Doxycycline Hyclate Tablets, Usp

Doxycycline Hyclate Tablets, Usp
SPL v2
SPL
SPL Set ID ec4535a1-69f0-40a2-bcba-11afc75c721d
Route
ORAL
Published
Effective Date 2023-01-27
Document Type 34391-3 Human Prescription Drug Label

Drug Facts

Composition & Product

Active Ingredients
Doxycycline Anhydrous (20 mg)
Inactive Ingredients
Microcrystalline Cellulose Anhydrous Lactose Croscarmellose Sodium Silicon Dioxide Magnesium Stearate Polyvinyl Alcohol, Unspecified Titanium Dioxide Polyethylene Glycol 3350 Talc

Identifiers & Packaging

Pill Appearance
Imprint: 646;L Shape: round Color: white Size: 7 mm Score: 1
Marketing Status
ANDA Active Since 2020-03-05

Description

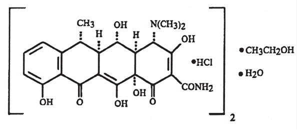
Doxycycline hyclate tablets, USP are available as a 20 mg formulation of doxycycline for oral administration. The structural formula of doxycycline hyclate is: with an empirical formula of (C 22 H 24 N 2 O 8 •HCl) 2 •C 2 H 6 O•H 2 O and a molecular weight of 1025.89. The chemical designation for doxycycline is 4-(dimethylamino)-1,4,4a,5,5a,6,11,12a–octahydro-3,5,10,12,12a–pentahydroxy-6-methyl-1,11-dioxo-2-naphthacenecarboxamide monohydrochloride, compound with ethyl alcohol (2:1), monohydrate. Doxycycline hyclate, USP is a yellow to light-yellow powder which is freely soluble in water and in methanol; sparingly soluble in alcohol; practically insoluble in chloroform and in ether. It dissolves in aqueous solutions of alkali hydroxides and carbonates. Inert ingredients in the formulation are: microcrystalline cellulose, lactose anhydrous, croscarmellose sodium, colloidal silicon dioxide, magnesium stearate, polyvinyl alcohol, titanium dioxide, polyethylene glycol, and talc. Each tablet contains 23 mg of doxycycline hyclate equivalent to 20 mg of doxycycline. Doxycycline hyclate tablets, USP meets USP Dissolution Test 3 .

Contraindications

This drug is contraindicated in persons who have shown hypersensitivity to doxycycline or any of the other tetracyclines.

Adverse Reactions

Adverse Reactions in Clinical Trials of a bioequivalent form of doxycycline hyclate capsules In clinical trials of adult patients with periodontal disease 213 patients received 20 mg BID over a 9 to 12 month period. The most frequent adverse reactions occurring in studies involving treatment with a bioequivalent form of doxycycline hyclate capsules or placebo are listed below:   Incidence (%) of Adverse Reactions in Clinical Trials of Doxycycline Hyclate Capsules, 20 mg (Bioequivalent to Doxycycline Hyclate Tablets, 20 mg) vs. Placebo   Adverse   Reactions   Doxycycline   Hyclate Capsules 20 mg BID                 (n=213)   Placebo                          (n=215)   Headache  55 (26%)  56 (26%)  Common Cold  47 (22%)  46 (21%)  Flu Symptoms  24 (11%)  40 (19%)  Tooth Ache  14 (7%)  28 (13%)  Periodontal Abscess  8 (4%)  21 (10%)  Tooth Disorder  13 (6%)  19 (9%)  Nausea  17 (8%)  12 (6%)  Sinusitis  7 (3%)  18 (8%)  Injury  11 (5%)  18 (8%)  Dyspepsia  13 (6%)  5 (2%)  Sore Throat  11 (5%)  13 (6%)  Joint Pain  12 (6%)  8 (4%)  Diarrhea  12 (6%)  8 (4%)  Sinus Congestion  11 (5%)  11 (5%)  Coughing  9 (4%)  11 (5%)  Sinus Headache  8 (4%)  8 (4%)  Rash  8 (4%)  6 (3%)  Back Pain  7 (3%)  8 (4%)  Back Ache  4 (2%)  9 (4%)  Menstrual Cramp  9 (4%)  5 (2%)  Acid Indigestion  8 (4%)  7 (3%)  Pain  8 (4%)  5 (2%)  Infection  4 (2%)  6 (3%)  Gum Pain  1(<1%)  6 (3%)  Bronchitis  7 (3%)  5 (2%)  Muscle Pain  2 (1%)  6 (3%)  Note: Percentages are based on total number of study participants in each treatment group. Adverse Reactions for Tetracyclines The following adverse reactions have been observed in patients receiving tetracyclines: Gastrointestinal: anorexia, nausea, vomiting, diarrhea, glossitis, dysphagia, enterocolitis, and inflammatory lesions (with vaginal candidiasis) in the anogenital region. Hepatotoxicity has been reported rarely. Rare instances of esophagitis and esophageal ulcerations have been reported in patients receiving the capsule forms of the drugs in the tetracycline class. Most of these patients took medications immediately before going to bed. (See DOSAGE AND ADMINISTRATION Section).  Skin: maculopapular and erythematous rashes. Exfoliative dermatitis has been reported but is uncommon. Photosensitivity is discussed above. (See WARNINGS   Section). Renal toxicity: Rise in BUN has been reported and is apparently dose related. (See WARNINGS Section). Hypersensitivity reactions: urticaria, angioneurotic edema, anaphylaxis, anaphylactoid purpura, serum sickness, pericarditis, and exacerbation of systemic lupus erythematosus. Blood: Hemolytic anemia, thrombocytopenia, neutropenia, and eosinophilia have been reported.

Drug Interactions

Because tetracyclines have been shown to depress plasma prothrombin activity, patients who are on anticoagulant therapy may require downward adjustment of their anticoagulant dosage.  Since bacterial antibiotics, such as the tetracycline class of antibiotics, may interfere with the bactericidal action of members of the β-lactam (e.g. penicillin) class of antibiotics, it is not advisable to administer these antibiotics concomitantly. Absorption of tetracyclines is impaired by antacids containing aluminum, calcium, or magnesium, and iron-containing preparations, and by bismuth subsalicylate. Barbiturates, carbamazepine, and phenytoin decrease the half-life of doxycycline. The concurrent use of tetracycline and methoxyflurane has been reported to result in fatal renal toxicity. Concurrent use of tetracyclines may render oral contraceptives less effective.

How Supplied

Doxycycline hyclate tablets, USP are off white to pale yellow colored, mottled, round shape, biconvex, film-coated tablets debossed with “646” on one side and “L” on other side.  The tablets are available as: NDC 46708-352-60                Bottle of 60 tablets NDC 46708-352-31                Bottle of 100 tablets NDC 46708-352-91                Bottle of 1000 tablets Store at 25°C (77°F); excursions permitted to 15° to 30°C (59° to 86°F) [see USP Controlled Room Temperature]. Dispense in a tight, light-resistant container using child-resistant closure as defined in the USP.  Call your doctor for medical advice about side effects. You may report side effects to FDA at 1-800-FDA-1088.


Medication Information

Contraindications

This drug is contraindicated in persons who have shown hypersensitivity to doxycycline or any of the other tetracyclines.

Adverse Reactions

Adverse Reactions in Clinical Trials of a bioequivalent form of doxycycline hyclate capsules

In clinical trials of adult patients with periodontal disease 213 patients received 20 mg BID over a 9 to 12 month period. The most frequent adverse reactions occurring in studies involving treatment with a bioequivalent form of doxycycline hyclate capsules or placebo are listed below:



 

Incidence (%) of Adverse Reactions in Clinical Trials of Doxycycline Hyclate Capsules, 20 mg (Bioequivalent to Doxycycline Hyclate Tablets, 20 mg) vs. Placebo

 

Adverse   Reactions 

Doxycycline   Hyclate Capsules 20 mg BID                 (n=213) 

Placebo                          (n=215) 

Headache 

55 (26%) 

56 (26%) 

Common Cold 

47 (22%) 

46 (21%) 

Flu Symptoms 

24 (11%) 

40 (19%) 

Tooth Ache 

14 (7%) 

28 (13%) 

Periodontal Abscess 

8 (4%) 

21 (10%) 

Tooth Disorder 

13 (6%) 

19 (9%) 

Nausea 

17 (8%) 

12 (6%) 

Sinusitis 

7 (3%) 

18 (8%) 

Injury 

11 (5%) 

18 (8%) 

Dyspepsia 

13 (6%) 

5 (2%) 

Sore Throat 

11 (5%) 

13 (6%) 

Joint Pain 

12 (6%) 

8 (4%) 

Diarrhea 

12 (6%) 

8 (4%) 

Sinus Congestion 

11 (5%) 

11 (5%) 

Coughing 

9 (4%) 

11 (5%) 

Sinus Headache 

8 (4%) 

8 (4%) 

Rash 

8 (4%) 

6 (3%) 

Back Pain 

7 (3%) 

8 (4%) 

Back Ache 

4 (2%) 

9 (4%) 

Menstrual Cramp 

9 (4%) 

5 (2%) 

Acid Indigestion 

8 (4%) 

7 (3%) 

Pain 

8 (4%) 

5 (2%) 

Infection 

4 (2%) 

6 (3%) 

Gum Pain 

1(<1%) 

6 (3%) 

Bronchitis 

7 (3%) 

5 (2%) 

Muscle Pain 

2 (1%) 

6 (3%) 



Note: Percentages are based on total number of study participants in each treatment group.

Adverse Reactions for Tetracyclines

The following adverse reactions have been observed in patients receiving tetracyclines:



Gastrointestinal: anorexia, nausea, vomiting, diarrhea, glossitis, dysphagia, enterocolitis, and inflammatory lesions (with vaginal candidiasis) in the anogenital region. Hepatotoxicity has been reported rarely. Rare instances of esophagitis and esophageal ulcerations have been reported in patients receiving the capsule forms of the drugs in the tetracycline class. Most of these patients took medications immediately before going to bed. (See DOSAGE AND ADMINISTRATION Section). 



Skin: maculopapular and erythematous rashes. Exfoliative dermatitis has been reported but is uncommon. Photosensitivity is discussed above. (See WARNINGS  Section).



Renal toxicity: Rise in BUN has been reported and is apparently dose related. (See WARNINGS Section).



Hypersensitivity reactions: urticaria, angioneurotic edema, anaphylaxis, anaphylactoid purpura, serum sickness, pericarditis, and exacerbation of systemic lupus erythematosus.



Blood: Hemolytic anemia, thrombocytopenia, neutropenia, and eosinophilia have been reported.

Drug Interactions

Because tetracyclines have been shown to depress plasma prothrombin activity, patients who are on anticoagulant therapy may require downward adjustment of their anticoagulant dosage. 



Since bacterial antibiotics, such as the tetracycline class of antibiotics, may interfere with the bactericidal action of members of the β-lactam (e.g. penicillin) class of antibiotics, it is not advisable to administer these antibiotics concomitantly.



Absorption of tetracyclines is impaired by antacids containing aluminum, calcium, or magnesium, and iron-containing preparations, and by bismuth subsalicylate.



Barbiturates, carbamazepine, and phenytoin decrease the half-life of doxycycline.



The concurrent use of tetracycline and methoxyflurane has been reported to result in fatal renal toxicity.



Concurrent use of tetracyclines may render oral contraceptives less effective.

How Supplied

Doxycycline hyclate tablets, USP are off white to pale yellow colored, mottled, round shape, biconvex, film-coated tablets debossed with “646” on one side and “L” on other side. 



The tablets are available as:

NDC 46708-352-60                Bottle of 60 tablets

NDC 46708-352-31                Bottle of 100 tablets

NDC 46708-352-91                Bottle of 1000 tablets



Store at 25°C (77°F); excursions permitted to 15° to 30°C (59° to 86°F) [see USP Controlled Room Temperature]. Dispense in a tight, light-resistant container using child-resistant closure as defined in the USP. 



Call your doctor for medical advice about side effects. You may report side effects to FDA at 1-800-FDA-1088.

Description

Doxycycline hyclate tablets, USP are available as a 20 mg formulation of doxycycline for oral administration.

The structural formula of doxycycline hyclate is:



with an empirical formula of (C22H24N2O8•HCl)2•C2H6O•H2O and a molecular weight of 1025.89. The chemical designation for doxycycline is 4-(dimethylamino)-1,4,4a,5,5a,6,11,12a–octahydro-3,5,10,12,12a–pentahydroxy-6-methyl-1,11-dioxo-2-naphthacenecarboxamide monohydrochloride, compound with ethyl alcohol (2:1), monohydrate. Doxycycline hyclate, USP is a yellow to light-yellow powder which is freely soluble in water and in methanol; sparingly soluble in alcohol; practically insoluble in chloroform and in ether. It dissolves in aqueous solutions of alkali hydroxides and carbonates.

Inert ingredients in the formulation are: microcrystalline cellulose, lactose anhydrous, croscarmellose sodium, colloidal silicon dioxide, magnesium stearate, polyvinyl alcohol, titanium dioxide, polyethylene glycol, and talc. Each tablet contains 23 mg of doxycycline hyclate equivalent to 20 mg of doxycycline.

Doxycycline hyclate tablets, USP meets USP Dissolution Test 3.

Warnings

THE USE OF DRUGS OF THE TETRACYCLINE CLASS DURING TOOTH DEVELOPMENT (LAST HALF OF PREGNANCY, INFANCY AND CHILDHOOD TO THE AGE OF 8 YEARS) MAY CAUSE PERMANENT DISCOLORATION OF THE TEETH (YELLOW-GRAY-BROWN). This adverse reaction is more common during long-term use of the drugs but has been observed following repeated short-term courses. Enamel hypoplasia has also been reported. TETRACYCLINE DRUGS, THEREFORE, SHOULD NOT BE USED IN THIS AGE GROUP AND IN PREGNANT OR NURSING MOTHERS UNLESS THE POTENTIAL BENEFITS MAY BE ACCEPTABLE DESPITE THE POTENTIAL RISKS.



All tetracyclines form a stable calcium complex in any bone forming tissue. A decrease in fibula growth rate has been observed in premature infants given oral tetracyclines in doses of 25 mg/kg every 6 hours. This reaction was shown to be reversible when the drug was discontinued.



Doxycycline can cause fetal harm when administered to a pregnant woman. Results of animal studies indicate that tetracyclines cross the placenta, are found in fetal tissues, and can have toxic effects on the developing fetus (often related to retardation of skeletal development). Evidence of embryotoxicity has also been noted in animals treated early in pregnancy. If any tetracyclines are used during pregnancy, or if the patient becomes pregnant while taking this drug, the patient should be apprised of the potential hazard to the fetus.



The catabolic action of the tetracyclines may cause an increase in BUN. Previous studies have not observed an increase in BUN with the use of doxycycline in patients with impaired renal function.



Photosensitivity manifested by an exaggerated sunburn reaction has been observed in some individuals taking tetracyclines. Patients apt to be exposed to direct sunlight or ultraviolet light should be advised that this reaction can occur with tetracycline drugs, and treatment should be discontinued at the first evidence of skin erythema.

Pregnancy

Teratogenic Effects

Pregnancy Category D

(See WARNINGS Section). Results from animal studies indicate that doxycycline crosses the placenta and is found in fetal tissues.

Nonteratogenic Effects

(See WARNINGS Section).

Overdosage

In case of overdosage, discontinue medication, treat symptomatically and institute supportive measures. Dialysis does not alter serum half-life and thus would not be of benefit in treating cases of overdose.

References

1.      Golub L.M., Sorsa T., Lee H-M, Ciancio S., Sorbi D., Ramamurthy N.S., Gruber B., Salo T., Konttinen Y.T.: Doxycycline Inhibits Neutrophil (PMN)-type Matrix Metalloproteinases in Human Adult Periodontitis Gingiva. J. Clin. Periodontol 1995; 22: 100-109.

2.      Golub L.M., Ciancio S., Ramamurthy N.S., Leung M., McNamara T.F.: Low-dose Doxycycline Therapy: Effect on Gingival and Crevicular Fluid Collagenase Activity in Humans. J. Periodont Res 1990; 25: 321-330.

3.      Golub L.M., Lee H.M., Greenwald R.A., Ryan M.E., Salo T., Giannobile W.V.: A Matrix Metalloproteinase Inhibitor Reduces Bone-type Collagen Degradation Fragments and Specific Collegenases in Gingival Crevicular Fluid During Adult Periodontitis. Inflammation Research 1997; 46: 310-319.

4.      Saivain S., Houin G.: Clinical Pharmacokinetics of Doxycycline and Minocycline. Clin. Pharmacokinetics 1988; 15; 355-366.

5.      Schach von Wittenau M., Twomey T.: The Disposition of Doxycycline by Man and Dog. Chemotherapy 1971; 16: 217-228.

6.      Campistron G., Coulais Y., Caillard C., Mosser J., Pontagnier H., Houin G.: Pharmacokinetics and Bioavailability of Doxycycline in Humans. Arzneimittel Forschung 1986; 36: 1705-1707. 

Manufactured by:

Alembic Pharmaceuticals Limited

(Formulation Division),

Village Panelav, P.O. Tajpura,

Near Baska, Taluka- Halol,

Panchmahal 389350, Gujarat, India.

Revised: 05/2019

Precautions

While no overgrowth by opportunistic microorganisms such as yeast were noted during clinical studies, as with other antimicrobials, doxycycline hyclate tablets therapy may result in overgrowth of non-susceptible microorganisms including fungi.



The use of tetracyclines may increase the incidence of vaginal candidiasis.



Doxycycline hyclate tablets should be used with caution in patients with a history or predisposition to oral candidiasis. The safety and effectiveness of doxycycline hyclate tablets has not been established for the treatment of periodontitis in patients with coexistent oral candidiasis.



If superinfection is suspected, appropriate measures should be taken.

Pediatric Use

The use of doxycycline hyclate tablets in infancy and childhood is contraindicated. (See WARNINGS Section). 

Nursing Mothers

Tetracyclines are excreted in human milk. Because of the potential for serious adverse reactions in nursing infants from doxycycline, the use of doxycycline hyclate tablets in nursing mothers is contraindicated. (See WARNINGS Section). 

Laboratory Tests

In long term therapy, periodic laboratory evaluations of organ systems, including hematopoietic, renal, and hepatic studies should be performed.

Labor and Delivery

The effect of tetracyclines on labor and delivery is unknown.

Clinical Pharmacology

After oral administration, doxycycline hyclate is rapidly and nearly completely absorbed from the gastrointestinal tract. Doxycycline is eliminated with a half-life of approximately 18 hours by renal and fecal excretion of unchanged drug.

Mechanism of Action

Doxycycline has been shown to inhibit collagenase activity in vitro.1 Additional studies have shown that doxycycline reduces the elevated collagenase activity in the gingival crevicular fluid of patients with adult periodontitis.2,3  The clinical significance of these  findings  is not  known.

 Microbiology

Doxycycline is a member of the tetracycline class of antibiotics. The dosage of doxycycline achieved with this product during administration is well below the concentration required to inhibit microorganisms commonly associated with adult periodontitis. Clinical studies with this product demonstrated no effect on total anaerobic and facultative bacteria in plaque samples from patients administered this dose regimen for 9 to 18 months. This product should not be used for reducing the numbers of or eliminating those microorganisms associated with periodontitis.

 Pharmacokinetics 

The pharmacokinetics of doxycycline following oral administration of doxycycline hyclate tablets were investigated in 4 volunteer studies involving 107 adults. Additionally, doxycycline pharmacokinetics have been characterized in numerous scientific publications.4  Pharmacokinetic parameters for doxycycline hyclate tablets following single oral doses and at steady-state in healthy subjects are   presented as follows:

 Pharmacokinetic Parameters for Doxycycline Hyclate Tablets 



 

n

Cmax *    (ng/mL)

Tmax                 (hr)

Cl/F* (L/hr)

t1/2 *                     (hr)

Single dose 20 mg (tablet) 

20

362 ± 101 

1.4                     (1 to 2.5) 

3.85 ± 1.3 

18.1 ± 4.85 

Steady-State 20 mg BID 

30

790 ± 285 

2                         (0.98 to 12) 

3.76 ± 1.06 

Not Determined 



* Mean ± SD

 Mean and range 

 Steady-State data were obtained from normal volunteers administered a bioequivalent formulation.



Absorption

Doxycycline is well absorbed after oral administration. In a single-dose study, concomitant administration of doxycycline hyclate tablets with a 1000 calorie, high-fat, high-protein meal which included dairy products, in healthy volunteers, resulted in a decrease in the rate and extent of absorption and delay in the time to maximum concentrations.



Distribution

Doxycycline is greater than 90% bound to plasma proteins. Its apparent volume of distribution is variously reported as between 52.6 and 134 L.4,6



Metabolism

Major metabolites of doxycycline have not been identified. However, enzyme inducers such as barbiturates, carbamazepine, and phenytoin decrease the half-life of doxycycline.



Excretion

Doxycycline is excreted in the urine and feces as unchanged drug. It is variously reported that between 29% and 55.4% of an administered dose can be accounted for in the urine by 72 hours.5,6 Half-life averaged 18  hours in subjects receiving a single 20  mg  doxycycline  dose.

 Special Populations

Geriatric

Doxycycline pharmacokinetics have not been evaluated in geriatric patients. 



Pediatric

Doxycycline pharmacokinetics have not been evaluated in pediatric patients (See WARNINGS section). 



Gender

Doxycycline pharmacokinetics were compared in 9 men and 11 women under fed and fasted conditions. While female subjects had a higher rate (Cmax) and extent of absorption (AUC), these differences are thought to be due to differences in body weight/lean body mass. Differences in other pharmacokinetic parameters were not significant.



Race

Differences in doxycycline pharmacokinetics among racial groups have not been evaluated.



 Renal Insufficiency

Studies have shown no significant difference in serum half-life of doxycycline in patients with normal and severely impaired renal function. Hemodialysis does not alter the half-life of   doxycycline.



 

 

Hepatic Insufficiency

Doxycycline pharmacokinetics have not been evaluated in patients with hepatic insufficiency.



Drug Interactions

(See PRECAUTIONS section)

 Clinical Study 

In a randomized, multi-centered, double-blind, 9-month Phase 3 study involving 190 adult patients with periodontal disease [at least two probing sites per quadrant of between 5 and 9 mm pocket depth (PD) and attachment level (ALv)], the effects of oral administration of 20 mg twice a day of doxycycline hyclate (using a bioequivalent capsule formulation) plus scaling and root planing (SRP) were compared to placebo control plus SRP. Both treatment groups were administered a course of scaling and root planing in 2 quadrants at Baseline. Measurements of ALv, PD and bleeding-on-probing (BOP) were obtained at Baseline, 3, 6, and 9 months from each site about each tooth in the two quadrants that received SRP using the UNC-15 manual probe. Each tooth site was categorized into one of three strata based on Baseline PD: 0 to 3 mm (no disease), 4 to 6 mm (mild/moderate disease), ≥ 7 mm (severe disease). For each stratum and treatment group, the following were calculated at month 3, 6, and 9: mean change in ALv from baseline, mean change in PD from baseline, mean percentage of tooth sites per patient  exhibiting attachment loss of ≥ 2 mm from baseline, and percentage of tooth sites with bleeding on probing. The results are summarized in the following table.



Clinical Results at Nine Months of Doxycycline Hyclate Capsules, 20 mg, as an Adjunct to SRP (Bioequivalent to Doxycycline Hyclate Tablets, 20 mg)



Parameter 

Baseline Pocket Depth 

≥ 7 mm 

0 to 3 mm 

4 to 6 mm 

Number of Patients 

 

 

 

(Doxycycline Hyclate Tablets20mg BID) 

90

90

79

Number of Patients

(Placebo) 

93

93

78

Mean Gain (SD*) in ALv 

 

 

 

Doxycycline Hyclate Tablets20 mg BID 

0.25 (0.29) mm 

1.03 (0.47) mm 

1.55 (1.16) mm 

Placebo 

0.2 (0.29) mm 

0.86 (0.48) mm 

1.17 (1.15) mm 

Mean Decrease (SD*) in PD§ 

 

 

 

Doxycycline Hyclate Tablets 20 mg BID 

0.16 (0.19) mm 

0.95 (0.47) mm 

1.68 (1.07) mm 

Placebo 

0.05 (0.19) mm 

0.69 (0.48) mm 

1.2 (1.06) mm 

% of Sites (SD*) with loss of ALv ≥ 2 mm 

 

 

 

Doxycycline Hyclate Tablets 20 mg BID 

1.9 (4.2)% 

1.3 (4.5)% 

0.3 (9.4)% 

Placebo 

2.2 (4.1)% 

2.4 (4.4)% 

3.6 (9.4)% 

% of Sites (SD*) with BOP #  

 

 

 

Doxycycline Hyclate Tablets 20 mg BID 

39 (19)% 

64 (18)% 

75 (29)% 

Placebo 

46 (19)% 

70 (18)% 

80 (29)% 



* SD=Standard Deviation 

 Alv=Clinical Attachment Level 

 p<0.05 vs. the placebo control group.

§ PD=Pocket Depth

 p<0.01 vs. the placebo control group.

# BOP=Bleeding on Probing 

Indications  and  usage

Doxycycline hyclate tablets are indicated for use as an adjunct to scaling and root planing to promote attachment level gain and to reduce pocket depth in patients with adult periodontitis.

Dosage and  administration

THE DOSAGE OF DOXYCYCLINE HYCLATE TABLETS DIFFERS FROM THAT OF DOXYCYCLINE USED TO TREAT INFECTIONS. EXCEEDING THE RECOMMENDED DOSAGE MAY RESULT IN AN INCREASED INCIDENCE OF SIDE EFFECTS INCLUDING THE DEVELOPMENT OF RESISTANT MICROORGANISMS.



Doxycycline hyclate tablets 20 mg twice daily as an adjunct following scaling and root planing may be administered for up to 9 months. Doxycycline hyclate tablets should be taken twice daily at 12 hour intervals, usually in the morning and evening. It is recommended that if Doxycycline hyclate tablet is taken close to meal times, allow at least one hour prior to or two hours after meals. Safety beyond 12 months and efficacy beyond 9 months have not been established.



Administration of adequate amounts of fluid along with the tablets is recommended to wash down the drug and reduce the risk of esophageal irritation and ulceration. (See ADVERSE REACTIONS Section).

Drug/laboratory Test Interactions

False elevations of urinary catecholamine levels may occur due to interference with the fluorescence test.

Package Label.principal Display Panel

NDC 46708-352-60

Doxycycline

Hyclate

Tablets, USP

20 mg*

Rx only

60 Tablets

Alembic



Carcinogenesis, Mutagenesis, Impairment of Fertility

Doxycycline hyclate was assessed for potential to induce carcinogenesis in a study in which the compound was administered to Sprague-Dawley rats by gavage at dosages of 20, 75, and 200 mg/kg/day for two years. An increased incidence of uterine polyps was observed in female rats that received 200 mg/kg/day, a dosage that resulted in a systemic exposure to doxycycline approximately nine times that observed in female humans that used doxycycline hyclate tablets (exposure comparison based upon AUC values). No impact upon tumor incidence was observed in male rats at 200 mg/kg/day, or in either gender at the other dosages studied. Evidence of oncogenic activity was obtained in studies with related compounds, i.e., oxytetracycline (adrenal and pituitary tumors), and minocycline (thyroid tumors).



Doxycycline hyclate demonstrated no potential to cause genetic toxicity in an in vitro point mutation study with mammalian cells (CHO/HGPRT forward mutation assay) or in an in vivo micronucleus assay conducted in CD-1 mice. However, data from an in vitro assay with CHO cells for potential to cause chromosomal aberrations suggest that doxycycline hyclate is a weak clastogen.



Oral administration of doxycycline hyclate to male and female Sprague-Dawley rats adversely affected fertility and reproductive performance, as evidenced by increased time for mating to occur, reduced sperm motility, velocity, and concentration, abnormal sperm morphology, and increased pre-and post-implantation losses. Doxycycline hyclate induced reproductive toxicity at all dosages that were   examined in this study, as even the lowest dosage tested (50 mg/kg/day) induced a statistically significant reduction in sperm velocity. Note that 50 mg/kg/day is approximately 10 times the amount of doxycycline hyclate  contained in the  recommended daily dose of doxycycline hyclate  tablets  for a  60 kg human when compared on the basis of body surface area estimates (mg/m2). Although doxycycline impairs the fertility of rats when administered at sufficient dosage, the effect of doxycycline hyclate tablets on human fertility is unknown.


Structured Label Content

Warnings (WARNINGS)

THE USE OF DRUGS OF THE TETRACYCLINE CLASS DURING TOOTH DEVELOPMENT (LAST HALF OF PREGNANCY, INFANCY AND CHILDHOOD TO THE AGE OF 8 YEARS) MAY CAUSE PERMANENT DISCOLORATION OF THE TEETH (YELLOW-GRAY-BROWN). This adverse reaction is more common during long-term use of the drugs but has been observed following repeated short-term courses. Enamel hypoplasia has also been reported. TETRACYCLINE DRUGS, THEREFORE, SHOULD NOT BE USED IN THIS AGE GROUP AND IN PREGNANT OR NURSING MOTHERS UNLESS THE POTENTIAL BENEFITS MAY BE ACCEPTABLE DESPITE THE POTENTIAL RISKS.



All tetracyclines form a stable calcium complex in any bone forming tissue. A decrease in fibula growth rate has been observed in premature infants given oral tetracyclines in doses of 25 mg/kg every 6 hours. This reaction was shown to be reversible when the drug was discontinued.



Doxycycline can cause fetal harm when administered to a pregnant woman. Results of animal studies indicate that tetracyclines cross the placenta, are found in fetal tissues, and can have toxic effects on the developing fetus (often related to retardation of skeletal development). Evidence of embryotoxicity has also been noted in animals treated early in pregnancy. If any tetracyclines are used during pregnancy, or if the patient becomes pregnant while taking this drug, the patient should be apprised of the potential hazard to the fetus.



The catabolic action of the tetracyclines may cause an increase in BUN. Previous studies have not observed an increase in BUN with the use of doxycycline in patients with impaired renal function.



Photosensitivity manifested by an exaggerated sunburn reaction has been observed in some individuals taking tetracyclines. Patients apt to be exposed to direct sunlight or ultraviolet light should be advised that this reaction can occur with tetracycline drugs, and treatment should be discontinued at the first evidence of skin erythema.

Pregnancy

Teratogenic Effects

Pregnancy Category D

(See WARNINGS Section). Results from animal studies indicate that doxycycline crosses the placenta and is found in fetal tissues.

Nonteratogenic Effects

(See WARNINGS Section).

Overdosage (OVERDOSAGE)

In case of overdosage, discontinue medication, treat symptomatically and institute supportive measures. Dialysis does not alter serum half-life and thus would not be of benefit in treating cases of overdose.

References (REFERENCES)

1.      Golub L.M., Sorsa T., Lee H-M, Ciancio S., Sorbi D., Ramamurthy N.S., Gruber B., Salo T., Konttinen Y.T.: Doxycycline Inhibits Neutrophil (PMN)-type Matrix Metalloproteinases in Human Adult Periodontitis Gingiva. J. Clin. Periodontol 1995; 22: 100-109.

2.      Golub L.M., Ciancio S., Ramamurthy N.S., Leung M., McNamara T.F.: Low-dose Doxycycline Therapy: Effect on Gingival and Crevicular Fluid Collagenase Activity in Humans. J. Periodont Res 1990; 25: 321-330.

3.      Golub L.M., Lee H.M., Greenwald R.A., Ryan M.E., Salo T., Giannobile W.V.: A Matrix Metalloproteinase Inhibitor Reduces Bone-type Collagen Degradation Fragments and Specific Collegenases in Gingival Crevicular Fluid During Adult Periodontitis. Inflammation Research 1997; 46: 310-319.

4.      Saivain S., Houin G.: Clinical Pharmacokinetics of Doxycycline and Minocycline. Clin. Pharmacokinetics 1988; 15; 355-366.

5.      Schach von Wittenau M., Twomey T.: The Disposition of Doxycycline by Man and Dog. Chemotherapy 1971; 16: 217-228.

6.      Campistron G., Coulais Y., Caillard C., Mosser J., Pontagnier H., Houin G.: Pharmacokinetics and Bioavailability of Doxycycline in Humans. Arzneimittel Forschung 1986; 36: 1705-1707. 

Manufactured by:

Alembic Pharmaceuticals Limited

(Formulation Division),

Village Panelav, P.O. Tajpura,

Near Baska, Taluka- Halol,

Panchmahal 389350, Gujarat, India.

Revised: 05/2019

Description (DESCRIPTION)

Doxycycline hyclate tablets, USP are available as a 20 mg formulation of doxycycline for oral administration.

The structural formula of doxycycline hyclate is:



with an empirical formula of (C22H24N2O8•HCl)2•C2H6O•H2O and a molecular weight of 1025.89. The chemical designation for doxycycline is 4-(dimethylamino)-1,4,4a,5,5a,6,11,12a–octahydro-3,5,10,12,12a–pentahydroxy-6-methyl-1,11-dioxo-2-naphthacenecarboxamide monohydrochloride, compound with ethyl alcohol (2:1), monohydrate. Doxycycline hyclate, USP is a yellow to light-yellow powder which is freely soluble in water and in methanol; sparingly soluble in alcohol; practically insoluble in chloroform and in ether. It dissolves in aqueous solutions of alkali hydroxides and carbonates.

Inert ingredients in the formulation are: microcrystalline cellulose, lactose anhydrous, croscarmellose sodium, colloidal silicon dioxide, magnesium stearate, polyvinyl alcohol, titanium dioxide, polyethylene glycol, and talc. Each tablet contains 23 mg of doxycycline hyclate equivalent to 20 mg of doxycycline.

Doxycycline hyclate tablets, USP meets USP Dissolution Test 3.

Precautions (PRECAUTIONS)

While no overgrowth by opportunistic microorganisms such as yeast were noted during clinical studies, as with other antimicrobials, doxycycline hyclate tablets therapy may result in overgrowth of non-susceptible microorganisms including fungi.



The use of tetracyclines may increase the incidence of vaginal candidiasis.



Doxycycline hyclate tablets should be used with caution in patients with a history or predisposition to oral candidiasis. The safety and effectiveness of doxycycline hyclate tablets has not been established for the treatment of periodontitis in patients with coexistent oral candidiasis.



If superinfection is suspected, appropriate measures should be taken.

How Supplied (HOW SUPPLIED)

Doxycycline hyclate tablets, USP are off white to pale yellow colored, mottled, round shape, biconvex, film-coated tablets debossed with “646” on one side and “L” on other side. 



The tablets are available as:

NDC 46708-352-60                Bottle of 60 tablets

NDC 46708-352-31                Bottle of 100 tablets

NDC 46708-352-91                Bottle of 1000 tablets



Store at 25°C (77°F); excursions permitted to 15° to 30°C (59° to 86°F) [see USP Controlled Room Temperature]. Dispense in a tight, light-resistant container using child-resistant closure as defined in the USP. 



Call your doctor for medical advice about side effects. You may report side effects to FDA at 1-800-FDA-1088.

Pediatric Use

The use of doxycycline hyclate tablets in infancy and childhood is contraindicated. (See WARNINGS Section). 

Nursing Mothers

Tetracyclines are excreted in human milk. Because of the potential for serious adverse reactions in nursing infants from doxycycline, the use of doxycycline hyclate tablets in nursing mothers is contraindicated. (See WARNINGS Section). 

Laboratory Tests

In long term therapy, periodic laboratory evaluations of organ systems, including hematopoietic, renal, and hepatic studies should be performed.

Adverse Reactions (ADVERSE REACTIONS)

Adverse Reactions in Clinical Trials of a bioequivalent form of doxycycline hyclate capsules

In clinical trials of adult patients with periodontal disease 213 patients received 20 mg BID over a 9 to 12 month period. The most frequent adverse reactions occurring in studies involving treatment with a bioequivalent form of doxycycline hyclate capsules or placebo are listed below:



 

Incidence (%) of Adverse Reactions in Clinical Trials of Doxycycline Hyclate Capsules, 20 mg (Bioequivalent to Doxycycline Hyclate Tablets, 20 mg) vs. Placebo

 

Adverse   Reactions 

Doxycycline   Hyclate Capsules 20 mg BID                 (n=213) 

Placebo                          (n=215) 

Headache 

55 (26%) 

56 (26%) 

Common Cold 

47 (22%) 

46 (21%) 

Flu Symptoms 

24 (11%) 

40 (19%) 

Tooth Ache 

14 (7%) 

28 (13%) 

Periodontal Abscess 

8 (4%) 

21 (10%) 

Tooth Disorder 

13 (6%) 

19 (9%) 

Nausea 

17 (8%) 

12 (6%) 

Sinusitis 

7 (3%) 

18 (8%) 

Injury 

11 (5%) 

18 (8%) 

Dyspepsia 

13 (6%) 

5 (2%) 

Sore Throat 

11 (5%) 

13 (6%) 

Joint Pain 

12 (6%) 

8 (4%) 

Diarrhea 

12 (6%) 

8 (4%) 

Sinus Congestion 

11 (5%) 

11 (5%) 

Coughing 

9 (4%) 

11 (5%) 

Sinus Headache 

8 (4%) 

8 (4%) 

Rash 

8 (4%) 

6 (3%) 

Back Pain 

7 (3%) 

8 (4%) 

Back Ache 

4 (2%) 

9 (4%) 

Menstrual Cramp 

9 (4%) 

5 (2%) 

Acid Indigestion 

8 (4%) 

7 (3%) 

Pain 

8 (4%) 

5 (2%) 

Infection 

4 (2%) 

6 (3%) 

Gum Pain 

1(<1%) 

6 (3%) 

Bronchitis 

7 (3%) 

5 (2%) 

Muscle Pain 

2 (1%) 

6 (3%) 



Note: Percentages are based on total number of study participants in each treatment group.

Adverse Reactions for Tetracyclines

The following adverse reactions have been observed in patients receiving tetracyclines:



Gastrointestinal: anorexia, nausea, vomiting, diarrhea, glossitis, dysphagia, enterocolitis, and inflammatory lesions (with vaginal candidiasis) in the anogenital region. Hepatotoxicity has been reported rarely. Rare instances of esophagitis and esophageal ulcerations have been reported in patients receiving the capsule forms of the drugs in the tetracycline class. Most of these patients took medications immediately before going to bed. (See DOSAGE AND ADMINISTRATION Section). 



Skin: maculopapular and erythematous rashes. Exfoliative dermatitis has been reported but is uncommon. Photosensitivity is discussed above. (See WARNINGS  Section).



Renal toxicity: Rise in BUN has been reported and is apparently dose related. (See WARNINGS Section).



Hypersensitivity reactions: urticaria, angioneurotic edema, anaphylaxis, anaphylactoid purpura, serum sickness, pericarditis, and exacerbation of systemic lupus erythematosus.



Blood: Hemolytic anemia, thrombocytopenia, neutropenia, and eosinophilia have been reported.

Contraindications (CONTRAINDICATIONS)

This drug is contraindicated in persons who have shown hypersensitivity to doxycycline or any of the other tetracyclines.

Drug Interactions

Because tetracyclines have been shown to depress plasma prothrombin activity, patients who are on anticoagulant therapy may require downward adjustment of their anticoagulant dosage. 



Since bacterial antibiotics, such as the tetracycline class of antibiotics, may interfere with the bactericidal action of members of the β-lactam (e.g. penicillin) class of antibiotics, it is not advisable to administer these antibiotics concomitantly.



Absorption of tetracyclines is impaired by antacids containing aluminum, calcium, or magnesium, and iron-containing preparations, and by bismuth subsalicylate.



Barbiturates, carbamazepine, and phenytoin decrease the half-life of doxycycline.



The concurrent use of tetracycline and methoxyflurane has been reported to result in fatal renal toxicity.



Concurrent use of tetracyclines may render oral contraceptives less effective.

Labor and Delivery

The effect of tetracyclines on labor and delivery is unknown.

Clinical Pharmacology (CLINICAL PHARMACOLOGY)

After oral administration, doxycycline hyclate is rapidly and nearly completely absorbed from the gastrointestinal tract. Doxycycline is eliminated with a half-life of approximately 18 hours by renal and fecal excretion of unchanged drug.

Mechanism of Action

Doxycycline has been shown to inhibit collagenase activity in vitro.1 Additional studies have shown that doxycycline reduces the elevated collagenase activity in the gingival crevicular fluid of patients with adult periodontitis.2,3  The clinical significance of these  findings  is not  known.

 Microbiology

Doxycycline is a member of the tetracycline class of antibiotics. The dosage of doxycycline achieved with this product during administration is well below the concentration required to inhibit microorganisms commonly associated with adult periodontitis. Clinical studies with this product demonstrated no effect on total anaerobic and facultative bacteria in plaque samples from patients administered this dose regimen for 9 to 18 months. This product should not be used for reducing the numbers of or eliminating those microorganisms associated with periodontitis.

 Pharmacokinetics 

The pharmacokinetics of doxycycline following oral administration of doxycycline hyclate tablets were investigated in 4 volunteer studies involving 107 adults. Additionally, doxycycline pharmacokinetics have been characterized in numerous scientific publications.4  Pharmacokinetic parameters for doxycycline hyclate tablets following single oral doses and at steady-state in healthy subjects are   presented as follows:

 Pharmacokinetic Parameters for Doxycycline Hyclate Tablets 



 

n

Cmax *    (ng/mL)

Tmax                 (hr)

Cl/F* (L/hr)

t1/2 *                     (hr)

Single dose 20 mg (tablet) 

20

362 ± 101 

1.4                     (1 to 2.5) 

3.85 ± 1.3 

18.1 ± 4.85 

Steady-State 20 mg BID 

30

790 ± 285 

2                         (0.98 to 12) 

3.76 ± 1.06 

Not Determined 



* Mean ± SD

 Mean and range 

 Steady-State data were obtained from normal volunteers administered a bioequivalent formulation.



Absorption

Doxycycline is well absorbed after oral administration. In a single-dose study, concomitant administration of doxycycline hyclate tablets with a 1000 calorie, high-fat, high-protein meal which included dairy products, in healthy volunteers, resulted in a decrease in the rate and extent of absorption and delay in the time to maximum concentrations.



Distribution

Doxycycline is greater than 90% bound to plasma proteins. Its apparent volume of distribution is variously reported as between 52.6 and 134 L.4,6



Metabolism

Major metabolites of doxycycline have not been identified. However, enzyme inducers such as barbiturates, carbamazepine, and phenytoin decrease the half-life of doxycycline.



Excretion

Doxycycline is excreted in the urine and feces as unchanged drug. It is variously reported that between 29% and 55.4% of an administered dose can be accounted for in the urine by 72 hours.5,6 Half-life averaged 18  hours in subjects receiving a single 20  mg  doxycycline  dose.

 Special Populations

Geriatric

Doxycycline pharmacokinetics have not been evaluated in geriatric patients. 



Pediatric

Doxycycline pharmacokinetics have not been evaluated in pediatric patients (See WARNINGS section). 



Gender

Doxycycline pharmacokinetics were compared in 9 men and 11 women under fed and fasted conditions. While female subjects had a higher rate (Cmax) and extent of absorption (AUC), these differences are thought to be due to differences in body weight/lean body mass. Differences in other pharmacokinetic parameters were not significant.



Race

Differences in doxycycline pharmacokinetics among racial groups have not been evaluated.



 Renal Insufficiency

Studies have shown no significant difference in serum half-life of doxycycline in patients with normal and severely impaired renal function. Hemodialysis does not alter the half-life of   doxycycline.



 

 

Hepatic Insufficiency

Doxycycline pharmacokinetics have not been evaluated in patients with hepatic insufficiency.



Drug Interactions

(See PRECAUTIONS section)

 Clinical Study 

In a randomized, multi-centered, double-blind, 9-month Phase 3 study involving 190 adult patients with periodontal disease [at least two probing sites per quadrant of between 5 and 9 mm pocket depth (PD) and attachment level (ALv)], the effects of oral administration of 20 mg twice a day of doxycycline hyclate (using a bioequivalent capsule formulation) plus scaling and root planing (SRP) were compared to placebo control plus SRP. Both treatment groups were administered a course of scaling and root planing in 2 quadrants at Baseline. Measurements of ALv, PD and bleeding-on-probing (BOP) were obtained at Baseline, 3, 6, and 9 months from each site about each tooth in the two quadrants that received SRP using the UNC-15 manual probe. Each tooth site was categorized into one of three strata based on Baseline PD: 0 to 3 mm (no disease), 4 to 6 mm (mild/moderate disease), ≥ 7 mm (severe disease). For each stratum and treatment group, the following were calculated at month 3, 6, and 9: mean change in ALv from baseline, mean change in PD from baseline, mean percentage of tooth sites per patient  exhibiting attachment loss of ≥ 2 mm from baseline, and percentage of tooth sites with bleeding on probing. The results are summarized in the following table.



Clinical Results at Nine Months of Doxycycline Hyclate Capsules, 20 mg, as an Adjunct to SRP (Bioequivalent to Doxycycline Hyclate Tablets, 20 mg)



Parameter 

Baseline Pocket Depth 

≥ 7 mm 

0 to 3 mm 

4 to 6 mm 

Number of Patients 

 

 

 

(Doxycycline Hyclate Tablets20mg BID) 

90

90

79

Number of Patients

(Placebo) 

93

93

78

Mean Gain (SD*) in ALv 

 

 

 

Doxycycline Hyclate Tablets20 mg BID 

0.25 (0.29) mm 

1.03 (0.47) mm 

1.55 (1.16) mm 

Placebo 

0.2 (0.29) mm 

0.86 (0.48) mm 

1.17 (1.15) mm 

Mean Decrease (SD*) in PD§ 

 

 

 

Doxycycline Hyclate Tablets 20 mg BID 

0.16 (0.19) mm 

0.95 (0.47) mm 

1.68 (1.07) mm 

Placebo 

0.05 (0.19) mm 

0.69 (0.48) mm 

1.2 (1.06) mm 

% of Sites (SD*) with loss of ALv ≥ 2 mm 

 

 

 

Doxycycline Hyclate Tablets 20 mg BID 

1.9 (4.2)% 

1.3 (4.5)% 

0.3 (9.4)% 

Placebo 

2.2 (4.1)% 

2.4 (4.4)% 

3.6 (9.4)% 

% of Sites (SD*) with BOP #  

 

 

 

Doxycycline Hyclate Tablets 20 mg BID 

39 (19)% 

64 (18)% 

75 (29)% 

Placebo 

46 (19)% 

70 (18)% 

80 (29)% 



* SD=Standard Deviation 

 Alv=Clinical Attachment Level 

 p<0.05 vs. the placebo control group.

§ PD=Pocket Depth

 p<0.01 vs. the placebo control group.

# BOP=Bleeding on Probing 

Indications  and  usage (INDICATIONS  AND  USAGE)

Doxycycline hyclate tablets are indicated for use as an adjunct to scaling and root planing to promote attachment level gain and to reduce pocket depth in patients with adult periodontitis.

Dosage and  administration (DOSAGE AND  ADMINISTRATION)

THE DOSAGE OF DOXYCYCLINE HYCLATE TABLETS DIFFERS FROM THAT OF DOXYCYCLINE USED TO TREAT INFECTIONS. EXCEEDING THE RECOMMENDED DOSAGE MAY RESULT IN AN INCREASED INCIDENCE OF SIDE EFFECTS INCLUDING THE DEVELOPMENT OF RESISTANT MICROORGANISMS.



Doxycycline hyclate tablets 20 mg twice daily as an adjunct following scaling and root planing may be administered for up to 9 months. Doxycycline hyclate tablets should be taken twice daily at 12 hour intervals, usually in the morning and evening. It is recommended that if Doxycycline hyclate tablet is taken close to meal times, allow at least one hour prior to or two hours after meals. Safety beyond 12 months and efficacy beyond 9 months have not been established.



Administration of adequate amounts of fluid along with the tablets is recommended to wash down the drug and reduce the risk of esophageal irritation and ulceration. (See ADVERSE REACTIONS Section).

Drug/laboratory Test Interactions (Drug/Laboratory Test Interactions)

False elevations of urinary catecholamine levels may occur due to interference with the fluorescence test.

Package Label.principal Display Panel (PACKAGE LABEL.PRINCIPAL DISPLAY PANEL)

NDC 46708-352-60

Doxycycline

Hyclate

Tablets, USP

20 mg*

Rx only

60 Tablets

Alembic



Carcinogenesis, Mutagenesis, Impairment of Fertility

Doxycycline hyclate was assessed for potential to induce carcinogenesis in a study in which the compound was administered to Sprague-Dawley rats by gavage at dosages of 20, 75, and 200 mg/kg/day for two years. An increased incidence of uterine polyps was observed in female rats that received 200 mg/kg/day, a dosage that resulted in a systemic exposure to doxycycline approximately nine times that observed in female humans that used doxycycline hyclate tablets (exposure comparison based upon AUC values). No impact upon tumor incidence was observed in male rats at 200 mg/kg/day, or in either gender at the other dosages studied. Evidence of oncogenic activity was obtained in studies with related compounds, i.e., oxytetracycline (adrenal and pituitary tumors), and minocycline (thyroid tumors).



Doxycycline hyclate demonstrated no potential to cause genetic toxicity in an in vitro point mutation study with mammalian cells (CHO/HGPRT forward mutation assay) or in an in vivo micronucleus assay conducted in CD-1 mice. However, data from an in vitro assay with CHO cells for potential to cause chromosomal aberrations suggest that doxycycline hyclate is a weak clastogen.



Oral administration of doxycycline hyclate to male and female Sprague-Dawley rats adversely affected fertility and reproductive performance, as evidenced by increased time for mating to occur, reduced sperm motility, velocity, and concentration, abnormal sperm morphology, and increased pre-and post-implantation losses. Doxycycline hyclate induced reproductive toxicity at all dosages that were   examined in this study, as even the lowest dosage tested (50 mg/kg/day) induced a statistically significant reduction in sperm velocity. Note that 50 mg/kg/day is approximately 10 times the amount of doxycycline hyclate  contained in the  recommended daily dose of doxycycline hyclate  tablets  for a  60 kg human when compared on the basis of body surface area estimates (mg/m2). Although doxycycline impairs the fertility of rats when administered at sufficient dosage, the effect of doxycycline hyclate tablets on human fertility is unknown.


Advanced Ingredient Data


Raw Label Data

All Sections (JSON)