These Highlights Do Not Include All The Information Needed To Use Cyanocobalamin Nasal Spray Safely And Effectively. See Full Prescribing Information For Cyanocobalamin Nasal Spray Initial U.s. Approval: [1942]

These Highlights Do Not Include All The Information Needed To Use Cyanocobalamin Nasal Spray Safely And Effectively. See Full Prescribing Information For Cyanocobalamin Nasal Spray Initial U.s. Approval: [1942]
SPL v4
SPL
SPL Set ID efb7dc02-f0c9-4537-9e23-b641c428068c
Route
NASAL
Published
Effective Date 2023-08-24
Document Type 34391-3 HUMAN PRESCRIPTION DRUG LABEL

Drug Facts

Composition & Product

Active Ingredients
Cyanocobalamin (500 ug)
Inactive Ingredients
Sodium Citrate Citric Acid Monohydrate Glycerin Benzalkonium Chloride Water

Identifiers & Packaging

Marketing Status
ANDA Active Since 2024-01-29

Description

Cyanocobalamin Nasal Spray is indicated for: Vitamin B12 maintenance therapy in adult patients with pernicious anemia who are in remission following intramuscular vitamin B12 therapy and who have no nervous system involvement Treatment of adult patients with dietary, drug-induced, or malabsorption-related vitamin B12 deficiency not due to pernicious anemia Prevention of vitamin B12 deficiency in adult patients with vitamin B12 requirements in excess of normal Limitations of Use: Cyanocobalamin Nasal Spray should not be used for the vitamin B12 absorption test (Schilling test). In patients with correctible or temporary causes of vitamin B12 deficiency, the benefit of continued long  term use of Cyanocobalamin Nasal Spray following adequate correction of vitamin B12 deficiency and underlying disease has not been established. The effectiveness of Cyanocobalamin Nasal Spray in patients with active symptoms of nasal congestion, allergic rhinitis or upper respiratory infection has not been determined. Treatment with Cyanocobalamin Nasal Spray should be deferred until symptoms have subsided.

Indications and Usage

Cyanocobalamin Nasal Spray is indicated for: Vitamin B12 maintenance therapy in adult patients with pernicious anemia who are in remission following intramuscular vitamin B12 therapy and who have no nervous system involvement Treatment of adult patients with dietary, drug-induced, or malabsorption-related vitamin B12 deficiency not due to pernicious anemia Prevention of vitamin B12 deficiency in adult patients with vitamin B12 requirements in excess of normal Limitations of Use: Cyanocobalamin Nasal Spray should not be used for the vitamin B12 absorption test (Schilling test). In patients with correctible or temporary causes of vitamin B12 deficiency, the benefit of continued long  term use of Cyanocobalamin Nasal Spray following adequate correction of vitamin B12 deficiency and underlying disease has not been established. The effectiveness of Cyanocobalamin Nasal Spray in patients with active symptoms of nasal congestion, allergic rhinitis or upper respiratory infection has not been determined. Treatment with Cyanocobalamin Nasal Spray should be deferred until symptoms have subsided.

Dosage and Administration

Prior to treatment, obtain hematocrit, reticulocyte count, vitamin B12, folate, and iron levels. ( 2.1 ) The recommended initial dose is one spray (500 mcg) in one nostril once weekly. ( 2.2 ) Administer at least one hour before or one hour after ingestion of hot foods or liquids. ( 2.2 ) Monitor serum B12 levels periodically. Obtain a serum B12 level and peripheral blood count one month after treatment initiation, then subsequently at intervals of 3 to 6 months. ( 2.3 ) If serum levels of B12 decline after one month of treatment, consider increasing the dose. Assess serum B12 level one month after each dose adjustment. If serum B12 levels are persistently low, consider alternative therapy (e.g., intramuscular or subcutaneous vitamin B12 therapy). ( 2.3 ) See Full Prescribing Information to see what other therapies should be administered with Cyanocobalamin Nasal Spray. ( 2.4 )

Warnings and Precautions

Severe Optic Atrophy in Patients with Leber's Disease : Patients with early Leber's disease who were treated with vitamin B12 suffered severe and swift optic atrophy. Cyanocobalamin Nasal Spray is not recommended for use in these patients ( 5.1 ) Anaphylactic Reactions : Anaphylactic shock and death have been reported after parenteral vitamin B12 administration. If patients are to start Cyanocobalamin Nasal Spray before having tolerated cyanocobalamin parenterally, consider administering an intradermal test dose of parenteral vitamin B12 to patients suspected of cyanocobalamin hypersensitivity. ( 2.1 , 5.2 ) Masking of Folate Deficiency with Vitamin B12 Use : Doses of vitamin B12 exceeding 10 mcg daily may produce hematologic response in patients with folate deficient megaloblastic anemia and may therefore mask a previously unrecognized folate deficiency. Assess both vitamin B12 and folate levels prior to initiating therapy with Cyanocobalamin Nasal Spray or with folic acid. ( 5.3 ) Hypokalemia and Thrombocytosis Due to Intense Treatment of Megaloblastic Anemia : Hypokalemia and sudden death may occur in severe megaloblastic anemia that is treated intensely with vitamin B12. Monitor serum potassium levels and platelet count during therapy. ( 5.4 ) Unmasking of Polycythemia Vera : Vitamin B12 deficiency may suppress the signs of polycythemia vera. Treatment with Cyanocobalamin Nasal Spray may unmask this condition. Patients exhibiting clinical or hematologic response consistent with polycythemia vera should be referred for further evaluation. ( 5.5 )

Contraindications

Cyanocobalamin Nasal Spray is contraindicated in patients with hypersensitivity to cobalt and/or vitamin B12 or any of its excipients [ see Warnings and Precautions (5.2) ] . Anaphylactic shock and death have been reported after parenteral vitamin B12 administration in sensitive patients.

Adverse Reactions

The following serious adverse reactions are described elsewhere in the labeling: Severe Optic Atrophy in Patients with Leber's Disease [ see Warnings and Precautions (5.1) ]. Anaphylactic Reactions [ see Warnings and Precautions (5.2) ]. Hypokalemia and Thrombocytosis Due to Intense Treatment of Megaloblastic Anemia [ see Warnings and Precautions (5.4) ].

Drug Interactions

Chloramphenicol may decrease the efficacy of Cyanocobalamin Nasal Spray when used for treatment of anemia. If Cyanocobalamin Nasal Spray is used for the treatment of anemia concomitantly with chloramphenicol, monitor for reduced efficacy and if needed, consider an alternative therapy.

Storage and Handling

Cyanocobalamin Nasal Spray is a nasal spray available in a dosage strength of 500 mcg cyanocobalamin/0.1 mL (per actuation). It is supplied in boxes of 4 single-use nasal spray devices and a package insert (NDC 43386-237-70). Protect from light. Keep covered in carton until ready to use. Store upright at controlled room temperature 15°C to 30°C (59°F to 86°F). Protect from freezing.

How Supplied

Cyanocobalamin Nasal Spray is a nasal spray available in a dosage strength of 500 mcg cyanocobalamin/0.1 mL (per actuation). It is supplied in boxes of 4 single-use nasal spray devices and a package insert (NDC 43386-237-70). Protect from light. Keep covered in carton until ready to use. Store upright at controlled room temperature 15°C to 30°C (59°F to 86°F). Protect from freezing.

Patient Information

Cyanocobalamin Nasal Spray Cyanocobalamin Nasal Spray is for use in your nose only. What is Cyanocobalamin Nasal Spray? Cyanocobalamin Nasal Spray is a prescription medicine used: for maintenance therapy to treat vitamin B12 deficiency (low levels of vitamin B12) in adults with pernicious anemia who achieved healthy vitamin B12 levels after receiving vitamin B12 shots and do not have nervous system problems. to treat vitamin B12 deficiency caused by: certain food limitations, other medicines that cause vitamin B12 deficiency, or lack of absorption (malabsorption) that are not related to pernicious anemia. to prevent vitamin B12 deficiency in adults who require higher amounts of vitamin B12. Cyanocobalamin Nasal Spray should not be used for a vitamin B12 absorption test known as the Schilling test. In people that have corrected or have fixed their short-term causes of vitamin B12 deficiency, the benefit of continued long-term use of Cyanocobalamin Nasal Spray is not known after vitamin B12 deficiency has been corrected. It is not known if Cyanocobalamin Nasal Spray is effective in people that currently have a stuffy nose, allergies or an upper respiratory infection. You should wait until these symptoms have gone away before using Cyanocobalamin Nasal Spray. It is not known if Cyanocobalamin Nasal Spray is safe and effective in children. Do not use Cyanocobalamin Nasal Spray if you are allergic to cobalt, vitamin B12, cyanocobalamin or any ingredients in Cyanocobalamin Nasal Spray. See the end of this leaflet for a complete list of ingredients in Cyanocobalamin Nasal Spray. Before you use Cyanocobalamin Nasal Spray, tell your healthcare provider about all of your medical conditions, including if you: have a history of a certain disease that effects or weakens the optic nerve in your eye (early Leber's disease). Cyanocobalamin Nasal Spray is not recommended in people with Leber's optic atrophy. have had an allergic reaction to vitamin B12 injections or intravenous (IV) infusion. have low levels of folate or iron. are pregnant or plan to become pregnant. It is not known if Cyanocobalamin Nasal Spray will harm your unborn baby. Tell your healthcare provider about all the medicines you take , including prescription and over-the-counter medicines, vitamins, and herbal supplements. How should I use Cyanocobalamin Nasal Spray? See the Instructions for Use at the end of this leaflet for instructions on how to use Cyanocobalamin Nasal Spray. You should use Cyanocobalamin Nasal Spray exactly as your healthcare provider tells you to use it. Your healthcare provider will tell you how much Cyanocobalamin Nasal Spray to use and when to use it. You should not use Cyanocobalamin Nasal Spray 1 hour before or 1 hour after eating hot foods or drinking hot liquids. Eating hot food or drinking hot liquids too soon before or after taking Cyanocobalamin Nasal Spray can cause you to have a runny nose and can affect the amount of Cyanocobalamin Nasal Spray you receive. Your healthcare provider may do certain blood tests before you use Cyanocobalamin Nasal Spray and every 3 to 6 months while you are taking it. Your healthcare provider may change your dose based on the results of your blood tests. What are the possible side effects of Cyanocobalamin Nasal Spray? Cyanocobalamin Nasal Spray can cause serious side effects, including:   Weaken your eye nerve in patients with early Leber's disease . Tell your healthcare provider if you or your family has a history of early Leber's disease.   Serious allergic reactions . Serious life-threatening allergic reactions including death have happened in people who have received vitamin B12 by injection or by intravenous (IV) infusion (parenteral). Tell your healthcare provider if you have ever had a reaction after you received vitamin B12 by injection or IV infusion.   Hiding (masking) a folate deficiency . Your healthcare provider may do certain blood tests to check your vitamin B12 and folate levels.   Low potassium levels (hypokalemia) and low blood platelets (thrombocytopenia) can happen in people with serious megaloblastic anemia. Your healthcare provider may monitor your potassium levels and platelets counts during your treatment with Cyanocobalamin Nasal Spray. The most common side effects of Cyanocobalamin Nasal Spray include: Infection Headache Feeling weak Nausea Swelling of your tongue Runny nose Tingling of the hands and feet These are not all of the possible side effects of Cyanocobalamin Nasal Spray. Call your doctor for medical advice about side effects. You may report side effects to FDA at 1-800-FDA-1088 General information about the safe and effective use of Cyanocobalamin Nasal Spray . Medicines are sometimes prescribed for purposes other than those listed in a Patient Information leaflet. Do not use Cyanocobalamin Nasal Spray for a condition for which it was not prescribed. Do not give Cyanocobalamin Nasal Spray to other people, even if they have the same symptoms that you have. It may harm them. You can ask your pharmacist or healthcare provider for information about Cyanocobalamin Nasal Spray that is written for health professionals. What are the ingredients in Cyanocobalamin Nasal Spray? Active ingredient : cyanocobalamin Inactive ingredients : benzalkonium chloride in purified water, citric acid, glycerin and sodium citrate. Manufactured by: Novel Laboratories, Somerset, NJ 08873 Manufactured for: Lupin Pharmaceuticals, Inc. Baltimore, MD 21202 SAP Code: 273782 Rev: 07/2023 For more information, contact Lupin Pharmaceuticals, Inc. at 1-866-403-7592. This Patient Information has been approved by the U.S. Food and Drug Administration. Revised: 07/2023


Medication Information

Warnings and Precautions

Severe Optic Atrophy in Patients with Leber's Disease : Patients with early Leber's disease who were treated with vitamin B12 suffered severe and swift optic atrophy. Cyanocobalamin Nasal Spray is not recommended for use in these patients ( 5.1 ) Anaphylactic Reactions : Anaphylactic shock and death have been reported after parenteral vitamin B12 administration. If patients are to start Cyanocobalamin Nasal Spray before having tolerated cyanocobalamin parenterally, consider administering an intradermal test dose of parenteral vitamin B12 to patients suspected of cyanocobalamin hypersensitivity. ( 2.1 , 5.2 ) Masking of Folate Deficiency with Vitamin B12 Use : Doses of vitamin B12 exceeding 10 mcg daily may produce hematologic response in patients with folate deficient megaloblastic anemia and may therefore mask a previously unrecognized folate deficiency. Assess both vitamin B12 and folate levels prior to initiating therapy with Cyanocobalamin Nasal Spray or with folic acid. ( 5.3 ) Hypokalemia and Thrombocytosis Due to Intense Treatment of Megaloblastic Anemia : Hypokalemia and sudden death may occur in severe megaloblastic anemia that is treated intensely with vitamin B12. Monitor serum potassium levels and platelet count during therapy. ( 5.4 ) Unmasking of Polycythemia Vera : Vitamin B12 deficiency may suppress the signs of polycythemia vera. Treatment with Cyanocobalamin Nasal Spray may unmask this condition. Patients exhibiting clinical or hematologic response consistent with polycythemia vera should be referred for further evaluation. ( 5.5 )

Indications and Usage

Cyanocobalamin Nasal Spray is indicated for: Vitamin B12 maintenance therapy in adult patients with pernicious anemia who are in remission following intramuscular vitamin B12 therapy and who have no nervous system involvement Treatment of adult patients with dietary, drug-induced, or malabsorption-related vitamin B12 deficiency not due to pernicious anemia Prevention of vitamin B12 deficiency in adult patients with vitamin B12 requirements in excess of normal Limitations of Use: Cyanocobalamin Nasal Spray should not be used for the vitamin B12 absorption test (Schilling test). In patients with correctible or temporary causes of vitamin B12 deficiency, the benefit of continued long  term use of Cyanocobalamin Nasal Spray following adequate correction of vitamin B12 deficiency and underlying disease has not been established. The effectiveness of Cyanocobalamin Nasal Spray in patients with active symptoms of nasal congestion, allergic rhinitis or upper respiratory infection has not been determined. Treatment with Cyanocobalamin Nasal Spray should be deferred until symptoms have subsided.

Dosage and Administration

Prior to treatment, obtain hematocrit, reticulocyte count, vitamin B12, folate, and iron levels. ( 2.1 ) The recommended initial dose is one spray (500 mcg) in one nostril once weekly. ( 2.2 ) Administer at least one hour before or one hour after ingestion of hot foods or liquids. ( 2.2 ) Monitor serum B12 levels periodically. Obtain a serum B12 level and peripheral blood count one month after treatment initiation, then subsequently at intervals of 3 to 6 months. ( 2.3 ) If serum levels of B12 decline after one month of treatment, consider increasing the dose. Assess serum B12 level one month after each dose adjustment. If serum B12 levels are persistently low, consider alternative therapy (e.g., intramuscular or subcutaneous vitamin B12 therapy). ( 2.3 ) See Full Prescribing Information to see what other therapies should be administered with Cyanocobalamin Nasal Spray. ( 2.4 )

Contraindications

Cyanocobalamin Nasal Spray is contraindicated in patients with hypersensitivity to cobalt and/or vitamin B12 or any of its excipients [ see Warnings and Precautions (5.2) ] . Anaphylactic shock and death have been reported after parenteral vitamin B12 administration in sensitive patients.

Adverse Reactions

The following serious adverse reactions are described elsewhere in the labeling: Severe Optic Atrophy in Patients with Leber's Disease [ see Warnings and Precautions (5.1) ]. Anaphylactic Reactions [ see Warnings and Precautions (5.2) ]. Hypokalemia and Thrombocytosis Due to Intense Treatment of Megaloblastic Anemia [ see Warnings and Precautions (5.4) ].

Drug Interactions

Chloramphenicol may decrease the efficacy of Cyanocobalamin Nasal Spray when used for treatment of anemia. If Cyanocobalamin Nasal Spray is used for the treatment of anemia concomitantly with chloramphenicol, monitor for reduced efficacy and if needed, consider an alternative therapy.

Storage and Handling

Cyanocobalamin Nasal Spray is a nasal spray available in a dosage strength of 500 mcg cyanocobalamin/0.1 mL (per actuation). It is supplied in boxes of 4 single-use nasal spray devices and a package insert (NDC 43386-237-70). Protect from light. Keep covered in carton until ready to use. Store upright at controlled room temperature 15°C to 30°C (59°F to 86°F). Protect from freezing.

How Supplied

Cyanocobalamin Nasal Spray is a nasal spray available in a dosage strength of 500 mcg cyanocobalamin/0.1 mL (per actuation). It is supplied in boxes of 4 single-use nasal spray devices and a package insert (NDC 43386-237-70). Protect from light. Keep covered in carton until ready to use. Store upright at controlled room temperature 15°C to 30°C (59°F to 86°F). Protect from freezing.

Patient Information

Cyanocobalamin Nasal Spray

Cyanocobalamin Nasal Spray is for use in your nose only.

What is Cyanocobalamin Nasal Spray?

Cyanocobalamin Nasal Spray is a prescription medicine used:

  • for maintenance therapy to treat vitamin B12 deficiency (low levels of vitamin B12) in adults with pernicious anemia who achieved healthy vitamin B12 levels after receiving vitamin B12 shots and do not have nervous system problems.
  • to treat vitamin B12 deficiency caused by:
  • certain food limitations,
  • other medicines that cause vitamin B12 deficiency, or
  • lack of absorption (malabsorption) that are not related to pernicious anemia.
  • to prevent vitamin B12 deficiency in adults who require higher amounts of vitamin B12. Cyanocobalamin Nasal Spray should not be used for a vitamin B12 absorption test known as the Schilling test.

In people that have corrected or have fixed their short-term causes of vitamin B12 deficiency, the benefit of continued long-term use of Cyanocobalamin Nasal Spray is not known after vitamin B12 deficiency has been corrected.

It is not known if Cyanocobalamin Nasal Spray is effective in people that currently have a stuffy nose, allergies or an upper respiratory infection. You should wait until these symptoms have gone away before using Cyanocobalamin Nasal Spray.

It is not known if Cyanocobalamin Nasal Spray is safe and effective in children.

Do not use Cyanocobalamin Nasal Spray if you are allergic to cobalt, vitamin B12, cyanocobalamin or any ingredients in Cyanocobalamin Nasal Spray.

See the end of this leaflet for a complete list of ingredients in Cyanocobalamin Nasal Spray.

Before you use Cyanocobalamin Nasal Spray, tell your healthcare provider about all of your medical conditions, including if you:

  • have a history of a certain disease that effects or weakens the optic nerve in your eye (early Leber's disease). Cyanocobalamin Nasal Spray is not recommended in people with Leber's optic atrophy.
  • have had an allergic reaction to vitamin B12 injections or intravenous (IV) infusion.
  • have low levels of folate or iron.
  • are pregnant or plan to become pregnant. It is not known if Cyanocobalamin Nasal Spray will harm your unborn baby.

Tell your healthcare provider about all the medicines you take, including prescription and over-the-counter medicines, vitamins, and herbal supplements.

How should I use Cyanocobalamin Nasal Spray?

  • See the Instructions for Use at the end of this leaflet for instructions on how to use Cyanocobalamin Nasal Spray.
  • You should use Cyanocobalamin Nasal Spray exactly as your healthcare provider tells you to use it.
  • Your healthcare provider will tell you how much Cyanocobalamin Nasal Spray to use and when to use it.
  • You should not use Cyanocobalamin Nasal Spray 1 hour before or 1 hour after eating hot foods or drinking hot liquids. Eating hot food or drinking hot liquids too soon before or after taking Cyanocobalamin Nasal Spray can cause you to have a runny nose and can affect the amount of Cyanocobalamin Nasal Spray you receive.
  • Your healthcare provider may do certain blood tests before you use Cyanocobalamin Nasal Spray and every 3 to 6 months while you are taking it.
  • Your healthcare provider may change your dose based on the results of your blood tests.

What are the possible side effects of Cyanocobalamin Nasal Spray?

Cyanocobalamin Nasal Spray can cause serious side effects, including:

  •   Weaken your eye nerve in patients with early Leber's disease . Tell your healthcare provider if you or your family has a history of early Leber's disease.
  •   Serious allergic reactions . Serious life-threatening allergic reactions including death have happened in people who have received vitamin B12 by injection or by intravenous (IV) infusion (parenteral). Tell your healthcare provider if you have ever had a reaction after you received vitamin B12 by injection or IV infusion.
  •   Hiding (masking) a folate deficiency . Your healthcare provider may do certain blood tests to check your vitamin B12 and folate levels.
  •   Low potassium levels (hypokalemia) and low blood platelets (thrombocytopenia) can happen in people with serious megaloblastic anemia. Your healthcare provider may monitor your potassium levels and platelets counts during your treatment with Cyanocobalamin Nasal Spray.

The most common side effects of Cyanocobalamin Nasal Spray include:

  • Infection
  • Headache
  • Feeling weak
  • Nausea
  • Swelling of your tongue
  • Runny nose
  • Tingling of the hands and feet

These are not all of the possible side effects of Cyanocobalamin Nasal Spray.

Call your doctor for medical advice about side effects. You may report side effects to FDA at 1-800-FDA-1088

General information about the safe and effective use of Cyanocobalamin Nasal Spray.

Medicines are sometimes prescribed for purposes other than those listed in a Patient Information leaflet. Do not use Cyanocobalamin Nasal Spray for a condition for which it was not prescribed. Do not give Cyanocobalamin Nasal Spray to other people, even if they have the same symptoms that you have. It may harm them. You can ask your pharmacist or healthcare provider for information about Cyanocobalamin Nasal Spray that is written for health professionals.

What are the ingredients in Cyanocobalamin Nasal Spray?

Active ingredient: cyanocobalamin

Inactive ingredients: benzalkonium chloride in purified water, citric acid, glycerin and sodium citrate.

Manufactured by:

Novel Laboratories,

Somerset, NJ 08873

Manufactured for:

Lupin Pharmaceuticals, Inc.

Baltimore, MD 21202

SAP Code: 273782

Rev: 07/2023

For more information, contact Lupin Pharmaceuticals, Inc. at 1-866-403-7592.

This Patient Information has been approved by the U.S. Food and Drug Administration.

Revised: 07/2023

Description

Cyanocobalamin Nasal Spray is indicated for: Vitamin B12 maintenance therapy in adult patients with pernicious anemia who are in remission following intramuscular vitamin B12 therapy and who have no nervous system involvement Treatment of adult patients with dietary, drug-induced, or malabsorption-related vitamin B12 deficiency not due to pernicious anemia Prevention of vitamin B12 deficiency in adult patients with vitamin B12 requirements in excess of normal Limitations of Use: Cyanocobalamin Nasal Spray should not be used for the vitamin B12 absorption test (Schilling test). In patients with correctible or temporary causes of vitamin B12 deficiency, the benefit of continued long  term use of Cyanocobalamin Nasal Spray following adequate correction of vitamin B12 deficiency and underlying disease has not been established. The effectiveness of Cyanocobalamin Nasal Spray in patients with active symptoms of nasal congestion, allergic rhinitis or upper respiratory infection has not been determined. Treatment with Cyanocobalamin Nasal Spray should be deferred until symptoms have subsided.

8.1 Pregnancy

Risk Summary

The limited available data on Cyanocobalamin Nasal Spray in pregnant women are insufficient to inform a drug-associated risk of adverse developmental outcomes. However, vitamin B12 is an essential vitamin and requirements are increased during pregnancy.

Animal reproduction studies have not been conducted with vitamin B12.

The estimated background risk of major birth defects and miscarriage for the indicated population is unknown. In the U.S. general population, the estimated background risks of major birth defects and miscarriage in clinically recognized pregnancies is 2-4% and 15-20%, respectively.

8.6 Lactation

Risk Summary

Vitamin B12 is present in the milk of lactating women in concentrations which approximate the mother's vitamin B12 blood level. Vitamin B12 does not appear to pose more than a minimal risk to breastfeeding children.

11 Description

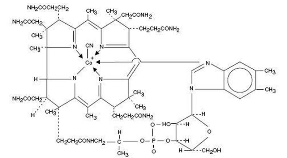
Cyanocobalamin is a synthetic form of vitamin B12. The chemical name is 5,6-dimethyl-benzimidazolyl cyanocobamide. The cobalt content is 4.35%. The molecular formula is C63H88CoN14O14P, which corresponds to a molecular weight of 1355.38 and the following structural formula:

Figure 1. Cyanocobalamin Chemical Structure

Cyanocobalamin occurs as red to purplish red crystalline powder or small crystals. It is very hygroscopic in the anhydrous form, and sparingly to moderately soluble in water (1:80). Its pharmacologic activity is destroyed by heavy metals (iron) and strong oxidizing or reducing agents (vitamin C), but not by autoclaving for short periods of time (15-20 minutes) at 121°C. The vitamin B12 coenzymes are very unstable in light.

Cyanocobalamin Nasal Spray is a solution of cyanocobalamin, USP (vitamin B12) for administration as a spray to the nasal mucosa. Each single-use device of Cyanocobalamin Nasal Spray contains 0.125 mL of a 500 mcg/0.1 mL solution of cyanocobalamin with, benzalkonium chloride in purified water, citric acid, glycerin and sodium citrate. The spray solution has a pH between 4.5 and 5.5. Each spray delivers an average of 500 mcg of cyanocobalamin per actuation.

8.4 Pediatric Use

Safety and effectiveness have not been established in pediatric patients.

8.5 Geriatric Use

Clinical studies of Cyanocobalamin Nasal Spray did not include sufficient numbers of subjects aged 65 and over to determine whether they respond differently from younger subjects. Other reported clinical experience has not identified differences in responses between the elderly and younger patients.

4 Contraindications

Cyanocobalamin Nasal Spray is contraindicated in patients with hypersensitivity to cobalt and/or vitamin B12 or any of its excipients [see Warnings and Precautions (5.2)]. Anaphylactic shock and death have been reported after parenteral vitamin B12 administration in sensitive patients.

6 Adverse Reactions

The following serious adverse reactions are described elsewhere in the labeling:

7 Drug Interactions

Chloramphenicol may decrease the efficacy of Cyanocobalamin Nasal Spray when used for treatment of anemia. If Cyanocobalamin Nasal Spray is used for the treatment of anemia concomitantly with chloramphenicol, monitor for reduced efficacy and if needed, consider an alternative therapy.

Instructions for Use

Cyanocobalamin Nasal Spray

Cyanocobalamin Nasal Spray is for use in your nose only.

Read this Instructions for Use before you start using Cyanocobalamin Nasal Spray and each time you get a refill. There may be new information. This information does not take the place of talking to your healthcare provider about your medical condition or your treatment.

Your healthcare provider should teach you how to use Cyanocobalamin Nasal Spray before you use it for the first time. If you have any questions or do not understand the instructions, talk with your healthcare provider or pharmacist.

Cyanocobalamin Nasal Spray contains only 1 spray. You do not need to prime Cyanocobalamin Nasal Spray before you use it.

If you are eating hot foods or liquids, use Cyanocobalamin Nasal Spray at least one hour before or one hour afterwards because eating hot food or drinking hot liquids too soon before or after taking Cyanocobalamin Nasal Spray can cause you to have a runny nose and can affect the amount of Cyanocobalamin Nasal Spray you receive.

How to use Cyanocobalamin Nasal Spray?

Step 1. Blow your nose gently to clear both nostrils.

Step 2. Hold Cyanocobalamin Nasal Spray with your thumb on the bottom and your index (pointer) finger and middle finger on either side of the nozzle (see Figure A).

Step 3. Gently close 1 side of your nose (nostril) with your other index finger. Insert the nozzle into the open nostril about half an inch or as far as it feels comfortable and tilt your head slightly forward (see Figure B). Do not press the plunger yet.

Step 4. Breathe in gently through your nose, close your mouth, and at the same time press the plunger firmly upwards with your thumb.

Step 5. Remove the nozzle from your nostril. At the same time, keep your head straight for 10 to 20 seconds while gently breathing in through your nose and breathing out through your mouth.

How to dispose of (throw away) Cyanocobalamin Nasal Spray?

Cyanocobalamin Nasal Spray can be disposed of in your household trash. Place the Cyanocobalamin Nasal Spray nasal spray in a container such as a zip- top or sealable plastic bag, and throw the container away in your household trash.

This Instructions for Use has been approved by the U.S. Food and Drug Administration

Revised: 07/2023

12.2 Pharmacodynamics

Parenteral (intramuscular) administration of vitamin B12 completely reverses the megaloblastic anemia and GI symptoms of vitamin B12 deficiency; the degree of improvement in neurologic symptoms depends on the duration and severity of the lesions, although progression of the lesions is immediately arrested. In pernicious anemia patients, once weekly intranasal dosing with 500 mcg B12 gel resulted in a consistent increase in pre-dose serum B12 levels during one month of treatment (p < 0.003) above that seen one month after 100 mcg intramuscular dose (Figure 2).

Figure 2. Vitamin B12 Serum Trough Levels After Intramuscular Solution (IM) of 100 mcg and Nasal Gel (IN) Administration of 500 mcg Cyanocobalamin After Weekly Doses.

2.2 Recommended Dosage

The recommended initial dose of Cyanocobalamin Nasal Spray is one spray (500 mcg) administered in ONE nostril once weekly. Administer Cyanocobalamin Nasal Spray at least one hour before or one hour after ingestion of hot foods or liquids since hot foods may cause nasal secretions and a resulting loss of medication. Defer use of Cyanocobalamin Nasal Spray in patients with nasal congestion, allergic rhinitis, or upper respiratory infections until after symptoms have subsided.

1 Indications and Usage

Cyanocobalamin Nasal Spray is indicated for:

  • Vitamin B12 maintenance therapy in adult patients with pernicious anemia who are in remission following intramuscular vitamin B12 therapy and who have no nervous system involvement
  • Treatment of adult patients with dietary, drug-induced, or malabsorption-related vitamin B12 deficiency not due to pernicious anemia
  • Prevention of vitamin B12 deficiency in adult patients with vitamin B12 requirements in excess of normal

Limitations of Use:

  • Cyanocobalamin Nasal Spray should not be used for the vitamin B12 absorption test (Schilling test).
  • In patients with correctible or temporary causes of vitamin B12 deficiency, the benefit of continued long  term use of Cyanocobalamin Nasal Spray following adequate correction of vitamin B12 deficiency and underlying disease has not been established.
  • The effectiveness of Cyanocobalamin Nasal Spray in patients with active symptoms of nasal congestion, allergic rhinitis or upper respiratory infection has not been determined. Treatment with Cyanocobalamin Nasal Spray should be deferred until symptoms have subsided.
12.1 Mechanism of Action

Vitamin B12 can be converted to coenzyme B12 in tissues, and as such is essential for conversion of methylmalonate to succinate and synthesis of methionine from homocysteine, a reaction which also requires folate. In the absence of coenzyme B12, tetrahydrofolate cannot be regenerated from its inactive storage form, 5-methyltetrahydrofolate, and a functional folate deficiency occurs. Vitamin B12 also may be involved in maintaining sulfhydryl (SH) groups in the reduced form required by many SH-activated enzyme systems. Through these reactions, vitamin B12 is associated with fat and carbohydrate metabolism and protein synthesis.

5 Warnings and Precautions
  • Severe Optic Atrophy in Patients with Leber's Disease : Patients with early Leber's disease who were treated with vitamin B12 suffered severe and swift optic atrophy. Cyanocobalamin Nasal Spray is not recommended for use in these patients (5.1)
  • Anaphylactic Reactions : Anaphylactic shock and death have been reported after parenteral vitamin B12 administration. If patients are to start Cyanocobalamin Nasal Spray before having tolerated cyanocobalamin parenterally, consider administering an intradermal test dose of parenteral vitamin B12 to patients suspected of cyanocobalamin hypersensitivity. (2.1, 5.2)
  • Masking of Folate Deficiency with Vitamin B12 Use : Doses of vitamin B12 exceeding 10 mcg daily may produce hematologic response in patients with folate deficient megaloblastic anemia and may therefore mask a previously unrecognized folate deficiency. Assess both vitamin B12 and folate levels prior to initiating therapy with Cyanocobalamin Nasal Spray or with folic acid. (5.3)
  • Hypokalemia and Thrombocytosis Due to Intense Treatment of Megaloblastic Anemia : Hypokalemia and sudden death may occur in severe megaloblastic anemia that is treated intensely with vitamin B12. Monitor serum potassium levels and platelet count during therapy. (5.4)
  • Unmasking of Polycythemia Vera : Vitamin B12 deficiency may suppress the signs of polycythemia vera. Treatment with Cyanocobalamin Nasal Spray may unmask this condition. Patients exhibiting clinical or hematologic response consistent with polycythemia vera should be referred for further evaluation. (5.5)
5.2 Anaphylactic Reactions

Anaphylactic shock and death have been reported after parenteral vitamin B12 administration. If patients are to start Cyanocobalamin Nasal Spray before having tolerated cyanocobalamin parenterally, consider administering an intradermal test dose of parenteral vitamin B12 to patients suspected of cyanocobalamin hypersensitivity [see Dosage and Administration (2.1) ].

2 Dosage and Administration
  • Prior to treatment, obtain hematocrit, reticulocyte count, vitamin B12, folate, and iron levels. (2.1)
  • The recommended initial dose is one spray (500 mcg) in one nostril once weekly. (2.2)
  • Administer at least one hour before or one hour after ingestion of hot foods or liquids. (2.2)
  • Monitor serum B12 levels periodically. Obtain a serum B12 level and peripheral blood count one month after treatment initiation, then subsequently at intervals of 3 to 6 months. (2.3)
  • If serum levels of B12 decline after one month of treatment, consider increasing the dose. Assess serum B12 level one month after each dose adjustment. If serum B12 levels are persistently low, consider alternative therapy (e.g., intramuscular or subcutaneous vitamin B12 therapy). (2.3)
  • See Full Prescribing Information to see what other therapies should be administered with Cyanocobalamin Nasal Spray. (2.4)
3 Dosage Forms and Strengths

Nasal spray: 500 mcg/0.1 mL (per actuation), packaged in a single-use device containing 0.125 mL of solution

6.1 Clinical Trials Experience

Because clinical trials are conducted under widely varying conditions, adverse reaction rates observed in the clinical trials of a drug cannot be directly compared to rates in the clinical trials of another drug and may not reflect the rates observed in practice. The adverse reactions

described in Table 1 below are based on data from an eight week cross over trial in which vitamin B12 deficient patients in hematologic remission received one vitamin B12 intramuscular injection (N=25) and then received once weekly intranasal administration of another nasal cyanocobalamin formulation (N=24) for 4 weeks.

Table 1. Adverse Reactions Following Intranasal or Intramuscular Administration of Cyanocobalamin In Vitamin B12 Deficient Patients in Hematologic Remission
Adverse Reaction

Number of Patients (%)

Another Cyanocobalamin Nasal

Formulation, 500 mcg (n=24)

Intramuscular Cyanocobalamin*, 100 mcg (n=25)

Infectiona

3 (13)

3 (12)

Headache

1 (4)

5 (20)

Asthenia

1 (4)

4 (16)

Nausea

1 (4)

1 (4)

Glossitis

1 (4)

0 (0)

Paresthesia

1 (4)

1 (4)

Rhinitis

1 (4)

2 (8)

a Sore throat, common cold

* The data are not an adequate basis for comparison of rates between the study drug and the active control

12.4 Pharmacokinetics Absorption

Vitamin B12 is bound to intrinsic factor during transit through the stomach; separation occurs in the terminal ileum in the presence of calcium, and vitamin B12 enters the mucosal cell for absorption. It is then transported by the transcobalamin binding proteins. A small amount (approximately 1% of the total amount ingested) is absorbed by simple diffusion, but this mechanism is adequate only with very large doses.

A three way crossover study in 25 fasting healthy subjects was conducted to compare the bioavailability of the B12 nasal spray to the B12 nasal gel and to evaluate the relative bioavailability of the nasal formulations as compared to the intramuscular injection. The peak concentrations after administration of intranasal spray were reached in 1.25 +/ 

1.9 hours. The mean peak plasma concentration (Cmax) of B12, obtained after baseline correction, following administration of intranasal spray were 748 +/-549 pg/mL.

The bioavailability of the B12 nasal spray was found to be 10% less than the B12 nasal gel.

Distribution

In the blood, B12 is bound to transcobalamin II, a specific B-globulin carrier protein, and is distributed and stored primarily in the liver and bone marrow.

Elimination

About 3-8 mcg of B12 is secreted into the GI tract daily via the bile and undergoes some enterohepatic recycling; in normal subjects with sufficient intrinsic factor, all but about 1 mcg is reabsorbed. When B12 is administered in doses which saturate the binding capacity of plasma proteins and the liver, the unbound B12 is rapidly eliminated in the urine. Retention of B12 in the body is dose-dependent. About 80-90% of an intramuscular dose up to 50 mcg is retained in the body; this percentage drops to 55% for a 100 mcg dose, and decreases to 15% when a 1000 mcg dose is given.

17 Patient Counseling Information

Advise the patient to read the FDA-approved patient labeling (Instructions for Use).

Importance of Adherence to Therapy and Follow-up

Advise patients of the importance of adhering to therapy to prevent the development, recurrence, or progression of

anemia and the development or progression of neurological manifestations.

Patients experiencing symptomatic nasal congestion, allergic rhinitis or an upper respiratory infection should be advised to defer treatment with Cyanocobalamin Nasal Spray until symptoms have subsided.

Counsel patients on the importance of returning for follow-up blood tests every 3 to 6 months to confirm adequacy of therapy [see Dosage and Administration (2.3)].

Specific Instructions for Administration

Advise patients to administer Cyanocobalamin Nasal Spray at least one hour before or one hour after ingestion of hot foods or liquids since hot foods may cause nasal secretions and a resulting loss of medication.

Use of Nasal Spray Device

Provide patients with instructions on nasal administration of Cyanocobalamin Nasal Spray. In addition to alerting patients to the instructions contained in the Instructions For Use and instructions supplied on each carton, demonstrate procedures for use to each patient.

Manufactured by:

Novel Laboratories

Somerset, NJ 08873

Manufactured for:

Lupin Pharmaceuticals, Inc

Baltimore, MD 21202

SAP Code: 273782

Rev. 07/2023

5.5 Unmasking of Polycythemia Vera

Vitamin B12 deficiency may suppress the signs of polycythemia vera. Treatment with vitamin B12 may unmask this condition. Patients exhibiting clinical or hematologic response consistent with polycythemia vera should be referred for further evaluation.

16 How Supplied/storage and Handling

Cyanocobalamin Nasal Spray is a nasal spray available in a dosage strength of 500 mcg cyanocobalamin/0.1 mL (per actuation). It is supplied in boxes of 4 single-use nasal spray devices and a package insert (NDC 43386-237-70).

Protect from light. Keep covered in carton until ready to use. Store upright at controlled room temperature 15°C to 30°C (59°F to 86°F). Protect from freezing.

Package Label.principal Display Panel
2.1 Testing and Other Considerations Prior to Dosing

Prior to treatment, obtain hematocrit, reticulocyte count, vitamin B12, folate, and iron levels [see Dosage and Administration (2.4)]. Consider the potential for concomitant drugs to interfere with vitamin B12 and folate diagnostic blood assays [see Drug Interactions (7)].

In patients with suspected cobalamin hypersensitivity, consider administering an intradermal test dose of parenteral vitamin B12 prior to use of Cyanocobalamin Nasal Spray [see Warnings and Precautions (5.2)].

5.3 Masking of Folate Deficiency With Vitamin B12 Use

Doses of vitamin B12 exceeding 10 mcg daily may produce hematologic response in patients with folate deficient megaloblastic anemia and may therefore mask a previously unrecognized folate deficiency. Vitamin B12 is not a substitute for folic acid [see Dosage and Administration (2.4)]. Assess both vitamin B12 and folate levels prior to initiating therapy with vitamin B12, including Cyanocobalamin Nasal Spray, or with folic acid [see Dosage and Administration (2.1) ].

13.3 Carcinogenesis, Mutagenesis, Impairment of Fertility

Long-term studies in animals to evaluate carcinogenic potential have not been done.

5.1 Severe Optic Atrophy in Patients With Leber’s Disease

Patients with early Leber's disease (hereditary optic nerve atrophy) who were treated with vitamin B12 suffered severe and swift optic atrophy. Cyanocobalamin products, including

Cyanocobalamin Nasal Spray, is not recommended for use in patients with Leber's optic atrophy. For patients with Leber's disease requiring vitamin B12, consider alternative therapy (e.g., hydroxocobalamin) for B12 supplementation.

2.3 Monitoring, Dosage Modifications, and Treatment Duration

Monitoring for Response and Safety

Monitor serum B12 levels periodically during therapy to establish adequacy of therapy. Obtain a serum B12 level and peripheral blood count one month after treatment initiation, then subsequently at intervals of 3 to 6 months [see Warnings and Precautions (5.3)].

Dosage Modifications

If serum levels of B12 decline after one month of treatment with Cyanocobalamin Nasal Spray, consider increasing the dose. Assess serum B12 level one month after each dose adjustment. If serum B12 levels are persistently low, consider alternative therapy (e.g., intramuscular or subcutaneous vitamin B12 therapy).

Treatment Duration

In patients whose underlying cause of vitamin B12 deficiency has been corrected and are deemed no longer at risk for vitamin B12 deficiency, discontinue Cyanocobalamin Nasal Spray. The safety and effectiveness of continued long-term use in these individuals has not been established.

In patients with pernicious anemia, continue appropriate vitamin B12 treatment indefinitely.

2.4 Administration of Cyanocobalamin Nasal Spray With Other Therapy
  • Cyanocobalamin Nasal Spray should be administered with other therapy(ies) in:
  • Patients with concurrent folate and vitamin B12 deficiency: Administer folic acid in addition to Cyanocobalamin Nasal Spray
  • Patients with concurrent iron and vitamin B12 deficiency:  Administer iron in addition to Cyanocobalamin Nasal Spray
  • Patients with correctible causes of vitamin B12 deficiency: Consider measures to treat the underlying condition associated with vitamin B12 deficiency in addition to treatment with Cyanocobalamin Nasal Spray
5.4 Hypokalemia and Thrombocytosis Due to Intense Treatment of Megaloblastic Anemia

Hypokalemia and sudden death may occur in severe megaloblastic anemia that is treated intensely with vitamin B12. Hypokalemia and thrombocytosis can occur upon conversion of severe megaloblastic anemia to normal erythropoiesis with vitamin B12 therapy. Therefore, serum potassium levels and platelet count should be monitored carefully during therapy [see Dosage and Administration (2.3)].


Structured Label Content

8.1 Pregnancy

Risk Summary

The limited available data on Cyanocobalamin Nasal Spray in pregnant women are insufficient to inform a drug-associated risk of adverse developmental outcomes. However, vitamin B12 is an essential vitamin and requirements are increased during pregnancy.

Animal reproduction studies have not been conducted with vitamin B12.

The estimated background risk of major birth defects and miscarriage for the indicated population is unknown. In the U.S. general population, the estimated background risks of major birth defects and miscarriage in clinically recognized pregnancies is 2-4% and 15-20%, respectively.

8.6 Lactation

Risk Summary

Vitamin B12 is present in the milk of lactating women in concentrations which approximate the mother's vitamin B12 blood level. Vitamin B12 does not appear to pose more than a minimal risk to breastfeeding children.

11 Description (11 DESCRIPTION)

Cyanocobalamin is a synthetic form of vitamin B12. The chemical name is 5,6-dimethyl-benzimidazolyl cyanocobamide. The cobalt content is 4.35%. The molecular formula is C63H88CoN14O14P, which corresponds to a molecular weight of 1355.38 and the following structural formula:

Figure 1. Cyanocobalamin Chemical Structure

Cyanocobalamin occurs as red to purplish red crystalline powder or small crystals. It is very hygroscopic in the anhydrous form, and sparingly to moderately soluble in water (1:80). Its pharmacologic activity is destroyed by heavy metals (iron) and strong oxidizing or reducing agents (vitamin C), but not by autoclaving for short periods of time (15-20 minutes) at 121°C. The vitamin B12 coenzymes are very unstable in light.

Cyanocobalamin Nasal Spray is a solution of cyanocobalamin, USP (vitamin B12) for administration as a spray to the nasal mucosa. Each single-use device of Cyanocobalamin Nasal Spray contains 0.125 mL of a 500 mcg/0.1 mL solution of cyanocobalamin with, benzalkonium chloride in purified water, citric acid, glycerin and sodium citrate. The spray solution has a pH between 4.5 and 5.5. Each spray delivers an average of 500 mcg of cyanocobalamin per actuation.

8.4 Pediatric Use

Safety and effectiveness have not been established in pediatric patients.

8.5 Geriatric Use

Clinical studies of Cyanocobalamin Nasal Spray did not include sufficient numbers of subjects aged 65 and over to determine whether they respond differently from younger subjects. Other reported clinical experience has not identified differences in responses between the elderly and younger patients.

4 Contraindications (4 CONTRAINDICATIONS)

Cyanocobalamin Nasal Spray is contraindicated in patients with hypersensitivity to cobalt and/or vitamin B12 or any of its excipients [see Warnings and Precautions (5.2)]. Anaphylactic shock and death have been reported after parenteral vitamin B12 administration in sensitive patients.

6 Adverse Reactions (6 ADVERSE REACTIONS)

The following serious adverse reactions are described elsewhere in the labeling:

7 Drug Interactions (7 DRUG INTERACTIONS)

Chloramphenicol may decrease the efficacy of Cyanocobalamin Nasal Spray when used for treatment of anemia. If Cyanocobalamin Nasal Spray is used for the treatment of anemia concomitantly with chloramphenicol, monitor for reduced efficacy and if needed, consider an alternative therapy.

Patient Information (PATIENT INFORMATION)

Cyanocobalamin Nasal Spray

Cyanocobalamin Nasal Spray is for use in your nose only.

What is Cyanocobalamin Nasal Spray?

Cyanocobalamin Nasal Spray is a prescription medicine used:

  • for maintenance therapy to treat vitamin B12 deficiency (low levels of vitamin B12) in adults with pernicious anemia who achieved healthy vitamin B12 levels after receiving vitamin B12 shots and do not have nervous system problems.
  • to treat vitamin B12 deficiency caused by:
  • certain food limitations,
  • other medicines that cause vitamin B12 deficiency, or
  • lack of absorption (malabsorption) that are not related to pernicious anemia.
  • to prevent vitamin B12 deficiency in adults who require higher amounts of vitamin B12. Cyanocobalamin Nasal Spray should not be used for a vitamin B12 absorption test known as the Schilling test.

In people that have corrected or have fixed their short-term causes of vitamin B12 deficiency, the benefit of continued long-term use of Cyanocobalamin Nasal Spray is not known after vitamin B12 deficiency has been corrected.

It is not known if Cyanocobalamin Nasal Spray is effective in people that currently have a stuffy nose, allergies or an upper respiratory infection. You should wait until these symptoms have gone away before using Cyanocobalamin Nasal Spray.

It is not known if Cyanocobalamin Nasal Spray is safe and effective in children.

Do not use Cyanocobalamin Nasal Spray if you are allergic to cobalt, vitamin B12, cyanocobalamin or any ingredients in Cyanocobalamin Nasal Spray.

See the end of this leaflet for a complete list of ingredients in Cyanocobalamin Nasal Spray.

Before you use Cyanocobalamin Nasal Spray, tell your healthcare provider about all of your medical conditions, including if you:

  • have a history of a certain disease that effects or weakens the optic nerve in your eye (early Leber's disease). Cyanocobalamin Nasal Spray is not recommended in people with Leber's optic atrophy.
  • have had an allergic reaction to vitamin B12 injections or intravenous (IV) infusion.
  • have low levels of folate or iron.
  • are pregnant or plan to become pregnant. It is not known if Cyanocobalamin Nasal Spray will harm your unborn baby.

Tell your healthcare provider about all the medicines you take, including prescription and over-the-counter medicines, vitamins, and herbal supplements.

How should I use Cyanocobalamin Nasal Spray?

  • See the Instructions for Use at the end of this leaflet for instructions on how to use Cyanocobalamin Nasal Spray.
  • You should use Cyanocobalamin Nasal Spray exactly as your healthcare provider tells you to use it.
  • Your healthcare provider will tell you how much Cyanocobalamin Nasal Spray to use and when to use it.
  • You should not use Cyanocobalamin Nasal Spray 1 hour before or 1 hour after eating hot foods or drinking hot liquids. Eating hot food or drinking hot liquids too soon before or after taking Cyanocobalamin Nasal Spray can cause you to have a runny nose and can affect the amount of Cyanocobalamin Nasal Spray you receive.
  • Your healthcare provider may do certain blood tests before you use Cyanocobalamin Nasal Spray and every 3 to 6 months while you are taking it.
  • Your healthcare provider may change your dose based on the results of your blood tests.

What are the possible side effects of Cyanocobalamin Nasal Spray?

Cyanocobalamin Nasal Spray can cause serious side effects, including:

  •   Weaken your eye nerve in patients with early Leber's disease . Tell your healthcare provider if you or your family has a history of early Leber's disease.
  •   Serious allergic reactions . Serious life-threatening allergic reactions including death have happened in people who have received vitamin B12 by injection or by intravenous (IV) infusion (parenteral). Tell your healthcare provider if you have ever had a reaction after you received vitamin B12 by injection or IV infusion.
  •   Hiding (masking) a folate deficiency . Your healthcare provider may do certain blood tests to check your vitamin B12 and folate levels.
  •   Low potassium levels (hypokalemia) and low blood platelets (thrombocytopenia) can happen in people with serious megaloblastic anemia. Your healthcare provider may monitor your potassium levels and platelets counts during your treatment with Cyanocobalamin Nasal Spray.

The most common side effects of Cyanocobalamin Nasal Spray include:

  • Infection
  • Headache
  • Feeling weak
  • Nausea
  • Swelling of your tongue
  • Runny nose
  • Tingling of the hands and feet

These are not all of the possible side effects of Cyanocobalamin Nasal Spray.

Call your doctor for medical advice about side effects. You may report side effects to FDA at 1-800-FDA-1088

General information about the safe and effective use of Cyanocobalamin Nasal Spray.

Medicines are sometimes prescribed for purposes other than those listed in a Patient Information leaflet. Do not use Cyanocobalamin Nasal Spray for a condition for which it was not prescribed. Do not give Cyanocobalamin Nasal Spray to other people, even if they have the same symptoms that you have. It may harm them. You can ask your pharmacist or healthcare provider for information about Cyanocobalamin Nasal Spray that is written for health professionals.

What are the ingredients in Cyanocobalamin Nasal Spray?

Active ingredient: cyanocobalamin

Inactive ingredients: benzalkonium chloride in purified water, citric acid, glycerin and sodium citrate.

Manufactured by:

Novel Laboratories,

Somerset, NJ 08873

Manufactured for:

Lupin Pharmaceuticals, Inc.

Baltimore, MD 21202

SAP Code: 273782

Rev: 07/2023

For more information, contact Lupin Pharmaceuticals, Inc. at 1-866-403-7592.

This Patient Information has been approved by the U.S. Food and Drug Administration.

Revised: 07/2023

Instructions for Use (INSTRUCTIONS FOR USE)

Cyanocobalamin Nasal Spray

Cyanocobalamin Nasal Spray is for use in your nose only.

Read this Instructions for Use before you start using Cyanocobalamin Nasal Spray and each time you get a refill. There may be new information. This information does not take the place of talking to your healthcare provider about your medical condition or your treatment.

Your healthcare provider should teach you how to use Cyanocobalamin Nasal Spray before you use it for the first time. If you have any questions or do not understand the instructions, talk with your healthcare provider or pharmacist.

Cyanocobalamin Nasal Spray contains only 1 spray. You do not need to prime Cyanocobalamin Nasal Spray before you use it.

If you are eating hot foods or liquids, use Cyanocobalamin Nasal Spray at least one hour before or one hour afterwards because eating hot food or drinking hot liquids too soon before or after taking Cyanocobalamin Nasal Spray can cause you to have a runny nose and can affect the amount of Cyanocobalamin Nasal Spray you receive.

How to use Cyanocobalamin Nasal Spray?

Step 1. Blow your nose gently to clear both nostrils.

Step 2. Hold Cyanocobalamin Nasal Spray with your thumb on the bottom and your index (pointer) finger and middle finger on either side of the nozzle (see Figure A).

Step 3. Gently close 1 side of your nose (nostril) with your other index finger. Insert the nozzle into the open nostril about half an inch or as far as it feels comfortable and tilt your head slightly forward (see Figure B). Do not press the plunger yet.

Step 4. Breathe in gently through your nose, close your mouth, and at the same time press the plunger firmly upwards with your thumb.

Step 5. Remove the nozzle from your nostril. At the same time, keep your head straight for 10 to 20 seconds while gently breathing in through your nose and breathing out through your mouth.

How to dispose of (throw away) Cyanocobalamin Nasal Spray?

Cyanocobalamin Nasal Spray can be disposed of in your household trash. Place the Cyanocobalamin Nasal Spray nasal spray in a container such as a zip- top or sealable plastic bag, and throw the container away in your household trash.

This Instructions for Use has been approved by the U.S. Food and Drug Administration

Revised: 07/2023

12.2 Pharmacodynamics

Parenteral (intramuscular) administration of vitamin B12 completely reverses the megaloblastic anemia and GI symptoms of vitamin B12 deficiency; the degree of improvement in neurologic symptoms depends on the duration and severity of the lesions, although progression of the lesions is immediately arrested. In pernicious anemia patients, once weekly intranasal dosing with 500 mcg B12 gel resulted in a consistent increase in pre-dose serum B12 levels during one month of treatment (p < 0.003) above that seen one month after 100 mcg intramuscular dose (Figure 2).

Figure 2. Vitamin B12 Serum Trough Levels After Intramuscular Solution (IM) of 100 mcg and Nasal Gel (IN) Administration of 500 mcg Cyanocobalamin After Weekly Doses.

2.2 Recommended Dosage

The recommended initial dose of Cyanocobalamin Nasal Spray is one spray (500 mcg) administered in ONE nostril once weekly. Administer Cyanocobalamin Nasal Spray at least one hour before or one hour after ingestion of hot foods or liquids since hot foods may cause nasal secretions and a resulting loss of medication. Defer use of Cyanocobalamin Nasal Spray in patients with nasal congestion, allergic rhinitis, or upper respiratory infections until after symptoms have subsided.

1 Indications and Usage (1 INDICATIONS AND USAGE)

Cyanocobalamin Nasal Spray is indicated for:

  • Vitamin B12 maintenance therapy in adult patients with pernicious anemia who are in remission following intramuscular vitamin B12 therapy and who have no nervous system involvement
  • Treatment of adult patients with dietary, drug-induced, or malabsorption-related vitamin B12 deficiency not due to pernicious anemia
  • Prevention of vitamin B12 deficiency in adult patients with vitamin B12 requirements in excess of normal

Limitations of Use:

  • Cyanocobalamin Nasal Spray should not be used for the vitamin B12 absorption test (Schilling test).
  • In patients with correctible or temporary causes of vitamin B12 deficiency, the benefit of continued long  term use of Cyanocobalamin Nasal Spray following adequate correction of vitamin B12 deficiency and underlying disease has not been established.
  • The effectiveness of Cyanocobalamin Nasal Spray in patients with active symptoms of nasal congestion, allergic rhinitis or upper respiratory infection has not been determined. Treatment with Cyanocobalamin Nasal Spray should be deferred until symptoms have subsided.
12.1 Mechanism of Action

Vitamin B12 can be converted to coenzyme B12 in tissues, and as such is essential for conversion of methylmalonate to succinate and synthesis of methionine from homocysteine, a reaction which also requires folate. In the absence of coenzyme B12, tetrahydrofolate cannot be regenerated from its inactive storage form, 5-methyltetrahydrofolate, and a functional folate deficiency occurs. Vitamin B12 also may be involved in maintaining sulfhydryl (SH) groups in the reduced form required by many SH-activated enzyme systems. Through these reactions, vitamin B12 is associated with fat and carbohydrate metabolism and protein synthesis.

5 Warnings and Precautions (5 WARNINGS AND PRECAUTIONS)
  • Severe Optic Atrophy in Patients with Leber's Disease : Patients with early Leber's disease who were treated with vitamin B12 suffered severe and swift optic atrophy. Cyanocobalamin Nasal Spray is not recommended for use in these patients (5.1)
  • Anaphylactic Reactions : Anaphylactic shock and death have been reported after parenteral vitamin B12 administration. If patients are to start Cyanocobalamin Nasal Spray before having tolerated cyanocobalamin parenterally, consider administering an intradermal test dose of parenteral vitamin B12 to patients suspected of cyanocobalamin hypersensitivity. (2.1, 5.2)
  • Masking of Folate Deficiency with Vitamin B12 Use : Doses of vitamin B12 exceeding 10 mcg daily may produce hematologic response in patients with folate deficient megaloblastic anemia and may therefore mask a previously unrecognized folate deficiency. Assess both vitamin B12 and folate levels prior to initiating therapy with Cyanocobalamin Nasal Spray or with folic acid. (5.3)
  • Hypokalemia and Thrombocytosis Due to Intense Treatment of Megaloblastic Anemia : Hypokalemia and sudden death may occur in severe megaloblastic anemia that is treated intensely with vitamin B12. Monitor serum potassium levels and platelet count during therapy. (5.4)
  • Unmasking of Polycythemia Vera : Vitamin B12 deficiency may suppress the signs of polycythemia vera. Treatment with Cyanocobalamin Nasal Spray may unmask this condition. Patients exhibiting clinical or hematologic response consistent with polycythemia vera should be referred for further evaluation. (5.5)
5.2 Anaphylactic Reactions

Anaphylactic shock and death have been reported after parenteral vitamin B12 administration. If patients are to start Cyanocobalamin Nasal Spray before having tolerated cyanocobalamin parenterally, consider administering an intradermal test dose of parenteral vitamin B12 to patients suspected of cyanocobalamin hypersensitivity [see Dosage and Administration (2.1) ].

2 Dosage and Administration (2 DOSAGE AND ADMINISTRATION)
  • Prior to treatment, obtain hematocrit, reticulocyte count, vitamin B12, folate, and iron levels. (2.1)
  • The recommended initial dose is one spray (500 mcg) in one nostril once weekly. (2.2)
  • Administer at least one hour before or one hour after ingestion of hot foods or liquids. (2.2)
  • Monitor serum B12 levels periodically. Obtain a serum B12 level and peripheral blood count one month after treatment initiation, then subsequently at intervals of 3 to 6 months. (2.3)
  • If serum levels of B12 decline after one month of treatment, consider increasing the dose. Assess serum B12 level one month after each dose adjustment. If serum B12 levels are persistently low, consider alternative therapy (e.g., intramuscular or subcutaneous vitamin B12 therapy). (2.3)
  • See Full Prescribing Information to see what other therapies should be administered with Cyanocobalamin Nasal Spray. (2.4)
3 Dosage Forms and Strengths (3 DOSAGE FORMS AND STRENGTHS)

Nasal spray: 500 mcg/0.1 mL (per actuation), packaged in a single-use device containing 0.125 mL of solution

6.1 Clinical Trials Experience

Because clinical trials are conducted under widely varying conditions, adverse reaction rates observed in the clinical trials of a drug cannot be directly compared to rates in the clinical trials of another drug and may not reflect the rates observed in practice. The adverse reactions

described in Table 1 below are based on data from an eight week cross over trial in which vitamin B12 deficient patients in hematologic remission received one vitamin B12 intramuscular injection (N=25) and then received once weekly intranasal administration of another nasal cyanocobalamin formulation (N=24) for 4 weeks.

Table 1. Adverse Reactions Following Intranasal or Intramuscular Administration of Cyanocobalamin In Vitamin B12 Deficient Patients in Hematologic Remission
Adverse Reaction

Number of Patients (%)

Another Cyanocobalamin Nasal

Formulation, 500 mcg (n=24)

Intramuscular Cyanocobalamin*, 100 mcg (n=25)

Infectiona

3 (13)

3 (12)

Headache

1 (4)

5 (20)

Asthenia

1 (4)

4 (16)

Nausea

1 (4)

1 (4)

Glossitis

1 (4)

0 (0)

Paresthesia

1 (4)

1 (4)

Rhinitis

1 (4)

2 (8)

a Sore throat, common cold

* The data are not an adequate basis for comparison of rates between the study drug and the active control

12.4 Pharmacokinetics Absorption

Vitamin B12 is bound to intrinsic factor during transit through the stomach; separation occurs in the terminal ileum in the presence of calcium, and vitamin B12 enters the mucosal cell for absorption. It is then transported by the transcobalamin binding proteins. A small amount (approximately 1% of the total amount ingested) is absorbed by simple diffusion, but this mechanism is adequate only with very large doses.

A three way crossover study in 25 fasting healthy subjects was conducted to compare the bioavailability of the B12 nasal spray to the B12 nasal gel and to evaluate the relative bioavailability of the nasal formulations as compared to the intramuscular injection. The peak concentrations after administration of intranasal spray were reached in 1.25 +/ 

1.9 hours. The mean peak plasma concentration (Cmax) of B12, obtained after baseline correction, following administration of intranasal spray were 748 +/-549 pg/mL.

The bioavailability of the B12 nasal spray was found to be 10% less than the B12 nasal gel.

Distribution

In the blood, B12 is bound to transcobalamin II, a specific B-globulin carrier protein, and is distributed and stored primarily in the liver and bone marrow.

Elimination

About 3-8 mcg of B12 is secreted into the GI tract daily via the bile and undergoes some enterohepatic recycling; in normal subjects with sufficient intrinsic factor, all but about 1 mcg is reabsorbed. When B12 is administered in doses which saturate the binding capacity of plasma proteins and the liver, the unbound B12 is rapidly eliminated in the urine. Retention of B12 in the body is dose-dependent. About 80-90% of an intramuscular dose up to 50 mcg is retained in the body; this percentage drops to 55% for a 100 mcg dose, and decreases to 15% when a 1000 mcg dose is given.

17 Patient Counseling Information (17 PATIENT COUNSELING INFORMATION)

Advise the patient to read the FDA-approved patient labeling (Instructions for Use).

Importance of Adherence to Therapy and Follow-up

Advise patients of the importance of adhering to therapy to prevent the development, recurrence, or progression of

anemia and the development or progression of neurological manifestations.

Patients experiencing symptomatic nasal congestion, allergic rhinitis or an upper respiratory infection should be advised to defer treatment with Cyanocobalamin Nasal Spray until symptoms have subsided.

Counsel patients on the importance of returning for follow-up blood tests every 3 to 6 months to confirm adequacy of therapy [see Dosage and Administration (2.3)].

Specific Instructions for Administration

Advise patients to administer Cyanocobalamin Nasal Spray at least one hour before or one hour after ingestion of hot foods or liquids since hot foods may cause nasal secretions and a resulting loss of medication.

Use of Nasal Spray Device

Provide patients with instructions on nasal administration of Cyanocobalamin Nasal Spray. In addition to alerting patients to the instructions contained in the Instructions For Use and instructions supplied on each carton, demonstrate procedures for use to each patient.

Manufactured by:

Novel Laboratories

Somerset, NJ 08873

Manufactured for:

Lupin Pharmaceuticals, Inc

Baltimore, MD 21202

SAP Code: 273782

Rev. 07/2023

5.5 Unmasking of Polycythemia Vera

Vitamin B12 deficiency may suppress the signs of polycythemia vera. Treatment with vitamin B12 may unmask this condition. Patients exhibiting clinical or hematologic response consistent with polycythemia vera should be referred for further evaluation.

16 How Supplied/storage and Handling (16 HOW SUPPLIED/STORAGE AND HANDLING)

Cyanocobalamin Nasal Spray is a nasal spray available in a dosage strength of 500 mcg cyanocobalamin/0.1 mL (per actuation). It is supplied in boxes of 4 single-use nasal spray devices and a package insert (NDC 43386-237-70).

Protect from light. Keep covered in carton until ready to use. Store upright at controlled room temperature 15°C to 30°C (59°F to 86°F). Protect from freezing.

Package Label.principal Display Panel (PACKAGE LABEL.PRINCIPAL DISPLAY PANEL)
2.1 Testing and Other Considerations Prior to Dosing

Prior to treatment, obtain hematocrit, reticulocyte count, vitamin B12, folate, and iron levels [see Dosage and Administration (2.4)]. Consider the potential for concomitant drugs to interfere with vitamin B12 and folate diagnostic blood assays [see Drug Interactions (7)].

In patients with suspected cobalamin hypersensitivity, consider administering an intradermal test dose of parenteral vitamin B12 prior to use of Cyanocobalamin Nasal Spray [see Warnings and Precautions (5.2)].

5.3 Masking of Folate Deficiency With Vitamin B12 Use (5.3 Masking of Folate Deficiency with Vitamin B12 Use)

Doses of vitamin B12 exceeding 10 mcg daily may produce hematologic response in patients with folate deficient megaloblastic anemia and may therefore mask a previously unrecognized folate deficiency. Vitamin B12 is not a substitute for folic acid [see Dosage and Administration (2.4)]. Assess both vitamin B12 and folate levels prior to initiating therapy with vitamin B12, including Cyanocobalamin Nasal Spray, or with folic acid [see Dosage and Administration (2.1) ].

13.3 Carcinogenesis, Mutagenesis, Impairment of Fertility

Long-term studies in animals to evaluate carcinogenic potential have not been done.

5.1 Severe Optic Atrophy in Patients With Leber’s Disease (5.1 Severe Optic Atrophy in Patients with Leber’s Disease)

Patients with early Leber's disease (hereditary optic nerve atrophy) who were treated with vitamin B12 suffered severe and swift optic atrophy. Cyanocobalamin products, including

Cyanocobalamin Nasal Spray, is not recommended for use in patients with Leber's optic atrophy. For patients with Leber's disease requiring vitamin B12, consider alternative therapy (e.g., hydroxocobalamin) for B12 supplementation.

2.3 Monitoring, Dosage Modifications, and Treatment Duration

Monitoring for Response and Safety

Monitor serum B12 levels periodically during therapy to establish adequacy of therapy. Obtain a serum B12 level and peripheral blood count one month after treatment initiation, then subsequently at intervals of 3 to 6 months [see Warnings and Precautions (5.3)].

Dosage Modifications

If serum levels of B12 decline after one month of treatment with Cyanocobalamin Nasal Spray, consider increasing the dose. Assess serum B12 level one month after each dose adjustment. If serum B12 levels are persistently low, consider alternative therapy (e.g., intramuscular or subcutaneous vitamin B12 therapy).

Treatment Duration

In patients whose underlying cause of vitamin B12 deficiency has been corrected and are deemed no longer at risk for vitamin B12 deficiency, discontinue Cyanocobalamin Nasal Spray. The safety and effectiveness of continued long-term use in these individuals has not been established.

In patients with pernicious anemia, continue appropriate vitamin B12 treatment indefinitely.

2.4 Administration of Cyanocobalamin Nasal Spray With Other Therapy (2.4 Administration of Cyanocobalamin Nasal Spray with Other Therapy)
  • Cyanocobalamin Nasal Spray should be administered with other therapy(ies) in:
  • Patients with concurrent folate and vitamin B12 deficiency: Administer folic acid in addition to Cyanocobalamin Nasal Spray
  • Patients with concurrent iron and vitamin B12 deficiency:  Administer iron in addition to Cyanocobalamin Nasal Spray
  • Patients with correctible causes of vitamin B12 deficiency: Consider measures to treat the underlying condition associated with vitamin B12 deficiency in addition to treatment with Cyanocobalamin Nasal Spray
5.4 Hypokalemia and Thrombocytosis Due to Intense Treatment of Megaloblastic Anemia

Hypokalemia and sudden death may occur in severe megaloblastic anemia that is treated intensely with vitamin B12. Hypokalemia and thrombocytosis can occur upon conversion of severe megaloblastic anemia to normal erythropoiesis with vitamin B12 therapy. Therefore, serum potassium levels and platelet count should be monitored carefully during therapy [see Dosage and Administration (2.3)].


Advanced Ingredient Data


Raw Label Data

All Sections (JSON)