These Highlights Do Not Include All The Information Needed To Use Doxazosin Tablets Safely And Effectively. See Full Prescribing Information For Doxazosin Tablets.

These Highlights Do Not Include All The Information Needed To Use Doxazosin Tablets Safely And Effectively. See Full Prescribing Information For Doxazosin Tablets.
SPL v7
SPL
SPL Set ID ef8b5534-5939-400a-ad5e-f9ceaefc4097
Route
ORAL
Published
Effective Date 2024-09-11
Document Type 34391-3 HUMAN PRESCRIPTION DRUG LABEL

Drug Facts

Composition & Product

Active Ingredients
Doxazosin (2 mg)
Inactive Ingredients
Microcrystalline Cellulose Lactose Monohydrate Sodium Starch Glycolate Type A Potato Sodium Lauryl Sulfate Ferric Oxide Yellow

Identifiers & Packaging

Pill Appearance
Imprint: C7 Shape: round Color: yellow Size: 7 mm Score: 2
Marketing Status
ANDA Active Since 2017-06-14

Description

Doxazosin tablets, USP are an alpha 1 adrenergic antagonist indicated for: Signs and symptoms of Benign Prostatic Hyperplasia (BPH) Treatment of Hypertension

Indications and Usage

Doxazosin tablets, USP are an alpha 1 adrenergic antagonist indicated for: Signs and symptoms of Benign Prostatic Hyperplasia (BPH) Treatment of Hypertension

Dosage and Administration

For the treatment of BPH: Initiate therapy at 1 mg once daily. Dose may be titrated at 1 to 2-week intervals, up to 8 mg once daily. ( 2.2 ) For the treatment hypertension: Initiate therapy at 1 mg once daily. Dose may be titrated as needed, up to 16 mg once daily. ( 2.3 ) 

Warnings and Precautions

Postural hypotension with or without syncope may occur. ( 5.1 ) Risk of Intraoperative Floppy Iris Syndrome during cataract surgery. ( 5.2 ) Screen for the presence of prostate cancer prior to treatment for BPH and at regular intervals afterwards. ( 5.3 )

Contraindications

The use of doxazosin tablets is contraindicated in patients with a hypersensitivity to doxazosin, other quinazolines (e.g., prazosin, terazosin), or any of its components.

Adverse Reactions

The most commonly reported adverse reactions from clinical trials are Fatigue, malaise, hypotension, and dizziness. ( 6.1 ) To report SUSPECTED ADVERSE REACTIONS, contact Accord Healthcare Inc. at 1-866-941-7875 or FDA at 1-800-FDA-1088 or www.fda.gov/medwatch .

Drug Interactions

Strong cytochrome P450 (CYP) 3A inhibitors may increase exposure to doxazosin and increased risk of hypotension ( 7.1 ) Concomitant administration of doxazosin with a phosphodiesterase-5 (PDE-5) inhibitor can result in additive blood pressure lowering effects and symptomatic hypotension. ( 7.2 )

Storage and Handling

2 mg: Cream to yellow colored, round, biconvex uncoated tablets, debossed with “C7” on one side and breakline on other side, may have mottled appearance NDC: 71335-0309-1: 30 Tablets in a BOTTLE NDC: 71335-0309-2: 60 Tablets in a BOTTLE NDC: 71335-0309-3: 90 Tablets in a BOTTLE NDC: 71335-0309-4: 28 Tablets in a BOTTLE NDC: 71335-0309-5: 18 Tablets in a BOTTLE Recommended Storage: Store at 20°C to 25°C (68°F to 77°F); excursions permitted to 15°C to 30°C (59°F to 86°F) [see USP Controlled Room Temperature]. Repackaged/Relabeled by: Bryant Ranch Prepack, Inc. Burbank, CA 9150

How Supplied

2 mg: Cream to yellow colored, round, biconvex uncoated tablets, debossed with “C7” on one side and breakline on other side, may have mottled appearance NDC: 71335-0309-1: 30 Tablets in a BOTTLE NDC: 71335-0309-2: 60 Tablets in a BOTTLE NDC: 71335-0309-3: 90 Tablets in a BOTTLE NDC: 71335-0309-4: 28 Tablets in a BOTTLE NDC: 71335-0309-5: 18 Tablets in a BOTTLE Recommended Storage: Store at 20°C to 25°C (68°F to 77°F); excursions permitted to 15°C to 30°C (59°F to 86°F) [see USP Controlled Room Temperature]. Repackaged/Relabeled by: Bryant Ranch Prepack, Inc. Burbank, CA 9150


Medication Information

Warnings and Precautions

Postural hypotension with or without syncope may occur. ( 5.1 ) Risk of Intraoperative Floppy Iris Syndrome during cataract surgery. ( 5.2 ) Screen for the presence of prostate cancer prior to treatment for BPH and at regular intervals afterwards. ( 5.3 )

Indications and Usage

Doxazosin tablets, USP are an alpha 1 adrenergic antagonist indicated for: Signs and symptoms of Benign Prostatic Hyperplasia (BPH) Treatment of Hypertension

Dosage and Administration

For the treatment of BPH: Initiate therapy at 1 mg once daily. Dose may be titrated at 1 to 2-week intervals, up to 8 mg once daily. ( 2.2 ) For the treatment hypertension: Initiate therapy at 1 mg once daily. Dose may be titrated as needed, up to 16 mg once daily. ( 2.3 ) 

Contraindications

The use of doxazosin tablets is contraindicated in patients with a hypersensitivity to doxazosin, other quinazolines (e.g., prazosin, terazosin), or any of its components.

Adverse Reactions

The most commonly reported adverse reactions from clinical trials are Fatigue, malaise, hypotension, and dizziness. ( 6.1 ) To report SUSPECTED ADVERSE REACTIONS, contact Accord Healthcare Inc. at 1-866-941-7875 or FDA at 1-800-FDA-1088 or www.fda.gov/medwatch .

Drug Interactions

Strong cytochrome P450 (CYP) 3A inhibitors may increase exposure to doxazosin and increased risk of hypotension ( 7.1 ) Concomitant administration of doxazosin with a phosphodiesterase-5 (PDE-5) inhibitor can result in additive blood pressure lowering effects and symptomatic hypotension. ( 7.2 )

Storage and Handling

2 mg: Cream to yellow colored, round, biconvex uncoated tablets, debossed with “C7” on one side and breakline on other side, may have mottled appearance NDC: 71335-0309-1: 30 Tablets in a BOTTLE NDC: 71335-0309-2: 60 Tablets in a BOTTLE NDC: 71335-0309-3: 90 Tablets in a BOTTLE NDC: 71335-0309-4: 28 Tablets in a BOTTLE NDC: 71335-0309-5: 18 Tablets in a BOTTLE Recommended Storage: Store at 20°C to 25°C (68°F to 77°F); excursions permitted to 15°C to 30°C (59°F to 86°F) [see USP Controlled Room Temperature]. Repackaged/Relabeled by: Bryant Ranch Prepack, Inc. Burbank, CA 9150

How Supplied

2 mg: Cream to yellow colored, round, biconvex uncoated tablets, debossed with “C7” on one side and breakline on other side, may have mottled appearance NDC: 71335-0309-1: 30 Tablets in a BOTTLE NDC: 71335-0309-2: 60 Tablets in a BOTTLE NDC: 71335-0309-3: 90 Tablets in a BOTTLE NDC: 71335-0309-4: 28 Tablets in a BOTTLE NDC: 71335-0309-5: 18 Tablets in a BOTTLE Recommended Storage: Store at 20°C to 25°C (68°F to 77°F); excursions permitted to 15°C to 30°C (59°F to 86°F) [see USP Controlled Room Temperature]. Repackaged/Relabeled by: Bryant Ranch Prepack, Inc. Burbank, CA 9150

Description

Doxazosin tablets, USP are an alpha 1 adrenergic antagonist indicated for: Signs and symptoms of Benign Prostatic Hyperplasia (BPH) Treatment of Hypertension

Section 42230-3
  This Patient Information has been approved by the U.S. Food and Drug Administration                                                                                                                                       Revised: 7/2024
PATIENT INFORMATION

Doxazosin Tablets

(dox AY’ zo sin)
What are doxazosin tablets?
Doxazosin tablets are a prescription medicine that contains doxazosin mesylate and is called an “alpha-blocker”. Doxazosin tablets are used to treat:
  • the symptoms of benign prostatic hyperplasia (BPH)
  • high blood pressure (hypertension)
It is not known if doxazosin tablets are safe and effective in children.
Who should not take doxazosin tablets?
Do not take doxazosin tablets if you:
  • are allergic to doxazosin, other quinazolines, or any of the ingredients in doxazosin tablets. See the end of this Patient Information leaflet for a complete list of ingredients in doxazosin tablets.
What should I tell my healthcare provider before taking doxazosin tablets?
Before taking doxazosin tablets, tell your healthcare provider about all of your medical conditions, including if you:
  • have had low blood pressure, especially after taking other medicine. Signs of low blood pressure include fainting, dizziness, and lightheadedness.
  • have any planned eye surgery
  • have prostate cancer or a history of prostate cancer. Your healthcare provider may have you checked for prostate cancer before you start taking and while you take doxazosin tablets.
  • have liver problems
  • are pregnant or plan to become pregnant. It is not known if doxazosin tablets will harm your unborn baby.
  • are breastfeeding or plan to breastfeed. It is not known if doxazosin tablets passes into your breastmilk. Talk to your healthcare provider about the best way to feed your baby if you take doxazosin tablets.
Tell your healthcare provider about all the medicines you take,including prescription and over-the-counter medicines, vitamins, and herbal supplements. Doxazosin tablets may affect the way other medicines work, and other medicines may affect the way doxazosin tablets works causing side effects.
Especially tell your healthcare provider if you take:
  • other medicine for high blood pressure or medicine to treat erectile dysfunction (ED) called a phosphodiesterase type 5 (PDE-5) inhibitor. The use of doxazosin tablets with PDE-5 inhibitors can lead to a drop in blood pressure or to fainting.
Know the medicines you take. Keep a list of them to show your healthcare provider and pharmacist when you get a new medicine.
How should I take doxazosin tablets?
  • Take doxazosin tablets exactly as your healthcare provider tells you to take it.
  • Your healthcare provider will tell you how much doxazosin tablets to take and when to take it.
  • Your healthcare provider may need to change your dose of doxazosin tablets until it is the right dose for you.

What should I avoid while taking doxazosin tablets?

Do not drive or perform any hazardous task until at least 24 hours after you have taken doxazosin tablets if you are taking:
  • your first dose of doxazosin tablets
  • Doxazosin tablets for the first time afteryour healthcare provider has increased your dose of doxazosin tablets
  • Doxazosin tablets for the first time afterany breaks (interruptions) in your treatment with doxazosin tablets
What are the possible side effects of doxazosin tablets?
Doxazosin tablets may cause serious side effects, including:
  • A sudden drop in blood pressure, especially when you first start treatment or when there is an increase in your dose of doxazosin tablets, is common but can also be serious. This may cause you to faint, or to feel dizzy or lightheaded. Your risk of having this problem may be increased if you take doxazosin tablets with certain other medicines that lower blood pressure including PDE-5 inhibitors. Your healthcare provider may monitor your blood pressure while you take doxazosin tablets. See " What should I avoid while taking doxazosin tablets?"
  • Eye problems during cataract surgery. A condition called Intraoperative Floppy Iris Syndrome (IFIS) can happen during cataract surgery if you take or have taken alpha-blockers such as doxazosin tablets. If you need to have cataract surgery, be sure to tell your healthcare provider if you take or have taken doxazosin tablets.
  • A painful erection that will not go away. doxazosin tablets can cause a painful erection (priapism), which cannot be relieved by having sex. If this happens, get medical help right away. If priapism is not treated, you may not be able to get an erection in the future.
The most common side effects of doxazosin tablets are:
  • weakness or lack of energy (asthenia)
  • dizziness
Tell your healthcare provider if you have any side effect that bothers you or that does not go away. These are not all the possible side effects of doxazosin tablets. For more information, ask your healthcare provider or pharmacist.
Call your doctor for medical advice about side effects. You may report side effects to FDA at 1-800-FDA-1088.
General information about the safe and effective use of doxazosin tablets.
Medicines are sometimes prescribed for purposes other than those listed in a Patient Information leaflet. Do not use doxazosin tablets for a condition for which it was not prescribed. Do not give doxazosin tablets to other people, even if they have the same symptoms you have. It may harm them.
This Patient Information leaflet summarizes the most important information about doxazosin tablets. For more information, ask your healthcare provider. You can ask your healthcare provider or pharmacist for information that is written for healthcare professionals.

For more information, go to www.accordhealthcare.usor call Accord Healthcare Inc. at 1-866-941-7875.
What are the ingredients in doxazosin tablets?

Active ingredient: doxazosin

Inactive ingredients: lactose monohydrate, microcrystalline cellulose, sodium lauryl sulfate, magnesium stearate and sodium starch glycolate. The 2 mg & 4 mg tablet contains ferric oxide yellow.

Manufactured For:

Accord Healthcare, Inc.,

8041 Arco Corporate Drive,

Suite 200,

Raleigh, NC 27617,

USA.

Manufactured By:

Intas Pharmaceuticals Limited,

Ahmedabad-380 054, India.

10 0858 4 6031202

Section 51945-4

Doxazosin Mesylate 2 mg Tablets

5.4 Priapism

Alpha 1antagonists, including doxazosin, have been associated with priapism (painful penile erection, sustained for hours and unrelieved by sexual intercourse or masturbation). This condition can lead to permanent impotence if not promptly treated.

10 Overdosage

Experience with doxazosin overdosage is limited. Two adolescents, who each intentionally ingested 40 mg doxazosin with diclofenac or acetaminophen, were treated with gastric lavage with activated charcoal and made full recoveries. A two-year-old child who accidently ingested 4 mg doxazosin was treated with gastric lavage and remained normotensive during the five-hour emergency room observation period. A six-month-old child accidentally received a crushed 1 mg tablet of doxazosin and was reported to have been drowsy. A 32-year-old female with chronic renal failure, epilepsy, and depression intentionally ingested 60 mg doxazosin (blood level = 0.9 mcg/mL; normal values in hypertensives = 0.02 mcg/mL); death was attributed to a grand mal seizure resulting from hypotension. A 39-year-old female who ingested 70 mg doxazosin, alcohol, and Dalmane ®(flurazepam) developed hypotension which responded to fluid therapy.

The oral LD 50of doxazosin is greater than 1000 mg/kg in mice and rats. The most likely manifestation of overdosage would be hypotension, for which the usual treatment would be intravenous infusion of fluid. As doxazosin is highly protein bound, dialysis would not be indicated.

8.1 Pregnancy

Risk Summary

The limited available data with doxazosin in pregnant women are not sufficient to inform a drug-associated risk for major birth defects and miscarriage. However, untreated hypertension during pregnancy can result in increased maternal risks [see Clinical Considerations] . In animal reproduction studies, no adverse developmental effects were observed when doxazosin was orally administered to pregnant rabbits and rats during the period of organogenesis at doses of up to 41 mg and 20 mg/kg, respectively (exposures in rabbits and rats were 10 and 4 times, respectively, the human AUC exposures with a 12 mg/day therapeutic dose). A dosage regimen of 82 mg/kg/day in the rabbit was associated with reduced fetal survival [see Data].

The estimated background risk of major birth defects and miscarriage for the indicated population is unknown. In the U.S. general population, the estimated background risk of major birth defects and miscarriage in clinically recognized pregnancies is 2 to 4% and 15 to 20%, respectively.

Clinical Considerations

Disease-associated maternal and/or embryo/fetal risk

Hypertension in pregnancy increases the maternal risk for pre-eclampsia, gestational diabetes, premature delivery, and delivery complications (e.g., need for cesarean section, and post-partum hemorrhage). Hypertension increases the fetal risk for intrauterine growth restriction and intrauterine death.

Data

Animal Data

Radioactivity was found to cross the placenta following oral administration of labelled doxazosin to pregnant rats. Studies in pregnant rabbits and rats at daily oral doses of up to 41 mg and 20 mg/kg, respectively (plasma drug concentrations of 10 and 4 times, respectively, the human AUC exposures with a 12 mg/day therapeutic dose), have revealed no evidence of adverse developmental effects. A dosage regimen of 82 mg/kg/day in the rabbit was associated with reduced fetal survival. In peri-and postnatal studies in rats, postnatal development at maternal doses of 40 mg or 50 mg/kg/day of doxazosin (about 8 times human AUC exposure with a 12 mg/day therapeutic dose) was delayed, as evidenced by slower body weight gain and slightly later appearance of anatomical features and reflexes.

8.2 Lactation

Risk Summary

There is limited information on the presence of doxazosin in human milk [see Data] . There is no information on the effects of doxazosin on the breastfeed infant or the effects on milk production.

Data

A single case study reports that doxazosin is present in human milk, which resulted in an infant dose of less than 1% of the maternal weight-adjusted dosage and a milk/plasma ratio of 0.1. However, these data are insufficient to confirm the presence of doxazosin in human milk.

11 Description

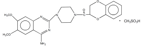
Doxazosin is a quinazoline compound that is a selective inhibitor of the alpha 1subtype of alpha-adrenergic receptors. The chemical name of doxazosin mesylate is 1-(4-amino-6,7-dimethoxy-2-quinazolinyl)-4-(1,4-benzodioxan-2-ylcarbonyl) piperazine methanesulfonate. The empirical formula for doxazosin mesylate is C 23H 25N 5O 5•CH 4O 3S and the molecular weight is 547.6. It has the following structure:

Doxazosin is freely soluble in dimethylsulfoxide, soluble in dimethylformamide, slightly soluble in methanol, ethanol, and water (0.8% at 25°C), and very slightly soluble in acetone and methylene chloride. Doxazosin tablets, USP are available as colored tablets for oral use and contains doxazosin mesylate equivalent to 1 mg (white to off white), 2 mg (cream to yellow), 4 mg (cream to yellow) and 8 mg (white to off white) of doxazosin as the free base.

The inactive ingredients for all tablets are: lactose monohydrate, microcrystalline cellulose, sodium lauryl sulfate, magnesium stearate and sodium starch glycolate. The 2 mg & 4 mg tablet contains ferric oxide yellow.

1.2 Hypertension

Doxazosin tablets, USP are indicated for the treatment of hypertension, to lower blood pressure. Lowering blood pressure reduces the risk of fatal and nonfatal cardiovascular events, primarily strokes and myocardial infarctions. These benefits have been seen in controlled trials of antihypertensive drugs from a wide variety of pharmacologic classes, including this drug.

Control of high blood pressure should be part of comprehensive cardiovascular risk management, including, as appropriate, lipid control, diabetes management, antithrombotic therapy, smoking cessation, exercise, and limited sodium intake. Many patients will require more than one drug to achieve blood pressure goals. For specific advice on goals and management, see published guidelines, such as those of the National High Blood Pressure Education Program’s Joint National Committee on Prevention, Detection, Evaluation, and Treatment of High Blood Pressure (JNC).

Numerous antihypertensive drugs, from a variety of pharmacologic classes and with different mechanisms of action, have been shown in randomized controlled trials to reduce cardiovascular morbidity and mortality, and it can be concluded that it is blood pressure reduction, and not some other pharmacologic property of the drugs, that is largely responsible for those benefits. The largest and most consistent cardiovascular outcome benefit has been a reduction in the risk of stroke, but reductions in myocardial infarction and cardiovascular mortality also have been seen regularly.

Elevated systolic or diastolic pressure causes increased cardiovascular risk, and the absolute risk increase per mmHg is greater at higher blood pressures, so that even modest reductions of severe hypertension can provide substantial benefit. Relative risk reduction from blood pressure reduction is similar across populations with varying absolute risk, so the absolute benefit is greater in patients who are at higher risk independent of their hypertension (for example, patients with diabetes or hyperlipidemia), and such patients would be expected to benefit from more aggressive treatment to a lower blood pressure goal.

Some antihypertensive drugs have smaller blood pressure effects (as monotherapy) in black patients, and many antihypertensive drugs have additional approved indications and effects (e.g., on angina, heart failure, or diabetic kidney disease). These considerations may guide selection of therapy.

Doxazosin tablets, USP may be used alone or in combination with other antihypertensives. 

2.3 Hypertension

The initial dosage of doxazosin tablets is 1 mg given once daily. Daily dosage may be doubled up 16 mg once daily, as needed, to achieve the desired reduction in blood pressure. 

14.2 Hypertension

In a pooled analysis of placebo-controlled hypertension studies with about 300 hypertensive patients per treatment group, doxazosin, at doses of 1 mg to 16 mg given once daily, lowered blood pressure at 24 hours by about 10/8 mmHg compared to placebo in the standing position and about 9/5 mmHg in the supine position. Peak blood pressure effects (1 to 6 hours) were larger by about 50 to 75% (i.e., trough values were about 55 to 70% of peak effect), with the larger peak-trough differences seen in systolic pressures. There was no apparent difference in the blood pressure response of Caucasians and blacks or of patients above and below age 65. In the same patient population, patients receiving doxazosin gained a mean of 0.6 kg compared to a mean loss of 0.1 kg for placebo patients.



TABLE 4

Mean Changes in Blood Pressure from Baseline to the Mean of the Final Efficacy Phase in Normotensives (Diastolic BP <90 mmHg)

                         in Two Double-blind, Placebo-controlled U.S. Studies with Doxazosin 1 mg to 8 mg once daily.

PLACEBO(N=85)

DOXAZOSIN(N=183)

Sitting BP (mmHg)

Baseline

Chang e

Baseline

Change

Systolic

128.4

–1.4

128.8

–4.9*

Diastolic

79.2

–1.2

79.6

–2.4*

Standing BP (mmHg)

Baseline

Change

Baseline

Change

Systolic

128.5

–0.6

128.5

–5.3*

Diastolic

80.5

–0.7

80.4

–2.6*

*p ≤ 0.05 compared to placebo

8.4 Pediatric Use

The safety and effectiveness of doxazosin have not been established in children.

8.5 Geriatric Use

Benign Prostatic Hyperplasia (BPH)

The safety and effectiveness profile of doxazosin was similar in the elderly (age ≥ 65 years) and younger (age < 65 years) patients.

Hypertension

Clinical studies of doxazosin did not include sufficient numbers of subjects aged 65 and over to determine whether they respond differently from younger subjects. Other reported clinical experience has not identified differences in responses between the elderly and younger patients.

In general, dose selection for an elderly patient should be cautious, usually starting at the low end of the dosing range, reflecting the greater frequency of decreased hepatic, renal or cardiac function, and of concomitant disease or other drug therapy.

4 Contraindications

The use of doxazosin tablets is contraindicated in patients with a hypersensitivity to doxazosin, other quinazolines (e.g., prazosin, terazosin), or any of its components.

5.3 Prostate Cancer

Carcinoma of the prostate causes many of the symptoms associated with BPH and the two disorders frequently co-exist. Carcinoma of the prostate should therefore be ruled out prior to commencing therapy with doxazosin for the treatment of BPH.

6 Adverse Reactions

The most commonly reported adverse reactions from clinical trials are Fatigue, malaise, hypotension, and dizziness. ( 6.1)



To report SUSPECTED ADVERSE REACTIONS, contact Accord Healthcare Inc. at 1-866-941-7875 or FDA at 1-800-FDA-1088 or www.fda.gov/medwatch.

7 Drug Interactions
  • Strong cytochrome P450 (CYP) 3A inhibitors may increase exposure to doxazosin and increased risk of hypotension ( 7.1)
  • Concomitant administration of doxazosin with a phosphodiesterase-5 (PDE-5) inhibitor can result in additive blood pressure lowering effects and symptomatic hypotension. ( 7.2)
5.2 Cataract Surgery

Intraoperative Floppy Iris Syndrome (IFIS) has been observed during cataract surgery in some patients on or previously treated with alpha 1blockers. This variant of small pupil syndrome is characterized by the combination of a flaccid iris that billows in response to intraoperative irrigation currents, progressive intraoperative miosis despite preoperative dilation with standard mydriatic drugs, and potential prolapse of the iris toward the phacoemulsification incisions. The patient’s surgeon should be prepared for possible modifications to their surgical technique, such as the utilization of iris hooks, iris dilator rings, or viscoelastic substances. There does not appear to be a benefit of stopping alpha 1blocker therapy prior to cataract surgery.

12.2 Pharmacodynamics

Benign Prostatic Hyperplasia (BPH)

Administration of doxazosin to patients with symptomatic BPH resulted in a statistically significant improvement in maximum urinary flow rate [see Clinical Studies (14.1)] .

Effect on Normotensive Patients with Benign Prostatic Hyperplasia (BPH)

Although blockade of alpha 1adrenoceptors also lowers blood pressure in hypertensive patients with increased peripheral vascular resistance, doxazosin treatment of normotensive men with BPH did not result in a clinically significant blood pressure lowering effect (Table 4). The proportion of normotensive patients with a sitting systolic blood pressure less than 90 mmHg and/or diastolic blood pressure less than 60 mmHg at any time during treatment with doxazosin 1 mg to 8 mg once daily was 6.7% with doxazosin and not significantly different (statistically) from that with placebo (5%).

Hypertension

Administration of doxazosin results in a reduction in systemic vascular resistance. In patients with hypertension, there is little change in cardiac output. Maximum reductions in blood pressure usually occur 2 to 6 hours after dosing and are associated with a small increase in standing heart rate. Like other alpha 1-adrenergic blocking agents, doxazosin has a greater effect on blood pressure and heart rate in the standing position.

12.3 Pharmacokinetics

Absorption

After oral administration of therapeutic doses, peak plasma levels of doxazosin occur at about 2 to 3 hours. Bioavailability is approximately 65%, reflecting first-pass metabolism of doxazosin by the liver. The effect of food on the pharmacokinetics of doxazosin was examined in a crossover study with twelve hypertensive subjects. Reductions of 18% in mean maximum plasma concentration (C max) and 12% in the area under the concentration-time curve (AUC) occurred when doxazosin was administered with food. Neither of these differences is clinically significant.

In a crossover study in 24 normotensive subjects, the pharmacokinetics and safety of doxazosin were shown to be similar with morning and evening dosing regimens. The AUC after morning dosing was, however, 11% less than that after evening dosing and the time to peak concentration after evening dosing occurred significantly later than that after morning dosing (5.6 vs. 3.5 hours).

Distribution

At the plasma concentrations achieved by therapeutic doses, approximately 98% of the circulating drug is bound to plasma proteins.

Metabolism

Doxazosin is extensively metabolized in the liver, mainly by O-demethylation of the quinazoline nucleus or hydroxylation of the benzodioxan moiety. In vitro studies suggest that the primary pathway for elimination is via CYP 3A4; however, CYP 2D6 and CYP 2C9 metabolic pathways are also involved to a lesser extent. Although several active metabolites of doxazosin have been identified, the pharmacokinetics of these metabolites have not been characterized.

ExcretionPlasma elimination of doxazosin is biphasic, with a terminal elimination half-life of about 22 hours. Steady-state studies in hypertensive patients given doxazosin doses of 2 mg to 16 mg once daily showed linear kinetics and dose proportionality. In two studies, following the administration of 2 mg orally once daily, the mean accumulation ratios (steady-state AUC vs. first-dose AUC) were 1.2 and 1.7. Enterohepatic recycling is suggested by secondary peaking of plasma doxazosin concentrations.

In a study of two subjects administered radiolabelled doxazosin 2 mg orally and 1 mg intravenously on two separate occasions, approximately 63% of the dose was eliminated in the feces and 9% of the dose was found in the urine. On average only 4.8% of the dose was excreted as unchanged drug in the feces and only a trace of the total radioactivity in the urine was attributed to unchanged drug.

Specific Populations

Geriatric

The pharmacokinetics of doxazosin in young (<65 years) and elderly (≥65 years) subjects were similar for plasma half-life values and oral clearance.

Renal Impairment

Pharmacokinetic studies in elderly patients and patients with renal impairment have shown no significant alterations compared to younger patients with normal renal function.

Hepatic Impairment

Administration of a single 2 mg dose to patients with cirrhosis (Child-Pugh Class A) showed a 40% increase in exposure to doxazosin. The impact of moderate (Child-Pugh Class B) or severe (Child-Pugh Class C) hepatic impairment on the pharmacokinetics of doxazosin is not known [see Use in Specific Populations (8.6)] .

Drug Interactions

There are only limited data on the effects of drugs known to influence the hepatic metabolism of doxazosin (e.g., cimetidine).

Cimetidine:In healthy volunteers, the administration of a single 1 mg dose of doxazosin on day 1 of a four-day regimen of oral cimetidine (400 mg twice daily) resulted in a 10% increase in mean AUC of doxazosin, and a slight but not significant increase in mean C maxand mean half-life of doxazosin.

In vitrodata in human plasma indicate that doxazosin has no effect on protein binding of digoxin, warfarin, phenytoin, or indomethacin.

7.1 Cyp 3a Inhibitors

In vitro studies suggest that doxazosin is a substrate of CYP 3A4. Strong CYP3A inhibitors may increase exposure to doxazosin. Monitor blood pressure and for symptoms of hypotension when doxazosin is used concomitantly with strong CYP3A inhibitors [see Clinical Pharmacology (12.3)] .

2.1 Dosing Information

Following the initial dose and with each dose increase of doxazosin tablets, monitor blood pressure for at least 6 hours following administration. If doxazosin tablets administration is discontinued for several days, therapy should be restarted using the initial dosing regimen.

8.6 Hepatic Impairment

Doxazosin is extensively metabolized in the liver. Hepatic impairment is expected to increase exposure to doxazosin. Use of doxazosin in patients with severe hepatic impairment (Child-Pugh Class C) is not recommended. Monitor blood pressure and for symptoms of hypotension in patients with lesser degrees of hepatic impairment (Child-Pugh Class A and B) [see Clinical Pharmacology (12.3)] .

1 Indications and Usage

12.1 Mechanism of Action

Benign Prostatic Hyperplasia (BPH)

The symptoms associated with benign prostatic hyperplasia (BPH), such as urinary frequency, nocturia, weak stream, hesitancy, and incomplete emptying are related to two components, anatomical (static) and functional (dynamic). The static component is related to an increase in prostate size caused, in part, by a proliferation of smooth muscle cells in the prostatic stroma. However, the severity of BPH symptoms and the degree of urethral obstruction do not correlate well with the size of the prostate. The dynamic component of BPH is associated with an increase in smooth muscle tone in the prostate and bladder neck. The degree of tone in this area is mediated by the alpha 1adrenoceptor, which is present in high density in the prostatic stroma, prostatic capsule and bladder neck. Blockade of the alpha 1receptor decreases urethral resistance and may relieve the obstruction and BPH symptoms and improve urine flow.

Hypertension

The mechanism of action of doxazosin is selective blockade of the alpha 1(postjunctional) subtype of adrenergic receptors. Studies in normal human subjects have shown that doxazosin competitively antagonized the pressor effects of phenylephrine (an alpha 1agonist) and the systolic pressor effect of norepinephrine. Doxazosin and prazosin have similar abilities to antagonize phenylephrine. The antihypertensive effect of doxazosin results from a decrease in systemic vascular resistance. The parent compound doxazosin is primarily responsible for the antihypertensive activity. The low plasma concentrations of known active and inactive metabolites of doxazosin (2-piperazinyl, 6'-and 7'-hydroxy and 6-and 7-O-desmethyl compounds) compared to parent drug indicate that the contribution of even the most potent compound (6'-hydroxy) to the antihypertensive effect of doxazosin in man is probably small. The 6'-and 7'-hydroxy metabolites have demonstrated antioxidant properties at concentrations of 5 μM, in vitro.

5.1 Postural Hypotension

Postural hypotension with or without symptoms (e.g., dizziness) may develop within a few hours following administration of doxazosin. However, infrequently, symptomatic postural hypotension has also been reported later than a few hours after dosing. As with other alpha-blockers, there is a potential for syncope, especially after the initial dose or after an increase in dosage strength. Advise patient how to avoid symptoms resulting from postural hypotension and what measures to take should they develop.

Concomitant administration of doxazosin with a PDE-5 inhibitor can result in additive blood pressure lowering effects and symptomatic hypotension.

5 Warnings and Precautions
  • Postural hypotension with or without syncope may occur. ( 5.1)
  • Risk of Intraoperative Floppy Iris Syndrome during cataract surgery. ( 5.2)
  • Screen for the presence of prostate cancer prior to treatment for BPH and at regular intervals afterwards. ( 5.3)
2 Dosage and Administration
  • For the treatment of BPH: Initiate therapy at 1 mg once daily. Dose may be titrated at 1 to 2-week intervals, up to 8 mg once daily. ( 2.2)
  • For the treatment hypertension: Initiate therapy at 1 mg once daily. Dose may be titrated as needed, up to 16 mg once daily. ( 2.3
3 Dosage Forms and Strengths

Doxazosin tablets, USP are available as functionally scored tablets in following strengths:

1 mg: White to off white, round, biconvex uncoated tablets, debossed with “C3” on one side and breakline on other side.

2 mg:  Cream to yellow colored, round, biconvex uncoated tablets, debossed with “C7” on one side and breakline on other side; may have mottled appearance.

4 mg:  Cream to yellow colored, round, biconvex uncoated tablets, debossed with “C4” on one side and breakline on other side; may have mottled appearance.

8 mg:  White to off white, round, biconvex, uncoated tablets, debossed with “C5” on one side and breakline on other side.

6.2 Postmarketing Experience

The following adverse reactions have been identified during post-approval use of doxazosin. Because these reactions are reported voluntarily from a population of uncertain size, it is not always possible to reliably estimate their frequency or establish a causal relationship to drug exposure.

In post-marketing experience, the following additional adverse reactions have been reported:

Blood and Lymphatic System Disorders:leukopenia, thrombocytopenia;

Immune System Disorders:allergic reaction;

Nervous System Disorders:hypoesthesia;

Eye Disorders:Intraoperative Floppy Iris Syndrome [ see Warnings and Precautions (5.2) ].

Cardiac Disorders:bradycardia;

Respiratory, Thoracic and Mediastinal Disorders:bronchospasm aggravated;

Gastrointestinal Disorders:vomiting;

Hepatobiliary Disorders:cholestasis, hepatitis cholestatic;

Skin and Subcutaneous Tissue Disorders:urticaria;

Musculoskeletal and Connective Tissue Disorders:muscle cramps, muscle weakness;

Renal and Urinary Disorders:hematuria, micturition disorder, micturition frequency, nocturia;

Reproductive System and Breast Disorders:gynecomastia, priapism.

8 Use in Specific Populations

• Hepatic Impairment: Monitor for hypotension. ( 8.6, 12.3)



6.1 Clinical Trials Experience

Because clinical trials are conducted under widely varying conditions, adverse reaction rates observed in the clinical trials of a drug cannot be directly compared to rates in the clinical trials of another drug and may not reflect the rates observed in practice.

Benign Prostatic Hyperplasia (BPH)

The incidence of adverse events has been ascertained from worldwide clinical trials in 965 BPH patients. The incidence rates presented below (Table 2) are based on combined data from seven placebo-controlled trials involving once-daily administration of doxazosin in doses of 1 mg to 16 mg in hypertensives and 0.5 mg to 8 mg in normotensives. Adverse reactions occurring more than 1% more frequently in BPH patients treated with doxazosin vs placebo are summarized in Table 1.

Table 1. Adverse Reactions Occurring more than 1% More Frequently in BPH Patients Treated with Doxazosin Versus Placebo

Doxazosin

Placebo

BODY SYSTEM

N=665

N=300

NERVOUS SYSTEM DISORDERS

Dizziness

15.6%

9.0%

Somnolence

3.0%

1.0%

CARDIAC DISORDERS

Hypotension

1.7%

0%

RESPIRATORY, THORACIC AND MEDIASTINAL DISORDERS

Dyspnoea

2.6%

0.3%

GASTROINTESTINAL DISORDERS

Dry Mouth

1.4%

0.3%

GENERAL DISORDERS AND ADMINISTRATION SITE CONDITIONS

Fatigue

8.0%

1.7%

Oedema

2.7%

0.7%

Includes vertigo

Other adverse reactions occurring less than 1% more frequently in BPH patients treated with doxazosin vs placebo but plausibly related to doxazosin include: palpitations.

Hypertension

Doxazosin has been administered to approximately 4000 hypertensive patients in clinical trials, of whom 1679 were included in the hypertension clinical development program. In placebo-controlled studies, adverse events occurred in 49% and 40% of patients in the doxazosin and placebo groups, respectively, and led to discontinuation in 2% of patients in each group.

Adverse reactions occurring more than 1% more frequently in hypertensive patients treated with doxazosin vs placebo are summarized in Table 2. Postural effects and edema appeared to be dose-related. The prevalence rates presented below are based on combined data from placebo-controlled studies involving once-daily administration of doxazosin at doses ranging from 1 mg to 16 mg.

Table 2. Adverse Reactions Occurring more than 1% More Frequently in Hypertensive Patients Treated with Doxazosin versus Placebo

Doxazosin

Placebo

BODY SYSTEM

N=339

N=336

NERVOUS SYSTEM DISORDERS

Dizziness

19%

9%

Somnolence

5%

1%

RESPIRATORY, THORACIC AND MEDIASTINAL DISORDERS

Rhinitis

3%

1%

RENAL AND URINARY DISORDERS

Polyuria

2%

0%

REPRODUCTIVE SYSTEM AND BREAST DISORDERS

GENERAL DISORDERS AND ADMINISTRATION SITE CONDITIONS

Fatigue / Malaise

12%

6%

Other adverse reactions occurring less than 1% more frequently in hypertensive patients treated with doxazosin vs placebo but plausibly related to doxazosin use include vertigo, hypotension, hot flushes, epistaxis and oedema.

Doxazosin has been associated with decreases in white blood cell counts

Laboratory changes observed in clinical studies

Leukopenia/Neutropenia:Decreases in mean white blood cell (WBC) and mean neutrophil count were observed in controlled clinical trials of hypertensive patients receiving doxazosin. In cases where follow-up was available, WBC and neutrophil counts returned to normal after discontinuation of doxazosin. No patients became symptomatic as a result of the low WBC or neutrophil counts.

2.2 Benign Prostatic Hyperplasia

The recommended initial dosage of doxazosin tablets is 1 mg given once daily either in the morning or evening.

Depending on the individual patient’s urodynamics and BPH symptomatology, the dose may be titrated at 1 to 2 week intervals to 2 mg, and thereafter to 4 mg and 8 mg once daily. The maximum recommended dose for BPH is 8 mg once daily.

Routinely monitor blood pressure in these patients.

17 Patient Counseling Information

Advise the patient to read the FDA-approved patient labeling (Patient Information).

Postural Hypotension

Advise patients of the possibility of syncopal and orthostatic symptoms, especially at the initiation of therapy, and urged to avoid driving or hazardous tasks for 24 hours after the first dose, after a dosage increase, and after interruption of therapy when treatment is resumed. Advise patients to report symptoms to their healthcare provider.

Priapism

Advise patients of the possibility of priapism and to seek immediate medical attention if symptoms occur.

Manufactured For:

Accord Healthcare, Inc.,

8041 Arco Corporate Drive,

Suite 200,

Raleigh, NC 27617,

USA.

Manufactured By:

Intas Pharmaceuticals Limited,

Ahmedabad-380 054, India.

10 0858 4 6031202

Issued July 2024

16 How Supplied/storage and Handling

2 mg: Cream to yellow colored, round, biconvex uncoated tablets, debossed with “C7” on one side and breakline on other side, may have mottled appearance

  • NDC: 71335-0309-1: 30 Tablets in a BOTTLE
  • NDC: 71335-0309-2: 60 Tablets in a BOTTLE
  • NDC: 71335-0309-3: 90 Tablets in a BOTTLE
  • NDC: 71335-0309-4: 28 Tablets in a BOTTLE
  • NDC: 71335-0309-5: 18 Tablets in a BOTTLE

Recommended Storage: Store at 20°C to 25°C (68°F to 77°F); excursions permitted to 15°C to 30°C (59°F to 86°F) [see USP Controlled Room Temperature].

Repackaged/Relabeled by:

Bryant Ranch Prepack, Inc.

Burbank, CA 9150

1.1 Benign Prostatic Hyperplasia (bph)

Doxazosin tablets, USP are indicated for the treatment of the signs and symptoms of BPH.

13.2 Animal Toxicology and Pharmacology

An increased incidence of myocardial necrosis or fibrosis was observed in long-term (6 to 12 months) studies in rats and mice (exposure 8 times human AUC exposure in rats and somewhat equivalent to human C maxexposure in mice). Findings were not seen at lower doses. In dogs no cardiotoxicity was observed following 12 months of oral dosing at doses that resulted in maximum plasma concentrations (C max) 14 times the C maxexposure in humans receiving a 12 mg/day therapeutic dose or in Wistar rats at C maxexposures 15 times human C maxexposure. There is no evidence that similar lesions occur in humans.

14.1 Benign Prostatic Hyperplasia (bph)

The efficacy of doxazosin was evaluated extensively in over 900 patients with BPH in double-blind, placebo-controlled trials. Doxazosin treatment was superior to placebo in improving patient symptoms and urinary flow rate. Significant relief with doxazosin was seen as early as one week into the treatment regimen, with doxazosin-treated patients (N=173) showing a significant (p<0.01) increase in maximum flow rate of 0.8 mL/sec compared to a decrease of 0.5 mL/sec in the placebo group (N=41). In long-term studies, improvement was maintained for up to 2 years of treatment. In 66 to 71% of patients, improvements above baseline were seen in both symptoms and maximum urinary flow rate.

In three placebo-controlled studies of 14 to 16 weeks’ duration, obstructive symptoms (hesitation, intermittency, dribbling, weak urinary stream, incomplete emptying of the bladder) and irritative symptoms (nocturia, daytime frequency, urgency, burning) of BPH were evaluated at each visit by patient-assessed symptom questionnaires. The bothersomeness of symptoms was measured with a modified Boyarsky questionnaire. Symptom severity/frequency was assessed using a modified Boyarsky questionnaire or an AUA-based questionnaire. Uroflowmetric evaluations were performed at times of peak (2 to 6 hours post-dose) and/or trough (24 hours post-dose) plasma concentrations of doxazosin.

The results from the three placebo-controlled studies (N=609) showing significant efficacy with 4 mg and 8 mg doxazosin are summarized in Table 3. In all three studies, doxazosin resulted in statistically significant relief of obstructive and irritative symptoms compared to placebo. Statistically significant improvements of 2.3 to 3.3 mL/sec in maximum flow rate were seen with doxazosin in Studies 1 and 2, compared to 0.1 to 0.7 mL/sec with placebo.

In one fixed-dose study (Study 2), doxazosin therapy (4 mg to 8 mg, once daily) resulted in a significant and sustained improvement in maximum urinary flow rate of 2.3 to 3.3 mL/sec (Table 3) compared to placebo (0.1 mL/sec). In this study, the only study in which weekly evaluations were made, significant improvement with doxazosin vs. placebo was seen after one week. The proportion of patients who responded with a maximum flow rate improvement of ≥3 mL/sec was significantly larger with doxazosin (34 to 42%) than placebo (13 to 17%). A significantly greater improvement was also seen in average flow rate with doxazosin (1.6 mL/sec) than with placebo (0.2 mL/sec). The onset and time course of symptom relief and increased urinary flow from Study 1 are illustrated in Figure 1. 

                                                            Figure 1 – Study 1

7.2 Phosphodiesterase 5 (pde 5) Inhibitors

Concomitant administration of doxazosin with a phosphodiesterase-5 (PDE-5) inhibitor can result in additive blood pressure lowering effects and symptomatic hypotension. Monitor blood pressure and for symptoms of hypotension [see Warnings and Precautions (5.1)] .

13.1 Carcinogenesis, Mutagenesis, Impairment of Fertility

Carcinogenesis and Mutagenesis:Chronic dietary administration (up to 24 months) of doxazosin mesylate at maximally tolerated doses of 40 mg/kg/day in rats and 120 mg/kg/day in mice revealed no evidence of carcinogenic potential. The highest doses evaluated in the rat and mouse studies are associated with AUCs (a measure of systemic exposure) that are 8 times and 4 times, respectively, the human AUC at a dose of 16 mg/day.

Mutagenicity studies revealed no drug-or metabolite-related effects at either chromosomal or subchromosomal levels.

Fertility in Males:Studies in rats showed reduced fertility in males treated with doxazosin at oral doses of 20 (but not 5 or 10) mg/kg/day, about 4 times the AUC exposures obtained with a 12 mg/day human dose. This effect was reversible within two weeks of drug withdrawal. There have been no reports of any effects of doxazosin on male fertility in humans.


Structured Label Content

Section 42230-3 (42230-3)
  This Patient Information has been approved by the U.S. Food and Drug Administration                                                                                                                                       Revised: 7/2024
PATIENT INFORMATION

Doxazosin Tablets

(dox AY’ zo sin)
What are doxazosin tablets?
Doxazosin tablets are a prescription medicine that contains doxazosin mesylate and is called an “alpha-blocker”. Doxazosin tablets are used to treat:
  • the symptoms of benign prostatic hyperplasia (BPH)
  • high blood pressure (hypertension)
It is not known if doxazosin tablets are safe and effective in children.
Who should not take doxazosin tablets?
Do not take doxazosin tablets if you:
  • are allergic to doxazosin, other quinazolines, or any of the ingredients in doxazosin tablets. See the end of this Patient Information leaflet for a complete list of ingredients in doxazosin tablets.
What should I tell my healthcare provider before taking doxazosin tablets?
Before taking doxazosin tablets, tell your healthcare provider about all of your medical conditions, including if you:
  • have had low blood pressure, especially after taking other medicine. Signs of low blood pressure include fainting, dizziness, and lightheadedness.
  • have any planned eye surgery
  • have prostate cancer or a history of prostate cancer. Your healthcare provider may have you checked for prostate cancer before you start taking and while you take doxazosin tablets.
  • have liver problems
  • are pregnant or plan to become pregnant. It is not known if doxazosin tablets will harm your unborn baby.
  • are breastfeeding or plan to breastfeed. It is not known if doxazosin tablets passes into your breastmilk. Talk to your healthcare provider about the best way to feed your baby if you take doxazosin tablets.
Tell your healthcare provider about all the medicines you take,including prescription and over-the-counter medicines, vitamins, and herbal supplements. Doxazosin tablets may affect the way other medicines work, and other medicines may affect the way doxazosin tablets works causing side effects.
Especially tell your healthcare provider if you take:
  • other medicine for high blood pressure or medicine to treat erectile dysfunction (ED) called a phosphodiesterase type 5 (PDE-5) inhibitor. The use of doxazosin tablets with PDE-5 inhibitors can lead to a drop in blood pressure or to fainting.
Know the medicines you take. Keep a list of them to show your healthcare provider and pharmacist when you get a new medicine.
How should I take doxazosin tablets?
  • Take doxazosin tablets exactly as your healthcare provider tells you to take it.
  • Your healthcare provider will tell you how much doxazosin tablets to take and when to take it.
  • Your healthcare provider may need to change your dose of doxazosin tablets until it is the right dose for you.

What should I avoid while taking doxazosin tablets?

Do not drive or perform any hazardous task until at least 24 hours after you have taken doxazosin tablets if you are taking:
  • your first dose of doxazosin tablets
  • Doxazosin tablets for the first time afteryour healthcare provider has increased your dose of doxazosin tablets
  • Doxazosin tablets for the first time afterany breaks (interruptions) in your treatment with doxazosin tablets
What are the possible side effects of doxazosin tablets?
Doxazosin tablets may cause serious side effects, including:
  • A sudden drop in blood pressure, especially when you first start treatment or when there is an increase in your dose of doxazosin tablets, is common but can also be serious. This may cause you to faint, or to feel dizzy or lightheaded. Your risk of having this problem may be increased if you take doxazosin tablets with certain other medicines that lower blood pressure including PDE-5 inhibitors. Your healthcare provider may monitor your blood pressure while you take doxazosin tablets. See " What should I avoid while taking doxazosin tablets?"
  • Eye problems during cataract surgery. A condition called Intraoperative Floppy Iris Syndrome (IFIS) can happen during cataract surgery if you take or have taken alpha-blockers such as doxazosin tablets. If you need to have cataract surgery, be sure to tell your healthcare provider if you take or have taken doxazosin tablets.
  • A painful erection that will not go away. doxazosin tablets can cause a painful erection (priapism), which cannot be relieved by having sex. If this happens, get medical help right away. If priapism is not treated, you may not be able to get an erection in the future.
The most common side effects of doxazosin tablets are:
  • weakness or lack of energy (asthenia)
  • dizziness
Tell your healthcare provider if you have any side effect that bothers you or that does not go away. These are not all the possible side effects of doxazosin tablets. For more information, ask your healthcare provider or pharmacist.
Call your doctor for medical advice about side effects. You may report side effects to FDA at 1-800-FDA-1088.
General information about the safe and effective use of doxazosin tablets.
Medicines are sometimes prescribed for purposes other than those listed in a Patient Information leaflet. Do not use doxazosin tablets for a condition for which it was not prescribed. Do not give doxazosin tablets to other people, even if they have the same symptoms you have. It may harm them.
This Patient Information leaflet summarizes the most important information about doxazosin tablets. For more information, ask your healthcare provider. You can ask your healthcare provider or pharmacist for information that is written for healthcare professionals.

For more information, go to www.accordhealthcare.usor call Accord Healthcare Inc. at 1-866-941-7875.
What are the ingredients in doxazosin tablets?

Active ingredient: doxazosin

Inactive ingredients: lactose monohydrate, microcrystalline cellulose, sodium lauryl sulfate, magnesium stearate and sodium starch glycolate. The 2 mg & 4 mg tablet contains ferric oxide yellow.

Manufactured For:

Accord Healthcare, Inc.,

8041 Arco Corporate Drive,

Suite 200,

Raleigh, NC 27617,

USA.

Manufactured By:

Intas Pharmaceuticals Limited,

Ahmedabad-380 054, India.

10 0858 4 6031202

Section 51945-4 (51945-4)

Doxazosin Mesylate 2 mg Tablets

5.4 Priapism

Alpha 1antagonists, including doxazosin, have been associated with priapism (painful penile erection, sustained for hours and unrelieved by sexual intercourse or masturbation). This condition can lead to permanent impotence if not promptly treated.

10 Overdosage (10 OVERDOSAGE)

Experience with doxazosin overdosage is limited. Two adolescents, who each intentionally ingested 40 mg doxazosin with diclofenac or acetaminophen, were treated with gastric lavage with activated charcoal and made full recoveries. A two-year-old child who accidently ingested 4 mg doxazosin was treated with gastric lavage and remained normotensive during the five-hour emergency room observation period. A six-month-old child accidentally received a crushed 1 mg tablet of doxazosin and was reported to have been drowsy. A 32-year-old female with chronic renal failure, epilepsy, and depression intentionally ingested 60 mg doxazosin (blood level = 0.9 mcg/mL; normal values in hypertensives = 0.02 mcg/mL); death was attributed to a grand mal seizure resulting from hypotension. A 39-year-old female who ingested 70 mg doxazosin, alcohol, and Dalmane ®(flurazepam) developed hypotension which responded to fluid therapy.

The oral LD 50of doxazosin is greater than 1000 mg/kg in mice and rats. The most likely manifestation of overdosage would be hypotension, for which the usual treatment would be intravenous infusion of fluid. As doxazosin is highly protein bound, dialysis would not be indicated.

8.1 Pregnancy

Risk Summary

The limited available data with doxazosin in pregnant women are not sufficient to inform a drug-associated risk for major birth defects and miscarriage. However, untreated hypertension during pregnancy can result in increased maternal risks [see Clinical Considerations] . In animal reproduction studies, no adverse developmental effects were observed when doxazosin was orally administered to pregnant rabbits and rats during the period of organogenesis at doses of up to 41 mg and 20 mg/kg, respectively (exposures in rabbits and rats were 10 and 4 times, respectively, the human AUC exposures with a 12 mg/day therapeutic dose). A dosage regimen of 82 mg/kg/day in the rabbit was associated with reduced fetal survival [see Data].

The estimated background risk of major birth defects and miscarriage for the indicated population is unknown. In the U.S. general population, the estimated background risk of major birth defects and miscarriage in clinically recognized pregnancies is 2 to 4% and 15 to 20%, respectively.

Clinical Considerations

Disease-associated maternal and/or embryo/fetal risk

Hypertension in pregnancy increases the maternal risk for pre-eclampsia, gestational diabetes, premature delivery, and delivery complications (e.g., need for cesarean section, and post-partum hemorrhage). Hypertension increases the fetal risk for intrauterine growth restriction and intrauterine death.

Data

Animal Data

Radioactivity was found to cross the placenta following oral administration of labelled doxazosin to pregnant rats. Studies in pregnant rabbits and rats at daily oral doses of up to 41 mg and 20 mg/kg, respectively (plasma drug concentrations of 10 and 4 times, respectively, the human AUC exposures with a 12 mg/day therapeutic dose), have revealed no evidence of adverse developmental effects. A dosage regimen of 82 mg/kg/day in the rabbit was associated with reduced fetal survival. In peri-and postnatal studies in rats, postnatal development at maternal doses of 40 mg or 50 mg/kg/day of doxazosin (about 8 times human AUC exposure with a 12 mg/day therapeutic dose) was delayed, as evidenced by slower body weight gain and slightly later appearance of anatomical features and reflexes.

8.2 Lactation

Risk Summary

There is limited information on the presence of doxazosin in human milk [see Data] . There is no information on the effects of doxazosin on the breastfeed infant or the effects on milk production.

Data

A single case study reports that doxazosin is present in human milk, which resulted in an infant dose of less than 1% of the maternal weight-adjusted dosage and a milk/plasma ratio of 0.1. However, these data are insufficient to confirm the presence of doxazosin in human milk.

11 Description (11 DESCRIPTION)

Doxazosin is a quinazoline compound that is a selective inhibitor of the alpha 1subtype of alpha-adrenergic receptors. The chemical name of doxazosin mesylate is 1-(4-amino-6,7-dimethoxy-2-quinazolinyl)-4-(1,4-benzodioxan-2-ylcarbonyl) piperazine methanesulfonate. The empirical formula for doxazosin mesylate is C 23H 25N 5O 5•CH 4O 3S and the molecular weight is 547.6. It has the following structure:

Doxazosin is freely soluble in dimethylsulfoxide, soluble in dimethylformamide, slightly soluble in methanol, ethanol, and water (0.8% at 25°C), and very slightly soluble in acetone and methylene chloride. Doxazosin tablets, USP are available as colored tablets for oral use and contains doxazosin mesylate equivalent to 1 mg (white to off white), 2 mg (cream to yellow), 4 mg (cream to yellow) and 8 mg (white to off white) of doxazosin as the free base.

The inactive ingredients for all tablets are: lactose monohydrate, microcrystalline cellulose, sodium lauryl sulfate, magnesium stearate and sodium starch glycolate. The 2 mg & 4 mg tablet contains ferric oxide yellow.

1.2 Hypertension

Doxazosin tablets, USP are indicated for the treatment of hypertension, to lower blood pressure. Lowering blood pressure reduces the risk of fatal and nonfatal cardiovascular events, primarily strokes and myocardial infarctions. These benefits have been seen in controlled trials of antihypertensive drugs from a wide variety of pharmacologic classes, including this drug.

Control of high blood pressure should be part of comprehensive cardiovascular risk management, including, as appropriate, lipid control, diabetes management, antithrombotic therapy, smoking cessation, exercise, and limited sodium intake. Many patients will require more than one drug to achieve blood pressure goals. For specific advice on goals and management, see published guidelines, such as those of the National High Blood Pressure Education Program’s Joint National Committee on Prevention, Detection, Evaluation, and Treatment of High Blood Pressure (JNC).

Numerous antihypertensive drugs, from a variety of pharmacologic classes and with different mechanisms of action, have been shown in randomized controlled trials to reduce cardiovascular morbidity and mortality, and it can be concluded that it is blood pressure reduction, and not some other pharmacologic property of the drugs, that is largely responsible for those benefits. The largest and most consistent cardiovascular outcome benefit has been a reduction in the risk of stroke, but reductions in myocardial infarction and cardiovascular mortality also have been seen regularly.

Elevated systolic or diastolic pressure causes increased cardiovascular risk, and the absolute risk increase per mmHg is greater at higher blood pressures, so that even modest reductions of severe hypertension can provide substantial benefit. Relative risk reduction from blood pressure reduction is similar across populations with varying absolute risk, so the absolute benefit is greater in patients who are at higher risk independent of their hypertension (for example, patients with diabetes or hyperlipidemia), and such patients would be expected to benefit from more aggressive treatment to a lower blood pressure goal.

Some antihypertensive drugs have smaller blood pressure effects (as monotherapy) in black patients, and many antihypertensive drugs have additional approved indications and effects (e.g., on angina, heart failure, or diabetic kidney disease). These considerations may guide selection of therapy.

Doxazosin tablets, USP may be used alone or in combination with other antihypertensives. 

2.3 Hypertension

The initial dosage of doxazosin tablets is 1 mg given once daily. Daily dosage may be doubled up 16 mg once daily, as needed, to achieve the desired reduction in blood pressure. 

14.2 Hypertension

In a pooled analysis of placebo-controlled hypertension studies with about 300 hypertensive patients per treatment group, doxazosin, at doses of 1 mg to 16 mg given once daily, lowered blood pressure at 24 hours by about 10/8 mmHg compared to placebo in the standing position and about 9/5 mmHg in the supine position. Peak blood pressure effects (1 to 6 hours) were larger by about 50 to 75% (i.e., trough values were about 55 to 70% of peak effect), with the larger peak-trough differences seen in systolic pressures. There was no apparent difference in the blood pressure response of Caucasians and blacks or of patients above and below age 65. In the same patient population, patients receiving doxazosin gained a mean of 0.6 kg compared to a mean loss of 0.1 kg for placebo patients.



TABLE 4

Mean Changes in Blood Pressure from Baseline to the Mean of the Final Efficacy Phase in Normotensives (Diastolic BP <90 mmHg)

                         in Two Double-blind, Placebo-controlled U.S. Studies with Doxazosin 1 mg to 8 mg once daily.

PLACEBO(N=85)

DOXAZOSIN(N=183)

Sitting BP (mmHg)

Baseline

Chang e

Baseline

Change

Systolic

128.4

–1.4

128.8

–4.9*

Diastolic

79.2

–1.2

79.6

–2.4*

Standing BP (mmHg)

Baseline

Change

Baseline

Change

Systolic

128.5

–0.6

128.5

–5.3*

Diastolic

80.5

–0.7

80.4

–2.6*

*p ≤ 0.05 compared to placebo

8.4 Pediatric Use

The safety and effectiveness of doxazosin have not been established in children.

8.5 Geriatric Use

Benign Prostatic Hyperplasia (BPH)

The safety and effectiveness profile of doxazosin was similar in the elderly (age ≥ 65 years) and younger (age < 65 years) patients.

Hypertension

Clinical studies of doxazosin did not include sufficient numbers of subjects aged 65 and over to determine whether they respond differently from younger subjects. Other reported clinical experience has not identified differences in responses between the elderly and younger patients.

In general, dose selection for an elderly patient should be cautious, usually starting at the low end of the dosing range, reflecting the greater frequency of decreased hepatic, renal or cardiac function, and of concomitant disease or other drug therapy.

4 Contraindications (4 CONTRAINDICATIONS)

The use of doxazosin tablets is contraindicated in patients with a hypersensitivity to doxazosin, other quinazolines (e.g., prazosin, terazosin), or any of its components.

5.3 Prostate Cancer

Carcinoma of the prostate causes many of the symptoms associated with BPH and the two disorders frequently co-exist. Carcinoma of the prostate should therefore be ruled out prior to commencing therapy with doxazosin for the treatment of BPH.

6 Adverse Reactions (6 ADVERSE REACTIONS)

The most commonly reported adverse reactions from clinical trials are Fatigue, malaise, hypotension, and dizziness. ( 6.1)



To report SUSPECTED ADVERSE REACTIONS, contact Accord Healthcare Inc. at 1-866-941-7875 or FDA at 1-800-FDA-1088 or www.fda.gov/medwatch.

7 Drug Interactions (7 DRUG INTERACTIONS)
  • Strong cytochrome P450 (CYP) 3A inhibitors may increase exposure to doxazosin and increased risk of hypotension ( 7.1)
  • Concomitant administration of doxazosin with a phosphodiesterase-5 (PDE-5) inhibitor can result in additive blood pressure lowering effects and symptomatic hypotension. ( 7.2)
5.2 Cataract Surgery

Intraoperative Floppy Iris Syndrome (IFIS) has been observed during cataract surgery in some patients on or previously treated with alpha 1blockers. This variant of small pupil syndrome is characterized by the combination of a flaccid iris that billows in response to intraoperative irrigation currents, progressive intraoperative miosis despite preoperative dilation with standard mydriatic drugs, and potential prolapse of the iris toward the phacoemulsification incisions. The patient’s surgeon should be prepared for possible modifications to their surgical technique, such as the utilization of iris hooks, iris dilator rings, or viscoelastic substances. There does not appear to be a benefit of stopping alpha 1blocker therapy prior to cataract surgery.

12.2 Pharmacodynamics

Benign Prostatic Hyperplasia (BPH)

Administration of doxazosin to patients with symptomatic BPH resulted in a statistically significant improvement in maximum urinary flow rate [see Clinical Studies (14.1)] .

Effect on Normotensive Patients with Benign Prostatic Hyperplasia (BPH)

Although blockade of alpha 1adrenoceptors also lowers blood pressure in hypertensive patients with increased peripheral vascular resistance, doxazosin treatment of normotensive men with BPH did not result in a clinically significant blood pressure lowering effect (Table 4). The proportion of normotensive patients with a sitting systolic blood pressure less than 90 mmHg and/or diastolic blood pressure less than 60 mmHg at any time during treatment with doxazosin 1 mg to 8 mg once daily was 6.7% with doxazosin and not significantly different (statistically) from that with placebo (5%).

Hypertension

Administration of doxazosin results in a reduction in systemic vascular resistance. In patients with hypertension, there is little change in cardiac output. Maximum reductions in blood pressure usually occur 2 to 6 hours after dosing and are associated with a small increase in standing heart rate. Like other alpha 1-adrenergic blocking agents, doxazosin has a greater effect on blood pressure and heart rate in the standing position.

12.3 Pharmacokinetics

Absorption

After oral administration of therapeutic doses, peak plasma levels of doxazosin occur at about 2 to 3 hours. Bioavailability is approximately 65%, reflecting first-pass metabolism of doxazosin by the liver. The effect of food on the pharmacokinetics of doxazosin was examined in a crossover study with twelve hypertensive subjects. Reductions of 18% in mean maximum plasma concentration (C max) and 12% in the area under the concentration-time curve (AUC) occurred when doxazosin was administered with food. Neither of these differences is clinically significant.

In a crossover study in 24 normotensive subjects, the pharmacokinetics and safety of doxazosin were shown to be similar with morning and evening dosing regimens. The AUC after morning dosing was, however, 11% less than that after evening dosing and the time to peak concentration after evening dosing occurred significantly later than that after morning dosing (5.6 vs. 3.5 hours).

Distribution

At the plasma concentrations achieved by therapeutic doses, approximately 98% of the circulating drug is bound to plasma proteins.

Metabolism

Doxazosin is extensively metabolized in the liver, mainly by O-demethylation of the quinazoline nucleus or hydroxylation of the benzodioxan moiety. In vitro studies suggest that the primary pathway for elimination is via CYP 3A4; however, CYP 2D6 and CYP 2C9 metabolic pathways are also involved to a lesser extent. Although several active metabolites of doxazosin have been identified, the pharmacokinetics of these metabolites have not been characterized.

ExcretionPlasma elimination of doxazosin is biphasic, with a terminal elimination half-life of about 22 hours. Steady-state studies in hypertensive patients given doxazosin doses of 2 mg to 16 mg once daily showed linear kinetics and dose proportionality. In two studies, following the administration of 2 mg orally once daily, the mean accumulation ratios (steady-state AUC vs. first-dose AUC) were 1.2 and 1.7. Enterohepatic recycling is suggested by secondary peaking of plasma doxazosin concentrations.

In a study of two subjects administered radiolabelled doxazosin 2 mg orally and 1 mg intravenously on two separate occasions, approximately 63% of the dose was eliminated in the feces and 9% of the dose was found in the urine. On average only 4.8% of the dose was excreted as unchanged drug in the feces and only a trace of the total radioactivity in the urine was attributed to unchanged drug.

Specific Populations

Geriatric

The pharmacokinetics of doxazosin in young (<65 years) and elderly (≥65 years) subjects were similar for plasma half-life values and oral clearance.

Renal Impairment

Pharmacokinetic studies in elderly patients and patients with renal impairment have shown no significant alterations compared to younger patients with normal renal function.

Hepatic Impairment

Administration of a single 2 mg dose to patients with cirrhosis (Child-Pugh Class A) showed a 40% increase in exposure to doxazosin. The impact of moderate (Child-Pugh Class B) or severe (Child-Pugh Class C) hepatic impairment on the pharmacokinetics of doxazosin is not known [see Use in Specific Populations (8.6)] .

Drug Interactions

There are only limited data on the effects of drugs known to influence the hepatic metabolism of doxazosin (e.g., cimetidine).

Cimetidine:In healthy volunteers, the administration of a single 1 mg dose of doxazosin on day 1 of a four-day regimen of oral cimetidine (400 mg twice daily) resulted in a 10% increase in mean AUC of doxazosin, and a slight but not significant increase in mean C maxand mean half-life of doxazosin.

In vitrodata in human plasma indicate that doxazosin has no effect on protein binding of digoxin, warfarin, phenytoin, or indomethacin.

7.1 Cyp 3a Inhibitors (7.1 CYP 3A Inhibitors)

In vitro studies suggest that doxazosin is a substrate of CYP 3A4. Strong CYP3A inhibitors may increase exposure to doxazosin. Monitor blood pressure and for symptoms of hypotension when doxazosin is used concomitantly with strong CYP3A inhibitors [see Clinical Pharmacology (12.3)] .

2.1 Dosing Information

Following the initial dose and with each dose increase of doxazosin tablets, monitor blood pressure for at least 6 hours following administration. If doxazosin tablets administration is discontinued for several days, therapy should be restarted using the initial dosing regimen.

8.6 Hepatic Impairment

Doxazosin is extensively metabolized in the liver. Hepatic impairment is expected to increase exposure to doxazosin. Use of doxazosin in patients with severe hepatic impairment (Child-Pugh Class C) is not recommended. Monitor blood pressure and for symptoms of hypotension in patients with lesser degrees of hepatic impairment (Child-Pugh Class A and B) [see Clinical Pharmacology (12.3)] .

1 Indications and Usage (1 INDICATIONS AND USAGE)

12.1 Mechanism of Action

Benign Prostatic Hyperplasia (BPH)

The symptoms associated with benign prostatic hyperplasia (BPH), such as urinary frequency, nocturia, weak stream, hesitancy, and incomplete emptying are related to two components, anatomical (static) and functional (dynamic). The static component is related to an increase in prostate size caused, in part, by a proliferation of smooth muscle cells in the prostatic stroma. However, the severity of BPH symptoms and the degree of urethral obstruction do not correlate well with the size of the prostate. The dynamic component of BPH is associated with an increase in smooth muscle tone in the prostate and bladder neck. The degree of tone in this area is mediated by the alpha 1adrenoceptor, which is present in high density in the prostatic stroma, prostatic capsule and bladder neck. Blockade of the alpha 1receptor decreases urethral resistance and may relieve the obstruction and BPH symptoms and improve urine flow.

Hypertension

The mechanism of action of doxazosin is selective blockade of the alpha 1(postjunctional) subtype of adrenergic receptors. Studies in normal human subjects have shown that doxazosin competitively antagonized the pressor effects of phenylephrine (an alpha 1agonist) and the systolic pressor effect of norepinephrine. Doxazosin and prazosin have similar abilities to antagonize phenylephrine. The antihypertensive effect of doxazosin results from a decrease in systemic vascular resistance. The parent compound doxazosin is primarily responsible for the antihypertensive activity. The low plasma concentrations of known active and inactive metabolites of doxazosin (2-piperazinyl, 6'-and 7'-hydroxy and 6-and 7-O-desmethyl compounds) compared to parent drug indicate that the contribution of even the most potent compound (6'-hydroxy) to the antihypertensive effect of doxazosin in man is probably small. The 6'-and 7'-hydroxy metabolites have demonstrated antioxidant properties at concentrations of 5 μM, in vitro.

5.1 Postural Hypotension

Postural hypotension with or without symptoms (e.g., dizziness) may develop within a few hours following administration of doxazosin. However, infrequently, symptomatic postural hypotension has also been reported later than a few hours after dosing. As with other alpha-blockers, there is a potential for syncope, especially after the initial dose or after an increase in dosage strength. Advise patient how to avoid symptoms resulting from postural hypotension and what measures to take should they develop.

Concomitant administration of doxazosin with a PDE-5 inhibitor can result in additive blood pressure lowering effects and symptomatic hypotension.

5 Warnings and Precautions (5 WARNINGS AND PRECAUTIONS)
  • Postural hypotension with or without syncope may occur. ( 5.1)
  • Risk of Intraoperative Floppy Iris Syndrome during cataract surgery. ( 5.2)
  • Screen for the presence of prostate cancer prior to treatment for BPH and at regular intervals afterwards. ( 5.3)
2 Dosage and Administration (2 DOSAGE AND ADMINISTRATION)
  • For the treatment of BPH: Initiate therapy at 1 mg once daily. Dose may be titrated at 1 to 2-week intervals, up to 8 mg once daily. ( 2.2)
  • For the treatment hypertension: Initiate therapy at 1 mg once daily. Dose may be titrated as needed, up to 16 mg once daily. ( 2.3
3 Dosage Forms and Strengths (3 DOSAGE FORMS AND STRENGTHS)

Doxazosin tablets, USP are available as functionally scored tablets in following strengths:

1 mg: White to off white, round, biconvex uncoated tablets, debossed with “C3” on one side and breakline on other side.

2 mg:  Cream to yellow colored, round, biconvex uncoated tablets, debossed with “C7” on one side and breakline on other side; may have mottled appearance.

4 mg:  Cream to yellow colored, round, biconvex uncoated tablets, debossed with “C4” on one side and breakline on other side; may have mottled appearance.

8 mg:  White to off white, round, biconvex, uncoated tablets, debossed with “C5” on one side and breakline on other side.

6.2 Postmarketing Experience

The following adverse reactions have been identified during post-approval use of doxazosin. Because these reactions are reported voluntarily from a population of uncertain size, it is not always possible to reliably estimate their frequency or establish a causal relationship to drug exposure.

In post-marketing experience, the following additional adverse reactions have been reported:

Blood and Lymphatic System Disorders:leukopenia, thrombocytopenia;

Immune System Disorders:allergic reaction;

Nervous System Disorders:hypoesthesia;

Eye Disorders:Intraoperative Floppy Iris Syndrome [ see Warnings and Precautions (5.2) ].

Cardiac Disorders:bradycardia;

Respiratory, Thoracic and Mediastinal Disorders:bronchospasm aggravated;

Gastrointestinal Disorders:vomiting;

Hepatobiliary Disorders:cholestasis, hepatitis cholestatic;

Skin and Subcutaneous Tissue Disorders:urticaria;

Musculoskeletal and Connective Tissue Disorders:muscle cramps, muscle weakness;

Renal and Urinary Disorders:hematuria, micturition disorder, micturition frequency, nocturia;

Reproductive System and Breast Disorders:gynecomastia, priapism.

8 Use in Specific Populations (8 USE IN SPECIFIC POPULATIONS)

• Hepatic Impairment: Monitor for hypotension. ( 8.6, 12.3)



6.1 Clinical Trials Experience

Because clinical trials are conducted under widely varying conditions, adverse reaction rates observed in the clinical trials of a drug cannot be directly compared to rates in the clinical trials of another drug and may not reflect the rates observed in practice.

Benign Prostatic Hyperplasia (BPH)

The incidence of adverse events has been ascertained from worldwide clinical trials in 965 BPH patients. The incidence rates presented below (Table 2) are based on combined data from seven placebo-controlled trials involving once-daily administration of doxazosin in doses of 1 mg to 16 mg in hypertensives and 0.5 mg to 8 mg in normotensives. Adverse reactions occurring more than 1% more frequently in BPH patients treated with doxazosin vs placebo are summarized in Table 1.

Table 1. Adverse Reactions Occurring more than 1% More Frequently in BPH Patients Treated with Doxazosin Versus Placebo

Doxazosin

Placebo

BODY SYSTEM

N=665

N=300

NERVOUS SYSTEM DISORDERS

Dizziness

15.6%

9.0%

Somnolence

3.0%

1.0%

CARDIAC DISORDERS

Hypotension

1.7%

0%

RESPIRATORY, THORACIC AND MEDIASTINAL DISORDERS

Dyspnoea

2.6%

0.3%

GASTROINTESTINAL DISORDERS

Dry Mouth

1.4%

0.3%

GENERAL DISORDERS AND ADMINISTRATION SITE CONDITIONS

Fatigue

8.0%

1.7%

Oedema

2.7%

0.7%

Includes vertigo

Other adverse reactions occurring less than 1% more frequently in BPH patients treated with doxazosin vs placebo but plausibly related to doxazosin include: palpitations.

Hypertension

Doxazosin has been administered to approximately 4000 hypertensive patients in clinical trials, of whom 1679 were included in the hypertension clinical development program. In placebo-controlled studies, adverse events occurred in 49% and 40% of patients in the doxazosin and placebo groups, respectively, and led to discontinuation in 2% of patients in each group.

Adverse reactions occurring more than 1% more frequently in hypertensive patients treated with doxazosin vs placebo are summarized in Table 2. Postural effects and edema appeared to be dose-related. The prevalence rates presented below are based on combined data from placebo-controlled studies involving once-daily administration of doxazosin at doses ranging from 1 mg to 16 mg.

Table 2. Adverse Reactions Occurring more than 1% More Frequently in Hypertensive Patients Treated with Doxazosin versus Placebo

Doxazosin

Placebo

BODY SYSTEM

N=339

N=336

NERVOUS SYSTEM DISORDERS

Dizziness

19%

9%

Somnolence

5%

1%

RESPIRATORY, THORACIC AND MEDIASTINAL DISORDERS

Rhinitis

3%

1%

RENAL AND URINARY DISORDERS

Polyuria

2%

0%

REPRODUCTIVE SYSTEM AND BREAST DISORDERS

GENERAL DISORDERS AND ADMINISTRATION SITE CONDITIONS

Fatigue / Malaise

12%

6%

Other adverse reactions occurring less than 1% more frequently in hypertensive patients treated with doxazosin vs placebo but plausibly related to doxazosin use include vertigo, hypotension, hot flushes, epistaxis and oedema.

Doxazosin has been associated with decreases in white blood cell counts

Laboratory changes observed in clinical studies

Leukopenia/Neutropenia:Decreases in mean white blood cell (WBC) and mean neutrophil count were observed in controlled clinical trials of hypertensive patients receiving doxazosin. In cases where follow-up was available, WBC and neutrophil counts returned to normal after discontinuation of doxazosin. No patients became symptomatic as a result of the low WBC or neutrophil counts.

2.2 Benign Prostatic Hyperplasia

The recommended initial dosage of doxazosin tablets is 1 mg given once daily either in the morning or evening.

Depending on the individual patient’s urodynamics and BPH symptomatology, the dose may be titrated at 1 to 2 week intervals to 2 mg, and thereafter to 4 mg and 8 mg once daily. The maximum recommended dose for BPH is 8 mg once daily.

Routinely monitor blood pressure in these patients.

17 Patient Counseling Information (17 PATIENT COUNSELING INFORMATION)

Advise the patient to read the FDA-approved patient labeling (Patient Information).

Postural Hypotension

Advise patients of the possibility of syncopal and orthostatic symptoms, especially at the initiation of therapy, and urged to avoid driving or hazardous tasks for 24 hours after the first dose, after a dosage increase, and after interruption of therapy when treatment is resumed. Advise patients to report symptoms to their healthcare provider.

Priapism

Advise patients of the possibility of priapism and to seek immediate medical attention if symptoms occur.

Manufactured For:

Accord Healthcare, Inc.,

8041 Arco Corporate Drive,

Suite 200,

Raleigh, NC 27617,

USA.

Manufactured By:

Intas Pharmaceuticals Limited,

Ahmedabad-380 054, India.

10 0858 4 6031202

Issued July 2024

16 How Supplied/storage and Handling (16 HOW SUPPLIED/STORAGE AND HANDLING)

2 mg: Cream to yellow colored, round, biconvex uncoated tablets, debossed with “C7” on one side and breakline on other side, may have mottled appearance

  • NDC: 71335-0309-1: 30 Tablets in a BOTTLE
  • NDC: 71335-0309-2: 60 Tablets in a BOTTLE
  • NDC: 71335-0309-3: 90 Tablets in a BOTTLE
  • NDC: 71335-0309-4: 28 Tablets in a BOTTLE
  • NDC: 71335-0309-5: 18 Tablets in a BOTTLE

Recommended Storage: Store at 20°C to 25°C (68°F to 77°F); excursions permitted to 15°C to 30°C (59°F to 86°F) [see USP Controlled Room Temperature].

Repackaged/Relabeled by:

Bryant Ranch Prepack, Inc.

Burbank, CA 9150

1.1 Benign Prostatic Hyperplasia (bph) (1.1 Benign Prostatic Hyperplasia (BPH))

Doxazosin tablets, USP are indicated for the treatment of the signs and symptoms of BPH.

13.2 Animal Toxicology and Pharmacology

An increased incidence of myocardial necrosis or fibrosis was observed in long-term (6 to 12 months) studies in rats and mice (exposure 8 times human AUC exposure in rats and somewhat equivalent to human C maxexposure in mice). Findings were not seen at lower doses. In dogs no cardiotoxicity was observed following 12 months of oral dosing at doses that resulted in maximum plasma concentrations (C max) 14 times the C maxexposure in humans receiving a 12 mg/day therapeutic dose or in Wistar rats at C maxexposures 15 times human C maxexposure. There is no evidence that similar lesions occur in humans.

14.1 Benign Prostatic Hyperplasia (bph) (14.1 Benign Prostatic Hyperplasia (BPH))

The efficacy of doxazosin was evaluated extensively in over 900 patients with BPH in double-blind, placebo-controlled trials. Doxazosin treatment was superior to placebo in improving patient symptoms and urinary flow rate. Significant relief with doxazosin was seen as early as one week into the treatment regimen, with doxazosin-treated patients (N=173) showing a significant (p<0.01) increase in maximum flow rate of 0.8 mL/sec compared to a decrease of 0.5 mL/sec in the placebo group (N=41). In long-term studies, improvement was maintained for up to 2 years of treatment. In 66 to 71% of patients, improvements above baseline were seen in both symptoms and maximum urinary flow rate.

In three placebo-controlled studies of 14 to 16 weeks’ duration, obstructive symptoms (hesitation, intermittency, dribbling, weak urinary stream, incomplete emptying of the bladder) and irritative symptoms (nocturia, daytime frequency, urgency, burning) of BPH were evaluated at each visit by patient-assessed symptom questionnaires. The bothersomeness of symptoms was measured with a modified Boyarsky questionnaire. Symptom severity/frequency was assessed using a modified Boyarsky questionnaire or an AUA-based questionnaire. Uroflowmetric evaluations were performed at times of peak (2 to 6 hours post-dose) and/or trough (24 hours post-dose) plasma concentrations of doxazosin.

The results from the three placebo-controlled studies (N=609) showing significant efficacy with 4 mg and 8 mg doxazosin are summarized in Table 3. In all three studies, doxazosin resulted in statistically significant relief of obstructive and irritative symptoms compared to placebo. Statistically significant improvements of 2.3 to 3.3 mL/sec in maximum flow rate were seen with doxazosin in Studies 1 and 2, compared to 0.1 to 0.7 mL/sec with placebo.

In one fixed-dose study (Study 2), doxazosin therapy (4 mg to 8 mg, once daily) resulted in a significant and sustained improvement in maximum urinary flow rate of 2.3 to 3.3 mL/sec (Table 3) compared to placebo (0.1 mL/sec). In this study, the only study in which weekly evaluations were made, significant improvement with doxazosin vs. placebo was seen after one week. The proportion of patients who responded with a maximum flow rate improvement of ≥3 mL/sec was significantly larger with doxazosin (34 to 42%) than placebo (13 to 17%). A significantly greater improvement was also seen in average flow rate with doxazosin (1.6 mL/sec) than with placebo (0.2 mL/sec). The onset and time course of symptom relief and increased urinary flow from Study 1 are illustrated in Figure 1. 

                                                            Figure 1 – Study 1

7.2 Phosphodiesterase 5 (pde 5) Inhibitors (7.2 Phosphodiesterase-5 (PDE-5) Inhibitors)

Concomitant administration of doxazosin with a phosphodiesterase-5 (PDE-5) inhibitor can result in additive blood pressure lowering effects and symptomatic hypotension. Monitor blood pressure and for symptoms of hypotension [see Warnings and Precautions (5.1)] .

13.1 Carcinogenesis, Mutagenesis, Impairment of Fertility

Carcinogenesis and Mutagenesis:Chronic dietary administration (up to 24 months) of doxazosin mesylate at maximally tolerated doses of 40 mg/kg/day in rats and 120 mg/kg/day in mice revealed no evidence of carcinogenic potential. The highest doses evaluated in the rat and mouse studies are associated with AUCs (a measure of systemic exposure) that are 8 times and 4 times, respectively, the human AUC at a dose of 16 mg/day.

Mutagenicity studies revealed no drug-or metabolite-related effects at either chromosomal or subchromosomal levels.

Fertility in Males:Studies in rats showed reduced fertility in males treated with doxazosin at oral doses of 20 (but not 5 or 10) mg/kg/day, about 4 times the AUC exposures obtained with a 12 mg/day human dose. This effect was reversible within two weeks of drug withdrawal. There have been no reports of any effects of doxazosin on male fertility in humans.


Advanced Ingredient Data


Raw Label Data

All Sections (JSON)