These Highlights Do Not Include All The Information Needed To Use Heparin Sodium In 5% Dextrose Injection Safely And Effectively. See Full Prescribing Information For Heparin Sodium In 5% Dextrose Injection.

These Highlights Do Not Include All The Information Needed To Use Heparin Sodium In 5% Dextrose Injection Safely And Effectively. See Full Prescribing Information For Heparin Sodium In 5% Dextrose Injection.
SPL v34
SPL
SPL Set ID eede8a0c-5ae6-4166-84b3-12081405f08e
Route
INTRAVENOUS
Published
Effective Date 2023-12-20
Document Type 34391-3 HUMAN PRESCRIPTION DRUG LABEL

Drug Facts

Composition & Product

Active Ingredients
Heparin (10000 [USP'U])
Inactive Ingredients
Dextrose Monohydrate Anhydrous Citric Acid Trisodium Citrate Dihydrate Sodium Metabisulfite

Identifiers & Packaging

Marketing Status
NDA Completed Since 2022-12-12 Until 2015-04-01

Description

Contraindications ( 4 ) 12/2023 Warnings and Precautions, Hemorrhage ( 5.2 ) 12/2023 Warnings and Precautions, Heparin-Induced Thrombocytopenia (HIT) and Heparin-Induced Thrombocytopenia and Thrombosis (HITT) ( 5.3 ) 12/2023 Warnings and Precautions, Hypersensitivity Reactions ( 5.7 ) 12/2023 Warnings and Precautions, Hyperkalemia ( 5.8 ) 12/2023 Warnings and Precautions, Elevations of Serum Aminotransferases ( 5.9 ) 12/2023

Indications and Usage

Heparin Sodium in 5% Dextrose Injection is indicated for: • Prophylaxis and treatment of venous thrombosis and pulmonary embolism • Prophylaxis and treatment of thromboembolic complications associated with atrial fibrillation • Treatment of acute and chronic consumption coagulopathies (disseminated intravascular coagulation) • Prevention of clotting in arterial and cardiac surgery • Prophylaxis and treatment of peripheral arterial embolism • Anticoagulant use in blood transfusions, extracorporeal circulation, and dialysis procedures.

Dosage and Administration

Recommended Adult Dosages: • Therapeutic Anticoagulant Effect with Full-Dose Heparin* ( 2.3 ) Intermittent Intravenous Injection Initial Dose 10,000 Units, either undiluted or in 50 to 100 mL of 5% Dextrose Injection Subsequent Doses 5,000 to 10,000 Units every 4 to 6 hours, either undiluted or in 50 to 100 mL of 5% Dextrose Injection Continuous Intravenous Infusion Initial Dose 5,000 Units by intravenous injection Continuous 20,000 to 40,000 Units every 24 hours in 1000 mL of 5% Dextrose Injection *Based on 150 lb. (68 kg) patient. • Cardiovascular Surgery ( 2.5 ) Intravascular via Total Body Perfusion Initial Dose Greater than or equal to 150 units/kg; adjust for longer procedures • Extracorporeal Dialysis ( 2.8 ) For pediatric dosing see section 2.4 of full prescribing information. Intravascular via Extracorporeal Dialysis Follow equipment manufacturer's operating directions carefully.

Warnings and Precautions

• Fatal Medication Errors: Confirm choice of correct strength prior to administration. ( 5.1 ) • Hemorrhage: Fatal cases have occurred. Monitor for signs of bleeding and manage promptly. ( 5.2 ) • HIT or HITT: Monitor for signs and symptoms and discontinue if indicative of HIT or HITT. ( 5.3) • Thrombocytopenia: Monitor platelet count during therapy; discontinue heparin if HIT or HITT is suspected. ( 5.4 ) • Monitoring: Blood coagulation tests guide therapy for full-dose heparin. Monitor platelet count and hematocrit in all patients receiving heparin. ( 5.5 ) • Heparin Resistance: Increased resistance to heparin is frequently encountered in fever, thrombosis, thrombophlebitis, infections with thrombosing tendencies, myocardial infarction, cancer and in postsurgical patients. ( 5.6 ) • Hypersensitivity Reactions: Use in patients with prior reactions only in life-threatening situations. ( 5.7 ) • Hyperkalemia: Measure plasma potassium in patients at risk of hyperkalemia before starting heparin therapy and periodically in all patients. ( 5.8 ) • Elevations of Serum Aminotransferases: Interpret elevation of these enzymes with caution. ( 5.9 )

Contraindications

The use of Heparin Sodium in 5% Dextrose Injection is contraindicated in patients with the following conditions: • History of heparin-induced thrombocytopenia (HIT) and heparin-induced thrombocytopenia and thrombosis (HITT) [see Warnings and Precautions (5.3) ] • Known hypersensitivity to heparin or pork products (e.g., anaphylactoid reactions) [see Warnings and Precautions (5.7) , Adverse Reactions (6.1) ] • In whom suitable blood coagulation tests — e.g., the whole blood clotting time, partial thromboplastin time, etc., — cannot be performed at appropriate intervals (this contraindication refers to full-dose heparin; there is usually no need to monitor coagulation parameters in patients receiving low-dose heparin) [see Warnings and Precautions (5.5) ] • Uncontrollable active bleeding state except when this is due to disseminated intravascular coagulation [see Warnings and Precautions (5.2) ].

Adverse Reactions

The following serious adverse reactions are described elsewhere in the labeling: • Hemorrhage [see Warnings and Precautions (5.2) ] • Heparin-Induced Thrombocytopenia and Heparin-Induced Thrombocytopenia with Thrombosis [see Warnings and Precautions (5.3) ] • Thrombocytopenia [see Warnings and Precautions (5.4) ] • Heparin Resistance [see Warnings and Precautions (5.6) ] • Hypersensitivity [see Warnings and Precautions (5.7) ] • Hyperkalemia [see Warnings and Precautions (5.8) ] • Elevations of Serum Aminotransferases [see Warnings and Precautions (5.9) ]

Drug Interactions

Drugs that interfere with coagulation, platelet aggregation or drugs that counteract coagulation may induce bleeding. ( 7 )

Storage and Handling

Intravenous solutions with heparin sodium are available in single-dose flexible plastic containers in various sizes and concentrations as shown in the accompanying Table as follows:          Contents and Characteristics Per 100 mL Unit of Sale Concentration Dextrose (hydrous) Sodium mEq/L Citrate mEq/L Tonicity NDC 0409-7793-62 Case of 24 Single-dose flexible plastic containers 25,000 USP Units/250 mL (100 USP Units/mL) 5 g 39 42 Isotonic NDC 0409-4520-30 Case of 30 Single-dose flexible plastic containers 25,000 USP Units/250 mL (100 USP Units/mL) 5 g 39 42 Isotonic NDC 0409-7793-23 Case of 24 Single-dose flexible plastic containers 10,000 USP Units/100 mL (100 USP Units/mL) 5 g 39 42 Isotonic NDC 0409-7794-62 Case of 24 Single-dose flexible plastic containers 12,500 USP Units/250 mL (50 USP Units/mL) 5 g 38 42 Isotonic For the above Heparin Sodium products the pH range is 5.7 (5.0 to 6.0) and the osmolarity mOsmol/liter (calc.) is 304. Store at 20°C to 25°C (68°F to 77°F). [See USP Controlled Room Temperature.] Protect from freezing.

How Supplied

Intravenous solutions with heparin sodium are available in single-dose flexible plastic containers in various sizes and concentrations as shown in the accompanying Table as follows:          Contents and Characteristics Per 100 mL Unit of Sale Concentration Dextrose (hydrous) Sodium mEq/L Citrate mEq/L Tonicity NDC 0409-7793-62 Case of 24 Single-dose flexible plastic containers 25,000 USP Units/250 mL (100 USP Units/mL) 5 g 39 42 Isotonic NDC 0409-4520-30 Case of 30 Single-dose flexible plastic containers 25,000 USP Units/250 mL (100 USP Units/mL) 5 g 39 42 Isotonic NDC 0409-7793-23 Case of 24 Single-dose flexible plastic containers 10,000 USP Units/100 mL (100 USP Units/mL) 5 g 39 42 Isotonic NDC 0409-7794-62 Case of 24 Single-dose flexible plastic containers 12,500 USP Units/250 mL (50 USP Units/mL) 5 g 38 42 Isotonic For the above Heparin Sodium products the pH range is 5.7 (5.0 to 6.0) and the osmolarity mOsmol/liter (calc.) is 304. Store at 20°C to 25°C (68°F to 77°F). [See USP Controlled Room Temperature.] Protect from freezing.


Medication Information

Warnings and Precautions

• Fatal Medication Errors: Confirm choice of correct strength prior to administration. ( 5.1 ) • Hemorrhage: Fatal cases have occurred. Monitor for signs of bleeding and manage promptly. ( 5.2 ) • HIT or HITT: Monitor for signs and symptoms and discontinue if indicative of HIT or HITT. ( 5.3) • Thrombocytopenia: Monitor platelet count during therapy; discontinue heparin if HIT or HITT is suspected. ( 5.4 ) • Monitoring: Blood coagulation tests guide therapy for full-dose heparin. Monitor platelet count and hematocrit in all patients receiving heparin. ( 5.5 ) • Heparin Resistance: Increased resistance to heparin is frequently encountered in fever, thrombosis, thrombophlebitis, infections with thrombosing tendencies, myocardial infarction, cancer and in postsurgical patients. ( 5.6 ) • Hypersensitivity Reactions: Use in patients with prior reactions only in life-threatening situations. ( 5.7 ) • Hyperkalemia: Measure plasma potassium in patients at risk of hyperkalemia before starting heparin therapy and periodically in all patients. ( 5.8 ) • Elevations of Serum Aminotransferases: Interpret elevation of these enzymes with caution. ( 5.9 )

Indications and Usage

Heparin Sodium in 5% Dextrose Injection is indicated for: • Prophylaxis and treatment of venous thrombosis and pulmonary embolism • Prophylaxis and treatment of thromboembolic complications associated with atrial fibrillation • Treatment of acute and chronic consumption coagulopathies (disseminated intravascular coagulation) • Prevention of clotting in arterial and cardiac surgery • Prophylaxis and treatment of peripheral arterial embolism • Anticoagulant use in blood transfusions, extracorporeal circulation, and dialysis procedures.

Dosage and Administration

Recommended Adult Dosages: • Therapeutic Anticoagulant Effect with Full-Dose Heparin* ( 2.3 ) Intermittent Intravenous Injection Initial Dose 10,000 Units, either undiluted or in 50 to 100 mL of 5% Dextrose Injection Subsequent Doses 5,000 to 10,000 Units every 4 to 6 hours, either undiluted or in 50 to 100 mL of 5% Dextrose Injection Continuous Intravenous Infusion Initial Dose 5,000 Units by intravenous injection Continuous 20,000 to 40,000 Units every 24 hours in 1000 mL of 5% Dextrose Injection *Based on 150 lb. (68 kg) patient. • Cardiovascular Surgery ( 2.5 ) Intravascular via Total Body Perfusion Initial Dose Greater than or equal to 150 units/kg; adjust for longer procedures • Extracorporeal Dialysis ( 2.8 ) For pediatric dosing see section 2.4 of full prescribing information. Intravascular via Extracorporeal Dialysis Follow equipment manufacturer's operating directions carefully.

Contraindications

The use of Heparin Sodium in 5% Dextrose Injection is contraindicated in patients with the following conditions: • History of heparin-induced thrombocytopenia (HIT) and heparin-induced thrombocytopenia and thrombosis (HITT) [see Warnings and Precautions (5.3) ] • Known hypersensitivity to heparin or pork products (e.g., anaphylactoid reactions) [see Warnings and Precautions (5.7) , Adverse Reactions (6.1) ] • In whom suitable blood coagulation tests — e.g., the whole blood clotting time, partial thromboplastin time, etc., — cannot be performed at appropriate intervals (this contraindication refers to full-dose heparin; there is usually no need to monitor coagulation parameters in patients receiving low-dose heparin) [see Warnings and Precautions (5.5) ] • Uncontrollable active bleeding state except when this is due to disseminated intravascular coagulation [see Warnings and Precautions (5.2) ].

Adverse Reactions

The following serious adverse reactions are described elsewhere in the labeling: • Hemorrhage [see Warnings and Precautions (5.2) ] • Heparin-Induced Thrombocytopenia and Heparin-Induced Thrombocytopenia with Thrombosis [see Warnings and Precautions (5.3) ] • Thrombocytopenia [see Warnings and Precautions (5.4) ] • Heparin Resistance [see Warnings and Precautions (5.6) ] • Hypersensitivity [see Warnings and Precautions (5.7) ] • Hyperkalemia [see Warnings and Precautions (5.8) ] • Elevations of Serum Aminotransferases [see Warnings and Precautions (5.9) ]

Drug Interactions

Drugs that interfere with coagulation, platelet aggregation or drugs that counteract coagulation may induce bleeding. ( 7 )

Storage and Handling

Intravenous solutions with heparin sodium are available in single-dose flexible plastic containers in various sizes and concentrations as shown in the accompanying Table as follows:          Contents and Characteristics Per 100 mL Unit of Sale Concentration Dextrose (hydrous) Sodium mEq/L Citrate mEq/L Tonicity NDC 0409-7793-62 Case of 24 Single-dose flexible plastic containers 25,000 USP Units/250 mL (100 USP Units/mL) 5 g 39 42 Isotonic NDC 0409-4520-30 Case of 30 Single-dose flexible plastic containers 25,000 USP Units/250 mL (100 USP Units/mL) 5 g 39 42 Isotonic NDC 0409-7793-23 Case of 24 Single-dose flexible plastic containers 10,000 USP Units/100 mL (100 USP Units/mL) 5 g 39 42 Isotonic NDC 0409-7794-62 Case of 24 Single-dose flexible plastic containers 12,500 USP Units/250 mL (50 USP Units/mL) 5 g 38 42 Isotonic For the above Heparin Sodium products the pH range is 5.7 (5.0 to 6.0) and the osmolarity mOsmol/liter (calc.) is 304. Store at 20°C to 25°C (68°F to 77°F). [See USP Controlled Room Temperature.] Protect from freezing.

How Supplied

Intravenous solutions with heparin sodium are available in single-dose flexible plastic containers in various sizes and concentrations as shown in the accompanying Table as follows:          Contents and Characteristics Per 100 mL Unit of Sale Concentration Dextrose (hydrous) Sodium mEq/L Citrate mEq/L Tonicity NDC 0409-7793-62 Case of 24 Single-dose flexible plastic containers 25,000 USP Units/250 mL (100 USP Units/mL) 5 g 39 42 Isotonic NDC 0409-4520-30 Case of 30 Single-dose flexible plastic containers 25,000 USP Units/250 mL (100 USP Units/mL) 5 g 39 42 Isotonic NDC 0409-7793-23 Case of 24 Single-dose flexible plastic containers 10,000 USP Units/100 mL (100 USP Units/mL) 5 g 39 42 Isotonic NDC 0409-7794-62 Case of 24 Single-dose flexible plastic containers 12,500 USP Units/250 mL (50 USP Units/mL) 5 g 38 42 Isotonic For the above Heparin Sodium products the pH range is 5.7 (5.0 to 6.0) and the osmolarity mOsmol/liter (calc.) is 304. Store at 20°C to 25°C (68°F to 77°F). [See USP Controlled Room Temperature.] Protect from freezing.

Description

Contraindications ( 4 ) 12/2023 Warnings and Precautions, Hemorrhage ( 5.2 ) 12/2023 Warnings and Precautions, Heparin-Induced Thrombocytopenia (HIT) and Heparin-Induced Thrombocytopenia and Thrombosis (HITT) ( 5.3 ) 12/2023 Warnings and Precautions, Hypersensitivity Reactions ( 5.7 ) 12/2023 Warnings and Precautions, Hyperkalemia ( 5.8 ) 12/2023 Warnings and Precautions, Elevations of Serum Aminotransferases ( 5.9 ) 12/2023

Section 42229-5
  • Hemorrhage - Hemorrhage is the chief complication that may result from heparin therapy [see Warnings and Precautions (5.2)]. An overly prolonged clotting time or minor bleeding during therapy can usually be controlled by withdrawing the drug [see Overdosage (10) ]. Gastrointestinal or urinary tract bleeding during anticoagulant therapy may indicate the presence of an underlying occult lesion. Bleeding can occur at any site but certain specific hemorrhagic complications may be difficult to detect:
    • -
      Adrenal hemorrhage, with resultant acute adrenal insufficiency, has occurred with heparin therapy, including fatal cases.
    • -
      Ovarian (corpus luteum) hemorrhage developed in a number of women of reproductive age receiving short- or long-term anticoagulant therapy.
    • -
      Retroperitoneal hemorrhage.
  • Vascular Disorders – Contusion, vasospastic reactions (including episodes of painful, ischemic, and cyanosed limbs).
  • HIT and HITT, including delayed onset cases, and Thrombocytopenia - [see Warnings and Precautions (5.3, 5.4)]
  • Histamine-like reactions – Such reactions have been observed at the site of injections. Necrosis of the skin has been reported at the site of subcutaneous injection of heparin, occasionally requiring skin grafting.
  • Hypersensitivity – Generalized hypersensitivity reactions have been reported with chills, fever, and urticaria as the most usual manifestations, and asthma, rhinitis, lacrimation, headache, nausea and vomiting, and anaphylactoid reactions, including shock, occurring more rarely. Itching and burning, especially on the plantar site of the feet, may occur [see Warnings and Precautions (5.7)].
  • Musculoskeletal, Connective Tissue and Bone Disorders – Osteoporosis with long-term administration of heparin.
  • Metabolism and Nutrition Disorders – Hyperkalemia.
  • General Disorders and Administration Site Conditions – Erythema, mild pain, ulceration.
  • Elevations of Serum Aminotransferases – Significant elevations of aspartate aminotransferase (AST) and alanine aminotransferase (ALT) levels have occurred in patients who have received heparin.
  • Others – Osteoporosis following long-term administration of high-doses of heparin, cutaneous necrosis after systemic administration, suppression of aldosterone synthesis, delayed transient alopecia, priapism, and rebound hyperlipemia on discontinuation of heparin sodium have also been reported.
Section 43683-2

Contraindications (4)

12/2023

Warnings and Precautions, Hemorrhage (5.2)

12/2023

Warnings and Precautions, Heparin-Induced Thrombocytopenia (HIT) and Heparin-Induced Thrombocytopenia and Thrombosis (HITT) (5.3)

12/2023

Warnings and Precautions, Hypersensitivity Reactions (5.7)

12/2023

Warnings and Precautions, Hyperkalemia (5.8)

12/2023

Warnings and Precautions, Elevations of Serum Aminotransferases (5.9)

12/2023

10 Overdosage

An overdose requires immediate medical attention and treatment.

11 Description

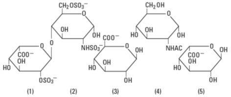
Heparin is a heterogeneous group of straight-chain anionic mucopolysaccharides, called glycosaminoglycans having anticoagulant properties. Although others may be present, the main sugars occurring in heparin are: (1) α-L-iduronic acid 2-sulfate, (2) 2-deoxy-2-sulfamino-α-D-glucose 6∙sulfate, (3) β-D-glucuronic acid, (4) 2-acetamido-2-deoxy-α-D-glucose, and (5) α-L-iduronic acid. These sugars are present in decreasing amounts, usually in the order (2)>(1)>(4)>(3)>(5), and are joined by glycosidic linkages, forming polymers of varying sizes. Heparin is strongly acidic because of its content of covalently linked sulfate and carboxylic acid groups. In heparin sodium, the acidic protons of the sulfate units are partially replaced by sodium ions.

Structure of Heparin Sodium (representative subunits):

Dextrose, USP is chemically designated D-glucose, monohydrate C6H12O6 ∙ H2O, a hexose sugar freely soluble in water. It has the following structural formula:

Water for Injection, USP is chemically designated H2O.

Intravenous solutions with heparin sodium (derived from porcine intestinal mucosa) are sterile, nonpyrogenic fluids for intravenous administration. Each 100 mL contains heparin sodium 5,000 or 10,000 USP Units; dextrose, hydrous 5 g; citric acid, anhydrous, 51 mg and sodium citrate, dihydrate 334 mg added as buffers; sodium metabisulfite 20 mg added as an antioxidant. Each liter contains electrolytes sodium and citrate in amounts as listed in HOW SUPPLIED/STORAGE AND HANDLING Table. See Table for summary of contents and characteristics of this solution. The potency is determined by a biological assay using a USP reference standard based on units of heparin activity per milligram.

The flexible plastic container is fabricated either from a specially formulated nonplasticized, thermoplastic co-polyester (CR3) or from a polyolefin film. Water can permeate from inside the container into the overwrap but not in amounts sufficient to affect the solution significantly. Solutions inside the plastic container also can leach out certain of its chemical components in very small amounts before the expiration period is attained. However, the safety of the plastic has been confirmed by tests in animals according to USP biological standards for plastic containers.

5.2 Hemorrhage

Hemorrhage, including fatal events, has occurred in patients receiving heparin sodium. Avoid using heparin in the presence of major bleeding, except when the benefits of heparin therapy outweigh the potential risks.

Hemorrhage can occur at virtually any site in patients receiving heparin. Adrenal hemorrhage (with resultant acute adrenal insufficiency), ovarian hemorrhage, and retroperitoneal hemorrhage have occurred during anticoagulant therapy with heparin [see Adverse Reactions (6.1)]. A higher incidence of bleeding has been reported in patients, particularly women, over 60 years of age [see Clinical Pharmacology (12.3)]. An unexplained fall in hematocrit or fall in blood pressure should lead to serious consideration of a hemorrhagic event.

Use heparin sodium with caution in disease states in which there is increased risk of hemorrhage, including:

  • Cardiovascular — Subacute bacterial endocarditis. Severe hypertension.
  • Surgical — During and immediately following (a) spinal tap or spinal anesthesia or (b) major surgery, especially involving the brain, spinal cord or eye.
  • Hematologic — Conditions associated with increased bleeding tendencies, such as hemophilia, thrombocytopenia and some vascular purpuras.
  • Patients with hereditary antithrombin III deficiency receiving concurrent antithrombin III therapy – The anticoagulant effect of heparin is enhanced by concurrent treatment with antithrombin III (human) in patients with hereditary antithrombin III deficiency. To reduce the risk of bleeding, reduce the heparin dose during concomitant treatment with antithrombin III (human).
  • Gastrointestinal — Ulcerative lesions and continuous tube drainage of the stomach or small intestine.
  • Other — Menstruation, liver disease with impaired hemostasis.
5.8 Hyperkalemia

Heparin can suppress adrenal secretion of aldosterone leading to hyperkalemia, particularly in patients with diabetes mellitus, chronic renal failure, pre-existing metabolic acidosis, a raised plasma potassium, or taking potassium sparing drugs. The risk of hyperkalemia appears to increase with duration of therapy but is usually reversible upon discontinuation of heparin.

Measure plasma potassium in patients at risk of hyperkalemia before starting heparin therapy and periodically in all patients treated for more than 5 days or earlier as deemed fit by the clinician.

2.4 Pediatric Use

There are no adequate and well-controlled studies on heparin use in pediatric patients. Pediatric dosing recommendations are based on clinical experience. In general, the following dosage schedule may be used as a guideline in pediatric patients:

Initial Dose

75 units/kg to 100 units/kg (intravenous bolus over 10 minutes)

Maintenance Dose

Infants: 25 units/kg/hour to 30 units/kg/hour;

Infants < 2 months have the highest requirements (average 28 units/kg/hour)

Children > 1 year of age: 18 units/kg/hour to 20 units/kg/hour;

Older children may require less heparin, similar to weight-adjusted adult dosage

Monitoring

Adjust heparin to maintain APTT of 60 to 85 seconds, assuming this reflects an anti-Factor Xa level of 0.35 to 0.70.

8.4 Pediatric Use

There are no adequate and well controlled studies on heparin use in pediatric patients. Pediatric dosing recommendations are based on clinical experience [see Dosage and Administration (2.4)].

8.5 Geriatric Use

There are limited adequate and well-controlled studies in patients 65 years and older. However, a higher incidence of bleeding has been reported in patients over 60 years of age, especially women [see Warnings and Precautions (5.2)]. Lower doses of heparin may be indicated in these patients [see Clinical Pharmacology (12.3)].

4 Contraindications

The use of Heparin Sodium in 5% Dextrose Injection is contraindicated in patients with the following conditions:

  • History of heparin-induced thrombocytopenia (HIT) and heparin-induced thrombocytopenia and thrombosis (HITT) [see Warnings and Precautions (5.3)]
  • Known hypersensitivity to heparin or pork products (e.g., anaphylactoid reactions) [see Warnings and Precautions (5.7) , Adverse Reactions (6.1)]
  • In whom suitable blood coagulation tests — e.g., the whole blood clotting time, partial thromboplastin time, etc., — cannot be performed at appropriate intervals (this contraindication refers to full-dose heparin; there is usually no need to monitor coagulation parameters in patients receiving low-dose heparin) [see Warnings and Precautions (5.5)]
  • Uncontrollable active bleeding state except when this is due to disseminated intravascular coagulation [see Warnings and Precautions (5.2) ].
6 Adverse Reactions

The following serious adverse reactions are described elsewhere in the labeling:

7 Drug Interactions

Drugs that interfere with coagulation, platelet aggregation or drugs that counteract coagulation may induce bleeding. (7)

5.4 Thrombocytopenia

Thrombocytopenia has been reported to occur in patients receiving heparin with a reported incidence of up to 30%. It can occur 2 to 20 days (average 5 to 9) following the onset of heparin therapy. Obtain platelet counts before and periodically during heparin therapy. Monitor thrombocytopenia of any degree closely. If the count falls below 100,000/mm3 or if recurrent thrombosis develops, promptly discontinue heparin, evaluate for HIT, and, if necessary, administer an alternative anticoagulant [see Warnings and Precautions (5.3)].

12.2 Pharmacodynamics

Various times (activated clotting time, activated partial thromboplastin time, prothrombin time, whole blood clotting time) are prolonged by full therapeutic doses of heparin; in most cases, they are not measurably affected by low doses of heparin. Bleeding time is usually unaffected by heparin.

5.6 Heparin Resistance

Increased resistance to heparin is frequently encountered in fever, thrombosis, thrombophlebitis, infections with thrombosing tendencies, myocardial infarction, cancer and in postsurgical patients, and patients with antithrombin III deficiency.

Consider measurement of anti-thrombin levels if heparin resistance is suspected. Monitor coagulation tests frequently in such patients. It may be necessary to adjust the dose of heparin based on coagulation test monitoring, such as anti-Factor Xa levels and/or partial thromboplastin time.

1 Indications and Usage

Heparin Sodium in 5% Dextrose Injection is indicated for:

  • Prophylaxis and treatment of venous thrombosis and pulmonary embolism
  • Prophylaxis and treatment of thromboembolic complications associated with atrial fibrillation
  • Treatment of acute and chronic consumption coagulopathies (disseminated intravascular coagulation)
  • Prevention of clotting in arterial and cardiac surgery
  • Prophylaxis and treatment of peripheral arterial embolism
  • Anticoagulant use in blood transfusions, extracorporeal circulation, and dialysis procedures.
7.1 Oral Anticoagulants

Heparin sodium may prolong the one-stage prothrombin time. Therefore, when heparin sodium is given with dicumarol or warfarin sodium, a period of at least 5 hours after the last intravenous dose or 24 hours after the last subcutaneous dose should elapse before blood is drawn if a valid prothrombin time is to be obtained.

7.2 Platelet Inhibitors

Drugs such as NSAIDS (including acetylsalicylic acid, ibuprofen, indomethacin, and celecoxib), dextran, phenylbutazone, thienopyridines, dipyridamole, hydroxychloroquine, glycoprotein IIv/IIa antagonists (including abciximab, eptifibatide, and tirofiban), and others that interfere with platelet-aggregation reactions (the main hemostatic defense of heparinized patients) may induce bleeding and should be used with caution in patients receiving heparin sodium. To reduce the risk of bleeding, a reduction in the dose of antiplatelet agent or heparin is recommended.

12.1 Mechanism of Action

Heparin interacts with the naturally occurring plasma protein, antithrombin III, to induce a conformational change, which markedly enhances the serine protease activity of antithrombin III, thereby inhibiting the activated coagulation factors involved in the closing sequence, particularly Xa and IIa. Small amounts of heparin inhibit Factor Xa, and larger amounts inhibit thrombin (Factor IIa). Heparin also prevents the formation of a stable fibrin clot by inhibiting the activation of the fibrin stabilizing factor. Heparin does not have fibrinolytic activity; therefore, it will not lyse existing clots.

2.5 Cardiovascular Surgery

Patients undergoing total body perfusion for open-heart surgery should receive an initial dose of not less than 150 units of heparin sodium per kilogram of body weight. Frequently, a dose of 300 units per kilogram is used for procedures estimated to last less than 60 minutes or 400 units per kilogram for those estimated to last longer than 60 minutes.

2.6 Converting to Warfarin

To ensure continuous anticoagulation when converting from heparin sodium to warfarin, continue full heparin therapy for several days until the INR (prothrombin time) has reached a stable therapeutic range. Heparin therapy may then be discontinued without tapering [see Drug Interactions (7.1) ].

5 Warnings and Precautions
  • Fatal Medication Errors: Confirm choice of correct strength prior to administration. (5.1)
  • Hemorrhage: Fatal cases have occurred. Monitor for signs of bleeding and manage promptly. (5.2)
  • HIT or HITT: Monitor for signs and symptoms and discontinue if indicative of HIT or HITT. (5.3)
  • Thrombocytopenia: Monitor platelet count during therapy; discontinue heparin if HIT or HITT is suspected. (5.4)
  • Monitoring: Blood coagulation tests guide therapy for full-dose heparin. Monitor platelet count and hematocrit in all patients receiving heparin. (5.5)
  • Heparin Resistance: Increased resistance to heparin is frequently encountered in fever, thrombosis, thrombophlebitis, infections with thrombosing tendencies, myocardial infarction, cancer and in postsurgical patients. (5.6)
  • Hypersensitivity Reactions: Use in patients with prior reactions only in life-threatening situations. (5.7)
  • Hyperkalemia: Measure plasma potassium in patients at risk of hyperkalemia before starting heparin therapy and periodically in all patients. (5.8)
  • Elevations of Serum Aminotransferases: Interpret elevation of these enzymes with caution. (5.9)
2 Dosage and Administration

Recommended Adult Dosages:

  • Therapeutic Anticoagulant Effect with Full-Dose Heparin* (2.3)

Intermittent Intravenous Injection

Initial Dose

10,000 Units, either undiluted or in 50 to 100 mL of 5% Dextrose Injection

Subsequent Doses

5,000 to 10,000 Units every 4 to 6 hours, either undiluted or in 50 to 100 mL of 5% Dextrose Injection

Continuous Intravenous Infusion

Initial Dose

5,000 Units by intravenous injection

Continuous

20,000 to 40,000 Units every 24 hours in 1000 mL of 5% Dextrose Injection

*Based on 150 lb. (68 kg) patient.

  • Cardiovascular Surgery (2.5)

Intravascular via Total Body Perfusion

Initial Dose

Greater than or equal to 150 units/kg; adjust for longer procedures

  • Extracorporeal Dialysis (2.8)
For pediatric dosing see section 2.4 of full prescribing information.

Intravascular via Extracorporeal Dialysis

Follow equipment manufacturer's operating directions carefully.

2.8 Extracorporeal Dialysis

Follow equipment manufacturer's operating directions carefully. A dose of 25 to 30 units/kg followed by an infusion rate of 1,500 to 2,000 units/hour is suggested based on pharmacodynamic data if specific manufacturers' recommendations are not available.

5.1 Fatal Medication Errors

Do not use this product as a "catheter lock flush" product. Heparin is supplied in various strengths. Fatal hemorrhages have occurred due to medication errors. Carefully examine all heparin products to confirm the correct container choice prior to administration of the drug.

3 Dosage Forms and Strengths

Heparin Sodium in 5% Dextrose Injection is available as:

  • Heparin Sodium 25,000 USP units per 250 mL (100 USP units per mL) in 5% Dextrose Injection.
  • Heparin Sodium 10,000 USP units per 100 mL (100 USP units per mL) in 5% Dextrose Injection.
  • Heparin Sodium 12,500 USP units per 250 mL (50 USP units per mL) in 5% Dextrose Injection.
6.1 Postmarketing Experience

The following adverse reactions have been identified during post-approval use of heparin sodium. Because these reactions are reported voluntarily from a population of uncertain size, it is not always possible to reliably estimate their frequency.

5.7 Hypersensitivity Reactions

Hypersensitivity reactions with chills, fever and urticaria as the most usual manifestations and also asthma, rhinitis, lacrimation, and anaphylactoid reactions have been reported. Patients with documented hypersensitivity to heparin should be given the drug only in clearly life-threatening situations [see Adverse Reactions (6.1)].

Because Heparin Sodium in 5% Dextrose Injection is derived from animal tissue, monitor for signs and symptoms of hypersensitivity when it is used in patients with a history of allergy to pork products.

This product contains sodium metabisulfite, a sulfite that may cause allergic-type reactions including anaphylactic symptoms and life-threatening or less severe asthmatic episodes in certain susceptible people. The overall prevalence of sulfite sensitivity in the general population is unknown and probably low. Sulfite sensitivity is seen more frequently in asthmatic than in nonasthmatic people.

2.1 Preparation for Administration

Confirm the selection of the correct formulation and strength prior to administration of the drug.

This product should be administered by intravenous infusion.

Do not use Heparin Sodium in 5% Dextrose Injection as a “catheter lock flush” product.

Do not admix with other drugs.

Discard unused portion.

Do not use plastic containers in series connection.

This product should not be infused under pressure.

Parenteral drug products should be inspected visually for particulate matter and discoloration prior to administration, whenever solution and container permit. Use only if solution is clear and container and seals are intact.

To Open

Tear outer wrap and remove solution container.

(Use aseptic technique)

  • 1.
    Close flow control clamp of administration set.
  • 2.
    Remove cover from outlet port at bottom of container.
  • 3.
    Insert piercing pin of administration set into port with a twisting motion until the set is firmly seated.

    NOTE: See full directions on administration set carton.
  • 4.
    Suspend container from hanger.
  • 5.
    Squeeze and release drip chamber to establish proper fluid level in chamber.
  • 6.
    Open flow control clamp and clear air from set. Close clamp.
  • 7.
    Attach set to venipuncture device. If device is not indwelling, prime and make venipuncture.
  • 8.
    Regulate rate of administration with flow control clamp.

Warning: Do not use flexible container in series connections.

16 How Supplied/storage and Handling

Intravenous solutions with heparin sodium are available in single-dose flexible plastic containers in various sizes and concentrations as shown in the accompanying Table as follows:

         Contents and

Characteristics Per 100 mL
Unit of Sale Concentration Dextrose

(hydrous)
Sodium

mEq/L
Citrate

mEq/L
Tonicity

NDC 0409-7793-62

Case of 24 Single-dose flexible plastic containers

25,000 USP Units/250 mL (100 USP Units/mL)

5 g

39

42

Isotonic

NDC 0409-4520-30

Case of 30 Single-dose flexible plastic containers

25,000 USP Units/250 mL (100 USP Units/mL)

5 g

39

42

Isotonic

NDC 0409-7793-23

Case of 24 Single-dose flexible plastic containers

10,000 USP Units/100 mL (100 USP Units/mL)

5 g

39

42

Isotonic

NDC 0409-7794-62

Case of 24 Single-dose flexible plastic containers

12,500 USP Units/250 mL (50 USP Units/mL)

5 g

38

42

Isotonic

For the above Heparin Sodium products the pH range is 5.7 (5.0 to 6.0) and the osmolarity mOsmol/liter (calc.) is 304. Store at 20°C to 25°C (68°F to 77°F). [See USP Controlled Room Temperature.] Protect from freezing.

5.5 Coagulation Testing and Monitoring

When using a full dose heparin regimen, adjust the heparin dose based on frequent blood coagulation tests. If the coagulation test is unduly prolonged or if hemorrhage occurs, heparin sodium should be discontinued promptly [see Overdosage (10)]. Periodic platelet counts, hematocrits and tests for occult blood in stool are recommended during the entire course of heparin therapy [see Dosage and Administration (2.2)].

5.9 Elevations of Serum Aminotransferases

Significant elevations of aspartate aminotransferase (AST) and alanine aminotransferase (ALT) levels have occurred in patients who have received heparin. Elevation of these enzymes in patients receiving heparin should be interpreted with caution. These elevations typically resolve upon heparin discontinuation.

2.2 Laboratory Monitoring for Efficacy and Safety

Adjust the dosage of heparin sodium according to the patient's coagulation test results. When heparin is given by continuous intravenous infusion, determine the coagulation time approximately every 4 hours in the early stages of treatment. When the drug is administered intermittently by intravenous injection, perform coagulation tests before each injection during the early stages of treatment and at appropriate intervals thereafter. Dosage is considered adequate when the activated partial thromboplastin time (APTT) is 1.5 to 2 times the normal or when the whole blood clotting time is elevated approximately 2.5 to 3 times the control value.

Periodic platelet counts, hematocrits, and tests for occult blood in stool are recommended during the entire course of heparin therapy.

Principal Display Panel 100 Ml Bag Label Im 3956

100 mL SINGLE-DOSE CONTAINER

NDC 0409-7793-13

HEPARIN

Rx ONLY

10,000 USP Units/100 mL

(100 USP Units/mL)

HEPARIN SODIUM IN

5% DEXTROSE INJECTION

WARNING: CONTAINS SULFITES

EACH 100 mL CONTAINS HEPARIN SODIUM

10,000 USP UNITS (PORCINE INTESTINAL

MUCOSA); DEXTROSE, HYDROUS 5 g; CITRIC

ACID, ANHYDROUS 51 mg; SODIUM CITRATE,

DIHYDRATE 334 mg; SODIUM METABISULFITE

20 mg; STERILE. NOT MADE WITH NATURAL

RUBBER LATEX. USUAL DOSAGE: SEE INSERT.

ADDITIVES SHOULD NOT BE MADE TO THIS

SOLUTION. SINGLE DOSE CONTAINER.

DISCARD UNUSED PORTION.

FOR INTRAVENOUS USE ONLY.

IM - 3956

HOSPIRA, INC.

LAKE FOREST, IL 60045 USA

7

OTHER

Hospira

Principal Display Panel 100 Ml Bag Label Wr 0482

TO OPEN – TEAR AT NOTCH

100 mL

SINGLE-DOSE

CONTAINER

HEPARIN

10,000 USP Units/100 mL

(100 USP Units/mL)

NDC 0409-7793-13

HEPARIN SODIUM

IN 5% DEXTROSE INJECTION

WARNING: CONTAINS SULFITES

Each 100 mL contains heparin sodium 10,000 USP Units

(porcine intestinal mucosa); dextrose, hydrous 5 g; citric acid,

anhydrous 51 mg; sodium citrate, dihydrate 334 mg; sodium

metabisulfite 20 mg; Sterile. Not made with natural rubber

latex. Usual Dosage: See insert. Store at 20 to 25°C (68 to 77°F).

[See USP Controlled Room Temperature.]

ADDITIVES SHOULD NOT BE MADE TO THIS SOLUTION.

Single Dose Container. Discard Unused Portion. For Intravenous

Use Only.

Rx only

7

OTHER

F WR-0482

Hospira, Inc., Lake Forest, IL 60045 USA

Hospira

Principal Display Panel 250 Ml Bag Label Im 5191

250 mL SINGLE-DOSE CONTAINER

NDC 0409-7793-52

HEPARIN

25,000 USP Units/250 mL

(100 USP Units/mL)

HEPARIN SODIUM IN

5% DEXTROSE INJECTION

WARNING: CONTAINS SULFITES

EACH 100 mL CONTAINS

HEPARIN SODIUM 10,000 USP

UNITS (PORCINE INTESTINAL

MUCOSA); DEXTROSE, HYDROUS

5 g; CITRIC ACID, ANHYDROUS

51 mg; SODIUM CITRATE,

DIHYDRATE 334 mg; SODIUM

METABISULFITE 20 mg;

STERILE. NOT MADE WITH

NATURAL RUBBER LATEX.

RECOMMENDED DOSAGE:

SEE PRESCRIBING INFORMATION.

ADDITIVES SHOULD NOT

BE MADE TO THIS SOLUTION.

SINGLE DOSE CONTAINER.

DISCARD UNUSED PORTION.

FOR INTRAVENOUS USE ONLY.

Rx ONLY

7

OTHER

DIST. BY HOSPIRA, INC.,

LAKE FOREST, IL 60045 USA

IM-5191

Hospira

Principal Display Panel 250 Ml Bag Label Im 5192

250 mL SINGLE-DOSE CONTAINER

NDC 0409-7794-52

HEPARIN

Rx ONLY

12,500 USP Units/250 mL

(50 USP Units/mL)

HEPARIN SODIUM IN

5% DEXTROSE INJECTION

WARNING: CONTAINS SULFITES

EACH 100 mL CONTAINS

HEPARIN SODIUM 5,000 USP

UNITS (PORCINE INTESTINAL

MUCOSA); DEXTROSE,

HYDROUS 5 g; CITRIC ACID,

ANHYDROUS 51 mg; SODIUM

CITRATE, DIHYDRATE 334 mg;

SODIUM METABISULFITE 20 mg;

STERILE. NOT MADE

WITH NATURAL RUBBER LATEX.

RECOMMENDED DOSAGE:

SEE PRESCRIBING INFORMATION.

ADDITIVES SHOULD

NOT BE MADE TO THIS

SOLUTION. SINGLE

DOSE CONTAINER. DISCARD

UNUSED PORTION. FOR

INTRAVENOUS USE ONLY.

7

OTHER

DIST. BY HOSPIRA, INC.,

LAKE FOREST, IL 60045 USA

IM-5192

Hospira

7.3 Other Medications That May Interfere With Heparin

Digitalis, tetracyclines, nicotine, antihistamines, or intravenous nitroglycerine may partially counteract the anticoagulant action of heparin sodium. Intravenous nitroglycerin administered to heparinized patients may result in a decrease of the partial thromboplastin time with subsequent rebound effect upon discontinuation of nitroglycerin. Careful monitoring of partial thromboplastin time and adjustment of heparin dosage are recommended during coadministration of heparin and intravenous nitroglycerin. Antithrombin III (human) – The anticoagulant effect of heparin is enhanced by concurrent treatment with antithrombin III (human) in patients with hereditary antithrombin III deficiency. To reduce the risk of bleeding, a reduced dosage of heparin is recommended during treatment with antithrombin III (human).

Principal Display Panel 250 Ml Bag Label – 12135 04

250 mL

NDC 0409-4520-02

Heparin

25,000 USP Units/250 mL

(100 USP Units/mL)

Heparin Sodium

in 5% Dextrose Injection

Warning: contains sulfites

Each 100 mL contains Heparin Sodium 10,000 USP units

(Porcine Intestinal Mucosa); Dextrose, Hydrous 5 g; Citric Acid,

Anhydrous 51 mg; Sodium Citrate, Dihydrate 334 mg;

Sodium Metabisulfite 20 mg; Sterile. Not made with natural

rubber latex. Recommended dosage: See prescribing information.

Additives should not be made to this solution.

Single dose container. Discard unused portion.

Inspect bag by squeezing firmly. If leaks are found, discard.

Store at 20°C to 25°C (68°F to 77°F). [See USP Controlled Room

Temperature.] Protect from freezing.

For Intravenous Use only. Do not remove from overwrap until

ready for use.

Rx ONLY

5

PP

Distributed by Hospira, Inc.,

Lake Forest, IL 60045 USA

12135-04

Hospira

13.1 Carcinogenesis, Mutagenesis, Impairment of Fertility

Long term studies in animals to evaluate the carcinogenic potential, reproduction studies in animals to determine effects on fertility of males and females, and the studies to determine mutagenic potential have not been conducted.

2.7 Converting to Oral Anticoagulants Other Than Warfarin

For patients currently receiving intravenous heparin, stop intravenous infusion of heparin sodium immediately after administering the first dose of oral anticoagulant; or for intermittent intravenous administration of heparin sodium, start oral anticoagulant 0 to 2 hours before the time that the next dose of heparin was to have been administered.

2.3 Therapeutic Anticoagulant Effect With Full Dose Heparin

The dosing recommendations in Table 1 are based on clinical experience. Although dosage must be adjusted for the individual patient according to the results of suitable laboratory tests, the following dosage schedules may be used as guidelines:

Table 1: Recommended Adult Full-Dose Heparin Regimens for Therapeutic Anticoagulant Effect
Method of Administration Frequency Recommended Dose
Based on 150 lb. (68 kg) patient.

Intermittent Intravenous Injection

Initial Dose

10,000 Units, either undiluted or in 50 to 100 mL of 5% Dextrose Injection

Subsequent Doses

5,000 to 10,000 Units every 4 to 6 hours, either undiluted or in 50 to 100 mL of 5% Dextrose Injection

Continuous Intravenous Infusion

Initial Dose

5,000 Units by intravenous injection

Continuous

20,000 to 40,000 Units every 24 hours in 1,000 mL of 5% Dextrose Injection

5.3 Heparin Induced Thrombocytopenia (hit) and Heparin Induced Thrombocytopenia and Thrombosis (hitt)

HIT is a serious immune-mediated reaction resulting from irreversible aggregation of platelets. HIT occurs in patients treated with heparin and is due to the development of antibodies to a platelet Factor 4-heparin complex that induce in vivo platelet aggregation. HIT may progress to the development of venous and arterial thromboses, a condition known as HITT. Thrombotic events may also be the initial presentation for HIT. These serious thromboembolic events include deep vein thrombosis, pulmonary embolism, cerebral vein thrombosis, limb ischemia, stroke, myocardial infarction, thrombus formation on a prosthetic cardiac valve, mesenteric thrombosis, renal arterial thrombosis, skin necrosis, gangrene of the extremities that may lead to amputation, and possibly death.

Once HIT or HITT is diagnosed or strongly suspected, discontinue all heparin sources (including heparin flushes) and use an alternative anticoagulant.

Immune-mediated HIT is diagnosed based on clinical findings supplemented by laboratory tests confirming the presence of antibodies to heparin, or platelet activation induced by heparin. Obtain platelet counts at baseline and periodically during heparin administration. A drop in platelet count greater than 50% from baseline is considered indicative of HIT. Platelet counts begin to fall 5 to 10 days after exposure to heparin in heparin-naïve individuals and reach a threshold by days 7 to 14. In contrast, “rapid onset” HIT can occur very quickly (within 24 hours following heparin initiation), especially in patients with a recent exposure to heparin (i.e., previous 3 months).

Thrombosis development shortly after documenting thrombocytopenia is a characteristic finding in almost half of all patients with HIT.

Monitor thrombocytopenia of any degree closely. If the platelet count falls below 100,000/mm3 or if recurrent thrombosis develops, promptly discontinue heparin, evaluate for HIT and HITT, and, if necessary, administer an alternative anticoagulant.

HIT or HITT can occur up to several weeks after the discontinuation of heparin therapy. Patients presenting with thrombocytopenia or thrombosis after discontinuation of heparin should be evaluated for HIT or HITT.


Structured Label Content

Section 42229-5 (42229-5)
  • Hemorrhage - Hemorrhage is the chief complication that may result from heparin therapy [see Warnings and Precautions (5.2)]. An overly prolonged clotting time or minor bleeding during therapy can usually be controlled by withdrawing the drug [see Overdosage (10) ]. Gastrointestinal or urinary tract bleeding during anticoagulant therapy may indicate the presence of an underlying occult lesion. Bleeding can occur at any site but certain specific hemorrhagic complications may be difficult to detect:
    • -
      Adrenal hemorrhage, with resultant acute adrenal insufficiency, has occurred with heparin therapy, including fatal cases.
    • -
      Ovarian (corpus luteum) hemorrhage developed in a number of women of reproductive age receiving short- or long-term anticoagulant therapy.
    • -
      Retroperitoneal hemorrhage.
  • Vascular Disorders – Contusion, vasospastic reactions (including episodes of painful, ischemic, and cyanosed limbs).
  • HIT and HITT, including delayed onset cases, and Thrombocytopenia - [see Warnings and Precautions (5.3, 5.4)]
  • Histamine-like reactions – Such reactions have been observed at the site of injections. Necrosis of the skin has been reported at the site of subcutaneous injection of heparin, occasionally requiring skin grafting.
  • Hypersensitivity – Generalized hypersensitivity reactions have been reported with chills, fever, and urticaria as the most usual manifestations, and asthma, rhinitis, lacrimation, headache, nausea and vomiting, and anaphylactoid reactions, including shock, occurring more rarely. Itching and burning, especially on the plantar site of the feet, may occur [see Warnings and Precautions (5.7)].
  • Musculoskeletal, Connective Tissue and Bone Disorders – Osteoporosis with long-term administration of heparin.
  • Metabolism and Nutrition Disorders – Hyperkalemia.
  • General Disorders and Administration Site Conditions – Erythema, mild pain, ulceration.
  • Elevations of Serum Aminotransferases – Significant elevations of aspartate aminotransferase (AST) and alanine aminotransferase (ALT) levels have occurred in patients who have received heparin.
  • Others – Osteoporosis following long-term administration of high-doses of heparin, cutaneous necrosis after systemic administration, suppression of aldosterone synthesis, delayed transient alopecia, priapism, and rebound hyperlipemia on discontinuation of heparin sodium have also been reported.
Section 43683-2 (43683-2)

Contraindications (4)

12/2023

Warnings and Precautions, Hemorrhage (5.2)

12/2023

Warnings and Precautions, Heparin-Induced Thrombocytopenia (HIT) and Heparin-Induced Thrombocytopenia and Thrombosis (HITT) (5.3)

12/2023

Warnings and Precautions, Hypersensitivity Reactions (5.7)

12/2023

Warnings and Precautions, Hyperkalemia (5.8)

12/2023

Warnings and Precautions, Elevations of Serum Aminotransferases (5.9)

12/2023

10 Overdosage (10 OVERDOSAGE)

An overdose requires immediate medical attention and treatment.

11 Description (11 DESCRIPTION)

Heparin is a heterogeneous group of straight-chain anionic mucopolysaccharides, called glycosaminoglycans having anticoagulant properties. Although others may be present, the main sugars occurring in heparin are: (1) α-L-iduronic acid 2-sulfate, (2) 2-deoxy-2-sulfamino-α-D-glucose 6∙sulfate, (3) β-D-glucuronic acid, (4) 2-acetamido-2-deoxy-α-D-glucose, and (5) α-L-iduronic acid. These sugars are present in decreasing amounts, usually in the order (2)>(1)>(4)>(3)>(5), and are joined by glycosidic linkages, forming polymers of varying sizes. Heparin is strongly acidic because of its content of covalently linked sulfate and carboxylic acid groups. In heparin sodium, the acidic protons of the sulfate units are partially replaced by sodium ions.

Structure of Heparin Sodium (representative subunits):

Dextrose, USP is chemically designated D-glucose, monohydrate C6H12O6 ∙ H2O, a hexose sugar freely soluble in water. It has the following structural formula:

Water for Injection, USP is chemically designated H2O.

Intravenous solutions with heparin sodium (derived from porcine intestinal mucosa) are sterile, nonpyrogenic fluids for intravenous administration. Each 100 mL contains heparin sodium 5,000 or 10,000 USP Units; dextrose, hydrous 5 g; citric acid, anhydrous, 51 mg and sodium citrate, dihydrate 334 mg added as buffers; sodium metabisulfite 20 mg added as an antioxidant. Each liter contains electrolytes sodium and citrate in amounts as listed in HOW SUPPLIED/STORAGE AND HANDLING Table. See Table for summary of contents and characteristics of this solution. The potency is determined by a biological assay using a USP reference standard based on units of heparin activity per milligram.

The flexible plastic container is fabricated either from a specially formulated nonplasticized, thermoplastic co-polyester (CR3) or from a polyolefin film. Water can permeate from inside the container into the overwrap but not in amounts sufficient to affect the solution significantly. Solutions inside the plastic container also can leach out certain of its chemical components in very small amounts before the expiration period is attained. However, the safety of the plastic has been confirmed by tests in animals according to USP biological standards for plastic containers.

5.2 Hemorrhage

Hemorrhage, including fatal events, has occurred in patients receiving heparin sodium. Avoid using heparin in the presence of major bleeding, except when the benefits of heparin therapy outweigh the potential risks.

Hemorrhage can occur at virtually any site in patients receiving heparin. Adrenal hemorrhage (with resultant acute adrenal insufficiency), ovarian hemorrhage, and retroperitoneal hemorrhage have occurred during anticoagulant therapy with heparin [see Adverse Reactions (6.1)]. A higher incidence of bleeding has been reported in patients, particularly women, over 60 years of age [see Clinical Pharmacology (12.3)]. An unexplained fall in hematocrit or fall in blood pressure should lead to serious consideration of a hemorrhagic event.

Use heparin sodium with caution in disease states in which there is increased risk of hemorrhage, including:

  • Cardiovascular — Subacute bacterial endocarditis. Severe hypertension.
  • Surgical — During and immediately following (a) spinal tap or spinal anesthesia or (b) major surgery, especially involving the brain, spinal cord or eye.
  • Hematologic — Conditions associated with increased bleeding tendencies, such as hemophilia, thrombocytopenia and some vascular purpuras.
  • Patients with hereditary antithrombin III deficiency receiving concurrent antithrombin III therapy – The anticoagulant effect of heparin is enhanced by concurrent treatment with antithrombin III (human) in patients with hereditary antithrombin III deficiency. To reduce the risk of bleeding, reduce the heparin dose during concomitant treatment with antithrombin III (human).
  • Gastrointestinal — Ulcerative lesions and continuous tube drainage of the stomach or small intestine.
  • Other — Menstruation, liver disease with impaired hemostasis.
5.8 Hyperkalemia

Heparin can suppress adrenal secretion of aldosterone leading to hyperkalemia, particularly in patients with diabetes mellitus, chronic renal failure, pre-existing metabolic acidosis, a raised plasma potassium, or taking potassium sparing drugs. The risk of hyperkalemia appears to increase with duration of therapy but is usually reversible upon discontinuation of heparin.

Measure plasma potassium in patients at risk of hyperkalemia before starting heparin therapy and periodically in all patients treated for more than 5 days or earlier as deemed fit by the clinician.

2.4 Pediatric Use

There are no adequate and well-controlled studies on heparin use in pediatric patients. Pediatric dosing recommendations are based on clinical experience. In general, the following dosage schedule may be used as a guideline in pediatric patients:

Initial Dose

75 units/kg to 100 units/kg (intravenous bolus over 10 minutes)

Maintenance Dose

Infants: 25 units/kg/hour to 30 units/kg/hour;

Infants < 2 months have the highest requirements (average 28 units/kg/hour)

Children > 1 year of age: 18 units/kg/hour to 20 units/kg/hour;

Older children may require less heparin, similar to weight-adjusted adult dosage

Monitoring

Adjust heparin to maintain APTT of 60 to 85 seconds, assuming this reflects an anti-Factor Xa level of 0.35 to 0.70.

8.4 Pediatric Use

There are no adequate and well controlled studies on heparin use in pediatric patients. Pediatric dosing recommendations are based on clinical experience [see Dosage and Administration (2.4)].

8.5 Geriatric Use

There are limited adequate and well-controlled studies in patients 65 years and older. However, a higher incidence of bleeding has been reported in patients over 60 years of age, especially women [see Warnings and Precautions (5.2)]. Lower doses of heparin may be indicated in these patients [see Clinical Pharmacology (12.3)].

4 Contraindications (4 CONTRAINDICATIONS)

The use of Heparin Sodium in 5% Dextrose Injection is contraindicated in patients with the following conditions:

  • History of heparin-induced thrombocytopenia (HIT) and heparin-induced thrombocytopenia and thrombosis (HITT) [see Warnings and Precautions (5.3)]
  • Known hypersensitivity to heparin or pork products (e.g., anaphylactoid reactions) [see Warnings and Precautions (5.7) , Adverse Reactions (6.1)]
  • In whom suitable blood coagulation tests — e.g., the whole blood clotting time, partial thromboplastin time, etc., — cannot be performed at appropriate intervals (this contraindication refers to full-dose heparin; there is usually no need to monitor coagulation parameters in patients receiving low-dose heparin) [see Warnings and Precautions (5.5)]
  • Uncontrollable active bleeding state except when this is due to disseminated intravascular coagulation [see Warnings and Precautions (5.2) ].
6 Adverse Reactions (6 ADVERSE REACTIONS)

The following serious adverse reactions are described elsewhere in the labeling:

7 Drug Interactions (7 DRUG INTERACTIONS)

Drugs that interfere with coagulation, platelet aggregation or drugs that counteract coagulation may induce bleeding. (7)

5.4 Thrombocytopenia

Thrombocytopenia has been reported to occur in patients receiving heparin with a reported incidence of up to 30%. It can occur 2 to 20 days (average 5 to 9) following the onset of heparin therapy. Obtain platelet counts before and periodically during heparin therapy. Monitor thrombocytopenia of any degree closely. If the count falls below 100,000/mm3 or if recurrent thrombosis develops, promptly discontinue heparin, evaluate for HIT, and, if necessary, administer an alternative anticoagulant [see Warnings and Precautions (5.3)].

12.2 Pharmacodynamics

Various times (activated clotting time, activated partial thromboplastin time, prothrombin time, whole blood clotting time) are prolonged by full therapeutic doses of heparin; in most cases, they are not measurably affected by low doses of heparin. Bleeding time is usually unaffected by heparin.

5.6 Heparin Resistance

Increased resistance to heparin is frequently encountered in fever, thrombosis, thrombophlebitis, infections with thrombosing tendencies, myocardial infarction, cancer and in postsurgical patients, and patients with antithrombin III deficiency.

Consider measurement of anti-thrombin levels if heparin resistance is suspected. Monitor coagulation tests frequently in such patients. It may be necessary to adjust the dose of heparin based on coagulation test monitoring, such as anti-Factor Xa levels and/or partial thromboplastin time.

1 Indications and Usage (1 INDICATIONS AND USAGE)

Heparin Sodium in 5% Dextrose Injection is indicated for:

  • Prophylaxis and treatment of venous thrombosis and pulmonary embolism
  • Prophylaxis and treatment of thromboembolic complications associated with atrial fibrillation
  • Treatment of acute and chronic consumption coagulopathies (disseminated intravascular coagulation)
  • Prevention of clotting in arterial and cardiac surgery
  • Prophylaxis and treatment of peripheral arterial embolism
  • Anticoagulant use in blood transfusions, extracorporeal circulation, and dialysis procedures.
7.1 Oral Anticoagulants

Heparin sodium may prolong the one-stage prothrombin time. Therefore, when heparin sodium is given with dicumarol or warfarin sodium, a period of at least 5 hours after the last intravenous dose or 24 hours after the last subcutaneous dose should elapse before blood is drawn if a valid prothrombin time is to be obtained.

7.2 Platelet Inhibitors

Drugs such as NSAIDS (including acetylsalicylic acid, ibuprofen, indomethacin, and celecoxib), dextran, phenylbutazone, thienopyridines, dipyridamole, hydroxychloroquine, glycoprotein IIv/IIa antagonists (including abciximab, eptifibatide, and tirofiban), and others that interfere with platelet-aggregation reactions (the main hemostatic defense of heparinized patients) may induce bleeding and should be used with caution in patients receiving heparin sodium. To reduce the risk of bleeding, a reduction in the dose of antiplatelet agent or heparin is recommended.

12.1 Mechanism of Action

Heparin interacts with the naturally occurring plasma protein, antithrombin III, to induce a conformational change, which markedly enhances the serine protease activity of antithrombin III, thereby inhibiting the activated coagulation factors involved in the closing sequence, particularly Xa and IIa. Small amounts of heparin inhibit Factor Xa, and larger amounts inhibit thrombin (Factor IIa). Heparin also prevents the formation of a stable fibrin clot by inhibiting the activation of the fibrin stabilizing factor. Heparin does not have fibrinolytic activity; therefore, it will not lyse existing clots.

2.5 Cardiovascular Surgery

Patients undergoing total body perfusion for open-heart surgery should receive an initial dose of not less than 150 units of heparin sodium per kilogram of body weight. Frequently, a dose of 300 units per kilogram is used for procedures estimated to last less than 60 minutes or 400 units per kilogram for those estimated to last longer than 60 minutes.

2.6 Converting to Warfarin

To ensure continuous anticoagulation when converting from heparin sodium to warfarin, continue full heparin therapy for several days until the INR (prothrombin time) has reached a stable therapeutic range. Heparin therapy may then be discontinued without tapering [see Drug Interactions (7.1) ].

5 Warnings and Precautions (5 WARNINGS AND PRECAUTIONS)
  • Fatal Medication Errors: Confirm choice of correct strength prior to administration. (5.1)
  • Hemorrhage: Fatal cases have occurred. Monitor for signs of bleeding and manage promptly. (5.2)
  • HIT or HITT: Monitor for signs and symptoms and discontinue if indicative of HIT or HITT. (5.3)
  • Thrombocytopenia: Monitor platelet count during therapy; discontinue heparin if HIT or HITT is suspected. (5.4)
  • Monitoring: Blood coagulation tests guide therapy for full-dose heparin. Monitor platelet count and hematocrit in all patients receiving heparin. (5.5)
  • Heparin Resistance: Increased resistance to heparin is frequently encountered in fever, thrombosis, thrombophlebitis, infections with thrombosing tendencies, myocardial infarction, cancer and in postsurgical patients. (5.6)
  • Hypersensitivity Reactions: Use in patients with prior reactions only in life-threatening situations. (5.7)
  • Hyperkalemia: Measure plasma potassium in patients at risk of hyperkalemia before starting heparin therapy and periodically in all patients. (5.8)
  • Elevations of Serum Aminotransferases: Interpret elevation of these enzymes with caution. (5.9)
2 Dosage and Administration (2 DOSAGE AND ADMINISTRATION)

Recommended Adult Dosages:

  • Therapeutic Anticoagulant Effect with Full-Dose Heparin* (2.3)

Intermittent Intravenous Injection

Initial Dose

10,000 Units, either undiluted or in 50 to 100 mL of 5% Dextrose Injection

Subsequent Doses

5,000 to 10,000 Units every 4 to 6 hours, either undiluted or in 50 to 100 mL of 5% Dextrose Injection

Continuous Intravenous Infusion

Initial Dose

5,000 Units by intravenous injection

Continuous

20,000 to 40,000 Units every 24 hours in 1000 mL of 5% Dextrose Injection

*Based on 150 lb. (68 kg) patient.

  • Cardiovascular Surgery (2.5)

Intravascular via Total Body Perfusion

Initial Dose

Greater than or equal to 150 units/kg; adjust for longer procedures

  • Extracorporeal Dialysis (2.8)
For pediatric dosing see section 2.4 of full prescribing information.

Intravascular via Extracorporeal Dialysis

Follow equipment manufacturer's operating directions carefully.

2.8 Extracorporeal Dialysis

Follow equipment manufacturer's operating directions carefully. A dose of 25 to 30 units/kg followed by an infusion rate of 1,500 to 2,000 units/hour is suggested based on pharmacodynamic data if specific manufacturers' recommendations are not available.

5.1 Fatal Medication Errors

Do not use this product as a "catheter lock flush" product. Heparin is supplied in various strengths. Fatal hemorrhages have occurred due to medication errors. Carefully examine all heparin products to confirm the correct container choice prior to administration of the drug.

3 Dosage Forms and Strengths (3 DOSAGE FORMS AND STRENGTHS)

Heparin Sodium in 5% Dextrose Injection is available as:

  • Heparin Sodium 25,000 USP units per 250 mL (100 USP units per mL) in 5% Dextrose Injection.
  • Heparin Sodium 10,000 USP units per 100 mL (100 USP units per mL) in 5% Dextrose Injection.
  • Heparin Sodium 12,500 USP units per 250 mL (50 USP units per mL) in 5% Dextrose Injection.
6.1 Postmarketing Experience

The following adverse reactions have been identified during post-approval use of heparin sodium. Because these reactions are reported voluntarily from a population of uncertain size, it is not always possible to reliably estimate their frequency.

5.7 Hypersensitivity Reactions

Hypersensitivity reactions with chills, fever and urticaria as the most usual manifestations and also asthma, rhinitis, lacrimation, and anaphylactoid reactions have been reported. Patients with documented hypersensitivity to heparin should be given the drug only in clearly life-threatening situations [see Adverse Reactions (6.1)].

Because Heparin Sodium in 5% Dextrose Injection is derived from animal tissue, monitor for signs and symptoms of hypersensitivity when it is used in patients with a history of allergy to pork products.

This product contains sodium metabisulfite, a sulfite that may cause allergic-type reactions including anaphylactic symptoms and life-threatening or less severe asthmatic episodes in certain susceptible people. The overall prevalence of sulfite sensitivity in the general population is unknown and probably low. Sulfite sensitivity is seen more frequently in asthmatic than in nonasthmatic people.

2.1 Preparation for Administration

Confirm the selection of the correct formulation and strength prior to administration of the drug.

This product should be administered by intravenous infusion.

Do not use Heparin Sodium in 5% Dextrose Injection as a “catheter lock flush” product.

Do not admix with other drugs.

Discard unused portion.

Do not use plastic containers in series connection.

This product should not be infused under pressure.

Parenteral drug products should be inspected visually for particulate matter and discoloration prior to administration, whenever solution and container permit. Use only if solution is clear and container and seals are intact.

To Open

Tear outer wrap and remove solution container.

(Use aseptic technique)

  • 1.
    Close flow control clamp of administration set.
  • 2.
    Remove cover from outlet port at bottom of container.
  • 3.
    Insert piercing pin of administration set into port with a twisting motion until the set is firmly seated.

    NOTE: See full directions on administration set carton.
  • 4.
    Suspend container from hanger.
  • 5.
    Squeeze and release drip chamber to establish proper fluid level in chamber.
  • 6.
    Open flow control clamp and clear air from set. Close clamp.
  • 7.
    Attach set to venipuncture device. If device is not indwelling, prime and make venipuncture.
  • 8.
    Regulate rate of administration with flow control clamp.

Warning: Do not use flexible container in series connections.

16 How Supplied/storage and Handling (16 HOW SUPPLIED/STORAGE AND HANDLING)

Intravenous solutions with heparin sodium are available in single-dose flexible plastic containers in various sizes and concentrations as shown in the accompanying Table as follows:

         Contents and

Characteristics Per 100 mL
Unit of Sale Concentration Dextrose

(hydrous)
Sodium

mEq/L
Citrate

mEq/L
Tonicity

NDC 0409-7793-62

Case of 24 Single-dose flexible plastic containers

25,000 USP Units/250 mL (100 USP Units/mL)

5 g

39

42

Isotonic

NDC 0409-4520-30

Case of 30 Single-dose flexible plastic containers

25,000 USP Units/250 mL (100 USP Units/mL)

5 g

39

42

Isotonic

NDC 0409-7793-23

Case of 24 Single-dose flexible plastic containers

10,000 USP Units/100 mL (100 USP Units/mL)

5 g

39

42

Isotonic

NDC 0409-7794-62

Case of 24 Single-dose flexible plastic containers

12,500 USP Units/250 mL (50 USP Units/mL)

5 g

38

42

Isotonic

For the above Heparin Sodium products the pH range is 5.7 (5.0 to 6.0) and the osmolarity mOsmol/liter (calc.) is 304. Store at 20°C to 25°C (68°F to 77°F). [See USP Controlled Room Temperature.] Protect from freezing.

5.5 Coagulation Testing and Monitoring

When using a full dose heparin regimen, adjust the heparin dose based on frequent blood coagulation tests. If the coagulation test is unduly prolonged or if hemorrhage occurs, heparin sodium should be discontinued promptly [see Overdosage (10)]. Periodic platelet counts, hematocrits and tests for occult blood in stool are recommended during the entire course of heparin therapy [see Dosage and Administration (2.2)].

5.9 Elevations of Serum Aminotransferases

Significant elevations of aspartate aminotransferase (AST) and alanine aminotransferase (ALT) levels have occurred in patients who have received heparin. Elevation of these enzymes in patients receiving heparin should be interpreted with caution. These elevations typically resolve upon heparin discontinuation.

2.2 Laboratory Monitoring for Efficacy and Safety

Adjust the dosage of heparin sodium according to the patient's coagulation test results. When heparin is given by continuous intravenous infusion, determine the coagulation time approximately every 4 hours in the early stages of treatment. When the drug is administered intermittently by intravenous injection, perform coagulation tests before each injection during the early stages of treatment and at appropriate intervals thereafter. Dosage is considered adequate when the activated partial thromboplastin time (APTT) is 1.5 to 2 times the normal or when the whole blood clotting time is elevated approximately 2.5 to 3 times the control value.

Periodic platelet counts, hematocrits, and tests for occult blood in stool are recommended during the entire course of heparin therapy.

Principal Display Panel 100 Ml Bag Label Im 3956 (PRINCIPAL DISPLAY PANEL - 100 mL Bag Label - IM-3956)

100 mL SINGLE-DOSE CONTAINER

NDC 0409-7793-13

HEPARIN

Rx ONLY

10,000 USP Units/100 mL

(100 USP Units/mL)

HEPARIN SODIUM IN

5% DEXTROSE INJECTION

WARNING: CONTAINS SULFITES

EACH 100 mL CONTAINS HEPARIN SODIUM

10,000 USP UNITS (PORCINE INTESTINAL

MUCOSA); DEXTROSE, HYDROUS 5 g; CITRIC

ACID, ANHYDROUS 51 mg; SODIUM CITRATE,

DIHYDRATE 334 mg; SODIUM METABISULFITE

20 mg; STERILE. NOT MADE WITH NATURAL

RUBBER LATEX. USUAL DOSAGE: SEE INSERT.

ADDITIVES SHOULD NOT BE MADE TO THIS

SOLUTION. SINGLE DOSE CONTAINER.

DISCARD UNUSED PORTION.

FOR INTRAVENOUS USE ONLY.

IM - 3956

HOSPIRA, INC.

LAKE FOREST, IL 60045 USA

7

OTHER

Hospira

Principal Display Panel 100 Ml Bag Label Wr 0482 (PRINCIPAL DISPLAY PANEL - 100 mL Bag Label - WR-0482)

TO OPEN – TEAR AT NOTCH

100 mL

SINGLE-DOSE

CONTAINER

HEPARIN

10,000 USP Units/100 mL

(100 USP Units/mL)

NDC 0409-7793-13

HEPARIN SODIUM

IN 5% DEXTROSE INJECTION

WARNING: CONTAINS SULFITES

Each 100 mL contains heparin sodium 10,000 USP Units

(porcine intestinal mucosa); dextrose, hydrous 5 g; citric acid,

anhydrous 51 mg; sodium citrate, dihydrate 334 mg; sodium

metabisulfite 20 mg; Sterile. Not made with natural rubber

latex. Usual Dosage: See insert. Store at 20 to 25°C (68 to 77°F).

[See USP Controlled Room Temperature.]

ADDITIVES SHOULD NOT BE MADE TO THIS SOLUTION.

Single Dose Container. Discard Unused Portion. For Intravenous

Use Only.

Rx only

7

OTHER

F WR-0482

Hospira, Inc., Lake Forest, IL 60045 USA

Hospira

Principal Display Panel 250 Ml Bag Label Im 5191 (PRINCIPAL DISPLAY PANEL - 250 mL Bag Label - IM-5191)

250 mL SINGLE-DOSE CONTAINER

NDC 0409-7793-52

HEPARIN

25,000 USP Units/250 mL

(100 USP Units/mL)

HEPARIN SODIUM IN

5% DEXTROSE INJECTION

WARNING: CONTAINS SULFITES

EACH 100 mL CONTAINS

HEPARIN SODIUM 10,000 USP

UNITS (PORCINE INTESTINAL

MUCOSA); DEXTROSE, HYDROUS

5 g; CITRIC ACID, ANHYDROUS

51 mg; SODIUM CITRATE,

DIHYDRATE 334 mg; SODIUM

METABISULFITE 20 mg;

STERILE. NOT MADE WITH

NATURAL RUBBER LATEX.

RECOMMENDED DOSAGE:

SEE PRESCRIBING INFORMATION.

ADDITIVES SHOULD NOT

BE MADE TO THIS SOLUTION.

SINGLE DOSE CONTAINER.

DISCARD UNUSED PORTION.

FOR INTRAVENOUS USE ONLY.

Rx ONLY

7

OTHER

DIST. BY HOSPIRA, INC.,

LAKE FOREST, IL 60045 USA

IM-5191

Hospira

Principal Display Panel 250 Ml Bag Label Im 5192 (PRINCIPAL DISPLAY PANEL - 250 mL Bag Label - IM-5192)

250 mL SINGLE-DOSE CONTAINER

NDC 0409-7794-52

HEPARIN

Rx ONLY

12,500 USP Units/250 mL

(50 USP Units/mL)

HEPARIN SODIUM IN

5% DEXTROSE INJECTION

WARNING: CONTAINS SULFITES

EACH 100 mL CONTAINS

HEPARIN SODIUM 5,000 USP

UNITS (PORCINE INTESTINAL

MUCOSA); DEXTROSE,

HYDROUS 5 g; CITRIC ACID,

ANHYDROUS 51 mg; SODIUM

CITRATE, DIHYDRATE 334 mg;

SODIUM METABISULFITE 20 mg;

STERILE. NOT MADE

WITH NATURAL RUBBER LATEX.

RECOMMENDED DOSAGE:

SEE PRESCRIBING INFORMATION.

ADDITIVES SHOULD

NOT BE MADE TO THIS

SOLUTION. SINGLE

DOSE CONTAINER. DISCARD

UNUSED PORTION. FOR

INTRAVENOUS USE ONLY.

7

OTHER

DIST. BY HOSPIRA, INC.,

LAKE FOREST, IL 60045 USA

IM-5192

Hospira

7.3 Other Medications That May Interfere With Heparin (7.3 Other Medications that May Interfere with Heparin)

Digitalis, tetracyclines, nicotine, antihistamines, or intravenous nitroglycerine may partially counteract the anticoagulant action of heparin sodium. Intravenous nitroglycerin administered to heparinized patients may result in a decrease of the partial thromboplastin time with subsequent rebound effect upon discontinuation of nitroglycerin. Careful monitoring of partial thromboplastin time and adjustment of heparin dosage are recommended during coadministration of heparin and intravenous nitroglycerin. Antithrombin III (human) – The anticoagulant effect of heparin is enhanced by concurrent treatment with antithrombin III (human) in patients with hereditary antithrombin III deficiency. To reduce the risk of bleeding, a reduced dosage of heparin is recommended during treatment with antithrombin III (human).

Principal Display Panel 250 Ml Bag Label – 12135 04 (PRINCIPAL DISPLAY PANEL - 250 mL Bag Label – 12135-04)

250 mL

NDC 0409-4520-02

Heparin

25,000 USP Units/250 mL

(100 USP Units/mL)

Heparin Sodium

in 5% Dextrose Injection

Warning: contains sulfites

Each 100 mL contains Heparin Sodium 10,000 USP units

(Porcine Intestinal Mucosa); Dextrose, Hydrous 5 g; Citric Acid,

Anhydrous 51 mg; Sodium Citrate, Dihydrate 334 mg;

Sodium Metabisulfite 20 mg; Sterile. Not made with natural

rubber latex. Recommended dosage: See prescribing information.

Additives should not be made to this solution.

Single dose container. Discard unused portion.

Inspect bag by squeezing firmly. If leaks are found, discard.

Store at 20°C to 25°C (68°F to 77°F). [See USP Controlled Room

Temperature.] Protect from freezing.

For Intravenous Use only. Do not remove from overwrap until

ready for use.

Rx ONLY

5

PP

Distributed by Hospira, Inc.,

Lake Forest, IL 60045 USA

12135-04

Hospira

13.1 Carcinogenesis, Mutagenesis, Impairment of Fertility

Long term studies in animals to evaluate the carcinogenic potential, reproduction studies in animals to determine effects on fertility of males and females, and the studies to determine mutagenic potential have not been conducted.

2.7 Converting to Oral Anticoagulants Other Than Warfarin (2.7 Converting to Oral Anticoagulants other than Warfarin)

For patients currently receiving intravenous heparin, stop intravenous infusion of heparin sodium immediately after administering the first dose of oral anticoagulant; or for intermittent intravenous administration of heparin sodium, start oral anticoagulant 0 to 2 hours before the time that the next dose of heparin was to have been administered.

2.3 Therapeutic Anticoagulant Effect With Full Dose Heparin (2.3 Therapeutic Anticoagulant Effect with Full-Dose Heparin)

The dosing recommendations in Table 1 are based on clinical experience. Although dosage must be adjusted for the individual patient according to the results of suitable laboratory tests, the following dosage schedules may be used as guidelines:

Table 1: Recommended Adult Full-Dose Heparin Regimens for Therapeutic Anticoagulant Effect
Method of Administration Frequency Recommended Dose
Based on 150 lb. (68 kg) patient.

Intermittent Intravenous Injection

Initial Dose

10,000 Units, either undiluted or in 50 to 100 mL of 5% Dextrose Injection

Subsequent Doses

5,000 to 10,000 Units every 4 to 6 hours, either undiluted or in 50 to 100 mL of 5% Dextrose Injection

Continuous Intravenous Infusion

Initial Dose

5,000 Units by intravenous injection

Continuous

20,000 to 40,000 Units every 24 hours in 1,000 mL of 5% Dextrose Injection

5.3 Heparin Induced Thrombocytopenia (hit) and Heparin Induced Thrombocytopenia and Thrombosis (hitt) (5.3 Heparin-Induced Thrombocytopenia (HIT) and Heparin-Induced Thrombocytopenia and Thrombosis (HITT))

HIT is a serious immune-mediated reaction resulting from irreversible aggregation of platelets. HIT occurs in patients treated with heparin and is due to the development of antibodies to a platelet Factor 4-heparin complex that induce in vivo platelet aggregation. HIT may progress to the development of venous and arterial thromboses, a condition known as HITT. Thrombotic events may also be the initial presentation for HIT. These serious thromboembolic events include deep vein thrombosis, pulmonary embolism, cerebral vein thrombosis, limb ischemia, stroke, myocardial infarction, thrombus formation on a prosthetic cardiac valve, mesenteric thrombosis, renal arterial thrombosis, skin necrosis, gangrene of the extremities that may lead to amputation, and possibly death.

Once HIT or HITT is diagnosed or strongly suspected, discontinue all heparin sources (including heparin flushes) and use an alternative anticoagulant.

Immune-mediated HIT is diagnosed based on clinical findings supplemented by laboratory tests confirming the presence of antibodies to heparin, or platelet activation induced by heparin. Obtain platelet counts at baseline and periodically during heparin administration. A drop in platelet count greater than 50% from baseline is considered indicative of HIT. Platelet counts begin to fall 5 to 10 days after exposure to heparin in heparin-naïve individuals and reach a threshold by days 7 to 14. In contrast, “rapid onset” HIT can occur very quickly (within 24 hours following heparin initiation), especially in patients with a recent exposure to heparin (i.e., previous 3 months).

Thrombosis development shortly after documenting thrombocytopenia is a characteristic finding in almost half of all patients with HIT.

Monitor thrombocytopenia of any degree closely. If the platelet count falls below 100,000/mm3 or if recurrent thrombosis develops, promptly discontinue heparin, evaluate for HIT and HITT, and, if necessary, administer an alternative anticoagulant.

HIT or HITT can occur up to several weeks after the discontinuation of heparin therapy. Patients presenting with thrombocytopenia or thrombosis after discontinuation of heparin should be evaluated for HIT or HITT.


Advanced Ingredient Data


Raw Label Data

All Sections (JSON)