Promethazine With Dextromethorphan Cough Syrup

Promethazine With Dextromethorphan Cough Syrup
SPL v2
SPL
SPL Set ID ee227c52-2cd8-4a06-a2de-a257f1f4732a
Route
ORAL
Published
Effective Date 2023-07-11
Document Type 34391-3 HUMAN PRESCRIPTION DRUG LABEL

Drug Facts

Composition & Product

Active Ingredients
Promethazine (6.25 mg) Dextromethorphan (15 mg)
Inactive Ingredients
Water Trisodium Citrate Dihydrate Edetate Disodium Sodium Benzoate Saccharin Sodium Sodium Propionate Ascorbic Acid Anhydrous Citric Acid Sucrose Glycerin Alcohol Methylparaben Fd&c Yellow No. 6 D&c Yellow No. 10

Identifiers & Packaging

Pill Appearance
Color: yellow
Marketing Status
ANDA Active Since 1985-01-04

Description

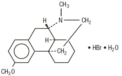
Each 5 mL (one teaspoonful), for oral administration contains: Dextromethorphan hydrobromide 15 mg; promethazine hydrochloride 6.25 mg. Alcohol 7.0%. Inactive Ingredients: artificial pineapple flavor, artificial raspberry flavor, ascorbic acid, citric acid anhydrous, dehydrated alcohol, D&C Yellow No. 10, edetate disodium, FD&C Yellow No. 6, glycerin, sucrose, methylparaben, purified water, saccharin sodium, sodium benzoate, sodium citrate dihydrate and sodium propionate. Dextromethorphan hydrobromide is a salt of the methyl ether of the dextrorotatory isomer of levorphanol, a narcotic analgesic. It is chemically designated as 3-Methoxy-17-methyl-9α, 13α, 14α-morphinan hydrobromide monohydrate. Dextromethorphan hydrobromide occurs as white crystals sparingly soluble in water and freely soluble in alcohol. It has a molecular weight of 370.32, a molecular formula of C 18 H 25 NO•HBr•H 2 O, and the following structural formula: Promethazine is a racemic compound. Promethazine hydrochloride, a phenothiazine derivative, is chemically designated as 10 H -Phenothiazine-10-ethanamine, N , N , α-trimethyl-, monohydrochloride, (±)-. Promethazine hydrochloride occurs as a white to faint yellow, practically odorless, crystalline powder which slowly oxidizes and turns blue on prolonged exposure to air. It is soluble in water and freely soluble in alcohol. It has a molecular weight of 320.88, a molecular formula of C 17 H 20 N 2 S•HCl, and the following structural formula:

Indications and Usage

Promethazine hydrochloride and dextromethorphan hydrobromide syrup is indicated for the temporary relief of coughs and upper respiratory symptoms associated with allergy or the common cold.

Dosage and Administration

Promethazine hydrochloride and dextromethorphan hydrobromide syrup is contraindicated for children under 2 years of age (see WARNINGS – Black Box Warning and Use in Pediatric Patients ). The average effective dose is given in the following table: Adults 1 teaspoonful (5 mL) every 4 to 6 hours, not to exceed 30 mL in 24 hours. Children 6 years to under 12 years   ½ to 1 teaspoonful (2.5 to 5 mL) every 4 to 6 hours, not to exceed 20 mL in 24 hours. Children 2 years to under 6 years ¼ to ½ teaspoonful (1.25 to 2.5 mL) every 4 to 6 hours, not to exceed 10 mL in 24 hours.

Contraindications

Dextromethorphan should not be used in patients receiving a monoamine oxidase inhibitor (MAOI) (see PRECAUTIONS, Drug Interactions ). Promethazine is contraindicated in comatose states, and in individuals known to be hypersensitive or to have had an idiosyncratic reaction to promethazine or to other phenothiazines. Antihistamines are contraindicated for use in the treatment of lower respiratory tract symptoms, including asthma.

How Supplied

Product: 50090-6467 NDC: 50090-6467-0 473 mL in a BOTTLE, PLASTIC NDC: 50090-6467-1 473 mL in a BOTTLE, PLASTIC


Medication Information

Indications and Usage

Promethazine hydrochloride and dextromethorphan hydrobromide syrup is indicated for the temporary relief of coughs and upper respiratory symptoms associated with allergy or the common cold.

Dosage and Administration

Promethazine hydrochloride and dextromethorphan hydrobromide syrup is contraindicated for children under 2 years of age (see WARNINGS – Black Box Warning and Use in Pediatric Patients ).

The average effective dose is given in the following table:

Adults

1 teaspoonful (5 mL) every 4 to 6 hours, not to exceed 30 mL in 24 hours.

Children 6 years to under 12 years 

 ½ to 1 teaspoonful (2.5 to 5 mL) every 4 to 6 hours, not to exceed 20 mL in 24 hours.

Children 2 years to under 6 years

¼ to ½ teaspoonful (1.25 to 2.5 mL) every 4 to 6 hours, not to exceed 10 mL in 24 hours.

Contraindications

Dextromethorphan should not be used in patients receiving a monoamine oxidase inhibitor (MAOI) (see PRECAUTIONS, Drug Interactions ).

Promethazine is contraindicated in comatose states, and in individuals known to be hypersensitive or to have had an idiosyncratic reaction to promethazine or to other phenothiazines.

Antihistamines are contraindicated for use in the treatment of lower respiratory tract symptoms, including asthma.

How Supplied

Product: 50090-6467

NDC: 50090-6467-0 473 mL in a BOTTLE, PLASTIC

NDC: 50090-6467-1 473 mL in a BOTTLE, PLASTIC

Description

Each 5 mL (one teaspoonful), for oral administration contains: Dextromethorphan hydrobromide 15 mg; promethazine hydrochloride 6.25 mg. Alcohol 7.0%.

Inactive Ingredients: artificial pineapple flavor, artificial raspberry flavor, ascorbic acid, citric acid anhydrous, dehydrated alcohol, D&C Yellow No. 10, edetate disodium, FD&C Yellow No. 6, glycerin, sucrose, methylparaben, purified water, saccharin sodium, sodium benzoate, sodium citrate dihydrate and sodium propionate.

Dextromethorphan hydrobromide is a salt of the methyl ether of the dextrorotatory isomer of levorphanol, a narcotic analgesic. It is chemically designated as 3-Methoxy-17-methyl-9α, 13α, 14α-morphinan hydrobromide monohydrate. Dextromethorphan hydrobromide occurs as white crystals sparingly soluble in water and freely soluble in alcohol. It has a molecular weight of 370.32, a molecular formula of C 18H 25NO•HBr•H 2O, and the following structural formula:

Promethazine is a racemic compound. Promethazine hydrochloride, a phenothiazine derivative, is chemically designated as 10 H-Phenothiazine-10-ethanamine, N, N, α-trimethyl-, monohydrochloride, (±)-.

Promethazine hydrochloride occurs as a white to faint yellow, practically odorless, crystalline powder which slowly oxidizes and turns blue on prolonged exposure to air. It is soluble in water and freely soluble in alcohol. It has a molecular weight of 320.88, a molecular formula of C 17H 20N 2S•HCl, and the following structural formula:

General

Dextromethorphan should be used with caution in sedated patients, in the debilitated, and in patients confined to the supine position.

Drugs having anticholinergic properties should be used with caution in patients with narrow-angle glaucoma, prostatic hypertrophy, stenosing peptic ulcer, pyloroduodenal obstruction, and bladder-neck obstruction.

Promethazine should be used cautiously in persons with cardiovascular disease or with impairment of liver function.

Warning

PROMETHAZINE HYDROCHLORIDE SHOULD NOT BE USED IN PEDIATRIC PATIENTS LESS THAN 2 YEARS OF AGE BECAUSE OF THE POTENTIAL FOR FATAL RESPIRATORY DEPRESSION.

POSTMARKETING CASES OF RESPIRATORY DEPRESSION, INCLUDING FATALITIES, HAVE BEEN REPORTED WITH USE OF PROMETHAZINE HYDROCHLORIDE IN PEDIATRIC PATIENTS LESS THAN 2 YEARS OF AGE. A WIDE RANGE OF WEIGHT-BASED DOSES OF PROMETHAZINE HYDROCHLORIDE HAVE RESULTED IN RESPIRATORY DEPRESSION IN THESE PATIENTS.

CAUTION SHOULD BE EXERCISED WHEN ADMINISTERING PROMETHAZINE HYDROCHLORIDE TO PEDIATRIC PATIENTS 2 YEARS OF AGE AND OLDER. IT IS RECOMMENDED THAT THE LOWEST EFFECTIVE DOSE OF PROMETHAZINE HYDROCHLORIDE BE USED IN PEDIATRIC PATIENTS 2 YEARS OF AGE AND OLDER AND CONCOMITANT ADMINISTRATION OF OTHER DRUGS WITH RESPIRATORY DEPRESSANT EFFECTS BE AVOIDED.

Treatment

The treatment of overdosage with promethazine and dextromethorphan is essentially symptomatic and supportive. Only in cases of extreme overdosage or individual sensitivity do vital signs including respiration, pulse, blood pressure, temperature, and EKG need to be monitored. Activated charcoal orally or by lavage may be given, or sodium or magnesium sulfate orally as a cathartic. Attention should be given to the reestablishment of adequate respiratory exchange through provision of a patent airway and institution of assisted or controlled ventilation. Diazepam may be used to control convulsions. Acidosis and electrolyte losses should be corrected. The antidotal efficacy of narcotic antagonists to dextromethorphan has not been established; note that any of the depressant effects of promethazine are not reversed by naloxone. Avoid analeptics, which may cause convulsions.

Severe hypotension usually responds to the administration of norepinephrine or phenylephrine. EPINEPHRINE SHOULD NOT BE USED, since its use in a patient with partial adrenergic blockage may further lower the blood pressure.

Limited experience with dialysis indicates that it is not helpful.

Epinephrine

Because of the potential for promethazine to reverse epinephrine's vasopressor effect, epinephrine should NOT be used to treat hypotension associated with promethazine overdose.

Precautions

Animal reproduction studies have not been conducted with the drug combination–promethazine and dextromethorphan. It is not known whether this drug combination can cause fetal harm when administered to a pregnant woman or can affect reproduction capacity. Promethazine and dextromethorphan should be given to a pregnant woman only if clearly needed.

Promethazine

Promethazine is a phenothiazine derivative which differs structurally from the antipsychotic phenothiazines by the presence of a branched side chain and no ring substitution. It is thought that this configuration is responsible for its relative lack (1/10 that of chlorpromazine) of dopamine antagonist properties.

Promethazine is an H 1 receptor blocking agent. In addition to its antihistaminic action, it provides clinically useful sedative and antiemetic effects.

Promethazine is well absorbed from the gastrointestinal tract. Clinical effects are apparent within 20 minutes after oral administration and generally last four to six hours, although they may persist as long as 12 hours. Promethazine is metabolized by the liver to a variety of compounds; the sulfoxides of promethazine and N-demethylpromethazine are the predominant metabolites appearing in the urine.

Geriatric Use

Clinical studies of promethazine hydrochloride and dextromethorphan hydrobromide syrup did not include sufficient numbers of subjects aged 65 and over to determine whether they respond differently from younger subjects. Other reported clinical experience has not identified differences in responses between the elderly and younger patients. In general, dose selection for an elderly patient should be cautious, usually starting at the low end of the dosing range, reflecting the greater frequency of decreased hepatic, renal or cardiac function, and of concomitant disease or other drug therapy.

Sedating drugs may cause confusion and over-sedation in the elderly; elderly patients generally should be started on low doses of Promethazine Hydrochloride and Dextromethorphan Hydrobromide Syrup and observed closely.

Pediatric Use

PROMETHAZINE HYDROCHLORIDE AND DEXTROMETHORPHAN HYDROBROMIDE SYRUP IS CONTRAINDICATED FOR USE IN PEDIATRIC PATIENTS LESS THAN TWO YEARS OF AGE (see WARNINGS – Black Box Warning and Use in Pediatric Patients ).

Promethazine hydrochloride and dextromethorphan hydrobromide syrup should be used with caution in pediatric patients 2 years of age and older (see WARNINGS – Use in Pediatric Patients ).

Cns Depression

Promethazine may impair the mental and/or physical abilities required for the performance of potentially hazardous tasks, such as driving a vehicle or operating machinery. The impairment may be amplified by concomitant use of other central-nervous-system depressants such as alcohol, sedatives/hypnotics (including barbiturates), narcotics, narcotic analgesics, general anesthetics, tricyclic antidepressants, and tranquilizers; therefore such agents should either be eliminated or given in reduced dosage in the presence of promethazine HCl (see PRECAUTIONS-Information for Patients and Drug Interactions ).

Cns Depressants

Promethazine may increase, prolong, or intensify the sedative action of other central-nervous-system depressants, such as alcohol, sedatives/hypnotics (including barbiturates), narcotics, narcotic analgesics, general anesthetics, tricyclic antidepressants, and tranquilizers; therefore, such agents should be avoided or administered in reduced dosage to patients receiving promethazine HCl. When given concomitantly with promethazine, the dose of barbiturates should be reduced by at least one-half, and the dose of narcotics should be reduced by one-quarter to one-half. Dosage must be individualized. Excessive amounts of promethazine HCl relative to a narcotic may lead to restlessness and motor hyperactivity in the patient with pain; these symptoms usually disappear with adequate control of the pain.

Nursing Mothers

It is not known whether promethazine or dextromethorphan is excreted in human milk.

Caution should be exercised when promethazine and dextromethorphan is administered to a nursing woman.

Pregnancy Tests

Diagnostic pregnancy tests based on immunological reactions between HCG and anti-HCG may result in false-negative or false-positive interpretations.

Anticholinergics

Concomitant use of other agents with anticholinergic properties should be undertaken with caution.

Dextromethorphan

Dextromethorphan is an antitussive agent and, unlike the isomeric levorphanol, it has no analgesic or addictive properties.

The drug acts centrally and elevates the threshold for coughing. It is about equal to codeine in depressing the cough reflex. In therapeutic dosage dextromethorphan does not inhibit ciliary activity.

Dextromethorphan is rapidly absorbed from the gastrointestinal tract and exerts its effect in 15 to 30 minutes. The duration of action after oral administration is approximately three to six hours. Dextromethorphan is metabolized primarily by liver enzymes undergoing O-demethylation, N-demethylation, and partial conjugation with glucuronic acid and sulfate. In humans, (+)-3-hydroxy-N-methyl-morphinan, (+)-3-hydroxymorphinan, and traces of unmetabolized drug were found in urine after oral administration.

Labor and Delivery

Limited data suggest that use of promethazine HCl during labor and delivery does not have an appreciable effect on the duration of labor or delivery and does not increase the risk of need for intervention in the newborn. The effect on later growth and development of the newborn is unknown. See also " Nonteratogenic Effects".

Other Consideration

Administration of promethazine has been associated with reported cholestatic jaundice.

Pregnancy Category C

Teratogenic effects have not been demonstrated in rat-feeding studies at doses of 6.25 and 12.5 mg/kg of promethazine HCl. These doses are from approximately 2.1 to 4.2 times the maximum recommended total daily dose of promethazine for a 50-kg subject, depending upon the indication for which the drug is prescribed. Daily doses of 25 mg/kg intraperitoneally have been found to produce fetal mortality in rats.

Specific studies to test the action of the drug on parturition, lactation, and development of the animal neonate were not done, but a general preliminary study in rats indicated no effect on these parameters. Although antihistamines have been found to produce fetal mortality in rodents, the pharmacological effects of histamine in the rodent do not parallel those in man. There are no adequate and well-controlled studies of promethazine in pregnant women.

Promethazine and dextromethorphan should be used during pregnancy only if the potential benefit justifies the risk to the fetus.

Bone Marrow Depression

Promethazine should be used with caution in patients with bone-marrow depression. Leukopenia and agranulocytosis have been reported, usually when promethazine HCl has been used in association with other known marrow-toxic agents.

Glucose Tolerance Test

An increase in blood glucose has been reported in patients receiving promethazine.

Nonteratogenic Effects

Promethazine administered to a pregnant woman within two weeks of delivery may inhibit platelet aggregation in the newborn.

Respiratory Depression

Promethazine may lead to potentially fatal respiratory depression.

Use of Promethazine in patients with compromised respiratory function (e.g., COPD, sleep apnea) should be avoided.

Lower Seizure Threshold

Promethazine may lower seizure threshold. It should be used with caution in persons with seizure disorders or in persons who are using concomitant medications, such as narcotics or local anesthetics, which may also affect seizure threshold.

Information for Patients

Promethazine and dextromethorphan may cause marked drowsiness or impair the mental and/or physical abilities required for the performance of potentially hazardous tasks, such as driving a vehicle or operating machinery. Ambulatory patients should be told to avoid engaging in such activities until it is known that they do not become drowsy or dizzy from promethazine and dextromethorphan therapy. Children should be supervised to avoid potential harm in bike riding or in other hazardous activities.

The concomitant use of alcohol or other central nervous system depressants, including narcotic analgesics, sedatives, hypnotics, and tranquilizers, may have an additive effect and should be avoided or their dosage reduced.

Patients should be advised to report any involuntary muscle movements.

Avoid prolonged exposure to the sun.

Drug Abuse and Dependence

According to the WHO Expert Committee on Drug Dependence, dextromethorphan could produce very slight psychic dependence but no physical dependence.

Use in Pediatric Patients

PROMETHAZINE PRODUCTS ARE CONTRAINDICATED FOR USE IN PEDIATRIC PATIENTS LESS THAN TWO YEARS OF AGE.

CAUTION SHOULD BE EXERCISED WHEN ADMINISTERING PROMETHAZINE PRODUCTS TO PEDIATRIC PATIENTS 2 YEARS OF AGE AND OLDER BECAUSE OF THE POTENTIAL FOR FATAL RESPIRATORY DEPRESSION. RESPIRATORY DEPRESSION AND APNEA, SOMETIMES ASSOCIATED WITH DEATH, ARE STRONGLY ASSOCIATED WITH PROMETHAZINE PRODUCTS AND ARE NOT DIRECTLY RELATED TO INDIVIDUALIZED WEIGHT-BASED DOSING, WHICH MIGHT OTHERWISE PERMIT SAFE ADMINISTRATION. CONCOMITANT ADMINISTRATION OF PROMETHAZINE PRODUCTS WITH OTHER RESPIRATORY DEPRESSANTS HAS AN ASSOCIATION WITH RESPIRATORY DEPRESSION, AND SOMETIMES DEATH, IN PEDIATRIC PATIENTS.

ANTIEMETICS ARE NOT RECOMMENDED FOR TREATMENT OF UNCOMPLICATED VOMITING IN PEDIATRIC PATIENTS, AND THEIR USE SHOULD BE LIMITED TO PROLONGED VOMITING OF KNOWN ETIOLOGY. THE EXTRAPYRAMIDAL SYMPTOMS WHICH CAN OCCUR SECONDARY TO PROMETHAZINE HYDROCHLORIDE ADMINISTRATION MAY BE CONFUSED WITH THE CNS SIGNS OF UNDIAGNOSED PRIMARY DISEASE, e.g., ENCEPHALOPATHY OR REYE'S SYNDROME. THE USE OF PROMETHAZINE PRODUCTS SHOULD BE AVOIDED IN PEDIATRIC PATIENTS WHOSE SIGNS AND SYMPTOMS MAY SUGGEST REYE'S SYNDROME OR OTHER HEPATIC DISEASES.

Excessively large dosages of antihistamines, including promethazine hydrochloride, in pediatric patients may cause sudden death (see OVERDOSAGE ). Hallucinations and convulsions have occurred with therapeutic doses and overdoses of promethazine hydrochloride in pediatric patients. In pediatric patients who are acutely ill associated with dehydration, there is an increased susceptibility to dystonias with the use of promethazine HCl.

Neuroleptic Malignant Syndrome

A potentially fatal symptom complex sometimes referred to as Neuroleptic Malignant Syndrome (NMS) has been reported in association with promethazine HCl alone or in combination with antipsychotic drugs. Clinical manifestations of NMS are hyperpyrexia, muscle rigidity, altered mental status and evidence of autonomic instability (irregular pulse or blood pressure, tachycardia, diaphoresis and cardiac dysrhythmias).

The diagnostic evaluation of patients with this syndrome is complicated. In arriving at a diagnosis, it is important to identify cases where the clinical presentation includes both serious medical illness (e.g. pneumonia, systemic infection, etc.) and untreated or inadequately treated extrapyramidal signs and symptoms (EPS). Other important considerations in the differential diagnosis include central anticholinergic toxicity, heat stroke, drug fever and primary central nervous system (CNS) pathology.

The management of NMS should include 1) immediate discontinuation of promethazine HCl, antipsychotic drugs, if any, and other drugs not essential to concurrent therapy, 2) intensive symptomatic treatment and medical monitoring, and 3) treatment of any concomitant serious medical problems for which specific treatments are available. There is no general agreement about specific pharmacological treatment regimens for uncomplicated NMS.

Since recurrences of NMS have been reported with phenothiazines, the reintroduction of promethazine HCl should be carefully considered.

Drug/laboratory Test Interactions

The following laboratory tests may be affected in patients who are receiving therapy with promethazine hydrochloride:

Monoamine Oxidase Inhibitors (maoi)

Drug interactions, including an increased incidence of extrapyramidal effects, have been reported when some MAOI and phenothiazines are used concomitantly.

Carcinogenesis, Mutagenesis, Impairment of Fertility

Long-term animal studies have not been performed to assess the carcinogenic potential of promethazine or of dextromethorphan. There are no animal or human data concerning the carcinogenicity, mutagenicity, or impairment of fertility with these drugs. Promethazine was nonmutagenic in the Salmonella test system of Ames.

Promethazine Hydrochloride and Dextromethorphan Hydrobromide

Structured Label Content

General

Dextromethorphan should be used with caution in sedated patients, in the debilitated, and in patients confined to the supine position.

Drugs having anticholinergic properties should be used with caution in patients with narrow-angle glaucoma, prostatic hypertrophy, stenosing peptic ulcer, pyloroduodenal obstruction, and bladder-neck obstruction.

Promethazine should be used cautiously in persons with cardiovascular disease or with impairment of liver function.

Warning (WARNING)

PROMETHAZINE HYDROCHLORIDE SHOULD NOT BE USED IN PEDIATRIC PATIENTS LESS THAN 2 YEARS OF AGE BECAUSE OF THE POTENTIAL FOR FATAL RESPIRATORY DEPRESSION.

POSTMARKETING CASES OF RESPIRATORY DEPRESSION, INCLUDING FATALITIES, HAVE BEEN REPORTED WITH USE OF PROMETHAZINE HYDROCHLORIDE IN PEDIATRIC PATIENTS LESS THAN 2 YEARS OF AGE. A WIDE RANGE OF WEIGHT-BASED DOSES OF PROMETHAZINE HYDROCHLORIDE HAVE RESULTED IN RESPIRATORY DEPRESSION IN THESE PATIENTS.

CAUTION SHOULD BE EXERCISED WHEN ADMINISTERING PROMETHAZINE HYDROCHLORIDE TO PEDIATRIC PATIENTS 2 YEARS OF AGE AND OLDER. IT IS RECOMMENDED THAT THE LOWEST EFFECTIVE DOSE OF PROMETHAZINE HYDROCHLORIDE BE USED IN PEDIATRIC PATIENTS 2 YEARS OF AGE AND OLDER AND CONCOMITANT ADMINISTRATION OF OTHER DRUGS WITH RESPIRATORY DEPRESSANT EFFECTS BE AVOIDED.

Treatment

The treatment of overdosage with promethazine and dextromethorphan is essentially symptomatic and supportive. Only in cases of extreme overdosage or individual sensitivity do vital signs including respiration, pulse, blood pressure, temperature, and EKG need to be monitored. Activated charcoal orally or by lavage may be given, or sodium or magnesium sulfate orally as a cathartic. Attention should be given to the reestablishment of adequate respiratory exchange through provision of a patent airway and institution of assisted or controlled ventilation. Diazepam may be used to control convulsions. Acidosis and electrolyte losses should be corrected. The antidotal efficacy of narcotic antagonists to dextromethorphan has not been established; note that any of the depressant effects of promethazine are not reversed by naloxone. Avoid analeptics, which may cause convulsions.

Severe hypotension usually responds to the administration of norepinephrine or phenylephrine. EPINEPHRINE SHOULD NOT BE USED, since its use in a patient with partial adrenergic blockage may further lower the blood pressure.

Limited experience with dialysis indicates that it is not helpful.

Description (DESCRIPTION)

Each 5 mL (one teaspoonful), for oral administration contains: Dextromethorphan hydrobromide 15 mg; promethazine hydrochloride 6.25 mg. Alcohol 7.0%.

Inactive Ingredients: artificial pineapple flavor, artificial raspberry flavor, ascorbic acid, citric acid anhydrous, dehydrated alcohol, D&C Yellow No. 10, edetate disodium, FD&C Yellow No. 6, glycerin, sucrose, methylparaben, purified water, saccharin sodium, sodium benzoate, sodium citrate dihydrate and sodium propionate.

Dextromethorphan hydrobromide is a salt of the methyl ether of the dextrorotatory isomer of levorphanol, a narcotic analgesic. It is chemically designated as 3-Methoxy-17-methyl-9α, 13α, 14α-morphinan hydrobromide monohydrate. Dextromethorphan hydrobromide occurs as white crystals sparingly soluble in water and freely soluble in alcohol. It has a molecular weight of 370.32, a molecular formula of C 18H 25NO•HBr•H 2O, and the following structural formula:

Promethazine is a racemic compound. Promethazine hydrochloride, a phenothiazine derivative, is chemically designated as 10 H-Phenothiazine-10-ethanamine, N, N, α-trimethyl-, monohydrochloride, (±)-.

Promethazine hydrochloride occurs as a white to faint yellow, practically odorless, crystalline powder which slowly oxidizes and turns blue on prolonged exposure to air. It is soluble in water and freely soluble in alcohol. It has a molecular weight of 320.88, a molecular formula of C 17H 20N 2S•HCl, and the following structural formula:

Epinephrine

Because of the potential for promethazine to reverse epinephrine's vasopressor effect, epinephrine should NOT be used to treat hypotension associated with promethazine overdose.

Precautions (PRECAUTIONS)

Animal reproduction studies have not been conducted with the drug combination–promethazine and dextromethorphan. It is not known whether this drug combination can cause fetal harm when administered to a pregnant woman or can affect reproduction capacity. Promethazine and dextromethorphan should be given to a pregnant woman only if clearly needed.

How Supplied (HOW SUPPLIED)

Product: 50090-6467

NDC: 50090-6467-0 473 mL in a BOTTLE, PLASTIC

NDC: 50090-6467-1 473 mL in a BOTTLE, PLASTIC

Promethazine

Promethazine is a phenothiazine derivative which differs structurally from the antipsychotic phenothiazines by the presence of a branched side chain and no ring substitution. It is thought that this configuration is responsible for its relative lack (1/10 that of chlorpromazine) of dopamine antagonist properties.

Promethazine is an H 1 receptor blocking agent. In addition to its antihistaminic action, it provides clinically useful sedative and antiemetic effects.

Promethazine is well absorbed from the gastrointestinal tract. Clinical effects are apparent within 20 minutes after oral administration and generally last four to six hours, although they may persist as long as 12 hours. Promethazine is metabolized by the liver to a variety of compounds; the sulfoxides of promethazine and N-demethylpromethazine are the predominant metabolites appearing in the urine.

Geriatric Use

Clinical studies of promethazine hydrochloride and dextromethorphan hydrobromide syrup did not include sufficient numbers of subjects aged 65 and over to determine whether they respond differently from younger subjects. Other reported clinical experience has not identified differences in responses between the elderly and younger patients. In general, dose selection for an elderly patient should be cautious, usually starting at the low end of the dosing range, reflecting the greater frequency of decreased hepatic, renal or cardiac function, and of concomitant disease or other drug therapy.

Sedating drugs may cause confusion and over-sedation in the elderly; elderly patients generally should be started on low doses of Promethazine Hydrochloride and Dextromethorphan Hydrobromide Syrup and observed closely.

Pediatric Use

PROMETHAZINE HYDROCHLORIDE AND DEXTROMETHORPHAN HYDROBROMIDE SYRUP IS CONTRAINDICATED FOR USE IN PEDIATRIC PATIENTS LESS THAN TWO YEARS OF AGE (see WARNINGS – Black Box Warning and Use in Pediatric Patients ).

Promethazine hydrochloride and dextromethorphan hydrobromide syrup should be used with caution in pediatric patients 2 years of age and older (see WARNINGS – Use in Pediatric Patients ).

Cns Depression (CNS Depression)

Promethazine may impair the mental and/or physical abilities required for the performance of potentially hazardous tasks, such as driving a vehicle or operating machinery. The impairment may be amplified by concomitant use of other central-nervous-system depressants such as alcohol, sedatives/hypnotics (including barbiturates), narcotics, narcotic analgesics, general anesthetics, tricyclic antidepressants, and tranquilizers; therefore such agents should either be eliminated or given in reduced dosage in the presence of promethazine HCl (see PRECAUTIONS-Information for Patients and Drug Interactions ).

Cns Depressants (CNS Depressants)

Promethazine may increase, prolong, or intensify the sedative action of other central-nervous-system depressants, such as alcohol, sedatives/hypnotics (including barbiturates), narcotics, narcotic analgesics, general anesthetics, tricyclic antidepressants, and tranquilizers; therefore, such agents should be avoided or administered in reduced dosage to patients receiving promethazine HCl. When given concomitantly with promethazine, the dose of barbiturates should be reduced by at least one-half, and the dose of narcotics should be reduced by one-quarter to one-half. Dosage must be individualized. Excessive amounts of promethazine HCl relative to a narcotic may lead to restlessness and motor hyperactivity in the patient with pain; these symptoms usually disappear with adequate control of the pain.

Nursing Mothers

It is not known whether promethazine or dextromethorphan is excreted in human milk.

Caution should be exercised when promethazine and dextromethorphan is administered to a nursing woman.

Pregnancy Tests

Diagnostic pregnancy tests based on immunological reactions between HCG and anti-HCG may result in false-negative or false-positive interpretations.

Anticholinergics

Concomitant use of other agents with anticholinergic properties should be undertaken with caution.

Dextromethorphan

Dextromethorphan is an antitussive agent and, unlike the isomeric levorphanol, it has no analgesic or addictive properties.

The drug acts centrally and elevates the threshold for coughing. It is about equal to codeine in depressing the cough reflex. In therapeutic dosage dextromethorphan does not inhibit ciliary activity.

Dextromethorphan is rapidly absorbed from the gastrointestinal tract and exerts its effect in 15 to 30 minutes. The duration of action after oral administration is approximately three to six hours. Dextromethorphan is metabolized primarily by liver enzymes undergoing O-demethylation, N-demethylation, and partial conjugation with glucuronic acid and sulfate. In humans, (+)-3-hydroxy-N-methyl-morphinan, (+)-3-hydroxymorphinan, and traces of unmetabolized drug were found in urine after oral administration.

Contraindications (CONTRAINDICATIONS)

Dextromethorphan should not be used in patients receiving a monoamine oxidase inhibitor (MAOI) (see PRECAUTIONS, Drug Interactions ).

Promethazine is contraindicated in comatose states, and in individuals known to be hypersensitive or to have had an idiosyncratic reaction to promethazine or to other phenothiazines.

Antihistamines are contraindicated for use in the treatment of lower respiratory tract symptoms, including asthma.

Labor and Delivery (Labor And Delivery)

Limited data suggest that use of promethazine HCl during labor and delivery does not have an appreciable effect on the duration of labor or delivery and does not increase the risk of need for intervention in the newborn. The effect on later growth and development of the newborn is unknown. See also " Nonteratogenic Effects".

Other Consideration

Administration of promethazine has been associated with reported cholestatic jaundice.

Pregnancy Category C (Pregnancy category C)

Teratogenic effects have not been demonstrated in rat-feeding studies at doses of 6.25 and 12.5 mg/kg of promethazine HCl. These doses are from approximately 2.1 to 4.2 times the maximum recommended total daily dose of promethazine for a 50-kg subject, depending upon the indication for which the drug is prescribed. Daily doses of 25 mg/kg intraperitoneally have been found to produce fetal mortality in rats.

Specific studies to test the action of the drug on parturition, lactation, and development of the animal neonate were not done, but a general preliminary study in rats indicated no effect on these parameters. Although antihistamines have been found to produce fetal mortality in rodents, the pharmacological effects of histamine in the rodent do not parallel those in man. There are no adequate and well-controlled studies of promethazine in pregnant women.

Promethazine and dextromethorphan should be used during pregnancy only if the potential benefit justifies the risk to the fetus.

Indications and Usage (INDICATIONS AND USAGE)

Promethazine hydrochloride and dextromethorphan hydrobromide syrup is indicated for the temporary relief of coughs and upper respiratory symptoms associated with allergy or the common cold.

Bone Marrow Depression (Bone-Marrow Depression)

Promethazine should be used with caution in patients with bone-marrow depression. Leukopenia and agranulocytosis have been reported, usually when promethazine HCl has been used in association with other known marrow-toxic agents.

Glucose Tolerance Test

An increase in blood glucose has been reported in patients receiving promethazine.

Nonteratogenic Effects

Promethazine administered to a pregnant woman within two weeks of delivery may inhibit platelet aggregation in the newborn.

Respiratory Depression

Promethazine may lead to potentially fatal respiratory depression.

Use of Promethazine in patients with compromised respiratory function (e.g., COPD, sleep apnea) should be avoided.

Lower Seizure Threshold

Promethazine may lower seizure threshold. It should be used with caution in persons with seizure disorders or in persons who are using concomitant medications, such as narcotics or local anesthetics, which may also affect seizure threshold.

Information for Patients (Information For Patients)

Promethazine and dextromethorphan may cause marked drowsiness or impair the mental and/or physical abilities required for the performance of potentially hazardous tasks, such as driving a vehicle or operating machinery. Ambulatory patients should be told to avoid engaging in such activities until it is known that they do not become drowsy or dizzy from promethazine and dextromethorphan therapy. Children should be supervised to avoid potential harm in bike riding or in other hazardous activities.

The concomitant use of alcohol or other central nervous system depressants, including narcotic analgesics, sedatives, hypnotics, and tranquilizers, may have an additive effect and should be avoided or their dosage reduced.

Patients should be advised to report any involuntary muscle movements.

Avoid prolonged exposure to the sun.

Dosage and Administration (DOSAGE AND ADMINISTRATION)

Promethazine hydrochloride and dextromethorphan hydrobromide syrup is contraindicated for children under 2 years of age (see WARNINGS – Black Box Warning and Use in Pediatric Patients ).

The average effective dose is given in the following table:

Adults

1 teaspoonful (5 mL) every 4 to 6 hours, not to exceed 30 mL in 24 hours.

Children 6 years to under 12 years 

 ½ to 1 teaspoonful (2.5 to 5 mL) every 4 to 6 hours, not to exceed 20 mL in 24 hours.

Children 2 years to under 6 years

¼ to ½ teaspoonful (1.25 to 2.5 mL) every 4 to 6 hours, not to exceed 10 mL in 24 hours.

Drug Abuse and Dependence (DRUG ABUSE AND DEPENDENCE)

According to the WHO Expert Committee on Drug Dependence, dextromethorphan could produce very slight psychic dependence but no physical dependence.

Use in Pediatric Patients (Use In Pediatric Patients)

PROMETHAZINE PRODUCTS ARE CONTRAINDICATED FOR USE IN PEDIATRIC PATIENTS LESS THAN TWO YEARS OF AGE.

CAUTION SHOULD BE EXERCISED WHEN ADMINISTERING PROMETHAZINE PRODUCTS TO PEDIATRIC PATIENTS 2 YEARS OF AGE AND OLDER BECAUSE OF THE POTENTIAL FOR FATAL RESPIRATORY DEPRESSION. RESPIRATORY DEPRESSION AND APNEA, SOMETIMES ASSOCIATED WITH DEATH, ARE STRONGLY ASSOCIATED WITH PROMETHAZINE PRODUCTS AND ARE NOT DIRECTLY RELATED TO INDIVIDUALIZED WEIGHT-BASED DOSING, WHICH MIGHT OTHERWISE PERMIT SAFE ADMINISTRATION. CONCOMITANT ADMINISTRATION OF PROMETHAZINE PRODUCTS WITH OTHER RESPIRATORY DEPRESSANTS HAS AN ASSOCIATION WITH RESPIRATORY DEPRESSION, AND SOMETIMES DEATH, IN PEDIATRIC PATIENTS.

ANTIEMETICS ARE NOT RECOMMENDED FOR TREATMENT OF UNCOMPLICATED VOMITING IN PEDIATRIC PATIENTS, AND THEIR USE SHOULD BE LIMITED TO PROLONGED VOMITING OF KNOWN ETIOLOGY. THE EXTRAPYRAMIDAL SYMPTOMS WHICH CAN OCCUR SECONDARY TO PROMETHAZINE HYDROCHLORIDE ADMINISTRATION MAY BE CONFUSED WITH THE CNS SIGNS OF UNDIAGNOSED PRIMARY DISEASE, e.g., ENCEPHALOPATHY OR REYE'S SYNDROME. THE USE OF PROMETHAZINE PRODUCTS SHOULD BE AVOIDED IN PEDIATRIC PATIENTS WHOSE SIGNS AND SYMPTOMS MAY SUGGEST REYE'S SYNDROME OR OTHER HEPATIC DISEASES.

Excessively large dosages of antihistamines, including promethazine hydrochloride, in pediatric patients may cause sudden death (see OVERDOSAGE ). Hallucinations and convulsions have occurred with therapeutic doses and overdoses of promethazine hydrochloride in pediatric patients. In pediatric patients who are acutely ill associated with dehydration, there is an increased susceptibility to dystonias with the use of promethazine HCl.

Neuroleptic Malignant Syndrome

A potentially fatal symptom complex sometimes referred to as Neuroleptic Malignant Syndrome (NMS) has been reported in association with promethazine HCl alone or in combination with antipsychotic drugs. Clinical manifestations of NMS are hyperpyrexia, muscle rigidity, altered mental status and evidence of autonomic instability (irregular pulse or blood pressure, tachycardia, diaphoresis and cardiac dysrhythmias).

The diagnostic evaluation of patients with this syndrome is complicated. In arriving at a diagnosis, it is important to identify cases where the clinical presentation includes both serious medical illness (e.g. pneumonia, systemic infection, etc.) and untreated or inadequately treated extrapyramidal signs and symptoms (EPS). Other important considerations in the differential diagnosis include central anticholinergic toxicity, heat stroke, drug fever and primary central nervous system (CNS) pathology.

The management of NMS should include 1) immediate discontinuation of promethazine HCl, antipsychotic drugs, if any, and other drugs not essential to concurrent therapy, 2) intensive symptomatic treatment and medical monitoring, and 3) treatment of any concomitant serious medical problems for which specific treatments are available. There is no general agreement about specific pharmacological treatment regimens for uncomplicated NMS.

Since recurrences of NMS have been reported with phenothiazines, the reintroduction of promethazine HCl should be carefully considered.

Drug/laboratory Test Interactions (Drug/Laboratory Test Interactions)

The following laboratory tests may be affected in patients who are receiving therapy with promethazine hydrochloride:

Monoamine Oxidase Inhibitors (maoi) (Monoamine oxidase inhibitors (MAOI))

Drug interactions, including an increased incidence of extrapyramidal effects, have been reported when some MAOI and phenothiazines are used concomitantly.

Carcinogenesis, Mutagenesis, Impairment of Fertility (Carcinogenesis, Mutagenesis, Impairment Of Fertility)

Long-term animal studies have not been performed to assess the carcinogenic potential of promethazine or of dextromethorphan. There are no animal or human data concerning the carcinogenicity, mutagenicity, or impairment of fertility with these drugs. Promethazine was nonmutagenic in the Salmonella test system of Ames.

Promethazine Hydrochloride and Dextromethorphan Hydrobromide (PROMETHAZINE HYDROCHLORIDE AND DEXTROMETHORPHAN HYDROBROMIDE)

Advanced Ingredient Data


Raw Label Data

All Sections (JSON)