These Highlights Do Not Include All The Information Needed To Use Morphine Sulfate Injection Safely And Effectively. See Full Prescribing Information For Morphine Sulfate Injection.
ee8057d1-ed12-4e18-9efa-d83504abf612
34391-3
HUMAN PRESCRIPTION DRUG LABEL
Drug Facts
Composition & Product
Identifiers & Packaging
Description
WARNING: SERIOUS AND LIFE-THREATENING RISKS FROM USE OF MORPHINE SULFATE INJECTION See full prescribing information for complete boxed warning. • Morphine Sulfate Injection exposes users to risks of addiction, abuse, and misuse, which can lead to overdose and death. Assess patient’s risk before prescribing and reassess regularly for these behaviors and conditions. ( 5.1 ) • Serious, life-threatening, or fatal respiratory depression may occur with use of Morphine Sulfate Injection, especially during initiation or following a dosage increase. To reduce the risk of respiratory depression, proper dosing and titration of Morphine Sulfate Injection are essential. ( 5.2 ) • Concomitant use of opioids with benzodiazepines or other central nervous system (CNS) depressants, including alcohol, may result in profound sedation, respiratory depression, coma, and death. Reserve concomitant prescribing for use in patients for whom alternative treatment options are inadequate. ( 5.3 , 7 ) • Advise pregnant women using opioids for an extended period of time of the risk of Neonatal Opioid Withdrawal Syndrome, which may be life-threatening if not recognized and treated. Ensure that management by neonatology expert will be available at delivery. ( 5.4 )
Indications and Usage
Morphine Sulfate Injection is indicated in adult and pediatric patients for the management of pain severe enough to require an opioid analgesic and for which alternative treatments are inadequate.
Dosage and Administration
• Morphine Sulfate Injection should be prescribed only by healthcare professionals who are knowledgeable about the use of opioids and how to mitigate the associated risks. ( 2.1 ) • Use the lowest effective dosage for the shortest duration of time consistent with individual patient treatment goals. Reserve titration to higher doses of Morphine Sulfate Injection for patients in whom lower doses are insufficiently effective and in whom the expected benefits of using a higher dose opioid clearly outweigh the substantial risks. ( 2.1 , 5 ) • Many acute pain conditions (e.g., the pain that occurs with a number of surgical procedures or acute musculoskeletal injuries) require no more than a few days of an opioid analgesic. Clinical guidelines on opioid prescribing for some acute pain conditions are available. ( 2.1 ) • Initiate the dosing regimen for each patient individually, taking into account the patient’s underlying cause and severity of pain, prior analgesic treatment and response, and risk factors for addiction, abuse, and misuse. ( 2.1 , 5.1 ) • Respiratory depression can occur at any time during opioid therapy, especially when initiating and following dosage increases with Morphine Sulfate Injection. Consider this risk when selecting an initial dose and when making dose adjustments. ( 2.1 , 5.2 ) • Do not inject directly. Morphine Sulfate Injection is intended for continuous intravenous infusion only, after dilution in large volume parenteral solutions. ( 2.1 , 2.5 ) • Initial and maintenance dosage in adults : See full prescribing information for recommended dosages in adult patients. ( 2.2 , 2.3 ) • Initial and maintenance dosage in pediatric patients : See full prescribing information for recommended dosage in pediatric patients. ( 2.2 , 2.3 ) • Periodically reassess patients receiving Morphine Sulfate Injection to evaluate the continued need for opioid analgesics to maintain pain control, for the signs or symptoms of adverse reactions, and for the development of addiction, abuse, or misuse. ( 2.3 ) • Do not rapidly reduce or abruptly discontinue Morphine Sulfate Injection in a physically-dependent patient. ( 2.4 , 5.14 ) • See full prescribing information for preparation and storage instructions. ( 2.5 )
Warnings and Precautions
Contraindications
Morphine Sulfate Injection is contraindicated in patients with: • Significant respiratory depression [see Warnings and Precautions (5.2) ] • Acute or severe bronchial asthma in an unmonitored setting or in the absence of resuscitative equipment [see Warnings and Precautions (5.7) ] • Concurrent use of monoamine oxidase inhibitors (MAOIs) or use of MAOIs within the last 14 days [see Warnings and Precautions (5.8) ] • Known or suspected gastrointestinal obstruction, including paralytic ileus [see Warnings and Precautions (5.12) ] • Hypersensitivity to morphine (e.g., anaphylaxis) [see Adverse Reactions (6) ]
Adverse Reactions
The following serious adverse reactions are described, or described in greater detail, in other sections: • Addiction, Abuse, and Misuse [see Warnings and Precautions (5.1) ] • Life-Threatening Respiratory Depression [see Warnings and Precautions (5.2) ] • Interactions with Benzodiazepines or Other CNS Depressants [see Warnings and Precautions (5.3) ] • Neonatal Opioid Withdrawal Syndrome [see Warnings and Precautions (5.4) ] • Cardiovascular Instability [see Warnings and Precautions (5.5) ] • Opioid-Induced Hyperalgesia and Allodynia [see Warnings and Precautions (5.6) ] • Adrenal Insufficiency [see Warnings and Precautions (5.9) ] • Severe Hypotension [see Warnings and Precautions (5.10) ] • Gastrointestinal Adverse Reactions [see Warnings and Precautions (5.12) ] • Seizures [see Warnings and Precautions (5.13) ] • Withdrawal [see Warnings and Precautions (5.14) ] The following adverse reactions associated with the use of morphine were identified in clinical studies or postmarketing reports. Because some of these reactions were reported voluntarily from a population of uncertain size, it is not always possible to reliably estimate their frequency or establish a causal relationship to drug exposure. Serious adverse reactions associated with Morphine Sulfate Injection included respiratory depression, apnea, and to a lesser degree, circulatory depression, respiratory arrest, shock, and cardiac arrest. Rarely, anaphylactoid reactions have been reported when morphine or other phenanthrene alkaloids of opium are administered intravenously. The most frequently observed adverse reactions included sedation, lightheadedness, dizziness, nausea, vomiting, constipation, and diaphoresis. Other possible adverse reactions included: Central Nervous System – Euphoria, dysphoria, weakness, headache, agitation, tremor, uncoordinated muscle movements, visual disturbances, transient hallucinations and disorientation. Gastrointestinal – Constipation, biliary tract spasm. Cardiovascular – Tachycardia, bradycardia, palpitation, faintness, syncope, and orthostatic hypotension. Genitourinary – Oliguria and urinary retention; an antidiuretic effect has been reported. Allergic – Pruritus, urticaria, and skin rashes. Anaphylactoid reactions have been reported following intravenous administration. Other – Opioid-induced histamine release may be responsible for the flushing of the face, diaphoresis, and pruritus often seen with these drugs. Wheals and urticaria at the site of injection are probably related to histamine release. Local tissue irritation, pain and induration have been reported following repeated subcutaneous injection. Morphine may alter temperature regulation in susceptible individuals and will depress the cough reflex. Serotonin syndrome : Cases of serotonin syndrome, a potentially life-threatening condition, have been reported during concomitant use of opioids with serotonergic drugs. Adrenal insufficiency : Cases of adrenal insufficiency have been reported with opioid use, more often following greater than one month of use. Anaphylaxis : Anaphylaxis has been reported with ingredients contained in Morphine Sulfate Injection. Androgen deficiency : Cases of androgen deficiency have occurred with use of opioids for an extended period of time [see Clinical Pharmacology (12.2) ] . Hyperalgesia and Allodynia : Cases of hyperalgesia and allodynia have been reported with opioid therapy of any duration [see Warnings and Precautions (5.6) ] . Hypoglycemia : Cases of hypoglycemia have been reported in patients taking opioids. Most reports were in patients with at least one predisposing risk factor (e.g., diabetes). Opioid-induced esophageal dysfunction (OIED) : Cases of OIED have been reported in patients taking opioids and may occur more frequently in patients taking higher doses of opioids, and/or in patients taking opioids longer term [see Warnings and Precautions (5.12) ] . Adverse Reactions from Observational Studies A prospective, observational cohort study estimated the risks of addiction, abuse, and misuse in patients initiating long-term use of Schedule II opioid analgesics between 2017 and 2021. Study participants included in one or more analyses had been enrolled in selected insurance plans or health systems for at least one year, were free of at least one outcome at baseline, completed a minimum number of follow-up assessments, and either: 1) filled multiple extended-release/long-acting opioid analgesic prescriptions during a 90-day period (n=978); or 2) filled any Schedule II opioid analgesic prescriptions covering at least 70 of 90 days (n=1,244). Those included also had no dispensing of the qualifying opioids in the previous 6 months. Over 12 months: • approximately 1% to 6% of participants across the two cohorts newly met criteria for addiction, as assessed with two validated interview-based measures of moderate-to-severe opioid use disorder based on Diagnostic and Statistical Manual of Mental Disorders, Fifth Edition (DSM-5) criteria, and • approximately 9% and 22% of participants across the two cohorts newly met criteria for prescription opioid abuse and misuse [defined in Drug Abuse and Dependence (9.2) ] , respectively, as measured with a validated self-reported instrument. A retrospective, observational cohort study estimated the risk of opioid-involved overdose or opioid overdose-related death in patients with new long-term use of Schedule II opioid analgesics from 2006 through 2016 (n=220,249). Included patients had been enrolled in either one of two commercial insurance programs, one managed care program, or one Medicaid program for at least 9 months. New long-term use was defined as having Schedule II opioid analgesic prescriptions covering at least 70 days’ supply over the 3 months prior to study entry and none during the preceding 6 months. Patients were excluded if they had an opioid-involved overdose in the 9 months prior to study entry. Overdose was measured using a validated medical code-based algorithm with linkage to the National Death Index database. The 5-year cumulative incidence estimates for opioid-involved overdose or opioid overdose-related death ranged from approximately 1.5% to 4% across study sites, counting only the first event during follow-up. Approximately 17% of first opioid overdoses observed over the entire study period (5-11 years, depending on the study site) were fatal. Higher baseline opioid dose was the strongest and most consistent predictor of opioid-involved overdose or opioid overdose-related death. Study exclusion criteria may have selected patients at lower risk of overdose, and substantial loss to follow-up (approximately 80%) also may have biased estimates. The risk estimates from the studies described above may not be generalizable to all patients receiving opioid analgesics, such as those with exposures shorter or longer than the duration evaluated in the studies.
Drug Interactions
Table 2 includes clinically significant drug interactions with Morphine Sulfate Injection. Table 2: Clinically Significant Drug Interactions with Morphine Sulfate Injection Benzodiazepines and Other Central Nervous System (CNS) Depressants Clinical Impact: Due to additive pharmacologic effect, the concomitant use of benzodiazepines or other CNS depressants, including alcohol, can increase the risk of hypotension, respiratory depression, profound sedation, coma, and death [see Warnings and Precautions (5.3) ] . Intervention: Reserve concomitant prescribing of these drugs for use in patients for whom alternative treatment options are inadequate. Limit dosages and durations to the minimum required. Monitor patients closely for signs of respiratory depression and sedation. Examples: Benzodiazepines and other sedatives/hypnotics, anxiolytics, tranquilizers, muscle relaxants, general anesthetics, antipsychotics, gabapentinoids (gabapentin or pregabalin), other opioids, alcohol. Serotonergic Drugs Clinical Impact: The concomitant use of opioids with other drugs that affect the serotonergic neurotransmitter system has resulted in serotonin syndrome . Intervention: If concomitant use is warranted, carefully observe the patient, particularly during treatment initiation and dose adjustment. Discontinue Morphine Sulfate Injection if serotonin syndrome is suspected. Examples: Selective serotonin reuptake inhibitors (SSRIs), serotonin and norepinephrine reuptake inhibitors (SNRIs), tricyclic antidepressants (TCAs), triptans, 5-HT3 receptor antagonists, drugs that affect the serotonin neurotransmitter system (e.g., mirtazapine, trazodone, tramadol), certain muscle relaxants (i.e., cyclobenzaprine, metaxalone), monoamine oxidase (MAO) inhibitors (those intended to treat psychiatric disorders and also others, such as linezolid and intravenous methylene blue). Monoamine Oxidase Inhibitors (MAOIs) Clinical Impact: MAOI interactions with opioids may manifest as serotonin syndrome or opioid toxicity (e.g., respiratory depression, coma) [see Warnings and Precautions (5.2 , 5.8) ]. Intervention: Do not use Morphine Sulfate Injection in patients taking MAOIs or within 14 days of stopping such treatment. If urgent use of an opioid is necessary, use test doses and frequent titration of small doses of other opioids (such as oxycodone, oxymorphone, hydrocodone, or buprenorphine) to treat pain while closely monitoring blood pressure and signs and symptoms of CNS and respiratory depression. Examples: phenelzine, tranylcypromine, linezolid Mixed Agonist/Antagonist and Partial Agonist Opioid Analgesics Clinical Impact: May reduce the analgesic effect of Morphine Sulfate Injection and/or precipitate withdrawal symptoms. Intervention: Avoid concomitant use. Examples: butorphanol, nalbuphine, pentazocine, buprenorphine Muscle Relaxants Clinical Impact: Morphine may enhance the neuromuscular blocking action of skeletal muscle relaxants and produce an increased degree of respiratory depression. Intervention: Monitor patients for signs of respiratory depression that may be greater than otherwise expected and decrease the dosage of Morphine Sulfate Injection and/or the muscle relaxant as necessary. Examples: Cyclobenzaprine, metaxalone. Cimetidine Clinical Impact: Concomitant administration of Morphine Sulfate Injection and cimetidine has been reported to precipitate apnea, confusion, and muscle twitching in an isolated report. Intervention: Monitor patients for increased respiratory and CNS depression when receiving cimetidine concomitantly with Morphine Sulfate Injection. Diuretics Clinical Impact: Opioids can reduce the efficacy of diuretics by inducing the release of antidiuretic hormone. Intervention: Monitor patients for signs of diminished diuresis and/or effects on blood pressure and increase the dosage of the diuretic as needed. Anticholinergic Drugs Clinical Impact: The concomitant use of anticholinergic drugs may increase risk of urinary retention and/or severe constipation, which may lead to paralytic ileus. Intervention: Monitor patients for signs of urinary retention or reduced gastric motility when Morphine Sulfate Injection is used concomitantly with anticholinergic drugs. Oral P2Y 12 Inhibitors Clinical Impact: The co-administration of oral P2Y 12 inhibitors and intravenous morphine sulfate can decrease the absorption and peak concentration of oral P2Y 12 inhibitors and delay the onset of the antiplatelet effect. Intervention: Consider the use of a parenteral antiplatelet agent in the setting of acute coronary syndrome requiring co-administration of intravenous morphine sulfate. Examples: clopidogrel, prasugrel, ticagrelor
Storage and Handling
Morphine Sulfate Injection, USP is a clear and colorless to pale yellow solution supplied as a sterile solution in glass, single-dose flip top vials for the preparation of large volume parenteral solutions. Unit of Sale Concentration NDC 0409-1896-20 Carton containing 1 Single-Dose Flip Top Vial 1,000 mg/20 mL (50 mg/mL) NDC 0409-2022-01 Carton containing 1 Single-Dose Flip Top Vial 2,500 mg/50 mL (50 mg/mL)
How Supplied
Morphine Sulfate Injection, USP is a clear and colorless to pale yellow solution supplied as a sterile solution in glass, single-dose flip top vials for the preparation of large volume parenteral solutions. Unit of Sale Concentration NDC 0409-1896-20 Carton containing 1 Single-Dose Flip Top Vial 1,000 mg/20 mL (50 mg/mL) NDC 0409-2022-01 Carton containing 1 Single-Dose Flip Top Vial 2,500 mg/50 mL (50 mg/mL)
Medication Information
Warnings and Precautions
Indications and Usage
Morphine Sulfate Injection is indicated in adult and pediatric patients for the management of pain severe enough to require an opioid analgesic and for which alternative treatments are inadequate.
Dosage and Administration
• Morphine Sulfate Injection should be prescribed only by healthcare professionals who are knowledgeable about the use of opioids and how to mitigate the associated risks. ( 2.1 ) • Use the lowest effective dosage for the shortest duration of time consistent with individual patient treatment goals. Reserve titration to higher doses of Morphine Sulfate Injection for patients in whom lower doses are insufficiently effective and in whom the expected benefits of using a higher dose opioid clearly outweigh the substantial risks. ( 2.1 , 5 ) • Many acute pain conditions (e.g., the pain that occurs with a number of surgical procedures or acute musculoskeletal injuries) require no more than a few days of an opioid analgesic. Clinical guidelines on opioid prescribing for some acute pain conditions are available. ( 2.1 ) • Initiate the dosing regimen for each patient individually, taking into account the patient’s underlying cause and severity of pain, prior analgesic treatment and response, and risk factors for addiction, abuse, and misuse. ( 2.1 , 5.1 ) • Respiratory depression can occur at any time during opioid therapy, especially when initiating and following dosage increases with Morphine Sulfate Injection. Consider this risk when selecting an initial dose and when making dose adjustments. ( 2.1 , 5.2 ) • Do not inject directly. Morphine Sulfate Injection is intended for continuous intravenous infusion only, after dilution in large volume parenteral solutions. ( 2.1 , 2.5 ) • Initial and maintenance dosage in adults : See full prescribing information for recommended dosages in adult patients. ( 2.2 , 2.3 ) • Initial and maintenance dosage in pediatric patients : See full prescribing information for recommended dosage in pediatric patients. ( 2.2 , 2.3 ) • Periodically reassess patients receiving Morphine Sulfate Injection to evaluate the continued need for opioid analgesics to maintain pain control, for the signs or symptoms of adverse reactions, and for the development of addiction, abuse, or misuse. ( 2.3 ) • Do not rapidly reduce or abruptly discontinue Morphine Sulfate Injection in a physically-dependent patient. ( 2.4 , 5.14 ) • See full prescribing information for preparation and storage instructions. ( 2.5 )
Contraindications
Morphine Sulfate Injection is contraindicated in patients with: • Significant respiratory depression [see Warnings and Precautions (5.2) ] • Acute or severe bronchial asthma in an unmonitored setting or in the absence of resuscitative equipment [see Warnings and Precautions (5.7) ] • Concurrent use of monoamine oxidase inhibitors (MAOIs) or use of MAOIs within the last 14 days [see Warnings and Precautions (5.8) ] • Known or suspected gastrointestinal obstruction, including paralytic ileus [see Warnings and Precautions (5.12) ] • Hypersensitivity to morphine (e.g., anaphylaxis) [see Adverse Reactions (6) ]
Adverse Reactions
The following serious adverse reactions are described, or described in greater detail, in other sections: • Addiction, Abuse, and Misuse [see Warnings and Precautions (5.1) ] • Life-Threatening Respiratory Depression [see Warnings and Precautions (5.2) ] • Interactions with Benzodiazepines or Other CNS Depressants [see Warnings and Precautions (5.3) ] • Neonatal Opioid Withdrawal Syndrome [see Warnings and Precautions (5.4) ] • Cardiovascular Instability [see Warnings and Precautions (5.5) ] • Opioid-Induced Hyperalgesia and Allodynia [see Warnings and Precautions (5.6) ] • Adrenal Insufficiency [see Warnings and Precautions (5.9) ] • Severe Hypotension [see Warnings and Precautions (5.10) ] • Gastrointestinal Adverse Reactions [see Warnings and Precautions (5.12) ] • Seizures [see Warnings and Precautions (5.13) ] • Withdrawal [see Warnings and Precautions (5.14) ] The following adverse reactions associated with the use of morphine were identified in clinical studies or postmarketing reports. Because some of these reactions were reported voluntarily from a population of uncertain size, it is not always possible to reliably estimate their frequency or establish a causal relationship to drug exposure. Serious adverse reactions associated with Morphine Sulfate Injection included respiratory depression, apnea, and to a lesser degree, circulatory depression, respiratory arrest, shock, and cardiac arrest. Rarely, anaphylactoid reactions have been reported when morphine or other phenanthrene alkaloids of opium are administered intravenously. The most frequently observed adverse reactions included sedation, lightheadedness, dizziness, nausea, vomiting, constipation, and diaphoresis. Other possible adverse reactions included: Central Nervous System – Euphoria, dysphoria, weakness, headache, agitation, tremor, uncoordinated muscle movements, visual disturbances, transient hallucinations and disorientation. Gastrointestinal – Constipation, biliary tract spasm. Cardiovascular – Tachycardia, bradycardia, palpitation, faintness, syncope, and orthostatic hypotension. Genitourinary – Oliguria and urinary retention; an antidiuretic effect has been reported. Allergic – Pruritus, urticaria, and skin rashes. Anaphylactoid reactions have been reported following intravenous administration. Other – Opioid-induced histamine release may be responsible for the flushing of the face, diaphoresis, and pruritus often seen with these drugs. Wheals and urticaria at the site of injection are probably related to histamine release. Local tissue irritation, pain and induration have been reported following repeated subcutaneous injection. Morphine may alter temperature regulation in susceptible individuals and will depress the cough reflex. Serotonin syndrome : Cases of serotonin syndrome, a potentially life-threatening condition, have been reported during concomitant use of opioids with serotonergic drugs. Adrenal insufficiency : Cases of adrenal insufficiency have been reported with opioid use, more often following greater than one month of use. Anaphylaxis : Anaphylaxis has been reported with ingredients contained in Morphine Sulfate Injection. Androgen deficiency : Cases of androgen deficiency have occurred with use of opioids for an extended period of time [see Clinical Pharmacology (12.2) ] . Hyperalgesia and Allodynia : Cases of hyperalgesia and allodynia have been reported with opioid therapy of any duration [see Warnings and Precautions (5.6) ] . Hypoglycemia : Cases of hypoglycemia have been reported in patients taking opioids. Most reports were in patients with at least one predisposing risk factor (e.g., diabetes). Opioid-induced esophageal dysfunction (OIED) : Cases of OIED have been reported in patients taking opioids and may occur more frequently in patients taking higher doses of opioids, and/or in patients taking opioids longer term [see Warnings and Precautions (5.12) ] . Adverse Reactions from Observational Studies A prospective, observational cohort study estimated the risks of addiction, abuse, and misuse in patients initiating long-term use of Schedule II opioid analgesics between 2017 and 2021. Study participants included in one or more analyses had been enrolled in selected insurance plans or health systems for at least one year, were free of at least one outcome at baseline, completed a minimum number of follow-up assessments, and either: 1) filled multiple extended-release/long-acting opioid analgesic prescriptions during a 90-day period (n=978); or 2) filled any Schedule II opioid analgesic prescriptions covering at least 70 of 90 days (n=1,244). Those included also had no dispensing of the qualifying opioids in the previous 6 months. Over 12 months: • approximately 1% to 6% of participants across the two cohorts newly met criteria for addiction, as assessed with two validated interview-based measures of moderate-to-severe opioid use disorder based on Diagnostic and Statistical Manual of Mental Disorders, Fifth Edition (DSM-5) criteria, and • approximately 9% and 22% of participants across the two cohorts newly met criteria for prescription opioid abuse and misuse [defined in Drug Abuse and Dependence (9.2) ] , respectively, as measured with a validated self-reported instrument. A retrospective, observational cohort study estimated the risk of opioid-involved overdose or opioid overdose-related death in patients with new long-term use of Schedule II opioid analgesics from 2006 through 2016 (n=220,249). Included patients had been enrolled in either one of two commercial insurance programs, one managed care program, or one Medicaid program for at least 9 months. New long-term use was defined as having Schedule II opioid analgesic prescriptions covering at least 70 days’ supply over the 3 months prior to study entry and none during the preceding 6 months. Patients were excluded if they had an opioid-involved overdose in the 9 months prior to study entry. Overdose was measured using a validated medical code-based algorithm with linkage to the National Death Index database. The 5-year cumulative incidence estimates for opioid-involved overdose or opioid overdose-related death ranged from approximately 1.5% to 4% across study sites, counting only the first event during follow-up. Approximately 17% of first opioid overdoses observed over the entire study period (5-11 years, depending on the study site) were fatal. Higher baseline opioid dose was the strongest and most consistent predictor of opioid-involved overdose or opioid overdose-related death. Study exclusion criteria may have selected patients at lower risk of overdose, and substantial loss to follow-up (approximately 80%) also may have biased estimates. The risk estimates from the studies described above may not be generalizable to all patients receiving opioid analgesics, such as those with exposures shorter or longer than the duration evaluated in the studies.
Drug Interactions
Table 2 includes clinically significant drug interactions with Morphine Sulfate Injection. Table 2: Clinically Significant Drug Interactions with Morphine Sulfate Injection Benzodiazepines and Other Central Nervous System (CNS) Depressants Clinical Impact: Due to additive pharmacologic effect, the concomitant use of benzodiazepines or other CNS depressants, including alcohol, can increase the risk of hypotension, respiratory depression, profound sedation, coma, and death [see Warnings and Precautions (5.3) ] . Intervention: Reserve concomitant prescribing of these drugs for use in patients for whom alternative treatment options are inadequate. Limit dosages and durations to the minimum required. Monitor patients closely for signs of respiratory depression and sedation. Examples: Benzodiazepines and other sedatives/hypnotics, anxiolytics, tranquilizers, muscle relaxants, general anesthetics, antipsychotics, gabapentinoids (gabapentin or pregabalin), other opioids, alcohol. Serotonergic Drugs Clinical Impact: The concomitant use of opioids with other drugs that affect the serotonergic neurotransmitter system has resulted in serotonin syndrome . Intervention: If concomitant use is warranted, carefully observe the patient, particularly during treatment initiation and dose adjustment. Discontinue Morphine Sulfate Injection if serotonin syndrome is suspected. Examples: Selective serotonin reuptake inhibitors (SSRIs), serotonin and norepinephrine reuptake inhibitors (SNRIs), tricyclic antidepressants (TCAs), triptans, 5-HT3 receptor antagonists, drugs that affect the serotonin neurotransmitter system (e.g., mirtazapine, trazodone, tramadol), certain muscle relaxants (i.e., cyclobenzaprine, metaxalone), monoamine oxidase (MAO) inhibitors (those intended to treat psychiatric disorders and also others, such as linezolid and intravenous methylene blue). Monoamine Oxidase Inhibitors (MAOIs) Clinical Impact: MAOI interactions with opioids may manifest as serotonin syndrome or opioid toxicity (e.g., respiratory depression, coma) [see Warnings and Precautions (5.2 , 5.8) ]. Intervention: Do not use Morphine Sulfate Injection in patients taking MAOIs or within 14 days of stopping such treatment. If urgent use of an opioid is necessary, use test doses and frequent titration of small doses of other opioids (such as oxycodone, oxymorphone, hydrocodone, or buprenorphine) to treat pain while closely monitoring blood pressure and signs and symptoms of CNS and respiratory depression. Examples: phenelzine, tranylcypromine, linezolid Mixed Agonist/Antagonist and Partial Agonist Opioid Analgesics Clinical Impact: May reduce the analgesic effect of Morphine Sulfate Injection and/or precipitate withdrawal symptoms. Intervention: Avoid concomitant use. Examples: butorphanol, nalbuphine, pentazocine, buprenorphine Muscle Relaxants Clinical Impact: Morphine may enhance the neuromuscular blocking action of skeletal muscle relaxants and produce an increased degree of respiratory depression. Intervention: Monitor patients for signs of respiratory depression that may be greater than otherwise expected and decrease the dosage of Morphine Sulfate Injection and/or the muscle relaxant as necessary. Examples: Cyclobenzaprine, metaxalone. Cimetidine Clinical Impact: Concomitant administration of Morphine Sulfate Injection and cimetidine has been reported to precipitate apnea, confusion, and muscle twitching in an isolated report. Intervention: Monitor patients for increased respiratory and CNS depression when receiving cimetidine concomitantly with Morphine Sulfate Injection. Diuretics Clinical Impact: Opioids can reduce the efficacy of diuretics by inducing the release of antidiuretic hormone. Intervention: Monitor patients for signs of diminished diuresis and/or effects on blood pressure and increase the dosage of the diuretic as needed. Anticholinergic Drugs Clinical Impact: The concomitant use of anticholinergic drugs may increase risk of urinary retention and/or severe constipation, which may lead to paralytic ileus. Intervention: Monitor patients for signs of urinary retention or reduced gastric motility when Morphine Sulfate Injection is used concomitantly with anticholinergic drugs. Oral P2Y 12 Inhibitors Clinical Impact: The co-administration of oral P2Y 12 inhibitors and intravenous morphine sulfate can decrease the absorption and peak concentration of oral P2Y 12 inhibitors and delay the onset of the antiplatelet effect. Intervention: Consider the use of a parenteral antiplatelet agent in the setting of acute coronary syndrome requiring co-administration of intravenous morphine sulfate. Examples: clopidogrel, prasugrel, ticagrelor
Storage and Handling
Morphine Sulfate Injection, USP is a clear and colorless to pale yellow solution supplied as a sterile solution in glass, single-dose flip top vials for the preparation of large volume parenteral solutions. Unit of Sale Concentration NDC 0409-1896-20 Carton containing 1 Single-Dose Flip Top Vial 1,000 mg/20 mL (50 mg/mL) NDC 0409-2022-01 Carton containing 1 Single-Dose Flip Top Vial 2,500 mg/50 mL (50 mg/mL)
How Supplied
Morphine Sulfate Injection, USP is a clear and colorless to pale yellow solution supplied as a sterile solution in glass, single-dose flip top vials for the preparation of large volume parenteral solutions. Unit of Sale Concentration NDC 0409-1896-20 Carton containing 1 Single-Dose Flip Top Vial 1,000 mg/20 mL (50 mg/mL) NDC 0409-2022-01 Carton containing 1 Single-Dose Flip Top Vial 2,500 mg/50 mL (50 mg/mL)
Description
WARNING: SERIOUS AND LIFE-THREATENING RISKS FROM USE OF MORPHINE SULFATE INJECTION See full prescribing information for complete boxed warning. • Morphine Sulfate Injection exposes users to risks of addiction, abuse, and misuse, which can lead to overdose and death. Assess patient’s risk before prescribing and reassess regularly for these behaviors and conditions. ( 5.1 ) • Serious, life-threatening, or fatal respiratory depression may occur with use of Morphine Sulfate Injection, especially during initiation or following a dosage increase. To reduce the risk of respiratory depression, proper dosing and titration of Morphine Sulfate Injection are essential. ( 5.2 ) • Concomitant use of opioids with benzodiazepines or other central nervous system (CNS) depressants, including alcohol, may result in profound sedation, respiratory depression, coma, and death. Reserve concomitant prescribing for use in patients for whom alternative treatment options are inadequate. ( 5.3 , 7 ) • Advise pregnant women using opioids for an extended period of time of the risk of Neonatal Opioid Withdrawal Syndrome, which may be life-threatening if not recognized and treated. Ensure that management by neonatology expert will be available at delivery. ( 5.4 )
Section 42229-5
Addiction, Abuse, and Misuse
Because the use of Morphine Sulfate Injection exposes patients and other users to the risks of opioid addiction, abuse, and misuse, which can lead to overdose and death, assess each patient's risk prior to prescribing and reassess all patients regularly for the development of these behaviors and conditions [see Warnings and Precautions (5.1)].
Section 43683-2
Section 44425-7
Store at 20°C to 25°C (68°F to 77°F) [See USP Controlled Room Temperature] until ready to use. PROTECT FROM LIGHT. DO NOT FREEZE. Contains no preservative or antioxidant. DISCARD ANY UNUSED PORTION. DO NOT HEAT-STERILIZE.
9.2 Abuse
Morphine Sulfate Injection contains morphine, a substance with high potential for misuse and abuse, which can lead to the development of substance use disorder, including addiction [see Warnings and Precautions (5.1)].
Misuse is the intentional use, for therapeutic purposes, of a drug by an individual in a way other than prescribed by a healthcare provider or for whom it was not prescribed.
Abuse is the intentional, non-therapeutic use of a drug, even once, for its desirable psychological or physiological effects.
Drug addiction is a cluster of behavioral, cognitive, and physiological phenomena that may include a strong desire to take the drug, difficulties in controlling drug use (e.g, continuing drug use despite harmful consequences, giving a higher priority to drug use than to other activities and obligations), and possible tolerance or physical dependence.
Misuse and abuse of Morphine Sulfate Injection increases risk of overdose, which may lead to central nervous system and respiratory depression, hypotension, seizures, and death. The risk is increased with concurrent abuse of Morphine Sulfate Injection with alcohol and/or other CNS depressants. Abuse of and addiction to opioids in some individuals may not be accompanied by concurrent tolerance and symptoms of physical dependence. In addition, abuse of opioids can occur in the absence of addiction.
All patients treated with opioids require careful and frequent reevaluation for signs of misuse, abuse and addiction, because use of opioid analgesic products carries the risk of addiction even under appropriate medical use. Patients at high risk of Morphine Sulfate Injection abuse include those with a history of prolonged use of any opioid, including products containing morphine, those with a history of drug or alcohol abuse, or those who use Morphine Sulfate Injection in combination with other abused drugs.
“Drug-seeking” behavior is very common in persons with substance use disorders. Drug-seeking tactics include emergency calls or visits near the end of office hours, refusal to undergo appropriate examination, testing or referral, repeated “loss” of prescriptions, tampering with prescriptions, and reluctance to provide prior medical records or contact information for other treating healthcare provider(s). “Doctor shopping” (visiting multiple prescribers to obtain additional prescriptions) is common among people who abuse drugs and people with substance use disorder. Preoccupation with achieving adequate pain relief can be appropriate behavior in a patient with inadequate pain control.
Morphine Sulfate Injection, like other opioids, can be diverted for nonmedical use into illicit channels of distribution. Careful record-keeping of prescribing information, including quantity, frequency, and renewal requests, as required by state and federal law, is strongly advised.
Proper assessment of the patient, proper prescribing practices, periodic reevaluation of therapy, and proper dispensing and storage are appropriate measures that help to limit abuse of opioid drugs.
Risks Specific to Abuse of Morphine Sulfate Injection
Abuse of Morphine Sulfate Injection poses a risk of overdose and death. The risk is increased with concurrent use of Morphine Sulfate Injection with alcohol and/or other CNS depressants.
Parenteral drug abuse is commonly associated with transmission of infectious diseases such as hepatitis and HIV.
10 Overdosage
8.2 Lactation
11 Description
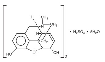
Morphine, an opioid agonist, is isolated in the form of sulfate salt and pentahydrate, which has the chemical name as 7,8-Didehydro-4,5-epoxy-17-methyl-(5α,6α)-morphinan-3,6-diol sulfate (2:1) (salt), pentahydrate. It has a molecular weight of 758.83 and a chemical formula of (C17H19NO3)2 ∙ H2SO4 ∙ 5H2O, with the following structural formula:
Morphine sulfate USP is an odorless, white crystalline powder with a bitter taste. When exposed to air, it gradually loses water of hydration, and darkens on prolonged exposure to light. It has a solubility of 1 in 21 parts of water and 1 in 1000 parts of alcohol, but is practically insoluble in chloroform or ether. The octanol:water partition coefficient of morphine is 1.42 at physiologic pH and the pKa is 7.9 for the tertiary nitrogen (the majority is ionized at pH 7.4).
Morphine Sulfate Injection, USP is a sterile, nonpyrogenic solution of morphine sulfate, free of antioxidants and preservatives, to be administered by the intravenous route. It is available in 1,000 mg/20 mL (50 mg/mL) and 2,500 mg/50 mL (50 mg/mL) single-dose flip top vials for the preparation of large volume parenteral solutions.
Each milliliter of sterile solution contains 50 mg Morphine Sulfate, USP (Pentahydrate) and the following inactive ingredients: 0.2 mg edetate disodium, 0.8 mg citric acid, sodium chloride to adjust isotonicity, and water for injection. Hydrochloric acid and/or sodium hydroxide may be added to adjust pH. The pH range is 2.5 to 4.0.
9.3 Dependence
Both tolerance and physical dependence can develop during use of opioid therapy.
Tolerance is a physiological state characterized by a reduced response to a drug after repeated administration (i.e., a higher dose of a drug is required to produce the same effect that was once obtained at a lower dose).
Physical dependence is a state that develops as a result of a physiological adaptation in response to repeated drug use, manifested by withdrawal signs and symptoms after abrupt discontinuation or a significant dose reduction of a drug.
Withdrawal may be precipitated through the administration of drugs with opioid antagonist activity (e.g., naloxone, nalmefene), mixed agonist/antagonist analgesics (e.g., pentazocine, butorphanol, nalbuphine), or partial agonists (e.g., buprenorphine). Physical dependence may not occur to a clinically significant degree until after several days to weeks of continued use.
Morphine Sulfate Injection should not be rapidly reduced or abruptly discontinued in a physically-dependent patient [see Dosage and Administration (2.4)]. If Morphine Sulfate Injection is rapidly reduced or abruptly discontinued in a physically‑dependent patient, a withdrawal syndrome may occur, typically characterized by restlessness, lacrimation, rhinorrhea, perspiration, chills, myalgia, and mydriasis. Other signs and symptoms also may develop, including irritability, anxiety, backache, joint pain, weakness, abdominal cramps, insomnia, nausea, anorexia, vomiting, diarrhea, or increased blood pressure, respiratory rate, or heart rate.
Infants born to mothers physically-dependent on opioids will also be physically-dependent and may exhibit respiratory difficulties and withdrawal signs [see Use in Specific Populations (8.1)].
5.14 Withdrawal
Avoid the use of mixed agonist/antagonist (e.g, pentazocine, nalbuphine, and butorphanol) or partial agonist (e.g., buprenorphine) analgesics in patients who are receiving a full opioid agonist analgesic, including Morphine Sulfate Injection. In these patients, mixed agonist/antagonist and partial agonist analgesics may reduce the analgesic effect and/or precipitate withdrawal symptoms [see Drug Interactions (7)].
When discontinuing Morphine Sulfate Injection in a physically-dependent patient, gradually taper the dosage [see Dosage and Administration (2.4)]. Do not rapidly reduce or abruptly discontinue Morphine Sulfate Injection in these patients [see Drug Abuse and Dependence (9.3)].
8.4 Pediatric Use
The safety and effectiveness of morphine continuous intravenous infusion in pain management have been established in pediatric patients for all age groups.
Use of morphine continuous intravenous infusion for pain management in pediatric patients is supported by evidence from randomized controlled studies in pediatric patients.
Monitor cardiorespiratory function in patients less than 3 months of age. Adjust the infusion rate based on clinical signs of inadequate pain relief and/or increased somnolence [see Dosage and Administration (2.2)].
For premature infants and former premature infants with chronic lung disease and up to 5 to 6 months of age, careful monitoring for depressed hypoxic drive is required following opioid administration [see Dosage and Administration (2.2)].
8.5 Geriatric Use
The pharmacodynamic effects of morphine in the elderly are more variable than in the younger population. Older patients will vary widely in the effective initial dose, rate of development of tolerance and the frequency and magnitude of associated adverse effects as the dose is increased. Initial elderly patients (aged 65 years or older) may have increased sensitivity to morphine. In general, use caution when selecting a dosage for an elderly patient, usually starting at the low end of the dosing range, reflecting the greater frequency of decreased hepatic, renal, or cardiac function and of concomitant disease or other drug therapy.
Respiratory depression is the chief risk for elderly patients treated with opioids, and has occurred after large initial doses were administered to patients who were not opioid-tolerant or when opioids were co-administered with other agents that depress respiration. Titrate the dosage of Morphine Sulfate Injection slowly in geriatric patients and monitor closely for signs of central nervous system and respiratory depression [see Warnings and Precautions (5.7) ].
Morphine is known to be substantially excreted by the kidney, and the risk of adverse reactions to this drug may be greater in patients with impaired renal function. Because elderly patients are more likely to have decreased renal function, care should be taken in dose selection, and it may be useful to monitor renal function.
4 Contraindications
Morphine Sulfate Injection is contraindicated in patients with:
-
•Significant respiratory depression [see Warnings and Precautions (5.2)]
-
•Acute or severe bronchial asthma in an unmonitored setting or in the absence of resuscitative equipment [see Warnings and Precautions (5.7) ]
-
•Concurrent use of monoamine oxidase inhibitors (MAOIs) or use of MAOIs within the last 14 days [see Warnings and Precautions (5.8) ]
-
•Known or suspected gastrointestinal obstruction, including paralytic ileus [see Warnings and Precautions (5.12) ]
-
•Hypersensitivity to morphine (e.g., anaphylaxis) [see Adverse Reactions (6)]
6 Adverse Reactions
The following serious adverse reactions are described, or described in greater detail, in other sections:
-
•Addiction, Abuse, and Misuse [see Warnings and Precautions (5.1)]
-
•Life-Threatening Respiratory Depression [see Warnings and Precautions (5.2)]
-
•Interactions with Benzodiazepines or Other CNS Depressants [see Warnings and Precautions (5.3) ]
-
•Neonatal Opioid Withdrawal Syndrome [see Warnings and Precautions (5.4) ]
-
•Cardiovascular Instability [see Warnings and Precautions (5.5)]
-
•Opioid-Induced Hyperalgesia and Allodynia [see Warnings and Precautions (5.6)]
-
•Adrenal Insufficiency [see Warnings and Precautions (5.9) ]
-
•Severe Hypotension [see Warnings and Precautions (5.10) ]
-
•Gastrointestinal Adverse Reactions [see Warnings and Precautions (5.12) ]
-
•Seizures [see Warnings and Precautions (5.13) ]
-
•Withdrawal [see Warnings and Precautions (5.14) ]
The following adverse reactions associated with the use of morphine were identified in clinical studies or postmarketing reports. Because some of these reactions were reported voluntarily from a population of uncertain size, it is not always possible to reliably estimate their frequency or establish a causal relationship to drug exposure.
Serious adverse reactions associated with Morphine Sulfate Injection included respiratory depression, apnea, and to a lesser degree, circulatory depression, respiratory arrest, shock, and cardiac arrest. Rarely, anaphylactoid reactions have been reported when morphine or other phenanthrene alkaloids of opium are administered intravenously.
The most frequently observed adverse reactions included sedation, lightheadedness, dizziness, nausea, vomiting, constipation, and diaphoresis.
Other possible adverse reactions included:
Central Nervous System – Euphoria, dysphoria, weakness, headache, agitation, tremor, uncoordinated muscle movements, visual disturbances, transient hallucinations and disorientation.
Gastrointestinal – Constipation, biliary tract spasm.
Cardiovascular – Tachycardia, bradycardia, palpitation, faintness, syncope, and orthostatic hypotension.
Genitourinary – Oliguria and urinary retention; an antidiuretic effect has been reported.
Allergic – Pruritus, urticaria, and skin rashes. Anaphylactoid reactions have been reported following intravenous administration.
Other – Opioid-induced histamine release may be responsible for the flushing of the face, diaphoresis, and pruritus often seen with these drugs. Wheals and urticaria at the site of injection are probably related to histamine release. Local tissue irritation, pain and induration have been reported following repeated subcutaneous injection. Morphine may alter temperature regulation in susceptible individuals and will depress the cough reflex.
Serotonin syndrome: Cases of serotonin syndrome, a potentially life-threatening condition, have been reported during concomitant use of opioids with serotonergic drugs.
Adrenal insufficiency: Cases of adrenal insufficiency have been reported with opioid use, more often following greater than one month of use.
Anaphylaxis: Anaphylaxis has been reported with ingredients contained in Morphine Sulfate Injection.
Androgen deficiency: Cases of androgen deficiency have occurred with use of opioids for an extended period of time [see Clinical Pharmacology (12.2)].
Hyperalgesia and Allodynia: Cases of hyperalgesia and allodynia have been reported with opioid therapy of any duration [see Warnings and Precautions (5.6) ].
Hypoglycemia: Cases of hypoglycemia have been reported in patients taking opioids. Most reports were in patients with at least one predisposing risk factor (e.g., diabetes).
Opioid-induced esophageal dysfunction (OIED): Cases of OIED have been reported in patients taking opioids and may occur more frequently in patients taking higher doses of opioids, and/or in patients taking opioids longer term [see Warnings and Precautions (5.12)].
Adverse Reactions from Observational Studies
A prospective, observational cohort study estimated the risks of addiction, abuse, and misuse in patients initiating long-term use of Schedule II opioid analgesics between 2017 and 2021. Study participants included in one or more analyses had been enrolled in selected insurance plans or health systems for at least one year, were free of at least one outcome at baseline, completed a minimum number of follow-up assessments, and either: 1) filled multiple extended-release/long-acting opioid analgesic prescriptions during a 90-day period (n=978); or 2) filled any Schedule II opioid analgesic prescriptions covering at least 70 of 90 days (n=1,244). Those included also had no dispensing of the qualifying opioids in the previous 6 months.
Over 12 months:
-
•approximately 1% to 6% of participants across the two cohorts newly met criteria for addiction, as assessed with two validated interview-based measures of moderate-to-severe opioid use disorder based on Diagnostic and Statistical Manual of Mental Disorders, Fifth Edition (DSM-5) criteria, and
-
•approximately 9% and 22% of participants across the two cohorts newly met criteria for prescription opioid abuse and misuse [defined in Drug Abuse and Dependence (9.2)], respectively, as measured with a validated self-reported instrument.
A retrospective, observational cohort study estimated the risk of opioid-involved overdose or opioid overdose-related death in patients with new long-term use of Schedule II opioid analgesics from 2006 through 2016 (n=220,249). Included patients had been enrolled in either one of two commercial insurance programs, one managed care program, or one Medicaid program for at least 9 months. New long-term use was defined as having Schedule II opioid analgesic prescriptions covering at least 70 days’ supply over the 3 months prior to study entry and none during the preceding 6 months. Patients were excluded if they had an opioid-involved overdose in the 9 months prior to study entry. Overdose was measured using a validated medical code-based algorithm with linkage to the National Death Index database. The 5-year cumulative incidence estimates for opioid-involved overdose or opioid overdose-related death ranged from approximately 1.5% to 4% across study sites, counting only the first event during follow-up. Approximately 17% of first opioid overdoses observed over the entire study period (5-11 years, depending on the study site) were fatal. Higher baseline opioid dose was the strongest and most consistent predictor of opioid-involved overdose or opioid overdose-related death. Study exclusion criteria may have selected patients at lower risk of overdose, and substantial loss to follow-up (approximately 80%) also may have biased estimates.
The risk estimates from the studies described above may not be generalizable to all patients receiving opioid analgesics, such as those with exposures shorter or longer than the duration evaluated in the studies.
7 Drug Interactions
Table 2 includes clinically significant drug interactions with Morphine Sulfate Injection.
|
Benzodiazepines and Other Central Nervous System (CNS) Depressants |
|
|
Clinical Impact: |
Due to additive pharmacologic effect, the concomitant use of benzodiazepines or other CNS depressants, including alcohol, can increase the risk of hypotension, respiratory depression, profound sedation, coma, and death [see Warnings and Precautions (5.3)]. |
|
Intervention: |
Reserve concomitant prescribing of these drugs for use in patients for whom alternative treatment options are inadequate. Limit dosages and durations to the minimum required. Monitor patients closely for signs of respiratory depression and sedation. |
|
Examples: |
Benzodiazepines and other sedatives/hypnotics, anxiolytics, tranquilizers, muscle relaxants, general anesthetics, antipsychotics, gabapentinoids (gabapentin or pregabalin), other opioids, alcohol. |
|
Serotonergic Drugs |
|
|
Clinical Impact: |
The concomitant use of opioids with other drugs that affect the serotonergic neurotransmitter system has resulted in serotonin syndrome. |
|
Intervention: |
If concomitant use is warranted, carefully observe the patient, particularly during treatment initiation and dose adjustment. Discontinue Morphine Sulfate Injection if serotonin syndrome is suspected. |
|
Examples: |
Selective serotonin reuptake inhibitors (SSRIs), serotonin and norepinephrine reuptake inhibitors (SNRIs), tricyclic antidepressants (TCAs), triptans, 5-HT3 receptor antagonists, drugs that affect the serotonin neurotransmitter system (e.g., mirtazapine, trazodone, tramadol), certain muscle relaxants (i.e., cyclobenzaprine, metaxalone), monoamine oxidase (MAO) inhibitors (those intended to treat psychiatric disorders and also others, such as linezolid and intravenous methylene blue). |
|
Monoamine Oxidase Inhibitors (MAOIs) |
|
|
Clinical Impact: |
MAOI interactions with opioids may manifest as serotonin syndrome or opioid toxicity (e.g., respiratory depression, coma) [see Warnings and Precautions (5.2 , 5.8) ]. |
|
Intervention: |
Do not use Morphine Sulfate Injection in patients taking MAOIs or within 14 days of stopping such treatment. If urgent use of an opioid is necessary, use test doses and frequent titration of small doses of other opioids (such as oxycodone, oxymorphone, hydrocodone, or buprenorphine) to treat pain while closely monitoring blood pressure and signs and symptoms of CNS and respiratory depression. |
|
Examples: |
phenelzine, tranylcypromine, linezolid |
|
Mixed Agonist/Antagonist and Partial Agonist Opioid Analgesics |
|
|
Clinical Impact: |
May reduce the analgesic effect of Morphine Sulfate Injection and/or precipitate withdrawal symptoms. |
|
Intervention: |
Avoid concomitant use. |
|
Examples: |
butorphanol, nalbuphine, pentazocine, buprenorphine |
|
Muscle Relaxants |
|
|
Clinical Impact: |
Morphine may enhance the neuromuscular blocking action of skeletal muscle relaxants and produce an increased degree of respiratory depression. |
|
Intervention: |
Monitor patients for signs of respiratory depression that may be greater than otherwise expected and decrease the dosage of Morphine Sulfate Injection and/or the muscle relaxant as necessary. |
|
Examples: |
Cyclobenzaprine, metaxalone. |
|
Cimetidine |
|
|
Clinical Impact: |
Concomitant administration of Morphine Sulfate Injection and cimetidine has been reported to precipitate apnea, confusion, and muscle twitching in an isolated report. |
|
Intervention: |
Monitor patients for increased respiratory and CNS depression when receiving cimetidine concomitantly with Morphine Sulfate Injection. |
|
Diuretics |
|
|
Clinical Impact: |
Opioids can reduce the efficacy of diuretics by inducing the release of antidiuretic hormone. |
|
Intervention: |
Monitor patients for signs of diminished diuresis and/or effects on blood pressure and increase the dosage of the diuretic as needed. |
|
Anticholinergic Drugs |
|
|
Clinical Impact: |
The concomitant use of anticholinergic drugs may increase risk of urinary retention and/or severe constipation, which may lead to paralytic ileus. |
|
Intervention: |
Monitor patients for signs of urinary retention or reduced gastric motility when Morphine Sulfate Injection is used concomitantly with anticholinergic drugs. |
|
Oral P2Y12 Inhibitors |
|
|
Clinical Impact: |
The co-administration of oral P2Y12 inhibitors and intravenous morphine sulfate can decrease the absorption and peak concentration of oral P2Y12 inhibitors and delay the onset of the antiplatelet effect. |
|
Intervention: |
Consider the use of a parenteral antiplatelet agent in the setting of acute coronary syndrome requiring co-administration of intravenous morphine sulfate. |
|
Examples: |
clopidogrel, prasugrel, ticagrelor |
8.7 Renal Impairment
Morphine pharmacokinetics are altered in patients with renal failure. Start these patients with a lower than normal dosage of Morphine Sulfate Injection and titrate slowly while monitoring for signs of respiratory depression, sedation, and hypotension [see Clinical Pharmacology (12.3)].
8.6 Hepatic Impairment
Morphine pharmacokinetics have been reported to be significantly altered in patients with cirrhosis. Start these patients with a lower than normal dosage of Morphine Sulfate Injection and titrate slowly while monitoring for signs of respiratory depression, sedation, and hypotension [see Clinical Pharmacology (12.3)].
1 Indications and Usage
Morphine Sulfate Injection is indicated in adult and pediatric patients for the management of pain severe enough to require an opioid analgesic and for which alternative treatments are inadequate.
5.10 Severe Hypotension
Morphine Sulfate Injection may cause severe hypotension including orthostatic hypotension and syncope in ambulatory patients. There is increased risk in patients whose ability to maintain blood pressure has already been compromised by a reduced blood volume or concurrent administration of certain CNS depressant drugs (e.g., phenothiazines or general anesthetics) [see Drug Interactions (7)]. Monitor these patients for signs of hypotension after initiating or titrating the dosage of Morphine Sulfate Injection. In patients with circulatory shock, Morphine Sulfate Injection may cause vasodilation that can further reduce cardiac output and blood pressure. Avoid the use of Morphine Sulfate Injection in patients with circulatory shock.
12.1 Mechanism of Action
Morphine is a full opioid agonist and is relatively selective for the mu-opioid receptor, although it can bind to other opioid receptors at higher doses. The principal therapeutic action of morphine is analgesia. Like all full opioid agonists, there is no ceiling effect for analgesia with morphine. Clinically, dosage is titrated to provide adequate analgesia and may be limited by adverse reactions, including respiratory and CNS depression.
The precise mechanism of the analgesic action is unknown. However, specific CNS opioid receptors for endogenous compounds with opioid-like activity have been identified throughout the brain and spinal cord and are thought to play a role in the analgesic effects of this drug.
9.1 Controlled Substance
Morphine Sulfate Injection contains morphine, a Schedule II controlled substance.
5.9 Adrenal Insufficiency
Cases of adrenal insufficiency have been reported with opioid use, more often following greater than one month of use. Presentation of adrenal insufficiency may include non-specific symptoms and signs including nausea, vomiting, anorexia, fatigue, weakness, dizziness, and low blood pressure. If adrenal insufficiency is suspected, confirm the diagnosis with diagnostic testing as soon as possible. If adrenal insufficiency is diagnosed, treat with physiologic replacement doses of corticosteroids. Wean the patient off of the opioid to allow adrenal function to recover and continue corticosteroid treatment until adrenal function recovers. Other opioids may be tried as some cases reported use of a different opioid without recurrence of adrenal insufficiency. The information available does not identify any particular opioids as being more likely to be associated with adrenal insufficiency.
5 Warnings and Precautions
2 Dosage and Administration
-
•Morphine Sulfate Injection should be prescribed only by healthcare professionals who are knowledgeable about the use of opioids and how to mitigate the associated risks. (2.1)
-
•Use the lowest effective dosage for the shortest duration of time consistent with individual patient treatment goals. Reserve titration to higher doses of Morphine Sulfate Injection for patients in whom lower doses are insufficiently effective and in whom the expected benefits of using a higher dose opioid clearly outweigh the substantial risks. (2.1, 5)
-
•Many acute pain conditions (e.g., the pain that occurs with a number of surgical procedures or acute musculoskeletal injuries) require no more than a few days of an opioid analgesic. Clinical guidelines on opioid prescribing for some acute pain conditions are available. (2.1)
-
•Initiate the dosing regimen for each patient individually, taking into account the patient’s underlying cause and severity of pain, prior analgesic treatment and response, and risk factors for addiction, abuse, and misuse. (2.1, 5.1)
-
•Respiratory depression can occur at any time during opioid therapy, especially when initiating and following dosage increases with Morphine Sulfate Injection. Consider this risk when selecting an initial dose and when making dose adjustments. (2.1, 5.2)
-
•Do not inject directly. Morphine Sulfate Injection is intended for continuous intravenous infusion only, after dilution in large volume parenteral solutions. (2.1, 2.5)
-
•Initial and maintenance dosage in adults: See full prescribing information for recommended dosages in adult patients. (2.2, 2.3)
-
•Initial and maintenance dosage in pediatric patients: See full prescribing information for recommended dosage in pediatric patients. (2.2, 2.3)
-
•Periodically reassess patients receiving Morphine Sulfate Injection to evaluate the continued need for opioid analgesics to maintain pain control, for the signs or symptoms of adverse reactions, and for the development of addiction, abuse, or misuse. (2.3)
-
•Do not rapidly reduce or abruptly discontinue Morphine Sulfate Injection in a physically-dependent patient. (2.4, 5.14)
-
•See full prescribing information for preparation and storage instructions. (2.5)
3 Dosage Forms and Strengths
Morphine Sulfate Injection, USP is available as single-dose flip top vials for the preparation of large volume parenteral solutions in the following presentations:
-
•1,000 mg/20 mL (50 mg/mL) clear and colorless to pale yellow solution, and
-
•2,500 mg/50 mL (50 mg/mL) clear and colorless to pale yellow solution
8 Use in Specific Populations
5.5 Cardiovascular Instability
While low doses of intravenously administered morphine have little effect on cardiovascular stability, high doses are excitatory, resulting from sympathetic hyperactivity and increase in circulatory catecholamines. Have naloxone injection and resuscitative equipment immediately available for use in case of life-threatening or intolerable side effects and whenever morphine therapy is being initiated.
5.1 Addiction, Abuse, and Misuse
Morphine Sulfate Injection contains morphine, a Schedule II controlled substance. As an opioid, Morphine Sulfate Injection exposes users to the risks of addiction, abuse, and misuse [see Drug Abuse and Dependence (9)].
Although the risk of addiction in any individual is unknown, it can occur in patients appropriately prescribed Morphine Sulfate Injection. Addiction can occur at recommended dosages and if the drug is misused or abused. The risk of opioid-related overdose or overdose-related death is increased with higher opioid doses, and this risk persists over the course of therapy. In postmarketing studies, addiction, abuse, misuse, and fatal and non-fatal opioid overdose were observed in patients with long-term opioid use [see Adverse Reactions (6)].
Assess each patient's risk for opioid addiction, abuse, or misuse prior to prescribing Morphine Sulfate Injection, and monitor all patients receiving morphine sulfate for the development of these behaviors and conditions. Risks are increased in patients with a personal or family history of substance abuse (including drug or alcohol abuse or addiction) or mental illness (e.g., major depression). The potential for these risks should not, however, prevent the proper management of pain in any given patient. Patients at increased risk may be prescribed opioids such as Morphine Sulfate Injection but use in such patients necessitates intensive counseling about the risks and proper use of Morphine Sulfate Injection along with intensive monitoring for signs of addiction, abuse, and misuse.
Opioids are sought for nonmedical use and are subject to diversion from legitimate prescribed use. Consider these risks when prescribing or dispensing Morphine Sulfate Injection. Strategies to reduce these risks include prescribing the drug in the smallest appropriate quantity. Contact local state professional licensing board or state-controlled substances authority for information on how to prevent and detect abuse or diversion of this product.
17 Patient Counseling Information
Addiction, Abuse, and Misuse
Inform patients that the use of Morphine Sulfate Injection, even when taken as recommended, can result in addiction, abuse, and misuse, which can lead to overdose and death [see Warnings and Precautions (5.1)]. Instruct patients not to share Morphine Sulfate Injection with others and to take steps to protect Morphine Sulfate Injection from theft or misuse.
Life-Threatening Respiratory Depression
Inform patients of the risk of life-threatening respiratory depression, including information that the risk is greatest when starting Morphine Sulfate Injection or when the dosage is increased, and that it can occur even at recommended dosages [see Warnings and Precautions (5.2)].
Hyperalgesia and Allodynia
Advise patients to inform their healthcare provider if they experience symptoms of hyperalgesia, including worsening pain, increased sensitivity to pain, or new pain [see Warnings and Precautions (5.6), Adverse Reactions (6)].
16 How Supplied/storage and Handling
Morphine Sulfate Injection, USP is a clear and colorless to pale yellow solution supplied as a sterile solution in glass, single-dose flip top vials for the preparation of large volume parenteral solutions.
| Unit of Sale | Concentration |
|---|---|
|
NDC 0409-1896-20
|
1,000 mg/20 mL |
|
NDC 0409-2022-01
|
2,500 mg/50 mL |
5.4 Neonatal Opioid Withdrawal Syndrome
Use of Morphine Sulfate Injection for an extended period of time during pregnancy can result in withdrawal in the neonate. Neonatal opioid withdrawal syndrome, unlike opioid withdrawal syndrome in adults, may be life-threatening if not recognized and treated, and requires management according to protocols developed by neonatology experts. Observe newborns for signs of neonatal opioid withdrawal syndrome and manage accordingly. Advise pregnant women using opioids for an extended period of time of the risk of neonatal opioid withdrawal syndrome and ensure that management by neonatology experts will be available at delivery [see Use in Specific Populations (8.1)].
2.3 Titration and Maintenance of Therapy
Titrate the dose based upon the individual patient’s response to their initial dose of Morphine Sulfate Injection. Individually titrate Morphine Sulfate Injection to a dosage that provides adequate analgesia and minimizes adverse reactions. Continually reevaluate patients receiving Morphine Sulfate Injection to assess the maintenance of pain control, signs and symptoms of opioid withdrawal, and other adverse reactions, as well to reassess for the development of addiction, abuse, or misuse [see Warnings and Precautions (5.1, 5.14)]. If after increasing the dosage, unacceptable opioid‑related adverse reactions are observed, (including an increase in pain after dosage increase), consider reducing the dosage [see Warnings and Precautions (5)]. Adjust the dosage to obtain an appropriate balance between management of pain and opioid-related adverse reactions.
2.5 Preparation of Solutions for Infusion
Morphine Sulfate Injection is incompatible with admixtures of soluble barbiturates, chlorothiazide, aminophylline, heparin, meperidine, methicillin, phenytoin, sodium bicarbonate, iodide, sulfadiazine and sulfisoxazole.
Principal Display Panel 20 Ml Vial Label
20 mL Single-Dose Vial
NDC 0409-1896-20
Rx only
Morphine Sulfate CII
Injection, USP
1,000 mg/20 mL
(50 mg/mL)
FOR INTRAVENOUS USE ONLY
AFTER DILUTION
Not for epidural or intrathecal use
CAUTION: NOT FOR DIRECT INJECTION
Principal Display Panel 50 Ml Vial Label
50 mL Single-Dose Vial
Rx only
Morphine Sulfate
Injection, USP
CII
2,500 mg/50 mL
(50 mg/mL)
FOR INTRAVENOUS USE ONLY AFTER DILUTION
Not for epidural or intrathecal use
CAUTION: NOT FOR DIRECT INJECTION
Dist. by Hospira, Inc., Lake Forest, IL 60045 USA
Hospira
5.2 Life Threatening Respiratory Depression
Serious, life-threatening, or fatal respiratory depression has been reported with the use of opioids, even when used as recommended. Respiratory depression, if not immediately recognized and treated, may lead to respiratory arrest and death. Management of respiratory depression may include close observation, supportive measures, and use of opioid overdose reversal agents (e.g., naloxone, nalmefene), depending on the patient's clinical status [see Overdosage (10)]. Carbon dioxide (CO2) retention from opioid-induced respiratory depression can exacerbate the sedating effects of opioids.
While serious, life-threatening, or fatal respiratory depression can occur at any time during the use of Morphine Sulfate Injection, the risk is greatest during the initiation of therapy or following a dosage increase. Because of a delay in the maximum CNS effect with intravenously administered Morphine Sulfate Injection (30 min), rapid administration may result in overdosing. The respiratory depression may be severe and could require intervention [see Overdosage (10)].
To reduce the risk of respiratory depression, proper dosing and titration of Morphine Sulfate Injection are essential [see Dosage and Administration (2.3)]. Overestimating the Morphine Sulfate Injection dosage when converting patients from another opioid product can result in a fatal overdose with the first dose.
Opioids can cause sleep-related breathing disorders including central sleep apnea (CSA) and sleep-related hypoxemia. Opioid use increases the risk of CSA in a dose-dependent fashion. In patients who present with CSA, consider decreasing the opioid dosage using best practices for opioid taper [see Dosage and Administration (2.3)].
Principal Display Panel 20 Ml Vial Carton
20 mL Single-Dose Vial
NDC 0409-1896-20
Rx only
CII
Morphine Sulfate
Injection, USP
1,000 mg/20 mL
(50 mg/mL)
FOR INTRAVENOUS USE ONLY AFTER
DILUTION
Not for epidural or intrathecal use
CAUTION: NOT FOR DIRECT INJECTION
Hospira
Principal Display Panel 50 Ml Vial Carton
50 mL Single-Dose Vial
NDC 0409-2022-01
Rx only
CII
Morphine Sulfate
Injection, USP
2,500 mg/50 mL
(50 mg/mL)
FOR INTRAVENOUS USE ONLY AFTER
DILUTION
Not for epidural or intrathecal use
CAUTION: NOT FOR DIRECT
INJECTION
Hospira
5.12 Risks of Gastrointestinal Complications
Morphine Sulfate Injection is contraindicated in patients with known or suspected gastrointestinal obstruction, including paralytic ileus.
The morphine in Morphine Sulfate Injection may cause spasm of the sphincter of Oddi. Opioids may cause increases in serum amylase. Monitor patients with biliary tract disease, including acute pancreatitis, for worsening symptoms.
Cases of opioid-induced esophageal dysfunction (OIED) have been reported in patients taking opioids. The risk of OIED may increase as the dose and/or duration of opioids increases. Regularly evaluate patients for signs and symptoms of OIED (e.g., dysphagia, regurgitation, non-cardiac chest pain) and, if necessary, adjust opioid therapy as clinically appropriate [see Clinical Pharmacology (12.2)].
5.15 Risks of Driving and Operating Machinery
Morphine Sulfate Injection may impair the mental or physical abilities needed to perform potentially hazardous activities such as driving a car or operating machinery. Warn patients not to drive or operate dangerous machinery unless they are tolerant to the effects of Morphine Sulfate Injection and know how they will react to the medication.
5.6 Opioid Induced Hyperalgesia and Allodynia
Opioid-Induced Hyperalgesia (OIH) occurs when an opioid analgesic paradoxically causes an increase in pain, or an increase in sensitivity to pain. This condition differs from tolerance, which is the need for increasing doses of opioids to maintain a defined effect [see Drug Abuse and Dependence (9.3)]. Symptoms of OIH include (but may not be limited to) increased levels of pain upon opioid dosage increase, decreased levels of pain upon opioid dosage decrease, or pain from ordinarily non-painful stimuli (allodynia). These symptoms may suggest OIH only if there is no evidence of underlying disease progression, opioid tolerance, opioid withdrawal, or addictive behavior.
Cases of OIH have been reported, both with short-term and longer-term use of opioid analgesics. Though the mechanism of OIH is not fully understood, multiple biochemical pathways have been implicated. Medical literature suggests a strong biologic plausibility between opioid analgesics and OIH and allodynia. If a patient is suspected to be experiencing OIH, carefully consider appropriately decreasing the dose of the current opioid analgesic or opioid rotation (safely switching the patient to a different opioid moiety) [see Dosage and Administration (2.4) , Warnings and Precautions (5.14)].
5.8 Interaction With Monoamine Oxidase Inhibitors
Monoamine oxidase inhibitors (MAOIs) may potentiate the effects of morphine, including respiratory depression, coma, and confusion. Morphine Sulfate Injection should not be used in patients taking MAOIs or within 14 days of stopping such treatment.
2.1 Important Dosage and Administration Instructions
-
•Morphine Sulfate Injection is for intravenous use only. It is not for intrathecal or epidural use.
-
•Do not inject directly. Morphine Sulfate Injection is intended for continuous intravenous infusion only, after dilution in large volume parenteral solutions [see Dosage and Administration (2.5)].
-
•Dosing errors can result in accidental overdose and death. Avoid dosing errors that may result from confusion between mg and mL and confusion with morphine injections of different concentrations when prescribing, dispensing, and administering Morphine Sulfate Injection. Ensure that the dose is communicated and dispensed accurately.
-
•Morphine Sulfate Injection should be prescribed only by healthcare professionals who are knowledgeable about the use of opioids and how to mitigate the associated risks.
-
•Use the lowest effective dosage for the shortest duration of time consistent with individual patient treatment goals [see Warnings and Precautions (5)]. Because the risk of overdose increases as opioid doses increase, reserve titration to higher doses of Morphine Sulfate Injection for patients in whom lower doses are insufficiently effective and in whom the expected benefits of using a higher dose opioid clearly outweigh the substantial risks.
-
•Many acute pain conditions (e.g., the pain that occurs with a number of surgical procedures or acute musculoskeletal injuries) require no more than a few days of an opioid analgesic. Clinical guidelines on opioid prescribing for some acute pain conditions are available.
-
•There is variability in the opioid analgesic dose and duration needed to adequately manage pain due both to the cause of pain and to individual patient factors. Initiate the dosing regimen for each patient individually, taking into account the patient's underlying cause and severity of pain, prior analgesic treatment and response, and risk factors for addiction, abuse, and misuse [see Warnings and Precautions (5.1)].
-
•Respiratory depression can occur at any time during opioid therapy, especially when initiating and following dosage increases with Morphine Sulfate Injection. Consider this risk when selecting an initial dose and when making dose adjustments [see Warnings and Precautions (5.2)].
-
•Morphine must be injected slowly; rapid intravenous administration may result in chest wall rigidity.
-
•Inspect Morphine Sulfate Injection for particulate matter and discoloration prior to administration. Do not use if color is darker than pale yellow, if it is discolored in any other way, or if it contains a precipitate.
5.13 Increased Risk of Seizures in Patients With Seizure Disorders
The morphine in Morphine Sulfate Injection may increase the frequency of seizures in patients with seizure disorders, and may increase the risk of seizures occurring in other clinical settings associated with seizures. Monitor patients with a history of seizure disorders for worsened seizure control during Morphine Sulfate Injection therapy.
Excitation of the central nervous system, resulting in convulsions, may accompany high doses of morphine given intravenously.
2.4 Safe Reduction and Discontinuation of Morphine Sulfate Injection
When a patient who has been taking Morphine Sulfate Injection regularly and may be physically dependent no longer requires therapy with Morphine Sulfate Injection, taper the dose gradually, by 25% to 50% every 2 to 4 days, while monitoring carefully for signs and symptoms of withdrawal. If the patient develops these signs or symptoms, raise the dose to the previous level and taper more slowly, either by increasing the interval between decreases, decreasing the amount of change in dose, or both. Do not rapidly reduce or abruptly discontinue Morphine Sulfate Injection in patients who may be physically dependent on opioids [see Warnings and Precautions (5.14) , Drug Abuse and Dependence (9.3)].
Warning: Serious and Life Threatening Risks From Use of Morphine Sulfate Injection
WARNING: SERIOUS AND LIFE-THREATENING RISKS FROM USE OF MORPHINE SULFATE INJECTION
See full prescribing information for complete boxed warning.
-
•Morphine Sulfate Injection exposes users to risks of addiction, abuse, and misuse, which can lead to overdose and death. Assess patient’s risk before prescribing and reassess regularly for these behaviors and conditions. (5.1)
-
•Serious, life-threatening, or fatal respiratory depression may occur with use of Morphine Sulfate Injection, especially during initiation or following a dosage increase. To reduce the risk of respiratory depression, proper dosing and titration of Morphine Sulfate Injection are essential. (5.2)
-
•Concomitant use of opioids with benzodiazepines or other central nervous system (CNS) depressants, including alcohol, may result in profound sedation, respiratory depression, coma, and death. Reserve concomitant prescribing for use in patients for whom alternative treatment options are inadequate. (5.3, 7)
-
•Advise pregnant women using opioids for an extended period of time of the risk of Neonatal Opioid Withdrawal Syndrome, which may be life-threatening if not recognized and treated. Ensure that management by neonatology expert will be available at delivery. (5.4)
5.3 Risks From Concomitant Use With Benzodiazepines Or Other Central Nervous System Depressants
Profound sedation, respiratory depression, coma, and death may result from the concomitant use of Morphine Sulfate Injection with benzodiazepines and/or other CNS depressants, including alcohol (e.g., non-benzodiazepine sedatives/hypnotics, anxiolytics, tranquilizers, muscle relaxants, general anesthetics, antipsychotics, gabapentinoids [gabapentin or pregabalin], and other opioids). Because of these risks, reserve concomitant prescribing of these drugs for use in patients for whom alternative treatment options are inadequate.
Observational studies have demonstrated that concomitant use of opioid analgesics and benzodiazepines increases the risk of drug-related mortality compared to use of opioid analgesics alone. Because of similar pharmacological properties, it is reasonable to expect similar risk with the concomitant use of other CNS depressant drugs with opioid analgesics [see Drug Interactions (7)].
If the decision is made to prescribe a benzodiazepine or other CNS depressant concomitantly with an opioid analgesic, prescribe the lowest effective dosages and minimum durations of concomitant use. In patients already receiving an opioid analgesic, prescribe a lower initial dose of the benzodiazepine or other CNS depressant than indicated in the absence of an opioid, and titrate based on clinical response. If an opioid analgesic is initiated in a patient already taking a benzodiazepine or other CNS depressant, prescribe a lower initial dose of the opioid analgesic, and titrate based on clinical response. Monitor patients closely for signs and symptoms of respiratory depression and sedation.
Advise both patients and caregivers about the risks of respiratory depression and sedation when Morphine Sulfate Injection is used with benzodiazepines or other CNS depressants (including alcohol and illicit drugs). Advise patients not to drive or operate heavy machinery until the effects of concomitant use of the benzodiazepine or other CNS depressant have been determined. Screen patients for risk of substance use disorders, including opioid abuse and misuse, and warn them of the risk for overdose and death associated with the use of additional CNS depressants including alcohol and illicit drugs [see Drug Interactions (7)].
5.11 Risks of Use in Patients With Increased Intracranial Pressure, Brain Tumors, Head Injury, Or Impaired Consciousness
In patients who may be susceptible to the intracranial effects of CO2 retention (e.g., those with evidence of increased intracranial pressure or brain tumors), Morphine Sulfate Injection may reduce respiratory drive, and the resultant CO2 retention can further increase intracranial pressure. Monitor such patients for worsening of signs of increasing intracranial pressure. Monitor patients for signs of sedation and respiratory depression, particularly when initiating therapy with Morphine Sulfate Injection.
Opioids may also obscure the clinical course in a patient with a head injury. Avoid the use of Morphine Sulfate Injection in patients with impaired consciousness or coma.
5.7 Life Threatening Respiratory Depression in Patients With Chronic Pulmonary Disease Or in Elderly, Cachectic, Or Debilitated Patients
The use of Morphine Sulfate Injection in patients with acute or severe bronchial asthma in an unmonitored setting or in the absence of resuscitative equipment is contraindicated.
Structured Label Content
Section 42229-5 (42229-5)
Addiction, Abuse, and Misuse
Because the use of Morphine Sulfate Injection exposes patients and other users to the risks of opioid addiction, abuse, and misuse, which can lead to overdose and death, assess each patient's risk prior to prescribing and reassess all patients regularly for the development of these behaviors and conditions [see Warnings and Precautions (5.1)].
Section 43683-2 (43683-2)
Section 44425-7 (44425-7)
Store at 20°C to 25°C (68°F to 77°F) [See USP Controlled Room Temperature] until ready to use. PROTECT FROM LIGHT. DO NOT FREEZE. Contains no preservative or antioxidant. DISCARD ANY UNUSED PORTION. DO NOT HEAT-STERILIZE.
9.2 Abuse
Morphine Sulfate Injection contains morphine, a substance with high potential for misuse and abuse, which can lead to the development of substance use disorder, including addiction [see Warnings and Precautions (5.1)].
Misuse is the intentional use, for therapeutic purposes, of a drug by an individual in a way other than prescribed by a healthcare provider or for whom it was not prescribed.
Abuse is the intentional, non-therapeutic use of a drug, even once, for its desirable psychological or physiological effects.
Drug addiction is a cluster of behavioral, cognitive, and physiological phenomena that may include a strong desire to take the drug, difficulties in controlling drug use (e.g, continuing drug use despite harmful consequences, giving a higher priority to drug use than to other activities and obligations), and possible tolerance or physical dependence.
Misuse and abuse of Morphine Sulfate Injection increases risk of overdose, which may lead to central nervous system and respiratory depression, hypotension, seizures, and death. The risk is increased with concurrent abuse of Morphine Sulfate Injection with alcohol and/or other CNS depressants. Abuse of and addiction to opioids in some individuals may not be accompanied by concurrent tolerance and symptoms of physical dependence. In addition, abuse of opioids can occur in the absence of addiction.
All patients treated with opioids require careful and frequent reevaluation for signs of misuse, abuse and addiction, because use of opioid analgesic products carries the risk of addiction even under appropriate medical use. Patients at high risk of Morphine Sulfate Injection abuse include those with a history of prolonged use of any opioid, including products containing morphine, those with a history of drug or alcohol abuse, or those who use Morphine Sulfate Injection in combination with other abused drugs.
“Drug-seeking” behavior is very common in persons with substance use disorders. Drug-seeking tactics include emergency calls or visits near the end of office hours, refusal to undergo appropriate examination, testing or referral, repeated “loss” of prescriptions, tampering with prescriptions, and reluctance to provide prior medical records or contact information for other treating healthcare provider(s). “Doctor shopping” (visiting multiple prescribers to obtain additional prescriptions) is common among people who abuse drugs and people with substance use disorder. Preoccupation with achieving adequate pain relief can be appropriate behavior in a patient with inadequate pain control.
Morphine Sulfate Injection, like other opioids, can be diverted for nonmedical use into illicit channels of distribution. Careful record-keeping of prescribing information, including quantity, frequency, and renewal requests, as required by state and federal law, is strongly advised.
Proper assessment of the patient, proper prescribing practices, periodic reevaluation of therapy, and proper dispensing and storage are appropriate measures that help to limit abuse of opioid drugs.
Risks Specific to Abuse of Morphine Sulfate Injection
Abuse of Morphine Sulfate Injection poses a risk of overdose and death. The risk is increased with concurrent use of Morphine Sulfate Injection with alcohol and/or other CNS depressants.
Parenteral drug abuse is commonly associated with transmission of infectious diseases such as hepatitis and HIV.
10 Overdosage (10 OVERDOSAGE)
8.2 Lactation
11 Description (11 DESCRIPTION)
Morphine, an opioid agonist, is isolated in the form of sulfate salt and pentahydrate, which has the chemical name as 7,8-Didehydro-4,5-epoxy-17-methyl-(5α,6α)-morphinan-3,6-diol sulfate (2:1) (salt), pentahydrate. It has a molecular weight of 758.83 and a chemical formula of (C17H19NO3)2 ∙ H2SO4 ∙ 5H2O, with the following structural formula:
Morphine sulfate USP is an odorless, white crystalline powder with a bitter taste. When exposed to air, it gradually loses water of hydration, and darkens on prolonged exposure to light. It has a solubility of 1 in 21 parts of water and 1 in 1000 parts of alcohol, but is practically insoluble in chloroform or ether. The octanol:water partition coefficient of morphine is 1.42 at physiologic pH and the pKa is 7.9 for the tertiary nitrogen (the majority is ionized at pH 7.4).
Morphine Sulfate Injection, USP is a sterile, nonpyrogenic solution of morphine sulfate, free of antioxidants and preservatives, to be administered by the intravenous route. It is available in 1,000 mg/20 mL (50 mg/mL) and 2,500 mg/50 mL (50 mg/mL) single-dose flip top vials for the preparation of large volume parenteral solutions.
Each milliliter of sterile solution contains 50 mg Morphine Sulfate, USP (Pentahydrate) and the following inactive ingredients: 0.2 mg edetate disodium, 0.8 mg citric acid, sodium chloride to adjust isotonicity, and water for injection. Hydrochloric acid and/or sodium hydroxide may be added to adjust pH. The pH range is 2.5 to 4.0.
9.3 Dependence
Both tolerance and physical dependence can develop during use of opioid therapy.
Tolerance is a physiological state characterized by a reduced response to a drug after repeated administration (i.e., a higher dose of a drug is required to produce the same effect that was once obtained at a lower dose).
Physical dependence is a state that develops as a result of a physiological adaptation in response to repeated drug use, manifested by withdrawal signs and symptoms after abrupt discontinuation or a significant dose reduction of a drug.
Withdrawal may be precipitated through the administration of drugs with opioid antagonist activity (e.g., naloxone, nalmefene), mixed agonist/antagonist analgesics (e.g., pentazocine, butorphanol, nalbuphine), or partial agonists (e.g., buprenorphine). Physical dependence may not occur to a clinically significant degree until after several days to weeks of continued use.
Morphine Sulfate Injection should not be rapidly reduced or abruptly discontinued in a physically-dependent patient [see Dosage and Administration (2.4)]. If Morphine Sulfate Injection is rapidly reduced or abruptly discontinued in a physically‑dependent patient, a withdrawal syndrome may occur, typically characterized by restlessness, lacrimation, rhinorrhea, perspiration, chills, myalgia, and mydriasis. Other signs and symptoms also may develop, including irritability, anxiety, backache, joint pain, weakness, abdominal cramps, insomnia, nausea, anorexia, vomiting, diarrhea, or increased blood pressure, respiratory rate, or heart rate.
Infants born to mothers physically-dependent on opioids will also be physically-dependent and may exhibit respiratory difficulties and withdrawal signs [see Use in Specific Populations (8.1)].
5.14 Withdrawal
Avoid the use of mixed agonist/antagonist (e.g, pentazocine, nalbuphine, and butorphanol) or partial agonist (e.g., buprenorphine) analgesics in patients who are receiving a full opioid agonist analgesic, including Morphine Sulfate Injection. In these patients, mixed agonist/antagonist and partial agonist analgesics may reduce the analgesic effect and/or precipitate withdrawal symptoms [see Drug Interactions (7)].
When discontinuing Morphine Sulfate Injection in a physically-dependent patient, gradually taper the dosage [see Dosage and Administration (2.4)]. Do not rapidly reduce or abruptly discontinue Morphine Sulfate Injection in these patients [see Drug Abuse and Dependence (9.3)].
8.4 Pediatric Use
The safety and effectiveness of morphine continuous intravenous infusion in pain management have been established in pediatric patients for all age groups.
Use of morphine continuous intravenous infusion for pain management in pediatric patients is supported by evidence from randomized controlled studies in pediatric patients.
Monitor cardiorespiratory function in patients less than 3 months of age. Adjust the infusion rate based on clinical signs of inadequate pain relief and/or increased somnolence [see Dosage and Administration (2.2)].
For premature infants and former premature infants with chronic lung disease and up to 5 to 6 months of age, careful monitoring for depressed hypoxic drive is required following opioid administration [see Dosage and Administration (2.2)].
8.5 Geriatric Use
The pharmacodynamic effects of morphine in the elderly are more variable than in the younger population. Older patients will vary widely in the effective initial dose, rate of development of tolerance and the frequency and magnitude of associated adverse effects as the dose is increased. Initial elderly patients (aged 65 years or older) may have increased sensitivity to morphine. In general, use caution when selecting a dosage for an elderly patient, usually starting at the low end of the dosing range, reflecting the greater frequency of decreased hepatic, renal, or cardiac function and of concomitant disease or other drug therapy.
Respiratory depression is the chief risk for elderly patients treated with opioids, and has occurred after large initial doses were administered to patients who were not opioid-tolerant or when opioids were co-administered with other agents that depress respiration. Titrate the dosage of Morphine Sulfate Injection slowly in geriatric patients and monitor closely for signs of central nervous system and respiratory depression [see Warnings and Precautions (5.7) ].
Morphine is known to be substantially excreted by the kidney, and the risk of adverse reactions to this drug may be greater in patients with impaired renal function. Because elderly patients are more likely to have decreased renal function, care should be taken in dose selection, and it may be useful to monitor renal function.
4 Contraindications (4 CONTRAINDICATIONS)
Morphine Sulfate Injection is contraindicated in patients with:
-
•Significant respiratory depression [see Warnings and Precautions (5.2)]
-
•Acute or severe bronchial asthma in an unmonitored setting or in the absence of resuscitative equipment [see Warnings and Precautions (5.7) ]
-
•Concurrent use of monoamine oxidase inhibitors (MAOIs) or use of MAOIs within the last 14 days [see Warnings and Precautions (5.8) ]
-
•Known or suspected gastrointestinal obstruction, including paralytic ileus [see Warnings and Precautions (5.12) ]
-
•Hypersensitivity to morphine (e.g., anaphylaxis) [see Adverse Reactions (6)]
6 Adverse Reactions (6 ADVERSE REACTIONS)
The following serious adverse reactions are described, or described in greater detail, in other sections:
-
•Addiction, Abuse, and Misuse [see Warnings and Precautions (5.1)]
-
•Life-Threatening Respiratory Depression [see Warnings and Precautions (5.2)]
-
•Interactions with Benzodiazepines or Other CNS Depressants [see Warnings and Precautions (5.3) ]
-
•Neonatal Opioid Withdrawal Syndrome [see Warnings and Precautions (5.4) ]
-
•Cardiovascular Instability [see Warnings and Precautions (5.5)]
-
•Opioid-Induced Hyperalgesia and Allodynia [see Warnings and Precautions (5.6)]
-
•Adrenal Insufficiency [see Warnings and Precautions (5.9) ]
-
•Severe Hypotension [see Warnings and Precautions (5.10) ]
-
•Gastrointestinal Adverse Reactions [see Warnings and Precautions (5.12) ]
-
•Seizures [see Warnings and Precautions (5.13) ]
-
•Withdrawal [see Warnings and Precautions (5.14) ]
The following adverse reactions associated with the use of morphine were identified in clinical studies or postmarketing reports. Because some of these reactions were reported voluntarily from a population of uncertain size, it is not always possible to reliably estimate their frequency or establish a causal relationship to drug exposure.
Serious adverse reactions associated with Morphine Sulfate Injection included respiratory depression, apnea, and to a lesser degree, circulatory depression, respiratory arrest, shock, and cardiac arrest. Rarely, anaphylactoid reactions have been reported when morphine or other phenanthrene alkaloids of opium are administered intravenously.
The most frequently observed adverse reactions included sedation, lightheadedness, dizziness, nausea, vomiting, constipation, and diaphoresis.
Other possible adverse reactions included:
Central Nervous System – Euphoria, dysphoria, weakness, headache, agitation, tremor, uncoordinated muscle movements, visual disturbances, transient hallucinations and disorientation.
Gastrointestinal – Constipation, biliary tract spasm.
Cardiovascular – Tachycardia, bradycardia, palpitation, faintness, syncope, and orthostatic hypotension.
Genitourinary – Oliguria and urinary retention; an antidiuretic effect has been reported.
Allergic – Pruritus, urticaria, and skin rashes. Anaphylactoid reactions have been reported following intravenous administration.
Other – Opioid-induced histamine release may be responsible for the flushing of the face, diaphoresis, and pruritus often seen with these drugs. Wheals and urticaria at the site of injection are probably related to histamine release. Local tissue irritation, pain and induration have been reported following repeated subcutaneous injection. Morphine may alter temperature regulation in susceptible individuals and will depress the cough reflex.
Serotonin syndrome: Cases of serotonin syndrome, a potentially life-threatening condition, have been reported during concomitant use of opioids with serotonergic drugs.
Adrenal insufficiency: Cases of adrenal insufficiency have been reported with opioid use, more often following greater than one month of use.
Anaphylaxis: Anaphylaxis has been reported with ingredients contained in Morphine Sulfate Injection.
Androgen deficiency: Cases of androgen deficiency have occurred with use of opioids for an extended period of time [see Clinical Pharmacology (12.2)].
Hyperalgesia and Allodynia: Cases of hyperalgesia and allodynia have been reported with opioid therapy of any duration [see Warnings and Precautions (5.6) ].
Hypoglycemia: Cases of hypoglycemia have been reported in patients taking opioids. Most reports were in patients with at least one predisposing risk factor (e.g., diabetes).
Opioid-induced esophageal dysfunction (OIED): Cases of OIED have been reported in patients taking opioids and may occur more frequently in patients taking higher doses of opioids, and/or in patients taking opioids longer term [see Warnings and Precautions (5.12)].
Adverse Reactions from Observational Studies
A prospective, observational cohort study estimated the risks of addiction, abuse, and misuse in patients initiating long-term use of Schedule II opioid analgesics between 2017 and 2021. Study participants included in one or more analyses had been enrolled in selected insurance plans or health systems for at least one year, were free of at least one outcome at baseline, completed a minimum number of follow-up assessments, and either: 1) filled multiple extended-release/long-acting opioid analgesic prescriptions during a 90-day period (n=978); or 2) filled any Schedule II opioid analgesic prescriptions covering at least 70 of 90 days (n=1,244). Those included also had no dispensing of the qualifying opioids in the previous 6 months.
Over 12 months:
-
•approximately 1% to 6% of participants across the two cohorts newly met criteria for addiction, as assessed with two validated interview-based measures of moderate-to-severe opioid use disorder based on Diagnostic and Statistical Manual of Mental Disorders, Fifth Edition (DSM-5) criteria, and
-
•approximately 9% and 22% of participants across the two cohorts newly met criteria for prescription opioid abuse and misuse [defined in Drug Abuse and Dependence (9.2)], respectively, as measured with a validated self-reported instrument.
A retrospective, observational cohort study estimated the risk of opioid-involved overdose or opioid overdose-related death in patients with new long-term use of Schedule II opioid analgesics from 2006 through 2016 (n=220,249). Included patients had been enrolled in either one of two commercial insurance programs, one managed care program, or one Medicaid program for at least 9 months. New long-term use was defined as having Schedule II opioid analgesic prescriptions covering at least 70 days’ supply over the 3 months prior to study entry and none during the preceding 6 months. Patients were excluded if they had an opioid-involved overdose in the 9 months prior to study entry. Overdose was measured using a validated medical code-based algorithm with linkage to the National Death Index database. The 5-year cumulative incidence estimates for opioid-involved overdose or opioid overdose-related death ranged from approximately 1.5% to 4% across study sites, counting only the first event during follow-up. Approximately 17% of first opioid overdoses observed over the entire study period (5-11 years, depending on the study site) were fatal. Higher baseline opioid dose was the strongest and most consistent predictor of opioid-involved overdose or opioid overdose-related death. Study exclusion criteria may have selected patients at lower risk of overdose, and substantial loss to follow-up (approximately 80%) also may have biased estimates.
The risk estimates from the studies described above may not be generalizable to all patients receiving opioid analgesics, such as those with exposures shorter or longer than the duration evaluated in the studies.
7 Drug Interactions (7 DRUG INTERACTIONS)
Table 2 includes clinically significant drug interactions with Morphine Sulfate Injection.
|
Benzodiazepines and Other Central Nervous System (CNS) Depressants |
|
|
Clinical Impact: |
Due to additive pharmacologic effect, the concomitant use of benzodiazepines or other CNS depressants, including alcohol, can increase the risk of hypotension, respiratory depression, profound sedation, coma, and death [see Warnings and Precautions (5.3)]. |
|
Intervention: |
Reserve concomitant prescribing of these drugs for use in patients for whom alternative treatment options are inadequate. Limit dosages and durations to the minimum required. Monitor patients closely for signs of respiratory depression and sedation. |
|
Examples: |
Benzodiazepines and other sedatives/hypnotics, anxiolytics, tranquilizers, muscle relaxants, general anesthetics, antipsychotics, gabapentinoids (gabapentin or pregabalin), other opioids, alcohol. |
|
Serotonergic Drugs |
|
|
Clinical Impact: |
The concomitant use of opioids with other drugs that affect the serotonergic neurotransmitter system has resulted in serotonin syndrome. |
|
Intervention: |
If concomitant use is warranted, carefully observe the patient, particularly during treatment initiation and dose adjustment. Discontinue Morphine Sulfate Injection if serotonin syndrome is suspected. |
|
Examples: |
Selective serotonin reuptake inhibitors (SSRIs), serotonin and norepinephrine reuptake inhibitors (SNRIs), tricyclic antidepressants (TCAs), triptans, 5-HT3 receptor antagonists, drugs that affect the serotonin neurotransmitter system (e.g., mirtazapine, trazodone, tramadol), certain muscle relaxants (i.e., cyclobenzaprine, metaxalone), monoamine oxidase (MAO) inhibitors (those intended to treat psychiatric disorders and also others, such as linezolid and intravenous methylene blue). |
|
Monoamine Oxidase Inhibitors (MAOIs) |
|
|
Clinical Impact: |
MAOI interactions with opioids may manifest as serotonin syndrome or opioid toxicity (e.g., respiratory depression, coma) [see Warnings and Precautions (5.2 , 5.8) ]. |
|
Intervention: |
Do not use Morphine Sulfate Injection in patients taking MAOIs or within 14 days of stopping such treatment. If urgent use of an opioid is necessary, use test doses and frequent titration of small doses of other opioids (such as oxycodone, oxymorphone, hydrocodone, or buprenorphine) to treat pain while closely monitoring blood pressure and signs and symptoms of CNS and respiratory depression. |
|
Examples: |
phenelzine, tranylcypromine, linezolid |
|
Mixed Agonist/Antagonist and Partial Agonist Opioid Analgesics |
|
|
Clinical Impact: |
May reduce the analgesic effect of Morphine Sulfate Injection and/or precipitate withdrawal symptoms. |
|
Intervention: |
Avoid concomitant use. |
|
Examples: |
butorphanol, nalbuphine, pentazocine, buprenorphine |
|
Muscle Relaxants |
|
|
Clinical Impact: |
Morphine may enhance the neuromuscular blocking action of skeletal muscle relaxants and produce an increased degree of respiratory depression. |
|
Intervention: |
Monitor patients for signs of respiratory depression that may be greater than otherwise expected and decrease the dosage of Morphine Sulfate Injection and/or the muscle relaxant as necessary. |
|
Examples: |
Cyclobenzaprine, metaxalone. |
|
Cimetidine |
|
|
Clinical Impact: |
Concomitant administration of Morphine Sulfate Injection and cimetidine has been reported to precipitate apnea, confusion, and muscle twitching in an isolated report. |
|
Intervention: |
Monitor patients for increased respiratory and CNS depression when receiving cimetidine concomitantly with Morphine Sulfate Injection. |
|
Diuretics |
|
|
Clinical Impact: |
Opioids can reduce the efficacy of diuretics by inducing the release of antidiuretic hormone. |
|
Intervention: |
Monitor patients for signs of diminished diuresis and/or effects on blood pressure and increase the dosage of the diuretic as needed. |
|
Anticholinergic Drugs |
|
|
Clinical Impact: |
The concomitant use of anticholinergic drugs may increase risk of urinary retention and/or severe constipation, which may lead to paralytic ileus. |
|
Intervention: |
Monitor patients for signs of urinary retention or reduced gastric motility when Morphine Sulfate Injection is used concomitantly with anticholinergic drugs. |
|
Oral P2Y12 Inhibitors |
|
|
Clinical Impact: |
The co-administration of oral P2Y12 inhibitors and intravenous morphine sulfate can decrease the absorption and peak concentration of oral P2Y12 inhibitors and delay the onset of the antiplatelet effect. |
|
Intervention: |
Consider the use of a parenteral antiplatelet agent in the setting of acute coronary syndrome requiring co-administration of intravenous morphine sulfate. |
|
Examples: |
clopidogrel, prasugrel, ticagrelor |
8.7 Renal Impairment
Morphine pharmacokinetics are altered in patients with renal failure. Start these patients with a lower than normal dosage of Morphine Sulfate Injection and titrate slowly while monitoring for signs of respiratory depression, sedation, and hypotension [see Clinical Pharmacology (12.3)].
8.6 Hepatic Impairment
Morphine pharmacokinetics have been reported to be significantly altered in patients with cirrhosis. Start these patients with a lower than normal dosage of Morphine Sulfate Injection and titrate slowly while monitoring for signs of respiratory depression, sedation, and hypotension [see Clinical Pharmacology (12.3)].
1 Indications and Usage (1 INDICATIONS AND USAGE)
Morphine Sulfate Injection is indicated in adult and pediatric patients for the management of pain severe enough to require an opioid analgesic and for which alternative treatments are inadequate.
5.10 Severe Hypotension
Morphine Sulfate Injection may cause severe hypotension including orthostatic hypotension and syncope in ambulatory patients. There is increased risk in patients whose ability to maintain blood pressure has already been compromised by a reduced blood volume or concurrent administration of certain CNS depressant drugs (e.g., phenothiazines or general anesthetics) [see Drug Interactions (7)]. Monitor these patients for signs of hypotension after initiating or titrating the dosage of Morphine Sulfate Injection. In patients with circulatory shock, Morphine Sulfate Injection may cause vasodilation that can further reduce cardiac output and blood pressure. Avoid the use of Morphine Sulfate Injection in patients with circulatory shock.
12.1 Mechanism of Action
Morphine is a full opioid agonist and is relatively selective for the mu-opioid receptor, although it can bind to other opioid receptors at higher doses. The principal therapeutic action of morphine is analgesia. Like all full opioid agonists, there is no ceiling effect for analgesia with morphine. Clinically, dosage is titrated to provide adequate analgesia and may be limited by adverse reactions, including respiratory and CNS depression.
The precise mechanism of the analgesic action is unknown. However, specific CNS opioid receptors for endogenous compounds with opioid-like activity have been identified throughout the brain and spinal cord and are thought to play a role in the analgesic effects of this drug.
9.1 Controlled Substance
Morphine Sulfate Injection contains morphine, a Schedule II controlled substance.
5.9 Adrenal Insufficiency
Cases of adrenal insufficiency have been reported with opioid use, more often following greater than one month of use. Presentation of adrenal insufficiency may include non-specific symptoms and signs including nausea, vomiting, anorexia, fatigue, weakness, dizziness, and low blood pressure. If adrenal insufficiency is suspected, confirm the diagnosis with diagnostic testing as soon as possible. If adrenal insufficiency is diagnosed, treat with physiologic replacement doses of corticosteroids. Wean the patient off of the opioid to allow adrenal function to recover and continue corticosteroid treatment until adrenal function recovers. Other opioids may be tried as some cases reported use of a different opioid without recurrence of adrenal insufficiency. The information available does not identify any particular opioids as being more likely to be associated with adrenal insufficiency.
5 Warnings and Precautions (5 WARNINGS AND PRECAUTIONS)
2 Dosage and Administration (2 DOSAGE AND ADMINISTRATION)
-
•Morphine Sulfate Injection should be prescribed only by healthcare professionals who are knowledgeable about the use of opioids and how to mitigate the associated risks. (2.1)
-
•Use the lowest effective dosage for the shortest duration of time consistent with individual patient treatment goals. Reserve titration to higher doses of Morphine Sulfate Injection for patients in whom lower doses are insufficiently effective and in whom the expected benefits of using a higher dose opioid clearly outweigh the substantial risks. (2.1, 5)
-
•Many acute pain conditions (e.g., the pain that occurs with a number of surgical procedures or acute musculoskeletal injuries) require no more than a few days of an opioid analgesic. Clinical guidelines on opioid prescribing for some acute pain conditions are available. (2.1)
-
•Initiate the dosing regimen for each patient individually, taking into account the patient’s underlying cause and severity of pain, prior analgesic treatment and response, and risk factors for addiction, abuse, and misuse. (2.1, 5.1)
-
•Respiratory depression can occur at any time during opioid therapy, especially when initiating and following dosage increases with Morphine Sulfate Injection. Consider this risk when selecting an initial dose and when making dose adjustments. (2.1, 5.2)
-
•Do not inject directly. Morphine Sulfate Injection is intended for continuous intravenous infusion only, after dilution in large volume parenteral solutions. (2.1, 2.5)
-
•Initial and maintenance dosage in adults: See full prescribing information for recommended dosages in adult patients. (2.2, 2.3)
-
•Initial and maintenance dosage in pediatric patients: See full prescribing information for recommended dosage in pediatric patients. (2.2, 2.3)
-
•Periodically reassess patients receiving Morphine Sulfate Injection to evaluate the continued need for opioid analgesics to maintain pain control, for the signs or symptoms of adverse reactions, and for the development of addiction, abuse, or misuse. (2.3)
-
•Do not rapidly reduce or abruptly discontinue Morphine Sulfate Injection in a physically-dependent patient. (2.4, 5.14)
-
•See full prescribing information for preparation and storage instructions. (2.5)
3 Dosage Forms and Strengths (3 DOSAGE FORMS AND STRENGTHS)
Morphine Sulfate Injection, USP is available as single-dose flip top vials for the preparation of large volume parenteral solutions in the following presentations:
-
•1,000 mg/20 mL (50 mg/mL) clear and colorless to pale yellow solution, and
-
•2,500 mg/50 mL (50 mg/mL) clear and colorless to pale yellow solution
8 Use in Specific Populations (8 USE IN SPECIFIC POPULATIONS)
5.5 Cardiovascular Instability
While low doses of intravenously administered morphine have little effect on cardiovascular stability, high doses are excitatory, resulting from sympathetic hyperactivity and increase in circulatory catecholamines. Have naloxone injection and resuscitative equipment immediately available for use in case of life-threatening or intolerable side effects and whenever morphine therapy is being initiated.
5.1 Addiction, Abuse, and Misuse
Morphine Sulfate Injection contains morphine, a Schedule II controlled substance. As an opioid, Morphine Sulfate Injection exposes users to the risks of addiction, abuse, and misuse [see Drug Abuse and Dependence (9)].
Although the risk of addiction in any individual is unknown, it can occur in patients appropriately prescribed Morphine Sulfate Injection. Addiction can occur at recommended dosages and if the drug is misused or abused. The risk of opioid-related overdose or overdose-related death is increased with higher opioid doses, and this risk persists over the course of therapy. In postmarketing studies, addiction, abuse, misuse, and fatal and non-fatal opioid overdose were observed in patients with long-term opioid use [see Adverse Reactions (6)].
Assess each patient's risk for opioid addiction, abuse, or misuse prior to prescribing Morphine Sulfate Injection, and monitor all patients receiving morphine sulfate for the development of these behaviors and conditions. Risks are increased in patients with a personal or family history of substance abuse (including drug or alcohol abuse or addiction) or mental illness (e.g., major depression). The potential for these risks should not, however, prevent the proper management of pain in any given patient. Patients at increased risk may be prescribed opioids such as Morphine Sulfate Injection but use in such patients necessitates intensive counseling about the risks and proper use of Morphine Sulfate Injection along with intensive monitoring for signs of addiction, abuse, and misuse.
Opioids are sought for nonmedical use and are subject to diversion from legitimate prescribed use. Consider these risks when prescribing or dispensing Morphine Sulfate Injection. Strategies to reduce these risks include prescribing the drug in the smallest appropriate quantity. Contact local state professional licensing board or state-controlled substances authority for information on how to prevent and detect abuse or diversion of this product.
17 Patient Counseling Information (17 PATIENT COUNSELING INFORMATION)
Addiction, Abuse, and Misuse
Inform patients that the use of Morphine Sulfate Injection, even when taken as recommended, can result in addiction, abuse, and misuse, which can lead to overdose and death [see Warnings and Precautions (5.1)]. Instruct patients not to share Morphine Sulfate Injection with others and to take steps to protect Morphine Sulfate Injection from theft or misuse.
Life-Threatening Respiratory Depression
Inform patients of the risk of life-threatening respiratory depression, including information that the risk is greatest when starting Morphine Sulfate Injection or when the dosage is increased, and that it can occur even at recommended dosages [see Warnings and Precautions (5.2)].
Hyperalgesia and Allodynia
Advise patients to inform their healthcare provider if they experience symptoms of hyperalgesia, including worsening pain, increased sensitivity to pain, or new pain [see Warnings and Precautions (5.6), Adverse Reactions (6)].
16 How Supplied/storage and Handling (16 HOW SUPPLIED/STORAGE AND HANDLING)
Morphine Sulfate Injection, USP is a clear and colorless to pale yellow solution supplied as a sterile solution in glass, single-dose flip top vials for the preparation of large volume parenteral solutions.
| Unit of Sale | Concentration |
|---|---|
|
NDC 0409-1896-20
|
1,000 mg/20 mL |
|
NDC 0409-2022-01
|
2,500 mg/50 mL |
5.4 Neonatal Opioid Withdrawal Syndrome
Use of Morphine Sulfate Injection for an extended period of time during pregnancy can result in withdrawal in the neonate. Neonatal opioid withdrawal syndrome, unlike opioid withdrawal syndrome in adults, may be life-threatening if not recognized and treated, and requires management according to protocols developed by neonatology experts. Observe newborns for signs of neonatal opioid withdrawal syndrome and manage accordingly. Advise pregnant women using opioids for an extended period of time of the risk of neonatal opioid withdrawal syndrome and ensure that management by neonatology experts will be available at delivery [see Use in Specific Populations (8.1)].
2.3 Titration and Maintenance of Therapy
Titrate the dose based upon the individual patient’s response to their initial dose of Morphine Sulfate Injection. Individually titrate Morphine Sulfate Injection to a dosage that provides adequate analgesia and minimizes adverse reactions. Continually reevaluate patients receiving Morphine Sulfate Injection to assess the maintenance of pain control, signs and symptoms of opioid withdrawal, and other adverse reactions, as well to reassess for the development of addiction, abuse, or misuse [see Warnings and Precautions (5.1, 5.14)]. If after increasing the dosage, unacceptable opioid‑related adverse reactions are observed, (including an increase in pain after dosage increase), consider reducing the dosage [see Warnings and Precautions (5)]. Adjust the dosage to obtain an appropriate balance between management of pain and opioid-related adverse reactions.
2.5 Preparation of Solutions for Infusion
Morphine Sulfate Injection is incompatible with admixtures of soluble barbiturates, chlorothiazide, aminophylline, heparin, meperidine, methicillin, phenytoin, sodium bicarbonate, iodide, sulfadiazine and sulfisoxazole.
Principal Display Panel 20 Ml Vial Label (PRINCIPAL DISPLAY PANEL - 20 mL Vial Label)
20 mL Single-Dose Vial
NDC 0409-1896-20
Rx only
Morphine Sulfate CII
Injection, USP
1,000 mg/20 mL
(50 mg/mL)
FOR INTRAVENOUS USE ONLY
AFTER DILUTION
Not for epidural or intrathecal use
CAUTION: NOT FOR DIRECT INJECTION
Principal Display Panel 50 Ml Vial Label (PRINCIPAL DISPLAY PANEL - 50 mL Vial Label)
50 mL Single-Dose Vial
Rx only
Morphine Sulfate
Injection, USP
CII
2,500 mg/50 mL
(50 mg/mL)
FOR INTRAVENOUS USE ONLY AFTER DILUTION
Not for epidural or intrathecal use
CAUTION: NOT FOR DIRECT INJECTION
Dist. by Hospira, Inc., Lake Forest, IL 60045 USA
Hospira
5.2 Life Threatening Respiratory Depression (5.2 Life-Threatening Respiratory Depression)
Serious, life-threatening, or fatal respiratory depression has been reported with the use of opioids, even when used as recommended. Respiratory depression, if not immediately recognized and treated, may lead to respiratory arrest and death. Management of respiratory depression may include close observation, supportive measures, and use of opioid overdose reversal agents (e.g., naloxone, nalmefene), depending on the patient's clinical status [see Overdosage (10)]. Carbon dioxide (CO2) retention from opioid-induced respiratory depression can exacerbate the sedating effects of opioids.
While serious, life-threatening, or fatal respiratory depression can occur at any time during the use of Morphine Sulfate Injection, the risk is greatest during the initiation of therapy or following a dosage increase. Because of a delay in the maximum CNS effect with intravenously administered Morphine Sulfate Injection (30 min), rapid administration may result in overdosing. The respiratory depression may be severe and could require intervention [see Overdosage (10)].
To reduce the risk of respiratory depression, proper dosing and titration of Morphine Sulfate Injection are essential [see Dosage and Administration (2.3)]. Overestimating the Morphine Sulfate Injection dosage when converting patients from another opioid product can result in a fatal overdose with the first dose.
Opioids can cause sleep-related breathing disorders including central sleep apnea (CSA) and sleep-related hypoxemia. Opioid use increases the risk of CSA in a dose-dependent fashion. In patients who present with CSA, consider decreasing the opioid dosage using best practices for opioid taper [see Dosage and Administration (2.3)].
Principal Display Panel 20 Ml Vial Carton (PRINCIPAL DISPLAY PANEL - 20 mL Vial Carton)
20 mL Single-Dose Vial
NDC 0409-1896-20
Rx only
CII
Morphine Sulfate
Injection, USP
1,000 mg/20 mL
(50 mg/mL)
FOR INTRAVENOUS USE ONLY AFTER
DILUTION
Not for epidural or intrathecal use
CAUTION: NOT FOR DIRECT INJECTION
Hospira
Principal Display Panel 50 Ml Vial Carton (PRINCIPAL DISPLAY PANEL - 50 mL Vial Carton)
50 mL Single-Dose Vial
NDC 0409-2022-01
Rx only
CII
Morphine Sulfate
Injection, USP
2,500 mg/50 mL
(50 mg/mL)
FOR INTRAVENOUS USE ONLY AFTER
DILUTION
Not for epidural or intrathecal use
CAUTION: NOT FOR DIRECT
INJECTION
Hospira
5.12 Risks of Gastrointestinal Complications
Morphine Sulfate Injection is contraindicated in patients with known or suspected gastrointestinal obstruction, including paralytic ileus.
The morphine in Morphine Sulfate Injection may cause spasm of the sphincter of Oddi. Opioids may cause increases in serum amylase. Monitor patients with biliary tract disease, including acute pancreatitis, for worsening symptoms.
Cases of opioid-induced esophageal dysfunction (OIED) have been reported in patients taking opioids. The risk of OIED may increase as the dose and/or duration of opioids increases. Regularly evaluate patients for signs and symptoms of OIED (e.g., dysphagia, regurgitation, non-cardiac chest pain) and, if necessary, adjust opioid therapy as clinically appropriate [see Clinical Pharmacology (12.2)].
5.15 Risks of Driving and Operating Machinery
Morphine Sulfate Injection may impair the mental or physical abilities needed to perform potentially hazardous activities such as driving a car or operating machinery. Warn patients not to drive or operate dangerous machinery unless they are tolerant to the effects of Morphine Sulfate Injection and know how they will react to the medication.
5.6 Opioid Induced Hyperalgesia and Allodynia (5.6 Opioid-Induced Hyperalgesia and Allodynia)
Opioid-Induced Hyperalgesia (OIH) occurs when an opioid analgesic paradoxically causes an increase in pain, or an increase in sensitivity to pain. This condition differs from tolerance, which is the need for increasing doses of opioids to maintain a defined effect [see Drug Abuse and Dependence (9.3)]. Symptoms of OIH include (but may not be limited to) increased levels of pain upon opioid dosage increase, decreased levels of pain upon opioid dosage decrease, or pain from ordinarily non-painful stimuli (allodynia). These symptoms may suggest OIH only if there is no evidence of underlying disease progression, opioid tolerance, opioid withdrawal, or addictive behavior.
Cases of OIH have been reported, both with short-term and longer-term use of opioid analgesics. Though the mechanism of OIH is not fully understood, multiple biochemical pathways have been implicated. Medical literature suggests a strong biologic plausibility between opioid analgesics and OIH and allodynia. If a patient is suspected to be experiencing OIH, carefully consider appropriately decreasing the dose of the current opioid analgesic or opioid rotation (safely switching the patient to a different opioid moiety) [see Dosage and Administration (2.4) , Warnings and Precautions (5.14)].
5.8 Interaction With Monoamine Oxidase Inhibitors (5.8 Interaction with Monoamine Oxidase Inhibitors)
Monoamine oxidase inhibitors (MAOIs) may potentiate the effects of morphine, including respiratory depression, coma, and confusion. Morphine Sulfate Injection should not be used in patients taking MAOIs or within 14 days of stopping such treatment.
2.1 Important Dosage and Administration Instructions
-
•Morphine Sulfate Injection is for intravenous use only. It is not for intrathecal or epidural use.
-
•Do not inject directly. Morphine Sulfate Injection is intended for continuous intravenous infusion only, after dilution in large volume parenteral solutions [see Dosage and Administration (2.5)].
-
•Dosing errors can result in accidental overdose and death. Avoid dosing errors that may result from confusion between mg and mL and confusion with morphine injections of different concentrations when prescribing, dispensing, and administering Morphine Sulfate Injection. Ensure that the dose is communicated and dispensed accurately.
-
•Morphine Sulfate Injection should be prescribed only by healthcare professionals who are knowledgeable about the use of opioids and how to mitigate the associated risks.
-
•Use the lowest effective dosage for the shortest duration of time consistent with individual patient treatment goals [see Warnings and Precautions (5)]. Because the risk of overdose increases as opioid doses increase, reserve titration to higher doses of Morphine Sulfate Injection for patients in whom lower doses are insufficiently effective and in whom the expected benefits of using a higher dose opioid clearly outweigh the substantial risks.
-
•Many acute pain conditions (e.g., the pain that occurs with a number of surgical procedures or acute musculoskeletal injuries) require no more than a few days of an opioid analgesic. Clinical guidelines on opioid prescribing for some acute pain conditions are available.
-
•There is variability in the opioid analgesic dose and duration needed to adequately manage pain due both to the cause of pain and to individual patient factors. Initiate the dosing regimen for each patient individually, taking into account the patient's underlying cause and severity of pain, prior analgesic treatment and response, and risk factors for addiction, abuse, and misuse [see Warnings and Precautions (5.1)].
-
•Respiratory depression can occur at any time during opioid therapy, especially when initiating and following dosage increases with Morphine Sulfate Injection. Consider this risk when selecting an initial dose and when making dose adjustments [see Warnings and Precautions (5.2)].
-
•Morphine must be injected slowly; rapid intravenous administration may result in chest wall rigidity.
-
•Inspect Morphine Sulfate Injection for particulate matter and discoloration prior to administration. Do not use if color is darker than pale yellow, if it is discolored in any other way, or if it contains a precipitate.
5.13 Increased Risk of Seizures in Patients With Seizure Disorders (5.13 Increased Risk of Seizures in Patients with Seizure Disorders)
The morphine in Morphine Sulfate Injection may increase the frequency of seizures in patients with seizure disorders, and may increase the risk of seizures occurring in other clinical settings associated with seizures. Monitor patients with a history of seizure disorders for worsened seizure control during Morphine Sulfate Injection therapy.
Excitation of the central nervous system, resulting in convulsions, may accompany high doses of morphine given intravenously.
2.4 Safe Reduction and Discontinuation of Morphine Sulfate Injection
When a patient who has been taking Morphine Sulfate Injection regularly and may be physically dependent no longer requires therapy with Morphine Sulfate Injection, taper the dose gradually, by 25% to 50% every 2 to 4 days, while monitoring carefully for signs and symptoms of withdrawal. If the patient develops these signs or symptoms, raise the dose to the previous level and taper more slowly, either by increasing the interval between decreases, decreasing the amount of change in dose, or both. Do not rapidly reduce or abruptly discontinue Morphine Sulfate Injection in patients who may be physically dependent on opioids [see Warnings and Precautions (5.14) , Drug Abuse and Dependence (9.3)].
Warning: Serious and Life Threatening Risks From Use of Morphine Sulfate Injection (WARNING: SERIOUS AND LIFE-THREATENING RISKS FROM USE OF MORPHINE SULFATE INJECTION)
WARNING: SERIOUS AND LIFE-THREATENING RISKS FROM USE OF MORPHINE SULFATE INJECTION
See full prescribing information for complete boxed warning.
-
•Morphine Sulfate Injection exposes users to risks of addiction, abuse, and misuse, which can lead to overdose and death. Assess patient’s risk before prescribing and reassess regularly for these behaviors and conditions. (5.1)
-
•Serious, life-threatening, or fatal respiratory depression may occur with use of Morphine Sulfate Injection, especially during initiation or following a dosage increase. To reduce the risk of respiratory depression, proper dosing and titration of Morphine Sulfate Injection are essential. (5.2)
-
•Concomitant use of opioids with benzodiazepines or other central nervous system (CNS) depressants, including alcohol, may result in profound sedation, respiratory depression, coma, and death. Reserve concomitant prescribing for use in patients for whom alternative treatment options are inadequate. (5.3, 7)
-
•Advise pregnant women using opioids for an extended period of time of the risk of Neonatal Opioid Withdrawal Syndrome, which may be life-threatening if not recognized and treated. Ensure that management by neonatology expert will be available at delivery. (5.4)
5.3 Risks From Concomitant Use With Benzodiazepines Or Other Central Nervous System Depressants (5.3 Risks from Concomitant Use with Benzodiazepines or Other Central Nervous System Depressants)
Profound sedation, respiratory depression, coma, and death may result from the concomitant use of Morphine Sulfate Injection with benzodiazepines and/or other CNS depressants, including alcohol (e.g., non-benzodiazepine sedatives/hypnotics, anxiolytics, tranquilizers, muscle relaxants, general anesthetics, antipsychotics, gabapentinoids [gabapentin or pregabalin], and other opioids). Because of these risks, reserve concomitant prescribing of these drugs for use in patients for whom alternative treatment options are inadequate.
Observational studies have demonstrated that concomitant use of opioid analgesics and benzodiazepines increases the risk of drug-related mortality compared to use of opioid analgesics alone. Because of similar pharmacological properties, it is reasonable to expect similar risk with the concomitant use of other CNS depressant drugs with opioid analgesics [see Drug Interactions (7)].
If the decision is made to prescribe a benzodiazepine or other CNS depressant concomitantly with an opioid analgesic, prescribe the lowest effective dosages and minimum durations of concomitant use. In patients already receiving an opioid analgesic, prescribe a lower initial dose of the benzodiazepine or other CNS depressant than indicated in the absence of an opioid, and titrate based on clinical response. If an opioid analgesic is initiated in a patient already taking a benzodiazepine or other CNS depressant, prescribe a lower initial dose of the opioid analgesic, and titrate based on clinical response. Monitor patients closely for signs and symptoms of respiratory depression and sedation.
Advise both patients and caregivers about the risks of respiratory depression and sedation when Morphine Sulfate Injection is used with benzodiazepines or other CNS depressants (including alcohol and illicit drugs). Advise patients not to drive or operate heavy machinery until the effects of concomitant use of the benzodiazepine or other CNS depressant have been determined. Screen patients for risk of substance use disorders, including opioid abuse and misuse, and warn them of the risk for overdose and death associated with the use of additional CNS depressants including alcohol and illicit drugs [see Drug Interactions (7)].
5.11 Risks of Use in Patients With Increased Intracranial Pressure, Brain Tumors, Head Injury, Or Impaired Consciousness (5.11 Risks of Use in Patients with Increased Intracranial Pressure, Brain Tumors, Head Injury, or Impaired Consciousness)
In patients who may be susceptible to the intracranial effects of CO2 retention (e.g., those with evidence of increased intracranial pressure or brain tumors), Morphine Sulfate Injection may reduce respiratory drive, and the resultant CO2 retention can further increase intracranial pressure. Monitor such patients for worsening of signs of increasing intracranial pressure. Monitor patients for signs of sedation and respiratory depression, particularly when initiating therapy with Morphine Sulfate Injection.
Opioids may also obscure the clinical course in a patient with a head injury. Avoid the use of Morphine Sulfate Injection in patients with impaired consciousness or coma.
5.7 Life Threatening Respiratory Depression in Patients With Chronic Pulmonary Disease Or in Elderly, Cachectic, Or Debilitated Patients (5.7 Life-Threatening Respiratory Depression in Patients with Chronic Pulmonary Disease or in Elderly, Cachectic, or Debilitated Patients)
The use of Morphine Sulfate Injection in patients with acute or severe bronchial asthma in an unmonitored setting or in the absence of resuscitative equipment is contraindicated.
Advanced Ingredient Data
Raw Label Data
All Sections (JSON)
Additional Information
Back to search View SPL set listing Open on DailyMed ↗
Source: dailymed · Ingested: 2026-02-15T11:51:52.109334 · Updated: 2026-03-14T22:42:04.935896