Labetalol Hydrochloride Tablets
ecb357ea-ba26-4d8a-b10a-5110f777414b
34391-3
HUMAN PRESCRIPTION DRUG LABEL
Drug Facts
Composition & Product
Identifiers & Packaging
Description
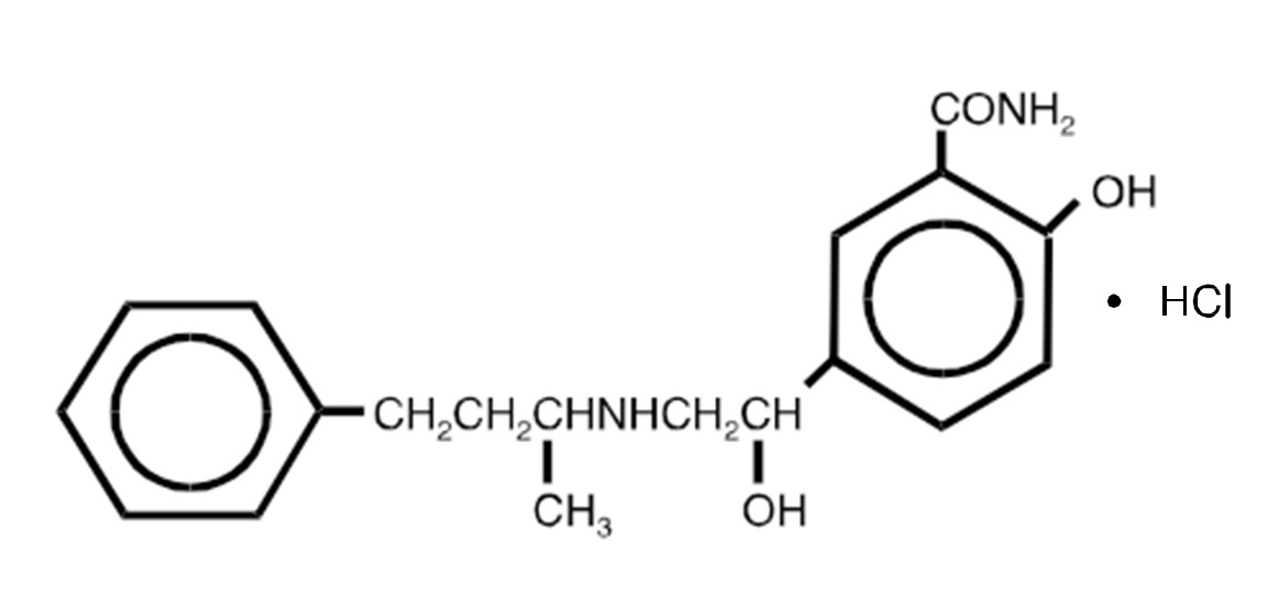
Labetalol Hydrochloride Tablets are adrenergic receptor blocking agents that have both selective alpha 1 -adrenergic and nonselective beta-adrenergic receptor blocking action in a single substance. Labetalol hydrochloride (HCl) is a racemate chemically designated as 2-hydroxy-5-[1-hydroxy-2-[(1 methyl-3-phenylpropyl)amino]ethyl]benzamide monohydrochloride, and it has the following structure: Labetalol HCl has the empirical formula C 19 H 24 N 2 O 3 •HCl and a molecular weight of 364.9. It has two asymmetric centers and therefore exists as a molecular complex of two diastereoisomeric pairs. Dilevalol, the R,R′ stereoisomer, makes up 25% of racemic labetalol. Labetalol HCl is a white or off-white crystalline powder, soluble in water. Labetalol HCl Tablets contain 100, 200, or 300 mg of labetalol HCl and are taken orally. The tablets also contain the inactive ingredients lactose monohydreate, magnesium stearate, pregelatinized corn starch, sodium starch glycolate. FDA approved dissolution test specifications differ from USP.
Indications and Usage
Labetalol Hydrochloride Tablets are indicated in the management of hypertension. Labetalol Hydrochloride Tablets may be used alone or in combination with other antihypertensive agents, especially thiazide and loop diuretics.
Dosage and Administration
DOSAGE MUST BE INDIVIDUALIZED. The recommended initial dosage is 100 mg twice daily whether used alone or added to a diuretic regimen. After 2 or 3 days, using standing blood pressure as an indicator, dosage may be titrated in increments of 100 mg twice daily every 2 or 3 days. The usual maintenance dosage of labetalol HCl is between 200 and 400 mg twice daily. Since the full antihypertensive effect of labetalol HCl is usually seen within the first 1 to 3 hours of the initial dose or dose increment, the assurance of a lack of an exaggerated hypotensive response can be clinically established in the office setting. The antihypertensive effects of continued dosing can be measured at subsequent visits, approximately 12 hours after a dose, to determine whether further titration is necessary. Patients with severe hypertension may require from 1,200 to 2,400 mg per day, with or without thiazide diuretics. Should side effects (principally nausea or dizziness) occur with these doses administered twice daily, the same total daily dose administered three times daily may improve tolerability and facilitate further titration. Titration increments should not exceed 200 mg twice daily. When a diuretic is added, an additive antihypertensive effect can be expected. In some cases this may necessitate a labetalol HCl dosage adjustment. As with most antihypertensive drugs, optimal dosages of Labetalol Hydrochloride Tablets are usually lower in patients also receiving a diuretic. When transferring patients from other antihypertensive drugs, Labetalol Hydrochloride Tablets should be introduced as recommended and the dosage of the existing therapy progressively decreased. Elderly Patients: As in the general patient population, labetalol therapy may be initiated at 100 mg twice daily and titrated upwards in increments of 100 mg twice daily as required for control of blood pressure. Since some elderly patients eliminate labetalol more slowly, however, adequate control of blood pressure may be achieved at a lower maintenance dosage compared to the general population. The majority of elderly patients will require between 100 and 200 mg twice daily
Contraindications
Labetalol Hydrochloride Tablets are contraindicated in bronchial asthma, overt cardiac failure, greater-than-first-degree heart block, cardiogenic shock, severe bradycardia, other conditions associated with severe and prolonged hypotension, and in patients with a history of hypersensitivity to any component of the product (see WARNINGS ). Beta-blockers, even those with apparent cardioselectivity, should not be used in patients with a history of obstructive airway disease, including asthma.
Adverse Reactions
Most adverse effects are mild and transient and occur early in the course of treatment. In controlled clinical trials of 3 to 4 months' duration, discontinuation of Labetalol Hydrochloride Tablets due to one or more adverse effects was required in 7% of all patients. In these same trials, other agents with solely beta-blocking activity used in the control groups led to discontinuation in 8% to 10% of patients, and a centrally acting alpha-agonist led to discontinuation in 30% of patients. The incidence rates of adverse reactions listed in the following table were derived from multicenter, controlled clinical trials comparing labetalol HCl, placebo, metoprolol, and propranolol over treatment periods of 3 and 4 months. Where the frequency of adverse effects for labetalol HCl and placebo is similar, causal relationship is uncertain. The rates are based on adverse reactions considered probably drug related by the investigator. If all reports are considered, the rates are somewhat higher (e.g., dizziness, 20%; nausea, 14%; fatigue, 11%), but the overall conclusions are unchanged. Labetalol HCI Placebo Propranolol Metoprolol (n = 227) (n = 98) (n = 84) (n = 49) % % % % Body as a whole Fatigue 5 0 12 12 Asthenia 1 1 1 0 Headache 2 1 1 2 Gastrointestinal Nausea 6 1 1 2 Vomiting <1 0 0 0 Dyspepsia 3 1 1 0 Abdominal pain 0 0 1 2 Diarrhea <1 0 2 0 Taste distortion 1 0 0 0 Central and peripheral nervous systems Dizziness 11 3 4 4 Paresthesia <1 0 0 0 Drowsiness <1 2 2 2 Autonomic nervous system Nasal stuffiness 3 0 0 0 Ejaculation failure 2 0 0 0 Impotence 1 0 1 3 Increased sweating <1 0 0 0 Cardiovascular Edema 1 0 0 0 Postural hypotension 1 0 0 0 Bradycardia 0 0 5 12 Respiratory Dyspnea 2 0 1 2 Skin Rash 1 0 0 0 Special senses Vision abnormality 1 0 0 0 Vertigo 2 1 0 0 The adverse effects were reported spontaneously and are representative of the incidence of adverse effects that may be observed in a properly selected hypertensive patient population, i.e., a group excluding patients with bronchospastic disease, overt congestive heart failure, or other contraindications to beta-blocker therapy. Clinical trials also included studies utilizing daily doses up to 2,400 mg in more severely hypertensive patients. Certain of the side effects increased with increasing dose, as shown in the following table that depicts the entire US therapeutic trials data base for adverse reactions that are clearly or possibly dose related. Labetalol HCl Daily Dose (mg) 200 300 400 600 800 900 1,200 1,600 2,400 Number of patients 522 181 606 608 503 117 411 242 175 Dizziness (%) 2 3 3 3 5 1 9 13 16 Fatigue 2 1 4 4 5 3 7 6 10 Nausea <1 0 1 2 4 0 7 11 19 Vomiting 0 0 <1 <1 <1 0 1 2 3 Dyspepsia 1 0 2 1 1 0 2 2 4 Paresthesia 2 0 2 2 1 1 2 5 5 Nasal stuffiness 1 1 2 2 2 2 4 5 6 Ejaculation failure 0 2 1 2 3 0 4 3 5 Impotence 1 1 1 1 2 4 3 4 3 Edema 1 0 1 1 1 0 1 2 2 In addition, a number of other less common adverse events have been reported: Body as a Whole: Fever. Cardiovascular: Hypotension, and rarely, syncope, bradycardia, heart block. Central and Peripheral Nervous Systems: Paresthesia, most frequently described as scalp tingling. In most cases, it was mild and transient and usually occurred at the beginning of treatment. Collagen Disorders: Systemic lupus erythematosus, positive antinuclear factor. Eyes: Dry eyes. Immunological System: Antimitochondrial antibodies. Liver and Biliary System: Hepatic necrosis, hepatitis, cholestatic jaundice, elevated liver function tests. Musculoskeletal System: Muscle cramps, toxic myopathy. Respiratory System: Bronchospasm. Skin and Appendages: Rashes of various types, such as generalized maculopapular, lichenoid, urticarial, bullous lichen planus, psoriaform, and facial erythema; Peyronie's disease; reversible alopecia. Urinary System: Difficulty in micturition, including acute urinary bladder retention. Hypersensitivity: Rare reports of hypersensitivity (e.g., rash, urticaria, pruritus, angioedema, dyspnea) and anaphylactoid reactions. Following approval for marketing in the United Kingdom, a monitored release survey involving approximately 6,800 patients was conducted for further safety and efficacy evaluation of this product. Results of this survey indicate that the type, severity, and incidence of adverse effects were comparable to those cited above. Potential Adverse Effects: In addition, other adverse effects not listed above have been reported with other beta-adrenergic blocking agents. Central Nervous System: Reversible mental depression progressing to catatonia, an acute reversible syndrome characterized by disorientation for time and place, short-term memory loss, emotional lability, slightly clouded sensorium, and decreased performance on psychometrics. Cardiovascular: Intensification of A-V block (see CONTRAINDICATIONS ). Allergic: Fever combined with aching and sore throat, laryngospasm, respiratory distress. Hematologic: Agranulocytosis, thrombocytopenic or nonthrombocytopenic purpura. Gastrointestinal: Mesenteric artery thrombosis, ischemic colitis. The oculomucocutaneous syndrome associated with the beta-blocker practolol has not been reported with labetalol HCl. Clinical Laboratory Tests: There have been reversible increases of serum transaminases in 4% of patients treated with labetalol HCl and tested and, more rarely, reversible increases in blood urea.
How Supplied
Labetalol Hydrochloride Tablets USP for oral administration are available as: 300 mg: White to off-white, biconvex, film coated tablets with “ET22” debossed on one side and non-functional scoring on the other side and supplied as: NDC 63629-2055-1 bottles of 500 Labetalol Hydrochloride Tablets should be stored between 2° and 30°C (36° and 86°F). Dispense in a tight, light-resistant container as defined in the USP with a child-resistant closure as required. To report SUSPECTED ADVERSE REACTIONS, contact FDA at 1-800-FDA-1088 or www.fda.gov/medwatch or InvaTech Pharma Solutions, LLC at 1-844-369-4671.
Medication Information
Indications and Usage
Labetalol Hydrochloride Tablets are indicated in the management of hypertension. Labetalol Hydrochloride Tablets may be used alone or in combination with other antihypertensive agents, especially thiazide and loop diuretics.
Dosage and Administration
DOSAGE MUST BE INDIVIDUALIZED. The recommended initial dosage is 100 mg twice daily whether used alone or added to a diuretic regimen. After 2 or 3 days, using standing blood pressure as an indicator, dosage may be titrated in increments of 100 mg twice daily every 2 or 3 days. The usual maintenance dosage of labetalol HCl is between 200 and 400 mg twice daily. Since the full antihypertensive effect of labetalol HCl is usually seen within the first 1 to 3 hours of the initial dose or dose increment, the assurance of a lack of an exaggerated hypotensive response can be clinically established in the office setting. The antihypertensive effects of continued dosing can be measured at subsequent visits, approximately 12 hours after a dose, to determine whether further titration is necessary. Patients with severe hypertension may require from 1,200 to 2,400 mg per day, with or without thiazide diuretics. Should side effects (principally nausea or dizziness) occur with these doses administered twice daily, the same total daily dose administered three times daily may improve tolerability and facilitate further titration. Titration increments should not exceed 200 mg twice daily. When a diuretic is added, an additive antihypertensive effect can be expected. In some cases this may necessitate a labetalol HCl dosage adjustment. As with most antihypertensive drugs, optimal dosages of Labetalol Hydrochloride Tablets are usually lower in patients also receiving a diuretic. When transferring patients from other antihypertensive drugs, Labetalol Hydrochloride Tablets should be introduced as recommended and the dosage of the existing therapy progressively decreased. Elderly Patients: As in the general patient population, labetalol therapy may be initiated at 100 mg twice daily and titrated upwards in increments of 100 mg twice daily as required for control of blood pressure. Since some elderly patients eliminate labetalol more slowly, however, adequate control of blood pressure may be achieved at a lower maintenance dosage compared to the general population. The majority of elderly patients will require between 100 and 200 mg twice daily
Contraindications
Labetalol Hydrochloride Tablets are contraindicated in bronchial asthma, overt cardiac failure, greater-than-first-degree heart block, cardiogenic shock, severe bradycardia, other conditions associated with severe and prolonged hypotension, and in patients with a history of hypersensitivity to any component of the product (see WARNINGS ). Beta-blockers, even those with apparent cardioselectivity, should not be used in patients with a history of obstructive airway disease, including asthma.
Adverse Reactions
Most adverse effects are mild and transient and occur early in the course of treatment. In controlled clinical trials of 3 to 4 months' duration, discontinuation of Labetalol Hydrochloride Tablets due to one or more adverse effects was required in 7% of all patients. In these same trials, other agents with solely beta-blocking activity used in the control groups led to discontinuation in 8% to 10% of patients, and a centrally acting alpha-agonist led to discontinuation in 30% of patients. The incidence rates of adverse reactions listed in the following table were derived from multicenter, controlled clinical trials comparing labetalol HCl, placebo, metoprolol, and propranolol over treatment periods of 3 and 4 months. Where the frequency of adverse effects for labetalol HCl and placebo is similar, causal relationship is uncertain. The rates are based on adverse reactions considered probably drug related by the investigator. If all reports are considered, the rates are somewhat higher (e.g., dizziness, 20%; nausea, 14%; fatigue, 11%), but the overall conclusions are unchanged. Labetalol HCI Placebo Propranolol Metoprolol (n = 227) (n = 98) (n = 84) (n = 49) % % % % Body as a whole Fatigue 5 0 12 12 Asthenia 1 1 1 0 Headache 2 1 1 2 Gastrointestinal Nausea 6 1 1 2 Vomiting <1 0 0 0 Dyspepsia 3 1 1 0 Abdominal pain 0 0 1 2 Diarrhea <1 0 2 0 Taste distortion 1 0 0 0 Central and peripheral nervous systems Dizziness 11 3 4 4 Paresthesia <1 0 0 0 Drowsiness <1 2 2 2 Autonomic nervous system Nasal stuffiness 3 0 0 0 Ejaculation failure 2 0 0 0 Impotence 1 0 1 3 Increased sweating <1 0 0 0 Cardiovascular Edema 1 0 0 0 Postural hypotension 1 0 0 0 Bradycardia 0 0 5 12 Respiratory Dyspnea 2 0 1 2 Skin Rash 1 0 0 0 Special senses Vision abnormality 1 0 0 0 Vertigo 2 1 0 0 The adverse effects were reported spontaneously and are representative of the incidence of adverse effects that may be observed in a properly selected hypertensive patient population, i.e., a group excluding patients with bronchospastic disease, overt congestive heart failure, or other contraindications to beta-blocker therapy. Clinical trials also included studies utilizing daily doses up to 2,400 mg in more severely hypertensive patients. Certain of the side effects increased with increasing dose, as shown in the following table that depicts the entire US therapeutic trials data base for adverse reactions that are clearly or possibly dose related. Labetalol HCl Daily Dose (mg) 200 300 400 600 800 900 1,200 1,600 2,400 Number of patients 522 181 606 608 503 117 411 242 175 Dizziness (%) 2 3 3 3 5 1 9 13 16 Fatigue 2 1 4 4 5 3 7 6 10 Nausea <1 0 1 2 4 0 7 11 19 Vomiting 0 0 <1 <1 <1 0 1 2 3 Dyspepsia 1 0 2 1 1 0 2 2 4 Paresthesia 2 0 2 2 1 1 2 5 5 Nasal stuffiness 1 1 2 2 2 2 4 5 6 Ejaculation failure 0 2 1 2 3 0 4 3 5 Impotence 1 1 1 1 2 4 3 4 3 Edema 1 0 1 1 1 0 1 2 2 In addition, a number of other less common adverse events have been reported: Body as a Whole: Fever. Cardiovascular: Hypotension, and rarely, syncope, bradycardia, heart block. Central and Peripheral Nervous Systems: Paresthesia, most frequently described as scalp tingling. In most cases, it was mild and transient and usually occurred at the beginning of treatment. Collagen Disorders: Systemic lupus erythematosus, positive antinuclear factor. Eyes: Dry eyes. Immunological System: Antimitochondrial antibodies. Liver and Biliary System: Hepatic necrosis, hepatitis, cholestatic jaundice, elevated liver function tests. Musculoskeletal System: Muscle cramps, toxic myopathy. Respiratory System: Bronchospasm. Skin and Appendages: Rashes of various types, such as generalized maculopapular, lichenoid, urticarial, bullous lichen planus, psoriaform, and facial erythema; Peyronie's disease; reversible alopecia. Urinary System: Difficulty in micturition, including acute urinary bladder retention. Hypersensitivity: Rare reports of hypersensitivity (e.g., rash, urticaria, pruritus, angioedema, dyspnea) and anaphylactoid reactions. Following approval for marketing in the United Kingdom, a monitored release survey involving approximately 6,800 patients was conducted for further safety and efficacy evaluation of this product. Results of this survey indicate that the type, severity, and incidence of adverse effects were comparable to those cited above. Potential Adverse Effects: In addition, other adverse effects not listed above have been reported with other beta-adrenergic blocking agents. Central Nervous System: Reversible mental depression progressing to catatonia, an acute reversible syndrome characterized by disorientation for time and place, short-term memory loss, emotional lability, slightly clouded sensorium, and decreased performance on psychometrics. Cardiovascular: Intensification of A-V block (see CONTRAINDICATIONS ). Allergic: Fever combined with aching and sore throat, laryngospasm, respiratory distress. Hematologic: Agranulocytosis, thrombocytopenic or nonthrombocytopenic purpura. Gastrointestinal: Mesenteric artery thrombosis, ischemic colitis. The oculomucocutaneous syndrome associated with the beta-blocker practolol has not been reported with labetalol HCl. Clinical Laboratory Tests: There have been reversible increases of serum transaminases in 4% of patients treated with labetalol HCl and tested and, more rarely, reversible increases in blood urea.
How Supplied
Labetalol Hydrochloride Tablets USP for oral administration are available as: 300 mg: White to off-white, biconvex, film coated tablets with “ET22” debossed on one side and non-functional scoring on the other side and supplied as: NDC 63629-2055-1 bottles of 500 Labetalol Hydrochloride Tablets should be stored between 2° and 30°C (36° and 86°F). Dispense in a tight, light-resistant container as defined in the USP with a child-resistant closure as required. To report SUSPECTED ADVERSE REACTIONS, contact FDA at 1-800-FDA-1088 or www.fda.gov/medwatch or InvaTech Pharma Solutions, LLC at 1-844-369-4671.
Description
Labetalol Hydrochloride Tablets are adrenergic receptor blocking agents that have both selective alpha 1 -adrenergic and nonselective beta-adrenergic receptor blocking action in a single substance. Labetalol hydrochloride (HCl) is a racemate chemically designated as 2-hydroxy-5-[1-hydroxy-2-[(1 methyl-3-phenylpropyl)amino]ethyl]benzamide monohydrochloride, and it has the following structure: Labetalol HCl has the empirical formula C 19 H 24 N 2 O 3 •HCl and a molecular weight of 364.9. It has two asymmetric centers and therefore exists as a molecular complex of two diastereoisomeric pairs. Dilevalol, the R,R′ stereoisomer, makes up 25% of racemic labetalol. Labetalol HCl is a white or off-white crystalline powder, soluble in water. Labetalol HCl Tablets contain 100, 200, or 300 mg of labetalol HCl and are taken orally. The tablets also contain the inactive ingredients lactose monohydreate, magnesium stearate, pregelatinized corn starch, sodium starch glycolate. FDA approved dissolution test specifications differ from USP.
Section 42229-5
Pharmacokinetics and Metabolism: Labetalol HCl is completely absorbed from the gastrointestinal tract with peak plasma levels occurring 1 to 2 hours after oral administration. The relative bioavailability of labetalol HCl tablets compared to an oral solution is 100%. The absolute bioavailability (fraction of drug reaching systemic circulation) of labetalol when compared to an IV infusion is 25%; this is due to extensive "first-pass" metabolism. Despite "first-pass" metabolism, there is a linear relationship between oral doses of 100 to 3,000 mg and peak plasma levels. The absolute bioavailability of labetalol is increased when administered with food.
The plasma half-life of labetalol following oral administration is about 6 to 8 hours. Steady-state plasma levels of labetalol during repetitive dosing are reached by about the third day of dosing. In patients with decreased hepatic or renal function, the elimination half-life of labetalol is not altered; however, the relative bioavailability in hepatically impaired patients is increased due to decreased "first-pass" metabolism.
The metabolism of labetalol is mainly through conjugation to glucuronide metabolites. These metabolites are present in plasma and are excreted in the urine and, via the bile, into the feces. Approximately 55% to 60% of a dose appears in the urine as conjugates or unchanged labetalol within the first 24 hours of dosing.
Labetalol has been shown to cross the placental barrier in humans. Only negligible amounts of the drug crossed the blood-brain barrier in animal studies. Labetalol is approximately 50% protein bound. Neither hemodialysis nor peritoneal dialysis removes a significant amount of labetalol HCl from the general circulation (<1%).
Section 51945-4
Labetalol Hcl 300 mg Tab, #500
Overdosage:
Overdosage with labetalol HCl causes excessive hypotension that is posture sensitive and, sometimes, excessive bradycardia. Patients should be placed supine and their legs raised if necessary to improve the blood supply to the brain. If overdosage with labetalol HCl follows oral ingestion, gastric lavage or pharmacologically induced emesis (using syrup of ipecac) may be useful for removal of the drug shortly after ingestion. The following additional measures should be employed if necessary:
Excessive bradycardia—administer atropine or epinephrine.
Cardiac failure—administer a digitalis glycoside and a diuretic. Dopamine or dobutamine may also be useful.
Hypotension—administer vasopressors, e.g., norepinephrine. There is pharmacologic evidence that norepinephrine may be the drug of choice.
Bronchospasm—administer epinephrine and/or an aerosolized beta2-agonist.
Seizures—administer diazepam.
In severe beta-blocker overdose resulting in hypotension and/or bradycardia, glucagon has been shown to be effective when administered in large doses (5 to 10 mg rapidly over 30 seconds, followed by continuous infusion of 5 mg per hour that can be reduced as the patient improves).
Neither hemodialysis nor peritoneal dialysis removes a significant amount of labetalol HCl from the general circulation (<1%).
The oral LD 50 value of labetalol HCl in the mouse is approximately 600 mg/kg and in the rat is >2g/kg. The IV LD 50 in these species is 50 to 60 mg/kg.
Description:
Labetalol Hydrochloride Tablets are adrenergic receptor blocking agents that have both selective alpha1-adrenergic and nonselective beta-adrenergic receptor blocking action in a single substance.
Labetalol hydrochloride (HCl) is a racemate chemically designated as 2-hydroxy-5-[1-hydroxy-2-[(1 methyl-3-phenylpropyl)amino]ethyl]benzamide monohydrochloride, and it has the following structure:
Labetalol HCl has the empirical formula C19H24N2O3•HCl and a molecular weight of 364.9. It has two asymmetric centers and therefore exists as a molecular complex of two diastereoisomeric pairs.
Dilevalol, the R,R′ stereoisomer, makes up 25% of racemic labetalol.
Labetalol HCl is a white or off-white crystalline powder, soluble in water.
Labetalol HCl Tablets contain 100, 200, or 300 mg of labetalol HCl and are taken orally. The tablets also contain the inactive ingredients lactose monohydreate, magnesium stearate, pregelatinized corn starch, sodium starch glycolate.
FDA approved dissolution test specifications differ from USP.
Precautions:
General:
Impaired Hepatic Function: Labetalol Hydrochloride should be used with caution in patients with impaired hepatic function since metabolism of the drug may be diminished.
Intraoperative Floppy Iris Syndrome (IFIS) has been observed during cataract surgery in some patients treated with alpha-1 blockers (labetalol is an alpha/beta blocker). This variant of small pupil syndrome is characterized by the combination of a flaccid iris that billows in response to intraoperative irrigation currents, progressive intraoperative miosis despite preoperative dilation with standard mydriatic drugs, and potential prolapse of the iris toward the phacoemulsification incisions. The patient’s ophthalmologist should be prepared for possible modifications to the surgical technique, such as the utilization of iris hooks, irisdilator rings, or viscoelastic substances. There does not appear to be a benefit of stopping alpha-1 blocker therapy prior to cataract surgery.
Jaundice or Hepatic Dysfunction: (see WARNINGS ).
Information for Patients: As with all drugs with beta-blocking activity, certain advice to patients being treated with labetalol HCl is warranted. This information is intended to aid in the safe and effective use of this medication. It is not a disclosure of all possible adverse or intended effects. While no incident of the abrupt withdrawal phenomenon (exacerbation of angina pectoris) has been reported with labetalol HCl, dosing with Labetalol Hydrochloride Tablets should not be interrupted or discontinued without a physician's advice. Patients being treated with Labetalol Hydrochloride Tablets should consult a physician at any signs or symptoms of impending cardiac failure or hepatic dysfunction (see WARNINGS ). Also, transient scalp tingling may occur, usually when treatment with Labetalol Hydrochloride Tablets is initiated (see ADVERSE REACTIONS ).
Laboratory Tests: As with any new drug given over prolonged periods, laboratory parameters should be observed over regular intervals. In patients with concomitant illnesses, such as impaired renal function, appropriate tests should be done to monitor these conditions.
Drug Interactions: In one survey, 2.3% of patients taking labetalol HCl in combination with tricyclic antidepressants experienced tremor, as compared to 0.7% reported to occur with labetalol HCl alone. The contribution of each of the treatments to this adverse reaction is unknown, but the possibility of a drug interaction cannot be excluded.
Drugs possessing beta-blocking properties can blunt the bronchodilator effect of beta-receptor agonist drugs in patients with bronchospasm; therefore, doses greater than the normal antiasthmatic dose of beta- agonist bronchodilator drugs may be required.
Cimetidine has been shown to increase the bioavailability of labetalol HCl. Since this could be explained either by enhanced absorption or by an alteration of hepatic metabolism of labetalol HCl, special care should be used in establishing the dose required for blood pressure control in such patients.
Synergism has been shown between halothane anesthesia and intravenously administered labetalol HCl. During controlled hypotensive anesthesia using labetalol HCl in association with halothane, high concentrations (3% or above) of halothane should not be used because the degree of hypotension will be increased and because of the possibility of a large reduction in cardiac output and an increase in central venous pressure. The anesthesiologist should be informed when a patient is receiving labetalol HCl.
Labetalol HCl blunts the reflex tachycardia produced by nitroglycerin without preventing its hypotensive effect. If labetalol HCl is used with nitroglycerin in patients with angina pectoris, additional antihypertensive effects may occur.
Care should be taken if labetalol is used concomitantly with calcium antagonists of the verapamil type.
Both digitalis glycosides and beta-blockers slow atrioventricular conduction and decrease heart rate. Concomitant use can increase the risk of bradycardia.
Risk of Anaphylactic Reaction: While taking beta-blockers, patients with a history of severe anaphylactic reaction to a variety of allergens may be more reactive to repeated challenge, either accidental, diagnostic, or therapeutic. Such patients may be unresponsive to the usual doses of epinephrine used to treat allergic reaction.
Drug/Laboratory Test Interactions: The presence of labetalol metabolites in the urine may result in falsely elevated levels of urinary catecholamines, metanephrine, normetanephrine, and vanillylmandelic acid when measured by fluorimetric or photometric methods. In screening patients suspected of having a pheochromocytoma and being treated with labetalol HCl, a specific method, such as a high performance liquid chromatographic assay with solid phase extraction (e.g., J Chromatogr 385:241,1987) should be employed in determining levels of catecholamines.
Labetalol HCl has also been reported to produce a false-positive test for amphetamine when screening urine for the presence of drugs using the commercially available assay methods TOXI-LAB® A (thin layer chromatographic assay) and EMIT-d.a.u.® (radioenzymatic assay). When patients being treated with labetalol have a positive urine test for amphetamine using these techniques, confirmation should be made by using more specific methods, such as a gas chromatographic-mass spectrometer technique.
Carcinogenesis, Mutagenesis, Impairment of Fertility: Long-term oral dosing studies with labetalol HCl for 18 months in mice and for 2 years in rats showed no evidence of carcinogenesis. Studies with labetalol HCl using dominant lethal assays in rats and mice and exposing microorganisms according to modified Ames tests showed no evidence of mutagenesis.
Pregnancy: Teratogenic Effects: Pregnancy Category C: Teratogenic studies were performed with labetalol in rats and rabbits at oral doses up to approximately six and four times the maximum recommended human dose (MRHD), respectively. No reproducible evidence of fetal malformations was observed. Increased fetal resorptions were seen in both species at doses approximating the MRHD. A teratology study performed with labetalol in rabbits at IV doses up to 1.7 times the MRHD revealed no evidence of drug-related harm to the fetus. There are no adequate and well-controlled studies in pregnant women. Labetalol should be used during pregnancy only if the potential benefit justifies the potential risk to the fetus.
Nonteratogenic Effects: Hypotension, bradycardia, hypoglycemia, and respiratory depression have been reported in infants of mothers who were treated with labetalol HCl for hypertension during pregnancy. Oral administration of labetalol to rats during late gestation through weaning at doses of two to four times the MRHD caused a decrease in neonatal survival.
Labor and Delivery: Labetalol HCl given to pregnant women with hypertension did not appear to affect the usual course of labor and delivery.
Nursing Mothers: Small amounts of labetalol (approximately 0.004% of the maternal dose) are excreted in human milk. Caution should be exercised when Labetalol Hydrochloride Tablets are administered to a nursing woman.
Pediatric Use: Safety and effectiveness in pediatric patients have not been established.
Elderly Patients: As in the general population, some elderly patients (60 years of age and older) have experienced orthostatic hypotension, dizziness, or lightheadedness during treatment with labetalol. Because elderly patients are generally more likely than younger patients to experience orthostatic symptoms, they should be cautioned about the possibility of such side effects during treatment with labetalol.
How Supplied:
Labetalol Hydrochloride Tablets USP for oral administration are available as:
300 mg: White to off-white, biconvex, film coated tablets with “ET22” debossed on one side and non-functional scoring on the other side and supplied as:
NDC 63629-2055-1 bottles of 500
Labetalol Hydrochloride Tablets should be stored between 2° and 30°C (36° and 86°F).
Dispense in a tight, light-resistant container as defined in the USP with a child-resistant closure as required.
To report SUSPECTED ADVERSE REACTIONS, contact FDA at 1-800-FDA-1088 or www.fda.gov/medwatch or InvaTech Pharma Solutions, LLC at 1-844-369-4671.
Adverse Reactions:
Most adverse effects are mild and transient and occur early in the course of treatment. In controlled clinical trials of 3 to 4 months' duration, discontinuation of Labetalol Hydrochloride Tablets due to one or more adverse effects was required in 7% of all patients. In these same trials, other agents with solely beta-blocking activity used in the control groups led to discontinuation in 8% to 10% of patients, and a centrally acting alpha-agonist led to discontinuation in 30% of patients.
The incidence rates of adverse reactions listed in the following table were derived from multicenter, controlled clinical trials comparing labetalol HCl, placebo, metoprolol, and propranolol over treatment periods of 3 and 4 months. Where the frequency of adverse effects for labetalol HCl and placebo is similar, causal relationship is uncertain. The rates are based on adverse reactions considered probably drug related by the investigator. If all reports are considered, the rates are somewhat higher (e.g., dizziness, 20%; nausea, 14%; fatigue, 11%), but the overall conclusions are unchanged.
|
Labetalol HCI |
Placebo |
Propranolol |
Metoprolol |
|
|
(n = 227) |
(n = 98) |
(n = 84) |
(n = 49) |
|
|
% |
% |
% |
% |
|
|
Body as a whole |
||||
|
Fatigue |
5 |
0 |
12 |
12 |
|
Asthenia |
1 |
1 |
1 |
0 |
|
Headache |
2 |
1 |
1 |
2 |
|
Gastrointestinal |
||||
|
Nausea |
6 |
1 |
1 |
2 |
|
Vomiting |
<1 |
0 |
0 |
0 |
|
Dyspepsia |
3 |
1 |
1 |
0 |
|
Abdominal pain |
0 |
0 |
1 |
2 |
|
Diarrhea |
<1 |
0 |
2 |
0 |
|
Taste distortion |
1 |
0 |
0 |
0 |
|
Central and peripheral nervous systems |
||||
|
Dizziness |
11 |
3 |
4 |
4 |
|
Paresthesia |
<1 |
0 |
0 |
0 |
|
Drowsiness |
<1 |
2 |
2 |
2 |
|
Autonomic nervous system |
||||
|
Nasal stuffiness |
3 |
0 |
0 |
0 |
|
Ejaculation failure |
2 |
0 |
0 |
0 |
|
Impotence |
1 |
0 |
1 |
3 |
|
Increased sweating |
<1 |
0 |
0 |
0 |
|
Cardiovascular |
||||
|
Edema |
1 |
0 |
0 |
0 |
|
Postural hypotension |
1 |
0 |
0 |
0 |
|
Bradycardia |
0 |
0 |
5 |
12 |
|
Respiratory |
||||
|
Dyspnea |
2 |
0 |
1 |
2 |
|
Skin |
||||
|
Rash |
1 |
0 |
0 |
0 |
|
Special senses |
||||
|
Vision abnormality |
1 |
0 |
0 |
0 |
|
Vertigo |
2 |
1 |
0 |
0 |
The adverse effects were reported spontaneously and are representative of the incidence of adverse effects that may be observed in a properly selected hypertensive patient population, i.e., a group excluding patients with bronchospastic disease, overt congestive heart failure, or other contraindications to beta-blocker therapy.
Clinical trials also included studies utilizing daily doses up to 2,400 mg in more severely hypertensive patients. Certain of the side effects increased with increasing dose, as shown in the following table that depicts the entire US therapeutic trials data base for adverse reactions that are clearly or possibly dose related.
|
Labetalol HCl |
200 |
300 |
400 |
600 |
800 |
900 |
1,200 |
1,600 |
2,400 |
|
Number of patients |
522 |
181 |
606 |
608 |
503 |
117 |
411 |
242 |
175 |
|
Dizziness (%) |
2 |
3 |
3 |
3 |
5 |
1 |
9 |
13 |
16 |
|
Fatigue |
2 |
1 |
4 |
4 |
5 |
3 |
7 |
6 |
10 |
|
Nausea |
<1 |
0 |
1 |
2 |
4 |
0 |
7 |
11 |
19 |
|
Vomiting |
0 |
0 |
<1 |
<1 |
<1 |
0 |
1 |
2 |
3 |
|
Dyspepsia |
1 |
0 |
2 |
1 |
1 |
0 |
2 |
2 |
4 |
|
Paresthesia |
2 |
0 |
2 |
2 |
1 |
1 |
2 |
5 |
5 |
|
Nasal stuffiness |
1 |
1 |
2 |
2 |
2 |
2 |
4 |
5 |
6 |
|
Ejaculation failure |
0 |
2 |
1 |
2 |
3 |
0 |
4 |
3 |
5 |
|
Impotence |
1 |
1 |
1 |
1 |
2 |
4 |
3 |
4 |
3 |
|
Edema |
1 |
0 |
1 |
1 |
1 |
0 |
1 |
2 |
2 |
In addition, a number of other less common adverse events have been reported:
Body as a Whole: Fever.
Cardiovascular: Hypotension, and rarely, syncope, bradycardia, heart block.
Central and Peripheral Nervous Systems: Paresthesia, most frequently described as scalp tingling. In most cases, it was mild and transient and usually occurred at the beginning of treatment.
Collagen Disorders: Systemic lupus erythematosus, positive antinuclear factor.
Eyes: Dry eyes.
Immunological System: Antimitochondrial antibodies.
Liver and Biliary System: Hepatic necrosis, hepatitis, cholestatic jaundice, elevated liver function tests.
Musculoskeletal System: Muscle cramps, toxic myopathy.
Respiratory System: Bronchospasm.
Skin and Appendages: Rashes of various types, such as generalized maculopapular, lichenoid, urticarial, bullous lichen planus, psoriaform, and facial erythema; Peyronie's disease; reversible alopecia.
Urinary System: Difficulty in micturition, including acute urinary bladder retention.
Hypersensitivity: Rare reports of hypersensitivity (e.g., rash, urticaria, pruritus, angioedema, dyspnea) and anaphylactoid reactions.
Following approval for marketing in the United Kingdom, a monitored release survey involving approximately 6,800 patients was conducted for further safety and efficacy evaluation of this product. Results of this survey indicate that the type, severity, and incidence of adverse effects were comparable to those cited above.
Potential Adverse Effects: In addition, other adverse effects not listed above have been reported with other beta-adrenergic blocking agents.
Central Nervous System: Reversible mental depression progressing to catatonia, an acute reversible syndrome characterized by disorientation for time and place, short-term memory loss, emotional lability, slightly clouded sensorium, and decreased performance on psychometrics.
Cardiovascular: Intensification of A-V block (see CONTRAINDICATIONS ).
Allergic: Fever combined with aching and sore throat, laryngospasm, respiratory distress.
Hematologic: Agranulocytosis, thrombocytopenic or nonthrombocytopenic purpura.
Gastrointestinal: Mesenteric artery thrombosis, ischemic colitis.
The oculomucocutaneous syndrome associated with the beta-blocker practolol has not been reported with labetalol HCl.
Clinical Laboratory Tests: There have been reversible increases of serum transaminases in 4% of patients treated with labetalol HCl and tested and, more rarely, reversible increases in blood urea.
Contraindications:
Labetalol Hydrochloride Tablets are contraindicated in bronchial asthma, overt cardiac failure, greater-than-first-degree heart block, cardiogenic shock, severe bradycardia, other conditions associated with severe and prolonged hypotension, and in patients with a history of hypersensitivity to any component of the product (see WARNINGS ).
Beta-blockers, even those with apparent cardioselectivity, should not be used in patients with a history of obstructive airway disease, including asthma.
Clinical Pharmacology:
Labetalol HCl combines both selective, competitive, alpha1-adrenergic blocking and nonselective, competitive, beta-adrenergic blocking activity in a single substance. In man, the ratios of alpha- to beta-blockade have been estimated to be approximately 1:3 and 1:7 following oral and intravenous (IV) administration, respectively. Beta2-agonist activity has been demonstrated in animals with minimal beta1-agonist (ISA) activity detected. In animals, at doses greater than those required for alpha- or beta-adrenergic blockade, a membrane stabilizing effect has been demonstrated.
Pharmacodynamics: The capacity of labetalol HCl to block alpha receptors in man has been demonstrated by attenuation of the pressor effect of phenylephrine and by a significant reduction of the pressor response caused by immersing the hand in ice-cold water ("cold-pressor test"). Labetalol HCl's beta1-receptor blockade in man was demonstrated by a small decrease in the resting heart rate, attenuation of tachycardia produced by isoproterenol or exercise, and by attenuation of the reflex tachycardia to the hypotension produced by amyl nitrite. Beta2-receptor blockade was demonstrated by inhibition of the isoproterenol-induced fall in diastolic blood pressure. Both the alpha- and beta-blocking actions of orally administered labetalol HCl contribute to a decrease in blood pressure in hypertensive patients. Labetalol HCl consistently, in dose-related fashion, blunted increases in exercise-induced blood pressure and heart rate, and in their double product. The pulmonary circulation during exercise was not affected by labetalol HCl dosing.
Single oral doses of labetalol HCl administered to patients with coronary artery disease had no significant effect on sinus rate, intraventricular conduction, or QRS duration. The atrioventricular (A-V) conduction time was modestly prolonged in two of seven patients. In another study, IV labetalol HCl slightly prolonged A-V nodal conduction time and atrial effective refractory period with only small changes in heart rate. The effects on A-V nodal refractoriness were inconsistent.
Labetalol HCl produces dose-related falls in blood pressure without reflex tachycardia and without significant reduction in heart rate, presumably through a mixture of its alpha- and beta-blocking effects. Hemodynamic effects are variable, with small, nonsignificant changes in cardiac output seen in some studies but not others, and small decreases in total peripheral resistance. Elevated plasma renins are reduced.
Doses of labetalol HCl that controlled hypertension did not affect renal function in mildly to severely hypertensive patients with normal renal function.
Due to the alpha1-receptor blocking activity of labetalol HCl, blood pressure is lowered more in the standing than in the supine position, and symptoms of postural hypotension (2%), including rare instances of syncope, can occur. Following oral administration, when postural hypotension has occurred, it has been transient and is uncommon when the recommended starting dose and titration increments are closely followed (see DOSAGE AND ADMINISTRATION ). Symptomatic postural hypotension is most likely to occur 2 to 4 hours after a dose, especially following the use of large initial doses or upon large changes in dose.
The peak effects of single oral doses of labetalol HCl occur within 2 to 4 hours. The duration of effect depends upon dose, lasting at least 8 hours following single oral doses of 100 mg and more than 12 hours following single oral doses of 300 mg. The maximum, steady-state blood pressure response upon oral, twice-a-day dosing occurs within 24 to 72 hours.
The antihypertensive effect of labetalol has a linear correlation with the logarithm of labetalol plasma concentration, and there is also a linear correlation between the reduction in exercise-induced tachycardia occurring at 2 hours after oral administration of labetalol HCl and the logarithm of the plasma concentration.
About 70% of the maximum beta-blocking effect is present for 5 hours after the administration of a single oral dose of 400 mg with suggestion that about 40% remains at 8 hours.
The antianginal efficacy of labetalol HCl has not been studied. In 37 patients with hypertension and coronary artery disease, labetalol HCl did not increase the incidence or severity of angina attacks.
Exacerbation of angina and, in some cases, myocardial infarction and ventricular dysrhythmias have been reported after abrupt discontinuation of therapy with beta-adrenergic blocking agents in patients with coronary artery disease. Abrupt withdrawal of these agents in patients without coronary artery disease has resulted in transient symptoms, including tremulousness, sweating, palpitation, headache, and malaise. Several mechanisms have been proposed to explain these phenomena, among them increased sensitivity to catecholamines because of increased numbers of beta receptors.
Although beta-adrenergic receptor blockade is useful in the treatment of angina and hypertension, there are also situations in which sympathetic stimulation is vital. For example, in patients with severely damaged hearts, adequate ventricular function may depend on sympathetic drive. Beta-adrenergic blockade may worsen A-V block by preventing the necessary facilitating effects of sympathetic activity on conduction. Beta2-adrenergic blockade results in passive bronchial constriction by interfering with endogenous adrenergic bronchodilator activity in patients subject to bronchospasm, and it may also interfere with exogenous bronchodilators in such patients.
Indications and Usage:
Labetalol Hydrochloride Tablets are indicated in the management of hypertension. Labetalol Hydrochloride Tablets may be used alone or in combination with other antihypertensive agents, especially thiazide and loop diuretics.
dosage and Administration:
DOSAGE MUST BE INDIVIDUALIZED. The recommended initial dosage is 100 mg twice daily whether used alone or added to a diuretic regimen. After 2 or 3 days, using standing blood pressure as an indicator, dosage may be titrated in increments of 100 mg twice daily every 2 or 3 days. The usual maintenance dosage of labetalol HCl is between 200 and 400 mg twice daily.
Since the full antihypertensive effect of labetalol HCl is usually seen within the first 1 to 3 hours of the initial dose or dose increment, the assurance of a lack of an exaggerated hypotensive response can be clinically established in the office setting. The antihypertensive effects of continued dosing can be measured at subsequent visits, approximately 12 hours after a dose, to determine whether further titration is necessary.
Patients with severe hypertension may require from 1,200 to 2,400 mg per day, with or without thiazide diuretics. Should side effects (principally nausea or dizziness) occur with these doses administered twice daily, the same total daily dose administered three times daily may improve tolerability and facilitate further titration. Titration increments should not exceed 200 mg twice daily.
When a diuretic is added, an additive antihypertensive effect can be expected. In some cases this may necessitate a labetalol HCl dosage adjustment. As with most antihypertensive drugs, optimal dosages of Labetalol Hydrochloride Tablets are usually lower in patients also receiving a diuretic.
When transferring patients from other antihypertensive drugs, Labetalol Hydrochloride Tablets should be introduced as recommended and the dosage of the existing therapy progressively decreased.
Elderly Patients: As in the general patient population, labetalol therapy may be initiated at 100 mg twice daily and titrated upwards in increments of 100 mg twice daily as required for control of blood pressure. Since some elderly patients eliminate labetalol more slowly, however, adequate control of blood pressure may be achieved at a lower maintenance dosage compared to the general population. The majority of elderly patients will require between 100 and 200 mg twice daily
Structured Label Content
Section 42229-5 (42229-5)
Pharmacokinetics and Metabolism: Labetalol HCl is completely absorbed from the gastrointestinal tract with peak plasma levels occurring 1 to 2 hours after oral administration. The relative bioavailability of labetalol HCl tablets compared to an oral solution is 100%. The absolute bioavailability (fraction of drug reaching systemic circulation) of labetalol when compared to an IV infusion is 25%; this is due to extensive "first-pass" metabolism. Despite "first-pass" metabolism, there is a linear relationship between oral doses of 100 to 3,000 mg and peak plasma levels. The absolute bioavailability of labetalol is increased when administered with food.
The plasma half-life of labetalol following oral administration is about 6 to 8 hours. Steady-state plasma levels of labetalol during repetitive dosing are reached by about the third day of dosing. In patients with decreased hepatic or renal function, the elimination half-life of labetalol is not altered; however, the relative bioavailability in hepatically impaired patients is increased due to decreased "first-pass" metabolism.
The metabolism of labetalol is mainly through conjugation to glucuronide metabolites. These metabolites are present in plasma and are excreted in the urine and, via the bile, into the feces. Approximately 55% to 60% of a dose appears in the urine as conjugates or unchanged labetalol within the first 24 hours of dosing.
Labetalol has been shown to cross the placental barrier in humans. Only negligible amounts of the drug crossed the blood-brain barrier in animal studies. Labetalol is approximately 50% protein bound. Neither hemodialysis nor peritoneal dialysis removes a significant amount of labetalol HCl from the general circulation (<1%).
Section 51945-4 (51945-4)
Labetalol Hcl 300 mg Tab, #500
Overdosage: (OVERDOSAGE:)
Overdosage with labetalol HCl causes excessive hypotension that is posture sensitive and, sometimes, excessive bradycardia. Patients should be placed supine and their legs raised if necessary to improve the blood supply to the brain. If overdosage with labetalol HCl follows oral ingestion, gastric lavage or pharmacologically induced emesis (using syrup of ipecac) may be useful for removal of the drug shortly after ingestion. The following additional measures should be employed if necessary:
Excessive bradycardia—administer atropine or epinephrine.
Cardiac failure—administer a digitalis glycoside and a diuretic. Dopamine or dobutamine may also be useful.
Hypotension—administer vasopressors, e.g., norepinephrine. There is pharmacologic evidence that norepinephrine may be the drug of choice.
Bronchospasm—administer epinephrine and/or an aerosolized beta2-agonist.
Seizures—administer diazepam.
In severe beta-blocker overdose resulting in hypotension and/or bradycardia, glucagon has been shown to be effective when administered in large doses (5 to 10 mg rapidly over 30 seconds, followed by continuous infusion of 5 mg per hour that can be reduced as the patient improves).
Neither hemodialysis nor peritoneal dialysis removes a significant amount of labetalol HCl from the general circulation (<1%).
The oral LD 50 value of labetalol HCl in the mouse is approximately 600 mg/kg and in the rat is >2g/kg. The IV LD 50 in these species is 50 to 60 mg/kg.
Description: (DESCRIPTION:)
Labetalol Hydrochloride Tablets are adrenergic receptor blocking agents that have both selective alpha1-adrenergic and nonselective beta-adrenergic receptor blocking action in a single substance.
Labetalol hydrochloride (HCl) is a racemate chemically designated as 2-hydroxy-5-[1-hydroxy-2-[(1 methyl-3-phenylpropyl)amino]ethyl]benzamide monohydrochloride, and it has the following structure:
Labetalol HCl has the empirical formula C19H24N2O3•HCl and a molecular weight of 364.9. It has two asymmetric centers and therefore exists as a molecular complex of two diastereoisomeric pairs.
Dilevalol, the R,R′ stereoisomer, makes up 25% of racemic labetalol.
Labetalol HCl is a white or off-white crystalline powder, soluble in water.
Labetalol HCl Tablets contain 100, 200, or 300 mg of labetalol HCl and are taken orally. The tablets also contain the inactive ingredients lactose monohydreate, magnesium stearate, pregelatinized corn starch, sodium starch glycolate.
FDA approved dissolution test specifications differ from USP.
Precautions: (PRECAUTIONS:)
General:
Impaired Hepatic Function: Labetalol Hydrochloride should be used with caution in patients with impaired hepatic function since metabolism of the drug may be diminished.
Intraoperative Floppy Iris Syndrome (IFIS) has been observed during cataract surgery in some patients treated with alpha-1 blockers (labetalol is an alpha/beta blocker). This variant of small pupil syndrome is characterized by the combination of a flaccid iris that billows in response to intraoperative irrigation currents, progressive intraoperative miosis despite preoperative dilation with standard mydriatic drugs, and potential prolapse of the iris toward the phacoemulsification incisions. The patient’s ophthalmologist should be prepared for possible modifications to the surgical technique, such as the utilization of iris hooks, irisdilator rings, or viscoelastic substances. There does not appear to be a benefit of stopping alpha-1 blocker therapy prior to cataract surgery.
Jaundice or Hepatic Dysfunction: (see WARNINGS ).
Information for Patients: As with all drugs with beta-blocking activity, certain advice to patients being treated with labetalol HCl is warranted. This information is intended to aid in the safe and effective use of this medication. It is not a disclosure of all possible adverse or intended effects. While no incident of the abrupt withdrawal phenomenon (exacerbation of angina pectoris) has been reported with labetalol HCl, dosing with Labetalol Hydrochloride Tablets should not be interrupted or discontinued without a physician's advice. Patients being treated with Labetalol Hydrochloride Tablets should consult a physician at any signs or symptoms of impending cardiac failure or hepatic dysfunction (see WARNINGS ). Also, transient scalp tingling may occur, usually when treatment with Labetalol Hydrochloride Tablets is initiated (see ADVERSE REACTIONS ).
Laboratory Tests: As with any new drug given over prolonged periods, laboratory parameters should be observed over regular intervals. In patients with concomitant illnesses, such as impaired renal function, appropriate tests should be done to monitor these conditions.
Drug Interactions: In one survey, 2.3% of patients taking labetalol HCl in combination with tricyclic antidepressants experienced tremor, as compared to 0.7% reported to occur with labetalol HCl alone. The contribution of each of the treatments to this adverse reaction is unknown, but the possibility of a drug interaction cannot be excluded.
Drugs possessing beta-blocking properties can blunt the bronchodilator effect of beta-receptor agonist drugs in patients with bronchospasm; therefore, doses greater than the normal antiasthmatic dose of beta- agonist bronchodilator drugs may be required.
Cimetidine has been shown to increase the bioavailability of labetalol HCl. Since this could be explained either by enhanced absorption or by an alteration of hepatic metabolism of labetalol HCl, special care should be used in establishing the dose required for blood pressure control in such patients.
Synergism has been shown between halothane anesthesia and intravenously administered labetalol HCl. During controlled hypotensive anesthesia using labetalol HCl in association with halothane, high concentrations (3% or above) of halothane should not be used because the degree of hypotension will be increased and because of the possibility of a large reduction in cardiac output and an increase in central venous pressure. The anesthesiologist should be informed when a patient is receiving labetalol HCl.
Labetalol HCl blunts the reflex tachycardia produced by nitroglycerin without preventing its hypotensive effect. If labetalol HCl is used with nitroglycerin in patients with angina pectoris, additional antihypertensive effects may occur.
Care should be taken if labetalol is used concomitantly with calcium antagonists of the verapamil type.
Both digitalis glycosides and beta-blockers slow atrioventricular conduction and decrease heart rate. Concomitant use can increase the risk of bradycardia.
Risk of Anaphylactic Reaction: While taking beta-blockers, patients with a history of severe anaphylactic reaction to a variety of allergens may be more reactive to repeated challenge, either accidental, diagnostic, or therapeutic. Such patients may be unresponsive to the usual doses of epinephrine used to treat allergic reaction.
Drug/Laboratory Test Interactions: The presence of labetalol metabolites in the urine may result in falsely elevated levels of urinary catecholamines, metanephrine, normetanephrine, and vanillylmandelic acid when measured by fluorimetric or photometric methods. In screening patients suspected of having a pheochromocytoma and being treated with labetalol HCl, a specific method, such as a high performance liquid chromatographic assay with solid phase extraction (e.g., J Chromatogr 385:241,1987) should be employed in determining levels of catecholamines.
Labetalol HCl has also been reported to produce a false-positive test for amphetamine when screening urine for the presence of drugs using the commercially available assay methods TOXI-LAB® A (thin layer chromatographic assay) and EMIT-d.a.u.® (radioenzymatic assay). When patients being treated with labetalol have a positive urine test for amphetamine using these techniques, confirmation should be made by using more specific methods, such as a gas chromatographic-mass spectrometer technique.
Carcinogenesis, Mutagenesis, Impairment of Fertility: Long-term oral dosing studies with labetalol HCl for 18 months in mice and for 2 years in rats showed no evidence of carcinogenesis. Studies with labetalol HCl using dominant lethal assays in rats and mice and exposing microorganisms according to modified Ames tests showed no evidence of mutagenesis.
Pregnancy: Teratogenic Effects: Pregnancy Category C: Teratogenic studies were performed with labetalol in rats and rabbits at oral doses up to approximately six and four times the maximum recommended human dose (MRHD), respectively. No reproducible evidence of fetal malformations was observed. Increased fetal resorptions were seen in both species at doses approximating the MRHD. A teratology study performed with labetalol in rabbits at IV doses up to 1.7 times the MRHD revealed no evidence of drug-related harm to the fetus. There are no adequate and well-controlled studies in pregnant women. Labetalol should be used during pregnancy only if the potential benefit justifies the potential risk to the fetus.
Nonteratogenic Effects: Hypotension, bradycardia, hypoglycemia, and respiratory depression have been reported in infants of mothers who were treated with labetalol HCl for hypertension during pregnancy. Oral administration of labetalol to rats during late gestation through weaning at doses of two to four times the MRHD caused a decrease in neonatal survival.
Labor and Delivery: Labetalol HCl given to pregnant women with hypertension did not appear to affect the usual course of labor and delivery.
Nursing Mothers: Small amounts of labetalol (approximately 0.004% of the maternal dose) are excreted in human milk. Caution should be exercised when Labetalol Hydrochloride Tablets are administered to a nursing woman.
Pediatric Use: Safety and effectiveness in pediatric patients have not been established.
Elderly Patients: As in the general population, some elderly patients (60 years of age and older) have experienced orthostatic hypotension, dizziness, or lightheadedness during treatment with labetalol. Because elderly patients are generally more likely than younger patients to experience orthostatic symptoms, they should be cautioned about the possibility of such side effects during treatment with labetalol.
How Supplied: (HOW SUPPLIED:)
Labetalol Hydrochloride Tablets USP for oral administration are available as:
300 mg: White to off-white, biconvex, film coated tablets with “ET22” debossed on one side and non-functional scoring on the other side and supplied as:
NDC 63629-2055-1 bottles of 500
Labetalol Hydrochloride Tablets should be stored between 2° and 30°C (36° and 86°F).
Dispense in a tight, light-resistant container as defined in the USP with a child-resistant closure as required.
To report SUSPECTED ADVERSE REACTIONS, contact FDA at 1-800-FDA-1088 or www.fda.gov/medwatch or InvaTech Pharma Solutions, LLC at 1-844-369-4671.
Adverse Reactions: (ADVERSE REACTIONS:)
Most adverse effects are mild and transient and occur early in the course of treatment. In controlled clinical trials of 3 to 4 months' duration, discontinuation of Labetalol Hydrochloride Tablets due to one or more adverse effects was required in 7% of all patients. In these same trials, other agents with solely beta-blocking activity used in the control groups led to discontinuation in 8% to 10% of patients, and a centrally acting alpha-agonist led to discontinuation in 30% of patients.
The incidence rates of adverse reactions listed in the following table were derived from multicenter, controlled clinical trials comparing labetalol HCl, placebo, metoprolol, and propranolol over treatment periods of 3 and 4 months. Where the frequency of adverse effects for labetalol HCl and placebo is similar, causal relationship is uncertain. The rates are based on adverse reactions considered probably drug related by the investigator. If all reports are considered, the rates are somewhat higher (e.g., dizziness, 20%; nausea, 14%; fatigue, 11%), but the overall conclusions are unchanged.
|
Labetalol HCI |
Placebo |
Propranolol |
Metoprolol |
|
|
(n = 227) |
(n = 98) |
(n = 84) |
(n = 49) |
|
|
% |
% |
% |
% |
|
|
Body as a whole |
||||
|
Fatigue |
5 |
0 |
12 |
12 |
|
Asthenia |
1 |
1 |
1 |
0 |
|
Headache |
2 |
1 |
1 |
2 |
|
Gastrointestinal |
||||
|
Nausea |
6 |
1 |
1 |
2 |
|
Vomiting |
<1 |
0 |
0 |
0 |
|
Dyspepsia |
3 |
1 |
1 |
0 |
|
Abdominal pain |
0 |
0 |
1 |
2 |
|
Diarrhea |
<1 |
0 |
2 |
0 |
|
Taste distortion |
1 |
0 |
0 |
0 |
|
Central and peripheral nervous systems |
||||
|
Dizziness |
11 |
3 |
4 |
4 |
|
Paresthesia |
<1 |
0 |
0 |
0 |
|
Drowsiness |
<1 |
2 |
2 |
2 |
|
Autonomic nervous system |
||||
|
Nasal stuffiness |
3 |
0 |
0 |
0 |
|
Ejaculation failure |
2 |
0 |
0 |
0 |
|
Impotence |
1 |
0 |
1 |
3 |
|
Increased sweating |
<1 |
0 |
0 |
0 |
|
Cardiovascular |
||||
|
Edema |
1 |
0 |
0 |
0 |
|
Postural hypotension |
1 |
0 |
0 |
0 |
|
Bradycardia |
0 |
0 |
5 |
12 |
|
Respiratory |
||||
|
Dyspnea |
2 |
0 |
1 |
2 |
|
Skin |
||||
|
Rash |
1 |
0 |
0 |
0 |
|
Special senses |
||||
|
Vision abnormality |
1 |
0 |
0 |
0 |
|
Vertigo |
2 |
1 |
0 |
0 |
The adverse effects were reported spontaneously and are representative of the incidence of adverse effects that may be observed in a properly selected hypertensive patient population, i.e., a group excluding patients with bronchospastic disease, overt congestive heart failure, or other contraindications to beta-blocker therapy.
Clinical trials also included studies utilizing daily doses up to 2,400 mg in more severely hypertensive patients. Certain of the side effects increased with increasing dose, as shown in the following table that depicts the entire US therapeutic trials data base for adverse reactions that are clearly or possibly dose related.
|
Labetalol HCl |
200 |
300 |
400 |
600 |
800 |
900 |
1,200 |
1,600 |
2,400 |
|
Number of patients |
522 |
181 |
606 |
608 |
503 |
117 |
411 |
242 |
175 |
|
Dizziness (%) |
2 |
3 |
3 |
3 |
5 |
1 |
9 |
13 |
16 |
|
Fatigue |
2 |
1 |
4 |
4 |
5 |
3 |
7 |
6 |
10 |
|
Nausea |
<1 |
0 |
1 |
2 |
4 |
0 |
7 |
11 |
19 |
|
Vomiting |
0 |
0 |
<1 |
<1 |
<1 |
0 |
1 |
2 |
3 |
|
Dyspepsia |
1 |
0 |
2 |
1 |
1 |
0 |
2 |
2 |
4 |
|
Paresthesia |
2 |
0 |
2 |
2 |
1 |
1 |
2 |
5 |
5 |
|
Nasal stuffiness |
1 |
1 |
2 |
2 |
2 |
2 |
4 |
5 |
6 |
|
Ejaculation failure |
0 |
2 |
1 |
2 |
3 |
0 |
4 |
3 |
5 |
|
Impotence |
1 |
1 |
1 |
1 |
2 |
4 |
3 |
4 |
3 |
|
Edema |
1 |
0 |
1 |
1 |
1 |
0 |
1 |
2 |
2 |
In addition, a number of other less common adverse events have been reported:
Body as a Whole: Fever.
Cardiovascular: Hypotension, and rarely, syncope, bradycardia, heart block.
Central and Peripheral Nervous Systems: Paresthesia, most frequently described as scalp tingling. In most cases, it was mild and transient and usually occurred at the beginning of treatment.
Collagen Disorders: Systemic lupus erythematosus, positive antinuclear factor.
Eyes: Dry eyes.
Immunological System: Antimitochondrial antibodies.
Liver and Biliary System: Hepatic necrosis, hepatitis, cholestatic jaundice, elevated liver function tests.
Musculoskeletal System: Muscle cramps, toxic myopathy.
Respiratory System: Bronchospasm.
Skin and Appendages: Rashes of various types, such as generalized maculopapular, lichenoid, urticarial, bullous lichen planus, psoriaform, and facial erythema; Peyronie's disease; reversible alopecia.
Urinary System: Difficulty in micturition, including acute urinary bladder retention.
Hypersensitivity: Rare reports of hypersensitivity (e.g., rash, urticaria, pruritus, angioedema, dyspnea) and anaphylactoid reactions.
Following approval for marketing in the United Kingdom, a monitored release survey involving approximately 6,800 patients was conducted for further safety and efficacy evaluation of this product. Results of this survey indicate that the type, severity, and incidence of adverse effects were comparable to those cited above.
Potential Adverse Effects: In addition, other adverse effects not listed above have been reported with other beta-adrenergic blocking agents.
Central Nervous System: Reversible mental depression progressing to catatonia, an acute reversible syndrome characterized by disorientation for time and place, short-term memory loss, emotional lability, slightly clouded sensorium, and decreased performance on psychometrics.
Cardiovascular: Intensification of A-V block (see CONTRAINDICATIONS ).
Allergic: Fever combined with aching and sore throat, laryngospasm, respiratory distress.
Hematologic: Agranulocytosis, thrombocytopenic or nonthrombocytopenic purpura.
Gastrointestinal: Mesenteric artery thrombosis, ischemic colitis.
The oculomucocutaneous syndrome associated with the beta-blocker practolol has not been reported with labetalol HCl.
Clinical Laboratory Tests: There have been reversible increases of serum transaminases in 4% of patients treated with labetalol HCl and tested and, more rarely, reversible increases in blood urea.
Contraindications: (CONTRAINDICATIONS:)
Labetalol Hydrochloride Tablets are contraindicated in bronchial asthma, overt cardiac failure, greater-than-first-degree heart block, cardiogenic shock, severe bradycardia, other conditions associated with severe and prolonged hypotension, and in patients with a history of hypersensitivity to any component of the product (see WARNINGS ).
Beta-blockers, even those with apparent cardioselectivity, should not be used in patients with a history of obstructive airway disease, including asthma.
Clinical Pharmacology: (CLINICAL PHARMACOLOGY:)
Labetalol HCl combines both selective, competitive, alpha1-adrenergic blocking and nonselective, competitive, beta-adrenergic blocking activity in a single substance. In man, the ratios of alpha- to beta-blockade have been estimated to be approximately 1:3 and 1:7 following oral and intravenous (IV) administration, respectively. Beta2-agonist activity has been demonstrated in animals with minimal beta1-agonist (ISA) activity detected. In animals, at doses greater than those required for alpha- or beta-adrenergic blockade, a membrane stabilizing effect has been demonstrated.
Pharmacodynamics: The capacity of labetalol HCl to block alpha receptors in man has been demonstrated by attenuation of the pressor effect of phenylephrine and by a significant reduction of the pressor response caused by immersing the hand in ice-cold water ("cold-pressor test"). Labetalol HCl's beta1-receptor blockade in man was demonstrated by a small decrease in the resting heart rate, attenuation of tachycardia produced by isoproterenol or exercise, and by attenuation of the reflex tachycardia to the hypotension produced by amyl nitrite. Beta2-receptor blockade was demonstrated by inhibition of the isoproterenol-induced fall in diastolic blood pressure. Both the alpha- and beta-blocking actions of orally administered labetalol HCl contribute to a decrease in blood pressure in hypertensive patients. Labetalol HCl consistently, in dose-related fashion, blunted increases in exercise-induced blood pressure and heart rate, and in their double product. The pulmonary circulation during exercise was not affected by labetalol HCl dosing.
Single oral doses of labetalol HCl administered to patients with coronary artery disease had no significant effect on sinus rate, intraventricular conduction, or QRS duration. The atrioventricular (A-V) conduction time was modestly prolonged in two of seven patients. In another study, IV labetalol HCl slightly prolonged A-V nodal conduction time and atrial effective refractory period with only small changes in heart rate. The effects on A-V nodal refractoriness were inconsistent.
Labetalol HCl produces dose-related falls in blood pressure without reflex tachycardia and without significant reduction in heart rate, presumably through a mixture of its alpha- and beta-blocking effects. Hemodynamic effects are variable, with small, nonsignificant changes in cardiac output seen in some studies but not others, and small decreases in total peripheral resistance. Elevated plasma renins are reduced.
Doses of labetalol HCl that controlled hypertension did not affect renal function in mildly to severely hypertensive patients with normal renal function.
Due to the alpha1-receptor blocking activity of labetalol HCl, blood pressure is lowered more in the standing than in the supine position, and symptoms of postural hypotension (2%), including rare instances of syncope, can occur. Following oral administration, when postural hypotension has occurred, it has been transient and is uncommon when the recommended starting dose and titration increments are closely followed (see DOSAGE AND ADMINISTRATION ). Symptomatic postural hypotension is most likely to occur 2 to 4 hours after a dose, especially following the use of large initial doses or upon large changes in dose.
The peak effects of single oral doses of labetalol HCl occur within 2 to 4 hours. The duration of effect depends upon dose, lasting at least 8 hours following single oral doses of 100 mg and more than 12 hours following single oral doses of 300 mg. The maximum, steady-state blood pressure response upon oral, twice-a-day dosing occurs within 24 to 72 hours.
The antihypertensive effect of labetalol has a linear correlation with the logarithm of labetalol plasma concentration, and there is also a linear correlation between the reduction in exercise-induced tachycardia occurring at 2 hours after oral administration of labetalol HCl and the logarithm of the plasma concentration.
About 70% of the maximum beta-blocking effect is present for 5 hours after the administration of a single oral dose of 400 mg with suggestion that about 40% remains at 8 hours.
The antianginal efficacy of labetalol HCl has not been studied. In 37 patients with hypertension and coronary artery disease, labetalol HCl did not increase the incidence or severity of angina attacks.
Exacerbation of angina and, in some cases, myocardial infarction and ventricular dysrhythmias have been reported after abrupt discontinuation of therapy with beta-adrenergic blocking agents in patients with coronary artery disease. Abrupt withdrawal of these agents in patients without coronary artery disease has resulted in transient symptoms, including tremulousness, sweating, palpitation, headache, and malaise. Several mechanisms have been proposed to explain these phenomena, among them increased sensitivity to catecholamines because of increased numbers of beta receptors.
Although beta-adrenergic receptor blockade is useful in the treatment of angina and hypertension, there are also situations in which sympathetic stimulation is vital. For example, in patients with severely damaged hearts, adequate ventricular function may depend on sympathetic drive. Beta-adrenergic blockade may worsen A-V block by preventing the necessary facilitating effects of sympathetic activity on conduction. Beta2-adrenergic blockade results in passive bronchial constriction by interfering with endogenous adrenergic bronchodilator activity in patients subject to bronchospasm, and it may also interfere with exogenous bronchodilators in such patients.
Indications and Usage: (INDICATIONS AND USAGE:)
Labetalol Hydrochloride Tablets are indicated in the management of hypertension. Labetalol Hydrochloride Tablets may be used alone or in combination with other antihypertensive agents, especially thiazide and loop diuretics.
dosage and Administration: (DOSAGE AND ADMINISTRATION:)
DOSAGE MUST BE INDIVIDUALIZED. The recommended initial dosage is 100 mg twice daily whether used alone or added to a diuretic regimen. After 2 or 3 days, using standing blood pressure as an indicator, dosage may be titrated in increments of 100 mg twice daily every 2 or 3 days. The usual maintenance dosage of labetalol HCl is between 200 and 400 mg twice daily.
Since the full antihypertensive effect of labetalol HCl is usually seen within the first 1 to 3 hours of the initial dose or dose increment, the assurance of a lack of an exaggerated hypotensive response can be clinically established in the office setting. The antihypertensive effects of continued dosing can be measured at subsequent visits, approximately 12 hours after a dose, to determine whether further titration is necessary.
Patients with severe hypertension may require from 1,200 to 2,400 mg per day, with or without thiazide diuretics. Should side effects (principally nausea or dizziness) occur with these doses administered twice daily, the same total daily dose administered three times daily may improve tolerability and facilitate further titration. Titration increments should not exceed 200 mg twice daily.
When a diuretic is added, an additive antihypertensive effect can be expected. In some cases this may necessitate a labetalol HCl dosage adjustment. As with most antihypertensive drugs, optimal dosages of Labetalol Hydrochloride Tablets are usually lower in patients also receiving a diuretic.
When transferring patients from other antihypertensive drugs, Labetalol Hydrochloride Tablets should be introduced as recommended and the dosage of the existing therapy progressively decreased.
Elderly Patients: As in the general patient population, labetalol therapy may be initiated at 100 mg twice daily and titrated upwards in increments of 100 mg twice daily as required for control of blood pressure. Since some elderly patients eliminate labetalol more slowly, however, adequate control of blood pressure may be achieved at a lower maintenance dosage compared to the general population. The majority of elderly patients will require between 100 and 200 mg twice daily
Advanced Ingredient Data
Raw Label Data
All Sections (JSON)
Additional Information
Back to search View SPL set listing Open on DailyMed ↗
Source: dailymed · Ingested: 2026-02-15T11:37:57.302471 · Updated: 2026-03-14T21:52:52.492895