Sotradecol®

Sotradecol®
SPL v12
SPL
SPL Set ID f1756c28-dcd2-4b49-be62-07ca20682018
Route
INTRAVENOUS
Published
Effective Date 2021-08-17
Document Type 34391-3 HUMAN PRESCRIPTION DRUG LABEL

Drug Facts

Composition & Product

Active Ingredients
Tetradecyl Hydrogen Sulfate (ester) (10 mg)
Inactive Ingredients
Benzyl Alcohol Sodium Phosphate, Dibasic, Anhydrous Water

Identifiers & Packaging

Marketing Status
ANDA Active Since 2013-04-29

Description

1% 20 mg/2 mL (10 mg/mL) and 3% 60 mg/2 mL (30 mg/mL) FOR INTRAVENOUS USE ONLY Rx only

Indications and Usage

Sotradecol (sodium tetradecyl sulfate injection) is indicated in the treatment of small uncomplicated varicose veins of the lower extremities that show simple dilation with competent valves. The benefit-to-risk ratio should be considered in selected patients who are great surgical risks.

Dosage and Administration

Parenteral drug products should be inspected visually for particulate matter and discoloration prior to administration. Do not use if precipitated or discolored. Sotradecol (sodium tetradecyl sulfate injection) is for intravenous use only. The strength of solution required depends on the size and degree of varicosity. In general, the 1% solution will be found most useful with the 3% solution preferred for larger varicosities. The dosage should be kept small, using 0.5 mL to 2 mL (preferably 1 mL maximum) for each injection, and the maximum single treatment should not exceed 10 mL.

Contraindications

Sotradecol (sodium tetradecyl sulfate injection) is contraindicated in previous hypersensitivity reactions to the drug; in acute superficial thrombophlebitis; valvular or deep vein incompetence; huge superficial veins with wide open communications to deeper veins; phlebitis migrans; acute cellulitis; allergic conditions; acute infections; varicosities caused by abdominal and pelvic tumors unless the tumor has been removed; bedridden patients; such uncontrolled systemic diseases as diabetes, toxic hyperthyroidism, tuberculosis, asthma, neoplasm, sepsis, blood dyscrasias and acute respiratory or skin diseases.

Adverse Reactions

Local reactions consisting of pain, urticaria or ulceration may occur at the site of injection. A permanent discoloration may remain along the path of the sclerosed vein segment. Sloughing and necrosis of tissue may occur following extravasation of the drug. (See  WARNINGS section.) Allergic reactions such as hives, asthma, hay fever and anaphylactic shock have been reported. Mild systemic reactions that have been reported include headache, nausea and vomiting. (See  WARNINGS section.) At least six deaths have been reported with the use of Sotradecol. Four cases of anaphylactic shock leading to death have been reported in patients who received Sotradecol. One of these four patients reported a history of asthma, a contraindication to the administration of Sotradecol. (See  WARNINGS section.) One death has been reported in a patient who received Sotradecol and who had been receiving an antiovulatory agent. Another death (fatal pulmonary embolism) has been reported in a 36-year-old female treated with sodium tetradecyl acetate and who was not taking oral contraceptives. Cerebrovascular accident, myocardial infarction

Drug Interactions

No well-controlled studies have been performed on patients taking antiovulatory agents. The physician must use judgment and evaluate any patient taking antiovulatory drugs prior to initiating treatment with Sotradecol. (See ADVERSE REACTIONS section.) Heparin should not be included in the same syringe as Sotradecol, since the two are incompatible.

How Supplied

Sotradecol® (sodium tetradecyl sulfate injection) NDC 67457-162-02 carton containing 5 x 2 mL multiple-dose vials with 1% 20 mg/2 mL (10 mg/mL) NDC 67457-163-02 carton containing 5 x 2 mL multiple-dose vials with 3% 60 mg/2 mL (30 mg/mL)


Medication Information

Indications and Usage

Sotradecol (sodium tetradecyl sulfate injection) is indicated in the treatment of small uncomplicated varicose veins of the lower extremities that show simple dilation with competent valves. The benefit-to-risk ratio should be considered in selected patients who are great surgical risks.

Dosage and Administration

Parenteral drug products should be inspected visually for particulate matter and discoloration prior to administration. Do not use if precipitated or discolored.

Sotradecol (sodium tetradecyl sulfate injection) is for intravenous use only. The strength of solution required depends on the size and degree of varicosity. In general, the 1% solution will be found most useful with the 3% solution preferred for larger varicosities. The dosage should be kept small, using 0.5 mL to 2 mL (preferably 1 mL maximum) for each injection, and the maximum single treatment should not exceed 10 mL.

Contraindications

Sotradecol (sodium tetradecyl sulfate injection) is contraindicated in previous hypersensitivity reactions to the drug; in acute superficial thrombophlebitis; valvular or deep vein incompetence; huge superficial veins with wide open communications to deeper veins; phlebitis migrans; acute cellulitis; allergic conditions; acute infections; varicosities caused by abdominal and pelvic tumors unless the tumor has been removed; bedridden patients; such uncontrolled systemic diseases as diabetes, toxic hyperthyroidism, tuberculosis, asthma, neoplasm, sepsis, blood dyscrasias and acute respiratory or skin diseases.

Adverse Reactions

Local reactions consisting of pain, urticaria or ulceration may occur at the site of injection. A permanent discoloration may remain along the path of the sclerosed vein segment. Sloughing and necrosis of tissue may occur following extravasation of the drug. (See WARNINGS section.)

Allergic reactions such as hives, asthma, hay fever and anaphylactic shock have been reported. Mild systemic reactions that have been reported include headache, nausea and vomiting. (See WARNINGS section.)

At least six deaths have been reported with the use of Sotradecol. Four cases of anaphylactic shock leading to death have been reported in patients who received Sotradecol. One of these four patients reported a history of asthma, a contraindication to the administration of Sotradecol. (See WARNINGS section.)

One death has been reported in a patient who received Sotradecol and who had been receiving an antiovulatory agent. Another death (fatal pulmonary embolism) has been reported in a 36-year-old female treated with sodium tetradecyl acetate and who was not taking oral contraceptives.

Cerebrovascular accident, myocardial infarction

Drug Interactions

No well-controlled studies have been performed on patients taking antiovulatory agents. The physician must use judgment and evaluate any patient taking antiovulatory drugs prior to initiating treatment with Sotradecol. (See ADVERSE REACTIONS section.)

Heparin should not be included in the same syringe as Sotradecol, since the two are incompatible.

How Supplied

Sotradecol® (sodium tetradecyl sulfate injection)

NDC 67457-162-02

carton containing 5 x 2 mL multiple-dose vials with 1% 20 mg/2 mL (10 mg/mL)

NDC 67457-163-02

carton containing 5 x 2 mL multiple-dose vials with 3% 60 mg/2 mL (30 mg/mL)

Description

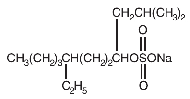
Sodium tetradecyl sulfate is an anionic surfactant which occurs as a white, waxy solid. The structural formula is as follows:  

C14H29NaSO4     7-Ethyl-2-methyl-4-hendecanol sulfate sodium salt      MW 316.44

Sotradecol (sodium tetradecyl sulfate injection) is a sterile nonpyrogenic solution for intravenous use as a sclerosing agent.

1% 20 mg/2 mL (10 mg/mL): Each mL contains sodium tetradecyl sulfate 10 mg, benzyl alcohol 0.02 mL and dibasic sodium phosphate, anhydrous 4.0 mg in Water for Injection. pH 7.9; monobasic sodium phosphate and/or sodium hydroxide added, if needed, for pH adjustment.

3% 60 mg/2 mL (30 mg/mL): Each mL contains sodium tetradecyl sulfate 30 mg, benzyl alcohol 0.02 mL and dibasic sodium phosphate, anhydrous 9.0 mg in Water for Injection. pH 7.9; monobasic sodium phosphate and/or sodium hydroxide added, if needed, for pH adjustment.

Section 42229-5

1% 20 mg/2 mL (10 mg/mL) and 3% 60 mg/2 mL (30 mg/mL)

FOR INTRAVENOUS USE ONLY

Rx only

General

Extreme caution must be exercised in the presence of underlying arterial disease such as marked peripheral arteriosclerosis or thromboangiitis obliterans (Buerger’s Disease).

Storage

Store at 20° to 25°C (68° to 77°F). [See USP Controlled Room Temperature.]

Warnings

Sotradecol (sodium tetradecyl sulfate injection) should only be administered by a healthcare professional experienced in venous anatomy and the diagnosis and treatment of conditions affecting the venous system and familiar with proper injection technique. Severe adverse local effects, including tissue necrosis, may occur following extravasation; therefore, extreme care in intravenous needle placement and using the minimal effective volume at each injection site are important.

Emergency resuscitation equipment should be immediately available. Allergic reactions, including fatal anaphylaxis, have been reported. As a precaution against anaphylactic shock, it is recommended that 0.5 mL of Sotradecol be injected into a varicosity, followed by observation of the patient for several hours before administration of a second or larger dose. The possibility of an anaphylactic reaction should be kept in mind, and the physician should be prepared to treat it appropriately.

Because of the danger of thrombosis extension into the deep venous system, thorough preinjection evaluation for valvular competency should be carried out and slow injections with a small amount (not over 2 mL) of the preparation should be injected into the varicosity. Deep venous patency must be determined by noninvasive testing such as duplex ultrasound. Venous sclerotherapy should not be undertaken if tests such as Trendelenberg and Perthes, and angiography show significant valvular or deep venous incompetence.

The development of deep vein thrombosis and pulmonary embolism have been reported following sclerotherapy treatment of superficial varicosities. Patients should have post-treatment follow-up of sufficient duration to assess for the development of deep vein thrombosis. Embolism may occur as long as four weeks after injection of sodium tetradecyl sulfate. Adequate post-treatment compression may decrease the incidence of deep vein thrombosis.

Pediatric Use

Safety and effectiveness in pediatric patients have not been established.

Nursing Mothers

It is not known whether this drug is excreted in human milk. Because many drugs are excreted in human milk, caution should be exercised when Sotradecol is administered to a nursing woman.

Animal Toxicology

The intravenous LD50 of sodium tetradecyl sulfate in mice was reported to be 90 ± 5 mg/kg.

In the rat, the acute intravenous LD50 of sodium tetradecyl sulfate was estimated to be between 72 mg/kg and 108 mg/kg.

Purified sodium tetradecyl sulfate was found to have an LD50 of 2 g/kg when administered orally by stomach tube as a 25% aqueous solution to rats. In rats given 0.15 g/kg in drinking water for 30 days, no appreciable toxicity was seen, although some growth inhibition was discernible.

Manufactured for:

Mylan Institutional LLC

Morgantown, WV 26505 U.S.A.

Manufactured by:

Mylan Institutional

Galway, Ireland

Revised: 8/2021

MI:SOTRIJ:R7

0521L112

®Sotradecol is a registered trademark of Mylan Pharma Group Limited

Arterial Embolism

Stroke, transient ischemic attack, myocardial infarction, and impaired cardiac function have been reported in close temporal relationship with STS administration. These events may be caused by air embolism when using the product foamed with room air (high nitrogen concentration) or thromboembolism. The safety and efficacy of STS foamed with room air has not been established and its use should be avoided.

Clinical Pharmacology

Sotradecol (sodium tetradecyl sulfate injection) is a sclerosing agent. Intravenous injection causes intima inflammation and thrombus formation. This usually occludes the injected vein. Subsequent formation of fibrous tissue results in partial or complete vein obliteration that may or may not be permanent.

Teratogenic Effects – Pregnancy Category C.

Animal reproduction studies have not been conducted with Sotradecol. It is also not known whether Sotradecol can cause fetal harm when administered to a pregnant woman or can affect reproduction capacity. Sotradecol should be given to a pregnant woman only if clearly needed and the benefits outweigh the risks.

Principal Display Panel 10 Mg/ml Carton Label

NDC 67457-162-02

Sotradecol® 1%

(sodium tetradecyl sulfate injection)

20 mg/2 mL (10 mg/mL)

For Intravenous Use Only

Rx only     5 x 2 mL Multiple-Dose Vials

Each mL contains: Sodium tetradecyl sulfate 10 mg, benzyl alcohol 0.02 mL

and dibasic sodium phosphate, anhydrous 4.0 mg in Water for Injection. pH 7.9; monobasic

sodium phosphate and/or sodium hydroxide added, if needed, for pH adjustment.

WARNING: Do not use if precipitated.

Usual Dosage: See accompanying

prescribing information.

Store at 20° to 25°C (68° to 77°F).

[See USP Controlled Room Temperature.]

Manufactured for:

Mylan Institutional LLC

Morgantown, WV 26505 U.S.A.

Manufactured by:

Mylan Institutional

Galway, Ireland

MI:162:5C:R7

Mylan.com

Principal Display Panel 30 Mg/ml Carton Label

NDC 67457-163-02

Sotradecol® 3%

(sodium tetradecyl sulfate injection)

60 mg/2 mL (30 mg/mL)

For Intravenous Use Only

Rx only     5 x 2 mL Multiple-Dose Vials

Each mL contains: Sodium tetradecyl sulfate 30 mg, benzyl alcohol 0.02 mL and

dibasic sodium phosphate, anhydrous 9.0 mg in Water for Injection. pH 7.9; monobasic

sodium phosphate and/or sodium hydroxide added, if needed, for pH adjustment.

WARNING: Do not use if precipitated.

Usual Dosage: See accompanying

prescribing information.

Store at 20° to 25°C (68° to 77°F).

[See USP Controlled Room
Temperature.]

Manufactured for:

Mylan Institutional LLC

Morgantown, WV 26505 U.S.A.

Manufactured by:

Mylan Institutional

Galway, Ireland

MI:163:5C:R7

Mylan.com

Carcinogenesis, Mutagenesis, Impairment of Fertility

When tested in the L5178YTK +/- mouse lymphoma assay, sodium tetradecyl sulfate did not induce a dose-related increase in the frequency of thymidine kinase-deficient mutants and, therefore, was judged to be nonmutagenic in this system. However, no long-term animal carcinogenicity studies with sodium tetradecyl sulfate have been performed.


Structured Label Content

Section 42229-5 (42229-5)

1% 20 mg/2 mL (10 mg/mL) and 3% 60 mg/2 mL (30 mg/mL)

FOR INTRAVENOUS USE ONLY

Rx only

General (GENERAL)

Extreme caution must be exercised in the presence of underlying arterial disease such as marked peripheral arteriosclerosis or thromboangiitis obliterans (Buerger’s Disease).

Storage (STORAGE)

Store at 20° to 25°C (68° to 77°F). [See USP Controlled Room Temperature.]

Warnings (WARNINGS)

Sotradecol (sodium tetradecyl sulfate injection) should only be administered by a healthcare professional experienced in venous anatomy and the diagnosis and treatment of conditions affecting the venous system and familiar with proper injection technique. Severe adverse local effects, including tissue necrosis, may occur following extravasation; therefore, extreme care in intravenous needle placement and using the minimal effective volume at each injection site are important.

Emergency resuscitation equipment should be immediately available. Allergic reactions, including fatal anaphylaxis, have been reported. As a precaution against anaphylactic shock, it is recommended that 0.5 mL of Sotradecol be injected into a varicosity, followed by observation of the patient for several hours before administration of a second or larger dose. The possibility of an anaphylactic reaction should be kept in mind, and the physician should be prepared to treat it appropriately.

Because of the danger of thrombosis extension into the deep venous system, thorough preinjection evaluation for valvular competency should be carried out and slow injections with a small amount (not over 2 mL) of the preparation should be injected into the varicosity. Deep venous patency must be determined by noninvasive testing such as duplex ultrasound. Venous sclerotherapy should not be undertaken if tests such as Trendelenberg and Perthes, and angiography show significant valvular or deep venous incompetence.

The development of deep vein thrombosis and pulmonary embolism have been reported following sclerotherapy treatment of superficial varicosities. Patients should have post-treatment follow-up of sufficient duration to assess for the development of deep vein thrombosis. Embolism may occur as long as four weeks after injection of sodium tetradecyl sulfate. Adequate post-treatment compression may decrease the incidence of deep vein thrombosis.

Description (DESCRIPTION)

Sodium tetradecyl sulfate is an anionic surfactant which occurs as a white, waxy solid. The structural formula is as follows:  

C14H29NaSO4     7-Ethyl-2-methyl-4-hendecanol sulfate sodium salt      MW 316.44

Sotradecol (sodium tetradecyl sulfate injection) is a sterile nonpyrogenic solution for intravenous use as a sclerosing agent.

1% 20 mg/2 mL (10 mg/mL): Each mL contains sodium tetradecyl sulfate 10 mg, benzyl alcohol 0.02 mL and dibasic sodium phosphate, anhydrous 4.0 mg in Water for Injection. pH 7.9; monobasic sodium phosphate and/or sodium hydroxide added, if needed, for pH adjustment.

3% 60 mg/2 mL (30 mg/mL): Each mL contains sodium tetradecyl sulfate 30 mg, benzyl alcohol 0.02 mL and dibasic sodium phosphate, anhydrous 9.0 mg in Water for Injection. pH 7.9; monobasic sodium phosphate and/or sodium hydroxide added, if needed, for pH adjustment.

How Supplied (HOW SUPPLIED)

Sotradecol® (sodium tetradecyl sulfate injection)

NDC 67457-162-02

carton containing 5 x 2 mL multiple-dose vials with 1% 20 mg/2 mL (10 mg/mL)

NDC 67457-163-02

carton containing 5 x 2 mL multiple-dose vials with 3% 60 mg/2 mL (30 mg/mL)

Pediatric Use (PEDIATRIC USE)

Safety and effectiveness in pediatric patients have not been established.

Nursing Mothers (NURSING MOTHERS)

It is not known whether this drug is excreted in human milk. Because many drugs are excreted in human milk, caution should be exercised when Sotradecol is administered to a nursing woman.

Adverse Reactions (ADVERSE REACTIONS)

Local reactions consisting of pain, urticaria or ulceration may occur at the site of injection. A permanent discoloration may remain along the path of the sclerosed vein segment. Sloughing and necrosis of tissue may occur following extravasation of the drug. (See WARNINGS section.)

Allergic reactions such as hives, asthma, hay fever and anaphylactic shock have been reported. Mild systemic reactions that have been reported include headache, nausea and vomiting. (See WARNINGS section.)

At least six deaths have been reported with the use of Sotradecol. Four cases of anaphylactic shock leading to death have been reported in patients who received Sotradecol. One of these four patients reported a history of asthma, a contraindication to the administration of Sotradecol. (See WARNINGS section.)

One death has been reported in a patient who received Sotradecol and who had been receiving an antiovulatory agent. Another death (fatal pulmonary embolism) has been reported in a 36-year-old female treated with sodium tetradecyl acetate and who was not taking oral contraceptives.

Cerebrovascular accident, myocardial infarction

Animal Toxicology (ANIMAL TOXICOLOGY)

The intravenous LD50 of sodium tetradecyl sulfate in mice was reported to be 90 ± 5 mg/kg.

In the rat, the acute intravenous LD50 of sodium tetradecyl sulfate was estimated to be between 72 mg/kg and 108 mg/kg.

Purified sodium tetradecyl sulfate was found to have an LD50 of 2 g/kg when administered orally by stomach tube as a 25% aqueous solution to rats. In rats given 0.15 g/kg in drinking water for 30 days, no appreciable toxicity was seen, although some growth inhibition was discernible.

Manufactured for:

Mylan Institutional LLC

Morgantown, WV 26505 U.S.A.

Manufactured by:

Mylan Institutional

Galway, Ireland

Revised: 8/2021

MI:SOTRIJ:R7

0521L112

®Sotradecol is a registered trademark of Mylan Pharma Group Limited

Arterial Embolism

Stroke, transient ischemic attack, myocardial infarction, and impaired cardiac function have been reported in close temporal relationship with STS administration. These events may be caused by air embolism when using the product foamed with room air (high nitrogen concentration) or thromboembolism. The safety and efficacy of STS foamed with room air has not been established and its use should be avoided.

Contraindications (CONTRAINDICATIONS)

Sotradecol (sodium tetradecyl sulfate injection) is contraindicated in previous hypersensitivity reactions to the drug; in acute superficial thrombophlebitis; valvular or deep vein incompetence; huge superficial veins with wide open communications to deeper veins; phlebitis migrans; acute cellulitis; allergic conditions; acute infections; varicosities caused by abdominal and pelvic tumors unless the tumor has been removed; bedridden patients; such uncontrolled systemic diseases as diabetes, toxic hyperthyroidism, tuberculosis, asthma, neoplasm, sepsis, blood dyscrasias and acute respiratory or skin diseases.

Drug Interactions (DRUG INTERACTIONS)

No well-controlled studies have been performed on patients taking antiovulatory agents. The physician must use judgment and evaluate any patient taking antiovulatory drugs prior to initiating treatment with Sotradecol. (See ADVERSE REACTIONS section.)

Heparin should not be included in the same syringe as Sotradecol, since the two are incompatible.

Clinical Pharmacology (CLINICAL PHARMACOLOGY)

Sotradecol (sodium tetradecyl sulfate injection) is a sclerosing agent. Intravenous injection causes intima inflammation and thrombus formation. This usually occludes the injected vein. Subsequent formation of fibrous tissue results in partial or complete vein obliteration that may or may not be permanent.

Indications and Usage (INDICATIONS AND USAGE)

Sotradecol (sodium tetradecyl sulfate injection) is indicated in the treatment of small uncomplicated varicose veins of the lower extremities that show simple dilation with competent valves. The benefit-to-risk ratio should be considered in selected patients who are great surgical risks.

Dosage and Administration (DOSAGE AND ADMINISTRATION)

Parenteral drug products should be inspected visually for particulate matter and discoloration prior to administration. Do not use if precipitated or discolored.

Sotradecol (sodium tetradecyl sulfate injection) is for intravenous use only. The strength of solution required depends on the size and degree of varicosity. In general, the 1% solution will be found most useful with the 3% solution preferred for larger varicosities. The dosage should be kept small, using 0.5 mL to 2 mL (preferably 1 mL maximum) for each injection, and the maximum single treatment should not exceed 10 mL.

Teratogenic Effects – Pregnancy Category C.

Animal reproduction studies have not been conducted with Sotradecol. It is also not known whether Sotradecol can cause fetal harm when administered to a pregnant woman or can affect reproduction capacity. Sotradecol should be given to a pregnant woman only if clearly needed and the benefits outweigh the risks.

Principal Display Panel 10 Mg/ml Carton Label (PRINCIPAL DISPLAY PANEL - 10 mg/mL Carton Label)

NDC 67457-162-02

Sotradecol® 1%

(sodium tetradecyl sulfate injection)

20 mg/2 mL (10 mg/mL)

For Intravenous Use Only

Rx only     5 x 2 mL Multiple-Dose Vials

Each mL contains: Sodium tetradecyl sulfate 10 mg, benzyl alcohol 0.02 mL

and dibasic sodium phosphate, anhydrous 4.0 mg in Water for Injection. pH 7.9; monobasic

sodium phosphate and/or sodium hydroxide added, if needed, for pH adjustment.

WARNING: Do not use if precipitated.

Usual Dosage: See accompanying

prescribing information.

Store at 20° to 25°C (68° to 77°F).

[See USP Controlled Room Temperature.]

Manufactured for:

Mylan Institutional LLC

Morgantown, WV 26505 U.S.A.

Manufactured by:

Mylan Institutional

Galway, Ireland

MI:162:5C:R7

Mylan.com

Principal Display Panel 30 Mg/ml Carton Label (PRINCIPAL DISPLAY PANEL - 30 mg/mL Carton Label)

NDC 67457-163-02

Sotradecol® 3%

(sodium tetradecyl sulfate injection)

60 mg/2 mL (30 mg/mL)

For Intravenous Use Only

Rx only     5 x 2 mL Multiple-Dose Vials

Each mL contains: Sodium tetradecyl sulfate 30 mg, benzyl alcohol 0.02 mL and

dibasic sodium phosphate, anhydrous 9.0 mg in Water for Injection. pH 7.9; monobasic

sodium phosphate and/or sodium hydroxide added, if needed, for pH adjustment.

WARNING: Do not use if precipitated.

Usual Dosage: See accompanying

prescribing information.

Store at 20° to 25°C (68° to 77°F).

[See USP Controlled Room
Temperature.]

Manufactured for:

Mylan Institutional LLC

Morgantown, WV 26505 U.S.A.

Manufactured by:

Mylan Institutional

Galway, Ireland

MI:163:5C:R7

Mylan.com

Carcinogenesis, Mutagenesis, Impairment of Fertility (CARCINOGENESIS, MUTAGENESIS, IMPAIRMENT OF FERTILITY)

When tested in the L5178YTK +/- mouse lymphoma assay, sodium tetradecyl sulfate did not induce a dose-related increase in the frequency of thymidine kinase-deficient mutants and, therefore, was judged to be nonmutagenic in this system. However, no long-term animal carcinogenicity studies with sodium tetradecyl sulfate have been performed.


Advanced Ingredient Data


Raw Label Data

All Sections (JSON)