Erythromycin

Erythromycin
SPL v11
SPL
SPL Set ID ee3d806e-65ce-42e1-b170-7b35bcb7b06a
Route
OPHTHALMIC
Published
Effective Date 2025-04-07
Document Type 34391-3 HUMAN PRESCRIPTION DRUG LABEL

Drug Facts

Composition & Product

Active Ingredients
Erythromycin (5 mg)
Inactive Ingredients
Petrolatum Mineral Oil

Identifiers & Packaging

Marketing Status
ANDA Active Since 2015-04-02

Description

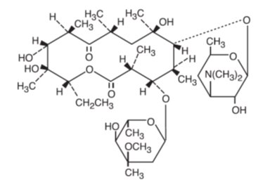
Erythromycin ophthalmic ointment, USP belongs to the macrolide group of antibiotics. The sterile ophthalmic ointment flows freely over the conjunctiva. Erythromycin base, as crystals or powder, is slightly soluble in water, moderately soluble in ether, and readily soluble in alcohol or chloroform. Erythromycin is an antibiotic produced from a strain of Streptomyces erythraeus . It is basic and readily forms a salt when combined with an acid. It has the following structural formula: Molecular Formula: C 37 H 67 NO 13 Mol. Wt. 733.94 Chemical Name: ((3R ● ,4S ● ,5S ● ,6R ● ,7R ● ,9R ● ,11R ● ,12R ● ,13S ● ,14R ● )-4-[(2,6-dideoxy-3- C -methyl-3- 0 -methyl-α-L- ribo -hexopyranosyl)oxy]-14-ethyl-7,12,13-trihydroxy-3,5,7,9,11,13-hexamethyl-6-[[3,4,6-trideoxy-3-(dimethylamino)- β -D- xylo -hexopyranosyl]oxy]oxacyclotetradecane-2,10-dione) Each gram contains: Active: erythromycin USP, 5 mg (0.5%); Inactives: mineral oil and white petrolatum.

Indications and Usage

For the treatment of superficial ocular infections involving the conjunctiva and/or cornea caused by organisms susceptible to erythromycin. For prophylaxis of ophthalmia neonatorum due to N. gonorrhoeae or C. trachomatis . The effectiveness of erythromycin in the prevention of ophthalmia caused by penicillinase-producing N. gonorrhoeae is not established. For infants born to mothers with clinically apparent gonorrhea, intravenous or intramuscular injections of aqueous crystalline penicillin G should be given: a single dose of 50,000 units for term infants or 20,000 units for infants of low birth weight. Topical prophylaxis alone is inadequate for these infants.

Dosage and Administration

In the treatment of superficial ocular infections, erythromycin ophthalmic ointment approximately 1 cm in length should be applied directly to the infected eye(s) up to six times daily, depending on the severity of the infection. For prophylaxis of neonatal gonococcal or chlamydial ophthalmia, a ribbon of ointment approximately 1 cm in length should be instilled into each lower conjunctival sac. The ointment should not be flushed from the eye following instillation. A new tube should be used for each infant.

Contraindications

This drug is contraindicated in patients with a history of hypersensitivity to erythromycin.

Adverse Reactions

The most frequently reported adverse reactions are minor ocular irritations, redness, and hypersensitivity reactions. To report SUSPECTED ADVERSE REACTIONS, contact Bausch & Lomb Incorporated at 1-800-553-5340 or FDA at 1-800-FDA-1088 or www.fda.gov/medwatch.

How Supplied

Erythromycin ophthalmic ointment USP, 0.5% is available in the following sizes: 3.5 g (1/8 oz) in a tamper-resistant tube – NDC 68788-9328-3   1 g in a tamper-resistant tube (1 carton of 50 tubes) – NDC 24208-910-19 Storage: Store between 15°C to 25°C (59°F to 77°F). Keep out of reach of children. Distributed by: Bausch & Lomb Americas Inc. Bridgewater, NJ 08807 USA Manufactured by : Bausch & Lomb Incorporated Tampa, FL 33637 USA © 2023 Bausch & Lomb Incorporated or its affiliates Revised: May 2023 9795000 (Folded) Relabeled by Preferred Pharmaceuticals, Inc.


Medication Information

Indications and Usage

For the treatment of superficial ocular infections involving the conjunctiva and/or cornea caused by organisms susceptible to erythromycin.

For prophylaxis of ophthalmia neonatorum due to N. gonorrhoeae or C. trachomatis.

The effectiveness of erythromycin in the prevention of ophthalmia caused by penicillinase-producing N. gonorrhoeae is not established.

For infants born to mothers with clinically apparent gonorrhea, intravenous or intramuscular injections of aqueous crystalline penicillin G should be given: a single dose of 50,000 units for term infants or 20,000 units for infants of low birth weight. Topical prophylaxis alone is inadequate for these infants.

Dosage and Administration

In the treatment of superficial ocular infections, erythromycin ophthalmic ointment approximately 1 cm in length should be applied directly to the infected eye(s) up to six times daily, depending on the severity of the infection.

For prophylaxis of neonatal gonococcal or chlamydial ophthalmia, a ribbon of ointment approximately 1 cm in length should be instilled into each lower conjunctival sac. The ointment should not be flushed from the eye following instillation. A new tube should be used for each infant.

Contraindications

This drug is contraindicated in patients with a history of hypersensitivity to erythromycin.

Adverse Reactions

The most frequently reported adverse reactions are minor ocular irritations, redness, and hypersensitivity reactions.

To report SUSPECTED ADVERSE REACTIONS, contact Bausch & Lomb Incorporated at 1-800-553-5340 or FDA at 1-800-FDA-1088 or www.fda.gov/medwatch.

How Supplied

Erythromycin ophthalmic ointment USP, 0.5% is available in the following sizes:

3.5 g (1/8 oz) in a tamper-resistant tube – NDC 68788-9328-3

  •  
    1 g in a tamper-resistant tube (1 carton of 50 tubes) – NDC 24208-910-19

Storage: Store between 15°C to 25°C (59°F to 77°F).

Keep out of reach of children.

Distributed by:

Bausch & Lomb Americas Inc.

Bridgewater, NJ 08807 USA

Manufactured by:

Bausch & Lomb Incorporated

Tampa, FL 33637 USA

© 2023 Bausch & Lomb Incorporated or its affiliates

Revised: May 2023

9795000 (Folded)

Relabeled by Preferred Pharmaceuticals, Inc.

Description

Erythromycin ophthalmic ointment, USP belongs to the macrolide group of antibiotics. The sterile ophthalmic ointment flows freely over the conjunctiva. Erythromycin base, as crystals or powder, is slightly soluble in water, moderately soluble in ether, and readily soluble in alcohol or chloroform. Erythromycin is an antibiotic produced from a strain of Streptomyces erythraeus. It is basic and readily forms a salt when combined with an acid. It has the following structural formula:

Molecular Formula: C37H67NO13

Mol. Wt. 733.94

Chemical Name: ((3R,4S,5S,6R,7R,9R,11R,12R,13S,14R)-4-[(2,6-dideoxy-3-C-methyl-3-0-methyl-α-L-ribo-hexopyranosyl)oxy]-14-ethyl-7,12,13-trihydroxy-3,5,7,9,11,13-hexamethyl-6-[[3,4,6-trideoxy-3-(dimethylamino)-β-D-xylo-hexopyranosyl]oxy]oxacyclotetradecane-2,10-dione)

Each gram contains: Active: erythromycin USP, 5 mg (0.5%); Inactives: mineral oil and white petrolatum.

Precautions

General

The use of antimicrobial agents may be associated with the overgrowth of non-susceptible organisms including fungi; in such a case, antibiotic administration should be stopped and appropriate measures taken.

Information for Patients: Avoid contaminating the applicator tip with material from the eye, fingers, or other source.

Carcinogenesis, Mutagenesis, Impairment of Fertility: Two year oral studies conducted in rats with erythromycin did not provide evidence of tumorigenicity. Mutagenicity studies have not been conducted.

No evidence of impaired fertility that appeared related to erythromycin was reported in animal studies.

Pregnancy: Reproduction studies have been performed in rats, mice, and rabbits using erythromycin and its various salts and esters, at doses that were several multiples of the usual human dose. No evidence of harm to the fetus that appeared related to erythromycin was reported in these studies. There are, however, no adequate and well-controlled studies in pregnant women. Because animal reproductive studies are not always predictive of human response, the erythromycins should be used during pregnancy only if clearly needed.

Nursing Mothers: Caution should be exercised when erythromycin is administered to a nursing woman.

Pediatric Use: See INDICATIONS AND USAGE and DOSAGE AND ADMINISTRATION .

Clinical Pharmacology

Microbiology

Erythromycin inhibits protein synthesis without affecting nucleic acid synthesis. Erythromycin is usually active against the following organisms in vitro and in clinical infections: Streptococcus pyogenes (group A β-hemolytic), Alpha-hemolytic streptococci (viridans group); Staphylococcus aureus, including penicillinase-producing strains (methicillin-resistant staphylococci are uniformly resistant to erythromycin); Streptococcus pneumoniae;Mycoplasma pneumoniae (Eaton Agent, PPLO); Haemophilus influenzae (not all strains of this organism are susceptible at the erythromycin concentrations ordinarily achieved); Treponema pallidum; Corynebacterium diphtheriae; Neisseria gonorrhoeae; Chlamydia trachomatis.

Package/label Principal Display Panel

NDC 68788-9328-3

Erythromycin

Ophthalmic

Ointment, USP

0.5%

(Sterile)

FOR TOPICAL

APPLICATION

IN THE EYE

(eye image)

Rx only Net Wt. 35 g

(1.8 oz)

BAUSCH + LOMB

9794900

Relabeled by Preferred Pharmaceuticals, Inc.


Structured Label Content

Description (DESCRIPTION)

Erythromycin ophthalmic ointment, USP belongs to the macrolide group of antibiotics. The sterile ophthalmic ointment flows freely over the conjunctiva. Erythromycin base, as crystals or powder, is slightly soluble in water, moderately soluble in ether, and readily soluble in alcohol or chloroform. Erythromycin is an antibiotic produced from a strain of Streptomyces erythraeus. It is basic and readily forms a salt when combined with an acid. It has the following structural formula:

Molecular Formula: C37H67NO13

Mol. Wt. 733.94

Chemical Name: ((3R,4S,5S,6R,7R,9R,11R,12R,13S,14R)-4-[(2,6-dideoxy-3-C-methyl-3-0-methyl-α-L-ribo-hexopyranosyl)oxy]-14-ethyl-7,12,13-trihydroxy-3,5,7,9,11,13-hexamethyl-6-[[3,4,6-trideoxy-3-(dimethylamino)-β-D-xylo-hexopyranosyl]oxy]oxacyclotetradecane-2,10-dione)

Each gram contains: Active: erythromycin USP, 5 mg (0.5%); Inactives: mineral oil and white petrolatum.

Precautions (PRECAUTIONS)

General

The use of antimicrobial agents may be associated with the overgrowth of non-susceptible organisms including fungi; in such a case, antibiotic administration should be stopped and appropriate measures taken.

Information for Patients: Avoid contaminating the applicator tip with material from the eye, fingers, or other source.

Carcinogenesis, Mutagenesis, Impairment of Fertility: Two year oral studies conducted in rats with erythromycin did not provide evidence of tumorigenicity. Mutagenicity studies have not been conducted.

No evidence of impaired fertility that appeared related to erythromycin was reported in animal studies.

Pregnancy: Reproduction studies have been performed in rats, mice, and rabbits using erythromycin and its various salts and esters, at doses that were several multiples of the usual human dose. No evidence of harm to the fetus that appeared related to erythromycin was reported in these studies. There are, however, no adequate and well-controlled studies in pregnant women. Because animal reproductive studies are not always predictive of human response, the erythromycins should be used during pregnancy only if clearly needed.

Nursing Mothers: Caution should be exercised when erythromycin is administered to a nursing woman.

Pediatric Use: See INDICATIONS AND USAGE and DOSAGE AND ADMINISTRATION .

How Supplied (HOW SUPPLIED)

Erythromycin ophthalmic ointment USP, 0.5% is available in the following sizes:

3.5 g (1/8 oz) in a tamper-resistant tube – NDC 68788-9328-3

  •  
    1 g in a tamper-resistant tube (1 carton of 50 tubes) – NDC 24208-910-19

Storage: Store between 15°C to 25°C (59°F to 77°F).

Keep out of reach of children.

Distributed by:

Bausch & Lomb Americas Inc.

Bridgewater, NJ 08807 USA

Manufactured by:

Bausch & Lomb Incorporated

Tampa, FL 33637 USA

© 2023 Bausch & Lomb Incorporated or its affiliates

Revised: May 2023

9795000 (Folded)

Relabeled by Preferred Pharmaceuticals, Inc.

Adverse Reactions (ADVERSE REACTIONS)

The most frequently reported adverse reactions are minor ocular irritations, redness, and hypersensitivity reactions.

To report SUSPECTED ADVERSE REACTIONS, contact Bausch & Lomb Incorporated at 1-800-553-5340 or FDA at 1-800-FDA-1088 or www.fda.gov/medwatch.

Contraindications (CONTRAINDICATIONS)

This drug is contraindicated in patients with a history of hypersensitivity to erythromycin.

Clinical Pharmacology (CLINICAL PHARMACOLOGY)

Microbiology

Erythromycin inhibits protein synthesis without affecting nucleic acid synthesis. Erythromycin is usually active against the following organisms in vitro and in clinical infections: Streptococcus pyogenes (group A β-hemolytic), Alpha-hemolytic streptococci (viridans group); Staphylococcus aureus, including penicillinase-producing strains (methicillin-resistant staphylococci are uniformly resistant to erythromycin); Streptococcus pneumoniae;Mycoplasma pneumoniae (Eaton Agent, PPLO); Haemophilus influenzae (not all strains of this organism are susceptible at the erythromycin concentrations ordinarily achieved); Treponema pallidum; Corynebacterium diphtheriae; Neisseria gonorrhoeae; Chlamydia trachomatis.

Indications and Usage (INDICATIONS AND USAGE)

For the treatment of superficial ocular infections involving the conjunctiva and/or cornea caused by organisms susceptible to erythromycin.

For prophylaxis of ophthalmia neonatorum due to N. gonorrhoeae or C. trachomatis.

The effectiveness of erythromycin in the prevention of ophthalmia caused by penicillinase-producing N. gonorrhoeae is not established.

For infants born to mothers with clinically apparent gonorrhea, intravenous or intramuscular injections of aqueous crystalline penicillin G should be given: a single dose of 50,000 units for term infants or 20,000 units for infants of low birth weight. Topical prophylaxis alone is inadequate for these infants.

Dosage and Administration (DOSAGE AND ADMINISTRATION)

In the treatment of superficial ocular infections, erythromycin ophthalmic ointment approximately 1 cm in length should be applied directly to the infected eye(s) up to six times daily, depending on the severity of the infection.

For prophylaxis of neonatal gonococcal or chlamydial ophthalmia, a ribbon of ointment approximately 1 cm in length should be instilled into each lower conjunctival sac. The ointment should not be flushed from the eye following instillation. A new tube should be used for each infant.

Package/label Principal Display Panel (PACKAGE/LABEL PRINCIPAL DISPLAY PANEL)

NDC 68788-9328-3

Erythromycin

Ophthalmic

Ointment, USP

0.5%

(Sterile)

FOR TOPICAL

APPLICATION

IN THE EYE

(eye image)

Rx only Net Wt. 35 g

(1.8 oz)

BAUSCH + LOMB

9794900

Relabeled by Preferred Pharmaceuticals, Inc.


Advanced Ingredient Data


Raw Label Data

All Sections (JSON)