These Highlights Do Not Include All The Information Needed To Use Amlodipine And Atorvastatin Tablets Safely And Effectively. See Full Prescribing Information For Amlodipine And Atorvastatin Tablets.

These Highlights Do Not Include All The Information Needed To Use Amlodipine And Atorvastatin Tablets Safely And Effectively. See Full Prescribing Information For Amlodipine And Atorvastatin Tablets.
SPL v1
SPL
SPL Set ID ecab983e-6ed8-4440-b7b4-7ac4bf39b26c
Route
ORAL
Published
Effective Date 2025-05-23
Document Type 34391-3 Human Prescription Drug Label

Drug Facts

Composition & Product

Active Ingredients
Amlodipine (2.5 mg) Atorvastatin (10 mg)
Inactive Ingredients
Calcium Carbonate Croscarmellose Sodium Microcrystalline Cellulose Starch, Corn Polysorbate 80 Hydroxypropyl Cellulose (90000 Wamw) Silicon Dioxide Talc Magnesium Stearate Polyvinyl Alcohol, Unspecified Titanium Dioxide Polyethylene Glycol 3000 Fd&c Blue No. 2

Identifiers & Packaging

Pill Appearance
Imprint: L550 Shape: round Shape: oval Color: white Color: blue Size: 6 mm Size: 8 mm Size: 10 mm Size: 9 mm Size: 11 mm Size: 14 mm Size: 17 mm Score: 1
Marketing Status
ANDA Active Since 2025-05-23

Description

Amlodipine and atorvastatin tablets are indicated in patients for whom treatment with both amlodipine and atorvastatin is appropriate. Amlodipine Hypertension Amlodipine is indicated for the treatment of hypertension, to lower blood pressure. Lowering blood pressure reduces the risk of fatal and non-fatal cardiovascular events, primarily strokes and myocardial infarctions. These benefits have been seen in controlled trials of antihypertensive drugs from a wide variety of pharmacologic classes including amlodipine. Control of high blood pressure should be part of comprehensive cardiovascular risk management, including, as appropriate, lipid control, diabetes management, antithrombotic therapy, smoking cessation, exercise, and limited sodium intake. Many patients will require more than one drug to achieve blood pressure goals. For specific advice on goals and management, see published guidelines, such as those of the National High Blood Pressure Education Program’s Joint National Committee on Prevention, Detection, Evaluation, and Treatment of High Blood Pressure (JNC). Numerous antihypertensive drugs, from a variety of pharmacologic classes and with different mechanisms of action, have been shown in randomized controlled trials to reduce cardiovascular morbidity and mortality, and it can be concluded that it is blood pressure reduction, and not some other pharmacologic property of the drugs, that is largely responsible for those benefits. The largest and most consistent cardiovascular outcome benefit has been a reduction in the risk of stroke, but reductions in myocardial infarction and cardiovascular mortality also have been seen regularly. Elevated systolic or diastolic pressure causes increased cardiovascular risk, and the absolute risk increase per mmHg is greater at higher blood pressures, so that even modest reductions of severe hypertension can provide substantial benefit. Relative risk reduction from blood pressure reduction is similar across populations with varying absolute risk, so the absolute benefit is greater in patients who are at higher risk independent of their hypertension (for example, patients with diabetes or hyperlipidemia), and such patients would be expected to benefit from more aggressive treatment to a lower blood pressure goal. Some antihypertensive drugs have smaller blood pressure effects (as monotherapy) in black patients, and many antihypertensive drugs have additional approved indications and effects (e.g., on angina, heart failure, or diabetic kidney disease). These considerations may guide selection of therapy. Amlodipine may be used alone or in combination with other antihypertensive agents. Coronary Artery Disease (CAD) Chronic Stable Angina Amlodipine is indicated for the symptomatic treatment of chronic stable angina. Amlodipine may be used alone or in combination with other antianginal agents. Vasospastic Angina (Prinzmetal’s or Variant Angina) Amlodipine is indicated for the treatment of confirmed or suspected vasospastic angina. Amlodipine may be used as monotherapy or in combination with other antianginal agents. Angiographically Documented CAD In patients with recently documented CAD by angiography and without heart failure or an ejection fraction < 40%, amlodipine is indicated to reduce the risk of hospitalization for angina and to reduce the risk of a coronary revascularization procedure. Atorvastatin  Atorvastatin is indicated:  • To reduce the risk of:          o Myocardial infarction (MI), stroke, revascularization procedures, and angina in adults with multiple risk factors for coronary heart disease (CHD) but without clinically evident CHD          o MI and stroke in adults with type 2 diabetes mellitus with multiple risk factors for CHD but without clinically evident CHD           o Non-fatal MI, fatal and non-fatal stroke, revascularization procedures, hospitalization for congestive heart failure, and angina in adults with clinically evident CHD  • As an adjunct to diet to reduce low-density lipoprotein cholesterol (LDL-C) in:          o Adults with primary hyperlipidemia.           o Adults and pediatric patients aged 10 years and older with heterozygous familial hypercholesterolemia (HeFH).  • As an adjunct to other LDL-C-lowering therapies, or alone if such treatments are unavailable, to reduce LDL-C in adults and pediatric patients aged 10 years and older with homozygous familial hypercholesterolemia (HoFH).  • As an adjunct to diet for the treatment of adults with:          o Primary dysbetalipoproteinemia          o Hypertriglyceridemia

Indications and Usage

Amlodipine and atorvastatin tablets are indicated in patients for whom treatment with both amlodipine and atorvastatin is appropriate. Amlodipine Hypertension Amlodipine is indicated for the treatment of hypertension, to lower blood pressure. Lowering blood pressure reduces the risk of fatal and non-fatal cardiovascular events, primarily strokes and myocardial infarctions. These benefits have been seen in controlled trials of antihypertensive drugs from a wide variety of pharmacologic classes including amlodipine. Control of high blood pressure should be part of comprehensive cardiovascular risk management, including, as appropriate, lipid control, diabetes management, antithrombotic therapy, smoking cessation, exercise, and limited sodium intake. Many patients will require more than one drug to achieve blood pressure goals. For specific advice on goals and management, see published guidelines, such as those of the National High Blood Pressure Education Program’s Joint National Committee on Prevention, Detection, Evaluation, and Treatment of High Blood Pressure (JNC). Numerous antihypertensive drugs, from a variety of pharmacologic classes and with different mechanisms of action, have been shown in randomized controlled trials to reduce cardiovascular morbidity and mortality, and it can be concluded that it is blood pressure reduction, and not some other pharmacologic property of the drugs, that is largely responsible for those benefits. The largest and most consistent cardiovascular outcome benefit has been a reduction in the risk of stroke, but reductions in myocardial infarction and cardiovascular mortality also have been seen regularly. Elevated systolic or diastolic pressure causes increased cardiovascular risk, and the absolute risk increase per mmHg is greater at higher blood pressures, so that even modest reductions of severe hypertension can provide substantial benefit. Relative risk reduction from blood pressure reduction is similar across populations with varying absolute risk, so the absolute benefit is greater in patients who are at higher risk independent of their hypertension (for example, patients with diabetes or hyperlipidemia), and such patients would be expected to benefit from more aggressive treatment to a lower blood pressure goal. Some antihypertensive drugs have smaller blood pressure effects (as monotherapy) in black patients, and many antihypertensive drugs have additional approved indications and effects (e.g., on angina, heart failure, or diabetic kidney disease). These considerations may guide selection of therapy. Amlodipine may be used alone or in combination with other antihypertensive agents. Coronary Artery Disease (CAD) Chronic Stable Angina Amlodipine is indicated for the symptomatic treatment of chronic stable angina. Amlodipine may be used alone or in combination with other antianginal agents. Vasospastic Angina (Prinzmetal’s or Variant Angina) Amlodipine is indicated for the treatment of confirmed or suspected vasospastic angina. Amlodipine may be used as monotherapy or in combination with other antianginal agents. Angiographically Documented CAD In patients with recently documented CAD by angiography and without heart failure or an ejection fraction < 40%, amlodipine is indicated to reduce the risk of hospitalization for angina and to reduce the risk of a coronary revascularization procedure. Atorvastatin  Atorvastatin is indicated:  • To reduce the risk of:          o Myocardial infarction (MI), stroke, revascularization procedures, and angina in adults with multiple risk factors for coronary heart disease (CHD) but without clinically evident CHD          o MI and stroke in adults with type 2 diabetes mellitus with multiple risk factors for CHD but without clinically evident CHD           o Non-fatal MI, fatal and non-fatal stroke, revascularization procedures, hospitalization for congestive heart failure, and angina in adults with clinically evident CHD  • As an adjunct to diet to reduce low-density lipoprotein cholesterol (LDL-C) in:          o Adults with primary hyperlipidemia.           o Adults and pediatric patients aged 10 years and older with heterozygous familial hypercholesterolemia (HeFH).  • As an adjunct to other LDL-C-lowering therapies, or alone if such treatments are unavailable, to reduce LDL-C in adults and pediatric patients aged 10 years and older with homozygous familial hypercholesterolemia (HoFH).  • As an adjunct to diet for the treatment of adults with:          o Primary dysbetalipoproteinemia          o Hypertriglyceridemia

Dosage and Administration

Amlodipine and Atorvastatin Tablets Dosage of amlodipine and atorvastatin tablets must be individualized on the basis of both effectiveness and tolerance for each individual component in the treatment of hypertension/angina and hyperlipidemia. Select doses of amlodipine and atorvastatin independently. Amlodipine and atorvastatin tablets may be substituted for its individually titrated components. Patients may be given the equivalent dose of amlodipine and atorvastatin tablets or a dose of amlodipine and atorvastatin tablets with increased amounts of amlodipine, atorvastatin, or both for additional antianginal effects, blood pressure lowering, or lipid-lowering effect. Amlodipine and atorvastatin tablets may be used to provide additional therapy for patients already on one of its components. Amlodipine and atorvastatin tablets may be used to initiate treatment in patients with hyperlipidemia and either hypertension or angina. Important Dosage Information Take amlodipine and atorvastatin tablets orally once daily at any time of the day, with or without food. Amlodipine The usual initial antihypertensive oral dosage of amlodipine is 5 mg once daily, and the maximum dose is 10 mg once daily. Pediatric (age > 6 years), small adult, fragile, or elderly patients, or patients with hepatic insufficiency may be started on 2.5 mg once daily and this dose may be used when adding amlodipine to other antihypertensive therapy. Adjust dosage according to blood pressure goals. In general, wait 7 to 14 days between titration steps. Titration may proceed more rapidly, however, if clinically warranted, provided the patient is assessed frequently. Angina  The recommended dosage of amlodipine for chronic stable or vasospastic angina is 5 to 10 mg, with the lower dose suggested in the elderly and in patients with hepatic insufficiency. Most patients will require 10 mg for adequate effect. Coronary Artery Disease  The recommended dosage range of amlodipine for patients with CAD is 5 to 10 mg once daily. In clinical studies, the majority of patients required 10 mg [see Clinical Studies (14.4)] . Pediatrics  The effective antihypertensive oral dose of amlodipine in pediatric patients ages 6 to 17 years is 2.5 mg to 5 mg once daily. Doses in excess of 5 mg daily have not been studied in pediatric patients [see Clinical Pharmacology (12.3) and Clinical Studies (14.1)] . Atorvastatin Assess LDL-C when clinically appropriate, as early as 4 weeks after initiating atorvastatin, and adjust the dosage if necessary.  Recommended Dosage in Adult Patients  The recommended starting dosage of atorvastatin is 10 mg to 20 mg once daily. The dosage range is 10 mg to 80 mg once daily. Patients who require reduction in LDL-C greater than 45% may be started at 40 mg once daily.  Recommended Dosage in Pediatric Patients 10 Years of Age and Older with HeFH  The recommended starting dosage of atorvastatin is 10 mg once daily. The dosage range is 10 mg to 20 mg once daily.  Recommended Dosage in Pediatric Patients 10 Years of Age and Older with HoFH  The recommended starting dosage of atorvastatin is 10 mg to 20 mg once daily. The dosage range is 10 mg to 80 mg once daily.  Dosage Modifications Due to Drug Interactions Concomitant use of atorvastatin with the following drugs requires dosage modification of atorvastatin [see Warnings and Precautions (5.1) and Drug Interactions (7.1)]. Anti-Viral Medications   • In patients taking saquinavir plus ritonavir, darunavir plus ritonavir, fosamprenavir, fosamprenavir plus ritonavir, elbasvir plus grazoprevir or letermovir, do not exceed atorvastatin 20 mg once daily. • In patients taking nelfinavir, do not exceed atorvastatin 40 mg once daily. Select Azole Antifungals or Macrolide Antibiotics  • In patients taking clarithromycin or itraconazole, do not exceed atorvastatin 20 mg once daily.  For additional recommendations regarding concomitant use of atorvastatin with other anti-viral medications, azole antifungals or macrolide antibiotics, [see Drug Interactions (7.1)] .

Warnings and Precautions

• Myopathy and Rhabdomyolysis: Risk factors include age 65 years or greater, uncontrolled hypothyroidism, renal impairment, concomitant use with certain other drugs, and higher amlodipine and atorvastatin dosage. Discontinue amlodipine and atorvastatin if markedly elevated CK levels occur or myopathy is diagnosed or suspected. Temporarily discontinue amlodipine and atorvastatin in patients experiencing an acute or serious condition at high risk of developing renal failure secondary to rhabdomyolysis. Inform patients of the risk of myopathy and rhabdomyolysis when starting or increasing amlodipine and atorvastatin dosage. Instruct patients to promptly report unexplained muscle pain, tenderness, or weakness, particularly if accompanied by malaise or fever ( 2 , 5.1 , 7.3 , 8.5 , 8.6 ). • Immune-Mediated Necrotizing Myopathy (IMNM): Rare reports of IMNM, an autoimmune myopathy, have been reported with statin use. Discontinue amlodipine and atorvastatin if IMNM is suspected ( 5.2 ). • Hepatic Dysfunction: Increases in serum transaminases have occurred, some persistent. Rare reports of fatal and non-fatal hepatic failure have occurred. Consider testing liver enzymes before initiating therapy and as clinically indicated thereafter. If serious hepatic injury with clinical symptoms and/or hyperbilirubinemia or jaundice occurs, promptly discontinue amlodipine and atorvastatin ( 5.3 ). • Angina or myocardial infarction may occur with initiation or dose increase ( 5.4 ) • Symptomatic hypotension is possible, particularly in patients with severe aortic stenosis. However, acute hypotension is unlikely ( 5.5 ). 

Contraindications

Acute liver failure or decompensated cirrhosis [see Warnings and Precautions (5.3)] . Hypersensitivity to amlodipine, atorvastatin or any excipients in amlodipine and atorvastatin. Hypersensitivity reactions, including anaphylaxis, angioneurotic edema, erythema multiforme, Stevens-Johnson syndrome, and toxic epidermal necrolysis, have been reported [see Adverse Reactions (6.2)] . 

Adverse Reactions

The following important adverse reactions are described below and elsewhere in the labeling: Myopathy and Rhabdomyolysis [see Warnings and Precautions (5.1)] Immune-Mediated Necrotizing Myopathy [see Warnings and Precautions (5.2)] Hepatic Dysfunction [see Warnings and Precautions (5.3)] Increases in HbA1c and Fasting Serum Glucose Levels [see Warnings and Precautions (5.6)] 

Drug Interactions

Table 4 presents drug interactions that may decrease exposure to atorvastatin and instructions for preventing or managing them. Table 4. Drug Interactions that may Decrease Exposure to Atorvastatin                Rifampin     Clinical Impact:   Concomitant administration of atorvastatin with rifampin, an inducer of cytochrome P450 3A4 and inhibitor of OATP1B1, can lead to variable reductions in plasma concentrations of atorvastatin. Due to the dual interaction mechanism of rifampin, delayed administration of atorvastatin after administration of rifampin has been associated with a significant reduction in atorvastatin plasma concentrations.    Intervention:   Administer atorvastatin and rifampin simultaneously. 

Storage and Handling

Amlodipine and atorvastatin tablets, USP contain amlodipine besylate, USP and atorvastatin calcium, USP equivalent to amlodipine and atorvastatin in the dose strengths described below. Amlodipine and atorvastatin tablets, USP are differentiated by tablet color/size and are debossed with an alphabet and unique number on one side and plain on the other side. Combinations of atorvastatin with 2.5 mg and 5 mg amlodipine are round and oval respectively and are film-coated, white to off white tablets and combinations of atorvastatin with 10 mg amlodipine are oval and are film-coated, light blue to blue tablets. Amlodipine and atorvastatin tablets, USP are supplied for oral administration in the following strengths and package configurations: Table 16.  Amlodipine and Atorvastatin Tablets, USP Packaging Configurations                                                                                                             Amlodipine and Atorvastatin Tablets, USP     Package Configurations     Tablet Strength mg (amlodipine / atorvastatin)     NDC #     Debossing     Tablet Color     Tablet Shape    Bottle of 30  Bottle of 90    2.5/10    46708-755-30  46708-755-90    L540    White to off white    Round    Bottle of 30  Bottle of 90    2.5/20    46708-756-30  46708-756-90    L541    White to off white    Round    Bottle of 30  Bottle of 90    2.5/40    46708-757-30  46708-757-90    L542    White to off white    Round    Bottle of 30  Bottle of 90    5/10    46708-758-30  46708-758-90    L543    White to off white    Oval    Bottle of 30  Bottle of 90    5/20    46708-759-30  46708-759-90    L544    White to off white    Oval    Bottle of 30  Bottle of 90    5/40    46708-760-30  46708-760-90    L545    White to off white    Oval    Bottle of 30  Bottle of 90    5/80    46708-761-30  46708-761-90    L546    White to off white    Oval    Bottle of 30  Bottle of 90    10/10    46708-762-30  46708-762-90    L547    Light blue to blue    Oval    Bottle of 30  Bottle of 90    10/20    46708-763-30  46708-763-90    L548    Light blue to blue    Oval    Bottle of 30  Bottle of 90    10/40    46708-764-30  46708-764-90    L549    Light blue to blue    Oval    Bottle of 30  Bottle of 90    10/80    46708-765-30  46708-765-90    L550    Light blue to blue    Oval   All bottles of Amlodipine and Atorvastatin Tablets, USP are supplied with child-resistant closure. Store at 25°C (77°F); excursions permitted to 15° to 30°C (59° to 86°F) [see USP Controlled Room Temperature].

How Supplied

Amlodipine and atorvastatin tablets, USP contain amlodipine besylate, USP and atorvastatin calcium, USP equivalent to amlodipine and atorvastatin in the dose strengths described below. Amlodipine and atorvastatin tablets, USP are differentiated by tablet color/size and are debossed with an alphabet and unique number on one side and plain on the other side. Combinations of atorvastatin with 2.5 mg and 5 mg amlodipine are round and oval respectively and are film-coated, white to off white tablets and combinations of atorvastatin with 10 mg amlodipine are oval and are film-coated, light blue to blue tablets. Amlodipine and atorvastatin tablets, USP are supplied for oral administration in the following strengths and package configurations: Table 16.  Amlodipine and Atorvastatin Tablets, USP Packaging Configurations                                                                                                             Amlodipine and Atorvastatin Tablets, USP     Package Configurations     Tablet Strength mg (amlodipine / atorvastatin)     NDC #     Debossing     Tablet Color     Tablet Shape    Bottle of 30  Bottle of 90    2.5/10    46708-755-30  46708-755-90    L540    White to off white    Round    Bottle of 30  Bottle of 90    2.5/20    46708-756-30  46708-756-90    L541    White to off white    Round    Bottle of 30  Bottle of 90    2.5/40    46708-757-30  46708-757-90    L542    White to off white    Round    Bottle of 30  Bottle of 90    5/10    46708-758-30  46708-758-90    L543    White to off white    Oval    Bottle of 30  Bottle of 90    5/20    46708-759-30  46708-759-90    L544    White to off white    Oval    Bottle of 30  Bottle of 90    5/40    46708-760-30  46708-760-90    L545    White to off white    Oval    Bottle of 30  Bottle of 90    5/80    46708-761-30  46708-761-90    L546    White to off white    Oval    Bottle of 30  Bottle of 90    10/10    46708-762-30  46708-762-90    L547    Light blue to blue    Oval    Bottle of 30  Bottle of 90    10/20    46708-763-30  46708-763-90    L548    Light blue to blue    Oval    Bottle of 30  Bottle of 90    10/40    46708-764-30  46708-764-90    L549    Light blue to blue    Oval    Bottle of 30  Bottle of 90    10/80    46708-765-30  46708-765-90    L550    Light blue to blue    Oval   All bottles of Amlodipine and Atorvastatin Tablets, USP are supplied with child-resistant closure. Store at 25°C (77°F); excursions permitted to 15° to 30°C (59° to 86°F) [see USP Controlled Room Temperature].


Medication Information

Warnings and Precautions

• Myopathy and Rhabdomyolysis: Risk factors include age 65 years or greater, uncontrolled hypothyroidism, renal impairment, concomitant use with certain other drugs, and higher amlodipine and atorvastatin dosage. Discontinue amlodipine and atorvastatin if markedly elevated CK levels occur or myopathy is diagnosed or suspected. Temporarily discontinue amlodipine and atorvastatin in patients experiencing an acute or serious condition at high risk of developing renal failure secondary to rhabdomyolysis. Inform patients of the risk of myopathy and rhabdomyolysis when starting or increasing amlodipine and atorvastatin dosage. Instruct patients to promptly report unexplained muscle pain, tenderness, or weakness, particularly if accompanied by malaise or fever ( 2 , 5.1 , 7.3 , 8.5 , 8.6 ). • Immune-Mediated Necrotizing Myopathy (IMNM): Rare reports of IMNM, an autoimmune myopathy, have been reported with statin use. Discontinue amlodipine and atorvastatin if IMNM is suspected ( 5.2 ). • Hepatic Dysfunction: Increases in serum transaminases have occurred, some persistent. Rare reports of fatal and non-fatal hepatic failure have occurred. Consider testing liver enzymes before initiating therapy and as clinically indicated thereafter. If serious hepatic injury with clinical symptoms and/or hyperbilirubinemia or jaundice occurs, promptly discontinue amlodipine and atorvastatin ( 5.3 ). • Angina or myocardial infarction may occur with initiation or dose increase ( 5.4 ) • Symptomatic hypotension is possible, particularly in patients with severe aortic stenosis. However, acute hypotension is unlikely ( 5.5 ). 

Indications and Usage

Amlodipine and atorvastatin tablets are indicated in patients for whom treatment with both amlodipine and atorvastatin is appropriate. Amlodipine Hypertension Amlodipine is indicated for the treatment of hypertension, to lower blood pressure. Lowering blood pressure reduces the risk of fatal and non-fatal cardiovascular events, primarily strokes and myocardial infarctions. These benefits have been seen in controlled trials of antihypertensive drugs from a wide variety of pharmacologic classes including amlodipine. Control of high blood pressure should be part of comprehensive cardiovascular risk management, including, as appropriate, lipid control, diabetes management, antithrombotic therapy, smoking cessation, exercise, and limited sodium intake. Many patients will require more than one drug to achieve blood pressure goals. For specific advice on goals and management, see published guidelines, such as those of the National High Blood Pressure Education Program’s Joint National Committee on Prevention, Detection, Evaluation, and Treatment of High Blood Pressure (JNC). Numerous antihypertensive drugs, from a variety of pharmacologic classes and with different mechanisms of action, have been shown in randomized controlled trials to reduce cardiovascular morbidity and mortality, and it can be concluded that it is blood pressure reduction, and not some other pharmacologic property of the drugs, that is largely responsible for those benefits. The largest and most consistent cardiovascular outcome benefit has been a reduction in the risk of stroke, but reductions in myocardial infarction and cardiovascular mortality also have been seen regularly. Elevated systolic or diastolic pressure causes increased cardiovascular risk, and the absolute risk increase per mmHg is greater at higher blood pressures, so that even modest reductions of severe hypertension can provide substantial benefit. Relative risk reduction from blood pressure reduction is similar across populations with varying absolute risk, so the absolute benefit is greater in patients who are at higher risk independent of their hypertension (for example, patients with diabetes or hyperlipidemia), and such patients would be expected to benefit from more aggressive treatment to a lower blood pressure goal. Some antihypertensive drugs have smaller blood pressure effects (as monotherapy) in black patients, and many antihypertensive drugs have additional approved indications and effects (e.g., on angina, heart failure, or diabetic kidney disease). These considerations may guide selection of therapy. Amlodipine may be used alone or in combination with other antihypertensive agents. Coronary Artery Disease (CAD) Chronic Stable Angina Amlodipine is indicated for the symptomatic treatment of chronic stable angina. Amlodipine may be used alone or in combination with other antianginal agents. Vasospastic Angina (Prinzmetal’s or Variant Angina) Amlodipine is indicated for the treatment of confirmed or suspected vasospastic angina. Amlodipine may be used as monotherapy or in combination with other antianginal agents. Angiographically Documented CAD In patients with recently documented CAD by angiography and without heart failure or an ejection fraction < 40%, amlodipine is indicated to reduce the risk of hospitalization for angina and to reduce the risk of a coronary revascularization procedure. Atorvastatin  Atorvastatin is indicated:  • To reduce the risk of:          o Myocardial infarction (MI), stroke, revascularization procedures, and angina in adults with multiple risk factors for coronary heart disease (CHD) but without clinically evident CHD          o MI and stroke in adults with type 2 diabetes mellitus with multiple risk factors for CHD but without clinically evident CHD           o Non-fatal MI, fatal and non-fatal stroke, revascularization procedures, hospitalization for congestive heart failure, and angina in adults with clinically evident CHD  • As an adjunct to diet to reduce low-density lipoprotein cholesterol (LDL-C) in:          o Adults with primary hyperlipidemia.           o Adults and pediatric patients aged 10 years and older with heterozygous familial hypercholesterolemia (HeFH).  • As an adjunct to other LDL-C-lowering therapies, or alone if such treatments are unavailable, to reduce LDL-C in adults and pediatric patients aged 10 years and older with homozygous familial hypercholesterolemia (HoFH).  • As an adjunct to diet for the treatment of adults with:          o Primary dysbetalipoproteinemia          o Hypertriglyceridemia

Dosage and Administration

Amlodipine and Atorvastatin Tablets Dosage of amlodipine and atorvastatin tablets must be individualized on the basis of both effectiveness and tolerance for each individual component in the treatment of hypertension/angina and hyperlipidemia. Select doses of amlodipine and atorvastatin independently. Amlodipine and atorvastatin tablets may be substituted for its individually titrated components. Patients may be given the equivalent dose of amlodipine and atorvastatin tablets or a dose of amlodipine and atorvastatin tablets with increased amounts of amlodipine, atorvastatin, or both for additional antianginal effects, blood pressure lowering, or lipid-lowering effect. Amlodipine and atorvastatin tablets may be used to provide additional therapy for patients already on one of its components. Amlodipine and atorvastatin tablets may be used to initiate treatment in patients with hyperlipidemia and either hypertension or angina. Important Dosage Information Take amlodipine and atorvastatin tablets orally once daily at any time of the day, with or without food. Amlodipine The usual initial antihypertensive oral dosage of amlodipine is 5 mg once daily, and the maximum dose is 10 mg once daily. Pediatric (age > 6 years), small adult, fragile, or elderly patients, or patients with hepatic insufficiency may be started on 2.5 mg once daily and this dose may be used when adding amlodipine to other antihypertensive therapy. Adjust dosage according to blood pressure goals. In general, wait 7 to 14 days between titration steps. Titration may proceed more rapidly, however, if clinically warranted, provided the patient is assessed frequently. Angina  The recommended dosage of amlodipine for chronic stable or vasospastic angina is 5 to 10 mg, with the lower dose suggested in the elderly and in patients with hepatic insufficiency. Most patients will require 10 mg for adequate effect. Coronary Artery Disease  The recommended dosage range of amlodipine for patients with CAD is 5 to 10 mg once daily. In clinical studies, the majority of patients required 10 mg [see Clinical Studies (14.4)] . Pediatrics  The effective antihypertensive oral dose of amlodipine in pediatric patients ages 6 to 17 years is 2.5 mg to 5 mg once daily. Doses in excess of 5 mg daily have not been studied in pediatric patients [see Clinical Pharmacology (12.3) and Clinical Studies (14.1)] . Atorvastatin Assess LDL-C when clinically appropriate, as early as 4 weeks after initiating atorvastatin, and adjust the dosage if necessary.  Recommended Dosage in Adult Patients  The recommended starting dosage of atorvastatin is 10 mg to 20 mg once daily. The dosage range is 10 mg to 80 mg once daily. Patients who require reduction in LDL-C greater than 45% may be started at 40 mg once daily.  Recommended Dosage in Pediatric Patients 10 Years of Age and Older with HeFH  The recommended starting dosage of atorvastatin is 10 mg once daily. The dosage range is 10 mg to 20 mg once daily.  Recommended Dosage in Pediatric Patients 10 Years of Age and Older with HoFH  The recommended starting dosage of atorvastatin is 10 mg to 20 mg once daily. The dosage range is 10 mg to 80 mg once daily.  Dosage Modifications Due to Drug Interactions Concomitant use of atorvastatin with the following drugs requires dosage modification of atorvastatin [see Warnings and Precautions (5.1) and Drug Interactions (7.1)]. Anti-Viral Medications   • In patients taking saquinavir plus ritonavir, darunavir plus ritonavir, fosamprenavir, fosamprenavir plus ritonavir, elbasvir plus grazoprevir or letermovir, do not exceed atorvastatin 20 mg once daily. • In patients taking nelfinavir, do not exceed atorvastatin 40 mg once daily. Select Azole Antifungals or Macrolide Antibiotics  • In patients taking clarithromycin or itraconazole, do not exceed atorvastatin 20 mg once daily.  For additional recommendations regarding concomitant use of atorvastatin with other anti-viral medications, azole antifungals or macrolide antibiotics, [see Drug Interactions (7.1)] .

Contraindications

Acute liver failure or decompensated cirrhosis [see Warnings and Precautions (5.3)] . Hypersensitivity to amlodipine, atorvastatin or any excipients in amlodipine and atorvastatin. Hypersensitivity reactions, including anaphylaxis, angioneurotic edema, erythema multiforme, Stevens-Johnson syndrome, and toxic epidermal necrolysis, have been reported [see Adverse Reactions (6.2)] . 

Adverse Reactions

The following important adverse reactions are described below and elsewhere in the labeling: Myopathy and Rhabdomyolysis [see Warnings and Precautions (5.1)] Immune-Mediated Necrotizing Myopathy [see Warnings and Precautions (5.2)] Hepatic Dysfunction [see Warnings and Precautions (5.3)] Increases in HbA1c and Fasting Serum Glucose Levels [see Warnings and Precautions (5.6)] 

Drug Interactions

Table 4 presents drug interactions that may decrease exposure to atorvastatin and instructions for preventing or managing them. Table 4. Drug Interactions that may Decrease Exposure to Atorvastatin                Rifampin     Clinical Impact:   Concomitant administration of atorvastatin with rifampin, an inducer of cytochrome P450 3A4 and inhibitor of OATP1B1, can lead to variable reductions in plasma concentrations of atorvastatin. Due to the dual interaction mechanism of rifampin, delayed administration of atorvastatin after administration of rifampin has been associated with a significant reduction in atorvastatin plasma concentrations.    Intervention:   Administer atorvastatin and rifampin simultaneously. 

Storage and Handling

Amlodipine and atorvastatin tablets, USP contain amlodipine besylate, USP and atorvastatin calcium, USP equivalent to amlodipine and atorvastatin in the dose strengths described below. Amlodipine and atorvastatin tablets, USP are differentiated by tablet color/size and are debossed with an alphabet and unique number on one side and plain on the other side. Combinations of atorvastatin with 2.5 mg and 5 mg amlodipine are round and oval respectively and are film-coated, white to off white tablets and combinations of atorvastatin with 10 mg amlodipine are oval and are film-coated, light blue to blue tablets. Amlodipine and atorvastatin tablets, USP are supplied for oral administration in the following strengths and package configurations: Table 16.  Amlodipine and Atorvastatin Tablets, USP Packaging Configurations                                                                                                             Amlodipine and Atorvastatin Tablets, USP     Package Configurations     Tablet Strength mg (amlodipine / atorvastatin)     NDC #     Debossing     Tablet Color     Tablet Shape    Bottle of 30  Bottle of 90    2.5/10    46708-755-30  46708-755-90    L540    White to off white    Round    Bottle of 30  Bottle of 90    2.5/20    46708-756-30  46708-756-90    L541    White to off white    Round    Bottle of 30  Bottle of 90    2.5/40    46708-757-30  46708-757-90    L542    White to off white    Round    Bottle of 30  Bottle of 90    5/10    46708-758-30  46708-758-90    L543    White to off white    Oval    Bottle of 30  Bottle of 90    5/20    46708-759-30  46708-759-90    L544    White to off white    Oval    Bottle of 30  Bottle of 90    5/40    46708-760-30  46708-760-90    L545    White to off white    Oval    Bottle of 30  Bottle of 90    5/80    46708-761-30  46708-761-90    L546    White to off white    Oval    Bottle of 30  Bottle of 90    10/10    46708-762-30  46708-762-90    L547    Light blue to blue    Oval    Bottle of 30  Bottle of 90    10/20    46708-763-30  46708-763-90    L548    Light blue to blue    Oval    Bottle of 30  Bottle of 90    10/40    46708-764-30  46708-764-90    L549    Light blue to blue    Oval    Bottle of 30  Bottle of 90    10/80    46708-765-30  46708-765-90    L550    Light blue to blue    Oval   All bottles of Amlodipine and Atorvastatin Tablets, USP are supplied with child-resistant closure. Store at 25°C (77°F); excursions permitted to 15° to 30°C (59° to 86°F) [see USP Controlled Room Temperature].

How Supplied

Amlodipine and atorvastatin tablets, USP contain amlodipine besylate, USP and atorvastatin calcium, USP equivalent to amlodipine and atorvastatin in the dose strengths described below. Amlodipine and atorvastatin tablets, USP are differentiated by tablet color/size and are debossed with an alphabet and unique number on one side and plain on the other side. Combinations of atorvastatin with 2.5 mg and 5 mg amlodipine are round and oval respectively and are film-coated, white to off white tablets and combinations of atorvastatin with 10 mg amlodipine are oval and are film-coated, light blue to blue tablets. Amlodipine and atorvastatin tablets, USP are supplied for oral administration in the following strengths and package configurations: Table 16.  Amlodipine and Atorvastatin Tablets, USP Packaging Configurations                                                                                                             Amlodipine and Atorvastatin Tablets, USP     Package Configurations     Tablet Strength mg (amlodipine / atorvastatin)     NDC #     Debossing     Tablet Color     Tablet Shape    Bottle of 30  Bottle of 90    2.5/10    46708-755-30  46708-755-90    L540    White to off white    Round    Bottle of 30  Bottle of 90    2.5/20    46708-756-30  46708-756-90    L541    White to off white    Round    Bottle of 30  Bottle of 90    2.5/40    46708-757-30  46708-757-90    L542    White to off white    Round    Bottle of 30  Bottle of 90    5/10    46708-758-30  46708-758-90    L543    White to off white    Oval    Bottle of 30  Bottle of 90    5/20    46708-759-30  46708-759-90    L544    White to off white    Oval    Bottle of 30  Bottle of 90    5/40    46708-760-30  46708-760-90    L545    White to off white    Oval    Bottle of 30  Bottle of 90    5/80    46708-761-30  46708-761-90    L546    White to off white    Oval    Bottle of 30  Bottle of 90    10/10    46708-762-30  46708-762-90    L547    Light blue to blue    Oval    Bottle of 30  Bottle of 90    10/20    46708-763-30  46708-763-90    L548    Light blue to blue    Oval    Bottle of 30  Bottle of 90    10/40    46708-764-30  46708-764-90    L549    Light blue to blue    Oval    Bottle of 30  Bottle of 90    10/80    46708-765-30  46708-765-90    L550    Light blue to blue    Oval   All bottles of Amlodipine and Atorvastatin Tablets, USP are supplied with child-resistant closure. Store at 25°C (77°F); excursions permitted to 15° to 30°C (59° to 86°F) [see USP Controlled Room Temperature].

Description

Amlodipine and atorvastatin tablets are indicated in patients for whom treatment with both amlodipine and atorvastatin is appropriate. Amlodipine Hypertension Amlodipine is indicated for the treatment of hypertension, to lower blood pressure. Lowering blood pressure reduces the risk of fatal and non-fatal cardiovascular events, primarily strokes and myocardial infarctions. These benefits have been seen in controlled trials of antihypertensive drugs from a wide variety of pharmacologic classes including amlodipine. Control of high blood pressure should be part of comprehensive cardiovascular risk management, including, as appropriate, lipid control, diabetes management, antithrombotic therapy, smoking cessation, exercise, and limited sodium intake. Many patients will require more than one drug to achieve blood pressure goals. For specific advice on goals and management, see published guidelines, such as those of the National High Blood Pressure Education Program’s Joint National Committee on Prevention, Detection, Evaluation, and Treatment of High Blood Pressure (JNC). Numerous antihypertensive drugs, from a variety of pharmacologic classes and with different mechanisms of action, have been shown in randomized controlled trials to reduce cardiovascular morbidity and mortality, and it can be concluded that it is blood pressure reduction, and not some other pharmacologic property of the drugs, that is largely responsible for those benefits. The largest and most consistent cardiovascular outcome benefit has been a reduction in the risk of stroke, but reductions in myocardial infarction and cardiovascular mortality also have been seen regularly. Elevated systolic or diastolic pressure causes increased cardiovascular risk, and the absolute risk increase per mmHg is greater at higher blood pressures, so that even modest reductions of severe hypertension can provide substantial benefit. Relative risk reduction from blood pressure reduction is similar across populations with varying absolute risk, so the absolute benefit is greater in patients who are at higher risk independent of their hypertension (for example, patients with diabetes or hyperlipidemia), and such patients would be expected to benefit from more aggressive treatment to a lower blood pressure goal. Some antihypertensive drugs have smaller blood pressure effects (as monotherapy) in black patients, and many antihypertensive drugs have additional approved indications and effects (e.g., on angina, heart failure, or diabetic kidney disease). These considerations may guide selection of therapy. Amlodipine may be used alone or in combination with other antihypertensive agents. Coronary Artery Disease (CAD) Chronic Stable Angina Amlodipine is indicated for the symptomatic treatment of chronic stable angina. Amlodipine may be used alone or in combination with other antianginal agents. Vasospastic Angina (Prinzmetal’s or Variant Angina) Amlodipine is indicated for the treatment of confirmed or suspected vasospastic angina. Amlodipine may be used as monotherapy or in combination with other antianginal agents. Angiographically Documented CAD In patients with recently documented CAD by angiography and without heart failure or an ejection fraction < 40%, amlodipine is indicated to reduce the risk of hospitalization for angina and to reduce the risk of a coronary revascularization procedure. Atorvastatin  Atorvastatin is indicated:  • To reduce the risk of:          o Myocardial infarction (MI), stroke, revascularization procedures, and angina in adults with multiple risk factors for coronary heart disease (CHD) but without clinically evident CHD          o MI and stroke in adults with type 2 diabetes mellitus with multiple risk factors for CHD but without clinically evident CHD           o Non-fatal MI, fatal and non-fatal stroke, revascularization procedures, hospitalization for congestive heart failure, and angina in adults with clinically evident CHD  • As an adjunct to diet to reduce low-density lipoprotein cholesterol (LDL-C) in:          o Adults with primary hyperlipidemia.           o Adults and pediatric patients aged 10 years and older with heterozygous familial hypercholesterolemia (HeFH).  • As an adjunct to other LDL-C-lowering therapies, or alone if such treatments are unavailable, to reduce LDL-C in adults and pediatric patients aged 10 years and older with homozygous familial hypercholesterolemia (HoFH).  • As an adjunct to diet for the treatment of adults with:          o Primary dysbetalipoproteinemia          o Hypertriglyceridemia

Section 42230-3


PATIENT INFORMATION

Amlodipine and Atorvastatin

(am loe′ di peen and  a tor″ va stat′ in)

Tablets, USP



Read the patient information that comes with amlodipine and atorvastatin tablets before you start taking it, and each time you get a refill. There may be new information. This information does not replace talking with your healthcare provider about your condition or treatment. If you have any questions about amlodipine and atorvastatin tablets, ask your healthcare provider or pharmacist.



What are amlodipine and atorvastatin tablets?

Amlodipine and atorvastatin tablets are a prescription drug that combines amlodipine besylate and atorvastatin calcium in one pill.



Amlodipine and atorvastatin tablets are used in adults who need both amlodipine besylate and atorvastatin calcium.

Amlodipine besylate is used to treat:

•  High blood pressure (hypertension) and

•  Chest pain (angina) and

•  Blocked arteries of the heart (coronary artery disease)



Atorvastatin calcium is used to lower the levels of “bad” cholesterol and triglycerides in your blood. It can also raise the levels of “good” cholesterol.

Atorvastatin calcium is also used to lower the risk for heart attack, stroke, certain types of heart surgery, and chest pain in patients who have heart disease or risk factors for heart disease such as:

•  age, smoking, high blood pressure, low levels of “good” cholesterol, heart disease in the family.



Atorvastatin calcium can lower the risk for heart attack or stroke in patients with diabetes and risk factors such as:

•  diabetic eye or kidney problems, smoking, or high blood pressure.

Amlodipine and atorvastatin tablets have not been studied in children.

 

Who should not use Amlodipine and atorvastatin tablets?


Do not use amlodipine and atorvastatin tablets if you:

  • Have liver problems (acute liver failure or decompensated cirrhosis).
  • Are allergic to anything in amlodipine and atorvastatin tablets. The active ingredients are atorvastatin calcium and amlodipine besylate. Stop using amlodipine and atorvastatin tablets and get medical help right away if you have symptoms of a serious allergic reaction including:
  • swelling of your face, lips, tongue or throat
  • problems breathing or swallowing
  • fainting or feeling dizzy
  • very rapid heartbeat
  • severe skin rash or itching
  • flu-like symptoms including fever, sore throat, cough, tiredness, and joint pain

  See the end of this leaflet for a complete list of ingredients.



What should I tell my healthcare provider before taking amlodipine and atorvastatin tablets?

Tell your healthcare provider about all of your health conditions, including, if you :

  • have unexplained muscle aches or weakness
  • drink more than 2 glasses of alcohol daily
  • have heart disease
  • have diabetes
  • have thyroid problems
  • have kidney problems
  • had a stroke
  • are pregnant or plan to become pregnant. Amlodipine and atorvastatin tablets may harm your unborn baby. If you become pregnant, stop taking amlodipine and atorvastatin tablets and call your healthcare provider right away.
  • are breastfeeding or plan to breastfeed. You and your healthcare provider should decide if you will take amlodipine and atorvastatin tablets or breastfeed. You should not do both. Talk to your healthcare provider about the best way to feed your baby if you take amlodipine and atorvastatin tablets. 


Tell your healthcare provider about all the medicines you take, including prescription and over-the-counter medicines, vitamins, and herbal supplements. Amlodipine and atorvastatin tablets and certain other medicines can increase the risk of muscle problems or other side effects. Especially tell your healthcare provider if you take medicines for: 



  • your immune system (cyclosporine) 
  • cholesterol (gemfibrozil)
  • infections (erythromycin, clarithromycin, itraconazole, ketoconazole, posaconazole, and voriconazole)
  • birth control pills
  • heart failure (digoxin)
  • gout (colchicine)
  • niacin
  • fibrates
  • treating HIV, AIDS, or hepatitis C (anti-virals)
  • tipranavir plus ritonavir
  • glecaprevir plus pibrentasvir
  • ledipasvir plus sofosbuvir
  • simeprevir
  • saquinavir plus ritonavir
  • darunavir plus ritonavir
  • fosamprenavir
  • fosamprenavir plus ritonavir
  • elbasvir plus grazoprevir
  • letermovir
  • nelfinavir
 



You can use nitroglycerin and amlodipine and atorvastatin tablets together. If you take nitroglycerin for chest pain (angina), do not stop taking it while taking amlodipine and atorvastatin tablets.



Ask your healthcare provider or pharmacist for a list of medicines if you are not sure. Know all the medicines you take. Keep a list of them with you to show your healthcare provider and pharmacist when you get a new medicine.



How should I take amlodipine and atorvastatin tablets?

 

  • Take amlodipine and atorvastatin tablets exactly as your healthcare provider tells you to take it.
  • Do not change your dose or stop amlodipine and atorvastatin tablets without talking to your healthcare provider.
  • Your healthcare provider may do blood tests to check your cholesterol levels during your treatment with amlodipine and atorvastatin tablets. Your dose of amlodipine and atorvastatin tablets may be changed based on these blood test results.
  • Take amlodipine and atorvastatin tablets each day at any time of day. Amlodipine and atorvastatin tablets can be taken with or without food.
  • Do not break the tablets before taking them. Talk to your healthcare provider if you have a problem swallowing pills.
  • Your healthcare provider may start you on a cholesterol-lowering diet before giving you amlodipine and atorvastatin tablets. Stay on this low-fat diet when you take amlodipine and atorvastatin tablets.
  • If you miss a dose, take it as soon as you remember. Do not take amlodipine and atorvastatin tablets if it has been more than 12 hours since you missed your last dose. Wait and take the next dose at your regular time. Do not take 2 doses of amlodipine and atorvastatin tablets at the same time. If you take too much amlodipine and atorvastatin tablets or overdose, call your healthcare provider or Poison Control Center at 1-800-222-1222 or go to the nearest emergency room right away. 


What should I avoid while taking amlodipine and atorvastatin tablets?

  • Avoid drinking more than 1.2 liters of grapefruit juice each day.

 

What are possible side effects of amlodipine and atorvastatin tablets?

Amlodipine and atorvastatin tablets can cause serious side effects including:

  • Muscle pain, tenderness and weakness (myopathy). Muscle problems, including muscle breakdown, can be serious in some people and, rarely, cause kidney damage that can lead to death. 

    Tell your healthcare provider right away if you have:
    • unexplained muscle pain, tenderness, or weakness, especially if you also have a fever or feel more tired than usual while you take amlodipine and atorvastatin tablets.
    • muscle problems that do not go away after your healthcare provider has told you to stop taking amlodipine and atorvastatin tablets. Your healthcare provider may do further tests to diagnose the cause of your muscle problems.
    Your chances of getting muscle problems are higher if you:
    • are taking certain other medicines while you take amlodipine and atorvastatin tablets
    • drink large amounts of grapefruit juice
    • are 65 years of age or older
    • have thyroid problems (hypothyroidism) that are not controlled
    • have kidney problems
    • are taking higher doses of amlodipine and atorvastatin tablets
  • Liver problems. Your healthcare provider should do blood tests to check your liver before you start taking amlodipine and atorvastatin tablets and if you have symptoms of liver problems while you take amlodipine and atorvastatin tablets. Call your healthcare provider right away if you have the following symptoms of liver problems:
    • feel tired or weak
    • onausea or vomiting
    • loss of appetite
    • upper belly pain
    • dark amber colored urine
    • yellowing of your skin or the whites of your eyes
  • Low blood pressure or dizziness
  • Muscle rigidity, tremor and/or abnormal muscle movement
  • Increase in blood sugar level. Your blood sugar level may increase while you are taking amlodipine and atorvastatin tablets.

      Exercise regularly and make healthy food choices to maintain healthy body weight.

 

Call your healthcare provider right away if:

•  allergic reactions including swelling of the face, lips, tongue, and/or throat that may cause difficulty in breathing or swallowing which may require treatment right away

•  you have allergic skin reactions

•  Chest pain that does not go away or gets worse. Sometimes when you start amlodipine and atorvastatin tablets or increase your dose, chest pain can get worse or a heart attack can happen. If this happens, call your healthcare provider or go to the emergency room right away.



Common side effects of amlodipine and atorvastatin tablets include:

  • nasal congestion, sore throat, runny nose
  • muscle and joint pain
  • diarrhea
  • pain in extremity
  • urinary tract infection
  • upset stomach
  • nausea
  • musculoskeletal pain
  • muscle spasms
  • trouble sleeping
  • throat pain
  • swelling of your legs or ankles


Additional side effects have been reported: tiredness, tendon problems, memory loss, and confusion.



Talk to your healthcare provider or pharmacist about side effects that bother you or do not go away. There are other side effects of amlodipine and atorvastatin tablets. Ask your healthcare provider or pharmacist for a complete list.

 

How do I store amlodipine and atorvastatin tablets?

• Store amlodipine and atorvastatin tablets at room temperature, 68°F to 77°F (20°C to 25°C).

• Amlodipine and atorvastatin tablets come in a child-resistant package.

• Do not keep medicine that is out-of-date or that you no longer need.

• Keep amlodipine and atorvastatin tablets and all medicines out of the reach of children.



General information about the safe and effective use of amlodipine and atorvastatin tablets

Medicines are sometimes prescribed for purposes other than those listed in a Patient Information leaflet. Do not use amlodipine and atorvastatin tablets for a condition for which it was not prescribed. Do not give amlodipine and atorvastatin tablets to other people, even if they have the same symptoms that you have. It may harm them.



If you want more information about amlodipine and atorvastatin tablets, talk with your healthcare provider. You can ask your pharmacist or healthcare provider for information about amlodipine and atorvastatin tablets that is written for health professionals.



What is high blood pressure (hypertension)?

You have high blood pressure when the force of blood against the walls of your arteries stays high. This can damage your heart and other parts of your body. Drugs that lower blood pressure lower your risk of having a stroke or heart attack.



What is angina (chest pain)?

Angina is a pain that keeps coming back when part of your heart does not get enough blood. It feels like something is pressing or squeezing your chest under the breastbone. Sometimes you can feel it in your shoulders, arms, neck, jaw, or back.



What is cholesterol?

Cholesterol is a fat-like substance made in your body. It is also found in foods. You need some cholesterol for good health, but too much is not good for you. Cholesterol can clog your blood vessels.

What is a heart attack?

A heart attack occurs when heart muscle does not get enough blood. Symptoms include chest pain, trouble breathing, nausea, and weakness. Heart muscle cells may be damaged or die. The heart cannot pump well or may stop beating.



What is a stroke?

A stroke occurs when nerve cells in the brain do not get enough blood. The cells may be damaged or die. The damaged cells may cause weakness or problems speaking or thinking.



WHAT ARE THE INGREDIENTS IN AMLODIPINE AND ATORVASTATIN TABLETS?

Active ingredients: amlodipine besylate, atorvastatin calcium

Inactive ingredients:  calcium carbonate, colloidal silicon dioxide, croscarmellose sodium, hydroxypropyl cellulose, magnesium stearate, microcrystalline cellulose, polyethylene glycol 3000, polysorbate 80, polyvinyl alcohol, pregelatinized starch, talc and titanium dioxide. Additionally 10 mg/10 mg, 10 mg/20 mg, 10 mg/40 mg and 10 mg/80 mg also contains FD&C Blue #2 Aluminum Lake.



Manufactured by:

Alembic Pharmaceuticals Limited

(Formulation Division),

Village Panelav, P. O. Tajpura,

Near Baska, Taluka-Halol,

Panchmahal 389350, Gujarat, India.





Revised: 05/2025

10 Overdosage

There is no information on overdosage with amlodipine and atorvastatin in humans.

Amlodipine

Overdosage might be expected to cause excessive peripheral vasodilation with marked hypotension and possibly a reflex tachycardia. In humans, experience with intentional overdosage of amlodipine is limited.



Single oral doses of amlodipine maleate equivalent to 40 mg amlodipine/kg and 100 mg amlodipine/kg in mice and rats, respectively, caused deaths. Single oral amlodipine maleate doses equivalent to 4 or more mg amlodipine/kg or higher in dogs (11 or more times the MRHD on a mg/m2 basis) caused a marked peripheral vasodilation and hypotension.



If overdose should occur with amlodipine, initiate active cardiac and respiratory monitoring. Perform frequent blood pressure measurements. Should hypotension occur, provide cardiovascular support including elevation of the extremities and administration of fluids. If hypotension remains unresponsive to these conservative measures, consider administration of vasopressors (such as phenylephrine) with specific attention to circulating volume and urine output. As amlodipine is highly protein bound, hemodialysis is not likely to be of benefit.



Atorvastatin

No specific antidotes for atorvastatin are known. Contact Poison Control (1-800-222-1222) for latest recommendations. Due to extensive drug binding to plasma proteins, hemodialysis is not expected to significantly enhance atorvastatin clearance.

8.1 Pregnancy

Risk Summary

Atorvastatin  

Discontinue atorvastatin when pregnancy is recognized. Alternatively, consider the ongoing therapeutic needs of the individual patient. Atorvastatin decreases synthesis of cholesterol and possibly other biologically active substances derived from cholesterol; therefore, atorvastatin may cause fetal harm when administered to pregnant patients based on the mechanism of action [see Clinical Pharmacology (12.1)]. In addition, treatment of hyperlipidemia is not generally necessary during pregnancy. Atherosclerosis is a chronic process and the discontinuation of lipid-lowering drugs during pregnancy should have little impact on the outcome of long-term therapy of primary hyperlipidemia for most patients.



Available data from case series and prospective and retrospective observational cohort studies over decades of use with statins in pregnant women have not identified a drug-associated risk of major congenital malformations. Published data from prospective and retrospective observational cohort studies with atorvastatin use in pregnant women are insufficient to determine if there is a drug-associated risk of miscarriage (see Data). In animal reproduction studies, no adverse developmental effects were observed in pregnant rats or rabbits orally administered atorvastatin at doses that resulted in up to 30 and 20 times, respectively, the human exposure at the maximum recommended human dose (MRHD) of 80 mg, based on body surface area (mg/m2). In rats administered atorvastatin during gestation and lactation, decreased postnatal growth and development delay were observed at doses ≥ 6 times the MRHD (see Data).



 

Amlodipine

The limited available data based on postmarketing reports with amlodipine use in pregnant women are not sufficient to inform a drug-associated risk for major birth defects and miscarriage. There are risks to the mother and fetus associated with poorly controlled hypertension in pregnancy (see Clinical Considerations). In animal reproduction studies, there was no evidence of adverse developmental effects when pregnant rats and rabbits were treated orally with amlodipine maleate during organogenesis at doses approximately 10 and 20-times MRHD, respectively. However for rats, litter size was significantly decreased (by about 50%) and the number of intrauterine deaths was significantly increased (about 5-fold). Amlodipine has been shown to prolong both the gestation period and the duration of labor in rats at this dose (see Data).



The estimated background risk of major birth defects and miscarriage for the indicated population is unknown. All pregnancies have a background risk of birth defect, loss or other adverse outcomes. In the U.S. general population, the estimated background risk of major birth defects and miscarriage in clinically recognized pregnancies is 2 to 4% and 15 to 20%, respectively.



Clinical Considerations

Disease-associated maternal and/or embryo/fetal risk

Hypertension in pregnancy increases the maternal risk for pre-eclampsia, gestational diabetes, premature delivery, and delivery complications (e.g., need for cesarean section and post-partum hemorrhage). Hypertension increases the fetal risk for intrauterine growth restriction and intrauterine death. Pregnant women with hypertension should be carefully monitored and managed accordingly.



Data

Human Data

Atorvastatin

A Medicaid cohort linkage study of 1152 statin-exposed pregnant women compared to 886,996 controls did not find a significant teratogenic effect from maternal use of statins in the first trimester of pregnancy, after adjusting for potential confounders– including maternal age, diabetes mellitus, hypertension, obesity, and alcohol and tobacco use – using propensity score-based methods. The relative risk of congenital malformations between the group with statin use and the group with no statin use in the first trimester was 1.07 (95% confidence interval 0.85 to 1.37) after controlling for confounders, particularly pre-existing diabetes mellitus. There were also no statistically significant increases in any of the organ-specific malformations assessed after accounting for confounders. In the majority of pregnancies, statin treatment was initiated prior to pregnancy and was discontinued at some point in the first trimester when pregnancy was identified. Study limitations include reliance on physician coding to define the presence of a malformation, lack of control for certain confounders such as body mass index, use of prescription dispensing as verification for the use of a statin, and lack of information on non-live births.

   

Animal Data



Atorvastatin

Was administered to pregnant rats and rabbits during organogenesis at oral doses up to 300 mg/kg/day and 100 mg/kg/day, respectively. Atorvastatin was not teratogenic in rats at doses up to 300 mg/kg/day or in rabbits at doses up to 100 mg/kg/day. These doses resulted in multiples of about 30 times (rat) or 20 times (rabbit) the human exposure at the MRHD based on surface area (mg/m2). In rats, the maternally toxic dose of 300 mg/kg resulted in increased post-implantation loss and decreased fetal body weight. At the maternally toxic doses of 50 and 100 mg/kg/day in rabbits, there was increased post-implantation loss, and at 100 mg/kg/day fetal body weights were decreased.



In a study in pregnant rats administered 20, 100, or 225 mg/kg/day, from gestation day 7 through to lactation day 20 (weaning), there was decreased survival at birth, postnatal day 4, weaning, and post-weaning in pups of mothers dosed with 225 mg/kg/day, a dose at which maternal toxicity was observed. Pup body weight was decreased through postnatal day 21 at 100 mg/kg/day, and through postnatal day 91 at 225 mg/kg/day. Pup development was delayed (rotorod performance at 100 mg/kg/day and acoustic startle at 225 mg/kg/day; pinnae detachment and eye-opening at 225 mg/kg/day). These doses of atorvastatin correspond to 6 times (100 mg/kg) and 22 times (225 mg/kg) the human exposure at the MRHD, based on AUC.



Atorvastatin crosses the rat placenta and reaches a level in fetal liver equivalent to that of maternal plasma.



Amlodipine

No evidence of teratogenicity or other embryo/fetal toxicity was found when pregnant rats and rabbits were treated orally with amlodipine maleate at doses up to 10 mg amlodipine/kg/day (approximately 10 and 20 times the MRHD based on body surface area, respectively) during their respective periods of major organogenesis. However, for rats, litter size was significantly decreased (by about 50%) and the number of intrauterine deaths was significantly increased (about 5-fold) in rats receiving amlodipine maleate at a dose equivalent to 10 mg amlodipine/kg/day for 14 days before mating and throughout mating and gestation. Amlodipine maleate has been shown to prolong both the gestation period and the duration of labor in rats at this dose.

8.2 Lactation

Risk Summary

Atorvastatin

There is no information about the presence of atorvastatin in human milk, the effects of the drug on the breastfed infant or the effects of the drug on milk production. However, it has been shown that another drug in this class passes into human milk. Studies in rats have shown that atorvastatin and/or its metabolites are present in the breast milk of lactating rats. When a drug is present in animal milk, it is likely that the drug will be present in human milk (see Data). Statins, including atorvastatin, decrease cholesterol synthesis and possibly the synthesis of other biologically active substances derived from cholesterol and may cause harm to the breastfed infant.



Because of the potential for serious adverse reactions in a breastfed infant, based on the mechanism of action, advise patients that breastfeeding is not recommended during treatment with amlodipine and atorvastatin [see Use in Specific Populations (8.1) and Clinical Pharmacology (12.1)].



Data

Following a single oral administration of 10 mg/kg of radioactive atorvastatin to lactating rats, the concentration of total radioactivity was determined. Atorvastatin and/or its metabolites were measured in the breast milk and pup plasma at a 2:1 ratio (milk:plasma).



Amlodipine

Limited available data from a published clinical lactation study reports that amlodipine is present in human milk at an estimated median relative infant dose of 4.2%. No adverse effects of amlodipine on the breastfed infant have been observed. There is no available information on the effects of amlodipine on milk production.

11 Description

Amlodipine and atorvastatin tablets, USP combine the calcium channel blocker amlodipine besylate, USP with the HMG-CoA-reductase inhibitor atorvastatin calcium, USP.



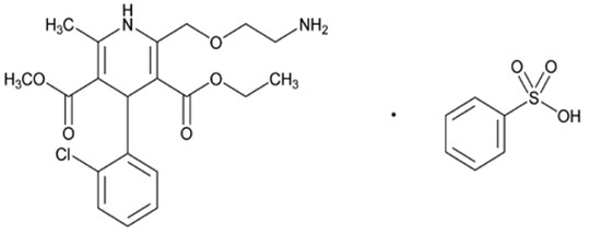
Amlodipine besylate, USP is chemically described as 3-ethyl-5-methyl (±)-2-[(2-aminoethoxy)methyl]-4-(o-chlorophenyl)-1,4-dihydro­ 6-methyl-3,5-pyridinedicarboxylate, monobenzenesulphonate. Its empirical formula is C20H25ClN2O5•C6H6O3S.



Atorvastatin calcium, USP is chemically described as [R-(R*, R*)]-2-(4-fluorophenyl)-ß, δ-dihydroxy-5-(1-methylethyl)-3-phenyl­4-[(phenylamino)carbonyl]-1H-pyrrole-1-heptanoic acid, calcium salt (2:1) trihydrate. Its empirical formula is (C33H34FN2O5)2Ca•3H2O.



The structural formulae for amlodipine besylate, USP and atorvastatin calcium, USP are shown below.

Amlodipine besylate

Atorvastatin calcium



Amlodipine and atorvastatin tablets, USP contain amlodipine besylate, USP, a white or almost white powder, and atorvastatin calcium, USP, a white to off-white powder. Amlodipine besylate, USP has a molecular weight of 567.1 and atorvastatin calcium, USP has a molecular weight of 1209.42. Amlodipine besylate, USP is freely soluble in methanol, sparingly soluble in ethanol, slightly soluble in 2-propanol and in water. Atorvastatin calcium, USP is freely soluble in methanol, slightly soluble in ethanol, very slightly soluble in water and in pH 7.4 phosphate buffer, insoluble in aqueous solution of pH 4 and in acetonitrile.



Amlodipine and atorvastatin tablets, USP are available as film-coated tablets for oral administration containing:

• 2.5 mg amlodipine equivalent to 3.5 mg amlodipine besylate, USP and 10 mg atorvastatin equivalent to 10.3 mg atorvastatin  calcium, USP.

• 2.5 mg amlodipine equivalent to 3.5 mg amlodipine besylate, USP and 20 mg atorvastatin equivalent to 20.7 mg atorvastatin  calcium, USP.

• 2.5 mg amlodipine equivalent to 3.5 mg amlodipine besylate, USP and 40 mg atorvastatin equivalent to 41.4 mg atorvastatin  calcium, USP.

• 5 mg amlodipine equivalent to 6.9 mg amlodipine besylate, USP and 10 mg atorvastatin equivalent to 10.3 mg atorvastatin  calcium, USP.

• 5 mg amlodipine equivalent to 6.9 mg amlodipine besylate, USP and 20 mg atorvastatin equivalent to 20.7 mg atorvastatin  calcium, USP.

• 5 mg amlodipine equivalent to 6.9 mg amlodipine besylate, USP and 40 mg atorvastatin equivalent to 41.4 mg atorvastatin  calcium, USP.

• 5 mg amlodipine equivalent to 6.9 mg amlodipine besylate, USP and 80 mg atorvastatin equivalent to 82.7 mg atorvastatin  calcium, USP.

• 10 mg amlodipine equivalent to 13.9 mg amlodipine besylate, USP and 10 mg atorvastatin equivalent to 10.3 mg atorvastatin  calcium, USP.

• 10 mg amlodipine equivalent to 13.9 mg amlodipine besylate, USP and 20 mg atorvastatin equivalent to 20.7 mg atorvastatin  calcium, USP.

• 10 mg amlodipine equivalent to 13.9 mg amlodipine besylate, USP and 40 mg atorvastatin equivalent to 41.4 mg atorvastatin  calcium, USP.

• 10 mg amlodipine equivalent to 13.9 mg amlodipine besylate, USP and 80 mg atorvastatin equivalent to 82.7 mg atorvastatin  calcium, USP.



Each film-coated tablet also contains calcium carbonate, colloidal silicon dioxide, croscarmellose sodium, hydroxypropyl cellulose, magnesium stearate, microcrystalline cellulose, polyethylene glycol 3000, polysorbate 80, polyvinyl alcohol, pregelatinized starch, talc and titanium dioxide. Additionally 10 mg/10 mg, 10 mg/20 mg, 10 mg/40 mg and 10 mg/80 mg also contains FD&C Blue #2 Aluminum Lake.



Amlodipine and atorvastatin tablets, USP meets USP Dissolution Test 2.

5.5 Hypotension

Symptomatic hypotension is possible with use of amlodipine, particularly in patients with severe aortic stenosis. Because of the gradual onset of action, acute hypotension is unlikely.



8.4 Pediatric Use

The safety and effectiveness of amlodipine and atorvastatin have not been established in pediatric populations.



Amlodipine

Amlodipine (2.5 to 5 mg daily) is effective in lowering blood pressure in patients 6 to 17 years [see Clinical Studies (14.1)]. The effect of amlodipine on blood pressure in patients less than 6 years of age is not known.



Atorvastatin

The safety and effectiveness of atorvastatin as an adjunct to diet to reduce LDL-C have been established in pediatric patients 10 years of age and older with HeFH. Use of atorvastatin for this indication is based on a double-blind, placebo-controlled clinical trial in 187 pediatric patients 10 years of age and older with HeFH. In this limited controlled trial, there was no significant effect on growth or sexual maturation in the males or females, or on menstrual cycle length in females.



The safety and effectiveness of atorvastatin as an adjunct to other LDL-C-lowering therapies to reduce LDL-C have been established in pediatric patients 10 years of age and older with HoFH. Use of amlodipine and atorvastatin for this indication is based on a trial without a concurrent control group in 8 pediatric patients 10 years of age and older with HoFH [see Clinical Studies (14)].



The safety and effectiveness of atorvastatin have not been established in pediatric patients younger than 10 years of age with HeFH or HoFH, or in pediatric patients with other types of hyperlipidemia (other than HeFH or HoFH).

8.5 Geriatric Use

Safety and effectiveness of amlodipine and atorvastatin have not been established in geriatric populations.



Amlodipine

Clinical studies of amlodipine did not include sufficient numbers of subjects aged 65 and over to determine whether they respond differently from younger subjects. Other reported clinical experience has not identified differences in responses between the elderly and younger patients. In general, dose selection for an elderly patient should be cautious, usually starting at the low end of the dosing range, reflecting the greater frequency of decreased hepatic, renal, or cardiac function, and of concomitant disease or other drug therapy. Elderly patients have decreased clearance of amlodipine with a resulting increase of AUC of approximately 40 to 60%, and a lower initial dose may be required [see Dosage and Administration (2)].



Atorvastatin

Of the total number of atorvastatin-treated patients in clinical trials, 15,813 (40%) were ≥ 65 years old and 2,800 (7%) were ≥ 75 years old. No overall differences in safety or effectiveness were observed between these patients and younger patients.



Advanced age (≥ 65 years) is a risk factor for atorvastatin -associated myopathy and rhabdomyolysis.



Dose selection for an elderly patient should be cautious, recognizing the greater frequency of decreased hepatic, renal, or cardiac function, and of concomitant disease or other drug therapy and the higher risk of myopathy. Monitor geriatric patients receiving amlodipine and atorvastatin for the increased risk of myopathy [see Warnings and Precautions (5.1) and Clinical Pharmacology (12.3)].

4 Contraindications
  • Acute liver failure or decompensated cirrhosis [see Warnings and Precautions (5.3)].
  • Hypersensitivity to amlodipine, atorvastatin or any excipients in amlodipine and atorvastatin. Hypersensitivity reactions, including anaphylaxis, angioneurotic edema, erythema multiforme, Stevens-Johnson syndrome, and toxic epidermal necrolysis, have been reported [see Adverse Reactions (6.2)]
6 Adverse Reactions

The following important adverse reactions are described below and elsewhere in the labeling:

  • Myopathy and Rhabdomyolysis [see Warnings and Precautions (5.1)]
  • Immune-Mediated Necrotizing Myopathy [see Warnings and Precautions (5.2)]
  • Hepatic Dysfunction [see Warnings and Precautions (5.3)]
  • Increases in HbA1c and Fasting Serum Glucose Levels [see Warnings and Precautions (5.6)] 
7 Drug Interactions

Data from a drug-drug interaction study involving 10 mg of amlodipine and 80 mg of atorvastatin in healthy subjects indicate that the pharmacokinetics of amlodipine are not altered when the drugs are co-administered. The effect of amlodipine on the pharmacokinetics of atorvastatin showed no effect on the Cmax: 91% (90% confidence interval: 80 to 103%), but the AUC of atorvastatin increased by 18% (90% confidence interval: 109 to 127%) in the presence of amlodipine, which is not clinically meaningful.



No drug interaction studies have been conducted with amlodipine and atorvastatin and other drugs, although studies have been conducted in the individual amlodipine and atorvastatin components, as described below:



Amlodipine

8.6 Renal Impairment

Renal impairment is a risk factor for myopathy and rhabdomyolysis. Monitor all patients with renal impairment for development of myopathy. Renal impairment does not affect the plasma concentrations of atorvastatin, therefore there is no dosage adjustment in patients with renal impairment [see Warnings and Precautions (5.1) and Clinical Pharmacology (12.3)].

12.2 Pharmacodynamics

Amlodipine

Following administration of therapeutic doses to patients with hypertension, amlodipine produces vasodilation resulting in a reduction of supine and standing blood pressures. These decreases in blood pressure are not accompanied by a significant change in heart rate or plasma catecholamine levels with chronic dosing. Although the acute intravenous administration of amlodipine decreases arterial blood pressure and increases heart rate in hemodynamic studies of patients with chronic stable angina, chronic oral administration of amlodipine in clinical trials did not lead to clinically significant changes in heart rate or blood pressures in normotensive patients with angina.



With chronic once daily oral administration, antihypertensive effectiveness is maintained for at least 24 hours. Plasma concentrations correlate with effect in both young and elderly patients. The magnitude of reduction in blood pressure with amlodipine is also correlated with the height of pretreatment elevation; thus, individuals with moderate hypertension (diastolic pressure 105 to 114 mmHg) had about a 50% greater response than patients with mild hypertension (diastolic pressure 90 to 104 mmHg). Normotensive subjects experienced no clinically significant change in blood pressures (+1/–2 mmHg).



In hypertensive patients with normal renal function, therapeutic doses of amlodipine resulted in a decrease in renal vascular resistance and an increase in glomerular filtration rate and effective renal plasma flow without change in filtration fraction or proteinuria.



As with other calcium channel blockers, hemodynamic measurements of cardiac function at rest and during exercise (or pacing) in patients with normal ventricular function treated with amlodipine have generally demonstrated a small increase in cardiac index without significant influence on dP/dt or on left ventricular end diastolic pressure or volume. In hemodynamic studies, amlodipine has not been associated with a negative inotropic effect when administered in the therapeutic dose range to intact animals and man, even when co-administered with beta-blockers to man. Similar findings, however, have been observed in normal or well-compensated patients with heart failure with agents possessing significant negative inotropic effects.



Amlodipine does not change sinoatrial nodal function or atrioventricular conduction in intact animals or man. In patients with chronic stable angina, intravenous administration of 10 mg did not significantly alter A-H and H-V conduction and sinus node recovery time after pacing. Similar results were obtained in patients receiving amlodipine and concomitant beta-blockers. In clinical studies in which amlodipine was administered in combination with beta-blockers to patients with either hypertension or angina, no adverse effects on electrocardiographic parameters were observed. In clinical trials with angina patients alone, amlodipine therapy did not alter electrocardiographic intervals or produce higher degrees of AV blocks.



Atorvastatin

Atorvastatin, as well as some of its metabolites, are pharmacologically active in humans. The liver is the primary site of action and the principal site of cholesterol synthesis and LDL clearance. Drug dosage, rather than systemic drug concentration, correlates better with LDL-C reduction. Individualization of drug dosage should be based on therapeutic response [see Dosage and Administration (2)].



Drug Interactions

Sildenafil: When amlodipine and sildenafil were used in combination, each agent independently exerted its own blood pressure lowering effect [see Drug Interactions (7.1)].

12.3 Pharmacokinetics

Absorption

Amlodipine: After oral administration of therapeutic doses of amlodipine alone, absorption produces peak plasma concentrations between 6 and 12 hours. Absolute bioavailability has been estimated to be between 64% and 90%.



Atorvastatin: After oral administration alone, atorvastatin is rapidly absorbed; maximum plasma concentrations occur within 1 to 2 hours. Extent of absorption increases in proportion to atorvastatin dose. The absolute bioavailability of atorvastatin (parent drug) is approximately 14% and the systemic availability of HMG-CoA reductase inhibitory activity is approximately 30%. The low systemic availability is attributed to presystemic clearance in gastrointestinal mucosa and/or hepatic first-pass metabolism. Although food decreases the rate and extent of drug absorption by approximately 25% and 9%, respectively, as assessed by Cmax and AUC, LDL-C reduction is similar whether atorvastatin is given with or without food Plasma atorvastatin concentrations are lower (approximately 30% for Cmax and AUC) following evening drug administration compared with morning. However, LDL-C reduction is the same regardless of the time of day of drug administration.

   

Amlodipine and atorvastatin: Following oral administration of amlodipine and atorvastatin, peak plasma concentrations of amlodipine and atorvastatin are seen at 6 to 12 hours and 1 to 2 hours post dosing, respectively. The rate and extent of absorption (bioavailability) of amlodipine and atorvastatin from amlodipine and atorvastatin are not significantly different from the bioavailability of amlodipine and atorvastatin administered separately (see above).



The bioavailability of amlodipine from amlodipine and atorvastatin was not affected by food. Food decreases the rate and extent of absorption of atorvastatin from amlodipine and atorvastatin by approximately 32% and 11%, respectively, as it does with atorvastatin when given alone. LDL-C reduction is similar whether atorvastatin is given with or without food.



Distribution

Amlodipine: Ex vivo studies have shown that approximately 93% of the circulating amlodipine drug is bound to plasma proteins in hypertensive patients. Steady-state plasma levels of amlodipine are reached after 7 to 8 days of consecutive daily dosing.



Atorvastatin: Mean volume of distribution of atorvastatin is approximately 381 liters. Atorvastatin is ≥ 98% bound to plasma proteins. A blood/plasma ratio of approximately 0.25 indicates poor drug penetration into red blood cells.



Elimination

 

Metabolism

Amlodipine: Amlodipine is extensively (about 90%) converted to inactive metabolites via hepatic metabolism.



Atorvastatin: Atorvastatin is extensively metabolized to ortho- and parahydroxylated derivatives and various beta-oxidation products. In vitro inhibition of HMG-CoA reductase by ortho- and parahydroxylated metabolites is equivalent to that of atorvastatin. Approximately 70% of circulating inhibitory activity for HMG-CoA reductase is attributed to active metabolites. In vitro studies suggest the importance of atorvastatin metabolism by cytochrome P4503A4, consistent with increased plasma concentrations of atorvastatin in humans following co-administration with erythromycin, a known inhibitor of this isozyme [see Drug Interactions (7)]. In animals, the ortho-hydroxy metabolite undergoes further glucuronidation.



Excretion

Amlodipine: Elimination from the plasma is biphasic with a terminal elimination half-life of about 30 to 50 hours. Ten percent of the parent amlodipine compound and 60% of the metabolites of amlodipine are excreted in the urine.



Atorvastatin: Atorvastatin and its metabolites are eliminated primarily in bile following hepatic and/or extra-hepatic metabolism; however, the drug does not appear to undergo enterohepatic recirculation. Mean plasma elimination half-life of atorvastatin in humans is approximately 14 hours, but the half-life of inhibitory activity for HMG-CoA reductase is 20 to 30 hours because of the contribution of active metabolites. Less than 2% of a dose of atorvastatin is recovered in urine following oral administration.



Specific Populations

Geriatric

Amlodipine: Elderly patients have decreased clearance of amlodipine with a resulting increase in AUC of approximately 40 to 60%, and a lower initial dose of amlodipine may be required.



Atorvastatin: Plasma concentrations of atorvastatin are higher (approximately 40% for Cmax and 30% for AUC) in healthy elderly subjects (age ≥ 65 years) than in young adults.



Pediatric

Amlodipine: Sixty-two hypertensive patients aged 6 to 17 years received doses of amlodipine between 1.25 mg and 20 mg. Weight-adjusted clearance and volume of distribution were similar to values in adults.



Atorvastatin: Apparent oral clearance of atorvastatin in pediatric subjects appeared similar to that of adults when scaled allometrically by body weight as the body weight was the only significant covariate in atorvastatin population pharmacokinetics model with data including pediatric HeFH patients (ages 10 years to 17 years of age, n=29) in an open-label, 8-week study.



Gender

Atorvastatin: Plasma concentrations of atorvastatin in females differ from those in males (approximately 20% higher for Cmax and 10% lower for AUC); however, there is no clinically significant difference in LDL-C reduction with atorvastatin between males and females.



Renal Impairment

Amlodipine: The pharmacokinetics of amlodipine are not significantly influenced by renal impairment. Patients with renal failure may therefore receive the usual initial amlodipine dose.



Atorvastatin: Renal disease has no influence on the plasma concentrations or LDL-C reduction of atorvastatin [see Use in Specific Populations (8.6)].



While studies have not been conducted in patients with end-stage renal disease, hemodialysis is not expected to clear atorvastatin or amlodipine since both drugs are extensively bound to plasma proteins.



Hepatic Impairment

Amlodipine: Elderly patients and patients with hepatic insufficiency have decreased clearance of amlodipine with a resulting increase in AUC of approximately 40 to 60%.



Atorvastatin: In patients with chronic alcoholic liver disease, plasma concentrations of atorvastatin are markedly increased. Cmax and AUC are each 4-fold greater in patients with Childs-Pugh A disease. Cmax and AUC of atorvastatin are approximately 16-fold and 11-fold increased, respectively, in patients with Childs-Pugh B disease [see Use in Specific Populations (8.7)].



Heart Failure

Amlodipine: In patients with moderate to severe heart failure, the increase in AUC for amlodipine was similar to that seen in the elderly and in patients with hepatic insufficiency.



Effects of Other Drugs on Amlodipine and Atorvastatin

Amlodipine:

Co-administered cimetidine, magnesium-and aluminum hydroxide antacids, sildenafil, and grapefruit juice have no impact on the exposure to amlodipine.

CYP3A inhibitors: Co-administration of a 180 mg daily dose of diltiazem with 5 mg amlodipine in elderly hypertensive patients resulted in a 60% increase in amlodipine systemic exposure. Erythromycin co-administration in healthy volunteers did not significantly change amlodipine systemic exposure. However, strong inhibitors of CYP3A (e.g., itraconazole, clarithromycin) may increase the plasma concentrations of amlodipine to a greater extent [see Drug Interactions (7.1)].



Atorvastatin:

Atorvastatin is a substrate of the hepatic transporters, OATP1B1 and OATP1B3 transporter. Metabolites of atorvastatin are substrates of OATP1B1. Atorvastatin is also identified as a substrate of the efflux transporter BCRP, which may limit the intestinal absorption and biliary clearance of atorvastatin.

Table 6 shows effects of other drugs on the pharmacokinetics of atorvastatin.

 

Table 6. Effect of Co-administered Drugs on the Pharmacokinetics of Atorvastatin



Co-administered drug and dosage regimen

Atorvastatin

Dosage (mg)

Ratio of AUC&

Ratio of Cmax &

#Cyclosporine 5.2 mg/kg/day, stable dose

10 mg QDa for 28 days

8.69

10.66

#Tipranavir 500 mg BIDb/ritonavir 200 mg BIDb, 7 days

10 mg SDc

9.36

8.58

#Glecaprevir 400 mg QDa/pibrentasvir 120 mg QDa, 7 days

10 mg QDa for 7 days

8.28

22

#Telaprevir 750 mg q8hf, 10 days

20 mg SDc

7.88

10.6

#, Saquinavir 400 mg BIDb/ritonavir 400 mg BIDb, 15 days

40 mg QDa for 4 days

3.93

4.31

#Elbasvir 50 mg QDa/grazoprevir 200 mg QDa, 13 days

10 mg SDc

1.94

4.34

#Simeprevir 150 mg QDa, 10 days

40 mg SDc

2.12

1.7

#Clarithromycin 500 mg BIDb, 9 days

80 mg QDa for 8 days

4.54

5.38

#Darunavir 300 mg BIDb/ritonavir 100 mg BIDb, 9 days

10 mg QDa for 4 days

3.45

2.25

#Itraconazole 200 mg QDa, 4 days

40 mg SDc

3.32

1.2

#Letermovir 480 mg QDa, 10 days

20 mg SDc

3.29

2.17

#Fosamprenavir 700 mg BIDb/ritonavir 100 mg BIDb, 14 days

10 mg QDa for 4 days

2.53

2.84

#Fosamprenavir 1400 mg BIDb, 14 days

10 mg QDa for 4 days

2.3

4.04

#Nelfinavir 1250 mg BIDb, 14 days

10 mg QDa for 28 days

1.74

2.22

#Grapefruit Juice, 240 mL QDa,*

40 mg SDc

1.37

1.16

Diltiazem 240 mg QDa, 28 days

40 mg SDc

1.51

1

Erythromycin 500 mg QIDe, 7 days

10 mg SDc

1.33

1.38

Amlodipine 10 mg, single dose

80 mg SDc

1.18

0.91

Cimetidine 300 mg QIDe, 2 weeks

10 mg QDa for 2 weeks

1

0.89

Colestipol 10 g BIDb, 24 weeks

40 mg QDa for 8 weeks

NA

0.74**

Maalox TC® 30 mL QIDe, 17 days

10 mg QDa for 15 days

0.66

0.67

Efavirenz 600 mg QDa, 14 days

10 mg for 3 days

0.59

1.01

#Rifampin 600 mg QDa, 7 days (co-administered)

40 mg SDc

1.12

2.9

#Rifampin 600 mg QDa, 5 days (doses separated)

40 mg SDc

0.2

0.6

#Gemfibrozil 600 mg BIDb, 7 days

40 mg SDc

1.35

1

#Fenofibrate 160 mg QDa, 7 days

40 mg SDc

1.03

1.02

Boceprevir 800 mg TIDd, 7 days

40 mg SDc

2.32

2.66



&   Represents ratio of treatments (co-administered drug plus atorvastatin vs atorvastatin alone).

#    See Sections 5.1 and 7 for clinical significance.

*   Greater increases in AUC (ratio of AUC up to 2.5) and/or Cmax (ratio of Cmax up to 1.71) have been reported with excessive grapefruit consumption (≥ 750 mL to 1.2 liters per day).

** Ratio based on a single sample taken 8 to 16 h post dose.

†   Due to the dual interaction mechanism of rifampin, simultaneous co-administration of atorvastatin with rifampin is recommended, as delayed administration of atorvastatin after administration of rifampin has been associated with a significant reduction in atorvastatin plasma concentrations.

    The dose of saquinavir plus ritonavir in this study is not the clinically used dose. The increase in atorvastatin exposure when used clinically is likely to be higher than what was observed in this study. Therefore, caution should be applied and the lowest dose necessary should be used.

a         Once daily

b         Twice daily

c         Single dosage

d         Three times daily 

 e         Four times daily  

f         Every 8 hours



Effects of Amlodipine and Atorvastatin   on Other Drugs

Amlodipine :

Amlodipine is a weak inhibitor of CYP3A and may increase exposure to CYP3A substrates. 



In vitro data indicate that amlodipine has no effect on the human plasma protein binding of digoxin, phenytoin, warfarin, and indomethacin.



Co-administered amlodipine does not affect the exposure to atorvastatin, digoxin, ethanol and the warfarin prothrombin response time.

  

Cyclosporine: A prospective study in renal transplant patients (N=11) showed on an average of 40% increase in trough cyclosporine levels when concomitantly treated with amlodipine [see Drug Interactions (7.2)]



Tacrolimus: A prospective study in healthy Chinese volunteers (N=9) with CYP3A5 expressers showed a 2.5- to 4-fold increase in tacrolimus exposure when concomitantly administered with amlodipine compared to tacrolimus alone. This finding was not observed in CYP3A5 non-expressers (N=6). However, a 3-fold increase in plasma exposure to tacrolimus in a renal transplant patient (CYP3A5 non-expresser) upon initiation of amlodipine for the treatment of post-transplant hypertension resulting in reduction of tacrolimus dose has been reported. Irrespective of the CYP3A5 genotype status, the possibility of an interaction cannot be excluded with these drugs [see Drug Interactions (7.2)].



Atorvastatin :

Table 7 shows the effects of atorvastatin on the pharmacokinetics of other drugs.



Table 7. Effect of Atorvastatin on the Pharmacokinetics of Co-administered Drugs

                                                   

 Atorvastatin

 
 Co-administered drug and dosage regimen

 
  

 
 Drug/Dosage (mg)

 
 Ratio of AUC

 
 Ratio of Cmax

 
 80 mg QDa for 15 days

 
 Antipyrine, 600 mg SDc

 
 1.03

 
 0.89

 
 80 mg QDa for 10 days

 
 # Digoxin 0.25 mg QDa, 20 days

 
 1.15

 
 1.2

 
 40 mg QDa for 22 days

 
 Oral contraceptive QDa, 2 months

 
  • –norethindrone 1 mg 

  • –ethinyl estradiol 35 µg
 
  

 1.28

 1.19

 
  

 1.23

 1.3

 
 10 mg SDc

 
 Tipranavir 500 mg BIDb/ritonavir 200 mg

 BIDb, 7 days

 
 1.08

 
 0.96

 
 10 mg QDa for 4 days

 
 Fosamprenavir 1400 mg BIDb, 14 days

 
 0.73

 
 0.82

 
 10 mg QDa for 4 days

 
 Fosamprenavir 700 mg BIDb/ritonavir 100 mg BIDb, 14 days

 
 0.99

 
 0.94

 

#       See Section 7 for clinical significance. 

a         Once daily

b      Twice daily

c      Single dosage

Atorvastatin had no clinically significant effect on prothrombin time when administered to patients receiving chronic warfarin treatment.

8.7 Hepatic Impairment

In patients with chronic alcoholic liver disease, plasma concentrations of atorvastatin are markedly increased. Cmax and AUC are each 4-fold greater in patients with Childs-Pugh A disease. Cmax and AUC are approximately 16-fold and 11-fold increased, respectively, in patients with Childs-Pugh B disease. Amlodipine and atorvastatin is contraindicated in patients with acute liver failure or decompensated cirrhosis [see Contraindications (4)].

1 Indications and Usage

Amlodipine and atorvastatin tablets are indicated in patients for whom treatment with both amlodipine and atorvastatin is appropriate.



Amlodipine



Hypertension

Amlodipine is indicated for the treatment of hypertension, to lower blood pressure. Lowering blood pressure reduces the risk of fatal and non-fatal cardiovascular events, primarily strokes and myocardial infarctions. These benefits have been seen in controlled trials of antihypertensive drugs from a wide variety of pharmacologic classes including amlodipine.



Control of high blood pressure should be part of comprehensive cardiovascular risk management, including, as appropriate, lipid control, diabetes management, antithrombotic therapy, smoking cessation, exercise, and limited sodium intake. Many patients will require more than one drug to achieve blood pressure goals. For specific advice on goals and management, see published guidelines, such as those of the National High Blood Pressure Education Program’s Joint National Committee on Prevention, Detection, Evaluation, and Treatment of High Blood Pressure (JNC).



Numerous antihypertensive drugs, from a variety of pharmacologic classes and with different mechanisms of action, have been shown in randomized controlled trials to reduce cardiovascular morbidity and mortality, and it can be concluded that it is blood pressure reduction, and not some other pharmacologic property of the drugs, that is largely responsible for those benefits. The largest and most consistent cardiovascular outcome benefit has been a reduction in the risk of stroke, but reductions in myocardial infarction and cardiovascular mortality also have been seen regularly.



Elevated systolic or diastolic pressure causes increased cardiovascular risk, and the absolute risk increase per mmHg is greater at higher blood pressures, so that even modest reductions of severe hypertension can provide substantial benefit. Relative risk reduction from blood pressure reduction is similar across populations with varying absolute risk, so the absolute benefit is greater in patients who are at higher risk independent of their hypertension (for example, patients with diabetes or hyperlipidemia), and such patients would be expected to benefit from more aggressive treatment to a lower blood pressure goal.



Some antihypertensive drugs have smaller blood pressure effects (as monotherapy) in black patients, and many antihypertensive drugs have additional approved indications and effects (e.g., on angina, heart failure, or diabetic kidney disease). These considerations may guide selection of therapy.



Amlodipine may be used alone or in combination with other antihypertensive agents.



Coronary Artery Disease (CAD)



Chronic Stable Angina

Amlodipine is indicated for the symptomatic treatment of chronic stable angina. Amlodipine may be used alone or in combination with other antianginal agents.



Vasospastic Angina (Prinzmetal’s or Variant Angina)

Amlodipine is indicated for the treatment of confirmed or suspected vasospastic angina. Amlodipine may be used as monotherapy or in combination with other antianginal agents.



Angiographically Documented CAD

In patients with recently documented CAD by angiography and without heart failure or an ejection fraction < 40%, amlodipine is indicated to reduce the risk of hospitalization for angina and to reduce the risk of a coronary revascularization procedure.



Atorvastatin 

Atorvastatin is indicated: 

• To reduce the risk of:

         o Myocardial infarction (MI), stroke, revascularization procedures, and angina in adults with multiple risk factors for coronary heart disease (CHD) but without clinically evident CHD

         o MI and stroke in adults with type 2 diabetes mellitus with multiple risk factors for CHD but without clinically evident CHD 

         o Non-fatal MI, fatal and non-fatal stroke, revascularization procedures, hospitalization for congestive heart failure, and angina in adults with clinically evident CHD 

• As an adjunct to diet to reduce low-density lipoprotein cholesterol (LDL-C) in:

         o Adults with primary hyperlipidemia. 

         o Adults and pediatric patients aged 10 years and older with heterozygous familial hypercholesterolemia (HeFH). 

• As an adjunct to other LDL-C-lowering therapies, or alone if such treatments are unavailable, to reduce LDL-C in adults and pediatric patients aged 10 years and older with homozygous familial hypercholesterolemia (HoFH). 

• As an adjunct to diet for the treatment of adults with:

         o Primary dysbetalipoproteinemia

         o Hypertriglyceridemia



5.3 Hepatic Dysfunction

Increases in serum transaminases have been reported with use of atorvastatin [see Adverse Reactions (6.1)]. In most cases, these changes appeared soon after initiation, were transient, were not accompanied by symptoms, and resolved or improved on continued therapy or after a brief interruption in therapy. Persistent increases to more than three times the ULN in serum transaminases have occurred in approximately 0.7% of patients receiving atorvastatin in clinical trials. There have been rare postmarketing reports of fatal and non-fatal hepatic failure in patients taking statins, including atorvastatin.



Patients who consume substantial quantities of alcohol and/or have a history of liver disease may be at increased risk for hepatic injury [see Use in Specific Populations (8.7)].



Consider liver enzyme testing before atorvastatin initiation and when clinically indicated thereafter. Atorvastatin is contraindicated in patients with acute liver failure or decompensated cirrhosis [see Contraindications (4)]. If serious hepatic injury with clinical symptoms and/or hyperbilirubinemia or jaundice occurs, promptly discontinue atorvastatin.

12.1 Mechanism of Action

Amlodipine and atorvastatin is a combination of two drugs, a dihydropyridine calcium channel blocker (amlodipine) and an HMG-CoA reductase inhibitor (atorvastatin). The amlodipine component of amlodipine and atorvastatin inhibits the transmembrane influx of calcium ions into vascular smooth muscle and cardiac muscle. The atorvastatin component of amlodipine and atorvastatin is a selective, competitive inhibitor of HMG-CoA reductase, the rate-limiting enzyme that converts 3-hydroxy-3-methylglutaryl-coenzyme A to mevalonate, a precursor of sterols, including cholesterol.



Amlodipine

Amlodipine binds to both dihydropyridine and nondihydropyridine binding sites. The contractile processes of cardiac muscle and vascular smooth muscle are dependent upon the movement of extracellular calcium ions into these cells through specific ion channels. Amlodipine inhibits calcium ion influx across cell membranes selectively, with a greater effect on vascular smooth muscle cells than on cardiac muscle cells. Negative inotropic effects can be detected in vitro but such effects have not been seen in intact animals at therapeutic doses. Serum calcium concentration is not affected by amlodipine.



Amlodipine is a peripheral arterial vasodilator that acts directly on vascular smooth muscle to cause a reduction in peripheral vascular resistance and reduction in blood pressure.



The precise mechanisms by which amlodipine relieves angina have not been fully delineated, but are thought to include the following:

Exertional Angina: In patients with exertional angina, amlodipine reduces the total peripheral resistance (afterload) against which the heart works and reduces the rate pressure product, and thus myocardial oxygen demand, at any given level of exercise.



Vasospastic Angina: Amlodipine has been demonstrated to block constriction and restore blood flow in coronary arteries and arterioles in response to calcium, potassium epinephrine, serotonin, and thromboxane A2 analog in experimental animal models and in human coronary vessels in vitro. This inhibition of coronary spasm is responsible for the effectiveness of amlodipine in vasospastic (Prinzmetal’s or variant) angina.



Atorvastatin

Atorvastatin is a selective, competitive inhibitor of HMG-CoA reductase, the rate-limiting enzyme that converts 3-hydroxy-3-methylglutaryl-coenzyme A to mevalonate, a precursor of sterols, including cholesterol. In animal models, atorvastatin lowers plasma cholesterol and lipoprotein levels by inhibiting HMG-CoA reductase and cholesterol synthesis in the liver and by increasing the number of hepatic LDL receptors on the cell surface to enhance uptake and catabolism of LDL; atorvastatin also reduces LDL production and the number of LDL particles. 

5 Warnings and Precautions

• Myopathy and Rhabdomyolysis: Risk factors include age 65 years or greater, uncontrolled hypothyroidism, renal impairment, concomitant use with certain other drugs, and higher amlodipine and atorvastatin dosage. Discontinue amlodipine and atorvastatin if markedly elevated CK levels occur or myopathy is diagnosed or suspected. Temporarily discontinue amlodipine and atorvastatin in patients experiencing an acute or serious condition at high risk of developing renal failure secondary to rhabdomyolysis. Inform patients of the risk of myopathy and rhabdomyolysis when starting or increasing amlodipine and atorvastatin dosage. Instruct patients to promptly report unexplained muscle pain, tenderness, or weakness, particularly if accompanied by malaise or fever (2, 5.1, 7.3, 8.5, 8.6).

• Immune-Mediated Necrotizing Myopathy (IMNM): Rare reports of IMNM, an autoimmune myopathy, have been reported with statin use. Discontinue amlodipine and atorvastatin if IMNM is suspected (5.2).

• Hepatic Dysfunction: Increases in serum transaminases have occurred, some persistent. Rare reports of fatal and non-fatal hepatic failure have occurred. Consider testing liver enzymes before initiating therapy and as clinically indicated thereafter. If serious hepatic injury with clinical symptoms and/or hyperbilirubinemia or jaundice occurs, promptly discontinue amlodipine and atorvastatin (5.3).

• Angina or myocardial infarction may occur with initiation or dose increase (5.4)

• Symptomatic hypotension is possible, particularly in patients with severe aortic stenosis. However, acute hypotension is unlikely (5.5). 

2 Dosage and Administration

Amlodipine and Atorvastatin Tablets

Dosage of amlodipine and atorvastatin tablets must be individualized on the basis of both effectiveness and tolerance for each individual component in the treatment of hypertension/angina and hyperlipidemia. Select doses of amlodipine and atorvastatin independently.



Amlodipine and atorvastatin tablets may be substituted for its individually titrated components. Patients may be given the equivalent dose of amlodipine and atorvastatin tablets or a dose of amlodipine and atorvastatin tablets with increased amounts of amlodipine, atorvastatin, or both for additional antianginal effects, blood pressure lowering, or lipid-lowering effect.



Amlodipine and atorvastatin tablets may be used to provide additional therapy for patients already on one of its components. Amlodipine and atorvastatin tablets may be used to initiate treatment in patients with hyperlipidemia and either hypertension or angina.



Important Dosage Information

Take amlodipine and atorvastatin tablets orally once daily at any time of the day, with or without food.



Amlodipine

The usual initial antihypertensive oral dosage of amlodipine is 5 mg once daily, and the maximum dose is 10 mg once daily.



Pediatric (age > 6 years), small adult, fragile, or elderly patients, or patients with hepatic insufficiency may be started on 2.5 mg once daily and this dose may be used when adding amlodipine to other antihypertensive therapy.



Adjust dosage according to blood pressure goals. In general, wait 7 to 14 days between titration steps. Titration may proceed more rapidly, however, if clinically warranted, provided the patient is assessed frequently.



Angina  The recommended dosage of amlodipine for chronic stable or vasospastic angina is 5 to 10 mg, with the lower dose suggested in the elderly and in patients with hepatic insufficiency. Most patients will require 10 mg for adequate effect.



Coronary Artery Disease  The recommended dosage range of amlodipine for patients with CAD is 5 to 10 mg once daily. In clinical studies, the majority of patients required 10 mg [see Clinical Studies (14.4)].



Pediatrics  The effective antihypertensive oral dose of amlodipine in pediatric patients ages 6 to 17 years is 2.5 mg to 5 mg once daily. Doses in excess of 5 mg daily have not been studied in pediatric patients [see Clinical Pharmacology (12.3) and Clinical Studies (14.1)].



Atorvastatin



Assess LDL-C when clinically appropriate, as early as 4 weeks after initiating atorvastatin, and adjust the dosage if necessary. 



Recommended Dosage in Adult Patients 

The recommended starting dosage of atorvastatin is 10 mg to 20 mg once daily. The dosage range is 10 mg to 80 mg once daily. Patients who require reduction in LDL-C greater than 45% may be started at 40 mg once daily. 



Recommended Dosage in Pediatric Patients 10 Years of Age and Older with HeFH 

The recommended starting dosage of atorvastatin is 10 mg once daily. The dosage range is 10 mg to 20 mg once daily. 



Recommended Dosage in Pediatric Patients 10 Years of Age and Older with HoFH 

The recommended starting dosage of atorvastatin is 10 mg to 20 mg once daily. The dosage range is 10 mg to 80 mg once daily. 



Dosage Modifications Due to Drug Interactions

Concomitant use of atorvastatin with the following drugs requires dosage modification of atorvastatin [see Warnings and Precautions (5.1) and Drug Interactions (7.1)].



Anti-Viral Medications  

• In patients taking saquinavir plus ritonavir, darunavir plus ritonavir, fosamprenavir, fosamprenavir plus ritonavir, elbasvir plus grazoprevir or letermovir, do not exceed atorvastatin 20 mg once daily.

• In patients taking nelfinavir, do not exceed atorvastatin 40 mg once daily.



Select Azole Antifungals or Macrolide Antibiotics 

• In patients taking clarithromycin or itraconazole, do not exceed atorvastatin 20 mg once daily. 



For additional recommendations regarding concomitant use of atorvastatin with other anti-viral medications, azole antifungals or macrolide antibiotics, [see Drug Interactions (7.1)].

3 Dosage Forms and Strengths

Amlodipine and atorvastatin tablets, USP are formulated for oral administration in the following strength combinations:

Table 1

                                  

  

 
 Atorvastatin (mg)

 
 10

 
 20

 
 40

 
 80

 
 Amlodipine (mg)

 
 2.5

 
 X

 
 X

 
 X

 
 -­-

 
 5

 
 X

 
 X

 
 X

 
 X

 
 10

 
 X

 
 X

 
 X

 
 X

 

Combinations of atorvastatin with 2.5 mg and 5 mg amlodipine are film-coated, white to off white tablets and combinations of atorvastatin with 10 mg amlodipine are film-coated, light blue to blue tablets.

6.2 Postmarketing Experience

The following adverse reactions have been identified during post-approval use of amlodipine and atorvastatin. Because these reactions are reported voluntarily from a population of uncertain size, it is not always possible to reliably estimate their frequency or establish a causal relationship to drug exposure.



Amlodipine

The following postmarketing event has been reported infrequently where a causal relationship is uncertain: gynecomastia. In postmarketing experience, jaundice and hepatic enzyme elevations (mostly consistent with cholestasis or hepatitis), in some cases severe enough to require hospitalization, have been reported in association with use of amlodipine.



Postmarketing reporting has also revealed a possible association between extrapyramidal disorder and amlodipine.



Amlodipine has been used safely in patients with chronic obstructive pulmonary disease, well-compensated congestive heart failure, coronary artery disease, peripheral vascular disease, diabetes mellitus, and abnormal lipid profiles.



Atorvastatin

Gastrointestinal Disorders: pancreatitis

General Disorders: fatigue

Hepatobiliary Disorders: fatal and non-fatal hepatic failure

Immune System Disorders: anaphylaxis

Injury: tendon rupture

Musculoskeletal and Connective Tissue Disorders: rhabdomyolysis, myositis.

There have been rare reports of immune-mediated necrotizing myopathy associated with statin use.

Nervous System Disorders: dizziness, peripheral neuropathy.

There have been rare reports of cognitive impairment (e.g., memory loss, forgetfulness, amnesia, memory impairment, confusion) associated with the use of all statins. Cognitive impairment was generally nonserious, and reversible upon statin discontinuation, with variable times to symptom onset (1 day to years) and symptom resolution (median of 3 weeks). There have been rare reports of new-onset or exacerbation of myasthenia gravis, including ocular myasthenia, and reports of recurrence when the same or a different statin was administered.

Psychiatric Disorders: depression

Respiratory Disorders: interstitial lung disease

Skin and Subcutaneous Tissue Disorders: angioneurotic edema, bullous rashes (including erythema multiforme, Stevens-Johnson syndrome, and toxic epidermal necrolysis)

8 Use in Specific Populations

• Pregnancy: May cause fetal harm (8.1).

• Lactation: Breastfeeding not recommended during treatment with amlodipine and atorvastatin (8.2). 

6.1 Clinical Trials Experience

Because clinical trials are conducted under widely varying conditions, the adverse reaction rates observed in the clinical trials of a drug cannot be directly compared to rates in the clinical trials of another drug and may not reflect the rates observed in practice.

Amlodipine and Atorvastatin

Amlodipine and atorvastatin has been evaluated for safety in 1,092 patients in double-blind placebo-controlled studies treated for co-morbid hypertension and dyslipidemia. In general, treatment with amlodipine and atorvastatin was well tolerated. For the most part, adverse reactions have been mild or moderate in severity. In clinical trials with amlodipine and atorvastatin, no adverse reactions peculiar to this combination have been observed. Adverse reactions are similar in terms of nature, severity, and frequency to those reported previously with amlodipine and atorvastatin.

The following information is based on the clinical experience with amlodipine and atorvastatin.

Amlodipine

Amlodipine has been evaluated for safety in more than 11,000 patients in U.S. and foreign clinical trials. In general, treatment with amlodipine was well tolerated at doses up to 10 mg daily. Most adverse reactions reported during therapy with amlodipine were of mild or moderate severity. In controlled clinical trials directly comparing amlodipine (N=1,730) at doses up to 10 mg to placebo (N=1,250), discontinuation of amlodipine because of adverse reactions was required in only about 1.5% of patients and was not significantly different from placebo (about 1%). The most commonly reported side effects more frequent than placebo are dizziness and edema. The incidence (%) of side effects that occurred in a dose related manner are as follows:

 

Amlodipine


Placebo

N=520
2.5 mg

N=275
5 mg

N=296
10 mg

N=268
 
Edema 

1.8


3


 10.8


 0.6
Dizziness

1.1


 3.4


 3.4


 1.5
Flushing

0.7


 1.4


 2.6


 0
Palpitations

0.7


 1.4


 4.5


 0.6


Other adverse reactions that were not clearly dose related but were reported at an incidence greater than 1% in placebo-controlled clinical trials include the following:

  

 
 Amlodipine (%)

 (N=1730)

 
 Placebo (%)

 (N=1250)

 
 Fatigue

 
 4.5

 
 2.8

 
 Nausea

 
 2.9

 
 1.9

 
 Abdominal Pain

 
 1.6

 
 0.3

 
 Somnolence

 
 1.4

 
 0.6

 

Edema, flushing, palpitations, and somnolence appear to be more common in women than in men.

The following events occurred in < 1% but > 0.1% of patients treated with amlodipine in controlled clinical trials or under conditions of open trials or marketing experience where a causal relationship is uncertain; they are listed to alert the physician to a possible relationship:

Cardiovascular: arrhythmia (including ventricular tachycardia and atrial fibrillation), bradycardia, chest pain, peripheral ischemia, syncope, tachycardia, vasculitis.

Central and Peripheral Nervous System: hypoesthesia, neuropathy peripheral, paresthesia, tremor, vertigo.

Gastrointestinal: anorexia, constipation, dysphagia, diarrhea, flatulence, pancreatitis, vomiting, gingival hyperplasia.

General: allergic reaction, asthenia,2 back pain, hot flushes, malaise, pain, rigors, weight gain, weight decrease.

Musculoskeletal System: arthralgia, arthrosis, muscle cramps,2 myalgia.

Psychiatric: sexual dysfunction (male2 and female), insomnia, nervousness, depression, abnormal dreams, anxiety, depersonalization.

Respiratory System: dyspnea,2 epistaxis.

Skin and Appendages: angioedema, erythema multiforme, pruritus,2 rash,2 rash erythematous, rash maculopapular.

Special Senses: abnormal vision, conjunctivitis, diplopia, eye pain, tinnitus.

Urinary System: micturition frequency, micturition disorder, nocturia.

Autonomic Nervous System: dry mouth, sweating increased.

Metabolic and Nutritional: hyperglycemia, thirst.

Hemopoietic: leukopenia, purpura, thrombocytopenia.



These events occurred in less than 1% in placebo-controlled trials, but the incidence of these side effects was between 1% and 2% in all multiple dose studies.



Amlodipine therapy has not been associated with clinically significant changes in routine laboratory tests. No clinically relevant changes were noted in serum potassium, serum glucose, total TG, TC, HDL-C, uric acid, blood urea nitrogen, or creatinine.



Atorvastatin

In the atorvastatin placebo-controlled clinical trial database of 16,066 patients (8,755 atorvastatin vs. 7,311 placebo; age range 10 to 93 years, 39% female, 91% White, 3% Black or African American, 2% Asian, 4% other) with a median treatment duration of 53 weeks, the most common adverse reactions in patients treated with atorvastatin that led to treatment discontinuation and occurred at a rate greater than placebo were: myalgia (0.7%), diarrhea (0.5%), nausea (0.4%), alanine aminotransferase increase (0.4%), and hepatic enzyme increase (0.4%).



Table 2 summarizes adverse reactions, reported in ≥ 2% and at a rate greater than placebo in patients treated with atorvastatin (n=8,755), from seventeen placebo-controlled trials.



Table 2. Adverse Reactions Occurring in ≥ 2% in Patients Atorvastatin-Treated with any Dose and Greater than Placebo

 

Adverse Reaction

% Placebo

N=7311

% 10 mg

N=3908

% 20 mg

N=188

% 40 mg

N=604

% 80 mg

N=4055

% Any dose

N=8755

Nasopharyngitis

8.2

12.9

5.3

7

4.2

8.3

Arthralgia

6.5

8.9

11.7

10.6

4.3

6.9

Diarrhea

6.3

7.3

6.4

14.1

5.2

6.8

Pain in extremity

5.9

8.5

3.7

9.3

3.1

6

Urinary tract infection

5.6

6.9

6.4

8

4.1

5.7

Dyspepsia

4.3

5.9

3.2

6

3.3

4.7

Nausea

3.5

3.7

3.7

7.1

3.8

4

Musculoskeletal pain

3.6

5.2

3.2

5.1

2.3

3.8

Muscle spasms

3

4.6

4.8

5.1

2.4

3.6

Myalgia

3.1

3.6

5.9

8.4

2.7

3.5

Insomnia

2.9

2.8

1.1

5.3

2.8

3

Pharyngolaryngeal pain

2.1

3.9

1.6

2.8

0.7

2.3

Other adverse reactions reported in placebo-controlled trials include:

Body as a Whole: malaise, pyrexia

Digestive System: abdominal discomfort, eructation, flatulence, hepatitis, cholestasis

Musculoskeletal System: musculoskeletal pain, muscle fatigue, neck pain, joint swelling

Metabolic and Nutritional System: transaminases increase, liver function test abnormal, blood alkaline phosphatase increase, creatine phosphokinase increase, hyperglycemia

Nervous System: nightmare

Respiratory System: epistaxis

Skin and Appendages: urticaria

Special Senses: vision blurred, tinnitus

Urogenital System: white blood cells urine positive.



Elevations in Liver Enzyme Tests

Persistent elevations in serum transaminases, defined as more than 3 times the ULN and occurring on 2 or more occasions, occurred in 0.7% of patients who received atorvastatin in clinical trials. The incidence of these abnormalities was 0.2%, 0.2%, 0.6%, and 2.3% for 10, 20, 40, and 80 mg, respectively.



One patient in clinical trials developed jaundice. Increases in liver enzyme tests in other patients were not associated with jaundice or other clinical signs or symptoms. Upon dose reduction, drug interruption, or discontinuation, transaminase levels returned to or near pretreatment levels without sequelae. Eighteen of 30 patients with persistent liver enzyme elevations continued treatment with a reduced dose of atorvastatin.



Treating to New Targets Study (TNT)

In TNT, [see Clinical Studies (14.6)] 10,001 patients (age range 29 to 78 years, 19% female; 94% White, 3% Black or African American, 1% Asian, 2% other) with clinically evident CHD were treated with atorvastatin 10 mg daily (n=5,006) or atorvastatin 80 mg daily (n=4,995). In the high-dose atorvastatin group, there were more patients with serious adverse reactions (1.8%) and discontinuations due to adverse reactions (9.9%) as compared to the low-dose group (1.4%; 8.1%, respectively) during a median follow-up of 4.9 years. Persistent transaminase elevations (≥ 3 x ULN twice within 4 to 10 days) occurred in 1.3% of individuals with atorvastatin 80 mg and in 0.2% of individuals with atorvastatin 10 mg. Elevations of CK (≥ 10 x ULN) were higher in the high-dose atorvastatin group (0.3%) compared to the low-dose atorvastatin group (0.1%).



Stroke Prevention by Aggressive Reduction in Cholesterol Levels (SPARCL)

In SPARCL, 4,731 patients (age range 21 to 92 years, 40% female; 93% White, 3% Black or African American, 1% Asian, 3% other) without clinically evident CHD but with a stroke or transient ischemic attack (TIA) within the previous 6 months were treated with atorvastatin 80 mg (n=2,365) or placebo (n=2,366) for a median follow-up of 4.9 years. There was a higher incidence of persistent hepatic transaminase elevations (≥ 3 x ULN twice within 4 to 10 days) in the atorvastatin group (0.9%) compared to placebo (0.1%). Elevations of CK (> 10 x ULN) were rare, but were higher in the atorvastatin group (0.1%) compared to placebo (0.0%). Diabetes was reported as an adverse reaction in 6.1% of subjects in the atorvastatin group and 3.8% of subjects in the placebo group.



In a post-hoc analysis, atorvastatin 80 mg reduced the incidence of ischemic stroke (9.2% vs. 11.6%) and increased the incidence of hemorrhagic stroke (2.3% vs. 1.4%) compared to placebo. The incidence of fatal hemorrhagic stroke was similar between groups (17 atorvastatin vs. 18 placebo). The incidence of non-fatal hemorrhagic strokes was significantly greater in the atorvastatin group (38 non-fatal hemorrhagic strokes) as compared to the placebo group (16 non-fatal hemorrhagic strokes). Patients who entered the trial with a hemorrhagic stroke appeared to be at increased risk for hemorrhagic stroke (16% atorvastatin vs. 4% placebo).



Adverse Reactions from Clinical Studies of Atorvastatin in Pediatric Patients with HeFH

In a 26-week controlled study in pediatric patients with HeFH (ages 10 years to 17 years) (n=140, 31% female; 92% White, 1.6% Black or African American, 1.6% Asian, 4.8% other), the safety and tolerability profile of atorvastatin 10 to 20 mg daily, as an adjunct to diet to reduce total cholesterol, LDL-C, and apo B levels, was generally similar to that of placebo [see Use in Specific Populations (8.4) and Clinical Studies (14.11)].

5.1 Myopathy and Rhabdomyolysis

Amlodipine and atorvastatin may cause myopathy (muscle pain, tenderness, or weakness associated with elevated creatine kinase [CK]) and rhabdomyolysis. Acute kidney injury secondary to myoglobinuria and rare fatalities have occurred as a result of rhabdomyolysis in patients treated with statins, including amlodipine and atorvastatin.



Risk Factors for Myopathy

Risk factors for myopathy include age 65 years or greater, uncontrolled hypothyroidism, renal impairment, concomitant use with certain other drugs (including other lipid-lowering therapies), and higher amlodipine and atorvastatin dosage [see Drug Interactions (7.3) and Use in Specific Populations (8.5, 8.6)].



Steps to Prevent or Reduce the Risk of Myopathy and Rhabdomyolysis

Amlodipine and atorvastatin exposure may be increased by drug interactions due to inhibition of cytochrome P450 enzyme 3A4 (CYP3A4) and/or transporters (e.g., breast cancer resistant protein [BCRP], organic anion-transporting polypeptide [OATP1B1/OATP1B3] and P-glycoprotein [P-gp]), resulting in an increased risk of myopathy and rhabdomyolysis. Concomitant use of cyclosporine, gemfibrozil, tipranavir plus ritonavir or glecaprevir plus pibrentasvir with amlodipine and atorvastatin is not recommended. Amlodipine and atorvastatin dosage modifications are recommended for patients taking certain anti-viral, azole antifungals, or macrolide antibiotic medications [see Dosage and Administration (2)]. Cases of myopathy/rhabdomyolysis have been reported with atorvastatin co-administered with lipid modifying doses (> 1 gram/day) of niacin, fibrates, colchicine, and ledipasvir plus sofosbuvir [see Adverse Reactions (6.1)]. Consider if the benefit of use of these products outweighs the increased risk of myopathy and rhabdomyolysis [see Drug Interactions (7.3)].



Concomitant intake of large quantities, more than 1.2 liters daily, of grapefruit juice is not recommended in patients taking amlodipine and atorvastatin [see Drug Interactions (7.3)].



Discontinue amlodipine and atorvastatin if markedly elevated CK levels occur or if myopathy is either diagnosed or suspected. Muscle symptoms and CK elevations may resolve if amlodipine and atorvastatin is discontinued. Temporarily discontinue amlodipine and atorvastatin in patients experiencing an acute or serious condition at high risk of developing renal failure secondary to rhabdomyolysis (e.g., sepsis; shock; severe hypovolemia; major surgery; trauma; severe metabolic, endocrine, or electrolyte disorders; or uncontrolled epilepsy).



Inform patients of the risk of myopathy and rhabdomyolysis when starting or increasing the amlodipine and atorvastatin dosage. Instruct patients to promptly report any unexplained muscle pain, tenderness or weakness, particularly if accompanied by malaise or fever.

14.1 Amlodipine for Hypertension

Adult Patients

The antihypertensive efficacy of amlodipine has been demonstrated in a total of 15 double-blind, placebo-controlled, randomized studies involving 800 patients on amlodipine and 538 on placebo. Once daily administration produced statistically significant placebo-corrected reductions in supine and standing blood pressures at 24 hours postdose, averaging about 12/6 mmHg in the standing position and 13/7 mmHg in the supine position in patients with mild to moderate hypertension. Maintenance of the blood pressure effect over the 24-hour dosing interval was observed, with little difference in peak and trough effect. Tolerance was not demonstrated in patients studied for up to 1 year. The 3 parallel, fixed dose, dose response studies showed that the reduction in supine and standing blood pressures was dose related within the recommended dosing range. Effects on diastolic pressure were similar in young and older patients. The effect on systolic pressure was greater in older patients, perhaps because of greater baseline systolic pressure. Effects were similar in black patients and in white patients.



Pediatric Patients

Two hundred sixty-eight hypertensive patients aged 6 to 17 years were randomized first to amlodipine 2.5 or 5 mg once daily for 4 weeks and then randomized again to the same dose or to placebo for another 4 weeks. Patients receiving 2.5 mg or 5 mg at the end of 8 weeks had significantly lower systolic blood pressure than those secondarily randomized to placebo. The magnitude of the treatment effect is difficult to interpret, but it is probably less than 5 mmHg systolic on the 5 mg dose and 3.3 mmHg systolic on the 2.5 mg dose. Adverse events were similar to those seen in adults. 

14.5 Amlodipine for Heart Failure

Amlodipine has been compared to placebo in four 8 to 12 week studies of patients with NYHA Class II/III heart failure, involving a total of 697 patients. In these studies, there was no evidence of worsened heart failure based on measures of exercise tolerance, NYHA classification, symptoms, or left ventricular ejection fraction. In a long-term (follow-up at least 6 months, mean 13.8 months) placebo-controlled mortality/morbidity study of amlodipine 5 to 10 mg in 1153 patients with NYHA Classes III (n=931) or IV (n=222) heart failure on stable doses of diuretics, digoxin, and ACE inhibitors, amlodipine had no effect on the primary endpoint of the study which was the combined endpoint of all-cause mortality and cardiac morbidity (as defined by life-threatening arrhythmia, acute myocardial infarction, or hospitalization for worsened heart failure), or on NYHA classification, or symptoms of heart failure. Total combined all-cause mortality and cardiac morbidity events were 222/571 (39%) for patients on amlodipine and 246/583 (42%) for patients on placebo; the cardiac morbid events represented about 25% of the endpoints in the study.



Another study (PRAISE-2) randomized patients with NYHA Class III (80%) or IV (20%) heart failure without clinical symptoms or objective evidence of underlying ischemic disease, on stable doses of ACE inhibitors (99%), digitalis (99%), and diuretics (99%), to placebo (n=827) or amlodipine (n=827) and followed them for a mean of 33 months. There was no statistically significant difference between amlodipine and placebo in the primary endpoint of all-cause mortality (95% confidence limits from 8% reduction to 29% increase on amlodipine). With amlodipine there were more reports of pulmonary edema.

17 Patient Counseling Information

Advise the patient to read the FDA-approved patient labeling (Patient Information).



Myopathy and Rhabdomyolysis

Advise patients that amlodipine and atorvastatin may cause myopathy and rhabdomyolysis. Inform patients that the risk is also increased when taking certain types of medication or consuming large quantities of grapefruit juice and they should discuss all medication, both prescription and over the counter, with their healthcare provider. Instruct patients to promptly report any unexplained muscle pain, tenderness or weakness particularly if accompanied by malaise or fever [see Warnings and Precautions (5.1), Drug Interactions (7.1)].

 

Hepatic Dysfunction

Inform patients that amlodipine and atorvastatin may cause liver enzyme elevations and possibly liver failure. Advise patients to promptly report fatigue, anorexia, right upper abdominal discomfort, dark urine, or jaundice [see Warnings and Precautions (5.3)].

 

Increases in HbA1c and Fasting Serum Glucose Levels

Inform patients that increases in HbA1c and fasting serum glucose levels may occur with amlodipine and atorvastatin. Encourage patients to optimize lifestyle measures, including regular exercise, maintaining a healthy body weight, and making healthy food choices [see Warnings and Precautions (5.6)].



Pregnancy

Advise pregnant patients and patients who can become pregnant of the potential risk to a fetus. Advise patients to inform their healthcare provider of a known or suspected pregnancy to discuss if amlodipine and atorvastatin should be discontinued [see Use in Specific Populations (8.1)].



Lactation

Advise patients that breastfeeding is not recommended during treatment with amlodipine and atorvastatin [see Use in Specific Populations (8.2)].





Manufactured by:

Alembic Pharmaceuticals Limited

(Formulation Division),

Village Panelav, P. O. Tajpura,

Near Baska, Taluka-Halol,

Panchmahal 389350, Gujarat, India.



   

Revised: 05/2025

16 How Supplied/storage and Handling

Amlodipine and atorvastatin tablets, USP contain amlodipine besylate, USP and atorvastatin calcium, USP equivalent to amlodipine and atorvastatin in the dose strengths described below.



Amlodipine and atorvastatin tablets, USP are differentiated by tablet color/size and are debossed with an alphabet and unique number on one side and plain on the other side. Combinations of atorvastatin with 2.5 mg and 5 mg amlodipine are round and oval respectively and are film-coated, white to off white tablets and combinations of atorvastatin with 10 mg amlodipine are oval and are film-coated, light blue to blue tablets. Amlodipine and atorvastatin tablets, USP are supplied for oral administration in the following strengths and package configurations:



Table 16.  Amlodipine and Atorvastatin Tablets, USP Packaging Configurations 



                                                                                                       

 Amlodipine and Atorvastatin Tablets, USP

 
 Package Configurations

 
 Tablet Strength mg (amlodipine / atorvastatin)

 
 NDC #

 
 Debossing

 
 Tablet Color

 
 Tablet Shape

 
 Bottle of 30

 Bottle of 90

 
 2.5/10

 
 46708-755-30

 46708-755-90

 
 L540

 
 White to off white

 
 Round

 
 Bottle of 30

 Bottle of 90

 
 2.5/20

 
 46708-756-30

 46708-756-90

 
 L541

 
 White to off white

 
 Round

 
 Bottle of 30

 Bottle of 90

 
 2.5/40

 
 46708-757-30

 46708-757-90

 
 L542

 
 White to off white

 
 Round

 
 Bottle of 30

 Bottle of 90

 
 5/10

 
 46708-758-30

 46708-758-90

 
 L543

 
 White to off white

 
 Oval

 
 Bottle of 30

 Bottle of 90

 
 5/20

 
 46708-759-30

 46708-759-90

 
 L544

 
 White to off white

 
 Oval

 
 Bottle of 30

 Bottle of 90

 
 5/40

 
 46708-760-30

 46708-760-90

 
 L545

 
 White to off white

 
 Oval

 
 Bottle of 30

 Bottle of 90

 
 5/80

 
 46708-761-30

 46708-761-90

 
 L546

 
 White to off white

 
 Oval

 
 Bottle of 30

 Bottle of 90

 
 10/10

 
 46708-762-30

 46708-762-90

 
 L547

 
 Light blue to blue

 
 Oval

 
 Bottle of 30

 Bottle of 90

 
 10/20

 
 46708-763-30

 46708-763-90

 
 L548

 
 Light blue to blue

 
 Oval

 
 Bottle of 30

 Bottle of 90

 
 10/40

 
 46708-764-30

 46708-764-90

 
 L549

 
 Light blue to blue

 
 Oval

 
 Bottle of 30

 Bottle of 90

 
 10/80

 
 46708-765-30

 46708-765-90

 
 L550

 
 Light blue to blue

 
 Oval

 


All bottles of Amlodipine and Atorvastatin Tablets, USP are supplied with child-resistant closure.

Store at 25°C (77°F); excursions permitted to 15° to 30°C (59° to 86°F) [see USP Controlled Room Temperature].

14.3 Amlodipine for Vasospastic Angina

In a double-blind, placebo-controlled clinical trial of 4 weeks duration in 50 patients, amlodipine therapy decreased attacks by approximately 4/week compared with a placebo decrease of approximately 1/week (p < 0.01). Two of 23 amlodipine and 7 of 27 placebo patients discontinued from the study for lack of clinical improvement.

7.1 Impact of Other Drugs On Amlodipine

CYP3A Inhibitors

Co-administration with CYP3A inhibitors (moderate and strong) results in increased systemic exposure to amlodipine and may require dose reduction. Monitor for symptoms of hypotension and edema when amlodipine is co-administered with CYP3A inhibitors to determine the need for dose adjustment [see Clinical Pharmacology (12.3)].



CYP3A Inducers

No information is available on the quantitative effects of CYP3A inducers on amlodipine. Blood pressure should be closely monitored when amlodipine is co-administered with CYP3A inducers.



Sildenafil

Monitor for hypotension when sildenafil is co-administered with amlodipine [see Clinical Pharmacology (12.2)].

7.2 Impact of Amlodipine On Other Drugs

Immunosuppressants

Amlodipine may increase the systemic exposure of cyclosporine or tacrolimus when co-administered. Frequent monitoring of trough blood levels of cyclosporine and tacrolimus is recommended and adjust the dose when appropriate [see Clinical Pharmacology (12.3)].



Atorvastatin

7.5 Atorvastatin Effects On Other Drugs

Table 5 presents atorvastatin’s effect on other drugs and instructions for preventing or managing them.

Table 5. Atorvastatin Effects on Other Drugs

Oral Contraceptives 
 Clinical Impact:

 
Co-administration of atorvastatin and an oral contraceptive increased plasma concentrations of norethindrone and ethinyl estradiol [see Clinical Pharmacology (12.3)].
 Intervention:

 
Consider this when selecting an oral contraceptive for patients taking atorvastatin. 
 Digoxin

 
 Clinical Impact:

 
When multiple doses of atorvastatin and digoxin were co-administered, steady state plasma digoxin concentrations increased [see Clinical Pharmacology (12.3)]. 
 Intervention:

 
Monitor patients taking digoxin appropriately. 

 

5.2 Immune Mediated Necrotizing Myopathy

There have been rare reports of immune-mediated necrotizing myopathy (IMNM), an autoimmune myopathy, associated with statin use, including reports of recurrence when the same or a different statin was administered. IMNM is characterized by: proximal muscle weakness and elevated serum creatine kinase that persists despite discontinuation of statin treatment; positive anti-HMG-CoA reductase antibody; muscle biopsy showing necrotizing myopathy; and improvement with immunosuppressive agents. Additional neuromuscular and serologic testing may be necessary. Treatment with immunosuppressive agents may be required. Discontinue amlodipine and atorvastatin if IMNM is suspected.



14.2 Amlodipine for Chronic Stable Angina

The effectiveness of 5 to 10 mg/day of amlodipine in exercise-induced angina has been evaluated in 8 placebo-controlled, double-blind clinical trials of up to 6 weeks duration involving 1038 patients (684 amlodipine, 354 placebo) with chronic stable angina. In 5 of the 8 studies, significant increases in exercise time (bicycle or treadmill) were seen with the 10 mg dose. Increases in symptom-limited exercise time averaged 12.8% (63 sec) for amlodipine 10 mg, and averaged 7.9% (38 sec) for amlodipine 5 mg. Amlodipine 10 mg also increased time to 1 mm ST segment deviation in several studies and decreased angina attack rate. The sustained efficacy of amlodipine in angina patients has been demonstrated over long-term dosing. In patients with angina, there were no clinically significant reductions in blood pressures (4/1 mmHg) or changes in heart rate (+0.3 bpm).



14.4 Amlodipine for Coronary Artery Disease

In PREVENT, 825 patients with angiographically documented CAD were randomized to amlodipine (5 to 10 mg once daily) or placebo and followed for 3 years. Although the study did not show significance on the primary objective of change in coronary luminal diameter as assessed by quantitative coronary angiography, the data suggested a favorable outcome with respect to fewer hospitalizations for angina and revascularization procedures in patients with CAD.

CAMELOT enrolled 1318 patients with CAD recently documented by angiography, without left main coronary disease and without heart failure or an ejection fraction < 40%. Patients (76% males, 89% Caucasian, 93% enrolled at U.S. sites, 89% with a history of angina, 52% without PCI, 4% with PCI and no stent, and 44% with a stent) were randomized to double-blind treatment with either amlodipine (5 to 10 mg once daily) or placebo in addition to standard care that included aspirin (89%), statins (83%), beta-blockers (74%), nitroglycerin (50%), anticoagulants (40%), and diuretics (32%), but excluded other calcium channel blockers. The mean duration of follow-up was 19 months. The primary endpoint was the time to first occurrence of one of the following events: hospitalization for angina pectoris, coronary revascularization, myocardial infarction, cardiovascular death, resuscitated cardiac arrest, hospitalization for heart failure, stroke/TIA, or peripheral vascular disease. A total of 110 (16.6%) and 151 (23.1%) first events occurred in the amlodipine and placebo groups, respectively, for a hazard ratio of 0.691 (95% CI: 0.54 to 0.884, p=0.003). The primary endpoint is summarized in Figure 1 below. The outcome of this study was largely derived from the prevention of hospitalizations for angina and the prevention of revascularization procedures (see Table 8). Effects in various subgroups are shown in Figure 2.

In an angiographic substudy (n=274) conducted within CAMELOT, there was no significant difference between amlodipine and placebo on the change of atheroma volume in the coronary artery as assessed by intravascular ultrasound.

Figure 1.  Kaplan-Meier Analysis of Composite Clinical Outcomes for Amlodipine versus Placebo



Figure 2.  Effects on Primary Endpoint of Amlodipine versus Placebo across Sub-Groups

Table 8 below summarizes the significant composite endpoint and clinical outcomes from the composites of the primary endpoint. The other components of the primary endpoint including cardiovascular death, resuscitated cardiac arrest, myocardial infarction, hospitalization for heart failure, stroke/TIA, or peripheral vascular disease did not demonstrate a significant difference between amlodipine and placebo.

Table 8. Incidence of Significant Clinical Outcomes for CAMELOT

 Clinical Outcomes

 N (%)

 
 Amlodipine 

 (N=663)

 
 Placebo 

 (N=655)

 
 Risk Reduction 

 (p-value)

 
 Composite CV Endpoint

 
 110

 (16.6)

 
 151

 (23.1)

 
 31%

 (0.003)

 
 Hospitalization for Angina*

 
 51

 (7.7)

 
 84

 (12.8)

 
 42%

 (0.002)

 
 Coronary Revascularization*

 
 78

 (11.8)

 
 103

 (15.7)

 
 27%

 (0.033)

 

* Total patients with these events.

5.4 Increased Angina and Myocardial Infarction

Worsening angina and acute myocardial infarction can develop after starting or increasing the dose of amlodipine, particularly in patients with severe obstructive coronary artery disease.

Package Label.principal Display Panel 5 Mg/10 Mg

NDC 46708-758-30

Amlodipine and

Atorvastatin

Tablets, USP

5 mg/10 mg*

Rx only

30 Tablets

Alembic

 



Package Label.principal Display Panel 5 Mg/20 Mg

NDC 46708-759-30

Amlodipine and

Atorvastatin

Tablets, USP

5 mg/20 mg*

Rx only

30 Tablets

Alembic



Package Label.principal Display Panel 5 Mg/40 Mg

NDC 46708-760-30

Amlodipine and

Atorvastatin

Tablets, USP

5 mg/40 mg*

Rx only

30 Tablets

Alembic



Package Label.principal Display Panel 5 Mg/80 Mg

NDC 46708-761-30

Amlodipine and

Atorvastatin

Tablets, USP

5 mg/80 mg*

Rx only

30 Tablets

Alembic



Package Label.principal Display Panel 10 Mg/10 Mg

NDC 46708-762-30

Amlodipine and

Atorvastatin

Tablets, USP

10 mg/10 mg*

Rx only

30 Tablets

Alembic

 



Package Label.principal Display Panel 10 Mg/20 Mg

NDC 46708-763-30

Amlodipine and

Atorvastatin

Tablets, USP

10 mg/20 mg*

Rx only

30 Tablets

Alembic



Package Label.principal Display Panel 10 Mg/40 Mg

NDC 46708-764-30

Amlodipine and

Atorvastatin

Tablets, USP

10 mg/40 mg*

Rx only

30 Tablets

Alembic



Package Label.principal Display Panel 10 Mg/80 Mg

NDC 46708-765-30

Amlodipine and

Atorvastatin

Tablets, USP

10 mg/80 mg*

Rx only

30 Tablets

Alembic



14.8 Atorvastatin for Hypertriglyceridemia in Adults

The response to atorvastatin in 64 patients with isolated hypertriglyceridemia treated across several clinical trials is shown in the table below (Table 12). For the atorvastatin-treated patients, median (min, max) baseline TG level was 565 (267 to 1502).

  

Table 12. Combined Patients with Isolated Elevated TG: Median (min, max) Percentage Change From Baseline

  

 
 Placebo

 (N=12)

 
 Atorvastatin 10 mg 

 (N=37)

 
 Atorvastatin 20 mg

 (N=13)

 
 Atorvastatin 80 mg

 (N=14)

 
 Triglycerides

 
 -12.4 (-36.6, 82.7)

 
 -41 (-76.2, 49.4)

 
 -38.7 (-62.7, 29.5)

 
 -51.8 (-82.8, 41.3)

 
 Total-C

 
 -2.3 (-15.5, 24.4)

 
 -28.2 (-44.9, -6.8)

 
 -34.9 (-49.6, -15.2)

 
 -44.4 (-63.5, -3.8)

 
 LDL-C

 
 3.6 (-31.3, 31.6)

 
 -26.5 (-57.7, 9.8)

 
 -30.4 (-53.9, 0.3)

 
 -40.5 (-60.6, -13.8)

 
 HDL-C

 
 3.8 (-18.6, 13.4)

 
 13.8 (-9.7, 61.5)

 
 11 (-3.2, 25.2)

 
 7.5 (-10.8, 37.2)

 
 non-HDL-C

 
 -2.8 (-17.6, 30)

 
 -33 (-52.1, -13.3)

 
 -42.7 (-53.7, -17.4)

 
 -51.5 (-72.9, -4.3)

 

 

Package Label.principal Display Panel 2.5 Mg/10 Mg

NDC 46708-755-30

Amlodipine and

Atorvastatin

Tablets, USP

2.5 mg/10 mg*

Rx only

30 Tablets

Alembic

Package Label.principal Display Panel 2.5 Mg/20 Mg

NDC 46708-756-30

Amlodipine and

Atorvastatin

Tablets, USP

2.5 mg/20 mg*

Rx only

30 Tablets

Alembic



Package Label.principal Display Panel 2.5 Mg/40 Mg

NDC 46708-757-30

Amlodipine and

Atorvastatin

Tablets, USP

2.5 mg/40 mg*

Rx only

30 Tablets

Alembic

14.7 Atorvastatin for Primary Hyperlipidemia in Adults

Atorvastatin reduces total-C, LDL-C, apo B, and TG, and increases HDL-C in patients with hyperlipidemia (heterozygous familial and nonfamilial) and mixed dyslipidemia. Therapeutic response is seen within 2 weeks, and maximum response is usually achieved within 4 weeks and maintained during chronic therapy.



In two multicenter, placebo-controlled, dose-response trials in patients with hyperlipidemia, atorvastatin given as a single dose over 6 weeks significantly reduced total-C, LDL-C, apo B, and TG. (Pooled results are provided in Table 10.)

  

Table 10. Dose Response in Patients with Primary Hyperlipidemia (Adjusted Mean % Change From Baseline)a

 

                                                                 

 Dose

 
 N

 
 TC

 
 LDL-C

 
 Apo B

 
 TG

 
 HDL-C

 
 Placebo

 
 21

 
 4

 
 4

 
 3

 
 10

 
 -3

 
 10

 
 22

 
 -29

 
 -39

 
 -32

 
 -19

 
 6

 
 20

 
 20

 
 -33

 
 -43

 
 -35

 
 -26

 
 9

 
 40

 
 21

 
 -37

 
 -50

 
 -42

 
 -29

 
 6

 
 80

 
 23

 
 -45

 
 -60

 
 -50

 
 -37

 
 5

 


a Results are pooled from 2 dose-response trials.

  

In three multicenter, double-blind trials in patients with hyperlipidemia, atorvastatin was compared to other statins. After randomization, patients were treated for 16 weeks with either atorvastatin 10 mg per day or a fixed dose of the comparative agent (Table 11).

 

Table 11. Mean Percentage Change from Baseline at Endpoint (Double-Blind, Randomized, Active-Controlled Trials)

                                                                                                                                       

 Treatment (Daily Dosage)

 
 N

 
 Total-C

 
 LDL-C

 
 Apo B

 
 TG

 
 HDL-C

 
  Trial 1

 
  

 
  

 
  

 
  

 
  

 
  

 
 Atorvastatin 10 mg

 
 707

 
 -27a

 
 -36a

 
 -28a

 
 -17a

 
 +7

 
 Lovastatin 20 mg

 
 191

 
 -19

 
 -27

 
 -20

 
 -6

 
 +7

 
 95% CI for Diff1

 
  

 
 -9.2, -6.5

 
 -10.7, -7.1

 
 -10, -6.5

 
 -15.2, -7.1

 
 -1.7, 2

 
  Trial  2

 
  

 
  

 
  

 
  

 
  

 
  

 
 Atorvastatin 10 mg

 
 222

 
 -25b

 
 -35b

 
 -27b

 
 -17b

 
 +6

 
 Pravastatin 20 mg

 
 77

 
 -17

 
 -23

 
 -17

 
 -9

 
 +8

 
 95% CI for Diff1

 
  

 
 -10.8, -6.1

 
 -14.5, -8.2

 
 -13.4, -7.4

 
 -14.1, -0.7

 
 -4.9, 1.6

 
  Trial  3

 
  

 
  

 
  

 
  

 
  

 
  

 
 Atorvastatin 10 mg

 
 132

 
 -29c

 
 -37c

 
 -34c

 
 -23c

 
 +7

 
 Simvastatin 10 mg

 
 45

 
 -24

 
 -30

 
 -30

 
 -15

 
 +7

 
 95% CI for Diff1

 
  

 
 -8.7, -2.7

 
 -10.1, -2.6

 
 -8, -1.1

 
 -15.1, -0.7

 
 -4.3, 3.9

 


1  A negative value for the 95% CI for the difference between treatments favors atorvastatin for all except HDL-C, for which a positive value favors atorvastatin. If the range does not include 0, this indicates a statistically significant difference.

a  Significantly different from lovastatin, ANCOVA, p ≤ 0.05

b  Significantly different from pravastatin, ANCOVA, p ≤ 0.05

c  Significantly different from simvastatin, ANCOVA, p ≤ 0.05



Table 11 does not contain data comparing the effects of atorvastatin 10 mg and higher dosage of lovastatin, pravastatin, and simvastatin. The drugs compared in the trials summarized in the table are not necessarily exchangeable.

14.9 Atorvastatin for Dysbetalipoproteinemia in Adults

The results of an open-label crossover trial of 16 patients (genotypes: 14 apo E2/E2 and 2 apo E3/E2) with dysbetalipoproteinemia are shown in the table below (Table 13).

Table 13. Open-Label Crossover Trial of 16 Patients with Dysbetalipoproteinemia (Fredrickson Type III)

                                      

              

 
 Median % Change (min, max)

 
  

 
 Median (min, max) at Baseline (mg/dL)

 
 Atorvastatin 10 mg

 
 Atorvastatin 80 mg

 
 Total-C

 
 442 (225, 1320)

 
 -37 (-85, 17)

 
 -58 (-90, -31)

 
 Triglycerides

 
 678 (273, 5990)

 
 -39 (-92, -8)

 
 -53 (-95, -30)

 
 Intermediate-density lipoprotein cholesterol (IDL-C)

 + VLDL-C

 
 215 (111, 613)

 
 -32 (-76, 9)

 
 -63 (-90, -8)

 
 non-HDL-C

 
 411 (218, 1272)

 
 -43 (-87, -19)

 
 -64 (-92, -36)

 
5.6 Increases in Hba1c and Fasting Serum Glucose Levels

Increases in HbA1c and fasting serum glucose levels have been reported with statins, including atorvastatin. Optimize lifestyle measures, including regular exercise, maintaining a healthy body weight, and making healthy food choices.

13.1 Carcinogenesis, Mutagenesis, Impairment of Fertility

Amlodipine

Rats and mice treated with amlodipine maleate in the diet for up to two years, at concentrations calculated to provide daily dosage levels of 0.5, 1.25, and 2.5 mg amlodipine/kg/day, showed no evidence of a carcinogenic effect of the drug. For the mouse, the highest dose was, on a mg/m2 basis, similar to the MRHD of 10 mg amlodipine/day.4 For the rat, the highest dose level was, on a mg/m2 basis, about twice the MRHD.4



Mutagenicity studies conducted with amlodipine maleate revealed no drug related effects at either the gene or chromosome levels.



There was no effect on the fertility of rats treated orally with amlodipine maleate (males for 64 days and females for 14 days prior to mating) at doses up to 10 mg amlodipine/kg/day (8 times the MRHD4 of 10 mg/day on a mg/m2 basis).



 4 Based on patient weight of 50 kg.



Atorvastatin

In a 2-year carcinogenicity study with atorvastatin calcium in rats at dose levels equivalent to 10, 30, and 100 mg atorvastatin/kg/day, 2 rare tumors were found in muscle in high-dose females: in one, there was a rhabdomyosarcoma and, in another, there was a fibrosarcoma. This dose represents a plasma AUC (0 to 24) value of approximately 16 times the mean human plasma drug exposure after an 80 mg oral dose.

A 2-year carcinogenicity study in mice given atorvastatin calcium at dose levels equivalent to 100, 200, or 400 mg atorvastatin/kg/day resulted in a significant increase in liver adenomas in high-dose males and liver carcinomas in high-dose females. These findings occurred at plasma AUC (0 to 24) values of approximately 6 times the mean human plasma drug exposure after an 80 mg oral dose.



In vitro, atorvastatin was not mutagenic or clastogenic in the following tests with and without metabolic activation: the Ames test with Salmonella typhimurium and Escherichia coli, the HGPRT forward mutation assay in Chinese hamster lung cells, and the chromosomal aberration assay in Chinese hamster lung cells. Atorvastatin was negative in the in vivo mouse micronucleus test.



In female rats, atorvastatin at doses up to 225 mg/kg (56 times the human exposure) did not cause adverse effects on fertility. Studies in male rats performed at doses up to 175 mg/kg (15 times the human exposure) produced no changes in fertility. There was aplasia and aspermia in the epididymis of 2 of 10 rats treated with atorvastatin calcium at a dose equivalent to 100 mg atorvastatin/kg/day for 3 months (16 times the human AUC at the 80 mg dose); testis weights were significantly lower at 30 and 100 mg/kg/day and epididymal weight was lower at 100 mg/kg/day. Male rats given the equivalent of 100 mg atorvastatin/kg/day for 11 weeks prior to mating had decreased sperm motility, spermatid head concentration, and increased abnormal sperm. Atorvastatin caused no adverse effects on semen parameters, or reproductive organ histopathology in dogs given doses of atorvastatin calcium equivalent to 10, 40, or 120 mg atorvastatin/kg/day for 2 years. 

14.6 Atorvastatin for Prevention of Cardiovascular Disease

In the Anglo-Scandinavian Cardiac Outcomes Trial (ASCOT), the effect of atorvastatin on fatal and non-fatal coronary heart disease was assessed in 10,305 patients with hypertension, 40 to 80 years of age (mean of 63 years; 19% female; 95% White, 3% Black or African American, 1% South Asian, 1% other), without a previous myocardial infarction and with total cholesterol (TC) levels ≤ 251 mg/dL. Additionally, all patients had at least 3 of the following cardiovascular risk factors: male gender (81%), age > 55 years (85%), smoking (33%), diabetes (24%), history of CHD in a first-degree relative (26%), TC:HDL > 6 (14%), peripheral vascular disease (5%), left ventricular hypertrophy (14%), prior cerebrovascular event (10%), specific ECG abnormality (14%), proteinuria/albuminuria (62%). In this double-blind, placebo-controlled trial, patients were treated with antihypertensive therapy (goal BP < 140/90 mm Hg for patients without diabetes; < 130/80 mm Hg for patients with diabetes) and allocated to either atorvastatin 10 mg daily (n=5168) or placebo (n=5137), using a covariate adaptive method which took into account the distribution of nine baseline characteristics of patients already enrolled and minimized the imbalance of those characteristics across the groups. Patients were followed for a median duration of 3.3 years.



The effect of 10 mg/day of atorvastatin on lipid levels was similar to that seen in previous clinical trials.



Atorvastatin significantly reduced the rate of coronary events [either fatal coronary heart disease (46 events in the placebo group vs. 40 events in the atorvastatin group) or non-fatal MI (108 events in the placebo group vs. 60 events in the atorvastatin group)] with a relative risk reduction of 36% [(based on incidences of 1.9% for atorvastatin vs. 3% for placebo), p=0.0005 (see Figure 3)]. The risk reduction was consistent regardless of age, smoking status, obesity, or presence of renal dysfunction. The effect of atorvastatin was seen regardless of baseline LDL levels.



Figure 3. Effect of Atorvastatin 10 mg/day on Cumulative Incidence of Non-Fatal Myocardial Infarction or Coronary Heart Disease Death (in ASCOT-LLA)



Atorvastatin also significantly decreased the relative risk for revascularization procedures by 42% (incidences of 1.4% for atorvastatin and 2.5% for placebo). Although the reduction of fatal and non-fatal strokes did not reach a pre-defined significance level (p=0.01), a favorable trend was observed with a 26% relative risk reduction (incidences of 1.7% for atorvastatin and 2.3% for placebo). There was no significant difference between the treatment groups for death due to cardiovascular causes (p=0.51) or noncardiovascular causes (p=0.17).



In the Collaborative Atorvastatin Diabetes Study (CARDS), the effect of atorvastatin on cardiovascular disease (CVD) endpoints was assessed in 2838 subjects (94% White, 2% Black or African American, 2% South Asian, 1% other, 68% male), ages 40 to 75 with type 2 diabetes based on WHO criteria, without prior history of cardiovascular disease and with LDL ≤ 160 mg/dL and triglycerides (TG) ≤ 600 mg/dL. In addition to diabetes, subjects had 1 or more of the following risk factors: current smoking (23%), hypertension (80%), retinopathy (30%), or microalbuminuria (9%) or macroalbuminuria (3%). No subjects on hemodialysis were enrolled in the trial. In this multicenter, placebo-controlled, double-blind clinical trial, subjects were randomly allocated to either atorvastatin 10 mg daily (1,429) or placebo (1,411) in a 1:1 ratio and were followed for a median duration of 3.9 years. The primary endpoint was the occurrence of any of the major cardiovascular events: myocardial infarction, acute CHD death, unstable angina, coronary revascularization, or stroke. The primary analysis was the time to first occurrence of the primary endpoint.



Baseline characteristics of subjects were: mean age of 62 years; mean HbA1c 7.7%; median LDL-C 120 mg/dL; median TC  207 mg/dL; median TG 151 mg/dL; median HDL-C 52 mg/dL.

 

The effect of atorvastatin 10 mg/day on lipid levels was similar to that seen in previous clinical trials.



Atorvastatin significantly reduced the rate of major cardiovascular events (primary endpoint events) (83 events in the atorvastatin group vs. 127 events in the placebo group) with a relative risk reduction of 37%, HR 0.63, 95% CI (0.48, 0.83) (p=0.001) (see Figure 4). An effect of atorvastatin was seen regardless of age, sex, or baseline lipid levels.



Atorvastatin significantly reduced the risk of stroke by 48% (21 events in the atorvastatin group vs. 39 events in the placebo group), HR 0.52, 95% CI (0.31, 0.89) (p=0.016) and reduced the risk of MI by 42% (38 events in the atorvastatin group vs. 64 events in the placebo group), HR 0.58, 95.1% CI (0.39, 0.86) (p=0.007). There was no significant difference between the treatment groups for angina, revascularization procedures, and acute CHD death.



There were 61 deaths in the atorvastatin group vs. 82 deaths in the placebo group (HR 0.73, p=0.059).



Figure 4. Effect of Atorvastatin 10 mg/day on Time to Occurrence of Major Cardiovascular Event (myocardial infarction, acute CHD death, unstable angina, coronary revascularization, or stroke) in CARDS



In the Treating to New Targets Study (TNT), the effect of atorvastatin 80 mg/day vs. atorvastatin 10 mg/day on the reduction in cardiovascular events was assessed in 10,001 subjects (94% White, 81% male, 38% ≥ 65 years) with clinically evident coronary heart disease who had achieved a target LDL-C level < 130 mg/dL after completing an 8-week, open-label, run-in period with atorvastatin 10 mg/day. Subjects were randomly assigned to either 10 mg/day or 80 mg/day of atorvastatin and followed for a median duration of 4.9 years. The primary endpoint was the time to first occurrence of any of the following major cardiovascular events (MCVE): death due to CHD, non-fatal myocardial infarction, resuscitated cardiac arrest, and fatal and non-fatal stroke. The mean LDL-C, TC, TG, non-HDL, and HDL cholesterol levels at 12 weeks were 73, 145, 128, 98, and 47 mg/dL during treatment with 80 mg of atorvastatin and 99, 177, 152, 129, and 48 mg/dL during treatment with 10 mg of atorvastatin.



Treatment with atorvastatin 80 mg/day significantly reduced the rate of MCVE (434 events in the 80 mg/day group vs. 548 events in the 10 mg/day group) with a relative risk reduction of 22%, HR 0.78, 95% CI (0.69, 0.89), p=0.0002 (see Figure 5 and Table 9). The overall risk reduction was consistent regardless of age (< 65, ≥ 65) or sex.



Figure 5. Effect of Atorvastatin 80 mg/day vs. 10 mg/day on Time to Occurrence of Major Cardiovascular Events (TNT)

 

Table 9. Overview of Efficacy Results in TNT

 Endpoint

 
 Atorvastatin

 10 mg

 (N=5006)

 
 Atorvastatin

 80 mg 

 (N=4995)

 
 HRa (95% CI)

 
 PRIMARY ENDPOINT

 
 n

 
 (%)

 
 n

 
 (%)

 
  

 
 First major cardiovascular endpoint

 
 548

 
 (10.9)

 
 434

 
 (8.7)

 
 0.78 (0.69, 0.89)

 
 Components of the Primary Endpoint

 
  

 
  

 
  

 
  

 
  

 
 CHD death

 
 127

 
 (2.5)

 
 101

 
 (2.0)

 
 0.8 (0.61, 1.03)

 
 Non-fatal, non-procedure related MI

 
 308

 
 (6.2)

 
 243

 
 (4.9)

 
 0.78 (0.66, 0.93)

 
 Resuscitated cardiac arrest

 
 26

 
 (0.5)

 
 25

 
 (0.5)

 
 0.96 (0.56, 1.67)

 
 Stroke (fatal and non-fatal)

 
 155

 
 (3.1)

 
 117

 
 (2.3)

 
 0.75 (0.59, 0.96)

 
 SECONDARY ENDPOINTS*

 
  

 
  

 
  

 
  

 
  

 
 First CHF with hospitalization

 
 164

 
 (3.3)

 
 122

 
 (2.4)

 
 0.74 (0.59, 0.94)

 
 First PVD endpoint

 
 282

 
 (5.6)

 
 275

 
 (5.5)

 
 0.97 (0.83, 1.15)

 
 First CABG or other coronary revascularization procedureb

 
 904

 
 (18.1)

 
 667

 
 (13.4)

 
 0.72 (0.65, 0.8)

 
 First documented angina endpointb

 
 615

 
 (12.3)

 
 545

 
 (10.9)

 
 0.88 (0.79, 0.99)

 
 All-cause mortality

 
 282

 
 (5.6)

 
 284

 
 (5.7)

 
 1.01 (0.85, 1.19)

 
 Components of All-Cause Mortality

 
  

 
  

 
  

 
  

 
  

 
 Cardiovascular death

 
 155

 
 (3.1)

 
 126

 
 (2.5)

 
 0.81 (0.64, 1.03)

 
 Noncardiovascular death

 
 127

 
 (2.5)

 
 158

 
 (3.2)

 
 1.25 (0.99, 1.57)

 
 Cancer death

 
 75

 
 (1.5)

 
 85

 
 (1.7)

 
 1.13 (0.83, 1.55)

 
 Other non-CV death

 
 43

 
 (0.9)

 
 58

 
 (1.2)

 
 1.35 (0.91, 2)

 
 Suicide, homicide, and other traumatic non-CV death

 
 9

 
 (0.2)

 
 15

 
 (0.3)

 
 1.67 (0.73, 3.82)

 

* Secondary endpoints not included in primary endpoint.

HR=hazard ratio; CHD=coronary heart disease; CI=confidence interval; MI=myocardial infarction; CHF=congestive heart failure; CV=cardiovascular; PVD=peripheral vascular disease; CABG=coronary artery bypass graft

Confidence intervals for the Secondary Endpoints were not adjusted for multiple comparisons.

a Atorvastatin 80 mg: atorvastatin 10 mg

b Component of other secondary endpoints



Of the events that comprised the primary efficacy endpoint, treatment with atorvastatin 80 mg/day significantly reduced the rate of non-fatal, non-procedure related MI and fatal and non-fatal stroke, but not CHD death or resuscitated cardiac arrest (Table 9). Of the predefined secondary endpoints, treatment with atorvastatin 80 mg/day significantly reduced the rate of coronary revascularization, angina, and hospitalization for heart failure, but not peripheral vascular disease. The reduction in the rate of CHF with hospitalization was only observed in the 8% of patients with a prior history of CHF.



There was no significant difference between the treatment groups for all-cause mortality (Table 9). The proportions of subjects who experienced cardiovascular death, including the components of CHD death and fatal stroke, were numerically smaller in the atorvastatin 80 mg group than in the atorvastatin 10 mg treatment group. The proportions of subjects who experienced noncardiovascular death were numerically larger in the atorvastatin 80 mg group than in the atorvastatin 10 mg treatment group.

7.4 Drug Interactions That May Decrease Exposure to Atorvastatin

Table 4 presents drug interactions that may decrease exposure to atorvastatin and instructions for preventing or managing them.

Table 4. Drug Interactions that may Decrease Exposure to Atorvastatin             

 Rifampin

 
 Clinical Impact:

 
Concomitant administration of atorvastatin with rifampin, an inducer of cytochrome P450 3A4 and inhibitor of OATP1B1, can lead to variable reductions in plasma concentrations of atorvastatin. Due to the dual interaction mechanism of rifampin, delayed administration of atorvastatin after administration of rifampin has been associated with a significant reduction in atorvastatin plasma concentrations. 
 Intervention:

 
Administer atorvastatin and rifampin simultaneously. 


14.12 Amlodipine and Atorvastatin for Hypertension and Dyslipidemia

In a double-blind, placebo-controlled study, a total of 1660 patients with co-morbid hypertension and dyslipidemia received once daily treatment with eight dose combinations of amlodipine and atorvastatin (5/10, 10/10, 5/20, 10/20, 5/40, 10/40, 5/80, or 10/80 mg), amlodipine alone (5 mg or 10 mg), atorvastatin alone (10 mg, 20 mg, 40 mg, or 80 mg), or placebo. In addition to concomitant hypertension and dyslipidemia, 15% of the patients had diabetes mellitus, 22% were smokers, and 14% had a positive family history of cardiovascular disease. At eight weeks, all eight combination-treatment groups of amlodipine and atorvastatin demonstrated statistically significant dose-related reductions in systolic blood pressure (SBP), diastolic blood pressure (DBP), and LDL-C compared to placebo, with no overall modification of effect of either component on SBP, DBP, and LDL-C (Table 15).

Table 15. Effects of Amlodipine and Atorvastatin on Blood Pressure and LDL-C

                                                                           

BP (mmHg)   Atorvastatin

 
 Amlodipine

 
 0 mg

 
 10 mg

 
 20 mg

 
 40 mg

 
 80 mg

 
 0 mg

 
 —

 
 -1.5/-0.8

 
 -3.2/-0.6

 
 -3.2/-1.8

 
 -3.4/-0.8

 
 5 mg

 
 -9.8/-4.3

 
 -10.7/-4.9

 
 -12.3/-6.1

 
 -9.7/-4

 
 -9.2/-5.1

 
 10 mg

 
 -13.2/-7.1

 
 -12.9/-5.8

 
 -13.1/-7.3

 
 -13.3/-6.5

 
 -14.6/-7.8

 
 LDL-C

 (% change)

 
 Atorvastatin

 
 Amlodipine

 
 0 mg

 
 10 mg

 
 20 mg

 
 40 mg

 
 80 mg

 
 0 mg

 
 —

 
 -32.3

 
 -38.4

 
 -42

 
 -46.1

 
 5 mg

 
 1

 
 -37.6

 
 -41.2

 
 -43.8

 
 -47.3

 
 10 mg

 
 -1.4

 
 -35.5

 
 -37.5

 
 -42.1

 
 -48

 


14.11 Atorvastatin for Heterozygous Familial Hypercholesterolemia in Pediatric Patients

In a double-blind, placebo-controlled trial followed by an open-label phase, 187 males and post-menarchal females 10 years to 17 years of age (mean age 14.1 years; 31% female; 92% White, 1.6% Black or African American, 1.6% Asian, 4.8% other) with HeFH or severe hypercholesterolemia, were randomized to atorvastatin (n=140) or placebo (n=47) for 26 weeks and then all received atorvastatin for 26 weeks. Inclusion in the trial required 1) a baseline LDL-C level ≥ 190 mg/dL or 2) a baseline LDL-C level ≥ 160 mg/dL and positive family history of FH or documented premature cardiovascular disease in a first or second-degree relative. The mean baseline LDL-C value was 219 mg/dL (range: 139 to 385 mg/dL) in the atorvastatin group compared to 230 mg/dL (range: 160 to 325 mg/dL) in the placebo group. The dosage of atorvastatin (once daily) was 10 mg for the first 4 weeks and uptitrated to 20 mg if the LDL-C level was > 130 mg/dL. The number of atorvastatin-treated patients who required uptitration to 20 mg after Week 4 during the double- blind phase was 78 (56%). 



Atorvastatin significantly decreased plasma levels of total-C, LDL-C, triglycerides, and apolipoprotein B during the 26-week double-blind phase (see Table 14).



Table 14. Lipid-Altering Effects of Atorvastatin in Adolescent Males and Females with Heterozygous Familial Hypercholesterolemia or Severe Hypercholesterolemia (Mean Percentage Change from Baseline at Endpoint in Intention-to-Treat Population) 



                             

 DOSAGE

 
 N

 
 Total-C

 
 LDL-C

 
 HDL-C

 
 TG

 
 Apo B

 
 Placebo

 
 47

 
 -1.5

 
 -0.4

 
 -1.9

 
 1

 
 0.7

 
 Atorvastatin

 
 140

 
 -31.4

 
 -39.6

 
 2.8

 
 -12

 
 -34

 


The mean achieved LDL-C value was 130.7 mg/dL (range: 70 to 242 mg/dL) in the atorvastatin group compared to 228.5 mg/dL (range: 152 to 385 mg/dL) in the placebo group during the 26-week double-blind phase.



Atorvastatin was also studied in a three year open-label, uncontrolled trial that included 163 patients with HeFH who were 10 years to 15 years old (82 males and 81 females). All patients had a clinical diagnosis of HeFH confirmed by genetic analysis (if not already confirmed by family history). Approximately 98% were White, and less than 1% were Black, African American or Asian. Mean LDL-C at baseline was 232 mg/dL. The starting atorvastatin dosage was 10 mg once daily and doses were adjusted to achieve a target of <130 mg/dL LDL-C. The reductions in LDL-C from baseline were generally consistent across age groups within the trial as well as with previous clinical trials in both adult and pediatric placebo-controlled trials.

14.10 Atorvastatin for Homozygous Familial Hypercholesterolemia in Adults and Pediatric Patients

In a trial without a concurrent control group, 29 patients (mean age of 22 years, median age of 24 years, 31% < 18 years) with HoFH received maximum daily doses of 20 to 80 mg of atorvastatin. The mean LDL-C reduction in this trial was 18%. Twenty-five patients with a reduction in LDL-C had a mean response of 20% (range of 7% to 53%, median of 24%); the remaining 4 patients had 7% to 24% increases in LDL-C. Five of the 29 patients had absent LDL-receptor function. Of these, 2 patients also had a portacaval shunt and had no significant reduction in LDL-C. The remaining 3 receptor-negative patients had a mean LDL-C reduction of 22%.

7.3 Drug Interactions That May Increase the Risk of Myopathy and Rhabdomyolysis With Atorvastatin

Atorvastatin is a substrate of CYP3A4 and transporters (e.g., OATP1B1/1B3, P-gp, or BCRP). Atorvastatin plasma levels can be significantly increased with concomitant administration of inhibitors of CYP3A4 and transporters. Table 3 includes a list of drugs that may increase exposure to atorvastatin and may increase the risk of myopathy and rhabdomyolysis when used concomitantly and instructions for preventing or managing them [see Warnings and Precautions (5.1) and Clinical Pharmacology (12.3)].

 

Table 3. Drug Interactions that may Increase the Risk of Myopathy and Rhabdomyolysis with Atorvastatin









 Cyclosporine or Gemfibrozil

 
 Clinical Impact:

 
Atorvastatin plasma levels were significantly increased with concomitant administration of atorvastatin and cyclosporine, an inhibitor of CYP3A4 and OATP1B1 [see Clinical Pharmacology (12.3)]. Gemfibrozil may cause myopathy when given alone. The risk of myopathy and rhabdomyolysis is increased with concomitant use of cyclosporine or gemfibrozil with atorvastatin.
 Intervention:

 
Concomitant use of cyclosporine or gemfibrozil with atorvastatin is not recommended. 
 Anti-Viral Medications

 
 Clinical Impact:

 
Atorvastatin plasma levels were significantly increased with concomitant administration of atorvastatin with many anti-viral medications, which are inhibitors of CYP3A4 and/or transporters (e.g., BCRP, OATP1B1/1B3, P-gp, MRP2, and/or OAT2) [see Clinical Pharmacology (12.3)]. Cases of myopathy and rhabdomyolysis have been reported with concomitant use of ledipasvir plus sofosbuvir with atorvastatin. 
 Intervention:

 
• Concomitant use of tipranavir plus ritonavir or glecaprevir plus pibrentasvir with atorvastatin is not recommended.   

• In patients taking lopinavir plus ritonavir, or simeprevir, consider the risk/benefit of concomitant use with atorvastatin.

• In patients taking saquinavir plus ritonavir, darunavir plus ritonavir, fosamprenavir, fosamprenavir plus ritonavir, elbasvir plus grazoprevir or letermovir do not exceed atorvastatin 20 mg.

• In patients taking nelfinavir, do not exceed atorvastatin 40 mg [see Dosage and Administration (2)].

• Consider the risk/benefit of concomitant use of ledipasvir plus sofosbuvir with atorvastatin.

• Monitor all patients for signs and symptoms of myopathy particularly during initiation of therapy and during upward dose titration of either drug.

 
Examples:  Tipranavir plus ritonavir, glecaprevir plus pibrentasvir, lopinavir plus ritonavir, simeprevir, saquinavir plus ritonavir, darunavir plus ritonavir, fosamprenavir, fosamprenavir plus ritonavir, elbasvir plus grazoprevir, letermovir, nelfinavir, and ledipasvir plus sofosbuvir. 
 Select Azole Antifungals or Macrolide Antibiotics

 
 Clinical Impact:

 
Atorvastatin plasma levels were significantly increased with concomitant administration of atorvastatin with select azole antifungals or macrolide antibiotics, due to inhibition of CYP3A4 and/or transporters [see Clinical Pharmacology (12.3)]. 
 Intervention:

 
In patients taking clarithromycin or itraconazole, do not exceed atorvastatin 20 mg [see Dosage and Administration (2)]. Consider the risk/benefit of concomitant use of other azole antifungals or macrolide antibiotics with atorvastatin. Monitor all patients for signs and symptoms of myopathy particularly during initiation of therapy and during upward dose titration of either drug.

 Examples:

 
Erythromycin, clarithromycin, itraconazole, ketoconazole, posaconazole, and voriconazole. 
 Niacin

 
 Clinical Impact:

 
Cases of myopathy and rhabdomyolysis have been observed with concomitant use of lipid modifying dosages of niacin (≥ 1 gram/day niacin) with atorvastatin. 
 Intervention:



 
Consider if the benefit of using lipid modifying dosages of niacin concomitantly with atorvastatin outweighs the increased risk of myopathy and rhabdomyolysis. If concomitant use is decided, monitor patients for signs and symptoms of myopathy particularly during initiation of therapy and during upward dose titration of either drug.
 Fibrates (other than Gemfibrozil)

 
 Clinical Impact:

 
Fibrates may cause myopathy when given alone. The risk of myopathy and rhabdomyolysis is increased with concomitant use of fibrates with atorvastatin.              
 Intervention:

 
Consider if the benefit of using fibrates concomitantly with atorvastatin outweighs the increased risk of myopathy and rhabdomyolysis. If concomitant use is decided, monitor patients for signs and symptoms of myopathy particularly during initiation of therapy and during upward dose titration of either drug.        
 Colchicine

 
 Clinical Impact:

 
Cases of myopathy and rhabdomyolysis have been reported with concomitant use of colchicine with atorvastatin. 
 Intervention:

 
Consider the risk/benefit of concomitant use of colchicine with atorvastatin. If concomitant use is decided, monitor patients for signs and symptoms of myopathy particularly during initiation of therapy and during upward dose titration of either drug.
 Grapefruit Juice

 
 Clinical Impact:

 
Grapefruit juice consumption, especially excessive consumption, more than 1.2 liters/daily can raise the plasma levels of atorvastatin and may increase the risk of myopathy and rhabdomyolysis.         
 Intervention:

 
Avoid intake of large quantities of grapefruit juice, more than 1.2 liters daily, when taking atorvastatin. 


5.7 Increased Risk of Hemorrhagic Stroke in Patients On Atorvastatin 80 Mg With Recent Hemorrhagic Stroke

In a post-hoc analysis of the Stroke Prevention by Aggressive Reduction in Cholesterol Levels (SPARCL) trial where 2365 adult patients, without CHD who had a stroke or Transient Ischemic Attack (TIA) within the preceding 6 months, were treated with atorvastatin 80 mg, a higher incidence of hemorrhagic stroke was seen in the atorvastatin 80 mg group compared to placebo (55, 2.3% atorvastatin vs. 33, 1.4% placebo; HR: 1.68, 95% CI: 1.09, 2.59; p=0.0168). The incidence of fatal hemorrhagic stroke was similar across treatment groups (17 vs. 18 for the atorvastatin and placebo groups, respectively). The incidence of non-fatal hemorrhagic stroke was significantly higher in the atorvastatin group (38, 1.6%) as compared to the placebo group (16, 0.7%). Some baseline characteristics, including hemorrhagic and lacunar stroke on study entry, were associated with a higher incidence of hemorrhagic stroke in the atorvastatin group [see Adverse Reactions (6.1)]. Consider the risk/benefit of use of atorvastatin 80 mg in patients with recent hemorrhagic stroke.


Structured Label Content

Section 42230-3 (42230-3)


PATIENT INFORMATION

Amlodipine and Atorvastatin

(am loe′ di peen and  a tor″ va stat′ in)

Tablets, USP



Read the patient information that comes with amlodipine and atorvastatin tablets before you start taking it, and each time you get a refill. There may be new information. This information does not replace talking with your healthcare provider about your condition or treatment. If you have any questions about amlodipine and atorvastatin tablets, ask your healthcare provider or pharmacist.



What are amlodipine and atorvastatin tablets?

Amlodipine and atorvastatin tablets are a prescription drug that combines amlodipine besylate and atorvastatin calcium in one pill.



Amlodipine and atorvastatin tablets are used in adults who need both amlodipine besylate and atorvastatin calcium.

Amlodipine besylate is used to treat:

•  High blood pressure (hypertension) and

•  Chest pain (angina) and

•  Blocked arteries of the heart (coronary artery disease)



Atorvastatin calcium is used to lower the levels of “bad” cholesterol and triglycerides in your blood. It can also raise the levels of “good” cholesterol.

Atorvastatin calcium is also used to lower the risk for heart attack, stroke, certain types of heart surgery, and chest pain in patients who have heart disease or risk factors for heart disease such as:

•  age, smoking, high blood pressure, low levels of “good” cholesterol, heart disease in the family.



Atorvastatin calcium can lower the risk for heart attack or stroke in patients with diabetes and risk factors such as:

•  diabetic eye or kidney problems, smoking, or high blood pressure.

Amlodipine and atorvastatin tablets have not been studied in children.

 

Who should not use Amlodipine and atorvastatin tablets?


Do not use amlodipine and atorvastatin tablets if you:

  • Have liver problems (acute liver failure or decompensated cirrhosis).
  • Are allergic to anything in amlodipine and atorvastatin tablets. The active ingredients are atorvastatin calcium and amlodipine besylate. Stop using amlodipine and atorvastatin tablets and get medical help right away if you have symptoms of a serious allergic reaction including:
  • swelling of your face, lips, tongue or throat
  • problems breathing or swallowing
  • fainting or feeling dizzy
  • very rapid heartbeat
  • severe skin rash or itching
  • flu-like symptoms including fever, sore throat, cough, tiredness, and joint pain

  See the end of this leaflet for a complete list of ingredients.



What should I tell my healthcare provider before taking amlodipine and atorvastatin tablets?

Tell your healthcare provider about all of your health conditions, including, if you :

  • have unexplained muscle aches or weakness
  • drink more than 2 glasses of alcohol daily
  • have heart disease
  • have diabetes
  • have thyroid problems
  • have kidney problems
  • had a stroke
  • are pregnant or plan to become pregnant. Amlodipine and atorvastatin tablets may harm your unborn baby. If you become pregnant, stop taking amlodipine and atorvastatin tablets and call your healthcare provider right away.
  • are breastfeeding or plan to breastfeed. You and your healthcare provider should decide if you will take amlodipine and atorvastatin tablets or breastfeed. You should not do both. Talk to your healthcare provider about the best way to feed your baby if you take amlodipine and atorvastatin tablets. 


Tell your healthcare provider about all the medicines you take, including prescription and over-the-counter medicines, vitamins, and herbal supplements. Amlodipine and atorvastatin tablets and certain other medicines can increase the risk of muscle problems or other side effects. Especially tell your healthcare provider if you take medicines for: 



  • your immune system (cyclosporine) 
  • cholesterol (gemfibrozil)
  • infections (erythromycin, clarithromycin, itraconazole, ketoconazole, posaconazole, and voriconazole)
  • birth control pills
  • heart failure (digoxin)
  • gout (colchicine)
  • niacin
  • fibrates
  • treating HIV, AIDS, or hepatitis C (anti-virals)
  • tipranavir plus ritonavir
  • glecaprevir plus pibrentasvir
  • ledipasvir plus sofosbuvir
  • simeprevir
  • saquinavir plus ritonavir
  • darunavir plus ritonavir
  • fosamprenavir
  • fosamprenavir plus ritonavir
  • elbasvir plus grazoprevir
  • letermovir
  • nelfinavir
 



You can use nitroglycerin and amlodipine and atorvastatin tablets together. If you take nitroglycerin for chest pain (angina), do not stop taking it while taking amlodipine and atorvastatin tablets.



Ask your healthcare provider or pharmacist for a list of medicines if you are not sure. Know all the medicines you take. Keep a list of them with you to show your healthcare provider and pharmacist when you get a new medicine.



How should I take amlodipine and atorvastatin tablets?

 

  • Take amlodipine and atorvastatin tablets exactly as your healthcare provider tells you to take it.
  • Do not change your dose or stop amlodipine and atorvastatin tablets without talking to your healthcare provider.
  • Your healthcare provider may do blood tests to check your cholesterol levels during your treatment with amlodipine and atorvastatin tablets. Your dose of amlodipine and atorvastatin tablets may be changed based on these blood test results.
  • Take amlodipine and atorvastatin tablets each day at any time of day. Amlodipine and atorvastatin tablets can be taken with or without food.
  • Do not break the tablets before taking them. Talk to your healthcare provider if you have a problem swallowing pills.
  • Your healthcare provider may start you on a cholesterol-lowering diet before giving you amlodipine and atorvastatin tablets. Stay on this low-fat diet when you take amlodipine and atorvastatin tablets.
  • If you miss a dose, take it as soon as you remember. Do not take amlodipine and atorvastatin tablets if it has been more than 12 hours since you missed your last dose. Wait and take the next dose at your regular time. Do not take 2 doses of amlodipine and atorvastatin tablets at the same time. If you take too much amlodipine and atorvastatin tablets or overdose, call your healthcare provider or Poison Control Center at 1-800-222-1222 or go to the nearest emergency room right away. 


What should I avoid while taking amlodipine and atorvastatin tablets?

  • Avoid drinking more than 1.2 liters of grapefruit juice each day.

 

What are possible side effects of amlodipine and atorvastatin tablets?

Amlodipine and atorvastatin tablets can cause serious side effects including:

  • Muscle pain, tenderness and weakness (myopathy). Muscle problems, including muscle breakdown, can be serious in some people and, rarely, cause kidney damage that can lead to death. 

    Tell your healthcare provider right away if you have:
    • unexplained muscle pain, tenderness, or weakness, especially if you also have a fever or feel more tired than usual while you take amlodipine and atorvastatin tablets.
    • muscle problems that do not go away after your healthcare provider has told you to stop taking amlodipine and atorvastatin tablets. Your healthcare provider may do further tests to diagnose the cause of your muscle problems.
    Your chances of getting muscle problems are higher if you:
    • are taking certain other medicines while you take amlodipine and atorvastatin tablets
    • drink large amounts of grapefruit juice
    • are 65 years of age or older
    • have thyroid problems (hypothyroidism) that are not controlled
    • have kidney problems
    • are taking higher doses of amlodipine and atorvastatin tablets
  • Liver problems. Your healthcare provider should do blood tests to check your liver before you start taking amlodipine and atorvastatin tablets and if you have symptoms of liver problems while you take amlodipine and atorvastatin tablets. Call your healthcare provider right away if you have the following symptoms of liver problems:
    • feel tired or weak
    • onausea or vomiting
    • loss of appetite
    • upper belly pain
    • dark amber colored urine
    • yellowing of your skin or the whites of your eyes
  • Low blood pressure or dizziness
  • Muscle rigidity, tremor and/or abnormal muscle movement
  • Increase in blood sugar level. Your blood sugar level may increase while you are taking amlodipine and atorvastatin tablets.

      Exercise regularly and make healthy food choices to maintain healthy body weight.

 

Call your healthcare provider right away if:

•  allergic reactions including swelling of the face, lips, tongue, and/or throat that may cause difficulty in breathing or swallowing which may require treatment right away

•  you have allergic skin reactions

•  Chest pain that does not go away or gets worse. Sometimes when you start amlodipine and atorvastatin tablets or increase your dose, chest pain can get worse or a heart attack can happen. If this happens, call your healthcare provider or go to the emergency room right away.



Common side effects of amlodipine and atorvastatin tablets include:

  • nasal congestion, sore throat, runny nose
  • muscle and joint pain
  • diarrhea
  • pain in extremity
  • urinary tract infection
  • upset stomach
  • nausea
  • musculoskeletal pain
  • muscle spasms
  • trouble sleeping
  • throat pain
  • swelling of your legs or ankles


Additional side effects have been reported: tiredness, tendon problems, memory loss, and confusion.



Talk to your healthcare provider or pharmacist about side effects that bother you or do not go away. There are other side effects of amlodipine and atorvastatin tablets. Ask your healthcare provider or pharmacist for a complete list.

 

How do I store amlodipine and atorvastatin tablets?

• Store amlodipine and atorvastatin tablets at room temperature, 68°F to 77°F (20°C to 25°C).

• Amlodipine and atorvastatin tablets come in a child-resistant package.

• Do not keep medicine that is out-of-date or that you no longer need.

• Keep amlodipine and atorvastatin tablets and all medicines out of the reach of children.



General information about the safe and effective use of amlodipine and atorvastatin tablets

Medicines are sometimes prescribed for purposes other than those listed in a Patient Information leaflet. Do not use amlodipine and atorvastatin tablets for a condition for which it was not prescribed. Do not give amlodipine and atorvastatin tablets to other people, even if they have the same symptoms that you have. It may harm them.



If you want more information about amlodipine and atorvastatin tablets, talk with your healthcare provider. You can ask your pharmacist or healthcare provider for information about amlodipine and atorvastatin tablets that is written for health professionals.



What is high blood pressure (hypertension)?

You have high blood pressure when the force of blood against the walls of your arteries stays high. This can damage your heart and other parts of your body. Drugs that lower blood pressure lower your risk of having a stroke or heart attack.



What is angina (chest pain)?

Angina is a pain that keeps coming back when part of your heart does not get enough blood. It feels like something is pressing or squeezing your chest under the breastbone. Sometimes you can feel it in your shoulders, arms, neck, jaw, or back.



What is cholesterol?

Cholesterol is a fat-like substance made in your body. It is also found in foods. You need some cholesterol for good health, but too much is not good for you. Cholesterol can clog your blood vessels.

What is a heart attack?

A heart attack occurs when heart muscle does not get enough blood. Symptoms include chest pain, trouble breathing, nausea, and weakness. Heart muscle cells may be damaged or die. The heart cannot pump well or may stop beating.



What is a stroke?

A stroke occurs when nerve cells in the brain do not get enough blood. The cells may be damaged or die. The damaged cells may cause weakness or problems speaking or thinking.



WHAT ARE THE INGREDIENTS IN AMLODIPINE AND ATORVASTATIN TABLETS?

Active ingredients: amlodipine besylate, atorvastatin calcium

Inactive ingredients:  calcium carbonate, colloidal silicon dioxide, croscarmellose sodium, hydroxypropyl cellulose, magnesium stearate, microcrystalline cellulose, polyethylene glycol 3000, polysorbate 80, polyvinyl alcohol, pregelatinized starch, talc and titanium dioxide. Additionally 10 mg/10 mg, 10 mg/20 mg, 10 mg/40 mg and 10 mg/80 mg also contains FD&C Blue #2 Aluminum Lake.



Manufactured by:

Alembic Pharmaceuticals Limited

(Formulation Division),

Village Panelav, P. O. Tajpura,

Near Baska, Taluka-Halol,

Panchmahal 389350, Gujarat, India.





Revised: 05/2025

10 Overdosage (10 OVERDOSAGE)

There is no information on overdosage with amlodipine and atorvastatin in humans.

Amlodipine

Overdosage might be expected to cause excessive peripheral vasodilation with marked hypotension and possibly a reflex tachycardia. In humans, experience with intentional overdosage of amlodipine is limited.



Single oral doses of amlodipine maleate equivalent to 40 mg amlodipine/kg and 100 mg amlodipine/kg in mice and rats, respectively, caused deaths. Single oral amlodipine maleate doses equivalent to 4 or more mg amlodipine/kg or higher in dogs (11 or more times the MRHD on a mg/m2 basis) caused a marked peripheral vasodilation and hypotension.



If overdose should occur with amlodipine, initiate active cardiac and respiratory monitoring. Perform frequent blood pressure measurements. Should hypotension occur, provide cardiovascular support including elevation of the extremities and administration of fluids. If hypotension remains unresponsive to these conservative measures, consider administration of vasopressors (such as phenylephrine) with specific attention to circulating volume and urine output. As amlodipine is highly protein bound, hemodialysis is not likely to be of benefit.



Atorvastatin

No specific antidotes for atorvastatin are known. Contact Poison Control (1-800-222-1222) for latest recommendations. Due to extensive drug binding to plasma proteins, hemodialysis is not expected to significantly enhance atorvastatin clearance.

8.1 Pregnancy

Risk Summary

Atorvastatin  

Discontinue atorvastatin when pregnancy is recognized. Alternatively, consider the ongoing therapeutic needs of the individual patient. Atorvastatin decreases synthesis of cholesterol and possibly other biologically active substances derived from cholesterol; therefore, atorvastatin may cause fetal harm when administered to pregnant patients based on the mechanism of action [see Clinical Pharmacology (12.1)]. In addition, treatment of hyperlipidemia is not generally necessary during pregnancy. Atherosclerosis is a chronic process and the discontinuation of lipid-lowering drugs during pregnancy should have little impact on the outcome of long-term therapy of primary hyperlipidemia for most patients.



Available data from case series and prospective and retrospective observational cohort studies over decades of use with statins in pregnant women have not identified a drug-associated risk of major congenital malformations. Published data from prospective and retrospective observational cohort studies with atorvastatin use in pregnant women are insufficient to determine if there is a drug-associated risk of miscarriage (see Data). In animal reproduction studies, no adverse developmental effects were observed in pregnant rats or rabbits orally administered atorvastatin at doses that resulted in up to 30 and 20 times, respectively, the human exposure at the maximum recommended human dose (MRHD) of 80 mg, based on body surface area (mg/m2). In rats administered atorvastatin during gestation and lactation, decreased postnatal growth and development delay were observed at doses ≥ 6 times the MRHD (see Data).



 

Amlodipine

The limited available data based on postmarketing reports with amlodipine use in pregnant women are not sufficient to inform a drug-associated risk for major birth defects and miscarriage. There are risks to the mother and fetus associated with poorly controlled hypertension in pregnancy (see Clinical Considerations). In animal reproduction studies, there was no evidence of adverse developmental effects when pregnant rats and rabbits were treated orally with amlodipine maleate during organogenesis at doses approximately 10 and 20-times MRHD, respectively. However for rats, litter size was significantly decreased (by about 50%) and the number of intrauterine deaths was significantly increased (about 5-fold). Amlodipine has been shown to prolong both the gestation period and the duration of labor in rats at this dose (see Data).



The estimated background risk of major birth defects and miscarriage for the indicated population is unknown. All pregnancies have a background risk of birth defect, loss or other adverse outcomes. In the U.S. general population, the estimated background risk of major birth defects and miscarriage in clinically recognized pregnancies is 2 to 4% and 15 to 20%, respectively.



Clinical Considerations

Disease-associated maternal and/or embryo/fetal risk

Hypertension in pregnancy increases the maternal risk for pre-eclampsia, gestational diabetes, premature delivery, and delivery complications (e.g., need for cesarean section and post-partum hemorrhage). Hypertension increases the fetal risk for intrauterine growth restriction and intrauterine death. Pregnant women with hypertension should be carefully monitored and managed accordingly.



Data

Human Data

Atorvastatin

A Medicaid cohort linkage study of 1152 statin-exposed pregnant women compared to 886,996 controls did not find a significant teratogenic effect from maternal use of statins in the first trimester of pregnancy, after adjusting for potential confounders– including maternal age, diabetes mellitus, hypertension, obesity, and alcohol and tobacco use – using propensity score-based methods. The relative risk of congenital malformations between the group with statin use and the group with no statin use in the first trimester was 1.07 (95% confidence interval 0.85 to 1.37) after controlling for confounders, particularly pre-existing diabetes mellitus. There were also no statistically significant increases in any of the organ-specific malformations assessed after accounting for confounders. In the majority of pregnancies, statin treatment was initiated prior to pregnancy and was discontinued at some point in the first trimester when pregnancy was identified. Study limitations include reliance on physician coding to define the presence of a malformation, lack of control for certain confounders such as body mass index, use of prescription dispensing as verification for the use of a statin, and lack of information on non-live births.

   

Animal Data



Atorvastatin

Was administered to pregnant rats and rabbits during organogenesis at oral doses up to 300 mg/kg/day and 100 mg/kg/day, respectively. Atorvastatin was not teratogenic in rats at doses up to 300 mg/kg/day or in rabbits at doses up to 100 mg/kg/day. These doses resulted in multiples of about 30 times (rat) or 20 times (rabbit) the human exposure at the MRHD based on surface area (mg/m2). In rats, the maternally toxic dose of 300 mg/kg resulted in increased post-implantation loss and decreased fetal body weight. At the maternally toxic doses of 50 and 100 mg/kg/day in rabbits, there was increased post-implantation loss, and at 100 mg/kg/day fetal body weights were decreased.



In a study in pregnant rats administered 20, 100, or 225 mg/kg/day, from gestation day 7 through to lactation day 20 (weaning), there was decreased survival at birth, postnatal day 4, weaning, and post-weaning in pups of mothers dosed with 225 mg/kg/day, a dose at which maternal toxicity was observed. Pup body weight was decreased through postnatal day 21 at 100 mg/kg/day, and through postnatal day 91 at 225 mg/kg/day. Pup development was delayed (rotorod performance at 100 mg/kg/day and acoustic startle at 225 mg/kg/day; pinnae detachment and eye-opening at 225 mg/kg/day). These doses of atorvastatin correspond to 6 times (100 mg/kg) and 22 times (225 mg/kg) the human exposure at the MRHD, based on AUC.



Atorvastatin crosses the rat placenta and reaches a level in fetal liver equivalent to that of maternal plasma.



Amlodipine

No evidence of teratogenicity or other embryo/fetal toxicity was found when pregnant rats and rabbits were treated orally with amlodipine maleate at doses up to 10 mg amlodipine/kg/day (approximately 10 and 20 times the MRHD based on body surface area, respectively) during their respective periods of major organogenesis. However, for rats, litter size was significantly decreased (by about 50%) and the number of intrauterine deaths was significantly increased (about 5-fold) in rats receiving amlodipine maleate at a dose equivalent to 10 mg amlodipine/kg/day for 14 days before mating and throughout mating and gestation. Amlodipine maleate has been shown to prolong both the gestation period and the duration of labor in rats at this dose.

8.2 Lactation

Risk Summary

Atorvastatin

There is no information about the presence of atorvastatin in human milk, the effects of the drug on the breastfed infant or the effects of the drug on milk production. However, it has been shown that another drug in this class passes into human milk. Studies in rats have shown that atorvastatin and/or its metabolites are present in the breast milk of lactating rats. When a drug is present in animal milk, it is likely that the drug will be present in human milk (see Data). Statins, including atorvastatin, decrease cholesterol synthesis and possibly the synthesis of other biologically active substances derived from cholesterol and may cause harm to the breastfed infant.



Because of the potential for serious adverse reactions in a breastfed infant, based on the mechanism of action, advise patients that breastfeeding is not recommended during treatment with amlodipine and atorvastatin [see Use in Specific Populations (8.1) and Clinical Pharmacology (12.1)].



Data

Following a single oral administration of 10 mg/kg of radioactive atorvastatin to lactating rats, the concentration of total radioactivity was determined. Atorvastatin and/or its metabolites were measured in the breast milk and pup plasma at a 2:1 ratio (milk:plasma).



Amlodipine

Limited available data from a published clinical lactation study reports that amlodipine is present in human milk at an estimated median relative infant dose of 4.2%. No adverse effects of amlodipine on the breastfed infant have been observed. There is no available information on the effects of amlodipine on milk production.

11 Description (11 DESCRIPTION)

Amlodipine and atorvastatin tablets, USP combine the calcium channel blocker amlodipine besylate, USP with the HMG-CoA-reductase inhibitor atorvastatin calcium, USP.



Amlodipine besylate, USP is chemically described as 3-ethyl-5-methyl (±)-2-[(2-aminoethoxy)methyl]-4-(o-chlorophenyl)-1,4-dihydro­ 6-methyl-3,5-pyridinedicarboxylate, monobenzenesulphonate. Its empirical formula is C20H25ClN2O5•C6H6O3S.



Atorvastatin calcium, USP is chemically described as [R-(R*, R*)]-2-(4-fluorophenyl)-ß, δ-dihydroxy-5-(1-methylethyl)-3-phenyl­4-[(phenylamino)carbonyl]-1H-pyrrole-1-heptanoic acid, calcium salt (2:1) trihydrate. Its empirical formula is (C33H34FN2O5)2Ca•3H2O.



The structural formulae for amlodipine besylate, USP and atorvastatin calcium, USP are shown below.

Amlodipine besylate

Atorvastatin calcium



Amlodipine and atorvastatin tablets, USP contain amlodipine besylate, USP, a white or almost white powder, and atorvastatin calcium, USP, a white to off-white powder. Amlodipine besylate, USP has a molecular weight of 567.1 and atorvastatin calcium, USP has a molecular weight of 1209.42. Amlodipine besylate, USP is freely soluble in methanol, sparingly soluble in ethanol, slightly soluble in 2-propanol and in water. Atorvastatin calcium, USP is freely soluble in methanol, slightly soluble in ethanol, very slightly soluble in water and in pH 7.4 phosphate buffer, insoluble in aqueous solution of pH 4 and in acetonitrile.



Amlodipine and atorvastatin tablets, USP are available as film-coated tablets for oral administration containing:

• 2.5 mg amlodipine equivalent to 3.5 mg amlodipine besylate, USP and 10 mg atorvastatin equivalent to 10.3 mg atorvastatin  calcium, USP.

• 2.5 mg amlodipine equivalent to 3.5 mg amlodipine besylate, USP and 20 mg atorvastatin equivalent to 20.7 mg atorvastatin  calcium, USP.

• 2.5 mg amlodipine equivalent to 3.5 mg amlodipine besylate, USP and 40 mg atorvastatin equivalent to 41.4 mg atorvastatin  calcium, USP.

• 5 mg amlodipine equivalent to 6.9 mg amlodipine besylate, USP and 10 mg atorvastatin equivalent to 10.3 mg atorvastatin  calcium, USP.

• 5 mg amlodipine equivalent to 6.9 mg amlodipine besylate, USP and 20 mg atorvastatin equivalent to 20.7 mg atorvastatin  calcium, USP.

• 5 mg amlodipine equivalent to 6.9 mg amlodipine besylate, USP and 40 mg atorvastatin equivalent to 41.4 mg atorvastatin  calcium, USP.

• 5 mg amlodipine equivalent to 6.9 mg amlodipine besylate, USP and 80 mg atorvastatin equivalent to 82.7 mg atorvastatin  calcium, USP.

• 10 mg amlodipine equivalent to 13.9 mg amlodipine besylate, USP and 10 mg atorvastatin equivalent to 10.3 mg atorvastatin  calcium, USP.

• 10 mg amlodipine equivalent to 13.9 mg amlodipine besylate, USP and 20 mg atorvastatin equivalent to 20.7 mg atorvastatin  calcium, USP.

• 10 mg amlodipine equivalent to 13.9 mg amlodipine besylate, USP and 40 mg atorvastatin equivalent to 41.4 mg atorvastatin  calcium, USP.

• 10 mg amlodipine equivalent to 13.9 mg amlodipine besylate, USP and 80 mg atorvastatin equivalent to 82.7 mg atorvastatin  calcium, USP.



Each film-coated tablet also contains calcium carbonate, colloidal silicon dioxide, croscarmellose sodium, hydroxypropyl cellulose, magnesium stearate, microcrystalline cellulose, polyethylene glycol 3000, polysorbate 80, polyvinyl alcohol, pregelatinized starch, talc and titanium dioxide. Additionally 10 mg/10 mg, 10 mg/20 mg, 10 mg/40 mg and 10 mg/80 mg also contains FD&C Blue #2 Aluminum Lake.



Amlodipine and atorvastatin tablets, USP meets USP Dissolution Test 2.

5.5 Hypotension

Symptomatic hypotension is possible with use of amlodipine, particularly in patients with severe aortic stenosis. Because of the gradual onset of action, acute hypotension is unlikely.



8.4 Pediatric Use

The safety and effectiveness of amlodipine and atorvastatin have not been established in pediatric populations.



Amlodipine

Amlodipine (2.5 to 5 mg daily) is effective in lowering blood pressure in patients 6 to 17 years [see Clinical Studies (14.1)]. The effect of amlodipine on blood pressure in patients less than 6 years of age is not known.



Atorvastatin

The safety and effectiveness of atorvastatin as an adjunct to diet to reduce LDL-C have been established in pediatric patients 10 years of age and older with HeFH. Use of atorvastatin for this indication is based on a double-blind, placebo-controlled clinical trial in 187 pediatric patients 10 years of age and older with HeFH. In this limited controlled trial, there was no significant effect on growth or sexual maturation in the males or females, or on menstrual cycle length in females.



The safety and effectiveness of atorvastatin as an adjunct to other LDL-C-lowering therapies to reduce LDL-C have been established in pediatric patients 10 years of age and older with HoFH. Use of amlodipine and atorvastatin for this indication is based on a trial without a concurrent control group in 8 pediatric patients 10 years of age and older with HoFH [see Clinical Studies (14)].



The safety and effectiveness of atorvastatin have not been established in pediatric patients younger than 10 years of age with HeFH or HoFH, or in pediatric patients with other types of hyperlipidemia (other than HeFH or HoFH).

8.5 Geriatric Use

Safety and effectiveness of amlodipine and atorvastatin have not been established in geriatric populations.



Amlodipine

Clinical studies of amlodipine did not include sufficient numbers of subjects aged 65 and over to determine whether they respond differently from younger subjects. Other reported clinical experience has not identified differences in responses between the elderly and younger patients. In general, dose selection for an elderly patient should be cautious, usually starting at the low end of the dosing range, reflecting the greater frequency of decreased hepatic, renal, or cardiac function, and of concomitant disease or other drug therapy. Elderly patients have decreased clearance of amlodipine with a resulting increase of AUC of approximately 40 to 60%, and a lower initial dose may be required [see Dosage and Administration (2)].



Atorvastatin

Of the total number of atorvastatin-treated patients in clinical trials, 15,813 (40%) were ≥ 65 years old and 2,800 (7%) were ≥ 75 years old. No overall differences in safety or effectiveness were observed between these patients and younger patients.



Advanced age (≥ 65 years) is a risk factor for atorvastatin -associated myopathy and rhabdomyolysis.



Dose selection for an elderly patient should be cautious, recognizing the greater frequency of decreased hepatic, renal, or cardiac function, and of concomitant disease or other drug therapy and the higher risk of myopathy. Monitor geriatric patients receiving amlodipine and atorvastatin for the increased risk of myopathy [see Warnings and Precautions (5.1) and Clinical Pharmacology (12.3)].

4 Contraindications (4 CONTRAINDICATIONS)
  • Acute liver failure or decompensated cirrhosis [see Warnings and Precautions (5.3)].
  • Hypersensitivity to amlodipine, atorvastatin or any excipients in amlodipine and atorvastatin. Hypersensitivity reactions, including anaphylaxis, angioneurotic edema, erythema multiforme, Stevens-Johnson syndrome, and toxic epidermal necrolysis, have been reported [see Adverse Reactions (6.2)]
6 Adverse Reactions (6 ADVERSE REACTIONS)

The following important adverse reactions are described below and elsewhere in the labeling:

  • Myopathy and Rhabdomyolysis [see Warnings and Precautions (5.1)]
  • Immune-Mediated Necrotizing Myopathy [see Warnings and Precautions (5.2)]
  • Hepatic Dysfunction [see Warnings and Precautions (5.3)]
  • Increases in HbA1c and Fasting Serum Glucose Levels [see Warnings and Precautions (5.6)] 
7 Drug Interactions (7 DRUG INTERACTIONS)

Data from a drug-drug interaction study involving 10 mg of amlodipine and 80 mg of atorvastatin in healthy subjects indicate that the pharmacokinetics of amlodipine are not altered when the drugs are co-administered. The effect of amlodipine on the pharmacokinetics of atorvastatin showed no effect on the Cmax: 91% (90% confidence interval: 80 to 103%), but the AUC of atorvastatin increased by 18% (90% confidence interval: 109 to 127%) in the presence of amlodipine, which is not clinically meaningful.



No drug interaction studies have been conducted with amlodipine and atorvastatin and other drugs, although studies have been conducted in the individual amlodipine and atorvastatin components, as described below:



Amlodipine

8.6 Renal Impairment

Renal impairment is a risk factor for myopathy and rhabdomyolysis. Monitor all patients with renal impairment for development of myopathy. Renal impairment does not affect the plasma concentrations of atorvastatin, therefore there is no dosage adjustment in patients with renal impairment [see Warnings and Precautions (5.1) and Clinical Pharmacology (12.3)].

12.2 Pharmacodynamics

Amlodipine

Following administration of therapeutic doses to patients with hypertension, amlodipine produces vasodilation resulting in a reduction of supine and standing blood pressures. These decreases in blood pressure are not accompanied by a significant change in heart rate or plasma catecholamine levels with chronic dosing. Although the acute intravenous administration of amlodipine decreases arterial blood pressure and increases heart rate in hemodynamic studies of patients with chronic stable angina, chronic oral administration of amlodipine in clinical trials did not lead to clinically significant changes in heart rate or blood pressures in normotensive patients with angina.



With chronic once daily oral administration, antihypertensive effectiveness is maintained for at least 24 hours. Plasma concentrations correlate with effect in both young and elderly patients. The magnitude of reduction in blood pressure with amlodipine is also correlated with the height of pretreatment elevation; thus, individuals with moderate hypertension (diastolic pressure 105 to 114 mmHg) had about a 50% greater response than patients with mild hypertension (diastolic pressure 90 to 104 mmHg). Normotensive subjects experienced no clinically significant change in blood pressures (+1/–2 mmHg).



In hypertensive patients with normal renal function, therapeutic doses of amlodipine resulted in a decrease in renal vascular resistance and an increase in glomerular filtration rate and effective renal plasma flow without change in filtration fraction or proteinuria.



As with other calcium channel blockers, hemodynamic measurements of cardiac function at rest and during exercise (or pacing) in patients with normal ventricular function treated with amlodipine have generally demonstrated a small increase in cardiac index without significant influence on dP/dt or on left ventricular end diastolic pressure or volume. In hemodynamic studies, amlodipine has not been associated with a negative inotropic effect when administered in the therapeutic dose range to intact animals and man, even when co-administered with beta-blockers to man. Similar findings, however, have been observed in normal or well-compensated patients with heart failure with agents possessing significant negative inotropic effects.



Amlodipine does not change sinoatrial nodal function or atrioventricular conduction in intact animals or man. In patients with chronic stable angina, intravenous administration of 10 mg did not significantly alter A-H and H-V conduction and sinus node recovery time after pacing. Similar results were obtained in patients receiving amlodipine and concomitant beta-blockers. In clinical studies in which amlodipine was administered in combination with beta-blockers to patients with either hypertension or angina, no adverse effects on electrocardiographic parameters were observed. In clinical trials with angina patients alone, amlodipine therapy did not alter electrocardiographic intervals or produce higher degrees of AV blocks.



Atorvastatin

Atorvastatin, as well as some of its metabolites, are pharmacologically active in humans. The liver is the primary site of action and the principal site of cholesterol synthesis and LDL clearance. Drug dosage, rather than systemic drug concentration, correlates better with LDL-C reduction. Individualization of drug dosage should be based on therapeutic response [see Dosage and Administration (2)].



Drug Interactions

Sildenafil: When amlodipine and sildenafil were used in combination, each agent independently exerted its own blood pressure lowering effect [see Drug Interactions (7.1)].

12.3 Pharmacokinetics

Absorption

Amlodipine: After oral administration of therapeutic doses of amlodipine alone, absorption produces peak plasma concentrations between 6 and 12 hours. Absolute bioavailability has been estimated to be between 64% and 90%.



Atorvastatin: After oral administration alone, atorvastatin is rapidly absorbed; maximum plasma concentrations occur within 1 to 2 hours. Extent of absorption increases in proportion to atorvastatin dose. The absolute bioavailability of atorvastatin (parent drug) is approximately 14% and the systemic availability of HMG-CoA reductase inhibitory activity is approximately 30%. The low systemic availability is attributed to presystemic clearance in gastrointestinal mucosa and/or hepatic first-pass metabolism. Although food decreases the rate and extent of drug absorption by approximately 25% and 9%, respectively, as assessed by Cmax and AUC, LDL-C reduction is similar whether atorvastatin is given with or without food Plasma atorvastatin concentrations are lower (approximately 30% for Cmax and AUC) following evening drug administration compared with morning. However, LDL-C reduction is the same regardless of the time of day of drug administration.

   

Amlodipine and atorvastatin: Following oral administration of amlodipine and atorvastatin, peak plasma concentrations of amlodipine and atorvastatin are seen at 6 to 12 hours and 1 to 2 hours post dosing, respectively. The rate and extent of absorption (bioavailability) of amlodipine and atorvastatin from amlodipine and atorvastatin are not significantly different from the bioavailability of amlodipine and atorvastatin administered separately (see above).



The bioavailability of amlodipine from amlodipine and atorvastatin was not affected by food. Food decreases the rate and extent of absorption of atorvastatin from amlodipine and atorvastatin by approximately 32% and 11%, respectively, as it does with atorvastatin when given alone. LDL-C reduction is similar whether atorvastatin is given with or without food.



Distribution

Amlodipine: Ex vivo studies have shown that approximately 93% of the circulating amlodipine drug is bound to plasma proteins in hypertensive patients. Steady-state plasma levels of amlodipine are reached after 7 to 8 days of consecutive daily dosing.



Atorvastatin: Mean volume of distribution of atorvastatin is approximately 381 liters. Atorvastatin is ≥ 98% bound to plasma proteins. A blood/plasma ratio of approximately 0.25 indicates poor drug penetration into red blood cells.



Elimination

 

Metabolism

Amlodipine: Amlodipine is extensively (about 90%) converted to inactive metabolites via hepatic metabolism.



Atorvastatin: Atorvastatin is extensively metabolized to ortho- and parahydroxylated derivatives and various beta-oxidation products. In vitro inhibition of HMG-CoA reductase by ortho- and parahydroxylated metabolites is equivalent to that of atorvastatin. Approximately 70% of circulating inhibitory activity for HMG-CoA reductase is attributed to active metabolites. In vitro studies suggest the importance of atorvastatin metabolism by cytochrome P4503A4, consistent with increased plasma concentrations of atorvastatin in humans following co-administration with erythromycin, a known inhibitor of this isozyme [see Drug Interactions (7)]. In animals, the ortho-hydroxy metabolite undergoes further glucuronidation.



Excretion

Amlodipine: Elimination from the plasma is biphasic with a terminal elimination half-life of about 30 to 50 hours. Ten percent of the parent amlodipine compound and 60% of the metabolites of amlodipine are excreted in the urine.



Atorvastatin: Atorvastatin and its metabolites are eliminated primarily in bile following hepatic and/or extra-hepatic metabolism; however, the drug does not appear to undergo enterohepatic recirculation. Mean plasma elimination half-life of atorvastatin in humans is approximately 14 hours, but the half-life of inhibitory activity for HMG-CoA reductase is 20 to 30 hours because of the contribution of active metabolites. Less than 2% of a dose of atorvastatin is recovered in urine following oral administration.



Specific Populations

Geriatric

Amlodipine: Elderly patients have decreased clearance of amlodipine with a resulting increase in AUC of approximately 40 to 60%, and a lower initial dose of amlodipine may be required.



Atorvastatin: Plasma concentrations of atorvastatin are higher (approximately 40% for Cmax and 30% for AUC) in healthy elderly subjects (age ≥ 65 years) than in young adults.



Pediatric

Amlodipine: Sixty-two hypertensive patients aged 6 to 17 years received doses of amlodipine between 1.25 mg and 20 mg. Weight-adjusted clearance and volume of distribution were similar to values in adults.



Atorvastatin: Apparent oral clearance of atorvastatin in pediatric subjects appeared similar to that of adults when scaled allometrically by body weight as the body weight was the only significant covariate in atorvastatin population pharmacokinetics model with data including pediatric HeFH patients (ages 10 years to 17 years of age, n=29) in an open-label, 8-week study.



Gender

Atorvastatin: Plasma concentrations of atorvastatin in females differ from those in males (approximately 20% higher for Cmax and 10% lower for AUC); however, there is no clinically significant difference in LDL-C reduction with atorvastatin between males and females.



Renal Impairment

Amlodipine: The pharmacokinetics of amlodipine are not significantly influenced by renal impairment. Patients with renal failure may therefore receive the usual initial amlodipine dose.



Atorvastatin: Renal disease has no influence on the plasma concentrations or LDL-C reduction of atorvastatin [see Use in Specific Populations (8.6)].



While studies have not been conducted in patients with end-stage renal disease, hemodialysis is not expected to clear atorvastatin or amlodipine since both drugs are extensively bound to plasma proteins.



Hepatic Impairment

Amlodipine: Elderly patients and patients with hepatic insufficiency have decreased clearance of amlodipine with a resulting increase in AUC of approximately 40 to 60%.



Atorvastatin: In patients with chronic alcoholic liver disease, plasma concentrations of atorvastatin are markedly increased. Cmax and AUC are each 4-fold greater in patients with Childs-Pugh A disease. Cmax and AUC of atorvastatin are approximately 16-fold and 11-fold increased, respectively, in patients with Childs-Pugh B disease [see Use in Specific Populations (8.7)].



Heart Failure

Amlodipine: In patients with moderate to severe heart failure, the increase in AUC for amlodipine was similar to that seen in the elderly and in patients with hepatic insufficiency.



Effects of Other Drugs on Amlodipine and Atorvastatin

Amlodipine:

Co-administered cimetidine, magnesium-and aluminum hydroxide antacids, sildenafil, and grapefruit juice have no impact on the exposure to amlodipine.

CYP3A inhibitors: Co-administration of a 180 mg daily dose of diltiazem with 5 mg amlodipine in elderly hypertensive patients resulted in a 60% increase in amlodipine systemic exposure. Erythromycin co-administration in healthy volunteers did not significantly change amlodipine systemic exposure. However, strong inhibitors of CYP3A (e.g., itraconazole, clarithromycin) may increase the plasma concentrations of amlodipine to a greater extent [see Drug Interactions (7.1)].



Atorvastatin:

Atorvastatin is a substrate of the hepatic transporters, OATP1B1 and OATP1B3 transporter. Metabolites of atorvastatin are substrates of OATP1B1. Atorvastatin is also identified as a substrate of the efflux transporter BCRP, which may limit the intestinal absorption and biliary clearance of atorvastatin.

Table 6 shows effects of other drugs on the pharmacokinetics of atorvastatin.

 

Table 6. Effect of Co-administered Drugs on the Pharmacokinetics of Atorvastatin



Co-administered drug and dosage regimen

Atorvastatin

Dosage (mg)

Ratio of AUC&

Ratio of Cmax &

#Cyclosporine 5.2 mg/kg/day, stable dose

10 mg QDa for 28 days

8.69

10.66

#Tipranavir 500 mg BIDb/ritonavir 200 mg BIDb, 7 days

10 mg SDc

9.36

8.58

#Glecaprevir 400 mg QDa/pibrentasvir 120 mg QDa, 7 days

10 mg QDa for 7 days

8.28

22

#Telaprevir 750 mg q8hf, 10 days

20 mg SDc

7.88

10.6

#, Saquinavir 400 mg BIDb/ritonavir 400 mg BIDb, 15 days

40 mg QDa for 4 days

3.93

4.31

#Elbasvir 50 mg QDa/grazoprevir 200 mg QDa, 13 days

10 mg SDc

1.94

4.34

#Simeprevir 150 mg QDa, 10 days

40 mg SDc

2.12

1.7

#Clarithromycin 500 mg BIDb, 9 days

80 mg QDa for 8 days

4.54

5.38

#Darunavir 300 mg BIDb/ritonavir 100 mg BIDb, 9 days

10 mg QDa for 4 days

3.45

2.25

#Itraconazole 200 mg QDa, 4 days

40 mg SDc

3.32

1.2

#Letermovir 480 mg QDa, 10 days

20 mg SDc

3.29

2.17

#Fosamprenavir 700 mg BIDb/ritonavir 100 mg BIDb, 14 days

10 mg QDa for 4 days

2.53

2.84

#Fosamprenavir 1400 mg BIDb, 14 days

10 mg QDa for 4 days

2.3

4.04

#Nelfinavir 1250 mg BIDb, 14 days

10 mg QDa for 28 days

1.74

2.22

#Grapefruit Juice, 240 mL QDa,*

40 mg SDc

1.37

1.16

Diltiazem 240 mg QDa, 28 days

40 mg SDc

1.51

1

Erythromycin 500 mg QIDe, 7 days

10 mg SDc

1.33

1.38

Amlodipine 10 mg, single dose

80 mg SDc

1.18

0.91

Cimetidine 300 mg QIDe, 2 weeks

10 mg QDa for 2 weeks

1

0.89

Colestipol 10 g BIDb, 24 weeks

40 mg QDa for 8 weeks

NA

0.74**

Maalox TC® 30 mL QIDe, 17 days

10 mg QDa for 15 days

0.66

0.67

Efavirenz 600 mg QDa, 14 days

10 mg for 3 days

0.59

1.01

#Rifampin 600 mg QDa, 7 days (co-administered)

40 mg SDc

1.12

2.9

#Rifampin 600 mg QDa, 5 days (doses separated)

40 mg SDc

0.2

0.6

#Gemfibrozil 600 mg BIDb, 7 days

40 mg SDc

1.35

1

#Fenofibrate 160 mg QDa, 7 days

40 mg SDc

1.03

1.02

Boceprevir 800 mg TIDd, 7 days

40 mg SDc

2.32

2.66



&   Represents ratio of treatments (co-administered drug plus atorvastatin vs atorvastatin alone).

#    See Sections 5.1 and 7 for clinical significance.

*   Greater increases in AUC (ratio of AUC up to 2.5) and/or Cmax (ratio of Cmax up to 1.71) have been reported with excessive grapefruit consumption (≥ 750 mL to 1.2 liters per day).

** Ratio based on a single sample taken 8 to 16 h post dose.

†   Due to the dual interaction mechanism of rifampin, simultaneous co-administration of atorvastatin with rifampin is recommended, as delayed administration of atorvastatin after administration of rifampin has been associated with a significant reduction in atorvastatin plasma concentrations.

    The dose of saquinavir plus ritonavir in this study is not the clinically used dose. The increase in atorvastatin exposure when used clinically is likely to be higher than what was observed in this study. Therefore, caution should be applied and the lowest dose necessary should be used.

a         Once daily

b         Twice daily

c         Single dosage

d         Three times daily 

 e         Four times daily  

f         Every 8 hours



Effects of Amlodipine and Atorvastatin   on Other Drugs

Amlodipine :

Amlodipine is a weak inhibitor of CYP3A and may increase exposure to CYP3A substrates. 



In vitro data indicate that amlodipine has no effect on the human plasma protein binding of digoxin, phenytoin, warfarin, and indomethacin.



Co-administered amlodipine does not affect the exposure to atorvastatin, digoxin, ethanol and the warfarin prothrombin response time.

  

Cyclosporine: A prospective study in renal transplant patients (N=11) showed on an average of 40% increase in trough cyclosporine levels when concomitantly treated with amlodipine [see Drug Interactions (7.2)]



Tacrolimus: A prospective study in healthy Chinese volunteers (N=9) with CYP3A5 expressers showed a 2.5- to 4-fold increase in tacrolimus exposure when concomitantly administered with amlodipine compared to tacrolimus alone. This finding was not observed in CYP3A5 non-expressers (N=6). However, a 3-fold increase in plasma exposure to tacrolimus in a renal transplant patient (CYP3A5 non-expresser) upon initiation of amlodipine for the treatment of post-transplant hypertension resulting in reduction of tacrolimus dose has been reported. Irrespective of the CYP3A5 genotype status, the possibility of an interaction cannot be excluded with these drugs [see Drug Interactions (7.2)].



Atorvastatin :

Table 7 shows the effects of atorvastatin on the pharmacokinetics of other drugs.



Table 7. Effect of Atorvastatin on the Pharmacokinetics of Co-administered Drugs

                                                   

 Atorvastatin

 
 Co-administered drug and dosage regimen

 
  

 
 Drug/Dosage (mg)

 
 Ratio of AUC

 
 Ratio of Cmax

 
 80 mg QDa for 15 days

 
 Antipyrine, 600 mg SDc

 
 1.03

 
 0.89

 
 80 mg QDa for 10 days

 
 # Digoxin 0.25 mg QDa, 20 days

 
 1.15

 
 1.2

 
 40 mg QDa for 22 days

 
 Oral contraceptive QDa, 2 months

 
  • –norethindrone 1 mg 

  • –ethinyl estradiol 35 µg
 
  

 1.28

 1.19

 
  

 1.23

 1.3

 
 10 mg SDc

 
 Tipranavir 500 mg BIDb/ritonavir 200 mg

 BIDb, 7 days

 
 1.08

 
 0.96

 
 10 mg QDa for 4 days

 
 Fosamprenavir 1400 mg BIDb, 14 days

 
 0.73

 
 0.82

 
 10 mg QDa for 4 days

 
 Fosamprenavir 700 mg BIDb/ritonavir 100 mg BIDb, 14 days

 
 0.99

 
 0.94

 

#       See Section 7 for clinical significance. 

a         Once daily

b      Twice daily

c      Single dosage

Atorvastatin had no clinically significant effect on prothrombin time when administered to patients receiving chronic warfarin treatment.

8.7 Hepatic Impairment

In patients with chronic alcoholic liver disease, plasma concentrations of atorvastatin are markedly increased. Cmax and AUC are each 4-fold greater in patients with Childs-Pugh A disease. Cmax and AUC are approximately 16-fold and 11-fold increased, respectively, in patients with Childs-Pugh B disease. Amlodipine and atorvastatin is contraindicated in patients with acute liver failure or decompensated cirrhosis [see Contraindications (4)].

1 Indications and Usage (1 INDICATIONS AND USAGE)

Amlodipine and atorvastatin tablets are indicated in patients for whom treatment with both amlodipine and atorvastatin is appropriate.



Amlodipine



Hypertension

Amlodipine is indicated for the treatment of hypertension, to lower blood pressure. Lowering blood pressure reduces the risk of fatal and non-fatal cardiovascular events, primarily strokes and myocardial infarctions. These benefits have been seen in controlled trials of antihypertensive drugs from a wide variety of pharmacologic classes including amlodipine.



Control of high blood pressure should be part of comprehensive cardiovascular risk management, including, as appropriate, lipid control, diabetes management, antithrombotic therapy, smoking cessation, exercise, and limited sodium intake. Many patients will require more than one drug to achieve blood pressure goals. For specific advice on goals and management, see published guidelines, such as those of the National High Blood Pressure Education Program’s Joint National Committee on Prevention, Detection, Evaluation, and Treatment of High Blood Pressure (JNC).



Numerous antihypertensive drugs, from a variety of pharmacologic classes and with different mechanisms of action, have been shown in randomized controlled trials to reduce cardiovascular morbidity and mortality, and it can be concluded that it is blood pressure reduction, and not some other pharmacologic property of the drugs, that is largely responsible for those benefits. The largest and most consistent cardiovascular outcome benefit has been a reduction in the risk of stroke, but reductions in myocardial infarction and cardiovascular mortality also have been seen regularly.



Elevated systolic or diastolic pressure causes increased cardiovascular risk, and the absolute risk increase per mmHg is greater at higher blood pressures, so that even modest reductions of severe hypertension can provide substantial benefit. Relative risk reduction from blood pressure reduction is similar across populations with varying absolute risk, so the absolute benefit is greater in patients who are at higher risk independent of their hypertension (for example, patients with diabetes or hyperlipidemia), and such patients would be expected to benefit from more aggressive treatment to a lower blood pressure goal.



Some antihypertensive drugs have smaller blood pressure effects (as monotherapy) in black patients, and many antihypertensive drugs have additional approved indications and effects (e.g., on angina, heart failure, or diabetic kidney disease). These considerations may guide selection of therapy.



Amlodipine may be used alone or in combination with other antihypertensive agents.



Coronary Artery Disease (CAD)



Chronic Stable Angina

Amlodipine is indicated for the symptomatic treatment of chronic stable angina. Amlodipine may be used alone or in combination with other antianginal agents.



Vasospastic Angina (Prinzmetal’s or Variant Angina)

Amlodipine is indicated for the treatment of confirmed or suspected vasospastic angina. Amlodipine may be used as monotherapy or in combination with other antianginal agents.



Angiographically Documented CAD

In patients with recently documented CAD by angiography and without heart failure or an ejection fraction < 40%, amlodipine is indicated to reduce the risk of hospitalization for angina and to reduce the risk of a coronary revascularization procedure.



Atorvastatin 

Atorvastatin is indicated: 

• To reduce the risk of:

         o Myocardial infarction (MI), stroke, revascularization procedures, and angina in adults with multiple risk factors for coronary heart disease (CHD) but without clinically evident CHD

         o MI and stroke in adults with type 2 diabetes mellitus with multiple risk factors for CHD but without clinically evident CHD 

         o Non-fatal MI, fatal and non-fatal stroke, revascularization procedures, hospitalization for congestive heart failure, and angina in adults with clinically evident CHD 

• As an adjunct to diet to reduce low-density lipoprotein cholesterol (LDL-C) in:

         o Adults with primary hyperlipidemia. 

         o Adults and pediatric patients aged 10 years and older with heterozygous familial hypercholesterolemia (HeFH). 

• As an adjunct to other LDL-C-lowering therapies, or alone if such treatments are unavailable, to reduce LDL-C in adults and pediatric patients aged 10 years and older with homozygous familial hypercholesterolemia (HoFH). 

• As an adjunct to diet for the treatment of adults with:

         o Primary dysbetalipoproteinemia

         o Hypertriglyceridemia



5.3 Hepatic Dysfunction

Increases in serum transaminases have been reported with use of atorvastatin [see Adverse Reactions (6.1)]. In most cases, these changes appeared soon after initiation, were transient, were not accompanied by symptoms, and resolved or improved on continued therapy or after a brief interruption in therapy. Persistent increases to more than three times the ULN in serum transaminases have occurred in approximately 0.7% of patients receiving atorvastatin in clinical trials. There have been rare postmarketing reports of fatal and non-fatal hepatic failure in patients taking statins, including atorvastatin.



Patients who consume substantial quantities of alcohol and/or have a history of liver disease may be at increased risk for hepatic injury [see Use in Specific Populations (8.7)].



Consider liver enzyme testing before atorvastatin initiation and when clinically indicated thereafter. Atorvastatin is contraindicated in patients with acute liver failure or decompensated cirrhosis [see Contraindications (4)]. If serious hepatic injury with clinical symptoms and/or hyperbilirubinemia or jaundice occurs, promptly discontinue atorvastatin.

12.1 Mechanism of Action

Amlodipine and atorvastatin is a combination of two drugs, a dihydropyridine calcium channel blocker (amlodipine) and an HMG-CoA reductase inhibitor (atorvastatin). The amlodipine component of amlodipine and atorvastatin inhibits the transmembrane influx of calcium ions into vascular smooth muscle and cardiac muscle. The atorvastatin component of amlodipine and atorvastatin is a selective, competitive inhibitor of HMG-CoA reductase, the rate-limiting enzyme that converts 3-hydroxy-3-methylglutaryl-coenzyme A to mevalonate, a precursor of sterols, including cholesterol.



Amlodipine

Amlodipine binds to both dihydropyridine and nondihydropyridine binding sites. The contractile processes of cardiac muscle and vascular smooth muscle are dependent upon the movement of extracellular calcium ions into these cells through specific ion channels. Amlodipine inhibits calcium ion influx across cell membranes selectively, with a greater effect on vascular smooth muscle cells than on cardiac muscle cells. Negative inotropic effects can be detected in vitro but such effects have not been seen in intact animals at therapeutic doses. Serum calcium concentration is not affected by amlodipine.



Amlodipine is a peripheral arterial vasodilator that acts directly on vascular smooth muscle to cause a reduction in peripheral vascular resistance and reduction in blood pressure.



The precise mechanisms by which amlodipine relieves angina have not been fully delineated, but are thought to include the following:

Exertional Angina: In patients with exertional angina, amlodipine reduces the total peripheral resistance (afterload) against which the heart works and reduces the rate pressure product, and thus myocardial oxygen demand, at any given level of exercise.



Vasospastic Angina: Amlodipine has been demonstrated to block constriction and restore blood flow in coronary arteries and arterioles in response to calcium, potassium epinephrine, serotonin, and thromboxane A2 analog in experimental animal models and in human coronary vessels in vitro. This inhibition of coronary spasm is responsible for the effectiveness of amlodipine in vasospastic (Prinzmetal’s or variant) angina.



Atorvastatin

Atorvastatin is a selective, competitive inhibitor of HMG-CoA reductase, the rate-limiting enzyme that converts 3-hydroxy-3-methylglutaryl-coenzyme A to mevalonate, a precursor of sterols, including cholesterol. In animal models, atorvastatin lowers plasma cholesterol and lipoprotein levels by inhibiting HMG-CoA reductase and cholesterol synthesis in the liver and by increasing the number of hepatic LDL receptors on the cell surface to enhance uptake and catabolism of LDL; atorvastatin also reduces LDL production and the number of LDL particles. 

5 Warnings and Precautions (5 WARNINGS AND PRECAUTIONS)

• Myopathy and Rhabdomyolysis: Risk factors include age 65 years or greater, uncontrolled hypothyroidism, renal impairment, concomitant use with certain other drugs, and higher amlodipine and atorvastatin dosage. Discontinue amlodipine and atorvastatin if markedly elevated CK levels occur or myopathy is diagnosed or suspected. Temporarily discontinue amlodipine and atorvastatin in patients experiencing an acute or serious condition at high risk of developing renal failure secondary to rhabdomyolysis. Inform patients of the risk of myopathy and rhabdomyolysis when starting or increasing amlodipine and atorvastatin dosage. Instruct patients to promptly report unexplained muscle pain, tenderness, or weakness, particularly if accompanied by malaise or fever (2, 5.1, 7.3, 8.5, 8.6).

• Immune-Mediated Necrotizing Myopathy (IMNM): Rare reports of IMNM, an autoimmune myopathy, have been reported with statin use. Discontinue amlodipine and atorvastatin if IMNM is suspected (5.2).

• Hepatic Dysfunction: Increases in serum transaminases have occurred, some persistent. Rare reports of fatal and non-fatal hepatic failure have occurred. Consider testing liver enzymes before initiating therapy and as clinically indicated thereafter. If serious hepatic injury with clinical symptoms and/or hyperbilirubinemia or jaundice occurs, promptly discontinue amlodipine and atorvastatin (5.3).

• Angina or myocardial infarction may occur with initiation or dose increase (5.4)

• Symptomatic hypotension is possible, particularly in patients with severe aortic stenosis. However, acute hypotension is unlikely (5.5). 

2 Dosage and Administration (2 DOSAGE AND ADMINISTRATION)

Amlodipine and Atorvastatin Tablets

Dosage of amlodipine and atorvastatin tablets must be individualized on the basis of both effectiveness and tolerance for each individual component in the treatment of hypertension/angina and hyperlipidemia. Select doses of amlodipine and atorvastatin independently.



Amlodipine and atorvastatin tablets may be substituted for its individually titrated components. Patients may be given the equivalent dose of amlodipine and atorvastatin tablets or a dose of amlodipine and atorvastatin tablets with increased amounts of amlodipine, atorvastatin, or both for additional antianginal effects, blood pressure lowering, or lipid-lowering effect.



Amlodipine and atorvastatin tablets may be used to provide additional therapy for patients already on one of its components. Amlodipine and atorvastatin tablets may be used to initiate treatment in patients with hyperlipidemia and either hypertension or angina.



Important Dosage Information

Take amlodipine and atorvastatin tablets orally once daily at any time of the day, with or without food.



Amlodipine

The usual initial antihypertensive oral dosage of amlodipine is 5 mg once daily, and the maximum dose is 10 mg once daily.



Pediatric (age > 6 years), small adult, fragile, or elderly patients, or patients with hepatic insufficiency may be started on 2.5 mg once daily and this dose may be used when adding amlodipine to other antihypertensive therapy.



Adjust dosage according to blood pressure goals. In general, wait 7 to 14 days between titration steps. Titration may proceed more rapidly, however, if clinically warranted, provided the patient is assessed frequently.



Angina  The recommended dosage of amlodipine for chronic stable or vasospastic angina is 5 to 10 mg, with the lower dose suggested in the elderly and in patients with hepatic insufficiency. Most patients will require 10 mg for adequate effect.



Coronary Artery Disease  The recommended dosage range of amlodipine for patients with CAD is 5 to 10 mg once daily. In clinical studies, the majority of patients required 10 mg [see Clinical Studies (14.4)].



Pediatrics  The effective antihypertensive oral dose of amlodipine in pediatric patients ages 6 to 17 years is 2.5 mg to 5 mg once daily. Doses in excess of 5 mg daily have not been studied in pediatric patients [see Clinical Pharmacology (12.3) and Clinical Studies (14.1)].



Atorvastatin



Assess LDL-C when clinically appropriate, as early as 4 weeks after initiating atorvastatin, and adjust the dosage if necessary. 



Recommended Dosage in Adult Patients 

The recommended starting dosage of atorvastatin is 10 mg to 20 mg once daily. The dosage range is 10 mg to 80 mg once daily. Patients who require reduction in LDL-C greater than 45% may be started at 40 mg once daily. 



Recommended Dosage in Pediatric Patients 10 Years of Age and Older with HeFH 

The recommended starting dosage of atorvastatin is 10 mg once daily. The dosage range is 10 mg to 20 mg once daily. 



Recommended Dosage in Pediatric Patients 10 Years of Age and Older with HoFH 

The recommended starting dosage of atorvastatin is 10 mg to 20 mg once daily. The dosage range is 10 mg to 80 mg once daily. 



Dosage Modifications Due to Drug Interactions

Concomitant use of atorvastatin with the following drugs requires dosage modification of atorvastatin [see Warnings and Precautions (5.1) and Drug Interactions (7.1)].



Anti-Viral Medications  

• In patients taking saquinavir plus ritonavir, darunavir plus ritonavir, fosamprenavir, fosamprenavir plus ritonavir, elbasvir plus grazoprevir or letermovir, do not exceed atorvastatin 20 mg once daily.

• In patients taking nelfinavir, do not exceed atorvastatin 40 mg once daily.



Select Azole Antifungals or Macrolide Antibiotics 

• In patients taking clarithromycin or itraconazole, do not exceed atorvastatin 20 mg once daily. 



For additional recommendations regarding concomitant use of atorvastatin with other anti-viral medications, azole antifungals or macrolide antibiotics, [see Drug Interactions (7.1)].

3 Dosage Forms and Strengths (3 DOSAGE FORMS AND STRENGTHS)

Amlodipine and atorvastatin tablets, USP are formulated for oral administration in the following strength combinations:

Table 1

                                  

  

 
 Atorvastatin (mg)

 
 10

 
 20

 
 40

 
 80

 
 Amlodipine (mg)

 
 2.5

 
 X

 
 X

 
 X

 
 -­-

 
 5

 
 X

 
 X

 
 X

 
 X

 
 10

 
 X

 
 X

 
 X

 
 X

 

Combinations of atorvastatin with 2.5 mg and 5 mg amlodipine are film-coated, white to off white tablets and combinations of atorvastatin with 10 mg amlodipine are film-coated, light blue to blue tablets.

6.2 Postmarketing Experience

The following adverse reactions have been identified during post-approval use of amlodipine and atorvastatin. Because these reactions are reported voluntarily from a population of uncertain size, it is not always possible to reliably estimate their frequency or establish a causal relationship to drug exposure.



Amlodipine

The following postmarketing event has been reported infrequently where a causal relationship is uncertain: gynecomastia. In postmarketing experience, jaundice and hepatic enzyme elevations (mostly consistent with cholestasis or hepatitis), in some cases severe enough to require hospitalization, have been reported in association with use of amlodipine.



Postmarketing reporting has also revealed a possible association between extrapyramidal disorder and amlodipine.



Amlodipine has been used safely in patients with chronic obstructive pulmonary disease, well-compensated congestive heart failure, coronary artery disease, peripheral vascular disease, diabetes mellitus, and abnormal lipid profiles.



Atorvastatin

Gastrointestinal Disorders: pancreatitis

General Disorders: fatigue

Hepatobiliary Disorders: fatal and non-fatal hepatic failure

Immune System Disorders: anaphylaxis

Injury: tendon rupture

Musculoskeletal and Connective Tissue Disorders: rhabdomyolysis, myositis.

There have been rare reports of immune-mediated necrotizing myopathy associated with statin use.

Nervous System Disorders: dizziness, peripheral neuropathy.

There have been rare reports of cognitive impairment (e.g., memory loss, forgetfulness, amnesia, memory impairment, confusion) associated with the use of all statins. Cognitive impairment was generally nonserious, and reversible upon statin discontinuation, with variable times to symptom onset (1 day to years) and symptom resolution (median of 3 weeks). There have been rare reports of new-onset or exacerbation of myasthenia gravis, including ocular myasthenia, and reports of recurrence when the same or a different statin was administered.

Psychiatric Disorders: depression

Respiratory Disorders: interstitial lung disease

Skin and Subcutaneous Tissue Disorders: angioneurotic edema, bullous rashes (including erythema multiforme, Stevens-Johnson syndrome, and toxic epidermal necrolysis)

8 Use in Specific Populations (8 USE IN SPECIFIC POPULATIONS)

• Pregnancy: May cause fetal harm (8.1).

• Lactation: Breastfeeding not recommended during treatment with amlodipine and atorvastatin (8.2). 

6.1 Clinical Trials Experience

Because clinical trials are conducted under widely varying conditions, the adverse reaction rates observed in the clinical trials of a drug cannot be directly compared to rates in the clinical trials of another drug and may not reflect the rates observed in practice.

Amlodipine and Atorvastatin

Amlodipine and atorvastatin has been evaluated for safety in 1,092 patients in double-blind placebo-controlled studies treated for co-morbid hypertension and dyslipidemia. In general, treatment with amlodipine and atorvastatin was well tolerated. For the most part, adverse reactions have been mild or moderate in severity. In clinical trials with amlodipine and atorvastatin, no adverse reactions peculiar to this combination have been observed. Adverse reactions are similar in terms of nature, severity, and frequency to those reported previously with amlodipine and atorvastatin.

The following information is based on the clinical experience with amlodipine and atorvastatin.

Amlodipine

Amlodipine has been evaluated for safety in more than 11,000 patients in U.S. and foreign clinical trials. In general, treatment with amlodipine was well tolerated at doses up to 10 mg daily. Most adverse reactions reported during therapy with amlodipine were of mild or moderate severity. In controlled clinical trials directly comparing amlodipine (N=1,730) at doses up to 10 mg to placebo (N=1,250), discontinuation of amlodipine because of adverse reactions was required in only about 1.5% of patients and was not significantly different from placebo (about 1%). The most commonly reported side effects more frequent than placebo are dizziness and edema. The incidence (%) of side effects that occurred in a dose related manner are as follows:

 

Amlodipine


Placebo

N=520
2.5 mg

N=275
5 mg

N=296
10 mg

N=268
 
Edema 

1.8


3


 10.8


 0.6
Dizziness

1.1


 3.4


 3.4


 1.5
Flushing

0.7


 1.4


 2.6


 0
Palpitations

0.7


 1.4


 4.5


 0.6


Other adverse reactions that were not clearly dose related but were reported at an incidence greater than 1% in placebo-controlled clinical trials include the following:

  

 
 Amlodipine (%)

 (N=1730)

 
 Placebo (%)

 (N=1250)

 
 Fatigue

 
 4.5

 
 2.8

 
 Nausea

 
 2.9

 
 1.9

 
 Abdominal Pain

 
 1.6

 
 0.3

 
 Somnolence

 
 1.4

 
 0.6

 

Edema, flushing, palpitations, and somnolence appear to be more common in women than in men.

The following events occurred in < 1% but > 0.1% of patients treated with amlodipine in controlled clinical trials or under conditions of open trials or marketing experience where a causal relationship is uncertain; they are listed to alert the physician to a possible relationship:

Cardiovascular: arrhythmia (including ventricular tachycardia and atrial fibrillation), bradycardia, chest pain, peripheral ischemia, syncope, tachycardia, vasculitis.

Central and Peripheral Nervous System: hypoesthesia, neuropathy peripheral, paresthesia, tremor, vertigo.

Gastrointestinal: anorexia, constipation, dysphagia, diarrhea, flatulence, pancreatitis, vomiting, gingival hyperplasia.

General: allergic reaction, asthenia,2 back pain, hot flushes, malaise, pain, rigors, weight gain, weight decrease.

Musculoskeletal System: arthralgia, arthrosis, muscle cramps,2 myalgia.

Psychiatric: sexual dysfunction (male2 and female), insomnia, nervousness, depression, abnormal dreams, anxiety, depersonalization.

Respiratory System: dyspnea,2 epistaxis.

Skin and Appendages: angioedema, erythema multiforme, pruritus,2 rash,2 rash erythematous, rash maculopapular.

Special Senses: abnormal vision, conjunctivitis, diplopia, eye pain, tinnitus.

Urinary System: micturition frequency, micturition disorder, nocturia.

Autonomic Nervous System: dry mouth, sweating increased.

Metabolic and Nutritional: hyperglycemia, thirst.

Hemopoietic: leukopenia, purpura, thrombocytopenia.



These events occurred in less than 1% in placebo-controlled trials, but the incidence of these side effects was between 1% and 2% in all multiple dose studies.



Amlodipine therapy has not been associated with clinically significant changes in routine laboratory tests. No clinically relevant changes were noted in serum potassium, serum glucose, total TG, TC, HDL-C, uric acid, blood urea nitrogen, or creatinine.



Atorvastatin

In the atorvastatin placebo-controlled clinical trial database of 16,066 patients (8,755 atorvastatin vs. 7,311 placebo; age range 10 to 93 years, 39% female, 91% White, 3% Black or African American, 2% Asian, 4% other) with a median treatment duration of 53 weeks, the most common adverse reactions in patients treated with atorvastatin that led to treatment discontinuation and occurred at a rate greater than placebo were: myalgia (0.7%), diarrhea (0.5%), nausea (0.4%), alanine aminotransferase increase (0.4%), and hepatic enzyme increase (0.4%).



Table 2 summarizes adverse reactions, reported in ≥ 2% and at a rate greater than placebo in patients treated with atorvastatin (n=8,755), from seventeen placebo-controlled trials.



Table 2. Adverse Reactions Occurring in ≥ 2% in Patients Atorvastatin-Treated with any Dose and Greater than Placebo

 

Adverse Reaction

% Placebo

N=7311

% 10 mg

N=3908

% 20 mg

N=188

% 40 mg

N=604

% 80 mg

N=4055

% Any dose

N=8755

Nasopharyngitis

8.2

12.9

5.3

7

4.2

8.3

Arthralgia

6.5

8.9

11.7

10.6

4.3

6.9

Diarrhea

6.3

7.3

6.4

14.1

5.2

6.8

Pain in extremity

5.9

8.5

3.7

9.3

3.1

6

Urinary tract infection

5.6

6.9

6.4

8

4.1

5.7

Dyspepsia

4.3

5.9

3.2

6

3.3

4.7

Nausea

3.5

3.7

3.7

7.1

3.8

4

Musculoskeletal pain

3.6

5.2

3.2

5.1

2.3

3.8

Muscle spasms

3

4.6

4.8

5.1

2.4

3.6

Myalgia

3.1

3.6

5.9

8.4

2.7

3.5

Insomnia

2.9

2.8

1.1

5.3

2.8

3

Pharyngolaryngeal pain

2.1

3.9

1.6

2.8

0.7

2.3

Other adverse reactions reported in placebo-controlled trials include:

Body as a Whole: malaise, pyrexia

Digestive System: abdominal discomfort, eructation, flatulence, hepatitis, cholestasis

Musculoskeletal System: musculoskeletal pain, muscle fatigue, neck pain, joint swelling

Metabolic and Nutritional System: transaminases increase, liver function test abnormal, blood alkaline phosphatase increase, creatine phosphokinase increase, hyperglycemia

Nervous System: nightmare

Respiratory System: epistaxis

Skin and Appendages: urticaria

Special Senses: vision blurred, tinnitus

Urogenital System: white blood cells urine positive.



Elevations in Liver Enzyme Tests

Persistent elevations in serum transaminases, defined as more than 3 times the ULN and occurring on 2 or more occasions, occurred in 0.7% of patients who received atorvastatin in clinical trials. The incidence of these abnormalities was 0.2%, 0.2%, 0.6%, and 2.3% for 10, 20, 40, and 80 mg, respectively.



One patient in clinical trials developed jaundice. Increases in liver enzyme tests in other patients were not associated with jaundice or other clinical signs or symptoms. Upon dose reduction, drug interruption, or discontinuation, transaminase levels returned to or near pretreatment levels without sequelae. Eighteen of 30 patients with persistent liver enzyme elevations continued treatment with a reduced dose of atorvastatin.



Treating to New Targets Study (TNT)

In TNT, [see Clinical Studies (14.6)] 10,001 patients (age range 29 to 78 years, 19% female; 94% White, 3% Black or African American, 1% Asian, 2% other) with clinically evident CHD were treated with atorvastatin 10 mg daily (n=5,006) or atorvastatin 80 mg daily (n=4,995). In the high-dose atorvastatin group, there were more patients with serious adverse reactions (1.8%) and discontinuations due to adverse reactions (9.9%) as compared to the low-dose group (1.4%; 8.1%, respectively) during a median follow-up of 4.9 years. Persistent transaminase elevations (≥ 3 x ULN twice within 4 to 10 days) occurred in 1.3% of individuals with atorvastatin 80 mg and in 0.2% of individuals with atorvastatin 10 mg. Elevations of CK (≥ 10 x ULN) were higher in the high-dose atorvastatin group (0.3%) compared to the low-dose atorvastatin group (0.1%).



Stroke Prevention by Aggressive Reduction in Cholesterol Levels (SPARCL)

In SPARCL, 4,731 patients (age range 21 to 92 years, 40% female; 93% White, 3% Black or African American, 1% Asian, 3% other) without clinically evident CHD but with a stroke or transient ischemic attack (TIA) within the previous 6 months were treated with atorvastatin 80 mg (n=2,365) or placebo (n=2,366) for a median follow-up of 4.9 years. There was a higher incidence of persistent hepatic transaminase elevations (≥ 3 x ULN twice within 4 to 10 days) in the atorvastatin group (0.9%) compared to placebo (0.1%). Elevations of CK (> 10 x ULN) were rare, but were higher in the atorvastatin group (0.1%) compared to placebo (0.0%). Diabetes was reported as an adverse reaction in 6.1% of subjects in the atorvastatin group and 3.8% of subjects in the placebo group.



In a post-hoc analysis, atorvastatin 80 mg reduced the incidence of ischemic stroke (9.2% vs. 11.6%) and increased the incidence of hemorrhagic stroke (2.3% vs. 1.4%) compared to placebo. The incidence of fatal hemorrhagic stroke was similar between groups (17 atorvastatin vs. 18 placebo). The incidence of non-fatal hemorrhagic strokes was significantly greater in the atorvastatin group (38 non-fatal hemorrhagic strokes) as compared to the placebo group (16 non-fatal hemorrhagic strokes). Patients who entered the trial with a hemorrhagic stroke appeared to be at increased risk for hemorrhagic stroke (16% atorvastatin vs. 4% placebo).



Adverse Reactions from Clinical Studies of Atorvastatin in Pediatric Patients with HeFH

In a 26-week controlled study in pediatric patients with HeFH (ages 10 years to 17 years) (n=140, 31% female; 92% White, 1.6% Black or African American, 1.6% Asian, 4.8% other), the safety and tolerability profile of atorvastatin 10 to 20 mg daily, as an adjunct to diet to reduce total cholesterol, LDL-C, and apo B levels, was generally similar to that of placebo [see Use in Specific Populations (8.4) and Clinical Studies (14.11)].

5.1 Myopathy and Rhabdomyolysis

Amlodipine and atorvastatin may cause myopathy (muscle pain, tenderness, or weakness associated with elevated creatine kinase [CK]) and rhabdomyolysis. Acute kidney injury secondary to myoglobinuria and rare fatalities have occurred as a result of rhabdomyolysis in patients treated with statins, including amlodipine and atorvastatin.



Risk Factors for Myopathy

Risk factors for myopathy include age 65 years or greater, uncontrolled hypothyroidism, renal impairment, concomitant use with certain other drugs (including other lipid-lowering therapies), and higher amlodipine and atorvastatin dosage [see Drug Interactions (7.3) and Use in Specific Populations (8.5, 8.6)].



Steps to Prevent or Reduce the Risk of Myopathy and Rhabdomyolysis

Amlodipine and atorvastatin exposure may be increased by drug interactions due to inhibition of cytochrome P450 enzyme 3A4 (CYP3A4) and/or transporters (e.g., breast cancer resistant protein [BCRP], organic anion-transporting polypeptide [OATP1B1/OATP1B3] and P-glycoprotein [P-gp]), resulting in an increased risk of myopathy and rhabdomyolysis. Concomitant use of cyclosporine, gemfibrozil, tipranavir plus ritonavir or glecaprevir plus pibrentasvir with amlodipine and atorvastatin is not recommended. Amlodipine and atorvastatin dosage modifications are recommended for patients taking certain anti-viral, azole antifungals, or macrolide antibiotic medications [see Dosage and Administration (2)]. Cases of myopathy/rhabdomyolysis have been reported with atorvastatin co-administered with lipid modifying doses (> 1 gram/day) of niacin, fibrates, colchicine, and ledipasvir plus sofosbuvir [see Adverse Reactions (6.1)]. Consider if the benefit of use of these products outweighs the increased risk of myopathy and rhabdomyolysis [see Drug Interactions (7.3)].



Concomitant intake of large quantities, more than 1.2 liters daily, of grapefruit juice is not recommended in patients taking amlodipine and atorvastatin [see Drug Interactions (7.3)].



Discontinue amlodipine and atorvastatin if markedly elevated CK levels occur or if myopathy is either diagnosed or suspected. Muscle symptoms and CK elevations may resolve if amlodipine and atorvastatin is discontinued. Temporarily discontinue amlodipine and atorvastatin in patients experiencing an acute or serious condition at high risk of developing renal failure secondary to rhabdomyolysis (e.g., sepsis; shock; severe hypovolemia; major surgery; trauma; severe metabolic, endocrine, or electrolyte disorders; or uncontrolled epilepsy).



Inform patients of the risk of myopathy and rhabdomyolysis when starting or increasing the amlodipine and atorvastatin dosage. Instruct patients to promptly report any unexplained muscle pain, tenderness or weakness, particularly if accompanied by malaise or fever.

14.1 Amlodipine for Hypertension

Adult Patients

The antihypertensive efficacy of amlodipine has been demonstrated in a total of 15 double-blind, placebo-controlled, randomized studies involving 800 patients on amlodipine and 538 on placebo. Once daily administration produced statistically significant placebo-corrected reductions in supine and standing blood pressures at 24 hours postdose, averaging about 12/6 mmHg in the standing position and 13/7 mmHg in the supine position in patients with mild to moderate hypertension. Maintenance of the blood pressure effect over the 24-hour dosing interval was observed, with little difference in peak and trough effect. Tolerance was not demonstrated in patients studied for up to 1 year. The 3 parallel, fixed dose, dose response studies showed that the reduction in supine and standing blood pressures was dose related within the recommended dosing range. Effects on diastolic pressure were similar in young and older patients. The effect on systolic pressure was greater in older patients, perhaps because of greater baseline systolic pressure. Effects were similar in black patients and in white patients.



Pediatric Patients

Two hundred sixty-eight hypertensive patients aged 6 to 17 years were randomized first to amlodipine 2.5 or 5 mg once daily for 4 weeks and then randomized again to the same dose or to placebo for another 4 weeks. Patients receiving 2.5 mg or 5 mg at the end of 8 weeks had significantly lower systolic blood pressure than those secondarily randomized to placebo. The magnitude of the treatment effect is difficult to interpret, but it is probably less than 5 mmHg systolic on the 5 mg dose and 3.3 mmHg systolic on the 2.5 mg dose. Adverse events were similar to those seen in adults. 

14.5 Amlodipine for Heart Failure

Amlodipine has been compared to placebo in four 8 to 12 week studies of patients with NYHA Class II/III heart failure, involving a total of 697 patients. In these studies, there was no evidence of worsened heart failure based on measures of exercise tolerance, NYHA classification, symptoms, or left ventricular ejection fraction. In a long-term (follow-up at least 6 months, mean 13.8 months) placebo-controlled mortality/morbidity study of amlodipine 5 to 10 mg in 1153 patients with NYHA Classes III (n=931) or IV (n=222) heart failure on stable doses of diuretics, digoxin, and ACE inhibitors, amlodipine had no effect on the primary endpoint of the study which was the combined endpoint of all-cause mortality and cardiac morbidity (as defined by life-threatening arrhythmia, acute myocardial infarction, or hospitalization for worsened heart failure), or on NYHA classification, or symptoms of heart failure. Total combined all-cause mortality and cardiac morbidity events were 222/571 (39%) for patients on amlodipine and 246/583 (42%) for patients on placebo; the cardiac morbid events represented about 25% of the endpoints in the study.



Another study (PRAISE-2) randomized patients with NYHA Class III (80%) or IV (20%) heart failure without clinical symptoms or objective evidence of underlying ischemic disease, on stable doses of ACE inhibitors (99%), digitalis (99%), and diuretics (99%), to placebo (n=827) or amlodipine (n=827) and followed them for a mean of 33 months. There was no statistically significant difference between amlodipine and placebo in the primary endpoint of all-cause mortality (95% confidence limits from 8% reduction to 29% increase on amlodipine). With amlodipine there were more reports of pulmonary edema.

17 Patient Counseling Information (17 PATIENT COUNSELING INFORMATION)

Advise the patient to read the FDA-approved patient labeling (Patient Information).



Myopathy and Rhabdomyolysis

Advise patients that amlodipine and atorvastatin may cause myopathy and rhabdomyolysis. Inform patients that the risk is also increased when taking certain types of medication or consuming large quantities of grapefruit juice and they should discuss all medication, both prescription and over the counter, with their healthcare provider. Instruct patients to promptly report any unexplained muscle pain, tenderness or weakness particularly if accompanied by malaise or fever [see Warnings and Precautions (5.1), Drug Interactions (7.1)].

 

Hepatic Dysfunction

Inform patients that amlodipine and atorvastatin may cause liver enzyme elevations and possibly liver failure. Advise patients to promptly report fatigue, anorexia, right upper abdominal discomfort, dark urine, or jaundice [see Warnings and Precautions (5.3)].

 

Increases in HbA1c and Fasting Serum Glucose Levels

Inform patients that increases in HbA1c and fasting serum glucose levels may occur with amlodipine and atorvastatin. Encourage patients to optimize lifestyle measures, including regular exercise, maintaining a healthy body weight, and making healthy food choices [see Warnings and Precautions (5.6)].



Pregnancy

Advise pregnant patients and patients who can become pregnant of the potential risk to a fetus. Advise patients to inform their healthcare provider of a known or suspected pregnancy to discuss if amlodipine and atorvastatin should be discontinued [see Use in Specific Populations (8.1)].



Lactation

Advise patients that breastfeeding is not recommended during treatment with amlodipine and atorvastatin [see Use in Specific Populations (8.2)].





Manufactured by:

Alembic Pharmaceuticals Limited

(Formulation Division),

Village Panelav, P. O. Tajpura,

Near Baska, Taluka-Halol,

Panchmahal 389350, Gujarat, India.



   

Revised: 05/2025

16 How Supplied/storage and Handling (16 HOW SUPPLIED/STORAGE AND HANDLING)

Amlodipine and atorvastatin tablets, USP contain amlodipine besylate, USP and atorvastatin calcium, USP equivalent to amlodipine and atorvastatin in the dose strengths described below.



Amlodipine and atorvastatin tablets, USP are differentiated by tablet color/size and are debossed with an alphabet and unique number on one side and plain on the other side. Combinations of atorvastatin with 2.5 mg and 5 mg amlodipine are round and oval respectively and are film-coated, white to off white tablets and combinations of atorvastatin with 10 mg amlodipine are oval and are film-coated, light blue to blue tablets. Amlodipine and atorvastatin tablets, USP are supplied for oral administration in the following strengths and package configurations:



Table 16.  Amlodipine and Atorvastatin Tablets, USP Packaging Configurations 



                                                                                                       

 Amlodipine and Atorvastatin Tablets, USP

 
 Package Configurations

 
 Tablet Strength mg (amlodipine / atorvastatin)

 
 NDC #

 
 Debossing

 
 Tablet Color

 
 Tablet Shape

 
 Bottle of 30

 Bottle of 90

 
 2.5/10

 
 46708-755-30

 46708-755-90

 
 L540

 
 White to off white

 
 Round

 
 Bottle of 30

 Bottle of 90

 
 2.5/20

 
 46708-756-30

 46708-756-90

 
 L541

 
 White to off white

 
 Round

 
 Bottle of 30

 Bottle of 90

 
 2.5/40

 
 46708-757-30

 46708-757-90

 
 L542

 
 White to off white

 
 Round

 
 Bottle of 30

 Bottle of 90

 
 5/10

 
 46708-758-30

 46708-758-90

 
 L543

 
 White to off white

 
 Oval

 
 Bottle of 30

 Bottle of 90

 
 5/20

 
 46708-759-30

 46708-759-90

 
 L544

 
 White to off white

 
 Oval

 
 Bottle of 30

 Bottle of 90

 
 5/40

 
 46708-760-30

 46708-760-90

 
 L545

 
 White to off white

 
 Oval

 
 Bottle of 30

 Bottle of 90

 
 5/80

 
 46708-761-30

 46708-761-90

 
 L546

 
 White to off white

 
 Oval

 
 Bottle of 30

 Bottle of 90

 
 10/10

 
 46708-762-30

 46708-762-90

 
 L547

 
 Light blue to blue

 
 Oval

 
 Bottle of 30

 Bottle of 90

 
 10/20

 
 46708-763-30

 46708-763-90

 
 L548

 
 Light blue to blue

 
 Oval

 
 Bottle of 30

 Bottle of 90

 
 10/40

 
 46708-764-30

 46708-764-90

 
 L549

 
 Light blue to blue

 
 Oval

 
 Bottle of 30

 Bottle of 90

 
 10/80

 
 46708-765-30

 46708-765-90

 
 L550

 
 Light blue to blue

 
 Oval

 


All bottles of Amlodipine and Atorvastatin Tablets, USP are supplied with child-resistant closure.

Store at 25°C (77°F); excursions permitted to 15° to 30°C (59° to 86°F) [see USP Controlled Room Temperature].

14.3 Amlodipine for Vasospastic Angina

In a double-blind, placebo-controlled clinical trial of 4 weeks duration in 50 patients, amlodipine therapy decreased attacks by approximately 4/week compared with a placebo decrease of approximately 1/week (p < 0.01). Two of 23 amlodipine and 7 of 27 placebo patients discontinued from the study for lack of clinical improvement.

7.1 Impact of Other Drugs On Amlodipine (7.1 Impact of Other Drugs on Amlodipine)

CYP3A Inhibitors

Co-administration with CYP3A inhibitors (moderate and strong) results in increased systemic exposure to amlodipine and may require dose reduction. Monitor for symptoms of hypotension and edema when amlodipine is co-administered with CYP3A inhibitors to determine the need for dose adjustment [see Clinical Pharmacology (12.3)].



CYP3A Inducers

No information is available on the quantitative effects of CYP3A inducers on amlodipine. Blood pressure should be closely monitored when amlodipine is co-administered with CYP3A inducers.



Sildenafil

Monitor for hypotension when sildenafil is co-administered with amlodipine [see Clinical Pharmacology (12.2)].

7.2 Impact of Amlodipine On Other Drugs (7.2 Impact of Amlodipine on Other Drugs)

Immunosuppressants

Amlodipine may increase the systemic exposure of cyclosporine or tacrolimus when co-administered. Frequent monitoring of trough blood levels of cyclosporine and tacrolimus is recommended and adjust the dose when appropriate [see Clinical Pharmacology (12.3)].



Atorvastatin

7.5 Atorvastatin Effects On Other Drugs (7.5 Atorvastatin Effects on Other Drugs)

Table 5 presents atorvastatin’s effect on other drugs and instructions for preventing or managing them.

Table 5. Atorvastatin Effects on Other Drugs

Oral Contraceptives 
 Clinical Impact:

 
Co-administration of atorvastatin and an oral contraceptive increased plasma concentrations of norethindrone and ethinyl estradiol [see Clinical Pharmacology (12.3)].
 Intervention:

 
Consider this when selecting an oral contraceptive for patients taking atorvastatin. 
 Digoxin

 
 Clinical Impact:

 
When multiple doses of atorvastatin and digoxin were co-administered, steady state plasma digoxin concentrations increased [see Clinical Pharmacology (12.3)]. 
 Intervention:

 
Monitor patients taking digoxin appropriately. 

 

5.2 Immune Mediated Necrotizing Myopathy (5.2 Immune-Mediated Necrotizing Myopathy)

There have been rare reports of immune-mediated necrotizing myopathy (IMNM), an autoimmune myopathy, associated with statin use, including reports of recurrence when the same or a different statin was administered. IMNM is characterized by: proximal muscle weakness and elevated serum creatine kinase that persists despite discontinuation of statin treatment; positive anti-HMG-CoA reductase antibody; muscle biopsy showing necrotizing myopathy; and improvement with immunosuppressive agents. Additional neuromuscular and serologic testing may be necessary. Treatment with immunosuppressive agents may be required. Discontinue amlodipine and atorvastatin if IMNM is suspected.



14.2 Amlodipine for Chronic Stable Angina

The effectiveness of 5 to 10 mg/day of amlodipine in exercise-induced angina has been evaluated in 8 placebo-controlled, double-blind clinical trials of up to 6 weeks duration involving 1038 patients (684 amlodipine, 354 placebo) with chronic stable angina. In 5 of the 8 studies, significant increases in exercise time (bicycle or treadmill) were seen with the 10 mg dose. Increases in symptom-limited exercise time averaged 12.8% (63 sec) for amlodipine 10 mg, and averaged 7.9% (38 sec) for amlodipine 5 mg. Amlodipine 10 mg also increased time to 1 mm ST segment deviation in several studies and decreased angina attack rate. The sustained efficacy of amlodipine in angina patients has been demonstrated over long-term dosing. In patients with angina, there were no clinically significant reductions in blood pressures (4/1 mmHg) or changes in heart rate (+0.3 bpm).



14.4 Amlodipine for Coronary Artery Disease

In PREVENT, 825 patients with angiographically documented CAD were randomized to amlodipine (5 to 10 mg once daily) or placebo and followed for 3 years. Although the study did not show significance on the primary objective of change in coronary luminal diameter as assessed by quantitative coronary angiography, the data suggested a favorable outcome with respect to fewer hospitalizations for angina and revascularization procedures in patients with CAD.

CAMELOT enrolled 1318 patients with CAD recently documented by angiography, without left main coronary disease and without heart failure or an ejection fraction < 40%. Patients (76% males, 89% Caucasian, 93% enrolled at U.S. sites, 89% with a history of angina, 52% without PCI, 4% with PCI and no stent, and 44% with a stent) were randomized to double-blind treatment with either amlodipine (5 to 10 mg once daily) or placebo in addition to standard care that included aspirin (89%), statins (83%), beta-blockers (74%), nitroglycerin (50%), anticoagulants (40%), and diuretics (32%), but excluded other calcium channel blockers. The mean duration of follow-up was 19 months. The primary endpoint was the time to first occurrence of one of the following events: hospitalization for angina pectoris, coronary revascularization, myocardial infarction, cardiovascular death, resuscitated cardiac arrest, hospitalization for heart failure, stroke/TIA, or peripheral vascular disease. A total of 110 (16.6%) and 151 (23.1%) first events occurred in the amlodipine and placebo groups, respectively, for a hazard ratio of 0.691 (95% CI: 0.54 to 0.884, p=0.003). The primary endpoint is summarized in Figure 1 below. The outcome of this study was largely derived from the prevention of hospitalizations for angina and the prevention of revascularization procedures (see Table 8). Effects in various subgroups are shown in Figure 2.

In an angiographic substudy (n=274) conducted within CAMELOT, there was no significant difference between amlodipine and placebo on the change of atheroma volume in the coronary artery as assessed by intravascular ultrasound.

Figure 1.  Kaplan-Meier Analysis of Composite Clinical Outcomes for Amlodipine versus Placebo



Figure 2.  Effects on Primary Endpoint of Amlodipine versus Placebo across Sub-Groups

Table 8 below summarizes the significant composite endpoint and clinical outcomes from the composites of the primary endpoint. The other components of the primary endpoint including cardiovascular death, resuscitated cardiac arrest, myocardial infarction, hospitalization for heart failure, stroke/TIA, or peripheral vascular disease did not demonstrate a significant difference between amlodipine and placebo.

Table 8. Incidence of Significant Clinical Outcomes for CAMELOT

 Clinical Outcomes

 N (%)

 
 Amlodipine 

 (N=663)

 
 Placebo 

 (N=655)

 
 Risk Reduction 

 (p-value)

 
 Composite CV Endpoint

 
 110

 (16.6)

 
 151

 (23.1)

 
 31%

 (0.003)

 
 Hospitalization for Angina*

 
 51

 (7.7)

 
 84

 (12.8)

 
 42%

 (0.002)

 
 Coronary Revascularization*

 
 78

 (11.8)

 
 103

 (15.7)

 
 27%

 (0.033)

 

* Total patients with these events.

5.4 Increased Angina and Myocardial Infarction

Worsening angina and acute myocardial infarction can develop after starting or increasing the dose of amlodipine, particularly in patients with severe obstructive coronary artery disease.

Package Label.principal Display Panel 5 Mg/10 Mg (PACKAGE LABEL.PRINCIPAL DISPLAY PANEL - 5 mg/10 mg)

NDC 46708-758-30

Amlodipine and

Atorvastatin

Tablets, USP

5 mg/10 mg*

Rx only

30 Tablets

Alembic

 



Package Label.principal Display Panel 5 Mg/20 Mg (PACKAGE LABEL.PRINCIPAL DISPLAY PANEL - 5 mg/20 mg)

NDC 46708-759-30

Amlodipine and

Atorvastatin

Tablets, USP

5 mg/20 mg*

Rx only

30 Tablets

Alembic



Package Label.principal Display Panel 5 Mg/40 Mg (PACKAGE LABEL.PRINCIPAL DISPLAY PANEL - 5 mg/40 mg)

NDC 46708-760-30

Amlodipine and

Atorvastatin

Tablets, USP

5 mg/40 mg*

Rx only

30 Tablets

Alembic



Package Label.principal Display Panel 5 Mg/80 Mg (PACKAGE LABEL.PRINCIPAL DISPLAY PANEL - 5 mg/80 mg)

NDC 46708-761-30

Amlodipine and

Atorvastatin

Tablets, USP

5 mg/80 mg*

Rx only

30 Tablets

Alembic



Package Label.principal Display Panel 10 Mg/10 Mg (PACKAGE LABEL.PRINCIPAL DISPLAY PANEL - 10 mg/10 mg)

NDC 46708-762-30

Amlodipine and

Atorvastatin

Tablets, USP

10 mg/10 mg*

Rx only

30 Tablets

Alembic

 



Package Label.principal Display Panel 10 Mg/20 Mg (PACKAGE LABEL.PRINCIPAL DISPLAY PANEL - 10 mg/20 mg)

NDC 46708-763-30

Amlodipine and

Atorvastatin

Tablets, USP

10 mg/20 mg*

Rx only

30 Tablets

Alembic



Package Label.principal Display Panel 10 Mg/40 Mg (PACKAGE LABEL.PRINCIPAL DISPLAY PANEL - 10 mg/40 mg)

NDC 46708-764-30

Amlodipine and

Atorvastatin

Tablets, USP

10 mg/40 mg*

Rx only

30 Tablets

Alembic



Package Label.principal Display Panel 10 Mg/80 Mg (PACKAGE LABEL.PRINCIPAL DISPLAY PANEL - 10 mg/80 mg)

NDC 46708-765-30

Amlodipine and

Atorvastatin

Tablets, USP

10 mg/80 mg*

Rx only

30 Tablets

Alembic



14.8 Atorvastatin for Hypertriglyceridemia in Adults

The response to atorvastatin in 64 patients with isolated hypertriglyceridemia treated across several clinical trials is shown in the table below (Table 12). For the atorvastatin-treated patients, median (min, max) baseline TG level was 565 (267 to 1502).

  

Table 12. Combined Patients with Isolated Elevated TG: Median (min, max) Percentage Change From Baseline

  

 
 Placebo

 (N=12)

 
 Atorvastatin 10 mg 

 (N=37)

 
 Atorvastatin 20 mg

 (N=13)

 
 Atorvastatin 80 mg

 (N=14)

 
 Triglycerides

 
 -12.4 (-36.6, 82.7)

 
 -41 (-76.2, 49.4)

 
 -38.7 (-62.7, 29.5)

 
 -51.8 (-82.8, 41.3)

 
 Total-C

 
 -2.3 (-15.5, 24.4)

 
 -28.2 (-44.9, -6.8)

 
 -34.9 (-49.6, -15.2)

 
 -44.4 (-63.5, -3.8)

 
 LDL-C

 
 3.6 (-31.3, 31.6)

 
 -26.5 (-57.7, 9.8)

 
 -30.4 (-53.9, 0.3)

 
 -40.5 (-60.6, -13.8)

 
 HDL-C

 
 3.8 (-18.6, 13.4)

 
 13.8 (-9.7, 61.5)

 
 11 (-3.2, 25.2)

 
 7.5 (-10.8, 37.2)

 
 non-HDL-C

 
 -2.8 (-17.6, 30)

 
 -33 (-52.1, -13.3)

 
 -42.7 (-53.7, -17.4)

 
 -51.5 (-72.9, -4.3)

 

 

Package Label.principal Display Panel 2.5 Mg/10 Mg (PACKAGE LABEL.PRINCIPAL DISPLAY PANEL - 2.5 mg/10 mg)

NDC 46708-755-30

Amlodipine and

Atorvastatin

Tablets, USP

2.5 mg/10 mg*

Rx only

30 Tablets

Alembic

Package Label.principal Display Panel 2.5 Mg/20 Mg (PACKAGE LABEL.PRINCIPAL DISPLAY PANEL - 2.5 mg/20 mg)

NDC 46708-756-30

Amlodipine and

Atorvastatin

Tablets, USP

2.5 mg/20 mg*

Rx only

30 Tablets

Alembic



Package Label.principal Display Panel 2.5 Mg/40 Mg (PACKAGE LABEL.PRINCIPAL DISPLAY PANEL - 2.5 mg/40 mg)

NDC 46708-757-30

Amlodipine and

Atorvastatin

Tablets, USP

2.5 mg/40 mg*

Rx only

30 Tablets

Alembic

14.7 Atorvastatin for Primary Hyperlipidemia in Adults

Atorvastatin reduces total-C, LDL-C, apo B, and TG, and increases HDL-C in patients with hyperlipidemia (heterozygous familial and nonfamilial) and mixed dyslipidemia. Therapeutic response is seen within 2 weeks, and maximum response is usually achieved within 4 weeks and maintained during chronic therapy.



In two multicenter, placebo-controlled, dose-response trials in patients with hyperlipidemia, atorvastatin given as a single dose over 6 weeks significantly reduced total-C, LDL-C, apo B, and TG. (Pooled results are provided in Table 10.)

  

Table 10. Dose Response in Patients with Primary Hyperlipidemia (Adjusted Mean % Change From Baseline)a

 

                                                                 

 Dose

 
 N

 
 TC

 
 LDL-C

 
 Apo B

 
 TG

 
 HDL-C

 
 Placebo

 
 21

 
 4

 
 4

 
 3

 
 10

 
 -3

 
 10

 
 22

 
 -29

 
 -39

 
 -32

 
 -19

 
 6

 
 20

 
 20

 
 -33

 
 -43

 
 -35

 
 -26

 
 9

 
 40

 
 21

 
 -37

 
 -50

 
 -42

 
 -29

 
 6

 
 80

 
 23

 
 -45

 
 -60

 
 -50

 
 -37

 
 5

 


a Results are pooled from 2 dose-response trials.

  

In three multicenter, double-blind trials in patients with hyperlipidemia, atorvastatin was compared to other statins. After randomization, patients were treated for 16 weeks with either atorvastatin 10 mg per day or a fixed dose of the comparative agent (Table 11).

 

Table 11. Mean Percentage Change from Baseline at Endpoint (Double-Blind, Randomized, Active-Controlled Trials)

                                                                                                                                       

 Treatment (Daily Dosage)

 
 N

 
 Total-C

 
 LDL-C

 
 Apo B

 
 TG

 
 HDL-C

 
  Trial 1

 
  

 
  

 
  

 
  

 
  

 
  

 
 Atorvastatin 10 mg

 
 707

 
 -27a

 
 -36a

 
 -28a

 
 -17a

 
 +7

 
 Lovastatin 20 mg

 
 191

 
 -19

 
 -27

 
 -20

 
 -6

 
 +7

 
 95% CI for Diff1

 
  

 
 -9.2, -6.5

 
 -10.7, -7.1

 
 -10, -6.5

 
 -15.2, -7.1

 
 -1.7, 2

 
  Trial  2

 
  

 
  

 
  

 
  

 
  

 
  

 
 Atorvastatin 10 mg

 
 222

 
 -25b

 
 -35b

 
 -27b

 
 -17b

 
 +6

 
 Pravastatin 20 mg

 
 77

 
 -17

 
 -23

 
 -17

 
 -9

 
 +8

 
 95% CI for Diff1

 
  

 
 -10.8, -6.1

 
 -14.5, -8.2

 
 -13.4, -7.4

 
 -14.1, -0.7

 
 -4.9, 1.6

 
  Trial  3

 
  

 
  

 
  

 
  

 
  

 
  

 
 Atorvastatin 10 mg

 
 132

 
 -29c

 
 -37c

 
 -34c

 
 -23c

 
 +7

 
 Simvastatin 10 mg

 
 45

 
 -24

 
 -30

 
 -30

 
 -15

 
 +7

 
 95% CI for Diff1

 
  

 
 -8.7, -2.7

 
 -10.1, -2.6

 
 -8, -1.1

 
 -15.1, -0.7

 
 -4.3, 3.9

 


1  A negative value for the 95% CI for the difference between treatments favors atorvastatin for all except HDL-C, for which a positive value favors atorvastatin. If the range does not include 0, this indicates a statistically significant difference.

a  Significantly different from lovastatin, ANCOVA, p ≤ 0.05

b  Significantly different from pravastatin, ANCOVA, p ≤ 0.05

c  Significantly different from simvastatin, ANCOVA, p ≤ 0.05



Table 11 does not contain data comparing the effects of atorvastatin 10 mg and higher dosage of lovastatin, pravastatin, and simvastatin. The drugs compared in the trials summarized in the table are not necessarily exchangeable.

14.9 Atorvastatin for Dysbetalipoproteinemia in Adults

The results of an open-label crossover trial of 16 patients (genotypes: 14 apo E2/E2 and 2 apo E3/E2) with dysbetalipoproteinemia are shown in the table below (Table 13).

Table 13. Open-Label Crossover Trial of 16 Patients with Dysbetalipoproteinemia (Fredrickson Type III)

                                      

              

 
 Median % Change (min, max)

 
  

 
 Median (min, max) at Baseline (mg/dL)

 
 Atorvastatin 10 mg

 
 Atorvastatin 80 mg

 
 Total-C

 
 442 (225, 1320)

 
 -37 (-85, 17)

 
 -58 (-90, -31)

 
 Triglycerides

 
 678 (273, 5990)

 
 -39 (-92, -8)

 
 -53 (-95, -30)

 
 Intermediate-density lipoprotein cholesterol (IDL-C)

 + VLDL-C

 
 215 (111, 613)

 
 -32 (-76, 9)

 
 -63 (-90, -8)

 
 non-HDL-C

 
 411 (218, 1272)

 
 -43 (-87, -19)

 
 -64 (-92, -36)

 
5.6 Increases in Hba1c and Fasting Serum Glucose Levels (5.6 Increases in HbA1c and Fasting Serum Glucose Levels)

Increases in HbA1c and fasting serum glucose levels have been reported with statins, including atorvastatin. Optimize lifestyle measures, including regular exercise, maintaining a healthy body weight, and making healthy food choices.

13.1 Carcinogenesis, Mutagenesis, Impairment of Fertility

Amlodipine

Rats and mice treated with amlodipine maleate in the diet for up to two years, at concentrations calculated to provide daily dosage levels of 0.5, 1.25, and 2.5 mg amlodipine/kg/day, showed no evidence of a carcinogenic effect of the drug. For the mouse, the highest dose was, on a mg/m2 basis, similar to the MRHD of 10 mg amlodipine/day.4 For the rat, the highest dose level was, on a mg/m2 basis, about twice the MRHD.4



Mutagenicity studies conducted with amlodipine maleate revealed no drug related effects at either the gene or chromosome levels.



There was no effect on the fertility of rats treated orally with amlodipine maleate (males for 64 days and females for 14 days prior to mating) at doses up to 10 mg amlodipine/kg/day (8 times the MRHD4 of 10 mg/day on a mg/m2 basis).



 4 Based on patient weight of 50 kg.



Atorvastatin

In a 2-year carcinogenicity study with atorvastatin calcium in rats at dose levels equivalent to 10, 30, and 100 mg atorvastatin/kg/day, 2 rare tumors were found in muscle in high-dose females: in one, there was a rhabdomyosarcoma and, in another, there was a fibrosarcoma. This dose represents a plasma AUC (0 to 24) value of approximately 16 times the mean human plasma drug exposure after an 80 mg oral dose.

A 2-year carcinogenicity study in mice given atorvastatin calcium at dose levels equivalent to 100, 200, or 400 mg atorvastatin/kg/day resulted in a significant increase in liver adenomas in high-dose males and liver carcinomas in high-dose females. These findings occurred at plasma AUC (0 to 24) values of approximately 6 times the mean human plasma drug exposure after an 80 mg oral dose.



In vitro, atorvastatin was not mutagenic or clastogenic in the following tests with and without metabolic activation: the Ames test with Salmonella typhimurium and Escherichia coli, the HGPRT forward mutation assay in Chinese hamster lung cells, and the chromosomal aberration assay in Chinese hamster lung cells. Atorvastatin was negative in the in vivo mouse micronucleus test.



In female rats, atorvastatin at doses up to 225 mg/kg (56 times the human exposure) did not cause adverse effects on fertility. Studies in male rats performed at doses up to 175 mg/kg (15 times the human exposure) produced no changes in fertility. There was aplasia and aspermia in the epididymis of 2 of 10 rats treated with atorvastatin calcium at a dose equivalent to 100 mg atorvastatin/kg/day for 3 months (16 times the human AUC at the 80 mg dose); testis weights were significantly lower at 30 and 100 mg/kg/day and epididymal weight was lower at 100 mg/kg/day. Male rats given the equivalent of 100 mg atorvastatin/kg/day for 11 weeks prior to mating had decreased sperm motility, spermatid head concentration, and increased abnormal sperm. Atorvastatin caused no adverse effects on semen parameters, or reproductive organ histopathology in dogs given doses of atorvastatin calcium equivalent to 10, 40, or 120 mg atorvastatin/kg/day for 2 years. 

14.6 Atorvastatin for Prevention of Cardiovascular Disease

In the Anglo-Scandinavian Cardiac Outcomes Trial (ASCOT), the effect of atorvastatin on fatal and non-fatal coronary heart disease was assessed in 10,305 patients with hypertension, 40 to 80 years of age (mean of 63 years; 19% female; 95% White, 3% Black or African American, 1% South Asian, 1% other), without a previous myocardial infarction and with total cholesterol (TC) levels ≤ 251 mg/dL. Additionally, all patients had at least 3 of the following cardiovascular risk factors: male gender (81%), age > 55 years (85%), smoking (33%), diabetes (24%), history of CHD in a first-degree relative (26%), TC:HDL > 6 (14%), peripheral vascular disease (5%), left ventricular hypertrophy (14%), prior cerebrovascular event (10%), specific ECG abnormality (14%), proteinuria/albuminuria (62%). In this double-blind, placebo-controlled trial, patients were treated with antihypertensive therapy (goal BP < 140/90 mm Hg for patients without diabetes; < 130/80 mm Hg for patients with diabetes) and allocated to either atorvastatin 10 mg daily (n=5168) or placebo (n=5137), using a covariate adaptive method which took into account the distribution of nine baseline characteristics of patients already enrolled and minimized the imbalance of those characteristics across the groups. Patients were followed for a median duration of 3.3 years.



The effect of 10 mg/day of atorvastatin on lipid levels was similar to that seen in previous clinical trials.



Atorvastatin significantly reduced the rate of coronary events [either fatal coronary heart disease (46 events in the placebo group vs. 40 events in the atorvastatin group) or non-fatal MI (108 events in the placebo group vs. 60 events in the atorvastatin group)] with a relative risk reduction of 36% [(based on incidences of 1.9% for atorvastatin vs. 3% for placebo), p=0.0005 (see Figure 3)]. The risk reduction was consistent regardless of age, smoking status, obesity, or presence of renal dysfunction. The effect of atorvastatin was seen regardless of baseline LDL levels.



Figure 3. Effect of Atorvastatin 10 mg/day on Cumulative Incidence of Non-Fatal Myocardial Infarction or Coronary Heart Disease Death (in ASCOT-LLA)



Atorvastatin also significantly decreased the relative risk for revascularization procedures by 42% (incidences of 1.4% for atorvastatin and 2.5% for placebo). Although the reduction of fatal and non-fatal strokes did not reach a pre-defined significance level (p=0.01), a favorable trend was observed with a 26% relative risk reduction (incidences of 1.7% for atorvastatin and 2.3% for placebo). There was no significant difference between the treatment groups for death due to cardiovascular causes (p=0.51) or noncardiovascular causes (p=0.17).



In the Collaborative Atorvastatin Diabetes Study (CARDS), the effect of atorvastatin on cardiovascular disease (CVD) endpoints was assessed in 2838 subjects (94% White, 2% Black or African American, 2% South Asian, 1% other, 68% male), ages 40 to 75 with type 2 diabetes based on WHO criteria, without prior history of cardiovascular disease and with LDL ≤ 160 mg/dL and triglycerides (TG) ≤ 600 mg/dL. In addition to diabetes, subjects had 1 or more of the following risk factors: current smoking (23%), hypertension (80%), retinopathy (30%), or microalbuminuria (9%) or macroalbuminuria (3%). No subjects on hemodialysis were enrolled in the trial. In this multicenter, placebo-controlled, double-blind clinical trial, subjects were randomly allocated to either atorvastatin 10 mg daily (1,429) or placebo (1,411) in a 1:1 ratio and were followed for a median duration of 3.9 years. The primary endpoint was the occurrence of any of the major cardiovascular events: myocardial infarction, acute CHD death, unstable angina, coronary revascularization, or stroke. The primary analysis was the time to first occurrence of the primary endpoint.



Baseline characteristics of subjects were: mean age of 62 years; mean HbA1c 7.7%; median LDL-C 120 mg/dL; median TC  207 mg/dL; median TG 151 mg/dL; median HDL-C 52 mg/dL.

 

The effect of atorvastatin 10 mg/day on lipid levels was similar to that seen in previous clinical trials.



Atorvastatin significantly reduced the rate of major cardiovascular events (primary endpoint events) (83 events in the atorvastatin group vs. 127 events in the placebo group) with a relative risk reduction of 37%, HR 0.63, 95% CI (0.48, 0.83) (p=0.001) (see Figure 4). An effect of atorvastatin was seen regardless of age, sex, or baseline lipid levels.



Atorvastatin significantly reduced the risk of stroke by 48% (21 events in the atorvastatin group vs. 39 events in the placebo group), HR 0.52, 95% CI (0.31, 0.89) (p=0.016) and reduced the risk of MI by 42% (38 events in the atorvastatin group vs. 64 events in the placebo group), HR 0.58, 95.1% CI (0.39, 0.86) (p=0.007). There was no significant difference between the treatment groups for angina, revascularization procedures, and acute CHD death.



There were 61 deaths in the atorvastatin group vs. 82 deaths in the placebo group (HR 0.73, p=0.059).



Figure 4. Effect of Atorvastatin 10 mg/day on Time to Occurrence of Major Cardiovascular Event (myocardial infarction, acute CHD death, unstable angina, coronary revascularization, or stroke) in CARDS



In the Treating to New Targets Study (TNT), the effect of atorvastatin 80 mg/day vs. atorvastatin 10 mg/day on the reduction in cardiovascular events was assessed in 10,001 subjects (94% White, 81% male, 38% ≥ 65 years) with clinically evident coronary heart disease who had achieved a target LDL-C level < 130 mg/dL after completing an 8-week, open-label, run-in period with atorvastatin 10 mg/day. Subjects were randomly assigned to either 10 mg/day or 80 mg/day of atorvastatin and followed for a median duration of 4.9 years. The primary endpoint was the time to first occurrence of any of the following major cardiovascular events (MCVE): death due to CHD, non-fatal myocardial infarction, resuscitated cardiac arrest, and fatal and non-fatal stroke. The mean LDL-C, TC, TG, non-HDL, and HDL cholesterol levels at 12 weeks were 73, 145, 128, 98, and 47 mg/dL during treatment with 80 mg of atorvastatin and 99, 177, 152, 129, and 48 mg/dL during treatment with 10 mg of atorvastatin.



Treatment with atorvastatin 80 mg/day significantly reduced the rate of MCVE (434 events in the 80 mg/day group vs. 548 events in the 10 mg/day group) with a relative risk reduction of 22%, HR 0.78, 95% CI (0.69, 0.89), p=0.0002 (see Figure 5 and Table 9). The overall risk reduction was consistent regardless of age (< 65, ≥ 65) or sex.



Figure 5. Effect of Atorvastatin 80 mg/day vs. 10 mg/day on Time to Occurrence of Major Cardiovascular Events (TNT)

 

Table 9. Overview of Efficacy Results in TNT

 Endpoint

 
 Atorvastatin

 10 mg

 (N=5006)

 
 Atorvastatin

 80 mg 

 (N=4995)

 
 HRa (95% CI)

 
 PRIMARY ENDPOINT

 
 n

 
 (%)

 
 n

 
 (%)

 
  

 
 First major cardiovascular endpoint

 
 548

 
 (10.9)

 
 434

 
 (8.7)

 
 0.78 (0.69, 0.89)

 
 Components of the Primary Endpoint

 
  

 
  

 
  

 
  

 
  

 
 CHD death

 
 127

 
 (2.5)

 
 101

 
 (2.0)

 
 0.8 (0.61, 1.03)

 
 Non-fatal, non-procedure related MI

 
 308

 
 (6.2)

 
 243

 
 (4.9)

 
 0.78 (0.66, 0.93)

 
 Resuscitated cardiac arrest

 
 26

 
 (0.5)

 
 25

 
 (0.5)

 
 0.96 (0.56, 1.67)

 
 Stroke (fatal and non-fatal)

 
 155

 
 (3.1)

 
 117

 
 (2.3)

 
 0.75 (0.59, 0.96)

 
 SECONDARY ENDPOINTS*

 
  

 
  

 
  

 
  

 
  

 
 First CHF with hospitalization

 
 164

 
 (3.3)

 
 122

 
 (2.4)

 
 0.74 (0.59, 0.94)

 
 First PVD endpoint

 
 282

 
 (5.6)

 
 275

 
 (5.5)

 
 0.97 (0.83, 1.15)

 
 First CABG or other coronary revascularization procedureb

 
 904

 
 (18.1)

 
 667

 
 (13.4)

 
 0.72 (0.65, 0.8)

 
 First documented angina endpointb

 
 615

 
 (12.3)

 
 545

 
 (10.9)

 
 0.88 (0.79, 0.99)

 
 All-cause mortality

 
 282

 
 (5.6)

 
 284

 
 (5.7)

 
 1.01 (0.85, 1.19)

 
 Components of All-Cause Mortality

 
  

 
  

 
  

 
  

 
  

 
 Cardiovascular death

 
 155

 
 (3.1)

 
 126

 
 (2.5)

 
 0.81 (0.64, 1.03)

 
 Noncardiovascular death

 
 127

 
 (2.5)

 
 158

 
 (3.2)

 
 1.25 (0.99, 1.57)

 
 Cancer death

 
 75

 
 (1.5)

 
 85

 
 (1.7)

 
 1.13 (0.83, 1.55)

 
 Other non-CV death

 
 43

 
 (0.9)

 
 58

 
 (1.2)

 
 1.35 (0.91, 2)

 
 Suicide, homicide, and other traumatic non-CV death

 
 9

 
 (0.2)

 
 15

 
 (0.3)

 
 1.67 (0.73, 3.82)

 

* Secondary endpoints not included in primary endpoint.

HR=hazard ratio; CHD=coronary heart disease; CI=confidence interval; MI=myocardial infarction; CHF=congestive heart failure; CV=cardiovascular; PVD=peripheral vascular disease; CABG=coronary artery bypass graft

Confidence intervals for the Secondary Endpoints were not adjusted for multiple comparisons.

a Atorvastatin 80 mg: atorvastatin 10 mg

b Component of other secondary endpoints



Of the events that comprised the primary efficacy endpoint, treatment with atorvastatin 80 mg/day significantly reduced the rate of non-fatal, non-procedure related MI and fatal and non-fatal stroke, but not CHD death or resuscitated cardiac arrest (Table 9). Of the predefined secondary endpoints, treatment with atorvastatin 80 mg/day significantly reduced the rate of coronary revascularization, angina, and hospitalization for heart failure, but not peripheral vascular disease. The reduction in the rate of CHF with hospitalization was only observed in the 8% of patients with a prior history of CHF.



There was no significant difference between the treatment groups for all-cause mortality (Table 9). The proportions of subjects who experienced cardiovascular death, including the components of CHD death and fatal stroke, were numerically smaller in the atorvastatin 80 mg group than in the atorvastatin 10 mg treatment group. The proportions of subjects who experienced noncardiovascular death were numerically larger in the atorvastatin 80 mg group than in the atorvastatin 10 mg treatment group.

7.4 Drug Interactions That May Decrease Exposure to Atorvastatin (7.4 Drug Interactions that may Decrease Exposure to Atorvastatin)

Table 4 presents drug interactions that may decrease exposure to atorvastatin and instructions for preventing or managing them.

Table 4. Drug Interactions that may Decrease Exposure to Atorvastatin             

 Rifampin

 
 Clinical Impact:

 
Concomitant administration of atorvastatin with rifampin, an inducer of cytochrome P450 3A4 and inhibitor of OATP1B1, can lead to variable reductions in plasma concentrations of atorvastatin. Due to the dual interaction mechanism of rifampin, delayed administration of atorvastatin after administration of rifampin has been associated with a significant reduction in atorvastatin plasma concentrations. 
 Intervention:

 
Administer atorvastatin and rifampin simultaneously. 


14.12 Amlodipine and Atorvastatin for Hypertension and Dyslipidemia

In a double-blind, placebo-controlled study, a total of 1660 patients with co-morbid hypertension and dyslipidemia received once daily treatment with eight dose combinations of amlodipine and atorvastatin (5/10, 10/10, 5/20, 10/20, 5/40, 10/40, 5/80, or 10/80 mg), amlodipine alone (5 mg or 10 mg), atorvastatin alone (10 mg, 20 mg, 40 mg, or 80 mg), or placebo. In addition to concomitant hypertension and dyslipidemia, 15% of the patients had diabetes mellitus, 22% were smokers, and 14% had a positive family history of cardiovascular disease. At eight weeks, all eight combination-treatment groups of amlodipine and atorvastatin demonstrated statistically significant dose-related reductions in systolic blood pressure (SBP), diastolic blood pressure (DBP), and LDL-C compared to placebo, with no overall modification of effect of either component on SBP, DBP, and LDL-C (Table 15).

Table 15. Effects of Amlodipine and Atorvastatin on Blood Pressure and LDL-C

                                                                           

BP (mmHg)   Atorvastatin

 
 Amlodipine

 
 0 mg

 
 10 mg

 
 20 mg

 
 40 mg

 
 80 mg

 
 0 mg

 
 —

 
 -1.5/-0.8

 
 -3.2/-0.6

 
 -3.2/-1.8

 
 -3.4/-0.8

 
 5 mg

 
 -9.8/-4.3

 
 -10.7/-4.9

 
 -12.3/-6.1

 
 -9.7/-4

 
 -9.2/-5.1

 
 10 mg

 
 -13.2/-7.1

 
 -12.9/-5.8

 
 -13.1/-7.3

 
 -13.3/-6.5

 
 -14.6/-7.8

 
 LDL-C

 (% change)

 
 Atorvastatin

 
 Amlodipine

 
 0 mg

 
 10 mg

 
 20 mg

 
 40 mg

 
 80 mg

 
 0 mg

 
 —

 
 -32.3

 
 -38.4

 
 -42

 
 -46.1

 
 5 mg

 
 1

 
 -37.6

 
 -41.2

 
 -43.8

 
 -47.3

 
 10 mg

 
 -1.4

 
 -35.5

 
 -37.5

 
 -42.1

 
 -48

 


14.11 Atorvastatin for Heterozygous Familial Hypercholesterolemia in Pediatric Patients

In a double-blind, placebo-controlled trial followed by an open-label phase, 187 males and post-menarchal females 10 years to 17 years of age (mean age 14.1 years; 31% female; 92% White, 1.6% Black or African American, 1.6% Asian, 4.8% other) with HeFH or severe hypercholesterolemia, were randomized to atorvastatin (n=140) or placebo (n=47) for 26 weeks and then all received atorvastatin for 26 weeks. Inclusion in the trial required 1) a baseline LDL-C level ≥ 190 mg/dL or 2) a baseline LDL-C level ≥ 160 mg/dL and positive family history of FH or documented premature cardiovascular disease in a first or second-degree relative. The mean baseline LDL-C value was 219 mg/dL (range: 139 to 385 mg/dL) in the atorvastatin group compared to 230 mg/dL (range: 160 to 325 mg/dL) in the placebo group. The dosage of atorvastatin (once daily) was 10 mg for the first 4 weeks and uptitrated to 20 mg if the LDL-C level was > 130 mg/dL. The number of atorvastatin-treated patients who required uptitration to 20 mg after Week 4 during the double- blind phase was 78 (56%). 



Atorvastatin significantly decreased plasma levels of total-C, LDL-C, triglycerides, and apolipoprotein B during the 26-week double-blind phase (see Table 14).



Table 14. Lipid-Altering Effects of Atorvastatin in Adolescent Males and Females with Heterozygous Familial Hypercholesterolemia or Severe Hypercholesterolemia (Mean Percentage Change from Baseline at Endpoint in Intention-to-Treat Population) 



                             

 DOSAGE

 
 N

 
 Total-C

 
 LDL-C

 
 HDL-C

 
 TG

 
 Apo B

 
 Placebo

 
 47

 
 -1.5

 
 -0.4

 
 -1.9

 
 1

 
 0.7

 
 Atorvastatin

 
 140

 
 -31.4

 
 -39.6

 
 2.8

 
 -12

 
 -34

 


The mean achieved LDL-C value was 130.7 mg/dL (range: 70 to 242 mg/dL) in the atorvastatin group compared to 228.5 mg/dL (range: 152 to 385 mg/dL) in the placebo group during the 26-week double-blind phase.



Atorvastatin was also studied in a three year open-label, uncontrolled trial that included 163 patients with HeFH who were 10 years to 15 years old (82 males and 81 females). All patients had a clinical diagnosis of HeFH confirmed by genetic analysis (if not already confirmed by family history). Approximately 98% were White, and less than 1% were Black, African American or Asian. Mean LDL-C at baseline was 232 mg/dL. The starting atorvastatin dosage was 10 mg once daily and doses were adjusted to achieve a target of <130 mg/dL LDL-C. The reductions in LDL-C from baseline were generally consistent across age groups within the trial as well as with previous clinical trials in both adult and pediatric placebo-controlled trials.

14.10 Atorvastatin for Homozygous Familial Hypercholesterolemia in Adults and Pediatric Patients

In a trial without a concurrent control group, 29 patients (mean age of 22 years, median age of 24 years, 31% < 18 years) with HoFH received maximum daily doses of 20 to 80 mg of atorvastatin. The mean LDL-C reduction in this trial was 18%. Twenty-five patients with a reduction in LDL-C had a mean response of 20% (range of 7% to 53%, median of 24%); the remaining 4 patients had 7% to 24% increases in LDL-C. Five of the 29 patients had absent LDL-receptor function. Of these, 2 patients also had a portacaval shunt and had no significant reduction in LDL-C. The remaining 3 receptor-negative patients had a mean LDL-C reduction of 22%.

7.3 Drug Interactions That May Increase the Risk of Myopathy and Rhabdomyolysis With Atorvastatin (7.3 Drug Interactions that may Increase the Risk of Myopathy and Rhabdomyolysis with Atorvastatin)

Atorvastatin is a substrate of CYP3A4 and transporters (e.g., OATP1B1/1B3, P-gp, or BCRP). Atorvastatin plasma levels can be significantly increased with concomitant administration of inhibitors of CYP3A4 and transporters. Table 3 includes a list of drugs that may increase exposure to atorvastatin and may increase the risk of myopathy and rhabdomyolysis when used concomitantly and instructions for preventing or managing them [see Warnings and Precautions (5.1) and Clinical Pharmacology (12.3)].

 

Table 3. Drug Interactions that may Increase the Risk of Myopathy and Rhabdomyolysis with Atorvastatin









 Cyclosporine or Gemfibrozil

 
 Clinical Impact:

 
Atorvastatin plasma levels were significantly increased with concomitant administration of atorvastatin and cyclosporine, an inhibitor of CYP3A4 and OATP1B1 [see Clinical Pharmacology (12.3)]. Gemfibrozil may cause myopathy when given alone. The risk of myopathy and rhabdomyolysis is increased with concomitant use of cyclosporine or gemfibrozil with atorvastatin.
 Intervention:

 
Concomitant use of cyclosporine or gemfibrozil with atorvastatin is not recommended. 
 Anti-Viral Medications

 
 Clinical Impact:

 
Atorvastatin plasma levels were significantly increased with concomitant administration of atorvastatin with many anti-viral medications, which are inhibitors of CYP3A4 and/or transporters (e.g., BCRP, OATP1B1/1B3, P-gp, MRP2, and/or OAT2) [see Clinical Pharmacology (12.3)]. Cases of myopathy and rhabdomyolysis have been reported with concomitant use of ledipasvir plus sofosbuvir with atorvastatin. 
 Intervention:

 
• Concomitant use of tipranavir plus ritonavir or glecaprevir plus pibrentasvir with atorvastatin is not recommended.   

• In patients taking lopinavir plus ritonavir, or simeprevir, consider the risk/benefit of concomitant use with atorvastatin.

• In patients taking saquinavir plus ritonavir, darunavir plus ritonavir, fosamprenavir, fosamprenavir plus ritonavir, elbasvir plus grazoprevir or letermovir do not exceed atorvastatin 20 mg.

• In patients taking nelfinavir, do not exceed atorvastatin 40 mg [see Dosage and Administration (2)].

• Consider the risk/benefit of concomitant use of ledipasvir plus sofosbuvir with atorvastatin.

• Monitor all patients for signs and symptoms of myopathy particularly during initiation of therapy and during upward dose titration of either drug.

 
Examples:  Tipranavir plus ritonavir, glecaprevir plus pibrentasvir, lopinavir plus ritonavir, simeprevir, saquinavir plus ritonavir, darunavir plus ritonavir, fosamprenavir, fosamprenavir plus ritonavir, elbasvir plus grazoprevir, letermovir, nelfinavir, and ledipasvir plus sofosbuvir. 
 Select Azole Antifungals or Macrolide Antibiotics

 
 Clinical Impact:

 
Atorvastatin plasma levels were significantly increased with concomitant administration of atorvastatin with select azole antifungals or macrolide antibiotics, due to inhibition of CYP3A4 and/or transporters [see Clinical Pharmacology (12.3)]. 
 Intervention:

 
In patients taking clarithromycin or itraconazole, do not exceed atorvastatin 20 mg [see Dosage and Administration (2)]. Consider the risk/benefit of concomitant use of other azole antifungals or macrolide antibiotics with atorvastatin. Monitor all patients for signs and symptoms of myopathy particularly during initiation of therapy and during upward dose titration of either drug.

 Examples:

 
Erythromycin, clarithromycin, itraconazole, ketoconazole, posaconazole, and voriconazole. 
 Niacin

 
 Clinical Impact:

 
Cases of myopathy and rhabdomyolysis have been observed with concomitant use of lipid modifying dosages of niacin (≥ 1 gram/day niacin) with atorvastatin. 
 Intervention:



 
Consider if the benefit of using lipid modifying dosages of niacin concomitantly with atorvastatin outweighs the increased risk of myopathy and rhabdomyolysis. If concomitant use is decided, monitor patients for signs and symptoms of myopathy particularly during initiation of therapy and during upward dose titration of either drug.
 Fibrates (other than Gemfibrozil)

 
 Clinical Impact:

 
Fibrates may cause myopathy when given alone. The risk of myopathy and rhabdomyolysis is increased with concomitant use of fibrates with atorvastatin.              
 Intervention:

 
Consider if the benefit of using fibrates concomitantly with atorvastatin outweighs the increased risk of myopathy and rhabdomyolysis. If concomitant use is decided, monitor patients for signs and symptoms of myopathy particularly during initiation of therapy and during upward dose titration of either drug.        
 Colchicine

 
 Clinical Impact:

 
Cases of myopathy and rhabdomyolysis have been reported with concomitant use of colchicine with atorvastatin. 
 Intervention:

 
Consider the risk/benefit of concomitant use of colchicine with atorvastatin. If concomitant use is decided, monitor patients for signs and symptoms of myopathy particularly during initiation of therapy and during upward dose titration of either drug.
 Grapefruit Juice

 
 Clinical Impact:

 
Grapefruit juice consumption, especially excessive consumption, more than 1.2 liters/daily can raise the plasma levels of atorvastatin and may increase the risk of myopathy and rhabdomyolysis.         
 Intervention:

 
Avoid intake of large quantities of grapefruit juice, more than 1.2 liters daily, when taking atorvastatin. 


5.7 Increased Risk of Hemorrhagic Stroke in Patients On Atorvastatin 80 Mg With Recent Hemorrhagic Stroke (5.7 Increased Risk of Hemorrhagic Stroke in Patients on Atorvastatin 80 mg with Recent Hemorrhagic Stroke)

In a post-hoc analysis of the Stroke Prevention by Aggressive Reduction in Cholesterol Levels (SPARCL) trial where 2365 adult patients, without CHD who had a stroke or Transient Ischemic Attack (TIA) within the preceding 6 months, were treated with atorvastatin 80 mg, a higher incidence of hemorrhagic stroke was seen in the atorvastatin 80 mg group compared to placebo (55, 2.3% atorvastatin vs. 33, 1.4% placebo; HR: 1.68, 95% CI: 1.09, 2.59; p=0.0168). The incidence of fatal hemorrhagic stroke was similar across treatment groups (17 vs. 18 for the atorvastatin and placebo groups, respectively). The incidence of non-fatal hemorrhagic stroke was significantly higher in the atorvastatin group (38, 1.6%) as compared to the placebo group (16, 0.7%). Some baseline characteristics, including hemorrhagic and lacunar stroke on study entry, were associated with a higher incidence of hemorrhagic stroke in the atorvastatin group [see Adverse Reactions (6.1)]. Consider the risk/benefit of use of atorvastatin 80 mg in patients with recent hemorrhagic stroke.


Advanced Ingredient Data


Raw Label Data

All Sections (JSON)