

 

 384 (±122)

 

 Moderate (CL cr 31-60 mL/min) (4)

 

 4.12 (±1.83)

 

 3.75 (±0.50)

 

 108 (±57)

 

  Severe (CL cr 10-30 mL/min) (6)

 

 3.93 (±0.92)

 

 4.01 (±1.10)

 

 130 (±90)

 

a All doses given fasting except the first 18 doses of the multiple dose studies

b Peak plasma concentration

c Time to peak plasma concentration

d Combined results (average means) of five studies: mean age 32 years (range 23-59 years)

e Kinetic study done following dose 19, given fasting

f Elderly subjects, mean age 71 years (range 65-81 years)

g CLcr = creatinine clearance normalized to body surface area  of   1.73  m 2

Gender

Metformin pharmacokinetic parameters did not differ significantly between normal subjects and patients with type 2 diabetes when analyzed according to gender (males = 19, females = 16).

Race

No studies of metformin pharmacokinetic parameters according to race have been performed.

Dosage & Administration

There is no fixed dosage regimen for the management of hyperglycemia in patients with type 2 diabetes with metformin hydrochloride extended-release tablets, USP or any other pharmacologic agent. Dosage of metformin hydrochloride extended-release tablets, USP must be individualized on the basis of both effectiveness and tolerance, while not exceeding the maximum recommended daily doses. The maximum recommended daily dose of metformin hydrochloride extended-release tablets, USP in adults is 2000 mg.

Metformin hydrochloride extended-release tablets, USP should generally be given once daily with the evening meal. Metformin hydrochloride extended-release tablets, USP should be started at a low dose, with gradual dose escalation, both to reduce gastrointestinal side effects and to permit identification of the minimum dose required for adequate glycemic control of the patient.

During treatment initiation and dose titration (see Recommended Dosing Schedule), fasting plasma glucose should be used to determine the therapeutic response to metformin hydrochloride extended-release tablets, USP and identify the minimum effective dose for the patient. Thereafter, glycosylated hemoglobin should be measured at intervals of approximately 3 months. The therapeutic goal should be to decrease both fasting plasma glucose and glycosylated hemoglobin levels to normal or near normal by using the lowest effective dose of metformin hydrochloride extended-release tablets, USP either when used as monotherapy or in combination with sulfonylurea or insulin.

Monitoring of blood glucose and glycosylated hemoglobin will also permit detection of primary failure, i.e., inadequate lowering of blood glucose at the maximum recommended dose of medication, and secondary failure, i.e., loss of an adequate blood glucose lowering response after an initial period of effectiveness.

Short-term administration of metformin hydrochloride extended-release tablets, USP may be sufficient during periods of transient loss of control in patients usually well-controlled on diet alone.

Metformin hydrochloride extended-release tablets, USP must be swallowed whole and never crushed or chewed. Occasionally, the inactive ingredients of metformin hydrochloride extended-release tablets, USP will be eliminated in the feces as a soft, hydrated mass. (See printed below.)

Information for Patients

Patients should be informed of the potential risks and benefits of metformin hydrochloride extended-release tablets and of alternative modes of therapy. They should also be informed about the importance of adherence to dietary instructions, of a regular exercise program, and of regular testing of blood glucose, glycosylated hemoglobin, renal function, and hematologic parameters.



The risks of lactic acidosis, its symptoms, and conditions that predispose to its development, as noted in the

and PRECAUTIONS sections, should be explained to patients. Patients should be advised to discontinue metformin hydrochloride extended-release tablets immediately and to promptly notify their health practitioner if unexplained hyperventilation, myalgia, malaise, unusual somnolence, or other nonspecific symptoms occur. Once a patient is stabilized on any dose level of metformin hydrochloride extended-release tablets, gastrointestinal symptoms, which are common during initiation of metformin therapy, are unlikely to be drug related. Later occurrence of gastrointestinal symptoms could be due to lactic acidosis or other serious disease.



Patients should be counselled against excessive alcohol intake, either acute or chronic, while receiving metformin hydrochloride extended-release tablets.



Metformin hydrochloride extended-release tablets alone does not usually cause hypoglycemia, although it may occur when metformin hydrochloride extended-release tablets is used in conjunction with oral sulfonylureas and insulin. When initiating combination therapy, the risks of hypoglycemia, its symptoms and treatment, and conditions that predispose to its development should be explained to patients and responsible family members. (See

printed below.)



Patients should be informed that metformin hydrochloride extended-release tablets must be swallowed whole and not crushed or chewed, and that the inactive ingredients may occasionally be eliminated in the feces as a soft mass that may resemble the original tablet.

Metabolism and Elimination

Intravenous single-dose studies in normal subjects demonstrate that metformin is excreted unchanged in the urine and does not undergo hepatic metabolism (no metabolites have been identified in humans) nor biliary excretion. Renal clearance (see Table 1) is approximately 3.5 times greater than creatinine clearance, which indicates that tubular secretion is the major route of metformin elimination. Following oral administration, approximately 90% of the absorbed drug is eliminated via the renal route within the first 24 hours, with a plasma elimination half-life of approximately 6.2 hours. In blood, the elimination half-life is approximately 17.6 hours, suggesting that the erythrocyte mass may be a compartment of distribution.

Spl Patient Package Insert

Patient Information



Metformin Hydrochloride Extended-Release Tablets, USP



Read this information carefully before you start taking this medicine and each time you refill your prescription. There may be new information. This information does not take the place of your doctor’s advice. Ask your doctor or pharmacist if you do not understand some of this information or if you want to know more about this medicine.







What are Metformin Hydrochloride Extended-Release Tablets?



Metformin Hydrochloride Extended-Release Tablets are used to treat type 2 diabetes. This is also known as non-insulin-dependent diabetes mellitus. People with type 2 diabetes are not able to make enough insulin or respond normally to the insulin their bodies make. When this happens, sugar (glucose) builds up in the blood. This can lead to serious medical problems including kidney damage, amputations, and blindness. Diabetes is also closely linked to heart disease. The main goal of treating diabetes is to lower your blood sugar to a normal level.







High blood sugar can be lowered by diet and exercise, by a number of medicines taken by mouth, and by insulin shots. Before you take metformin hydrochloride extended-release tablets, try to control your diabetes by exercise and weight loss. While you take your diabetes medicine, continue to exercise and follow the diet advised for your diabetes. No matter what your recommended diabetes management plan is, studies have shown that maintaining good blood sugar control can prevent or delay complications of diabetes, such as blindness.







Metformin hydrochloride and Metformin hydrochloride extended-release tablets have the same active ingredient. However, metformin hydrochloride extended-release tablets works longer in your body. Both of these medicines help control your blood sugar in a number of ways. These include helping your body respond better to the insulin it makes naturally, decreasing the amount of sugar your liver makes, and decreasing the amount of sugar your intestines absorb. Metformin hydrochloride extended-release tablets do not cause your body to make more insulin. Because of this, when taken alone, they rarely cause hypoglycemia (low blood sugar), and usually do not cause weight gain. However, when they are taken with a sulfonylurea or with insulin, hypoglycemia is more likely to occur, as is weight gain.



Tell your doctor if you are pregnant or plan to become pregnant. Metformin hydrochloride extended-release tablets may not be right for you. Talk with your doctor about your choices. You should also discuss your choices with your doctor if you are nursing a child.







Can Metformin hydrochloride extended-release tablets be used in children?



Metformin hydrochloride extended-release tablets has not been studied in children.







How should I take Metformin hydrochloride extended-release tablets?



Your doctor will tell you how much medicine to take and when to take it. You will probably start out with a low dose of the medicine. Your doctor may slowly increase your dose until your blood sugar is better controlled. You should take metformin hydrochloride extended-release tablets with meals.







Your doctor may have you take other medicines along with metformin hydrochloride extended-release tablets to control your blood sugar. These medicines may include insulin shots. Taking metformin hydrochloride extended-release tablets with insulin may help you better control your blood sugar while reducing the insulin dose.







Continue your exercise and diet program and test your blood sugar regularly while taking metformin hydrochloride extended-release tablets. Your doctor will monitor your diabetes and may perform blood tests on you from time to time to make sure your kidneys and your liver are functioning normally. There is no evidence that metformin hydrochloride extended-release tablets causes harm to the liver or kidneys.



Tell your doctor if you:







• have an illness that causes severe vomiting, diarrhea or fever, or if you drink a much lower amount of liquid than normal. These conditions can lead to severe dehydration (loss of



water in your body). You may need to stop taking metformin hydrochloride extended-release tablets for a short time.



• plan to have surgery or an x-ray procedure with injection of dye (contrast agent). You may need to stop taking metformin hydrochloride extended-release tablets for a short time.



• start to take other medicines or change how you take a medicine. Metformin hydrochloride extended-release tablets can affect how well other drugs work, and some drugs can



affect how well metformin hydrochloride extended-release tablets work. Some medicines may cause high blood sugar.







Metformin hydrochloride extended-release tablets must be swallowed whole and never crushed or chewed. Occasionally, the inactive ingredients of metformin hydrochloride extended-release tablets may be eliminated as a soft mass in your stool that may look like the original tablet; this is not harmful and will not affect the way metformin hydrochloride extended-release tablets works to control your diabetes.







What should I avoid while taking Metformin hydrochloride extended-release tablets?







Do not drink a lot of alcoholic drinks while taking metformin hydrochloride extended-release tablets. This means you should not binge drink for short periods, and you should not drink a lot of alcohol on a regular basis. Alcohol can increase the chance of getting lactic acidosis.







What are the side effects of Metformin hydrochloride extended-release tablets?







• Lactic acidosis. Metformin, the active ingredient in metformin hydrochloride extended-release tablets, can cause a rare but serious condition called lactic acidosis (a



buildup of an acid in the blood) that can cause death. Lactic acidosis is a medical emergency and must be treated in the hospital.







Call your doctor right away if you have any of the following symptoms, which could be signs of lactic acidosis:



• you feel cold in your hands or feet



• you feel dizzy or lightheaded



• you have a slow or irregular heartbeat



• you feel very weak or tired



• you have unusual (not normal) muscle pain



• you have trouble breathing



• you feel sleepy or drowsy



• you have stomach pains, nausea or vomiting







Most people who have had lactic acidosis with metformin have other things that, combined with the metformin, led to the lactic acidosis. Tell your doctor if you have any of the following, because you have a higher chance for getting lactic acidosis with metformin hydrochloride extended-release tablets if you:







• have severe kidney problems, or your kidneys are affected by certain x-ray tests that use injectable dye



• have liver problems



• drink alcohol very often, or drink a lot of alcohol in short-term "binge" drinking



• get dehydrated (lose a large amount of body fluids). This can happen if you are sick with a fever, vomiting, or diarrhea. Dehydration can also happen when you sweat a lot with



activity or exercise and do not drink enough fluids



• have surgery



• have a heart attack, severe infection, or stroke







The best way to keep from having a problem with lactic acidosis from metformin is to tell your doctor if you have any of the problems in the list above. Your doctor may decide to stop your metformin hydrochloride extended-release tablets for a while if you have any of these things.







Other Side Effects. Common side effects of metformin hydrochloride extended-release tablets include diarrhea, nausea, and upset stomach. These side effects generally go away after you take the medicine for a while. Taking your medicine with meals can help reduce these side effects. Tell your doctor if the side effects bother you a lot, last for more than a few weeks, come back after they’ve gone away, or start later in therapy. You may need a lower dose or need to stop taking the medicine for a short period or for good.







About 3 out of every 100 people who take metformin hydrochloride extended-release tablets have an unpleasant metallic taste when they start taking the medicine. It lasts for a short time.







Metformin hydrochloride extended-release tablets rarely cause hypoglycemia (low blood sugar) by themselves. However, hypoglycemia can happen if you do not eat enough, if you drink alcohol or if you take other medicines to lower blood sugar.







General advice about prescription medicines







If you have questions or problems, talk with your doctor or other healthcare provider. You can ask your doctor or pharmacist for the information about metformin hydrochloride extended-release tablets that is written for healthcare professionals. Medicines are sometimes prescribed for purposes other than those listed in a patient information leaflet. Do not use metformin hydrochloride extended-release tablets for a condition for which it was not prescribed. Do not share your medicine with other people.

Dispense with Patient Information available at:

https://granulespharma.com/product/metformin-er-tab-500-750/

Manufactured by:

Granules India Limited

Hyderabad-500 081, India

Manufactured For:

Granules Pharmaceuticals Inc.

Chantilly, VA 20151.



Revision Date: 05/ 2023

Repackaged By: Preferred Pharmaceuticals Inc.

Recommended Dosing Schedule

Adults

In general, clinically significant responses are not seen at doses below 1500 mg per day. However, a lower recommended starting dose and gradually increased dosage is advised to minimize gastrointestinal symptoms.

The usual starting dose of metformin hydrochloride extended-release tablets, USP is 500 mg once daily with the evening meal. Dosage increases should be made in increments of 500 mg weekly, up to a maximum of 2000 mg once daily with the evening meal. If glycemic control is not achieved on metformin hydrochloride extended-release tablets, USP 2000 mg once daily, a trial of metformin hydrochloride extended-release tablets, USP 1000 mg twice daily should be considered. (See : .)

In a randomized trial, patients currently treated with metformin hydrochloride tablets were switched to metformin hydrochloride extended-release tablets. Results of this trial suggest that patients receiving metformin hydrochloride tablets treatment may be safely switched to metformin hydrochloride extended-release tablets once daily at the same total daily dose, up to 2000 mg once daily. Following a switch from metformin hydrochloride tablets to metformin hydrochloride extended-release tablets, glycemic control should be closely monitored and dosage adjustments made accordingly (see : ).

Pediatrics

Safety and effectiveness of metformin hydrochloride extended-release tablets, USP in pediatric patients have not been established.

Specific Patient Populations

Metformin hydrochloride extended-release tablets is not recommended for use in pregnancy. Metformin hydrochloride extended-release tablets, USP is not recommended in pediatric patients (below the age of 17 years).

The initial and maintenance dosing of metformin hydrochloride extended-release tablets should be conservative in patients with advanced age, due to the potential for decreased renal function in this population. Any dosage adjustment should be based on a careful assessment of renal function. Generally, elderly, debilitated, and malnourished patients should not be titrated to the maximum dose of metformin hydrochloride extended-release tablets.

Monitoring of renal function is necessary to aid in prevention of lactic acidosis, particularly in the elderly. (See .)

Absorption and Bioavailability

Following a single oral dose of Metformin Hydrochloride Extended-Release Tablets, C max is achieved with a median value of 7 hours and a range of 4  to 8 hours.Peak plasma levels are approximately 20% lower compared to the same dose of metformin hydrochloride tablets, however, the extent of absorption (as measured by AUC) is similar to metformin hydrochloride tablets.



At steady state, the AUC and C max are less than dose proportional for metformin hydrochloride extended-release tablets within the range of 500  to 2000 mg administered once daily. Peak plasma levels are approximately 0.6, 1.1, 1.4, and 1.8 mcg/mL for 500, 1000, 1500, and 2000 mg once-daily doses, respectively. The extent of metformin absorption (as measured by AUC) from metformin hydrochloride extended-release tablets at a 2000 mg once-daily dose is similar to the same total daily dose administered as metformin hydrochloride tablets 1000 mg twice daily. After repeated administration of metformin hydrochloride extended-release tablets, metformin did not accumulate in plasma.



Within-subject variability in C max and AUC of metformin from metformin hydrochloride extended-release tablets is comparable to that with metformin hydrochloride tablets.



Although the extent of metformin absorption (as measured by AUC) from the metformin hydrochloride extended-release tablets increased by approximately 50% when given with food, there was no effect of food on C max and T max of metformin. Both high and low fat meals had the same effect on the pharmacokinetics of metformin hydrochloride extended-release tablets.



 Distribution

The apparent volume of distribution (V/F) of metformin following single oral doses of metformin hydrochloride 850 mg averaged 654 ± 358 L. Metformin is negligibly bound to plasma proteins, in contrast to sulfonylureas, which are more than 90% protein bound. Metformin partitions into erythrocytes, most likely as a function of time. At usual clinical doses and dosing schedules of metformin hydrochloride tablets, steady state plasma concentrations of metformin are reached within 24 to 48 hours and are generally <1 mcg/mL. During controlled clinical trials of metformin hydrochloride tablets, maximum metformin plasma levels did not exceed 5 mcg/mL, even at maximum doses.

Package Label.principal Display Panel
Recommendations for Use in Renal Impairment

Assess renal function prior to initiation of metformin hydrochloride extended-release tablets and periodically thereafter.

Metformin hydrochloride extended-release tablets are contraindicated in patients with an estimated glomerular filtration rate (eGFR) below 30 mL/minute/1.73 m2.

Initiation of metformin hydrochloride extended-release tablets in patients with an eGFR between 30 to 45 mL/minute/1.73 m2 is not recommended.

In patients taking metformin hydrochloride extended-release tablets whose eGFR later falls below 45 mL/min/1.73 m2, assess the benefit risk of continuing therapy.

Discontinue metformin hydrochloride extended-release tablets if the patients eGFR later falls below 30 mL/minute/1.73 m2 (See  and PRECAUTIONS).

Carcinogenesis, Mutagenesis, Impairment of Fertility

Long-term carcinogenicity studies have been performed in rats (dosing duration of 104 weeks) and mice (dosing duration of 91 weeks) at doses up to and including 900 mg/kg/day and 1500 mg/kg/day, respectively.

These doses are both approximately 4 times the maximum recommended human daily dose of 2000 mg based on body surface area comparisons. No evidence of carcinogenicity with metformin was found in either male or female mice. Similarly, there was no tumorigenic potential observed with metformin in male rats. There was, however, an increased incidence of benign stromal uterine polyps in female rats treated with 900 mg/kg/day.

There was no evidence of a mutagenic potential of metformin in the following in vitro tests: Ames test (S. typhimurium), gene mutation test (mouse lymphoma cells), or chromosomal aberrations test (human lymphocytes). Results in the in vivo mouse micronucleus test were also negative.

Fertility of male or female rats was unaffected by metformin when administered at doses as high as 600 mg/kg/day, which is approximately 3 times the maximum recommended human daily dose based on body surface area comparisons.

Discontinuation for Iodinated Contrast Imaging Procedures

Discontinue metformin hydrochloride extended-release tablets at the time of, or prior to, an iodinated contrast imaging procedure in patients with an eGFR between 30 and 60 mL/min/1.73 m2; in patients with a history of liver disease, alcoholism, or heart failure; or in patients who will be administered intra-arterial iodinated contrast. Re-evaluate eGFR 48 hours after the imaging procedure; restart metformin hydrochloride extended-release tablets if renal function is stable.

Concomitant Metformin Hydrochloride Extended Release Tablets and Insulin Therapy in Adult Patients

The current insulin dose should be continued upon initiation of metformin hydrochloride extended-release tablets therapy. Metformin hydrochloride extended-release tablets therapy should be initiated at 500 mg once daily in patients on insulin therapy. For patients not responding adequately, the dose of metformin hydrochloride extended-release tablets should be increased by 500 mg after approximately 1 week and by 500 mg every week thereafter until adequate glycemic control is achieved. The maximum recommended daily dose is 2000 mg for metformin hydrochloride extended-release tablets. It is recommended that the insulin dose be decreased by 10% to 25% when fasting plasma glucose concentrations decrease to less than 120 mg/dL in patients receiving concomitant insulin and metformin hydrochloride extended-release tablets, USP. Further adjustment should be individualized based on glucose-lowering response.

Drug Interactions (clinical Evaluation of Drug Interactions Conducted With Metformin Hydrochloride)

Glyburide—In a single-dose interaction study in type 2 diabetes patients, coadministration of metformin and glyburide did not result in any changes in either metformin pharmacokinetics or pharmacodynamics. Decreases in glyburide AUC and C max were observed, but were highly variable. The single-dose nature of this study and the lack of correlation between glyburide blood levels and pharmacodynamic effects, makes the clinical significance of this interaction uncertain (see : Concomitant metformin hydrochloride extended-release tablets and Oral Sulfonylurea Therapy in Adult Patients).

Furosemide—A single-dose, metformin-furosemide drug interaction study in healthy subjects demonstrated that pharmacokinetic parameters of both compounds were affected by coadministration. Furosemide increased the metformin plasma and blood C max by 22% and blood AUC by 15%, without any significant change in metformin renal clearance. When administered with metformin, the Cmax and AUC of furosemide were 31% and 12% smaller, respectively, than when administered alone, and the terminal half-life was decreased by 32%, without any significant change in furosemide renal clearance. No information is available about the interaction of metformin and furosemide when coadministered chronically.

Nifedipine—A single-dose, metformin-nifedipine drug interaction study in normal healthy volunteers demonstrated that co-administration of nifedipine increased plasma metformin C max and AUC by 20% and 9%, respectively, and increased the amount excreted in the urine. T max and half-life were unaffected. Nifedipine appears to enhance the absorption of metformin. Metformin had minimal effects on nifedipine.

Drugs that reduce metformin clearance—Concomitant use of drugs that interfere with common renal tubular transport systems involved in the renal elimination of metformin (e.g., organic cationic transporter-2 [OCT2] / multidrug and toxin extrusion [MATE] inhibitors such as ranolazine, vandetanib, dolutegravir, and cimetidine) could increase systemic exposure to metformin and may increase the risk for lactic acidosis. Consider the benefits and risks of concomitant use. Such interaction between metformin and oral cimetidine has been observed in normal healthy volunteers in both single- and multiple-dose, metformin-cimetidine drug interaction studies, with a 60% increase in peak metformin plasma and whole blood concentrations and a 40% increase in plasma and whole blood metformin AUC. There was no change in elimination half-life in the single-dose study. Metformin had no effect on cimetidine pharmacokinetics. Although such interactions remain theoretical (except for cimetidine), careful patient monitoring and dose adjustment of metformin hydrochloride extended-release tablets and/or the interfering drug is recommended in patients who are taking cationic medications that are excreted via the proximal renal tubular secretory system.

Other—Certain drugs tend to produce hyperglycemia and may lead to loss of glycemic control. These drugs include the thiazides and other diuretics, corticosteroids, phenothiazines, thyroid products, estrogens, oral contraceptives, phenytoin, nicotinic acid, sympathomimetics, calcium channel blocking drugs, and isoniazid. When such drugs are administered to a patient receiving metformin hydrochloride extended-release tablets, the patient should be closely observed for loss of blood glucose control. When such drugs are withdrawn from a patient receiving metformin hydrochloride extended-release tablets, the patient should be observed closely for hypoglycemia.

Carbonic   anhydrase   inhibitors—Topiramate   or   other   carbonic   anhydrase   inhibitors  (e.g., zonisamide, acetazolamide or dichlorphenamide) frequently cause a decrease in serum bicarbonate and induce non-anion gap, hyperchloremic metabolic acidosis. Concomitant use of these drugs with metformin hydrochloride extended-release tablets may increase the risk for lactic acidosis. Consider more frequent monitoring of these patients.

Alcohol—Alcohol is known to potentiate the effect of metformin on lactate metabolism. Warn patients against excessive alcohol intake while receiving metformin hydrochloride extended-release tablets.

Concomitant Metformin Hydrochloride Extended Release Tablets, Usp and Oral Sulfonylurea Therapy in Adult Patients

If patients have not responded to 4 weeks of the maximum dose of metformin hydrochloride extended-release tablets monotherapy, consideration should be given to gradual addition of an oral sulfonylurea while continuing metformin hydrochloride extended-release tablets, USP at the maximum dose, even if prior primary or secondary failure to a sulfonylurea has occurred. Clinical and pharmacokinetic drug- drug interaction data are currently available only for metformin plus glyburide (glibenclamide).

With concomitant metformin hydrochloride extended-release tablets and sulfonylurea therapy, the desired control of blood glucose may be obtained by adjusting the dose of each drug. In a clinical trial of patients with type 2 diabetes and prior failure on glyburide, patients started on metformin hydrochloride tablets 500 mg and glyburide 20 mg were titrated to 1000/20 mg, 1500/20 mg, 2000/20 mg or 2500/20 mg of metformin hydrochloride tablets and glyburide, respectively, to reach the goal of glycemic control as measured by FPG, HbA1c and plasma glucose response (see : ). However, attempts should be made to identify the minimum effective dose of each drug to achieve this goal. With concomitant metformin hydrochloride extended-release tablets, USP and sulfonylurea therapy, the risk of hypoglycemia associated with sulfonylurea therapy continues and may be increased. Appropriate precautions should be taken. (See Package Insert of the respective sulfonylurea.)

If patients have not satisfactorily responded to 1 to 3 months of concomitant therapy with the maximum dose of metformin hydrochloride extended-release tabletsand the maximum dose of an oral sulfonylurea, consider therapeutic alternatives including switching to insulin with or without metformin hydrochloride extended-release tablets.


Structured Label Content

Warnings (WARNINGS)

LACTIC ACIDOSIS:



Postmarketing cases of metformin-associated lactic acidosis have resulted in death, hypothermia, hypotension and resistant bradyarrhythmias. The onset of metformin associated lactic acidosis is often subtle, accompanied only by nonspecific symptoms such as malaise, myalgias, respiratory distress, somnolence, and abdominal pain. Metformin associated lactic acidosis was characterized by elevated blood lactate levels(>5 mmol/Liter), anion gap acidosis (without evidenceof ketonuria or ketonemia), an increased lactate/pyruvate ratio; and metformin plasma levels generally >5 mcg/mL (see PRECAUTIONS).







Risk factors for metformin associated lactic acidosis include renal impairment, concamitent use of certain drugs (e.g carbonic anhydrase inhibitors such as topiramate), age 65 years old or greater, having a radiological study with contrast, surgery and other procedures, hypoxic states (e.g., acute congestive heart failure), excessive alcohol intake, and hepatic impairment.







Steps to reduce the risk of and manage metformin-associated lactic acidosis in these high risk groups are provided (see , , AND PRECAUTIONS ).







If metformin associated lactic acidosis is suspected, immediately discontinue metformin hydrochloride extend release tablets and institute general supportive measures in a hospital setting. Prompt hemodialysis is recommended (see PRECAUTIONS ).

Pregnancy

Teratogenic Effects: Pregnancy Category B

Recent information strongly suggests that abnormal blood glucose levels during pregnancy are associated with a higher incidence of congenital abnormalities. Most experts recommend that insulin be used during pregnancy to maintain blood glucose levels as close to normal as possible. Because animal reproduction studies are not always predictive of human response, metformin hydrochloride extended-release tablets should not be used during pregnancy unless clearly needed.

There are no adequate and well-controlled studies in pregnant women with metformin hydrochloride extended-release tablets. Metformin was not teratogenic in rats and rabbits at doses up to 600 mg/kg/day. This represents an exposure of about 2 and 6 times the maximum recommended human daily dose of 2000 mg based on body surface area comparisons for rats and rabbits, respectively. Determination of fetal concentrations demonstrated a partial placental barrier to metformin.

Overdosage (OVERDOSAGE)

Overdose of metformin hydrochloride has occurred, including ingestion of amounts greater than 50 grams. Hypoglycemia was reported in approximately 10% of cases, but no causal association with metformin hydrochloride has been established. Lactic acidosis has been reported in approximately 32% of metformin overdose cases (see ). Metformin is dialyzable with a clearance of up to 170 mL/min under good hemodynamic conditions. Therefore, hemodialysis may be useful for removal of accumulated drug from patients in whom metformin overdosage is suspected.

Description (DESCRIPTION)

Metformin Hydrochloride Extended-Release Tablets, USP

Metformin hydrochloride extended-release tablets, USP are oral antihyperglycemic drugs used in the management of type 2 diabetes. Metformin hydrochloride, USP (N,N-dimethyl-monohydrochloride,Imidodicarbonimidic diamide) is not chemically or pharmacologically related to any other classes of oral antihyperglycemic agents. The structural formula is as shown:

Metformin hydrochloride, USP is a white or almost white, crystalline powder with a molecular formula of C4H11N5•HCl and a molecular weight of 165.62. Metformin hydrochloride is freely soluble in water, slightly soluble in alcohol, practically insoluble in acetone and in Methylene chloride. The pKa of metformin is 12.4. The pH of a 1% aqueous solution of metformin hydrochloride is 6.35.







Metformin hydrochloride extended-release tablets, USP contain 500 mg or 750 mg of metformin hydrochloride as the active ingredient.







Metformin hydrochloride extended-release tablets, USP 500 mg and 750 mg tablets contain the inactive ingredients hypromellose, magnesium stearate, and polyvinyl pyrrolidone.







Dissolution Method: Test 10







System Components and Performance - Metformin hydrochloride extended-release tablets, USP comprises a dual hydrophilic polymer matrix system. Metformin hydrochloride, USP is combined with a drug release controlling polymer to form an "inner" phase, which is then incorporated as discrete particles into an "external" phase of a second polymer. After administration, fluid from the gastrointestinal (GI) tract enters the tablet, causing the polymers to hydrate and swell. Drug is released slowly from the dosage form by a process of diffusion through the gel matrix that is essentially independent of pH. The hydrated polymer system is not rigid and is expected to be broken up by normal peristalsis in the GI tract. The biologically inert components of the tablet may occasionally remain intact during GI transit and will be eliminated in the feces as a soft, hydrated mass.

How Supplied (HOW SUPPLIED)

Metformin Hydrochloride Extended-Release Tablets, USP

Metformin Hydrochloride Extended-Release Tablets, USP 500 mg tablets are white to off-white uncoated, modified capsule shaped tablets debossed with “G7” on one side and plain on the other side.

Bottles of 30 NDC 68788-8495-3

Bottles of 60 NDC 68788-8495-6

Bottles of 90 NDC 68788-8495-9

Bottles of 100 NDC 68788-8495-1

Bottles of 120 NDC 68788-8495-8



Storage

Store at 20° to 25° C (68° to 77° F); excursions permitted within 15° to 30° C (59° to 86° F). [See USP Controlled Room Temperature.]

Dispense in light-resistant containers.



Dispense with Patient Information available at:

https://granulespharma.com/product/metformin-er-tab-500-750/



Manufactured by:

Granules India Limited

Hyderabad-500 081, India



Manufactured for:

Granules Pharmaceuticals Inc.

Chantilly, VA 20151.







Revision date: May 2023

Repackaged By: Preferred Pharmaceuticals Inc.

Geriatric Use

Controlled clinical studies of metformin hydrochloride extended-release tablets did not include sufficient numbers of elderly patients to determine whether they respond differently from younger patients, although other reported clinical experience has not identified differences in responses between the elderly and younger patients. In general, dose selection for an elderly patient should be cautious, usually starting at the low end of the dosing range, reflecting the greater frequency of decreased hepatic, renal, or cardiac function, and of concomitant disease or other drug therapy and the higher risk of lactic acidosis. Assess renal function more frequently in elderly patients (see , PRECAUTIONS, and )

Pediatric Use

Safety and effectiveness of metformin hydrochloride extended-release tablets in pediatric patients have not been established.

Nursing Mothers

Studies in lactating rats show that metformin is excreted into milk and reaches levels comparable to those in plasma. Similar studies have not been conducted in nursing mothers. Because the potential for hypoglycemia in nursing infants may exist, a decision should be made whether to discontinue nursing or to discontinue the drug, taking into account the importance of the drug to the mother. If metformin hydrochloride extended-release tablets is discontinued, and if diet alone is inadequate for controlling blood glucose, insulin therapy should be considered.

Clinical Studies

Metformin Hydrochloride Extended-Release Tablets

A 24-week, double-blind, placebo-controlled study of metformin hydrochloride extended-release tablets, taken once daily with the evening meal, was conducted in patients with type 2 diabetes who had failed to achieve glycemic control with diet and exercise (HbA1c 7 to 10%, FPG 126 to 270 mg/dL). Patients entering the study had a mean baseline HbA1c of 8% and a mean baseline FPG of 176 mg/dL. After 12 weeks treatment, mean HbA 1c had increased from baseline by 0.1% and mean FPG decreased from baseline by 2 mg/dL in the placebo group, compared with a decrease in mean HbA 1c of 0.6% and a decrease in mean  FPG  of  23  mg/dL  in  patients  treated  with  metformin hydrochloride extended-release tablets  1000  mg  once  daily. Subsequently, the treatment dose was increased to 1500 mg once daily if HbA 1c was ≥7% but <8% (patients with HbA 1c ≥8% were discontinued from the study). At the final visit (24-week), mean HbA 1c had increased 0.2% from baseline in placebo patients and decreased 0.6% with metformin hydrochloride extended-release tablets. 

A 16-week, double-blind, placebo-controlled, dose-response study of metformin hydrochloride extended-release tablets, taken once daily with the evening meal or twice daily with meals, was conducted in patients with type 2 diabetes who had failed to achieve glycemic control with diet and exercise (HbA 1c 7 to 11%, FPG 126 to 280 mg/dL). Changes in glycemic control and body weight are shown in Table 2.



Table 2:Sum mary of Mean Ch a nges f rom Baseline* in Hb A1c, Fasting Plasma Glucose, and Body Weight at Final Visit (16-week study)



 



Metformin Hydrochloride Extended–Release Tablets



 

Placebo



 500 mg once Daily



1000 mg once Daily



1500 mg once Daily



2000 mg once Daily



1000 mg Twice Daily



Hemoglobin A1c (%)

Baseline

Change at FINAL VISIT

   p-value a



(n=115)

8.2

     -0.4

     <0.001



(n=115)

8.4

-0.6

   <0.001



 (n=111)

8.3

-0.9

   <0.001



(n=125)

8.4

-0.8

  <0.001



(n=112)

8.4

-1.1

  <0.001



(n=111)

     8.4

     0.1

         -



FPG (mg/dL)

Baseline

Change at FINAL VISIT

  p-value a



  (n=126)

    182.7

     -15.2

     <0.001



  (n=118)

     183.7

-19.3

 <0.001



  (n=120)

     178.9

-28.5

 <0.001



   (n=132)

181

-29.9

<0.001



   (n=122)

     181.6

      -33.6

<0.001



  (n=113)

    179.6

7.6

-



  Body Weight (lbs)

Baseline

Change at FINAL VISIT

    p-value a



  (n=125)

    192.9

  -1.3

 NS**



  (n=119)

     191.8

  -1.3

  NS**



   (n=117)

     188.3

 -0.7

      NS**



   (n=131)

     195.4

 -1.5

        NS**



   (n=119)

     192.5

 -2.2

  NS**



  (n=113)

     194.3

 -1.8

 -

*All patients on diet therapy at Baseline

a All comparisons versus Placebo

**Not statistically significant

Compared with placebo, improvement in glycemic control was seen at all dose levels of metformin hydrochloride extended-release tablets and treatment was not associated with any significant change in weight (see ) for dosing recommendations for metformin hydrochloride extended-release tablets.

A 24-week, double-blind, randomized study of metformin hydrochloride extended-release tablets, taken once daily with the evening meal, and metformin hydrochloride tablets, taken twice daily (with breakfast and evening meal), was conducted in patients with type 2 diabetes who had been treated with metformin hydrochloride 500 mg twice daily for at least 8 weeks prior to study entry.

The metformin hydrochloride dose had not necessarily been titrated to achieve a specific level of glycemic control prior to study entry. Patients qualified for the study if HbA 1c was ≤8.5% and FPG was ≤200 mg/dL. Changes in glycemic control and body weight are shown in Table 3. 



Table3:          Summary of Mean Changes from Baseline* in HbA1c, Fasting Plasma Glucose, and Body Weight at Week 12 and at Final Visit (24-week study) 


  


Metformin Hydrochloride Tablets

500 mg

 Twice Daily  


Metformin Hydrochloride Extended-Release Tablets 


1000 mg

Once Daily  


1500 mg

Once Daily  



Hemoglobin A1c (%) 



(n=67) 



(n=72) 



(n=66) 



Baseline 



7.06 



6.99 



7.02 



Change at 12 Weeks 



0.14 



0.23 



0.04 



(95% CI) 



(-0.03, 0.31) 



(0.10, 0.36) 



(-0.08, 0.15) 



Change at FINAL VISIT 



0.14 a 



0.27 



0.13 



(95% CI) 



(-0.04, 0.31) 



(0.11, 0.43) 



(-0.02, 0.28) 



FPG (mg/dL) 



(n=69) 



(n=72) 



(n=70) 



Baseline 



127.2 



131 



131.4 



Change at 12 Weeks 



12.9 



9.5 



3.7 



(95% CI) 



(6.5, 19.4) 



(4.4, 14.6) 



(-0.4, 7.8) 



Change at FINAL VISIT 



14 



11.5 



7.6 



(95% CI) 



(7, 21) 



(4.4, 18.6) 



(1.0, 14.2) 



Body Weight (lbs) 



(n=71) 



(n=74) 



(n=71) 



Baseline 



210.3 



202.8 



192.7 



Change at 12 Weeks 



0.4 



0.9 



0.7 



(95% CI) 



(-0.4, 1.5) 



(0.0, 2) 



(-0.4, 1.8) 



Change at FINAL VISIT 



0.9 



1.1 



0.9 



(95% CI) 



(-0.4, 2.2) 



(-0.2, 2.4) 



(-0.4, 2) 

*   All patients on metformin hydrochloride tablets 500 mg twice daily at Baseline

a n=68

 After 12 weeks of treatment, there was an increase in mean HbA 1c in all groups; in the metformin hydrochloride extended-release tablets 1000 mg group, the increase from baseline of 0.23% was statistically significant (see ).

Changes in lipid parameters in the previously described placebo-controlled dose-response study of metformin hydrochloride extended-release tablets are shown in Table 4.



Table 4:Summary of Mean Percent Changes from Baseline* in Major Lipid Variables at Final Visit (16-week study) 



 



Metformin Hydrochloride Extended–Release Tablets 



 

Placebo 



 

500 mg once Daily



1000 mg once Daily 



1500 mg once Daily 



2000 mg once Daily 



1000 mg Twice Daily 



Total Cholesterol (mg/dL)

   Baseline

   Mean % Change at FINAL

   VISIT



(n=120)

210.3

1%



(n=113)

218.1

1.7%



(n=110)

214.6

0.7%



(n=126)

204.4

-1.6%



(n=117)

208.2

-2.6%



(n=110)

208.6

-2.6%



Total Triglyceides (mg/dL)

   Baseline

   Mean % Change at FINAL

   VISIT



(n=120)

220.2

14.5%



(n=113)

211.9

9.4%



(n=110)

198

15.1%



(n=126)

194.2

14.9%



(n=117)

179

9.4%



(n=110)

211.7

10.9%



LDL Cholesterol (mg/dL)

   Baseline

   Mean % Change at FINAL

   VISIT



(n=119)

131

-1.4%



(n=113)

134.9

-1.6%



(n=109)

135.8

-3.5%



(n=126)

125.8

-3.3%



(n=117)

131.4

-5.5%



(n=107)

131.9

-3.2%



HDL Cholesterol (mg/dL)

   Baseline

   Mean % Change at FINAL

   VISIT



(n=120)

40.8

6.2%



(n=108)

41.6

8.6%



(n=108)

40.6

5.5%



(n=125)

40.2

6.1%



(n=117)

42.4

7.1%



(n=108)

39.4

5.8%

*All patients on diet therapy at Baseline

Changes in lipid parameters in the previously described study of metformin hydrochloride tablets and metformin hydrochloride extended-release tablets are shown in Table 5.



Table 5:                        Summary of Mean Percent Changes from Baseline* in Major Lipid Variables at Final Visit (24 week study)



 



Metformin Hydrochloride Tablets  500 mg

Twice Daily



Metformin Hydrochloride Extended-Release Tablets



1000 mg Once Daily



1500 mg Once Daily



Total Cholesterol (mg/dL)



(n=68)



(n=70)



(n=66)



Baseline



199



201.9



201.6



Mean % Change at FINAL VISIT



0.1%



1.3%



0.1%



Total Triglycerides (mg/dL)



(n=68)



(n=70)



(n=66)



Baseline



178



169.2



206.8



Mean % Change at FINAL VISIT



6.3%



25.3%



33.4%



LDL-Cholesterol (mg/dL)



(n=68)



(n=70)



(n=66)



Baseline



122.1



126.2



115.7



Mean % Change at FINAL VISIT



-1.3%



-3.3%



-3.7%



HDL-Cholesterol (mg/dL)



(n=68)



(n=70)



(n=65)



Baseline



41.9



41.7



44.6



Mean % Change at FINALVISIT



4.8%



1%



-2.1%

*All patients on metformin hydrochloride tablets  500 mg twice daily at baseline

Laboratory Tests

Response to all diabetic therapies should be monitored by periodic measurements of fasting blood glucose and glycosylated hemoglobin levels, with a goal of decreasing these levels toward the normal range. During initial dose titration, fasting glucose can be used to determine the therapeutic response. Thereafter, both glucose and glycosylated hemoglobin should be monitored. Measurements of glycosylated hemoglobin may be especially useful for evaluating long-term control (see also ).

Initial and periodic monitoring of hematologic parameters (e.g., hemoglobin/hematocrit and red blood cell indices) and renal function (serum creatinine) should be performed, at least on an annual basis.While megaloblastic anemia has rarely been seen with metformin hydrochloride therapy, if this is suspected, vitamin B12 deficiency should be excluded.

Instruct patients to inform their doctor that they are taking metformin hydrochloride extended-release tablets prior to any surgical or radiological procedure, as temporary discontinuation of metformin hydrochloride extended-release tablets may be required until renal function has been confirmed to be normal (see PRECAUTIONS ).

Adverse Reactions (ADVERSE REACTIONS)

In A US double blind clinical study of metformin hydrochloride tablets in patients with type 2 diabetes, a total of 141 patients received metformin hydrochloride tablets therapy (up to 2550 mg per day) and 145 patients received placebo. Adverse reactions reported in greater than 5% of the metformin hydrochloride tablets patients, and that were more common in metformin hydrochloride tablets than placebo treated patients, are listed in Table 6.

Table 6: Most Common Adverse Reactions (>5 Percent) in a Placebo-Controlled Clinical Study of Metformin Hydrochloride Tablets Monotherapy*

Adverse Reaction

Metformin Hydrochloride Tablets (n=141)

Placebo

(n=145)

% of Patients

Diarrhea

53.2

11.7

Nausea/Vomiting

25.5

8.3

Flatulence

12.1

5.5

Asthenia

9.2

5.5

Indigestion

7.1

4.1

Abdominal Discomfort

6.4

4.8

Headache

5.7

4.8

*Reactions that were more common in metformin hydrochloride tablets than placebo treated patients.

Diarrhea led to discontinuation of study medication in 6% of patients treated with metformin hydrochloride tablets. Additionally, the following adverse reactions were reported in ≥1 - ≤5% of metformin hydrochloride tablets patients and myalgia, lightheaded, dyspnea, nail disorder, rash, sweating increased, taste disorder, chest discomfort, chills, flu syndrome, flushing, and palpitation.

In worldwide clinical trials over 900 patients with type 2 diabetes have been treated with metformin hydrochloride extended-release tablets in placebo and active controlled studies. In placebo controlled trails, 781 patients were administered metformin hydrochloride extended-release tablets and 195 patients received placebo. Adverse reactions reported in greater than 5% of the metformin hydrochloride extended release tablets patients, and that were more common in metformin hydrochloride extended-release tablets than placebo treated patients are listed in Table 7.

Table 7: Most Common Adverse Reactions (>5 Percent) in Placebo-Controlled Studies of Metformin Hydrochloride Extended-Release Tablets*

Metformin Hydrochloride Extended-Release Tablets(N=781)

Placebo

(N=195)

Adverse Reactions

% of patients

Diarrhea

9.6

2.6

Nausea/Vomiting

6.5

1.5

Diarrhea led to discontinuation of study medication in 0.6% of patients treated with metformin hydrochloride extended-release tablets. Additionally, the following adverse reactions were reported in ≥1 - ≤5% of metformin hydrochloride extended-release tablets patients and were more commonly reported with metformin hydrochloride extended-release tablets than placebo: abdominal pain, constipation, distention abdomen, dyspepsia/heartburn, flatulence, dizziness, headache, upper respiratory infection, taste disturbance.*Reactions that were more common in metformin hydrochloride extended-release tablets than placebo treated patients.

Contraindications (CONTRAINDICATIONS)

Metformin hydrochloride extended-release tablets, USP are contraindicated in patients with:

1. Severe Renal Impairment (eGFR below 30mL/min/1.73m2) (see and PRECAUTIONS ).

2.Known hypersensitivity to metformin hydrochloride, USP.

3.Acute or chronic metabolic acidosis, including diabetic ketoacidosis, with or without coma. Diabetic ketoacidosis should be treated with insulin.











General Precautions

 Lactic acidosis –There have been post marketing cases of metformin-associated lactic acidosis, including fatal cases. These cases had a subtle onset and were accompanied by

    nonspecific symptoms such as malaise, myalgias, abdominal pain, respiratory distress, or increased somnolence; however, hypotension and resistant bradyarrhythmias have

    occurred with severe acidosis. Metformin-associated lactic acidosis was characterized by elevated blood lactate concentrations (>5 mmol/L), anion gap acidosis (without evidence

    of ketonuria or ketonemia), and an increased lactate: pyruvate ratio; metformin plasma levels were generally >5 mcg/mL. Metformin decreases liver uptake of lactate increasing

    lactate blood levels which may increase the risk of lactic acidosis, especially in patients at risk.



    If metformin-associated lactic acidosis is suspected, general supportive measures should be instituted promptly in a hospital setting, along with immediate discontinuation of or 

    metformin hydrochloride extend release tablets. In metformin hydrochloride extend release tablets treated patients with a diagnosis or strong suspicion of lactic acidosis, prompt

    hemodialysis is recommended to correct the acidosis and remove accumulated metformin (metformin hydrochloride is dialyzable with a clearance of up to 170 mL/min under good

    hemodynamic conditions). Hemodialysis has often resulted in reversal of symptoms and recovery.



    Educate patients and their families about the symptoms of lactic acidosis and, if these symptoms occur, instruct them to discontinue metformin hydrochloride extend release

    tablets and report these symptoms to their healthcare provider.



    For each of the known and possible risk factors for metformin-associated lactic acidosis, recommendations to reduce the risk of and manage metformin-associated lactic acidosis

    are provided below:



Renal impairment—The post marketing metformin-associated lactic acidosis cases primarily occurred in patients with significant renal impairment.



    The risk of metformin accumulation and metformin-associated lactic acidosis increases with the severity of renal impairment because metformin is substantially excreted by the

    kidney. Clinical recommendations based upon the patient’s renal function include (see , ):



    o Before initiating metformin hydrochloride extend release tablets, obtain an estimated  glomerular filtration rate (eGFR)



    o Metformin hydrochloride extend release tablets is contraindicated in patients with an eGFR less than 30 mL/min/1.73 m2 (see ).



    o Initiation of metformin hydrochloride extend release tablets is not recommended in patients with eGFR between 30-45 mL/min/1.73 m2.



    o Obtain an eGFR at least annually in all patients taking metformin hydrochloride extend release tablets. In patients at risk for the development of renal impairment (e.g., the  

       elderly), renal function should be assessed more frequently.



    o In patients taking metformin hydrochloride extend release tablets whose eGFR falls below 45 mL/min/1.73 m2, assess the benefit and risk of continuing therapy.



•  Drug Interactions – The concomitant use of metformin hydrochloride extend release tablets with   specific drugs may increase the risk of metformin-associated lactic acidosis:

    those that impair renal function, result in significant hemodynamic change, interfere with acid-base balance, or increase metformin accumulation. Consider more frequent

    monitoring of patients.



•  Age 65 or greater—The risk of metformin-associated lactic acidosis increases with the   patient’s age because elderly patients have a greater likelihood of having hepatic, renal,

    or cardiac impairment than younger patients. Assess renal function more frequently in elderly patients.



•  Radiologic studies with contrast—Administration of intravascular iodinated contrast agents in metformin-treated patients has led to an acute decrease in renal function and the

    occurrence of lactic acidosis. Stop metformin hydrochloride extended release tablets at the time of, or prior to, an iodinated contrast imaging procedure in patients with an eGFR

    between 30 and 60 mL/min/1.73 m2; in patients with a history of hepatic impairment, alcoholism or heart failure; or in patients who will be administered intra-arterial iodinated

    contrast. Re-evaluate eGFR 48 hours after the imaging procedure, and restart metformin hydrochloride extended release tablets if renal function is stable.



•  Surgery and other procedures—withholding of food and fluids during surgical or other procedures may increase the risk for volume depletion, hypotension, and renal impairment.

     Metformin hydrochloride extended-release tablets should be temporarily discontinued while patients have restricted food and fluid intake.



•  Hypoxic states— several of the postmarketing cases of metformin-associated lactic acidosis occurred in the setting of acute congestive heart failure (particularly when

     accompanied by hypoperfusion and hypoxemia). Cardiovascular collapse (shock), acute myocardial infarction, sepsis, and other conditions associated with hypoxemia have been

     associated with lactic acidosis and may cause prerenal azotemia. When such an event occurs, discontinue metformin hydrochloride extended release tablets.

• Excessive alcohol intake—Alcohol is known to potentiate the effect of metformin on lactate metabolism. Patients, therefore, should be warned against excessive alcohol intake,

    acute or chronic, while receiving  metformin hydrochloride extended-release tablets.

•  Hepatic impairment—Patients with hepatic impairment have developed cases of metformin‑ associated lactic acidosis. This may be due to impaired lactate clearance resulting in

     higher lactate blood levels. Therefore, avoid use of metformin hydrochloride extended release tablets in patients with clinical or laboratory evidence of hepatic disease.

Vitamin B12 levels— In controlled clinical trials of metformin of 29 weeks duration, a decrease to subnormal levels of previously normal serum vitamin B12 levels, without clinical manifestations, was observed in approximately 7% of patients. Such decrease, possibly due to interference with B12 absorption from the B12-intrinsic factor complex, is, however, very rarely associated with anemia and appears to be rapidly reversible with discontinuation of metformin or vitamin B12 supplementation. Measurement of hematologic parameters on an annual basis is advised in patients on metformin hydrochloride extended-release tablets and any apparent abnormalities should be appropriately investigated and managed (see P R ECAUTIONS: ).

Certain individuals (those with inadequate vitamin B12 or calcium intake or absorption) appear to be predisposed to developing subnormal vitamin B12 levels. In these patients, routine serum vitamin B12 measurements at 2- to 3- year intervals may be useful.

Change in clinical status of patients with previously controlled type 2 diabetes—A patient with type 2 diabetes previously well controlled on metformin hydrochloride extended-release tablets who develops laboratory abnormalities or clinical illness (especially vague and poorly defined illness) should be evaluated promptly for evidence of ketoacidosis or lactic acidosis. Evaluation should include serum electrolytes and ketones, blood glucose and, if indicated, blood pH, lactate, pyruvate, and metformin levels. If acidosis of either form occurs, metformin hydrochloride extended-release tablets must be stopped immediately and other appropriate corrective measures initiated (see also ).

Hypoglycemia—Hypoglycemia does  not  occur  in patients  receiving metformin hydrochloride extended-release tablets alone under usual circumstances of use, but could occur when caloric intake is deficient, when strenuous exercise is not compensated by caloric supplementation, or during concomitant use with other glucose-lowering agents (such as sulfonylureas and insulin) or ethanol.

Elderly, debilitated, or malnourished patients, and those with adrenal or pituitary insufficiency or alcohol intoxication are particularly susceptible to hypoglycemic effects. Hypoglycemia may be difficult to recognize in the elderly, and in people who are taking beta-adrenergic blocking drugs.

Macrovascular Outcomes—There have been no clinical studies establishing conclusive evidence of  macrovascular risk reduction with metformin hydrochloride extended-release tablets or any other anti-diabetic drug.

Indications & Usage (INDICATIONS & USAGE)

Metformin hydrochloride extended-release tablets, USP are indicated as an adjunct to diet and exercise to improve glycemic control in patients with type 2 diabetes mellitus.

Mechanism of Action

Metformin is an antihyperglycemic agent which improves glucose tolerance in patients with type 2 diabetes, lowering both basal and postprandial plasma glucose. Its pharmacologic mechanisms of action are different from other classes of oral antihyperglycemic agents. Metformin decreases hepatic glucose production, decreases intestinal absorption of glucose, and improves insulin sensitivity by increasing peripheral glucose uptake and utilization. Unlike sulfonylureas, metformin does not produce hypoglycemia in either patients with type 2 diabetes or normal subjects (except in special circumstances, see PRECAUTIONS ) and does not cause hyperinsulinemia. With metformin therapy, insulin secretion remains unchanged while fasting insulin levels and day-long plasma insulin response may actually decrease.

Specific Population

Patients with Type 2 Diabetes

In the presence of normal renal function, there are no differences between single- or multiple-dose pharmacokinetics of metformin between patients with type 2 diabetes and normal subjects (see Table 1) nor is there any accumulation of metformin in either group at usual clinical doses.

The pharmacokinetics of metformin hydrochloride extended-release tablets in patients with type 2 diabetes is comparable to those in healthy normal adults.

Renal Impairment

In patients with decreased renal function (based on measured creatinine clearance), the plasma and blood half-life of metformin is prolonged and the renal clearance is decreased in proportion to the decrease in creatinine clearance (see Table 1: also see also see , , PRECAUTIONS, and ).

Hepatic Impairment

No parmacokinetic studies of metformin have been conducted in patients with hepatic insufficiency (see PRECAUTIONS).

Geriatrics

Limited data from controlled pharmacokinetic studies of metformin hydrochloride tablets in healthy elderly subjects suggest that total plasma clearance of metformin is decreased, the half-life is prolonged, and Cmax is increased, compared to healthy young subjects. From these data, it appears that the change in metformin pharmacokinetics with aging is primarily accounted for by a change in renal function (see Table 1; also see  , PRECAUTIONS, and ). Metformin hydrochloride extended-release tablets treatment should not be initiated in patients ≥80 years of age unless measurement of creatinine clearance demonstrates that renal function is not reduced (see and ).

  Table 1:             Select Mean (± S.D.) Metformin Pharmacokinetic Parameters Following Single or Multiple Oral Doses of  Metformin  Hydrochloride Tablets

 

  Subject Groups: Metformin Hydrochloride Tablet dose a (number of subjects)

 

  Cmax b

   (mcg/mL)

 

  Tmax c

   (hrs)

 

  Renal

  Clearance (mL/min)

 

  Healthy, nondiabetic adults:

 

  

 

  

 

  

 

 500 mg single dose (24)

 

 1.03 (±0.33)

 

 2.75 (±0.81)

 

 600 (±132)

 

 850 mg single dose (74)d

 

 1.60 (±0.38)

 

 2.64 (±0.82)

 

 552 (±139)

 

 850 mg three times daily for 19 doses e  (9)

 

 2.01 (±0.42)

 

 1.79 (±0.94)

 

 642 (±173)

 

  Adults with type 2 diabetes:

 

  

 

  

 

  

 

 850 mg single dose (23)

 

 1.48 (±0.5)

 

 3.32 (±1.08)

 

 491 (±138)

 

 850 mg three times daily for 19 dosese  (9)

 

 1.90 (±0.62)

 

 2.01 (±1.22)

 

 550 (±160)

 

  Elderly f , healthy nondiabetic adults:

 

  

 

  

 

  

 

 850 mg single dose (12)

 

 2.45 (±0.70)

 

 2.71 (±1.05)

 

 412 (±98)

 

  Renal-impaired adults:

 

  

 

  

 

  

 

  850 mg single dose

 

  

 

  

 

  

 

 Mild (CL cr g 61-90 mL/min) (5)

 

 1.86 (±0.52)

 

 3.20 (±0.45)

 

 384 (±122)

 

 Moderate (CL cr 31-60 mL/min) (4)

 

 4.12 (±1.83)

 

 3.75 (±0.50)

 

 108 (±57)

 

  Severe (CL cr 10-30 mL/min) (6)

 

 3.93 (±0.92)

 

 4.01 (±1.10)

 

 130 (±90)

 

a All doses given fasting except the first 18 doses of the multiple dose studies

b Peak plasma concentration

c Time to peak plasma concentration

d Combined results (average means) of five studies: mean age 32 years (range 23-59 years)

e Kinetic study done following dose 19, given fasting

f Elderly subjects, mean age 71 years (range 65-81 years)

g CLcr = creatinine clearance normalized to body surface area  of   1.73  m 2

Gender

Metformin pharmacokinetic parameters did not differ significantly between normal subjects and patients with type 2 diabetes when analyzed according to gender (males = 19, females = 16).

Race

No studies of metformin pharmacokinetic parameters according to race have been performed.

Dosage & Administration (DOSAGE & ADMINISTRATION)

There is no fixed dosage regimen for the management of hyperglycemia in patients with type 2 diabetes with metformin hydrochloride extended-release tablets, USP or any other pharmacologic agent. Dosage of metformin hydrochloride extended-release tablets, USP must be individualized on the basis of both effectiveness and tolerance, while not exceeding the maximum recommended daily doses. The maximum recommended daily dose of metformin hydrochloride extended-release tablets, USP in adults is 2000 mg.

Metformin hydrochloride extended-release tablets, USP should generally be given once daily with the evening meal. Metformin hydrochloride extended-release tablets, USP should be started at a low dose, with gradual dose escalation, both to reduce gastrointestinal side effects and to permit identification of the minimum dose required for adequate glycemic control of the patient.

During treatment initiation and dose titration (see Recommended Dosing Schedule), fasting plasma glucose should be used to determine the therapeutic response to metformin hydrochloride extended-release tablets, USP and identify the minimum effective dose for the patient. Thereafter, glycosylated hemoglobin should be measured at intervals of approximately 3 months. The therapeutic goal should be to decrease both fasting plasma glucose and glycosylated hemoglobin levels to normal or near normal by using the lowest effective dose of metformin hydrochloride extended-release tablets, USP either when used as monotherapy or in combination with sulfonylurea or insulin.

Monitoring of blood glucose and glycosylated hemoglobin will also permit detection of primary failure, i.e., inadequate lowering of blood glucose at the maximum recommended dose of medication, and secondary failure, i.e., loss of an adequate blood glucose lowering response after an initial period of effectiveness.

Short-term administration of metformin hydrochloride extended-release tablets, USP may be sufficient during periods of transient loss of control in patients usually well-controlled on diet alone.

Metformin hydrochloride extended-release tablets, USP must be swallowed whole and never crushed or chewed. Occasionally, the inactive ingredients of metformin hydrochloride extended-release tablets, USP will be eliminated in the feces as a soft, hydrated mass. (See printed below.)

Information for Patients

Patients should be informed of the potential risks and benefits of metformin hydrochloride extended-release tablets and of alternative modes of therapy. They should also be informed about the importance of adherence to dietary instructions, of a regular exercise program, and of regular testing of blood glucose, glycosylated hemoglobin, renal function, and hematologic parameters.



The risks of lactic acidosis, its symptoms, and conditions that predispose to its development, as noted in the

and PRECAUTIONS sections, should be explained to patients. Patients should be advised to discontinue metformin hydrochloride extended-release tablets immediately and to promptly notify their health practitioner if unexplained hyperventilation, myalgia, malaise, unusual somnolence, or other nonspecific symptoms occur. Once a patient is stabilized on any dose level of metformin hydrochloride extended-release tablets, gastrointestinal symptoms, which are common during initiation of metformin therapy, are unlikely to be drug related. Later occurrence of gastrointestinal symptoms could be due to lactic acidosis or other serious disease.



Patients should be counselled against excessive alcohol intake, either acute or chronic, while receiving metformin hydrochloride extended-release tablets.



Metformin hydrochloride extended-release tablets alone does not usually cause hypoglycemia, although it may occur when metformin hydrochloride extended-release tablets is used in conjunction with oral sulfonylureas and insulin. When initiating combination therapy, the risks of hypoglycemia, its symptoms and treatment, and conditions that predispose to its development should be explained to patients and responsible family members. (See

printed below.)



Patients should be informed that metformin hydrochloride extended-release tablets must be swallowed whole and not crushed or chewed, and that the inactive ingredients may occasionally be eliminated in the feces as a soft mass that may resemble the original tablet.

Metabolism and Elimination

Intravenous single-dose studies in normal subjects demonstrate that metformin is excreted unchanged in the urine and does not undergo hepatic metabolism (no metabolites have been identified in humans) nor biliary excretion. Renal clearance (see Table 1) is approximately 3.5 times greater than creatinine clearance, which indicates that tubular secretion is the major route of metformin elimination. Following oral administration, approximately 90% of the absorbed drug is eliminated via the renal route within the first 24 hours, with a plasma elimination half-life of approximately 6.2 hours. In blood, the elimination half-life is approximately 17.6 hours, suggesting that the erythrocyte mass may be a compartment of distribution.

Spl Patient Package Insert (SPL PATIENT PACKAGE INSERT)

Patient Information



Metformin Hydrochloride Extended-Release Tablets, USP



Read this information carefully before you start taking this medicine and each time you refill your prescription. There may be new information. This information does not take the place of your doctor’s advice. Ask your doctor or pharmacist if you do not understand some of this information or if you want to know more about this medicine.







What are Metformin Hydrochloride Extended-Release Tablets?



Metformin Hydrochloride Extended-Release Tablets are used to treat type 2 diabetes. This is also known as non-insulin-dependent diabetes mellitus. People with type 2 diabetes are not able to make enough insulin or respond normally to the insulin their bodies make. When this happens, sugar (glucose) builds up in the blood. This can lead to serious medical problems including kidney damage, amputations, and blindness. Diabetes is also closely linked to heart disease. The main goal of treating diabetes is to lower your blood sugar to a normal level.







High blood sugar can be lowered by diet and exercise, by a number of medicines taken by mouth, and by insulin shots. Before you take metformin hydrochloride extended-release tablets, try to control your diabetes by exercise and weight loss. While you take your diabetes medicine, continue to exercise and follow the diet advised for your diabetes. No matter what your recommended diabetes management plan is, studies have shown that maintaining good blood sugar control can prevent or delay complications of diabetes, such as blindness.







Metformin hydrochloride and Metformin hydrochloride extended-release tablets have the same active ingredient. However, metformin hydrochloride extended-release tablets works longer in your body. Both of these medicines help control your blood sugar in a number of ways. These include helping your body respond better to the insulin it makes naturally, decreasing the amount of sugar your liver makes, and decreasing the amount of sugar your intestines absorb. Metformin hydrochloride extended-release tablets do not cause your body to make more insulin. Because of this, when taken alone, they rarely cause hypoglycemia (low blood sugar), and usually do not cause weight gain. However, when they are taken with a sulfonylurea or with insulin, hypoglycemia is more likely to occur, as is weight gain.



Tell your doctor if you are pregnant or plan to become pregnant. Metformin hydrochloride extended-release tablets may not be right for you. Talk with your doctor about your choices. You should also discuss your choices with your doctor if you are nursing a child.







Can Metformin hydrochloride extended-release tablets be used in children?



Metformin hydrochloride extended-release tablets has not been studied in children.







How should I take Metformin hydrochloride extended-release tablets?



Your doctor will tell you how much medicine to take and when to take it. You will probably start out with a low dose of the medicine. Your doctor may slowly increase your dose until your blood sugar is better controlled. You should take metformin hydrochloride extended-release tablets with meals.







Your doctor may have you take other medicines along with metformin hydrochloride extended-release tablets to control your blood sugar. These medicines may include insulin shots. Taking metformin hydrochloride extended-release tablets with insulin may help you better control your blood sugar while reducing the insulin dose.







Continue your exercise and diet program and test your blood sugar regularly while taking metformin hydrochloride extended-release tablets. Your doctor will monitor your diabetes and may perform blood tests on you from time to time to make sure your kidneys and your liver are functioning normally. There is no evidence that metformin hydrochloride extended-release tablets causes harm to the liver or kidneys.



Tell your doctor if you:







• have an illness that causes severe vomiting, diarrhea or fever, or if you drink a much lower amount of liquid than normal. These conditions can lead to severe dehydration (loss of



water in your body). You may need to stop taking metformin hydrochloride extended-release tablets for a short time.



• plan to have surgery or an x-ray procedure with injection of dye (contrast agent). You may need to stop taking metformin hydrochloride extended-release tablets for a short time.



• start to take other medicines or change how you take a medicine. Metformin hydrochloride extended-release tablets can affect how well other drugs work, and some drugs can



affect how well metformin hydrochloride extended-release tablets work. Some medicines may cause high blood sugar.







Metformin hydrochloride extended-release tablets must be swallowed whole and never crushed or chewed. Occasionally, the inactive ingredients of metformin hydrochloride extended-release tablets may be eliminated as a soft mass in your stool that may look like the original tablet; this is not harmful and will not affect the way metformin hydrochloride extended-release tablets works to control your diabetes.







What should I avoid while taking Metformin hydrochloride extended-release tablets?







Do not drink a lot of alcoholic drinks while taking metformin hydrochloride extended-release tablets. This means you should not binge drink for short periods, and you should not drink a lot of alcohol on a regular basis. Alcohol can increase the chance of getting lactic acidosis.







What are the side effects of Metformin hydrochloride extended-release tablets?







• Lactic acidosis. Metformin, the active ingredient in metformin hydrochloride extended-release tablets, can cause a rare but serious condition called lactic acidosis (a



buildup of an acid in the blood) that can cause death. Lactic acidosis is a medical emergency and must be treated in the hospital.







Call your doctor right away if you have any of the following symptoms, which could be signs of lactic acidosis:



• you feel cold in your hands or feet



• you feel dizzy or lightheaded



• you have a slow or irregular heartbeat



• you feel very weak or tired



• you have unusual (not normal) muscle pain



• you have trouble breathing



• you feel sleepy or drowsy



• you have stomach pains, nausea or vomiting







Most people who have had lactic acidosis with metformin have other things that, combined with the metformin, led to the lactic acidosis. Tell your doctor if you have any of the following, because you have a higher chance for getting lactic acidosis with metformin hydrochloride extended-release tablets if you:







• have severe kidney problems, or your kidneys are affected by certain x-ray tests that use injectable dye



• have liver problems



• drink alcohol very often, or drink a lot of alcohol in short-term "binge" drinking



• get dehydrated (lose a large amount of body fluids). This can happen if you are sick with a fever, vomiting, or diarrhea. Dehydration can also happen when you sweat a lot with



activity or exercise and do not drink enough fluids



• have surgery



• have a heart attack, severe infection, or stroke







The best way to keep from having a problem with lactic acidosis from metformin is to tell your doctor if you have any of the problems in the list above. Your doctor may decide to stop your metformin hydrochloride extended-release tablets for a while if you have any of these things.







Other Side Effects. Common side effects of metformin hydrochloride extended-release tablets include diarrhea, nausea, and upset stomach. These side effects generally go away after you take the medicine for a while. Taking your medicine with meals can help reduce these side effects. Tell your doctor if the side effects bother you a lot, last for more than a few weeks, come back after they’ve gone away, or start later in therapy. You may need a lower dose or need to stop taking the medicine for a short period or for good.







About 3 out of every 100 people who take metformin hydrochloride extended-release tablets have an unpleasant metallic taste when they start taking the medicine. It lasts for a short time.







Metformin hydrochloride extended-release tablets rarely cause hypoglycemia (low blood sugar) by themselves. However, hypoglycemia can happen if you do not eat enough, if you drink alcohol or if you take other medicines to lower blood sugar.







General advice about prescription medicines







If you have questions or problems, talk with your doctor or other healthcare provider. You can ask your doctor or pharmacist for the information about metformin hydrochloride extended-release tablets that is written for healthcare professionals. Medicines are sometimes prescribed for purposes other than those listed in a patient information leaflet. Do not use metformin hydrochloride extended-release tablets for a condition for which it was not prescribed. Do not share your medicine with other people.

Dispense with Patient Information available at:

https://granulespharma.com/product/metformin-er-tab-500-750/

Manufactured by:

Granules India Limited

Hyderabad-500 081, India

Manufactured For:

Granules Pharmaceuticals Inc.

Chantilly, VA 20151.



Revision Date: 05/ 2023

Repackaged By: Preferred Pharmaceuticals Inc.

Recommended Dosing Schedule

Adults

In general, clinically significant responses are not seen at doses below 1500 mg per day. However, a lower recommended starting dose and gradually increased dosage is advised to minimize gastrointestinal symptoms.

The usual starting dose of metformin hydrochloride extended-release tablets, USP is 500 mg once daily with the evening meal. Dosage increases should be made in increments of 500 mg weekly, up to a maximum of 2000 mg once daily with the evening meal. If glycemic control is not achieved on metformin hydrochloride extended-release tablets, USP 2000 mg once daily, a trial of metformin hydrochloride extended-release tablets, USP 1000 mg twice daily should be considered. (See : .)

In a randomized trial, patients currently treated with metformin hydrochloride tablets were switched to metformin hydrochloride extended-release tablets. Results of this trial suggest that patients receiving metformin hydrochloride tablets treatment may be safely switched to metformin hydrochloride extended-release tablets once daily at the same total daily dose, up to 2000 mg once daily. Following a switch from metformin hydrochloride tablets to metformin hydrochloride extended-release tablets, glycemic control should be closely monitored and dosage adjustments made accordingly (see : ).

Pediatrics

Safety and effectiveness of metformin hydrochloride extended-release tablets, USP in pediatric patients have not been established.

Specific Patient Populations

Metformin hydrochloride extended-release tablets is not recommended for use in pregnancy. Metformin hydrochloride extended-release tablets, USP is not recommended in pediatric patients (below the age of 17 years).

The initial and maintenance dosing of metformin hydrochloride extended-release tablets should be conservative in patients with advanced age, due to the potential for decreased renal function in this population. Any dosage adjustment should be based on a careful assessment of renal function. Generally, elderly, debilitated, and malnourished patients should not be titrated to the maximum dose of metformin hydrochloride extended-release tablets.

Monitoring of renal function is necessary to aid in prevention of lactic acidosis, particularly in the elderly. (See .)

Absorption and Bioavailability

Following a single oral dose of Metformin Hydrochloride Extended-Release Tablets, C max is achieved with a median value of 7 hours and a range of 4  to 8 hours.Peak plasma levels are approximately 20% lower compared to the same dose of metformin hydrochloride tablets, however, the extent of absorption (as measured by AUC) is similar to metformin hydrochloride tablets.



At steady state, the AUC and C max are less than dose proportional for metformin hydrochloride extended-release tablets within the range of 500  to 2000 mg administered once daily. Peak plasma levels are approximately 0.6, 1.1, 1.4, and 1.8 mcg/mL for 500, 1000, 1500, and 2000 mg once-daily doses, respectively. The extent of metformin absorption (as measured by AUC) from metformin hydrochloride extended-release tablets at a 2000 mg once-daily dose is similar to the same total daily dose administered as metformin hydrochloride tablets 1000 mg twice daily. After repeated administration of metformin hydrochloride extended-release tablets, metformin did not accumulate in plasma.



Within-subject variability in C max and AUC of metformin from metformin hydrochloride extended-release tablets is comparable to that with metformin hydrochloride tablets.



Although the extent of metformin absorption (as measured by AUC) from the metformin hydrochloride extended-release tablets increased by approximately 50% when given with food, there was no effect of food on C max and T max of metformin. Both high and low fat meals had the same effect on the pharmacokinetics of metformin hydrochloride extended-release tablets.



 Distribution

The apparent volume of distribution (V/F) of metformin following single oral doses of metformin hydrochloride 850 mg averaged 654 ± 358 L. Metformin is negligibly bound to plasma proteins, in contrast to sulfonylureas, which are more than 90% protein bound. Metformin partitions into erythrocytes, most likely as a function of time. At usual clinical doses and dosing schedules of metformin hydrochloride tablets, steady state plasma concentrations of metformin are reached within 24 to 48 hours and are generally <1 mcg/mL. During controlled clinical trials of metformin hydrochloride tablets, maximum metformin plasma levels did not exceed 5 mcg/mL, even at maximum doses.

Package Label.principal Display Panel (PACKAGE LABEL.PRINCIPAL DISPLAY PANEL)
Recommendations for Use in Renal Impairment

Assess renal function prior to initiation of metformin hydrochloride extended-release tablets and periodically thereafter.

Metformin hydrochloride extended-release tablets are contraindicated in patients with an estimated glomerular filtration rate (eGFR) below 30 mL/minute/1.73 m2.

Initiation of metformin hydrochloride extended-release tablets in patients with an eGFR between 30 to 45 mL/minute/1.73 m2 is not recommended.

In patients taking metformin hydrochloride extended-release tablets whose eGFR later falls below 45 mL/min/1.73 m2, assess the benefit risk of continuing therapy.

Discontinue metformin hydrochloride extended-release tablets if the patients eGFR later falls below 30 mL/minute/1.73 m2 (See  and PRECAUTIONS).

Carcinogenesis, Mutagenesis, Impairment of Fertility

Long-term carcinogenicity studies have been performed in rats (dosing duration of 104 weeks) and mice (dosing duration of 91 weeks) at doses up to and including 900 mg/kg/day and 1500 mg/kg/day, respectively.

These doses are both approximately 4 times the maximum recommended human daily dose of 2000 mg based on body surface area comparisons. No evidence of carcinogenicity with metformin was found in either male or female mice. Similarly, there was no tumorigenic potential observed with metformin in male rats. There was, however, an increased incidence of benign stromal uterine polyps in female rats treated with 900 mg/kg/day.

There was no evidence of a mutagenic potential of metformin in the following in vitro tests: Ames test (S. typhimurium), gene mutation test (mouse lymphoma cells), or chromosomal aberrations test (human lymphocytes). Results in the in vivo mouse micronucleus test were also negative.

Fertility of male or female rats was unaffected by metformin when administered at doses as high as 600 mg/kg/day, which is approximately 3 times the maximum recommended human daily dose based on body surface area comparisons.

Discontinuation for Iodinated Contrast Imaging Procedures

Discontinue metformin hydrochloride extended-release tablets at the time of, or prior to, an iodinated contrast imaging procedure in patients with an eGFR between 30 and 60 mL/min/1.73 m2; in patients with a history of liver disease, alcoholism, or heart failure; or in patients who will be administered intra-arterial iodinated contrast. Re-evaluate eGFR 48 hours after the imaging procedure; restart metformin hydrochloride extended-release tablets if renal function is stable.

Concomitant Metformin Hydrochloride Extended Release Tablets and Insulin Therapy in Adult Patients (Concomitant Metformin Hydrochloride Extended-Release Tablets and Insulin Therapy in Adult Patients)

The current insulin dose should be continued upon initiation of metformin hydrochloride extended-release tablets therapy. Metformin hydrochloride extended-release tablets therapy should be initiated at 500 mg once daily in patients on insulin therapy. For patients not responding adequately, the dose of metformin hydrochloride extended-release tablets should be increased by 500 mg after approximately 1 week and by 500 mg every week thereafter until adequate glycemic control is achieved. The maximum recommended daily dose is 2000 mg for metformin hydrochloride extended-release tablets. It is recommended that the insulin dose be decreased by 10% to 25% when fasting plasma glucose concentrations decrease to less than 120 mg/dL in patients receiving concomitant insulin and metformin hydrochloride extended-release tablets, USP. Further adjustment should be individualized based on glucose-lowering response.

Drug Interactions (clinical Evaluation of Drug Interactions Conducted With Metformin Hydrochloride) (Drug Interactions (Clinical Evaluation of Drug Interactions Conducted with Metformin hydrochloride))

Glyburide—In a single-dose interaction study in type 2 diabetes patients, coadministration of metformin and glyburide did not result in any changes in either metformin pharmacokinetics or pharmacodynamics. Decreases in glyburide AUC and C max were observed, but were highly variable. The single-dose nature of this study and the lack of correlation between glyburide blood levels and pharmacodynamic effects, makes the clinical significance of this interaction uncertain (see : Concomitant metformin hydrochloride extended-release tablets and Oral Sulfonylurea Therapy in Adult Patients).

Furosemide—A single-dose, metformin-furosemide drug interaction study in healthy subjects demonstrated that pharmacokinetic parameters of both compounds were affected by coadministration. Furosemide increased the metformin plasma and blood C max by 22% and blood AUC by 15%, without any significant change in metformin renal clearance. When administered with metformin, the Cmax and AUC of furosemide were 31% and 12% smaller, respectively, than when administered alone, and the terminal half-life was decreased by 32%, without any significant change in furosemide renal clearance. No information is available about the interaction of metformin and furosemide when coadministered chronically.

Nifedipine—A single-dose, metformin-nifedipine drug interaction study in normal healthy volunteers demonstrated that co-administration of nifedipine increased plasma metformin C max and AUC by 20% and 9%, respectively, and increased the amount excreted in the urine. T max and half-life were unaffected. Nifedipine appears to enhance the absorption of metformin. Metformin had minimal effects on nifedipine.

Drugs that reduce metformin clearance—Concomitant use of drugs that interfere with common renal tubular transport systems involved in the renal elimination of metformin (e.g., organic cationic transporter-2 [OCT2] / multidrug and toxin extrusion [MATE] inhibitors such as ranolazine, vandetanib, dolutegravir, and cimetidine) could increase systemic exposure to metformin and may increase the risk for lactic acidosis. Consider the benefits and risks of concomitant use. Such interaction between metformin and oral cimetidine has been observed in normal healthy volunteers in both single- and multiple-dose, metformin-cimetidine drug interaction studies, with a 60% increase in peak metformin plasma and whole blood concentrations and a 40% increase in plasma and whole blood metformin AUC. There was no change in elimination half-life in the single-dose study. Metformin had no effect on cimetidine pharmacokinetics. Although such interactions remain theoretical (except for cimetidine), careful patient monitoring and dose adjustment of metformin hydrochloride extended-release tablets and/or the interfering drug is recommended in patients who are taking cationic medications that are excreted via the proximal renal tubular secretory system.

Other—Certain drugs tend to produce hyperglycemia and may lead to loss of glycemic control. These drugs include the thiazides and other diuretics, corticosteroids, phenothiazines, thyroid products, estrogens, oral contraceptives, phenytoin, nicotinic acid, sympathomimetics, calcium channel blocking drugs, and isoniazid. When such drugs are administered to a patient receiving metformin hydrochloride extended-release tablets, the patient should be closely observed for loss of blood glucose control. When such drugs are withdrawn from a patient receiving metformin hydrochloride extended-release tablets, the patient should be observed closely for hypoglycemia.

Carbonic   anhydrase   inhibitors—Topiramate   or   other   carbonic   anhydrase   inhibitors  (e.g., zonisamide, acetazolamide or dichlorphenamide) frequently cause a decrease in serum bicarbonate and induce non-anion gap, hyperchloremic metabolic acidosis. Concomitant use of these drugs with metformin hydrochloride extended-release tablets may increase the risk for lactic acidosis. Consider more frequent monitoring of these patients.

Alcohol—Alcohol is known to potentiate the effect of metformin on lactate metabolism. Warn patients against excessive alcohol intake while receiving metformin hydrochloride extended-release tablets.

Concomitant Metformin Hydrochloride Extended Release Tablets, Usp and Oral Sulfonylurea Therapy in Adult Patients (Concomitant Metformin Hydrochloride Extended-Release Tablets, USP and Oral Sulfonylurea Therapy in Adult Patients)

If patients have not responded to 4 weeks of the maximum dose of metformin hydrochloride extended-release tablets monotherapy, consideration should be given to gradual addition of an oral sulfonylurea while continuing metformin hydrochloride extended-release tablets, USP at the maximum dose, even if prior primary or secondary failure to a sulfonylurea has occurred. Clinical and pharmacokinetic drug- drug interaction data are currently available only for metformin plus glyburide (glibenclamide).

With concomitant metformin hydrochloride extended-release tablets and sulfonylurea therapy, the desired control of blood glucose may be obtained by adjusting the dose of each drug. In a clinical trial of patients with type 2 diabetes and prior failure on glyburide, patients started on metformin hydrochloride tablets 500 mg and glyburide 20 mg were titrated to 1000/20 mg, 1500/20 mg, 2000/20 mg or 2500/20 mg of metformin hydrochloride tablets and glyburide, respectively, to reach the goal of glycemic control as measured by FPG, HbA1c and plasma glucose response (see : ). However, attempts should be made to identify the minimum effective dose of each drug to achieve this goal. With concomitant metformin hydrochloride extended-release tablets, USP and sulfonylurea therapy, the risk of hypoglycemia associated with sulfonylurea therapy continues and may be increased. Appropriate precautions should be taken. (See Package Insert of the respective sulfonylurea.)

If patients have not satisfactorily responded to 1 to 3 months of concomitant therapy with the maximum dose of metformin hydrochloride extended-release tabletsand the maximum dose of an oral sulfonylurea, consider therapeutic alternatives including switching to insulin with or without metformin hydrochloride extended-release tablets.


Advanced Ingredient Data


Raw Label Data

All Sections (JSON)