These Highlights Do Not Include All The Information Needed To Use Duramorph Safely And Effectively. See Full Prescribing Information For Duramorph.
ebb18761-e5c4-4238-bb84-f9549f500210
34391-3
HUMAN PRESCRIPTION DRUG LABEL
Drug Facts
Composition & Product
Identifiers & Packaging
Description
Risks with Neuraxial Administration Single-dose neuraxial administration may result in acute or delayed respiratory depression up to 24 hours. Because of the risk of severe adverse reactions when DURAMORPH is administered by the epidural or intrathecal route of administration, patients must be observed in a fully equipped and staffed environment for at least 24 hours after the initial dose [see Warnings and Precautions (5.1) ]. Addiction, Abuse, and Misuse Because the use of DURAMORPH exposes patients and other users to the risks of opioid addiction, abuse, and misuse, which can lead to overdose and death, assess each patient’s risk prior to prescribing and reassess all patients regularly for the development of these behaviors and conditions [see Warnings and Precautions (5.2) ]. Life-Threatening Respiratory Depression Serious, life-threatening, or fatal respiratory depression may occur with use of DURAMORPH, especially during initiation or following a dosage increase. To reduce the risk of respiratory depression, proper dosing and titration of DURAMORPH are essential [see Warnings and Precautions (5.3) ]. Risks From Concomitant Use With Benzodiazepines Or Other CNS Depressants Concomitant use of opioids with benzodiazepines or other central nervous system (CNS) depressants, including alcohol, may result in profound sedation, respiratory depression, coma, and death. Reserve concomitant prescribing of DURAMORPH and benzodiazepines or other CNS depressants for use in patients for whom alternative treatment options are inadequate [see Warnings and Precautions (5.4) , Drug Interactions (7) ]. Neonatal Opioid Withdrawal Syndrome (NOWS) Advise pregnant women using opioids for an extended period of time of the risk of Neonatal Opioid Withdrawal Syndrome, which may be life threatening if not recognized and treated. Ensure that management by neonatology experts will be available at delivery [see Warnings and Precautions (5.5) ].
Indications and Usage
DURAMORPH is indicated for: the management of pain severe enough to require use of an opioid analgesic by intravenous administration, and for which alternative treatments are not expected to be adequate. the epidural or intrathecal management of pain without attendant loss of motor, sensory, or sympathetic function. Limitation of Use DURAMORPH is not for use in continuous microinfusion devices. Because of the risks of addiction, abuse, misuse, overdose, and death, which can occur at any dosage or duration and persist over the course of therapy [see Warnings and Precautions (5.2) ] , reserve opioid analgesiscs, including DURAMORPH for use in patients for whom alternative treatment options are ineffective, not tolerated or would be otherwise inadequate to provide sufficient management of pain.
Dosage and Administration
DURAMORPH should be prescribed only by healthcare professionals who are knowledgeable about the use of opioids and how to mitigate the associated risks. ( 2.1 ) Should be administered by or under the direction of a physician experienced in the techniques of epidural or intrathecal administration. ( 2.1 ) Use the lowest effective dosage for the shortest duration of time consistent with individual patient treatment goals. Reserve titration to higher doses of DURAMORPH for patients in whom lower doses are insufficiently effective and in whom the expected benefits of using a higher dose opioid clearly outweigh the substantial risks. ( 2.2 , 5 ) Initiate the dosing regimen for each patient individually, taking into account the patient’s underlying cause and severity of pain, prior analgesic treatment and response, and risk factors for addiction, abuse, and misuse. ( 2.1 , 5.2 ) Respiratory depression can occur at any time during opioid therapy, especially when initiating and following dosage increases with DURAMORPH. Consider this risk when selecting an initial dose and when making dose adjustments. ( 2 , 5.3 ) Dosage for Intravenous Administration: 2 mg to 10 mg/70 kg of body weight. ( 2.3 ) Dosage for Epidural Administration: Initial injection of 5 mg in the lumbar region may provide satisfactory pain relief for up to 24 hours. If adequate pain relief is not achieved within one hour, carefully administer incremental doses of 1 to 2 mg at intervals sufficient to assess effectiveness. Administer no more than 10 mg/24 hr. ( 2.4 ) Dosage for Intrathecal Administration: A single injection of 0.2 to 1 mgmayprovidesatisfactorypainreliefforupto24hours.Repeated intrathecal injections of DURAMORPH are not recommended. ( 2.5 ) Periodically reassess patients receiving DURAMORPH to evaluate the continued need for opioid analgesics to maintain pain control, for the signs or symptoms of adverse reactions, and the development of addiction, abuse or misuse.( 2.6 ) Do not rapidly reduce or abruptly discontinue DURAMORPH abruptly in a physically-dependent patient. ( 2.6 , 5.16 )
Warnings and Precautions
Risk of Tolerance and Myoclonic Activity: Monitor patients for unusual acceleration of neuraxial morphine, which may cause myoclonic-like spasm of lower extremities. Detoxification maybe required. ( 5.6 ) Chest Wall Rigidity: Rapid intravenous administration may result in chest wall rigidity. ( 5.7 ) Opioid Induced Hyperalgesia and Allodynia : Opioid Induced Hyperalgesia (OIH) occurs when an opioid analgesic paradoxically causes an increase in pain, or an increase in sensitivity to pain. If a patient is suspected to be experiencing OIH, carefully consider appropriately decreasing the dose of the current opioid analgesic, or opioid rotation (safety switching the patient to a different opioid moiety). ( 5.8 ) Life-Threatening Respiratory Depression in Patients with Chronic Pulmonary Disease or in Elderly, Cachectic, or Debilitated Patients: Monitor closely, particularly during initiation and titration. ( 5.9 ) Adrenal Insufficiency : If diagnosed, treat with physiologic replacement of corticosteroids, and wean patient off of the opioid. ( 5.11 ) Severe Hypotension: Monitor during dosage initiation and titration. AvoiduseofDURAMORPHinpatientswithcirculatoryshock.( 5.12 ) Risks of Use in Patients with Increased Intracranial Pressure, Brain Tumors, Head Injury, or Impaired Consciousness: Monitor for sedation and respiratory depression. Avoid use of DURAMORPH in patients with impaired consciousness or coma. ( 5.13 )
Contraindications
DURAMORPH is contraindicated in patients with: Significant respiratory depression [see Warnings and Precautions (5.3) ] Acute or severe bronchial asthma in an unmonitored setting or in the absence of resuscitative equipment [see Warnings and Precautions (5.9) ] Concurrent use of monoamine oxidase inhibitors (MAOIs) or use of MAOIs within the last 14 days [see Warnings and Precautions (5.10) , Drug Interactions (7) ] Known or suspected gastrointestinal obstruction, including paralytic ileus [see Warnings and Precautions (5.14) ] Hypersensitivity to morphine (e.g., anaphylaxis) [see Adverse Reactions (6) ] Neuraxial administration of DURAMORPH is contraindicated in patients with: Infection at the injection microinfusion site [see Warnings and Precautions (5.1) ] Concomitant anticoagulant therapy [see Warnings and Precautions (5.1) ] Uncontrolled bleeding diathesis [see Warnings and Precautions (5.1) ] The presence of any other concomitant therapy or medical condition which would render epidural or intrathecal administration of medication especially hazardous.
Adverse Reactions
The following serious adverse reactions are described, or described in greater detail, in other sections: Addiction, Abuse, and Misuse [see Warnings and Precautions (5.2) ] Life-Threatening Respiratory Depression [see Warnings and Precautions (5.3) ] Interactions with Benzodiazepines or Other CNS Depressants [see Warnings and Precautions (5.4)] Neonatal Opioid Withdrawal Syndrome [see Warnings and Precautions (5.5) ] Myoclonic Activity [see Warnings and Precautions (5.6) ] Opioid-Induced Hyperalgesia and Allodynia [see Warnings and Precautions (5.8) ] Adrenal Insufficiency [see Warnings and Precautions (5.11) ] Severe Hypotension [see Warnings and Precautions (5.12)] Gastrointestinal Adverse Reactions [see Warnings and Precautions (5.14) ] Seizures [see Warnings and Precautions (5.15) ] Withdrawal [see Warnings and Precautions (5.16) ] Urinary Retention [see Warnings and Precautions (5.17) ] Orthostatic Hypotension [see Warnings and Precautions (5.18)] The following adverse reactions associated with the use of morphine were identified in clinical studies or postmarketing reports. Because some of these reactions were reported voluntarily from a population of uncertain size, it is not always possible to reliably estimate their frequency or establish a causal relationship to drug exposure. The most serious adverse reactions encountered during administration of DURAMORPH were respiratory depression and/or respiratory arrest. Cardiovascular System: While low doses of intravenously administered morphine have little effect on cardiovascular stability, high doses are excitatory, resulting from sympathetic hyperactivity and increase in circulating catecholamines. Central Nervous System: myoclonus, seizures, dysphoric reactions, toxic psychosis, dizziness, euphoria, anxiety, confusion, headache. Lumbar puncture-type headache is encountered in a significant minority of cases for several days following intrathecal catheter implantation and generally responds to bed rest and/or other conventional therapy. Gastrointestinal System: Nausea, vomiting, constipation Skin: Generalized pruritus, urticaria, wheals, and/or local tissue irritation. Single-dose epidural or intrathecal administration is accompanied by a high incidence of dose-related generalized pruritus. Urinary System: Urinary retention, oliguria. Peripheral edema: There are several reports of peripheral edema Other: Other adverse reactions reported following morphine therapy include depression of cough reflex, interference with thermal regulation, peripheral edema. Serotonin syndrome: Cases of serotonin syndrome, a potentially life-threatening condition, have been reported during concomitant use of opioids with serotonergic drugs. Adrenal insufficiency: Cases of adrenal insufficiency have been reported with opioid use, more often following greater than one month of use. Anaphylaxis: Anaphylaxis has been reported with ingredients contained in DURAMORPH. Androgen deficiency : Cases of androgen deficiency have occurred with use of opioids for an extended period of time. [see Clinical Pharmacology (12.2) ] . Hyperalgesia and Allodynia: Cases of hyperalgesia and allodynia have been reported with opioid therapy of any duration [see Warnings and Precautions (5.8) ]. Hypoglycemia: Cases of hypoglycemia have been reported in patients taking opioids. Most reports were in patients with at least one predisposing risk factor (e.g., diabetes). Opioid-induced esophageal dysfunction (OIED): Cases of OIED have been reported in patients taking opioids and may occur more frequently in patients taking higher doses of opioids, and/or in patients taking opioids longer term [see Warnings and Precautions (5.14) ]. Adverse Reactions from Observational Studies A prospective, observational cohort study estimated the risks of addiction, abuse, and misuse in patients initiating long-term use of Schedule II opioid analgesics between 2017 and 2021. Study participants included in one or more analyses had been enrolled in selected insurance plans or health systems for at least one year, were free of at least one outcome at baseline, completed a minimum number of follow-up assessments, and either: 1) filled multiple extended-release/long-acting opioid analgesic prescriptions during a 90-day period (n=978); or 2) filled any Schedule II opioid analgesic prescriptions covering at least 70 of 90 days (n=1,244). Those included also had no dispensing of the qualifying opioids in the previous 6 months. Over 12 months: approximately 1% to 6% of participants across the two cohorts newly met criteria for addiction, as assessed with two validated interview-based measures of moderate-to-severe opioid use disorderbasedonDiagnosticandStatisticalManualofMentalDisorders,FifthEdition(DSM-5) criteria, and approximately9%and22%ofparticipantsacrossthetwocohortsnewlymetcriteriafor prescription opioid abuse and misuse [defined in Drug Abuse and Dependence (9.2)] , respectively, as measured with a validated self-reported instrument. A retrospective, observational cohort study estimated the risk of opioidinvolved overdose or opioid overdose-related death in patients with new long-term use of Schedule II opioid analgesics from 2006 through 2016 (n=220,249). Included patients had been enrolled in either one of two commercial insurance programs, one managed care program, or one Medicaid program for at least 9 months. New long-term use was defined as having Schedule II opioid analgesic prescriptions covering at least 70 days’ supply over the 3 months prior to study entry and none during the preceding 6 months. Patients were excluded if they had an opioid-involved overdose in the 9 months prior to study entry. Overdose was measured using a validated medical code-based algorithm with linkage to the National Death Index database. The 5-year cumulative incidence estimates for opioid-involved overdose or opioid overdose-related death ranged from approximately 1.5% to 4% across study sites, counting only the first event during follow-up. Approximately 17% of first opioid overdoses observed over the entire study period (5-11 years, depending on the study site) were fatal. Higher baseline opioid dose was the strongest and most consistent predictor of opioid-involved overdose or opioid overdose-related death. Study exclusion criteria may have selected patients at lower risk of overdose, and substantial loss to follow-up (approximately 80%) also may have biased estimates. The risk estimates from the studies described above may not be generalizable to all patients receiving opioid analgesics, such as those with exposures shorter or longer than the duration evaluated in the studies.
Drug Interactions
Table 1 includes clinically significant drug interactions with DURAMORPH. Table 1 Clinically Significant Drug Interactions with DURAMORPH Benzodiazepines and Other Central Nervous System (CNS) Depressants Clinical Impact: Due to additive pharmacologic effect, the concomitant use of benzodiazepines or other CNS depressants, including alcohol, can increase the risk of hypotension, respiratory depression, profound sedation, coma, and death. The depressant effects of morphine are potentiated by the presence of other CNS depressants. Use of neuroleptics in conjunction with neuraxial morphine may increase the risk of respiratory depression [see Warnings and Precautions (5.4) ] . Intervention: Reserve concomitant prescribing of these drugs for use in patients for whom alternative treatment options are inadequate. Limit dosages and durations to the minimum required. Monitor closely for signs of respiratory depression and sedation [see Warnings and Precautions (5.4) ] . Examples: Benzodiazepines and other sedatives/hypnotics, anxiolytics, tranquilizers, muscle relaxants, general anesthetics, antipsychotics, psychotropic drugs, antihistamines, neuroleptics, gabapentinoids (gabapentin or pregabalin), other opioids, alcohol. Serotonergic Drugs Clinical Impact: The concomitant use of opioids with other drugs that affect the serotonergic neurotransmitter system has resulted in serotonin syndrome. Intervention : If concomitant use is warranted, carefully observe the patient, particularly during treatment initiation and dose adjustment. Discontinue DURAMORPH if serotonin syndrome is suspected. Examples: Selective serotonin reuptake inhibitors (SSRIs), serotonin and norepinephrine reuptake inhibitors (SNRIs), tricyclic antidepressants (TCAs), triptans, 5-HT3 receptor antagonists, drugs that effect the serotonin neurotransmitter system (e.g., mirtazapine, trazodone, tramadol), certain muscle relaxants (i.e., cyclobenzaprine, metaxalone), monoamine oxidase inhibitors (those intended to treat psychiatric disorders and also others, such as linezolid and intravenous methylene blue). Monoamine Oxidase Inhibitors (MAOIs) Clinical Impact: MAOI interactions with opioids may manifest as serotonin syndrome or opioid toxicity (e.g., respiratory depression, coma) [see Warnings and Precautions (5.10) ] . Do not use DURAMORPH in patients taking MAOIs or within 14 days of stopping such treatment. Intervention: If urgent use of an opioid is necessary, use test doses and frequent titration of small doses of other opioids (such as oxycodone, hydromorphone, oxymorphone, hydrocodone, or buprenorphine) to treat pain while closely monitoring blood pressure and signs and symptoms of CNS and respiratory depression. Examples: phenelzine, tranylcypromine, linezolid Mixed Agonist/Antagonist and Partial Agonist Opioid Analgesics Clinical Impact: Clinical Impact: May reduce the analgesic effect of DURAMORPH and/or precipitate withdrawal symptoms. Intervention: Avoid concomitant use. Examples: Butorphanol, nalbuphine, pentazocine, buprenorphine. Muscle Relaxants Clinical Impact: Morphine may enhance the neuromuscular blocking action of skeletal muscle relaxants and produce an increased degree of respiratory depression. Intervention: Monitor patients for signs of respiratory depression that may be greater than otherwise expected and decrease the dosage of DURAMORPH and/or the muscle relaxant as necessary. Diuretics Clinical Impact: Opioids can reduce the efficacy of diuretics by inducing the release of antidiuretic hormone. Intervention: Monitor patients for signs of diminished diuresis and/or effects on blood pressure and increase the dosage of the diuretic as needed. Anticholinergic Drugs Clinical Impact: The concomitant use of anticholinergic drugs may increase risk of urinary retention and/or severe constipation, which may lead to paralyticileus. Intervention: Monitor patients for signs of urinary retention or reduced gastric motility when DURAMORPH is used concomitantly with anticholinergic drugs. Oral P2Y 12 Inhibitors Clinical Impact: The co-administration of oral P2Y 12 inhibitors and intravenous morphine sulfate can decrease the absorption and peak concentration of oral P2Y 12 inhibitors and delay the onset of the antiplatelet effect. Intervention: Consider the use of a parenteral antiplatelet agent in the setting of acute coronary syndrome requiring co-administration of intravenous morphine sulfate. Examples: clopidogrel, prasugrel, ticagrelor
Storage and Handling
DURAMORPH (morphine sulfate injection, USP) is a preservative-free solution, available as 5 mg/10 mL (0.5 mg/mL) and 10 mg/10 mL (1 mg/mL), in amber ampuls, for single use administration. NDC 0641-6020-10 5 mg/10 mL (0.5 mg/mL) Single Use amber ampuls packaged in 10s NDC 0641-6019-10 10 mg/10 mL (1 mg/mL) Single Use amber ampuls packaged in 10s DURAMORPH is supplied in sealed ampuls. Accidental dermal exposure should be treated by the removal of any contaminated clothing and rinsing the affected area with water. PROTECT FROM LIGHT. Keep stored in carton until time of use. Store at 20˚‑25˚C (68˚‑77˚F), excursions permitted to 15˚‑30˚C (59˚‑86˚F) [See USP Controlled Room Temperature]. DO NOT FREEZE. DURAMORPH contains no preservative or antioxidant. Each 10 mL ampul of DURAMORPH is intended for SINGLE USE ONLY. Discard any unused portion. Do not heat-sterilize. To report SUSPECTED ADVERSE REACTIONS, contact Hikma Pharmaceuticals USA Inc. at 1-877-845-0689, or the FDA at 1-800-FDA-1088 or www.fda.gov/medwatch . For Product Inquiry call 1-877-845-0689.
How Supplied
DURAMORPH (morphine sulfate injection, USP) is a preservative-free solution, available as 5 mg/10 mL (0.5 mg/mL) and 10 mg/10 mL (1 mg/mL), in amber ampuls, for single use administration. NDC 0641-6020-10 5 mg/10 mL (0.5 mg/mL) Single Use amber ampuls packaged in 10s NDC 0641-6019-10 10 mg/10 mL (1 mg/mL) Single Use amber ampuls packaged in 10s DURAMORPH is supplied in sealed ampuls. Accidental dermal exposure should be treated by the removal of any contaminated clothing and rinsing the affected area with water. PROTECT FROM LIGHT. Keep stored in carton until time of use. Store at 20˚‑25˚C (68˚‑77˚F), excursions permitted to 15˚‑30˚C (59˚‑86˚F) [See USP Controlled Room Temperature]. DO NOT FREEZE. DURAMORPH contains no preservative or antioxidant. Each 10 mL ampul of DURAMORPH is intended for SINGLE USE ONLY. Discard any unused portion. Do not heat-sterilize. To report SUSPECTED ADVERSE REACTIONS, contact Hikma Pharmaceuticals USA Inc. at 1-877-845-0689, or the FDA at 1-800-FDA-1088 or www.fda.gov/medwatch . For Product Inquiry call 1-877-845-0689.
Medication Information
Recent Major Changes
Warnings and Precautions
Risk of Tolerance and Myoclonic Activity: Monitor patients for unusual acceleration of neuraxial morphine, which may cause myoclonic-like spasm of lower extremities. Detoxification maybe required. ( 5.6 ) Chest Wall Rigidity: Rapid intravenous administration may result in chest wall rigidity. ( 5.7 ) Opioid Induced Hyperalgesia and Allodynia : Opioid Induced Hyperalgesia (OIH) occurs when an opioid analgesic paradoxically causes an increase in pain, or an increase in sensitivity to pain. If a patient is suspected to be experiencing OIH, carefully consider appropriately decreasing the dose of the current opioid analgesic, or opioid rotation (safety switching the patient to a different opioid moiety). ( 5.8 ) Life-Threatening Respiratory Depression in Patients with Chronic Pulmonary Disease or in Elderly, Cachectic, or Debilitated Patients: Monitor closely, particularly during initiation and titration. ( 5.9 ) Adrenal Insufficiency : If diagnosed, treat with physiologic replacement of corticosteroids, and wean patient off of the opioid. ( 5.11 ) Severe Hypotension: Monitor during dosage initiation and titration. AvoiduseofDURAMORPHinpatientswithcirculatoryshock.( 5.12 ) Risks of Use in Patients with Increased Intracranial Pressure, Brain Tumors, Head Injury, or Impaired Consciousness: Monitor for sedation and respiratory depression. Avoid use of DURAMORPH in patients with impaired consciousness or coma. ( 5.13 )
Indications and Usage
DURAMORPH is indicated for: the management of pain severe enough to require use of an opioid analgesic by intravenous administration, and for which alternative treatments are not expected to be adequate. the epidural or intrathecal management of pain without attendant loss of motor, sensory, or sympathetic function. Limitation of Use DURAMORPH is not for use in continuous microinfusion devices. Because of the risks of addiction, abuse, misuse, overdose, and death, which can occur at any dosage or duration and persist over the course of therapy [see Warnings and Precautions (5.2) ] , reserve opioid analgesiscs, including DURAMORPH for use in patients for whom alternative treatment options are ineffective, not tolerated or would be otherwise inadequate to provide sufficient management of pain.
Dosage and Administration
DURAMORPH should be prescribed only by healthcare professionals who are knowledgeable about the use of opioids and how to mitigate the associated risks. ( 2.1 ) Should be administered by or under the direction of a physician experienced in the techniques of epidural or intrathecal administration. ( 2.1 ) Use the lowest effective dosage for the shortest duration of time consistent with individual patient treatment goals. Reserve titration to higher doses of DURAMORPH for patients in whom lower doses are insufficiently effective and in whom the expected benefits of using a higher dose opioid clearly outweigh the substantial risks. ( 2.2 , 5 ) Initiate the dosing regimen for each patient individually, taking into account the patient’s underlying cause and severity of pain, prior analgesic treatment and response, and risk factors for addiction, abuse, and misuse. ( 2.1 , 5.2 ) Respiratory depression can occur at any time during opioid therapy, especially when initiating and following dosage increases with DURAMORPH. Consider this risk when selecting an initial dose and when making dose adjustments. ( 2 , 5.3 ) Dosage for Intravenous Administration: 2 mg to 10 mg/70 kg of body weight. ( 2.3 ) Dosage for Epidural Administration: Initial injection of 5 mg in the lumbar region may provide satisfactory pain relief for up to 24 hours. If adequate pain relief is not achieved within one hour, carefully administer incremental doses of 1 to 2 mg at intervals sufficient to assess effectiveness. Administer no more than 10 mg/24 hr. ( 2.4 ) Dosage for Intrathecal Administration: A single injection of 0.2 to 1 mgmayprovidesatisfactorypainreliefforupto24hours.Repeated intrathecal injections of DURAMORPH are not recommended. ( 2.5 ) Periodically reassess patients receiving DURAMORPH to evaluate the continued need for opioid analgesics to maintain pain control, for the signs or symptoms of adverse reactions, and the development of addiction, abuse or misuse.( 2.6 ) Do not rapidly reduce or abruptly discontinue DURAMORPH abruptly in a physically-dependent patient. ( 2.6 , 5.16 )
Contraindications
DURAMORPH is contraindicated in patients with: Significant respiratory depression [see Warnings and Precautions (5.3) ] Acute or severe bronchial asthma in an unmonitored setting or in the absence of resuscitative equipment [see Warnings and Precautions (5.9) ] Concurrent use of monoamine oxidase inhibitors (MAOIs) or use of MAOIs within the last 14 days [see Warnings and Precautions (5.10) , Drug Interactions (7) ] Known or suspected gastrointestinal obstruction, including paralytic ileus [see Warnings and Precautions (5.14) ] Hypersensitivity to morphine (e.g., anaphylaxis) [see Adverse Reactions (6) ] Neuraxial administration of DURAMORPH is contraindicated in patients with: Infection at the injection microinfusion site [see Warnings and Precautions (5.1) ] Concomitant anticoagulant therapy [see Warnings and Precautions (5.1) ] Uncontrolled bleeding diathesis [see Warnings and Precautions (5.1) ] The presence of any other concomitant therapy or medical condition which would render epidural or intrathecal administration of medication especially hazardous.
Adverse Reactions
The following serious adverse reactions are described, or described in greater detail, in other sections: Addiction, Abuse, and Misuse [see Warnings and Precautions (5.2) ] Life-Threatening Respiratory Depression [see Warnings and Precautions (5.3) ] Interactions with Benzodiazepines or Other CNS Depressants [see Warnings and Precautions (5.4)] Neonatal Opioid Withdrawal Syndrome [see Warnings and Precautions (5.5) ] Myoclonic Activity [see Warnings and Precautions (5.6) ] Opioid-Induced Hyperalgesia and Allodynia [see Warnings and Precautions (5.8) ] Adrenal Insufficiency [see Warnings and Precautions (5.11) ] Severe Hypotension [see Warnings and Precautions (5.12)] Gastrointestinal Adverse Reactions [see Warnings and Precautions (5.14) ] Seizures [see Warnings and Precautions (5.15) ] Withdrawal [see Warnings and Precautions (5.16) ] Urinary Retention [see Warnings and Precautions (5.17) ] Orthostatic Hypotension [see Warnings and Precautions (5.18)] The following adverse reactions associated with the use of morphine were identified in clinical studies or postmarketing reports. Because some of these reactions were reported voluntarily from a population of uncertain size, it is not always possible to reliably estimate their frequency or establish a causal relationship to drug exposure. The most serious adverse reactions encountered during administration of DURAMORPH were respiratory depression and/or respiratory arrest. Cardiovascular System: While low doses of intravenously administered morphine have little effect on cardiovascular stability, high doses are excitatory, resulting from sympathetic hyperactivity and increase in circulating catecholamines. Central Nervous System: myoclonus, seizures, dysphoric reactions, toxic psychosis, dizziness, euphoria, anxiety, confusion, headache. Lumbar puncture-type headache is encountered in a significant minority of cases for several days following intrathecal catheter implantation and generally responds to bed rest and/or other conventional therapy. Gastrointestinal System: Nausea, vomiting, constipation Skin: Generalized pruritus, urticaria, wheals, and/or local tissue irritation. Single-dose epidural or intrathecal administration is accompanied by a high incidence of dose-related generalized pruritus. Urinary System: Urinary retention, oliguria. Peripheral edema: There are several reports of peripheral edema Other: Other adverse reactions reported following morphine therapy include depression of cough reflex, interference with thermal regulation, peripheral edema. Serotonin syndrome: Cases of serotonin syndrome, a potentially life-threatening condition, have been reported during concomitant use of opioids with serotonergic drugs. Adrenal insufficiency: Cases of adrenal insufficiency have been reported with opioid use, more often following greater than one month of use. Anaphylaxis: Anaphylaxis has been reported with ingredients contained in DURAMORPH. Androgen deficiency : Cases of androgen deficiency have occurred with use of opioids for an extended period of time. [see Clinical Pharmacology (12.2) ] . Hyperalgesia and Allodynia: Cases of hyperalgesia and allodynia have been reported with opioid therapy of any duration [see Warnings and Precautions (5.8) ]. Hypoglycemia: Cases of hypoglycemia have been reported in patients taking opioids. Most reports were in patients with at least one predisposing risk factor (e.g., diabetes). Opioid-induced esophageal dysfunction (OIED): Cases of OIED have been reported in patients taking opioids and may occur more frequently in patients taking higher doses of opioids, and/or in patients taking opioids longer term [see Warnings and Precautions (5.14) ]. Adverse Reactions from Observational Studies A prospective, observational cohort study estimated the risks of addiction, abuse, and misuse in patients initiating long-term use of Schedule II opioid analgesics between 2017 and 2021. Study participants included in one or more analyses had been enrolled in selected insurance plans or health systems for at least one year, were free of at least one outcome at baseline, completed a minimum number of follow-up assessments, and either: 1) filled multiple extended-release/long-acting opioid analgesic prescriptions during a 90-day period (n=978); or 2) filled any Schedule II opioid analgesic prescriptions covering at least 70 of 90 days (n=1,244). Those included also had no dispensing of the qualifying opioids in the previous 6 months. Over 12 months: approximately 1% to 6% of participants across the two cohorts newly met criteria for addiction, as assessed with two validated interview-based measures of moderate-to-severe opioid use disorderbasedonDiagnosticandStatisticalManualofMentalDisorders,FifthEdition(DSM-5) criteria, and approximately9%and22%ofparticipantsacrossthetwocohortsnewlymetcriteriafor prescription opioid abuse and misuse [defined in Drug Abuse and Dependence (9.2)] , respectively, as measured with a validated self-reported instrument. A retrospective, observational cohort study estimated the risk of opioidinvolved overdose or opioid overdose-related death in patients with new long-term use of Schedule II opioid analgesics from 2006 through 2016 (n=220,249). Included patients had been enrolled in either one of two commercial insurance programs, one managed care program, or one Medicaid program for at least 9 months. New long-term use was defined as having Schedule II opioid analgesic prescriptions covering at least 70 days’ supply over the 3 months prior to study entry and none during the preceding 6 months. Patients were excluded if they had an opioid-involved overdose in the 9 months prior to study entry. Overdose was measured using a validated medical code-based algorithm with linkage to the National Death Index database. The 5-year cumulative incidence estimates for opioid-involved overdose or opioid overdose-related death ranged from approximately 1.5% to 4% across study sites, counting only the first event during follow-up. Approximately 17% of first opioid overdoses observed over the entire study period (5-11 years, depending on the study site) were fatal. Higher baseline opioid dose was the strongest and most consistent predictor of opioid-involved overdose or opioid overdose-related death. Study exclusion criteria may have selected patients at lower risk of overdose, and substantial loss to follow-up (approximately 80%) also may have biased estimates. The risk estimates from the studies described above may not be generalizable to all patients receiving opioid analgesics, such as those with exposures shorter or longer than the duration evaluated in the studies.
Drug Interactions
Table 1 includes clinically significant drug interactions with DURAMORPH. Table 1 Clinically Significant Drug Interactions with DURAMORPH Benzodiazepines and Other Central Nervous System (CNS) Depressants Clinical Impact: Due to additive pharmacologic effect, the concomitant use of benzodiazepines or other CNS depressants, including alcohol, can increase the risk of hypotension, respiratory depression, profound sedation, coma, and death. The depressant effects of morphine are potentiated by the presence of other CNS depressants. Use of neuroleptics in conjunction with neuraxial morphine may increase the risk of respiratory depression [see Warnings and Precautions (5.4) ] . Intervention: Reserve concomitant prescribing of these drugs for use in patients for whom alternative treatment options are inadequate. Limit dosages and durations to the minimum required. Monitor closely for signs of respiratory depression and sedation [see Warnings and Precautions (5.4) ] . Examples: Benzodiazepines and other sedatives/hypnotics, anxiolytics, tranquilizers, muscle relaxants, general anesthetics, antipsychotics, psychotropic drugs, antihistamines, neuroleptics, gabapentinoids (gabapentin or pregabalin), other opioids, alcohol. Serotonergic Drugs Clinical Impact: The concomitant use of opioids with other drugs that affect the serotonergic neurotransmitter system has resulted in serotonin syndrome. Intervention : If concomitant use is warranted, carefully observe the patient, particularly during treatment initiation and dose adjustment. Discontinue DURAMORPH if serotonin syndrome is suspected. Examples: Selective serotonin reuptake inhibitors (SSRIs), serotonin and norepinephrine reuptake inhibitors (SNRIs), tricyclic antidepressants (TCAs), triptans, 5-HT3 receptor antagonists, drugs that effect the serotonin neurotransmitter system (e.g., mirtazapine, trazodone, tramadol), certain muscle relaxants (i.e., cyclobenzaprine, metaxalone), monoamine oxidase inhibitors (those intended to treat psychiatric disorders and also others, such as linezolid and intravenous methylene blue). Monoamine Oxidase Inhibitors (MAOIs) Clinical Impact: MAOI interactions with opioids may manifest as serotonin syndrome or opioid toxicity (e.g., respiratory depression, coma) [see Warnings and Precautions (5.10) ] . Do not use DURAMORPH in patients taking MAOIs or within 14 days of stopping such treatment. Intervention: If urgent use of an opioid is necessary, use test doses and frequent titration of small doses of other opioids (such as oxycodone, hydromorphone, oxymorphone, hydrocodone, or buprenorphine) to treat pain while closely monitoring blood pressure and signs and symptoms of CNS and respiratory depression. Examples: phenelzine, tranylcypromine, linezolid Mixed Agonist/Antagonist and Partial Agonist Opioid Analgesics Clinical Impact: Clinical Impact: May reduce the analgesic effect of DURAMORPH and/or precipitate withdrawal symptoms. Intervention: Avoid concomitant use. Examples: Butorphanol, nalbuphine, pentazocine, buprenorphine. Muscle Relaxants Clinical Impact: Morphine may enhance the neuromuscular blocking action of skeletal muscle relaxants and produce an increased degree of respiratory depression. Intervention: Monitor patients for signs of respiratory depression that may be greater than otherwise expected and decrease the dosage of DURAMORPH and/or the muscle relaxant as necessary. Diuretics Clinical Impact: Opioids can reduce the efficacy of diuretics by inducing the release of antidiuretic hormone. Intervention: Monitor patients for signs of diminished diuresis and/or effects on blood pressure and increase the dosage of the diuretic as needed. Anticholinergic Drugs Clinical Impact: The concomitant use of anticholinergic drugs may increase risk of urinary retention and/or severe constipation, which may lead to paralyticileus. Intervention: Monitor patients for signs of urinary retention or reduced gastric motility when DURAMORPH is used concomitantly with anticholinergic drugs. Oral P2Y 12 Inhibitors Clinical Impact: The co-administration of oral P2Y 12 inhibitors and intravenous morphine sulfate can decrease the absorption and peak concentration of oral P2Y 12 inhibitors and delay the onset of the antiplatelet effect. Intervention: Consider the use of a parenteral antiplatelet agent in the setting of acute coronary syndrome requiring co-administration of intravenous morphine sulfate. Examples: clopidogrel, prasugrel, ticagrelor
Storage and Handling
DURAMORPH (morphine sulfate injection, USP) is a preservative-free solution, available as 5 mg/10 mL (0.5 mg/mL) and 10 mg/10 mL (1 mg/mL), in amber ampuls, for single use administration. NDC 0641-6020-10 5 mg/10 mL (0.5 mg/mL) Single Use amber ampuls packaged in 10s NDC 0641-6019-10 10 mg/10 mL (1 mg/mL) Single Use amber ampuls packaged in 10s DURAMORPH is supplied in sealed ampuls. Accidental dermal exposure should be treated by the removal of any contaminated clothing and rinsing the affected area with water. PROTECT FROM LIGHT. Keep stored in carton until time of use. Store at 20˚‑25˚C (68˚‑77˚F), excursions permitted to 15˚‑30˚C (59˚‑86˚F) [See USP Controlled Room Temperature]. DO NOT FREEZE. DURAMORPH contains no preservative or antioxidant. Each 10 mL ampul of DURAMORPH is intended for SINGLE USE ONLY. Discard any unused portion. Do not heat-sterilize. To report SUSPECTED ADVERSE REACTIONS, contact Hikma Pharmaceuticals USA Inc. at 1-877-845-0689, or the FDA at 1-800-FDA-1088 or www.fda.gov/medwatch . For Product Inquiry call 1-877-845-0689.
How Supplied
DURAMORPH (morphine sulfate injection, USP) is a preservative-free solution, available as 5 mg/10 mL (0.5 mg/mL) and 10 mg/10 mL (1 mg/mL), in amber ampuls, for single use administration. NDC 0641-6020-10 5 mg/10 mL (0.5 mg/mL) Single Use amber ampuls packaged in 10s NDC 0641-6019-10 10 mg/10 mL (1 mg/mL) Single Use amber ampuls packaged in 10s DURAMORPH is supplied in sealed ampuls. Accidental dermal exposure should be treated by the removal of any contaminated clothing and rinsing the affected area with water. PROTECT FROM LIGHT. Keep stored in carton until time of use. Store at 20˚‑25˚C (68˚‑77˚F), excursions permitted to 15˚‑30˚C (59˚‑86˚F) [See USP Controlled Room Temperature]. DO NOT FREEZE. DURAMORPH contains no preservative or antioxidant. Each 10 mL ampul of DURAMORPH is intended for SINGLE USE ONLY. Discard any unused portion. Do not heat-sterilize. To report SUSPECTED ADVERSE REACTIONS, contact Hikma Pharmaceuticals USA Inc. at 1-877-845-0689, or the FDA at 1-800-FDA-1088 or www.fda.gov/medwatch . For Product Inquiry call 1-877-845-0689.
Description
Risks with Neuraxial Administration Single-dose neuraxial administration may result in acute or delayed respiratory depression up to 24 hours. Because of the risk of severe adverse reactions when DURAMORPH is administered by the epidural or intrathecal route of administration, patients must be observed in a fully equipped and staffed environment for at least 24 hours after the initial dose [see Warnings and Precautions (5.1) ]. Addiction, Abuse, and Misuse Because the use of DURAMORPH exposes patients and other users to the risks of opioid addiction, abuse, and misuse, which can lead to overdose and death, assess each patient’s risk prior to prescribing and reassess all patients regularly for the development of these behaviors and conditions [see Warnings and Precautions (5.2) ]. Life-Threatening Respiratory Depression Serious, life-threatening, or fatal respiratory depression may occur with use of DURAMORPH, especially during initiation or following a dosage increase. To reduce the risk of respiratory depression, proper dosing and titration of DURAMORPH are essential [see Warnings and Precautions (5.3) ]. Risks From Concomitant Use With Benzodiazepines Or Other CNS Depressants Concomitant use of opioids with benzodiazepines or other central nervous system (CNS) depressants, including alcohol, may result in profound sedation, respiratory depression, coma, and death. Reserve concomitant prescribing of DURAMORPH and benzodiazepines or other CNS depressants for use in patients for whom alternative treatment options are inadequate [see Warnings and Precautions (5.4) , Drug Interactions (7) ]. Neonatal Opioid Withdrawal Syndrome (NOWS) Advise pregnant women using opioids for an extended period of time of the risk of Neonatal Opioid Withdrawal Syndrome, which may be life threatening if not recognized and treated. Ensure that management by neonatology experts will be available at delivery [see Warnings and Precautions (5.5) ].
Section 42229-5
Manufactured by:
Hikma Pharmaceuticals USA Inc.
Berkeley Heights, NJ 07922
462-212-08
9.2 Abuse
DURAMORPH contains morphine, a substance with high potential for misuse and abuse, which can lead to the development of substance use disorder, including addiction [see Warnings and Precautions (5.2)].
Misuse is the intentional use, for therapeutic purposes, of a drug by an individual in a way other than prescribed by a healthcare provider or for whom it was not prescribed.
Abuse is the intentional, nontherapeutic use of a drug, even once, for its desirable psychological or physiological effects.
Drug addiction is a cluster of behavioral, cognitive, and physiological phenomena that may include a strong desire to take the drug, difficulties in controlling drug use (e.g., continuing drug use despite harmful consequences, giving a higher priority to drug use than other activities and obligations), and possible tolerance or physical dependence.
Misuse and abuse of DURAMORPH increases risk of overdose, which may lead to central nervous system and respiratory depression, hypotension, seizures, and death. The risk is increased with concurrent abuse of DURAMORPH with alcohol and/or other CNS depressants. Abuse of and addiction to opioids in some individuals may not be accompanied by concurrent tolerance and symptoms of physical dependence. In addition, abuse of opioids can occur in the absence of addiction.
All patients treated with opioids require careful and frequent reevaluation for signs of misuse, abuse, and addiction, because use of opioid analgesic products carries the risk of addiction even under appropriate medical use. Patients at high risk of DURAMORPH abuse include those with a history of prolonged use of any opioid, including products containing morphine, those with a history of drug or alcohol abuse, or those who use DURAMORPH in combination with other abused drugs.
“Drug-seeking” behavior is very common in persons with substance use disorders. Drug seeking tactics include emergency calls or visits near the end of office hours, refusal to undergo appropriate examination, testing, or referral, repeated “loss” of prescriptions, tampering with prescriptions, and reluctance to provide prior medical records or contact information for other treating healthcare provider(s). “Doctor shopping” (visiting multiple prescribers to obtain additional prescriptions) is common among people who abuse drugs and people with substance use disorder. Preoccupation with achieving adequate pain relief can be appropriate behavior in a patient with inadequate pain control.
DURAMORPH, like other opioids, can be diverted for nonmedical use into illicit channels of distribution. Careful recordkeeping of prescribing information, including quantity, frequency, and renewal requests, as required by state and federal law, is strongly advised.
Proper assessment of the patient, proper prescribing practices, periodic reevaluation of therapy, and proper dispensing and storage are appropriate measures that help to limit abuse of opioid drugs.
Risks Specific to Abuse of DURAMORPH
Abuse of DURAMORPH poses a risk of overdose and death. The risk is increased with concurrent use of DURAMORPH with alcohol and/or other CNS depressants.
Parenteral drug abuse is commonly associated with transmission of infectious diseases such as hepatitis and HIV.
10 Overdosage
Clinical Presentation
Acute overdose with morphine can be manifested by respiratory depression, somnolence progressing to stupor or coma, skeletal muscle flaccidity, cold and clammy skin, constricted pupils, and, in some cases, pulmonary edema, bradycardia, hypotension, hypoglycemia, partial or complete airway obstruction, atypical snoring, and death. Marked mydriasis rather than miosis may be seen with hypoxia in overdose situations [see Clinical Pharmacology (12.2)]. Toxic leukoencephalopathy has been reported after opioid overdose and can present hours, days, or weeks after apparent recovery from the initial intoxication.
Treatment of Overdose
In case of overdose, priorities are the reestablishment of a patent and protected airway and institution of assisted or controlled ventilation, if needed. Employ other supportive measures (including oxygen and vasopressors) in the management of circulatory shock and pulmonary edema as indicated. Cardiac arrest or arrhythmias will require advanced life-support measures.
For clinically significant respiratory or circulatory depression secondary to morphine overdose, administer an opioid overdose reversal agent such as naloxone or nalmefene.
As the duration of effect of naloxone is considerably shorter than that of epidural or intrathecal morphine, repeated administration may be necessary. Patients should be closely observed for evidence of renarcotization.
Because the duration of opioid reversal is expected to be less than the duration of action of morphine in DURAMORPH, particularly with epidural or intrathecal morphine, carefully monitor the patient until spontaneous respiration is reliably reestablished. If the response to an opioid overdose reversal agent is suboptimal or only brief in nature, administer additional reversal agent as directed by the product’s prescribing information.
In an individual physically dependent on opioids, administration of the recommended usual dosage of the opioid overdose reversal agent will precipitate an acute withdrawal syndrome. The severity of the withdrawal symptoms experienced will depend on the degree of physical dependence and the dose of the reversal agent administered. If a decision is made to treat serious respiratory depression in the physically-dependent patient, administration of the reversal agent should be initiated with care and by titration with smaller than usual doses of the reversal agent.
8.1 Pregnancy
Risk Summary
Use of opioid analgesics for an extended period of time during pregnancy may cause neonatal opioid withdrawal syndrome [see Warnings and Precautions (5.5)]. Available data with DURAMORPH in pregnant women are insufficient to inform a drug-associated risk for major birth defects and miscarriage. There are adverse outcomes reported with fetal exposure to opioid analgesics (see Clinical Considerations). Published studies with morphine use during pregnancy have not reported a clear association with morphine and major birth defects [see Human Data]. In published animal reproduction studies, morphine administered subcutaneously during the early gestational period produced neural tube defects (i.e., exencephaly and cranioschisis) at 5 and 16 times the human daily dose of 60 mg based on body surface area (HDD) in hamsters and mice, respectively, lower fetal body weight and increased incidence of abortion at 0.4 times the HDD in the rabbit, growth retardation at 6 times the HDD in the rat, and axial skeletal fusion and cryptorchidism at 16 times the HDD in the mouse. Administration of morphine sulfate to pregnant rats during organogenesis and through lactation resulted in cyanosis, hypothermia, decreased brain weights, pup mortality, decreased pup body weights, and adverse effects on reproductive tissues at 3-4 times the HDD; and long-term neurochemical changes in the brain of offspring which correlate with altered behavioral responses that persist through adulthood at exposures comparable to and less than the HDD [see Animal Data]. Based on animal data, advise pregnant women of the potential risk to a fetus.
The background risk of major birth defects and miscarriage for the indicated population is unknown. All pregnancies have a background risk of birth defect, loss, or other adverse outcomes. In the U.S. general population, the estimated background risk of major birth defects and miscarriage in clinically recognized pregnancies is 2 to 4% and 15 to 20%, respectively.
Clinical Considerations
Fetal/Neonatal Adverse Reactions
Use of opioid analgesics for an extended period of time during pregnancy for medical or nonmedical purposes can result in physical dependence in the neonate and neonatal opioid withdrawal syndrome shortly after birth. Neonatal opioid withdrawal syndrome presents as irritability, hyperactivity and abnormal sleep pattern, high pitched cry, tremor, vomiting, diarrhea, and failure to gain weight. The onset, duration, and severity of neonatal opioid withdrawal syndrome vary based on the specific opioid used, duration of use, timing and amount of last maternal use, and rate of elimination of the drug by the newborn. Observe newborns for symptoms of neonatal opioid withdrawal syndrome and manage accordingly [see Warnings and Precautions (5.5)].
Labor or Delivery
Opioids cross the placenta and may produce respiratory depression and psychophysiologic effects in neonates. An opioid overdose reversal agent, such as naloxone or nalmefene, must be available for reversal of opioid induced respiratory depression in the neonate. DURAMORPH is not recommended for use in women during and immediately prior to labor, when use of shorter-acting analgesics or other analgesic techniques are more appropriate. Opioid analgesics, including DURAMORPH, can prolong labor through actions that temporarily reduce the strength, duration, and frequency of uterine contractions. However, this effect is not consistent and may be offset by an increased rate of cervical dilatation, which tends to shorten labor. Monitor neonates exposed to opioid analgesics during labor for signs of excess sedation and respiratory depression.
Data
Human Data
The results from a population-based prospective cohort, including 70 women exposed to morphine during the first trimester of pregnancy and 448 women exposed to morphine at any time during pregnancy, indicate no increased risk for congenital malformations. However, these studies cannot definitely establish the absence of any risk because of methodological limitations, including small sample size and nonrandomized study design.
Animal Data
Formal reproductive and developmental toxicology studies for morphine have not been conducted. Exposure margins for the following published study reports are based on human daily dose of 60 mg morphine using a body surface area comparison (HDD).
Neural tube defects (exencephaly and cranioschisis) were noted following subcutaneous administration of morphine sulfate (35-322 mg/kg) on Gestation Day 8 to pregnant hamsters (4.7 to 43.5 times the HDD). A no adverse effect level was not defined in this study and the findings cannot be clearly attributed to maternal toxicity. Neural tube defects (exencephaly), axial skeletal fusions, and cryptorchidism were reported following a single subcutaneous (SC) injection of morphine sulfate to pregnant mice (100-500 mg/kg) on Gestation Day 8 or 9 at 200 mg/kg or greater (16 times the HDD) and fetal resorption at 400 mg/kg or higher (32 times the HDD). No adverse effects were noted following 100 mg/kg morphine in this model (8 times the HDD). In one study, following continuous subcutaneous infusion of doses greater than or equal to 2.72 mg/kg to mice (0.2 times the HDD), exencephaly, hydronephrosis, intestinal hemorrhage, split supraoccipital, malformed sternebrae, and malformed xiphoid were noted. The effects were reduced with increasing daily dose; possibly due to rapid induction of tolerance under these infusion conditions. The clinical significance of this report is not clear.
Decreased fetal weights were observed in pregnant rats treated with 20 mg/kg/day morphine sulfate (3.2 times the HDD) from Gestation Day 7 to 9. There was no evidence of malformations despite maternal toxicity (10% mortality). In a second rat study, decreased fetal weight and increased incidences of growth retardation were noted at 35 mg/kg/day (5.7 times the HDD) and there was a reduced number of fetuses at 70 mg/kg/day (11.4 times the HDD) when pregnant rats were treated with 10, 35, or 70 mg/kg/day morphine sulfate via continuous infusion from Gestation Day 5 to 20. There was no evidence of fetal malformations or maternal toxicity.
An increased incidence of abortion was noted in a study in which pregnant rabbits were treated with 2.5 (0.8 times the HDD) to 10 mg/kg morphine sulfate via subcutaneous injection from Gestation Day 6 to 10. In a second study, decreased fetal body weights were reported following treatment of pregnant rabbits with increasing doses of morphine (10-50 mg/kg/day) during the pre-mating period and 50 mg/kg/day (16 times the HDD) throughout the gestation period. No overt malformations were reported in either publication; although only limited endpoints were evaluated.
In published studies in rats, exposure to morphine during gestation and/or lactation periods is associated with: decreased pup viability at 12.5 mg/kg/day or greater (2 times the HDD); decreased pup body weights at 15 mg/kg/day or greater (2.4 times the HDD); decreased litter size, decreased absolute brain and cerebellar weights, cyanosis, and hypothermia at 20 mg/kg/day (3.2 times the HDD); alteration of behavioral responses (play, social-interaction) at 1 mg/kg/day or greater (0.2 times the HDD); alteration of maternal behaviors (e.g., decreased nursing and pup retrievals) in mice at 1 mg/kg or higher (0.08 times the HDD) and rats at 1.5 mg/kg/day or higher (0.2 times the HDD); and a host of behavioral abnormalities in the offspring of rats, including altered responsiveness to opioids at 4 mg/kg/day (0.7 times the HDD) or greater.
Fetal and/or postnatal exposure to morphine in mice and rats has been shown to result in morphological changes in fetal and neonatal brain and neuronal cell loss, alteration of a number of neurotransmitter and neuromodulator systems, including opioid and nonopioid systems, and impairment in various learning and memory tests that appear to persist into adulthood. These studies were conducted with morphine treatment usually in the range of 4 to 20 mg/kg/day (0.7 to 3.2 times the HDD).
Additionally, delayed sexual maturation and decreased sexual behaviors in female offspring at 20 mg/kg/day (3.2 times the HDD), and decreased plasma and testicular levels of luteinizing hormone and testosterone, decreased testes weights, seminiferous tubule shrinkage, germinal cell aplasia, and decreased spermatogenesis in male offspring were also observed at 20 mg/kg/day (3.2 times the HDD). Decreased litter size and viability were observed in the offspring of male rats that were intraperitoneally administered morphine sulfate for 1 day prior to mating at 25 mg/kg/day (4.1 times the HDD) and mated to untreated females. Decreased viability and body weight and/or movement deficits in both first and second generation offspring were reported when male mice were treated for 5 days with escalating doses of 120 to 240 mg/kg/day morphine sulfate (9.7 to 19.5 times the HDD) or when female mice treated with escalating doses of 60 to 240 mg/kg/day (4.9 to 19.5 times the HDD) followed by a 5- day treatment-free recovery period prior to mating. Similar multigenerational findings were also seen in female rats pre-gestationally treated with escalating doses of 10 to 22 mg/kg/day morphine (1.6 to 3.6 times the HDD).
8.2 Lactation
Risk Summary
Morphine is present in breast milk. Published lactation studies report variable concentrations of morphine in breast milk with administration of immediate-release morphine to nursing mothers in the early postpartum period with a milk-to-plasma morphine AUC ratio of 2.5:1 measured in one lactation study. However, there is insufficient information to determine the effects of morphine on the breastfed infant and the effects of morphine on milk production. Lactation studies have not been conducted with DURAMORPH, and no information is available on the effects of the drug on the breastfed infant or the effects of the drug on milk production.
The developmental and health benefits of breastfeeding should be considered along with the mother’s clinical need for DURAMORPH and any potential adverse effects on the breastfed infant from DURAMORPH or from the underlying maternal condition.
Clinical Considerations
Monitor infants exposed to DURAMORPH through breast milk for excess sedation and respiratory depression. Withdrawal symptoms can occur in breastfed infants when maternal administration of morphine is stopped, or when breastfeeding is stopped.
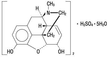
11 Description
DURAMORPH (morphine sulfate injection) is an opioid agonist, available as a sterile, nonpyrogenic isobaric solution of morphine sulfate in strengths of 0.5 mg or 1 mg morphine sulfate per mL, free of antioxidants, preservatives or other potentially neurotoxic additives, and is intended for intravenous, epidural, or intrathecal administration. Morphine is the most important alkaloid of opium and is a phenanthrene derivative. It is available as the sulfate salt, chemically identified as 7,8-Didehydro-4,5-epoxy-17-methyl-(5α,6α)-morphinan-3,6-diol sulfate (2:1) (salt), pentahydrate, with the following structural formula:
(C17H19NO3)2 • H2SO4 • 5H2O Molecular Weight is 758.83
Morphine sulfate USP is an odorless, white crystalline powder with a bitter taste. It has a solubility of 1 in 21 parts of water and 1 in 1000 parts of alcohol, but is practically insoluble in chloroform or ether.
The octanol:water partition coefficient of morphine is 1.42 at physiologic pH and the pKa is 7.9 for the tertiary nitrogen (the majority is ionized at pH 7.4).
Each mL of DURAMORPH contains morphine sulfate, USP 0.5 mg (5 mg/10 mL) or 1 mg (10 mg/10 mL) and sodium chloride 9 mg in Water for Injection. The pH range is 2.5 – 6.5. Contains no preservative. Each 10 mL ampul of DURAMORPH is intended for SINGLE USE ONLY.
9.3 Dependence
Both tolerance and physical dependence can develop during use of opioid therapy.
Tolerance is a physiological state characterized by a reduced response to a drug after repeated administration (i.e., a higher dose of a drug is required to produce the same effect that was once obtained at a lower dose).
Physical dependence is a state that develops as a result of a physiological adaptation in response to repeated drug use, manifested by withdrawal signs and symptoms after abrupt discontinuation or a significant dose reduction of a drug.
Withdrawal may be precipitated through the administration of drugs with opioid antagonist activity (e.g., naloxone, nalmefene), mixed agonist/antagonist analgesics (e.g., pentazocine, butorphanol, nalbuphine), or partial agonists (e.g., buprenorphine). Physical dependence may not occur to a clinically significant degree until after several days to weeks of continued use.
DURAMORPH should not be rapidly reduced or abruptly discontinued in a physically dependent patient [see Dosage and Administration (2.6 ) ]. If DURAMORPH is rapidly reduced or abruptly discontinued in a physically dependent patient, a withdrawal syndrome may occur, typically characterized by restlessness, lacrimation, rhinorrhea, perspiration, chills, myalgia, and mydriasis. Other signs and symptoms also may develop, including irritability, anxiety, backache, joint pain, weakness, abdominal cramps, insomnia, nausea, anorexia, vomiting, diarrhea, or increased blood pressure, respiratory rate, or heart rate.
Infants born to mothers physically dependent on opioids will also be physically dependent and may exhibit respiratory difficulties and withdrawal signs [see Use in Specific Populations (8.1)].
5.16 Withdrawal
Avoid the use of mixed agonist/antagonist (e.g., pentazocine, nalbuphine, and butorphanol) or partial agonist (e.g., buprenorphine) analgesics in patients who are receiving a full opioid agonist analgesic, including DURAMORPH. In these patients, mixed agonist/antagonist and partial agonist analgesics may reduce the analgesic effect and/or precipitate withdrawal symptoms [see Drug Interactions (7)].
When discontinuing DURAMORPH, gradually taper the dosage [see Dosage and Administration (2.6)]. Do not rapidly reduce or abruptly discontinue DURAMORPH [see Drug Abuse and Dependence (9.3)].
8.4 Pediatric Use
Adequate studies to establish the safety and effectiveness of spinal morphine in pediatric patients have not been performed, and usage in this population is not recommended.
8.5 Geriatric Use
Elderly patients (aged 65 years or older) may have increased sensitivity to DURAMORPH. In general, use caution when selecting a dosage for an elderly patient, usually starting at the low end of the dosing range, reflecting the greater frequency of decreased hepatic, renal, or cardiac function and of concomitant disease or other drug therapy.
Respiratory depression is the chief risk for elderly patients treated with opioids, and has occurred after large initial doses were administered to patients who were not opioid tolerant or when opioids were co-administered with other agents that depress respiration. Titrate the dosage of DURAMORPH slowly in geriatric patients and monitor closely for signs of central nervous system and respiratory depression [see Warnings and Precautions (5.9)].
The pharmacodynamic effects of neuraxial morphine in the elderly are more variable than in the younger population. Patients will vary widely in the effective initial dose, rate of development of tolerance and the frequency and magnitude of associated adverse effects as the dose is increased. Initial doses should be based on careful clinical observation following “test doses”, after making due allowances for the effects of the patient’s age and infirmity on his/her ability to clear the drug, particularly in patients receiving epidural morphine.
Morphine is known to be substantially excreted by the kidney, and the risk of adverse reactions to this drug may be greater in patients with impaired renal function. Because elderly patients are more likely to have decreased renal function, care should be taken in dose selection, and it may be useful to monitor renal function.
2.2 Initial Dosage
The starting dose of DURAMORPH must be individualized.
- Use the lowest effective dosage for the shortest duration of time consistent with individual patient treatment goals [see Warnings and Precautions (5)]. Because the risk of overdose increases as opioid doses increase, reserve titration to higher doses of DURAMORPH for patients in whom lower doses are insufficiently effective and in whom the expected benefits of using a higher dose opioid clearly outweigh the substantial risks.
- Many acute pain conditions (e.g., the pain that occurs with a number of surgical procedures or acute musculoskeletal injuries) require no more than a few days of an opioid analgesic. Clinical guidelines on opioid prescribing for some acute pain conditions are available.
- There is variability in the opioid analgesic dose and duration needed to adequately manage pain due both to the cause of pain and to individual patient factors. Initiate the dosing regimen for each patient individually, taking into account the patient’s underlying cause and severity of pain, prior analgesic treatment and response, and risk factors for addiction, abuse, and misuse [see Warnings and Precautions (5.2)].
- Respiratory depression can occur at any time during opioid therapy, especially when initiating and following dosage increases with DURAMORPH. Consider this risk when selecting an initial dose and when making dose adjustments [see Warnings and Precautions (5)].
4 Contraindications
DURAMORPH is contraindicated in patients with:
- Significant respiratory depression [see Warnings and Precautions (5.3)]
- Acute or severe bronchial asthma in an unmonitored setting or in the absence of resuscitative equipment [see Warnings and Precautions (5.9)]
- Concurrent use of monoamine oxidase inhibitors (MAOIs) or use of MAOIs within the last 14 days [see Warnings and Precautions (5.10), Drug Interactions (7)]
- Known or suspected gastrointestinal obstruction, including paralytic ileus [see Warnings and Precautions (5.14)]
- Hypersensitivity to morphine (e.g., anaphylaxis) [see Adverse Reactions (6)]
Neuraxial administration of DURAMORPH is contraindicated in patients with:
- Infection at the injection microinfusion site [see Warnings and Precautions (5.1)]
- Concomitant anticoagulant therapy [see Warnings and Precautions (5.1)]
- Uncontrolled bleeding diathesis [see Warnings and Precautions (5.1)]
- The presence of any other concomitant therapy or medical condition which would render epidural or intrathecal administration of medication especially hazardous.
6 Adverse Reactions
The following serious adverse reactions are described, or described in greater detail, in other sections:
- Addiction, Abuse, and Misuse [see Warnings and Precautions (5.2)]
- Life-Threatening Respiratory Depression [see Warnings and Precautions (5.3)]
- Interactions with Benzodiazepines or Other CNS Depressants [see Warnings and Precautions (5.4)]
- Neonatal Opioid Withdrawal Syndrome [see Warnings and Precautions (5.5)]
- Myoclonic Activity [see Warnings and Precautions (5.6)]
- Opioid-Induced Hyperalgesia and Allodynia [see Warnings and Precautions (5.8)]
- Adrenal Insufficiency [see Warnings and Precautions (5.11)]
- Severe Hypotension [see Warnings and Precautions (5.12)]
- Gastrointestinal Adverse Reactions [see Warnings and Precautions (5.14)]
- Seizures[see Warnings and Precautions (5.15)]
- Withdrawal[see Warnings and Precautions (5.16)]
- Urinary Retention [seeWarnings and Precautions (5.17)]
- Orthostatic Hypotension [see Warnings and Precautions (5.18)]
The following adverse reactions associated with the use of morphine were identified in clinical studies or postmarketing reports. Because some of these reactions were reported voluntarily from a population of uncertain size, it is not always possible to reliably estimate their frequency or establish a causal relationship to drug exposure.
The most serious adverse reactions encountered during administration of DURAMORPH were respiratory depression and/or respiratory arrest.
Cardiovascular System: While low doses of intravenously administered morphine have little effect on cardiovascular stability, high doses are excitatory, resulting from sympathetic hyperactivity and increase in circulating catecholamines.
Central Nervous System: myoclonus, seizures, dysphoric reactions, toxic psychosis, dizziness, euphoria, anxiety, confusion, headache. Lumbar puncture-type headache is encountered in a significant minority of cases for several days following intrathecal catheter implantation and generally responds to bed rest and/or other conventional therapy.
Gastrointestinal System: Nausea, vomiting, constipation
Skin: Generalized pruritus, urticaria, wheals, and/or local tissue irritation. Single-dose epidural or intrathecal administration is accompanied by a high incidence of dose-related generalized pruritus.
Urinary System: Urinary retention, oliguria.
Peripheral edema: There are several reports of peripheral edema
Other: Other adverse reactions reported following morphine therapy include depression of cough reflex, interference with thermal regulation, peripheral edema.
Serotonin syndrome: Cases of serotonin syndrome, a potentially life-threatening condition, have been reported during concomitant use of opioids with serotonergic drugs.
Adrenal insufficiency: Cases of adrenal insufficiency have been reported with opioid use, more often following greater than one month of use.
Anaphylaxis: Anaphylaxis has been reported with ingredients contained in DURAMORPH.
Androgen deficiency: Cases of androgen deficiency have occurred with use of opioids for an extended period of time. [see Clinical Pharmacology (12.2)].
Hyperalgesia and Allodynia: Cases of hyperalgesia and allodynia have been reported with opioid therapy of any duration [see Warnings and Precautions (5.8)].
Hypoglycemia: Cases of hypoglycemia have been reported in patients taking opioids. Most reports were in patients with at least one predisposing risk factor (e.g., diabetes).
Opioid-induced esophageal dysfunction (OIED): Cases of OIED have been reported in patients taking opioids and may occur more frequently in patients taking higher doses of opioids, and/or in patients taking opioids longer term [see Warnings and Precautions (5.14)].
Adverse Reactions from Observational Studies
A prospective, observational cohort study estimated the risks of addiction, abuse, and misuse in patients initiating long-term use of Schedule II opioid analgesics between 2017 and 2021. Study participants included in one or more analyses had been enrolled in selected insurance plans or health systems for at least one year, were free of at least one outcome at baseline, completed a minimum number of follow-up assessments, and either: 1) filled multiple extended-release/long-acting opioid analgesic prescriptions during a 90-day period (n=978); or 2) filled any Schedule II opioid analgesic prescriptions covering at least 70 of 90 days (n=1,244). Those included also had no dispensing of the qualifying opioids in the previous 6 months.
Over 12 months:
- approximately 1% to 6% of participants across the two cohorts newly met criteria for addiction, as assessed with two validated interview-based measures of moderate-to-severe opioid use disorderbasedonDiagnosticandStatisticalManualofMentalDisorders,FifthEdition(DSM-5) criteria, and
- approximately9%and22%ofparticipantsacrossthetwocohortsnewlymetcriteriafor prescription opioid abuse and misuse [defined in Drug Abuse and Dependence (9.2)] , respectively, as measured with a validated self-reported instrument.
A retrospective, observational cohort study estimated the risk of opioidinvolved overdose or opioid overdose-related death in patients with new long-term use of Schedule II opioid analgesics from 2006 through 2016 (n=220,249). Included patients had been enrolled in either one of two commercial insurance programs, one managed care program, or one Medicaid program for at least 9 months. New long-term use was defined as having Schedule II opioid analgesic prescriptions covering at least 70 days’ supply over the 3 months prior to study entry and none during the preceding 6 months. Patients were excluded if they had an opioid-involved overdose in the 9 months prior to study entry. Overdose was measured using a validated medical code-based algorithm with linkage to the National Death Index database. The 5-year cumulative incidence estimates for opioid-involved overdose or opioid overdose-related death ranged from approximately 1.5% to 4% across study sites, counting only the first event during follow-up. Approximately 17% of first opioid overdoses observed over the entire study period (5-11 years, depending on the study site) were fatal. Higher baseline opioid dose was the strongest and most consistent predictor of opioid-involved overdose or opioid overdose-related death. Study exclusion criteria may have selected patients at lower risk of overdose, and substantial loss to follow-up (approximately 80%) also may have biased estimates.
The risk estimates from the studies described above may not be generalizable to all patients receiving opioid analgesics, such as those with exposures shorter or longer than the duration evaluated in the studies.
7 Drug Interactions
Table 1 includes clinically significant drug interactions with DURAMORPH.
Table 1 Clinically Significant Drug Interactions with DURAMORPH
|
Benzodiazepines and Other Central Nervous System (CNS) Depressants |
|
|
Clinical Impact: |
Due to additive pharmacologic effect, the concomitant use of benzodiazepines or other CNS depressants, including alcohol, can increase the risk of hypotension, respiratory depression, profound sedation, coma, and death. The depressant effects of morphine are potentiated by the presence of other CNS depressants. Use of neuroleptics in conjunction with neuraxial morphine may increase the risk of respiratory depression [see Warnings and Precautions (5.4)]. |
|
Intervention: |
Reserve concomitant prescribing of these drugs for use in patients for whom alternative treatment options are inadequate. Limit dosages and durations to the minimum required. Monitor closely for signs of respiratory depression and sedation [see Warnings and Precautions (5.4)]. |
|
Examples: |
Benzodiazepines and other sedatives/hypnotics, anxiolytics, tranquilizers, muscle relaxants, general anesthetics, antipsychotics, psychotropic drugs, antihistamines, neuroleptics, gabapentinoids (gabapentin or pregabalin), other opioids, alcohol. |
|
Serotonergic Drugs |
|
|
Clinical Impact: |
The concomitant use of opioids with other drugs that affect the serotonergic neurotransmitter system has resulted in serotonin syndrome. |
|
Intervention: |
If concomitant use is warranted, carefully observe the patient, particularly during treatment initiation and dose adjustment. Discontinue DURAMORPH if serotonin syndrome is suspected. |
|
Examples: |
Selective serotonin reuptake inhibitors (SSRIs), serotonin and norepinephrine reuptake inhibitors (SNRIs), tricyclic antidepressants (TCAs), triptans, 5-HT3 receptor antagonists, drugs that effect the serotonin neurotransmitter system (e.g., mirtazapine, trazodone, tramadol), certain muscle relaxants (i.e., cyclobenzaprine, metaxalone), monoamine oxidase inhibitors (those intended to treat psychiatric disorders and also others, such as linezolid and intravenous methylene blue). |
|
Monoamine Oxidase Inhibitors (MAOIs) |
|
|
Clinical Impact: |
MAOI interactions with opioids may manifest as serotonin syndrome or opioid toxicity (e.g., respiratory depression, coma) [see Warnings and Precautions (5.10)]. |
| Do not use DURAMORPH in patients taking MAOIs or within 14 days of stopping such treatment. | |
|
Intervention: |
If urgent use of an opioid is necessary, use test doses and frequent titration of small doses of other opioids (such as oxycodone, hydromorphone, oxymorphone, hydrocodone, or buprenorphine) to treat pain while closely monitoring blood pressure and signs and symptoms of CNS and respiratory depression. |
|
Examples: |
phenelzine, tranylcypromine, linezolid |
|
Mixed Agonist/Antagonist and Partial Agonist Opioid Analgesics |
|
|
Clinical Impact: |
Clinical Impact: May reduce the analgesic effect of DURAMORPH and/or precipitate withdrawal symptoms. |
|
Intervention: |
Avoid concomitant use. |
|
Examples: |
Butorphanol, nalbuphine, pentazocine, buprenorphine. |
|
Muscle Relaxants |
|
|
Clinical Impact: |
Morphine may enhance the neuromuscular blocking action of skeletal muscle relaxants and produce an increased degree of respiratory depression. |
|
Intervention: |
Monitor patients for signs of respiratory depression that may be greater than otherwise expected and decrease the dosage of DURAMORPH and/or the muscle relaxant as necessary. |
|
Diuretics |
|
|
Clinical Impact: |
Opioids can reduce the efficacy of diuretics by inducing the release of antidiuretic hormone. |
|
Intervention: |
Monitor patients for signs of diminished diuresis and/or effects on blood pressure and increase the dosage of the diuretic as needed. |
|
Anticholinergic Drugs |
|
|
Clinical Impact: |
The concomitant use of anticholinergic drugs may increase risk of urinary retention and/or severe constipation, which may lead to paralyticileus. |
|
Intervention: |
Monitor patients for signs of urinary retention or reduced gastric motility when DURAMORPH is used concomitantly with anticholinergic drugs. |
|
Oral P2Y12 Inhibitors |
|
|
Clinical Impact: |
The co-administration of oral P2Y12 inhibitors and intravenous morphine sulfate can decrease the absorption and peak concentration of oral P2Y12 inhibitors and delay the onset of the antiplatelet effect. |
|
Intervention: |
Consider the use of a parenteral antiplatelet agent in the setting of acute coronary syndrome requiring co-administration of intravenous morphine sulfate. |
|
Examples: |
clopidogrel, prasugrel, ticagrelor |
12.2 Pharmacodynamics
Effects on the Central Nervous System
Morphine produces respiratory depression by direct action on brain stem respiratory centers. The respiratory depression involves a reduction in the responsiveness of the brain stem respiratory centers to both increases in carbon dioxide tension and electrical stimulation.
Morphine causes miosis, even in total darkness. Pinpoint pupils are a sign of opioid overdose but are not pathognomic (e.g., pontine lesions of hemorrhagic or ischemic origins may produce similar findings). Marked mydriasis rather than miosis may be seen due to hypoxia in overdose situations.
Both early and late respiratory depression (up to 24 hours post dosing) have been reported following neuraxial administration. Circulation of the spinal fluid may also result in high concentrations of morphine reaching the brain stem directly.
Effects on the Gastrointestinal Tract and Other Smooth Muscle
Morphine causes a reduction in motility associated with an increase in smooth muscle tone in the antrum of the stomach and duodenum. Digestion of food in the small intestine is delayed and propulsive contractions are decreased. Propulsive peristaltic waves in the colon are decreased, while tone may be increased to the point of spasm, resulting in constipation. Other opioid-induced effects may include a reduction in biliary and pancreatic secretions, spasm of sphincter of Oddi, transient elevations in serum amylase, and opioid-induced esophageal dysfunction (OIED)
Effects on the Cardiovascular System
Morphine produces peripheral vasodilation, which may result in orthostatic hypotension or syncope. Manifestations of histamine release and/or peripheral vasodilation may include pruritis, flushing, red eyes, sweating, and/or orthostatic hypotension.
Effects on the Endocrine System
Opioids inhibit the secretion of adrenocorticotropic hormone (ACTH), cortisol, and lutenizing hormone (LH) in humans [see Adverse Reactions (6)]. They also stimulate prolactin, growth hormone (GH) secretion, and pancreatic secretion of insulin and glucagon.
Use of opioids for an extended period of time may influence the hypothalamic-pituitary-gonadal-axis, leading to androgen deficiency that may manifest as low libido, impotence, erectile dysfunction, amenorrhea, or infertility. The causal role of opioids in the clinical syndrome of hypogonadism is unknown because the various medical, physical, lifestyle, and psychological stressors that may influence gonadal hormone levels have not been adequately controlled for in studies conducted to date [see Adverse Reactions (6)].
Effects on the Immune System
Opioids have been shown to have a variety of effects on components of the immune system in in vitro and animal models. The clinical significance of these findings is unknown. Overall, the effects of opioids appear to be modestly immunosuppressive.
Concentration – Efficacy Relationships
The minimum effective analgesic concentration will vary widely among patients, especially among patients who have been previously treated with opioid agonists. The minimum effective analgesic concentration of morphine for any individual patient may increase over time due to an increase in pain, the development of a new pain syndrome, and/or the development of analgesic tolerance [see Dosage and Administration (2.1, 2.5)].
Concentration – Adverse Reaction Relationships
There is a relationship between increasing morphine plasma concentration and increasing frequency of dose-related opioid adverse reactions such as nausea, vomiting, CNS effects, and respiratory depression. In opioid-tolerant patients, the situation may be altered by the development of tolerance to opioid-related adverse reactions [see Dosage and Administration (2.1, 2.2, 2.6)].
12.3 Pharmacokinetics
Intravenous Administration
Morphine has an apparent volume of distribution ranging from 1.0 to 4.7 L/kg after intravenous dosage. Protein binding is low, about 36%, and muscle tissue binding is reported as 54%. A blood-brain barrier exists, and when morphine is introduced outside of the CNS (e.g., intravenously), plasma concentrations of morphine remain higher than the corresponding CSF morphine levels. Conversely, when morphine is injected into the intrathecal space, it diffuses out into the systemic circulation slowly, accounting for the long duration of action of morphine administered by this route.
Morphine has a total plasma clearance which ranges from 0.9 to 1.2 L/kg/h (liters/kilogram/hour) in postoperative patients, but shows considerable interindividual variation. The major pathway of clearance is hepatic glucuronidation to morphine‑3‑glucuronide, which is pharmacologically inactive. The major excretion path of the conjugate is through the kidneys, with about 10% in the feces. Morphine is also eliminated by the kidneys, 2 to 12% being excreted unchanged in the urine. Terminal half-life is commonly reported to vary from 1.5 to 4.5 hours, although the longer half‑lives were obtained when morphine levels were monitored over protracted periods with very sensitive radioimmunoassay methods. The accepted elimination half-life in normal subjects is 1.5 to 2 hours.
Epidural Administration
Morphine, injected into the epidural space, is rapidly absorbed into the general circulation. Absorption is so rapid that the plasma concentration-time profiles closely resemble those obtained after intravenous or intramuscular administration. Peak plasma concentrations averaging 33–40 ng/mL (range 5–62 ng/mL) are achieved within 10 to 15 minutes after administration of 3 mg of morphine. Plasma concentrations decline in a multiexponential fashion. The terminal half-life is reported to range from 39 to 249 minutes (mean of 90 ± 34.3 min) and, though somewhat shorter, is similar in magnitude as values reported after intravenous and intramuscular administration (1.5–4.5 h). CSF concentrations of morphine, after epidural doses of 2 to 6 mg in postoperative patients, have been reported to be 50 to 250 times higher than corresponding plasma concentrations. The CSF levels of morphine exceed those in plasma after only 15 minutes and are detectable for as long as 20 hours after the injection of 2 mg of epidural morphine. Approximately 4% of the dose injected epidurally reaches the CSF. This corresponds to the relative minimum effective epidural and intrathecal doses of 5 mg and 0.25 mg, respectively. The disposition of morphine in the CSF follows a biphasic pattern, with an early half-life of 1.5 h and a late phase half-life of about 6 h. Morphine crosses the dura slowly, with an absorption half-life across the dura averaging 22 minutes. Maximum CSF concentrations are seen 60–90 minutes after injection. Minimum effective CSF concentrations for postoperative analgesia average 150 ng/mL (range < 1‑380 ng/mL).
Intrathecal Administration
The intrathecal route of administration circumvents meningeal diffusion barriers and, therefore, lower doses of morphine produce comparable analgesia to that induced by the epidural route. After intrathecal bolus injection of morphine, there is a rapid initial distribution phase lasting 15–30 minutes and a half-life in the CSF of 42–136 min (mean 90 ± 16 min). Derived from limited data, it appears that the disposition of morphine in the CSF, from 15 minutes postintrathecal administration to the end of a six-hour observation period, represents a combination of the distribution and elimination phases. Morphine concentrations in the CSF averaged 332 ± 137 ng/mL at 6 hours, following a bolus dose of 0.3 mg of morphine. The apparent volume of distribution of morphine in the intrathecal space is about 22 ± 8 mL.
Time-to-peak plasma concentrations, however, are similar (5-10 min) after either epidural or intrathecal bolus administration of morphine. Maximum plasma morphine concentrations after 0.3 mg intrathecal morphine have been reported from < 1 to 7.8 ng/mL.The minimum analgesic morphine plasma concentration during Patient‑Controlled Analgesia (PCA) has been reported as 20–40 ng/mL, suggesting that any analgesic contribution from systemic redistribution would be minimal after the first 30–60 minutes with epidural administration and virtually absent with intrathecal administration of morphine.
5.15 risk of Seizures
The morphine in DURAMORPH may increase the frequency of seizures in patients with seizure disorders, and may increase the risk of seizures occurring in other clinical setting associated with seizures. Monitor patients with a history of seizure disorders for worsened seizure control during DURAMORPH therapy.
Excitation of the central nervous system, resulting in convulsions, may accompany high doses of morphine given intravenously.
1 Indications and Usage
DURAMORPH is indicated for:
- the management of pain severe enough to require use of an opioid analgesic by intravenous administration, and for which alternative treatments are not expected to be adequate.
- the epidural or intrathecal management of pain without attendant loss of motor, sensory, or sympathetic function.
Limitation of Use
DURAMORPH is not for use in continuous microinfusion devices.
Because of the risks of addiction, abuse, misuse, overdose, and death, which can occur at any dosage or duration and persist over the course of therapy [see Warnings and Precautions (5.2)], reserve opioid analgesiscs, including DURAMORPH for use in patients for whom alternative treatment options are ineffective, not tolerated or would be otherwise inadequate to provide sufficient management of pain.
5.12 Severe Hypotension
DURAMORPH may cause severe hypotension including orthostatic hypotension and syncope in ambulatory patients. There is increased risk in patients whose ability to maintain blood pressure has already been compromised by a reduced blood volume or concurrent administration of certain CNS depressant drugs (e.g., phenothiazines or general anesthetics) [see Drug Interactions (7)]. Monitor these patients for signs of hypotension after initiating or titrating the dosage of DURAMORPH. In patients with circulatory shock, DURAMORPH may cause vasodilation that can further reduce cardiac output and blood pressure. Avoid the use of DURAMORPH in patients with circulatory shock.
5.7 Chest Wall Rigidity
Rapid intravenous administration may result in chest wall rigidity.
Principal Display Panel
NDC 0641-6020-01 10 mL Ampul
Rx only
Duramorph
(Morphine Sulfate Injection, USP) CII
5 mg per 10 mL
(0.5 mg/mL)
Preservative Free
For Intravenous, Epidural, or Intrathecal Use
NDC 0641-6020-10
Rx only
Duramorph
(Morphine Sulfate Injection, USP) CII
5 mg per 10 mL
(0.5 mg/mL)
Preservative Free
For Intravenous, Epidural, or Intrathecal Use
10 x 10 mL Ampuls
12.1 Mechanism of Action
Morphine is a full opioid agonist and is relatively selective for the mu-opioid receptor, although it can bind to other opioid receptors at higher doses. The principal therapeutic action of morphine is analgesia. Like all full opioid agonists, there is no ceiling effect for analgesia with morphine. Clinically, dosage is titrated to provide adequate analgesia and may be limited by adverse reactions, including respiratory and CNS depression.
The precise mechanism of the analgesic action is unknown. However, specific CNS opioid receptors for endogenous compounds with opioid-like activity have been identified throughout the brain and spinal cord and are thought to play a role in the analgesic effects of this drug.
9.1 Controlled Substance
DURAMORPH contains morphine, a Schedule II controlled drug substance.
5 Warnings and Precautions
- Risk of Tolerance and Myoclonic Activity: Monitor patients for unusual acceleration of neuraxial morphine, which may cause myoclonic-like spasm of lower extremities. Detoxification maybe required. (5.6)
- Chest Wall Rigidity: Rapid intravenous administration may result in chest wall rigidity. (5.7)
- Opioid Induced Hyperalgesia and Allodynia: Opioid Induced Hyperalgesia (OIH) occurs when an opioid analgesic paradoxically causes an increase in pain, or an increase in sensitivity to pain. If a patient is suspected to be experiencing OIH, carefully consider appropriately decreasing the dose of the current opioid analgesic, or opioid rotation (safety switching the patient to a different opioid moiety). (5.8)
- Life-Threatening Respiratory Depression in Patients with Chronic Pulmonary Disease or in Elderly, Cachectic, or Debilitated Patients: Monitor closely, particularly during initiation and titration. (5.9)
- Adrenal Insufficiency: If diagnosed, treat with physiologic replacement of corticosteroids, and wean patient off of the opioid. (5.11)
- Severe Hypotension: Monitor during dosage initiation and titration. AvoiduseofDURAMORPHinpatientswithcirculatoryshock.(5.12)
- Risks of Use in Patients with Increased Intracranial Pressure, Brain Tumors, Head Injury, or Impaired Consciousness: Monitor for sedation and respiratory depression. Avoid use of DURAMORPH in patients with impaired consciousness or coma. (5.13)
5.11 Adrenal Insufficiency
Cases of adrenal insufficiency have been reported with opioid use, more often following greater than one month of use. Presentation of adrenal insufficiency may include nonspecific symptoms and signs including nausea, vomiting, anorexia, fatigue, weakness, dizziness, and low blood pressure. If adrenal insufficiency is suspected, confirm the diagnosis with diagnostic testing as soon as possible. If adrenal insufficiency is diagnosed, treat with physiologic replacement doses of corticosteroids. Wean the patient off of the opioid to allow adrenal function to recover and continue corticosteroid treatment until adrenal function recovers. Other opioids may be tried as some cases reported use of a different opioid without recurrence of adrenal insufficiency. The information available does not identify any particular opioids as being more likely to be associated with adrenal insufficiency.
2 Dosage and Administration
- DURAMORPH should be prescribed only by healthcare professionals who are knowledgeable about the use of opioids and how to mitigate the associated risks. (2.1)
- Should be administered by or under the direction of a physician experienced in the techniques of epidural or intrathecal administration. (2.1)
- Use the lowest effective dosage for the shortest duration of time consistent with individual patient treatment goals. Reserve titration to higher doses of DURAMORPH for patients in whom lower doses are insufficiently effective and in whom the expected benefits of using a higher dose opioid clearly outweigh the substantial risks. (2.2, 5)
- Initiate the dosing regimen for each patient individually, taking into account the patient’s underlying cause and severity of pain, prior analgesic treatment and response, and risk factors for addiction, abuse, and misuse. (2.1, 5.2)
- Respiratory depression can occur at any time during opioid therapy, especially when initiating and following dosage increases with DURAMORPH. Consider this risk when selecting an initial dose and when making dose adjustments. (2, 5.3)
- Dosage for Intravenous Administration: 2 mg to 10 mg/70 kg of body weight. (2.3)
- Dosage for Epidural Administration: Initial injection of 5 mg in the lumbar region may provide satisfactory pain relief for up to 24 hours. If adequate pain relief is not achieved within one hour, carefully administer incremental doses of 1 to 2 mg at intervals sufficient to assess effectiveness. Administer no more than 10 mg/24 hr. (2.4)
- Dosage for Intrathecal Administration: A single injection of 0.2 to 1 mgmayprovidesatisfactorypainreliefforupto24hours.Repeated intrathecal injections of DURAMORPH are not recommended. (2.5)
- Periodically reassess patients receiving DURAMORPH to evaluate the continued need for opioid analgesics to maintain pain control, for the signs or symptoms of adverse reactions, and the development of addiction, abuse or misuse.(2.6)
- Do not rapidly reduce or abruptly discontinue DURAMORPH abruptly in a physically-dependent patient. (2.6, 5.16)
3 Dosage Forms and Strengths
Injection: 5 mg per 10 mL (0.5 mg/mL) Preservative-free amber glass ampuls
Injection: 10 mg per 10 mL (1 mg/mL) Preservative-free amber glass ampuls
8 Use in Specific Populations
- Pregnancy: May cause fetal harm. (8.1)
8.6 Hepatic Or Renal Impairment
The elimination half-life of morphine may be prolonged in patients with reduced metabolic rates and with hepatic and/or renal dysfunction. Hence, care should be exercised in administering DURAMORPH epidurally to patients with these conditions. High blood morphine levels, due to reduced clearance, may take several days to develop.
5.2 Addiction, Abuse, and Misuse
DURAMORPH contains morphine, a Schedule II controlled substance. As an opioid, DURAMORPH exposes users to the risks of addiction, abuse, and misuse [see Drug Abuse and Dependence (9)].
Although the risk of addiction in any individual is unknown, it can occur in patients appropriately prescribed DURAMORPH. Addiction can occur at recommended dosages and if the drug is misused or abused. The risk of opioid-related overdose or overdose-related death is increased with higher opioid doses, and this risk persists over the course of therapy. In postmarketing studies, addiction, abuse, misuse and fatal and non-fatal opioid overdose were observed in patients with long-term opioid use [see Adverse Reactions (6.2)].
Assess each patient’s risk for opioid addiction, abuse, or misuse prior to prescribing DURAMORPH, and monitor all patients receiving DURAMORPH for the development of these behaviors and conditions. Risks are increased in patients with a personal or family history of substance abuse (including drug or alcohol abuse or addiction) or mental illness (e.g., major depression). The potential for these risks should not, however, prevent the proper management of pain in any given patient.
Patients at increased risk may be prescribed opioids such as DURAMORPH but use in such patients necessitates intensive counseling about the risks and proper use of DURAMORPH along with intensive monitoring for signs of addiction, abuse, and misuse.
Opioids are sought for nonmedical use and are subject to diversion from legitimate prescribed use. Consider these risks when prescribing or dispensing DURAMORPH. Strategies to reduce these risks include prescribing the drug in the smallest appropriate quantity.
Contact local state professional licensing board or state-controlled substances authority for information on how to prevent and detect abuse or diversion of this product.
17 Patient Counseling Information
Addiction, Abuse, and Misuse
Inform patients that the use of DURAMORPH, even when taken as recommended, can result in addiction, abuse, and misuse, which can lead to overdose and death [see Warnings and Precautions (5.2)].
Life-Threatening Respiratory Depression
Inform patients of the risk of life-threatening respiratory depression, including information that the risk is greatest when starting DURAMORPH or when the dosage is increased, and that it can occur even at recommended dosages [see Warnings and Precautions (5.3)].
Hyperalgesia and Allodynia
Advise patients to inform their healthcare provider if they experience symptoms of hyperalgesia, including worsening pain, increased sensitivity to pain, or new pain [see Warnings and Precautions (5.8), Adverse Reactions (6)].
Serotonin Syndrome
Inform patients that opioids could cause a rare but potentially life-threatening condition called serotonin syndrome resulting from concomitant administration of serotonergic drugs. Warn patients of thesymptoms of serotonin syndrome and to seek medical attention right away if symptoms develop after discharge from the hospital. Instruct patients to inform their physicians if they are taking, or plan to take serotonergic medications [see Drug Interactions (7)] .
Constipation
Advise patients of the potential for severe constipation, including management instructions and when to seek medical attention [see Adverse Reactions (6), Clinical Pharmacology (12.2)].
16 How Supplied/storage and Handling
DURAMORPH (morphine sulfate injection, USP) is a preservative-free solution, available as 5 mg/10 mL (0.5 mg/mL) and 10 mg/10 mL (1 mg/mL), in amber ampuls, for single use administration.
NDC 0641-6020-10 5 mg/10 mL (0.5 mg/mL) Single Use amber ampuls packaged in 10s
NDC 0641-6019-10 10 mg/10 mL (1 mg/mL) Single Use amber ampuls packaged in 10s
DURAMORPH is supplied in sealed ampuls. Accidental dermal exposure should be treated by the removal of any contaminated clothing and rinsing the affected area with water.
PROTECT FROM LIGHT. Keep stored in carton until time of use. Store at 20˚‑25˚C (68˚‑77˚F), excursions permitted to 15˚‑30˚C (59˚‑86˚F) [See USP Controlled Room Temperature]. DO NOT FREEZE. DURAMORPH contains no preservative or antioxidant. Each 10 mL ampul of DURAMORPH is intended for SINGLE USE ONLY. Discard any unused portion. Do not heat-sterilize.
To report SUSPECTED ADVERSE REACTIONS, contact Hikma Pharmaceuticals USA Inc. at 1-877-845-0689, or the FDA at 1-800-FDA-1088 or www.fda.gov/medwatch.
For Product Inquiry call 1-877-845-0689.
2.4 Dosage for Epidural Administration
Adult Dosage: Initial injection of 5 mg in the lumbar region may provide satisfactory pain relief for up to 24 hours. If adequate pain relief is not achieved within one hour, careful administration of incremental doses of 1 to 2 mg at intervals sufficient to assess effectiveness may be given. Do not administer more than 10 mg per 24 hours.
5.1 Risks With Neuraxial Administration
Control of pain by neuraxial opioid delivery is always accompanied by considerable risk to the patient and requires a high level of skill to be successfully accomplished. The task of treating these patients must be undertaken by experienced clinical teams, well-versed in patient selection, evolving technology and emerging standards of care.
In the case of epidural or intrathecal administration, DURAMORPH should be administered by or under the direction of a physician experienced in the techniques and familiar with the patient management problems associated with epidural or intrathecal drug administration. The physician should be familiar with patient conditions (such as infection at the injection site, bleeding diathesis, anticoagulant therapy, etc.) which call infection at the injection site, bleeding diathesis, anticoagulant therapy, etc.) which call for special evaluation of the benefit versus risk potential.
Because epidural administration has been associated with less potential for immediate or late adverse effects than intrathecal administration, the epidural route should be used whenever possible.
For safety reasons, it is recommended that administration of DURAMORPH by the epidural or intrathecal routes be limited to the lumbar area. Thoracic epidural administration has been shown to dramatically increase the incidence of early and late respiratory depression even with doses of 1 to 2 mg.
Because of the risk of severe adverse effects when the epidural or intrathecal route of administration is employed, patients must be observed in a fully equipped and staffed environment for at least 24 hours after the initial dose.
The facility must be equipped to resuscitate patients with severe opiate overdosage, and the personnel must be familiar with the use and limitations of specific opioid overdose reversal agents in (naloxone, naltrexone) in such cases.
Parenteral administration of narcotics in patients receiving epidural or intrathecal morphine may result in overdosage.
5.5 Neonatal Opioid Withdrawal Syndrome
Prolonged use of DURAMORPH during pregnancy can result in withdrawal in the neonate. Neonatal opioid withdrawal syndrome, unlike opioid withdrawal syndrome in adults, may be life threatening if not recognized and treated and requires management according to protocols developed by neonatology experts. Observe newborns for signs of neonatal opioid withdrawal syndrome and manage accordingly. Advise pregnant women using opioids for a prolonged period of the risk of neonatal opioid withdrawal syndrome and ensure that management by neonatology experts will be available at delivery [see Use in Specific Populations (8.1)].
5.18 Risks of Use in Ambulatory Patients
Patients with reduced circulating blood volume, impaired myocardial function or on sympatholytic drugs should be monitored for the possible occurrence of orthostatic hypotension, a frequent complication in single-dose neuraxial morphine analgesia.
2.3 Dosage for Intravenous Administration
Adult Dosage: The initial dose of morphine should be 2 mg to 10 mg/70 kg of body weight, and at the lowest dose necessary to achieve adequate analgesia. Titrate the dose based upon the individual patient’s response to their initial dose of DURAMORPH
2.5 Dosage for Intrathecal Administration
Adult Dosage: Intrathecal dosage is usually 1/10 that of epidural dosage. A single injection of 0.2 to 1 mg may provide satisfactory pain relief for up to 24 hours. (Caution: this is only 0.4 to 2 mL of the 5 mg/10 mL ampul or 0.2 to 1 mL of the 10 mg/10 mL ampul of DURAMORPH).
- Do not inject intrathecally more than 2 mL of the 5 mg/10 mL ampul or 1 mL of the 10 mg/10 mL ampul.
- Repeated intrathecal injections of DURAMORPH are not recommended. If pain recurs, consider alternative routes of administration
- A constant intravenous infusion of naloxone, 0.6 mg/hr, for 24 hours after intrathecal injection may be used to reduce the incidence of potential side effects.
5.3 Life Threatening Respiratory Depression
Serious, life threatening, or fatal respiratory depression has been reported with the use of opioids, even when used as recommended. Respiratory depression, if not immediately recognized and treated, may lead to respiratory arrest and death. Management of respiratory depression may include close observation, supportive measures, and use of opioid overdose reversal agents (e.g., naloxone, nalmefene), depending on the patient’s clinical status [see Overdosage (10)]. Carbon dioxide (CO) retention from opioid induced respiratory depression can exacerbate the sedating effects of opioids.
While serious, life threatening, or fatal respiratory depression can occur at any time during the use of DURAMORPH, the risk is greatest during the initiation of therapy or following a dosage increase. This respiratory depression and/or respiratory arrest may be severe and could require intervention.
- Because of delay in maximum CNS effect with intravenously administered drug (30 min), rapid administration may result in overdosing.
- Single-dose neuraxial administration may result in acute or delayed respiratory depression for periods at least as long as 24 hours.
- Severe respiratory depression up to 24 hours following epidural or intrathecal administration has been reported.
- Intrathecal use has been associated with a higher incidence of respiratory depression than epidural use.
- Thoracic administration has been shown to dramatically increase the incidence of early and late respiratory depression even at doses of 1 to 2 mg.
Because of the risk of severe adverse effects when the epidural or intrathecal route of administration is employed, patients must be observed in a fully equipped and staffed environment for at least 24 hours after the initial dose. The facility must be equipped to resuscitate patients with severe opiate overdosage, and the personnel must be familiar with the use and limitations of specific narcotic antagonists (naloxone, naltrexone) in such cases.
To reduce the risk of respiratory depression, proper dosing and titration of DURAMORPH are essential [see Dosage and Administration (2)]. Overestimating the DURAMORPH dosage can result in a fatal overdose with the first dose.
Opioids can cause sleep-related breathing disorders including central sleep apnea (CSA) and sleep-related hypoxemia. Opioid use increases the risk of CSA in a dose dependent fashion. In patients who present with CSA, consider decreasing the opioid dosage using best practices for opioid taper [see Dosage and Administration (2.6)]
5.14 Risks of Gastrointestinal Complications
DURAMORPH is contraindicated in patients with known or suspected gastrointestinal obstruction, including paralytic ileus.
The morphine in DURAMORPH may cause spasm of the sphincter of Oddi. Opioids may cause increases in serum amylase. Monitor patients with biliary tract disease, including acute pancreatitis for worsening symptoms. As significant morphine is released into the systemic circulation from neuraxial administration, the ensuing smooth muscle hypertonicity may result in biliary colic.
Cases of opioid-induced esophageal dysfunction (OIED) have been reported in patients taking opioids. The risk of OIED may increase as the dose and/or duration of opioids increases. Regularly evaluate patients for signs and symptoms of OIED (e.g., dysphagia, regurgitation, non-cardiac chest pain) and, if necessary, adjust opioid therapy as clinically appropriate [see Clinical Pharmacology (12.2)].
5.6 Risk of Tolerance and Myoclonic Activity
Patients sometimes manifest unusual acceleration of neuraxial morphine requirements, which may cause concern regarding systemic absorption and the hazards of large doses; these patients may benefit from hospitalization and detoxification. Two cases of myoclonic-like spasm of the lower extremities have been reported in patients receiving more than 20 mg/day of intrathecal morphine. After detoxification, it might be possible to resume treatment at lower doses, and some patients have been successfully changed from continuous epidural morphine to continuous intrathecal morphine. Repeat detoxification may be indicated at a later date. The upper daily dosage limit for each patient during continuing treatment must be individualized.
5.8 Opioid Induced Hyperalgesia and Allodynia
Opioid Induced Hyperalgesia (OIH) occurs when an opioid analgesic paradoxically causes an increase in pain, or an increase in sensitivity to pain. This condition differs from tolerance, which is the need for increasing doses of opioids to maintain a defined effect [see Dependence (9.3) ]. Symptoms of OIH include (but may not be limited to) increased levels of pain upon opioid dosage increase, decreased levels of pain upon opioid dosage decrease, or pain from ordinarily nonpainful stimuli (allodynia). These symptoms may suggest OIH only if there is no evidence of underlying disease progression, opioid tolerance, opioid withdrawal, or addictive behavior.
Cases of OIH have been reported, both with short-term and longer-term use of opioid analgesics. Though the mechanism of OIH is not fully understood, multiple biochemical pathways have been implicated. Medical literature suggests a strong biologic plausibility between opioid analgesics and OIH and allodynia. If a patient is suspected to be experiencing OIH, carefully consider appropriately decreasing the dose of the current opioid analgesic or opioid rotation (safely switching the patient to a different opioid moiety) [see Dosage and Administration (2.6), Warnings and Precautions (5.16)].
8.3 Females and Males of Reproductive Potential
Infertility
Use of opioids for an extended period of time may cause reduced fertility in females and males of reproductive potential. It is not known whether these effects on fertility are reversible [see Adverse Reactions (6), Clinical Pharmacology (12.2)].
In published animal studies, morphine administration adversely effected fertility and reproductive endpoints in male rats and prolonged estrus cycle in female rats [see Nonclinical Toxicology (13)].
5.10 Interaction With Monoamine Oxidase Inhibitors
Monoamine oxidase inhibitors (MAOIs) may potentiate the effects of morphine, including respiratory depression, coma, and confusion. DURAMORPH should not be used in patients taking MAOIs or within 14 days of stopping such treatment [see Drug Interactions (7)].
2.6 Safe Reduction and Discontinuation of Duramorph
When a patient who has been treated with a regimen of opioid analgesics including DURAMORPH regularly and may be physically dependent or no longer requires therapy with DURAMORPH, taper the dose gradually while monitoring carefully for signs and symptoms of withdrawal. If the patient develops these signs or symptoms, raise the dose to the previous level and taper more slowly, either by increasing the interval between decreases, decreasing the amount of change in dose, or both. Do not rapidly reduce or abruptly discontinue DURAMORPH in patients who may be physically dependant on opioids. [see Warnings and Precautions (5.16), Drug Abuse and Dependence (9.3)].
2.1 Important Dosage and Administration Instructions
Do Not Use DURAMORPH in Continuous Microinfusion Devices.
DURAMORPH should be administered by or under the direction of a physician experienced in the techniques of epidural or intrathecal administration and familiar with the patient management problems associated with epidural or intrathecal drug administration and the labeling, and should take place only in settings where adequate patient monitoring is possible.
- DURAMORPHshouldbeprescribedonlybyhealthcareprofessionalswhoareknowledgeable about the use of opioids and how to mitigate the associated risks.
- Because of the risk of delayed respiratory depression, patients should be observed in a fully equipped and staffed environment for at least 24 hours. Respiratory depression (both early and late onset)hasoccurredmorefrequentlyfollowingintrathecaladministrationthanepidural administration.
- Becauseepiduraladministrationhasbeenassociatedwithlesspotentialforimmediateorlate adverse effects than intrathecal administration, the epidural route should be used whenever possible.
- Forsafetyreasons,itisrecommendedthatadministrationofDURAMORPHbytheepiduralor intrathecal routes be limited to the lumbar area.
- Have resuscitative equipment and an opioid overdose reversal agent (e.g., naloxone, nalmefene) immediately available for the management of respiratory depression as well as complicationswhichmightresultfrominadvertentintrathecalorintravascularinjection(note: intrathecal dosage is usually 1/10 that of epidural dosage).
Epidural Administration
Verify proper placement of a needle or catheter in the epidural space before DURAMORPH is injected.
Acceptable techniques for verifying proper placement include: a) aspiration to check for absence of blood or cerebrospinal fluid, or b) administration of 5 mL (3 mL in obstetric patients) of 1.5% PRESERVATIVE-FREE Lidocaine and Epinephrine (1:200,000) Injection and then observe the patient for lack of tachycardia (this indicates that vascular injection has not been made) and lack of sudden onset of segmental anesthesia (this indicates that intrathecal injection has not been made).
Safety and Handling Instructions:
DURAMORPH is supplied in sealed ampuls. Accidental dermal exposure should be treated by the removal of any contaminated clothing and rinsing the affected area with water.
Inspect parenteral drug products for particulate matter and discoloration prior to administration, whenever solution and container permit. Do not use if color is darker than pale yellow, if it is discolored in any other way, or if it contains a precipitate.
DURAMORPH is intended for single use only. Protect from light, discard any unused portion. Do not heat-sterilize.
13.1 Carcinogenesis, Mutagenesis, Impairment of Fertility
Carcinogenesis
Long-term studies in animals to evaluate the carcinogenic potential of morphine have not been conducted.
Mutagenesis
No formal studies to assess the mutagenic potential of morphine have been conducted. In the published literature, morphine was found to be mutagenic in vitro increasing DNA fragmentation in human T-cells. Morphine was reported to be mutagenic in the in vivo mouse micronucleus assay and positive for the induction of chromosomal aberrations in mouse spermatids and murine lymphocytes. Mechanistic studies suggest that the in vivo clastogenic effects reported with morphine in mice may be related to increases in glucocorticoid levels produced by morphine in this species. In contrast to the above positive findings, in vitro studies in the literature have also shown that morphine did not induce chromosomal aberrations in human leukocytes or translocations or lethal mutations in Drosophila.
Impairment of Fertility
No formal nonclinical studies to assess the potential of morphine to impair fertility have been conducted.
Several nonclinical studies from the literature have demonstrated adverse effects on male fertility in the rat from exposure to morphine. One study in which male rats were administered morphine sulfate subcutaneously prior to mating (up to 30 mg/kg twice daily) and during mating (20 mg/kg twice daily) with untreated females, a number of adverse reproductive effects including reduction in total pregnancies and higher incidence of pseudopregnancies at 20 mg/kg/day (3.2 times the HDD) were reported.
Studies from the literature have also reported changes in hormonal levels in male rats (i.e., testosterone, luteinizing hormone) following treatment with morphine at 10 mg/kg/day or greater (1.6 times the HDD).
5.17 Risks of Use in Patients With Urinary System Disorders
Urinary retention, which may persist 10 to 20 hours following single epidural or intrathecal administration, is frequently associated with neuraxial opioid administration and must be anticipated, more frequently in male patients than female patients. Urinary retention may also occur during the first several days of hospitalization for the initiation of continuous intrathecal or epidural morphine therapy. Early recognition of difficulty in urination and prompt intervention in cases of urinary retention is indicated. Patients who develop urinary retention have responded to cholinomimetic treatment and/or judicious use of catheters.
Warning: Serious and Life Threatening Risks From Use of Duramorph
Risks with Neuraxial Administration
Single-dose neuraxial administration may result in acute or delayed respiratory depression up to 24 hours. Because of the risk of severe adverse reactions when DURAMORPH is administered by the epidural or intrathecal route of administration, patients must be observed in a fully equipped and staffed environment for at least 24 hours after the initial dose [see Warnings and Precautions (5.1)].
Addiction, Abuse, and Misuse
Because the use of DURAMORPH exposes patients and other users to the risks of opioid addiction, abuse, and misuse, which can lead to overdose and death, assess each patient’s risk prior to prescribing and reassess all patients regularly for the development of these behaviors and conditions [see Warnings and Precautions (5.2)].
Life-Threatening Respiratory Depression
Serious, life-threatening, or fatal respiratory depression may occur with use of DURAMORPH, especially during initiation or following a dosage increase. To reduce the risk of respiratory depression, proper dosing and titration of DURAMORPH are essential [see Warnings and Precautions (5.3)].
Risks From Concomitant Use With Benzodiazepines Or Other CNS Depressants
Concomitant use of opioids with benzodiazepines or other central nervous system (CNS) depressants, including alcohol, may result in profound sedation, respiratory depression, coma, and death. Reserve concomitant prescribing of DURAMORPH and benzodiazepines or other CNS depressants for use in patients for whom alternative treatment options are inadequate [see Warnings and Precautions (5.4), Drug Interactions (7)].
Neonatal Opioid Withdrawal Syndrome (NOWS)
Advise pregnant women using opioids for an extended period of time of the risk of Neonatal Opioid Withdrawal Syndrome, which may be life threatening if not recognized and treated. Ensure that management by neonatology experts will be available at delivery [see Warnings and Precautions (5.5)].
5.4 Risks From Concomitant Use With Benzodiazepines Or Other Cns Depressants
Profound sedation, respiratory depression, coma, and death may result from concomitant use of DURAMORPH with benzodiazepines and/or other CNS depressants, including alcohol (e.g., nonbenzodiazepine sedatives/ hypnotics, anxiolytics, tranquilizers, muscle relaxants, general anesthetics, antipsychotics, gabapentinoids [gabapentin or pregabalin], and other opioids). Because of these risks, reserve concomitant prescribing of these drugs for use in patients for whom alternative treatment options are inadequate.
Use of neuroleptics in conjunction with neuraxial morphine may increase the risk of respiratory depression.
Observational studies have demonstrated that concomitant use of opioid analgesics and benzodiazepines increases the risk of drug related mortality compared to use of opioid analgesics alone. Because of similar pharmacological properties, it is reasonable to expect similar risk with the concomitant use of other CNS depressant drugs with opioid analgesics [see Drug Interactions (7)].
If the decision is made to prescribe a benzodiazepine or other CNS depressant concomitantly with an opioid analgesic, prescribe the lowest effective dosages and minimum durations of concomitant use. In patients already receiving an opioid analgesic, prescribe a lower initial dose of the benzodiazepine or other CNS depressant than indicated in the absence of an opioid, and titrate based on clinical response. If an opioid analgesic is initiated in a patient already taking a benzodiazepine or other CNS depressant, prescribe a lower initial dose of the opioid analgesic, and titrate based on clinical response. Monitor patients closely for signs and symptoms of respiratory depression and sedation.
5.13 Risks of Use in Patients With Increased Intracranial Pressure, Brain Tumors, Head Injury, Or Impaired Consciousness
In patients who may be susceptible to the intracranial effects of CO2 retention (e.g., those with evidence of increased intracranial pressure or brain tumors), DURAMORPH may reduce respiratory drive, and the resultant CO2 retention can further increase intracranial pressure. Monitor such patients for signs of sedation and respiratory depression, particularly when initiating therapy with DURAMORPH. DURAMORPH should be used with extreme caution in patients with head injury or increased intracranial pressure. Pupillary changes (miosis) from morphine may obscure the existence, extent and course of intracranial pathology. High doses of neuraxial morphine may produce myoclonic events [see Warnings and Precautions (5.6)]. Clinicians should maintain a high index of suspicion for adverse drug reactions when evaluating altered mental status or movement abnormalities in patients receiving this modality of treatment.
Opioids may also obscure the clinical course in a patient with a head injury. Avoid the use of DURAMORPH in patients with impaired consciousness or coma.
5.9 Life Threatening Respiratory Depression in Patients With Chronic Pulmonary Disease Or in Elderly, Cachectic, Or Debilitated Patients
The use of DURAMORPH in patients with acute or severe bronchial asthma in an unmonitored setting or in the absence of resuscitative equipment is contraindicated.
Patients with Chronic Pulmonary Disease: Patients with significant chronic obstructive pulmonary disease or cor pulmonale, and those with a substantially decreased respiratory reserve, hypoxia, hypercapnia, or pre-existing respiratory depression are at increased risk of decreased respiratory drive including apnea, even at recommended doses of DURAMORPH [see Warnings and Precautions (5.3)].
Elderly, Cachectic, or Debilitated Patients: Life-threatening respiratory depression is more likely to occur in elderly, cachectic, or debilitated patients because they may have altered pharmacokinetics or altered clearance compared to younger, healthier patients [see Warnings and Precautions (5.3)].
Monitor such patients closely, particularly when initiating and titrating DURAMORPH and when DURAMORPH is given concomitantly with other drugs that depress respiration [see Warnings and Precautions (5.3, 5.4), Drug Interactions (7)]. Alternatively, consider the use of non-opioid analgesics in these patients.
Structured Label Content
Section 42229-5 (42229-5)
Manufactured by:
Hikma Pharmaceuticals USA Inc.
Berkeley Heights, NJ 07922
462-212-08
9.2 Abuse
DURAMORPH contains morphine, a substance with high potential for misuse and abuse, which can lead to the development of substance use disorder, including addiction [see Warnings and Precautions (5.2)].
Misuse is the intentional use, for therapeutic purposes, of a drug by an individual in a way other than prescribed by a healthcare provider or for whom it was not prescribed.
Abuse is the intentional, nontherapeutic use of a drug, even once, for its desirable psychological or physiological effects.
Drug addiction is a cluster of behavioral, cognitive, and physiological phenomena that may include a strong desire to take the drug, difficulties in controlling drug use (e.g., continuing drug use despite harmful consequences, giving a higher priority to drug use than other activities and obligations), and possible tolerance or physical dependence.
Misuse and abuse of DURAMORPH increases risk of overdose, which may lead to central nervous system and respiratory depression, hypotension, seizures, and death. The risk is increased with concurrent abuse of DURAMORPH with alcohol and/or other CNS depressants. Abuse of and addiction to opioids in some individuals may not be accompanied by concurrent tolerance and symptoms of physical dependence. In addition, abuse of opioids can occur in the absence of addiction.
All patients treated with opioids require careful and frequent reevaluation for signs of misuse, abuse, and addiction, because use of opioid analgesic products carries the risk of addiction even under appropriate medical use. Patients at high risk of DURAMORPH abuse include those with a history of prolonged use of any opioid, including products containing morphine, those with a history of drug or alcohol abuse, or those who use DURAMORPH in combination with other abused drugs.
“Drug-seeking” behavior is very common in persons with substance use disorders. Drug seeking tactics include emergency calls or visits near the end of office hours, refusal to undergo appropriate examination, testing, or referral, repeated “loss” of prescriptions, tampering with prescriptions, and reluctance to provide prior medical records or contact information for other treating healthcare provider(s). “Doctor shopping” (visiting multiple prescribers to obtain additional prescriptions) is common among people who abuse drugs and people with substance use disorder. Preoccupation with achieving adequate pain relief can be appropriate behavior in a patient with inadequate pain control.
DURAMORPH, like other opioids, can be diverted for nonmedical use into illicit channels of distribution. Careful recordkeeping of prescribing information, including quantity, frequency, and renewal requests, as required by state and federal law, is strongly advised.
Proper assessment of the patient, proper prescribing practices, periodic reevaluation of therapy, and proper dispensing and storage are appropriate measures that help to limit abuse of opioid drugs.
Risks Specific to Abuse of DURAMORPH
Abuse of DURAMORPH poses a risk of overdose and death. The risk is increased with concurrent use of DURAMORPH with alcohol and/or other CNS depressants.
Parenteral drug abuse is commonly associated with transmission of infectious diseases such as hepatitis and HIV.
10 Overdosage (10 OVERDOSAGE)
Clinical Presentation
Acute overdose with morphine can be manifested by respiratory depression, somnolence progressing to stupor or coma, skeletal muscle flaccidity, cold and clammy skin, constricted pupils, and, in some cases, pulmonary edema, bradycardia, hypotension, hypoglycemia, partial or complete airway obstruction, atypical snoring, and death. Marked mydriasis rather than miosis may be seen with hypoxia in overdose situations [see Clinical Pharmacology (12.2)]. Toxic leukoencephalopathy has been reported after opioid overdose and can present hours, days, or weeks after apparent recovery from the initial intoxication.
Treatment of Overdose
In case of overdose, priorities are the reestablishment of a patent and protected airway and institution of assisted or controlled ventilation, if needed. Employ other supportive measures (including oxygen and vasopressors) in the management of circulatory shock and pulmonary edema as indicated. Cardiac arrest or arrhythmias will require advanced life-support measures.
For clinically significant respiratory or circulatory depression secondary to morphine overdose, administer an opioid overdose reversal agent such as naloxone or nalmefene.
As the duration of effect of naloxone is considerably shorter than that of epidural or intrathecal morphine, repeated administration may be necessary. Patients should be closely observed for evidence of renarcotization.
Because the duration of opioid reversal is expected to be less than the duration of action of morphine in DURAMORPH, particularly with epidural or intrathecal morphine, carefully monitor the patient until spontaneous respiration is reliably reestablished. If the response to an opioid overdose reversal agent is suboptimal or only brief in nature, administer additional reversal agent as directed by the product’s prescribing information.
In an individual physically dependent on opioids, administration of the recommended usual dosage of the opioid overdose reversal agent will precipitate an acute withdrawal syndrome. The severity of the withdrawal symptoms experienced will depend on the degree of physical dependence and the dose of the reversal agent administered. If a decision is made to treat serious respiratory depression in the physically-dependent patient, administration of the reversal agent should be initiated with care and by titration with smaller than usual doses of the reversal agent.
8.1 Pregnancy
Risk Summary
Use of opioid analgesics for an extended period of time during pregnancy may cause neonatal opioid withdrawal syndrome [see Warnings and Precautions (5.5)]. Available data with DURAMORPH in pregnant women are insufficient to inform a drug-associated risk for major birth defects and miscarriage. There are adverse outcomes reported with fetal exposure to opioid analgesics (see Clinical Considerations). Published studies with morphine use during pregnancy have not reported a clear association with morphine and major birth defects [see Human Data]. In published animal reproduction studies, morphine administered subcutaneously during the early gestational period produced neural tube defects (i.e., exencephaly and cranioschisis) at 5 and 16 times the human daily dose of 60 mg based on body surface area (HDD) in hamsters and mice, respectively, lower fetal body weight and increased incidence of abortion at 0.4 times the HDD in the rabbit, growth retardation at 6 times the HDD in the rat, and axial skeletal fusion and cryptorchidism at 16 times the HDD in the mouse. Administration of morphine sulfate to pregnant rats during organogenesis and through lactation resulted in cyanosis, hypothermia, decreased brain weights, pup mortality, decreased pup body weights, and adverse effects on reproductive tissues at 3-4 times the HDD; and long-term neurochemical changes in the brain of offspring which correlate with altered behavioral responses that persist through adulthood at exposures comparable to and less than the HDD [see Animal Data]. Based on animal data, advise pregnant women of the potential risk to a fetus.
The background risk of major birth defects and miscarriage for the indicated population is unknown. All pregnancies have a background risk of birth defect, loss, or other adverse outcomes. In the U.S. general population, the estimated background risk of major birth defects and miscarriage in clinically recognized pregnancies is 2 to 4% and 15 to 20%, respectively.
Clinical Considerations
Fetal/Neonatal Adverse Reactions
Use of opioid analgesics for an extended period of time during pregnancy for medical or nonmedical purposes can result in physical dependence in the neonate and neonatal opioid withdrawal syndrome shortly after birth. Neonatal opioid withdrawal syndrome presents as irritability, hyperactivity and abnormal sleep pattern, high pitched cry, tremor, vomiting, diarrhea, and failure to gain weight. The onset, duration, and severity of neonatal opioid withdrawal syndrome vary based on the specific opioid used, duration of use, timing and amount of last maternal use, and rate of elimination of the drug by the newborn. Observe newborns for symptoms of neonatal opioid withdrawal syndrome and manage accordingly [see Warnings and Precautions (5.5)].
Labor or Delivery
Opioids cross the placenta and may produce respiratory depression and psychophysiologic effects in neonates. An opioid overdose reversal agent, such as naloxone or nalmefene, must be available for reversal of opioid induced respiratory depression in the neonate. DURAMORPH is not recommended for use in women during and immediately prior to labor, when use of shorter-acting analgesics or other analgesic techniques are more appropriate. Opioid analgesics, including DURAMORPH, can prolong labor through actions that temporarily reduce the strength, duration, and frequency of uterine contractions. However, this effect is not consistent and may be offset by an increased rate of cervical dilatation, which tends to shorten labor. Monitor neonates exposed to opioid analgesics during labor for signs of excess sedation and respiratory depression.
Data
Human Data
The results from a population-based prospective cohort, including 70 women exposed to morphine during the first trimester of pregnancy and 448 women exposed to morphine at any time during pregnancy, indicate no increased risk for congenital malformations. However, these studies cannot definitely establish the absence of any risk because of methodological limitations, including small sample size and nonrandomized study design.
Animal Data
Formal reproductive and developmental toxicology studies for morphine have not been conducted. Exposure margins for the following published study reports are based on human daily dose of 60 mg morphine using a body surface area comparison (HDD).
Neural tube defects (exencephaly and cranioschisis) were noted following subcutaneous administration of morphine sulfate (35-322 mg/kg) on Gestation Day 8 to pregnant hamsters (4.7 to 43.5 times the HDD). A no adverse effect level was not defined in this study and the findings cannot be clearly attributed to maternal toxicity. Neural tube defects (exencephaly), axial skeletal fusions, and cryptorchidism were reported following a single subcutaneous (SC) injection of morphine sulfate to pregnant mice (100-500 mg/kg) on Gestation Day 8 or 9 at 200 mg/kg or greater (16 times the HDD) and fetal resorption at 400 mg/kg or higher (32 times the HDD). No adverse effects were noted following 100 mg/kg morphine in this model (8 times the HDD). In one study, following continuous subcutaneous infusion of doses greater than or equal to 2.72 mg/kg to mice (0.2 times the HDD), exencephaly, hydronephrosis, intestinal hemorrhage, split supraoccipital, malformed sternebrae, and malformed xiphoid were noted. The effects were reduced with increasing daily dose; possibly due to rapid induction of tolerance under these infusion conditions. The clinical significance of this report is not clear.
Decreased fetal weights were observed in pregnant rats treated with 20 mg/kg/day morphine sulfate (3.2 times the HDD) from Gestation Day 7 to 9. There was no evidence of malformations despite maternal toxicity (10% mortality). In a second rat study, decreased fetal weight and increased incidences of growth retardation were noted at 35 mg/kg/day (5.7 times the HDD) and there was a reduced number of fetuses at 70 mg/kg/day (11.4 times the HDD) when pregnant rats were treated with 10, 35, or 70 mg/kg/day morphine sulfate via continuous infusion from Gestation Day 5 to 20. There was no evidence of fetal malformations or maternal toxicity.
An increased incidence of abortion was noted in a study in which pregnant rabbits were treated with 2.5 (0.8 times the HDD) to 10 mg/kg morphine sulfate via subcutaneous injection from Gestation Day 6 to 10. In a second study, decreased fetal body weights were reported following treatment of pregnant rabbits with increasing doses of morphine (10-50 mg/kg/day) during the pre-mating period and 50 mg/kg/day (16 times the HDD) throughout the gestation period. No overt malformations were reported in either publication; although only limited endpoints were evaluated.
In published studies in rats, exposure to morphine during gestation and/or lactation periods is associated with: decreased pup viability at 12.5 mg/kg/day or greater (2 times the HDD); decreased pup body weights at 15 mg/kg/day or greater (2.4 times the HDD); decreased litter size, decreased absolute brain and cerebellar weights, cyanosis, and hypothermia at 20 mg/kg/day (3.2 times the HDD); alteration of behavioral responses (play, social-interaction) at 1 mg/kg/day or greater (0.2 times the HDD); alteration of maternal behaviors (e.g., decreased nursing and pup retrievals) in mice at 1 mg/kg or higher (0.08 times the HDD) and rats at 1.5 mg/kg/day or higher (0.2 times the HDD); and a host of behavioral abnormalities in the offspring of rats, including altered responsiveness to opioids at 4 mg/kg/day (0.7 times the HDD) or greater.
Fetal and/or postnatal exposure to morphine in mice and rats has been shown to result in morphological changes in fetal and neonatal brain and neuronal cell loss, alteration of a number of neurotransmitter and neuromodulator systems, including opioid and nonopioid systems, and impairment in various learning and memory tests that appear to persist into adulthood. These studies were conducted with morphine treatment usually in the range of 4 to 20 mg/kg/day (0.7 to 3.2 times the HDD).
Additionally, delayed sexual maturation and decreased sexual behaviors in female offspring at 20 mg/kg/day (3.2 times the HDD), and decreased plasma and testicular levels of luteinizing hormone and testosterone, decreased testes weights, seminiferous tubule shrinkage, germinal cell aplasia, and decreased spermatogenesis in male offspring were also observed at 20 mg/kg/day (3.2 times the HDD). Decreased litter size and viability were observed in the offspring of male rats that were intraperitoneally administered morphine sulfate for 1 day prior to mating at 25 mg/kg/day (4.1 times the HDD) and mated to untreated females. Decreased viability and body weight and/or movement deficits in both first and second generation offspring were reported when male mice were treated for 5 days with escalating doses of 120 to 240 mg/kg/day morphine sulfate (9.7 to 19.5 times the HDD) or when female mice treated with escalating doses of 60 to 240 mg/kg/day (4.9 to 19.5 times the HDD) followed by a 5- day treatment-free recovery period prior to mating. Similar multigenerational findings were also seen in female rats pre-gestationally treated with escalating doses of 10 to 22 mg/kg/day morphine (1.6 to 3.6 times the HDD).
8.2 Lactation
Risk Summary
Morphine is present in breast milk. Published lactation studies report variable concentrations of morphine in breast milk with administration of immediate-release morphine to nursing mothers in the early postpartum period with a milk-to-plasma morphine AUC ratio of 2.5:1 measured in one lactation study. However, there is insufficient information to determine the effects of morphine on the breastfed infant and the effects of morphine on milk production. Lactation studies have not been conducted with DURAMORPH, and no information is available on the effects of the drug on the breastfed infant or the effects of the drug on milk production.
The developmental and health benefits of breastfeeding should be considered along with the mother’s clinical need for DURAMORPH and any potential adverse effects on the breastfed infant from DURAMORPH or from the underlying maternal condition.
Clinical Considerations
Monitor infants exposed to DURAMORPH through breast milk for excess sedation and respiratory depression. Withdrawal symptoms can occur in breastfed infants when maternal administration of morphine is stopped, or when breastfeeding is stopped.
11 Description (11 DESCRIPTION)
DURAMORPH (morphine sulfate injection) is an opioid agonist, available as a sterile, nonpyrogenic isobaric solution of morphine sulfate in strengths of 0.5 mg or 1 mg morphine sulfate per mL, free of antioxidants, preservatives or other potentially neurotoxic additives, and is intended for intravenous, epidural, or intrathecal administration. Morphine is the most important alkaloid of opium and is a phenanthrene derivative. It is available as the sulfate salt, chemically identified as 7,8-Didehydro-4,5-epoxy-17-methyl-(5α,6α)-morphinan-3,6-diol sulfate (2:1) (salt), pentahydrate, with the following structural formula:
(C17H19NO3)2 • H2SO4 • 5H2O Molecular Weight is 758.83
Morphine sulfate USP is an odorless, white crystalline powder with a bitter taste. It has a solubility of 1 in 21 parts of water and 1 in 1000 parts of alcohol, but is practically insoluble in chloroform or ether.
The octanol:water partition coefficient of morphine is 1.42 at physiologic pH and the pKa is 7.9 for the tertiary nitrogen (the majority is ionized at pH 7.4).
Each mL of DURAMORPH contains morphine sulfate, USP 0.5 mg (5 mg/10 mL) or 1 mg (10 mg/10 mL) and sodium chloride 9 mg in Water for Injection. The pH range is 2.5 – 6.5. Contains no preservative. Each 10 mL ampul of DURAMORPH is intended for SINGLE USE ONLY.
9.3 Dependence
Both tolerance and physical dependence can develop during use of opioid therapy.
Tolerance is a physiological state characterized by a reduced response to a drug after repeated administration (i.e., a higher dose of a drug is required to produce the same effect that was once obtained at a lower dose).
Physical dependence is a state that develops as a result of a physiological adaptation in response to repeated drug use, manifested by withdrawal signs and symptoms after abrupt discontinuation or a significant dose reduction of a drug.
Withdrawal may be precipitated through the administration of drugs with opioid antagonist activity (e.g., naloxone, nalmefene), mixed agonist/antagonist analgesics (e.g., pentazocine, butorphanol, nalbuphine), or partial agonists (e.g., buprenorphine). Physical dependence may not occur to a clinically significant degree until after several days to weeks of continued use.
DURAMORPH should not be rapidly reduced or abruptly discontinued in a physically dependent patient [see Dosage and Administration (2.6 ) ]. If DURAMORPH is rapidly reduced or abruptly discontinued in a physically dependent patient, a withdrawal syndrome may occur, typically characterized by restlessness, lacrimation, rhinorrhea, perspiration, chills, myalgia, and mydriasis. Other signs and symptoms also may develop, including irritability, anxiety, backache, joint pain, weakness, abdominal cramps, insomnia, nausea, anorexia, vomiting, diarrhea, or increased blood pressure, respiratory rate, or heart rate.
Infants born to mothers physically dependent on opioids will also be physically dependent and may exhibit respiratory difficulties and withdrawal signs [see Use in Specific Populations (8.1)].
5.16 Withdrawal
Avoid the use of mixed agonist/antagonist (e.g., pentazocine, nalbuphine, and butorphanol) or partial agonist (e.g., buprenorphine) analgesics in patients who are receiving a full opioid agonist analgesic, including DURAMORPH. In these patients, mixed agonist/antagonist and partial agonist analgesics may reduce the analgesic effect and/or precipitate withdrawal symptoms [see Drug Interactions (7)].
When discontinuing DURAMORPH, gradually taper the dosage [see Dosage and Administration (2.6)]. Do not rapidly reduce or abruptly discontinue DURAMORPH [see Drug Abuse and Dependence (9.3)].
8.4 Pediatric Use
Adequate studies to establish the safety and effectiveness of spinal morphine in pediatric patients have not been performed, and usage in this population is not recommended.
8.5 Geriatric Use
Elderly patients (aged 65 years or older) may have increased sensitivity to DURAMORPH. In general, use caution when selecting a dosage for an elderly patient, usually starting at the low end of the dosing range, reflecting the greater frequency of decreased hepatic, renal, or cardiac function and of concomitant disease or other drug therapy.
Respiratory depression is the chief risk for elderly patients treated with opioids, and has occurred after large initial doses were administered to patients who were not opioid tolerant or when opioids were co-administered with other agents that depress respiration. Titrate the dosage of DURAMORPH slowly in geriatric patients and monitor closely for signs of central nervous system and respiratory depression [see Warnings and Precautions (5.9)].
The pharmacodynamic effects of neuraxial morphine in the elderly are more variable than in the younger population. Patients will vary widely in the effective initial dose, rate of development of tolerance and the frequency and magnitude of associated adverse effects as the dose is increased. Initial doses should be based on careful clinical observation following “test doses”, after making due allowances for the effects of the patient’s age and infirmity on his/her ability to clear the drug, particularly in patients receiving epidural morphine.
Morphine is known to be substantially excreted by the kidney, and the risk of adverse reactions to this drug may be greater in patients with impaired renal function. Because elderly patients are more likely to have decreased renal function, care should be taken in dose selection, and it may be useful to monitor renal function.
2.2 Initial Dosage
The starting dose of DURAMORPH must be individualized.
- Use the lowest effective dosage for the shortest duration of time consistent with individual patient treatment goals [see Warnings and Precautions (5)]. Because the risk of overdose increases as opioid doses increase, reserve titration to higher doses of DURAMORPH for patients in whom lower doses are insufficiently effective and in whom the expected benefits of using a higher dose opioid clearly outweigh the substantial risks.
- Many acute pain conditions (e.g., the pain that occurs with a number of surgical procedures or acute musculoskeletal injuries) require no more than a few days of an opioid analgesic. Clinical guidelines on opioid prescribing for some acute pain conditions are available.
- There is variability in the opioid analgesic dose and duration needed to adequately manage pain due both to the cause of pain and to individual patient factors. Initiate the dosing regimen for each patient individually, taking into account the patient’s underlying cause and severity of pain, prior analgesic treatment and response, and risk factors for addiction, abuse, and misuse [see Warnings and Precautions (5.2)].
- Respiratory depression can occur at any time during opioid therapy, especially when initiating and following dosage increases with DURAMORPH. Consider this risk when selecting an initial dose and when making dose adjustments [see Warnings and Precautions (5)].
4 Contraindications (4 CONTRAINDICATIONS)
DURAMORPH is contraindicated in patients with:
- Significant respiratory depression [see Warnings and Precautions (5.3)]
- Acute or severe bronchial asthma in an unmonitored setting or in the absence of resuscitative equipment [see Warnings and Precautions (5.9)]
- Concurrent use of monoamine oxidase inhibitors (MAOIs) or use of MAOIs within the last 14 days [see Warnings and Precautions (5.10), Drug Interactions (7)]
- Known or suspected gastrointestinal obstruction, including paralytic ileus [see Warnings and Precautions (5.14)]
- Hypersensitivity to morphine (e.g., anaphylaxis) [see Adverse Reactions (6)]
Neuraxial administration of DURAMORPH is contraindicated in patients with:
- Infection at the injection microinfusion site [see Warnings and Precautions (5.1)]
- Concomitant anticoagulant therapy [see Warnings and Precautions (5.1)]
- Uncontrolled bleeding diathesis [see Warnings and Precautions (5.1)]
- The presence of any other concomitant therapy or medical condition which would render epidural or intrathecal administration of medication especially hazardous.
6 Adverse Reactions (6 ADVERSE REACTIONS)
The following serious adverse reactions are described, or described in greater detail, in other sections:
- Addiction, Abuse, and Misuse [see Warnings and Precautions (5.2)]
- Life-Threatening Respiratory Depression [see Warnings and Precautions (5.3)]
- Interactions with Benzodiazepines or Other CNS Depressants [see Warnings and Precautions (5.4)]
- Neonatal Opioid Withdrawal Syndrome [see Warnings and Precautions (5.5)]
- Myoclonic Activity [see Warnings and Precautions (5.6)]
- Opioid-Induced Hyperalgesia and Allodynia [see Warnings and Precautions (5.8)]
- Adrenal Insufficiency [see Warnings and Precautions (5.11)]
- Severe Hypotension [see Warnings and Precautions (5.12)]
- Gastrointestinal Adverse Reactions [see Warnings and Precautions (5.14)]
- Seizures[see Warnings and Precautions (5.15)]
- Withdrawal[see Warnings and Precautions (5.16)]
- Urinary Retention [seeWarnings and Precautions (5.17)]
- Orthostatic Hypotension [see Warnings and Precautions (5.18)]
The following adverse reactions associated with the use of morphine were identified in clinical studies or postmarketing reports. Because some of these reactions were reported voluntarily from a population of uncertain size, it is not always possible to reliably estimate their frequency or establish a causal relationship to drug exposure.
The most serious adverse reactions encountered during administration of DURAMORPH were respiratory depression and/or respiratory arrest.
Cardiovascular System: While low doses of intravenously administered morphine have little effect on cardiovascular stability, high doses are excitatory, resulting from sympathetic hyperactivity and increase in circulating catecholamines.
Central Nervous System: myoclonus, seizures, dysphoric reactions, toxic psychosis, dizziness, euphoria, anxiety, confusion, headache. Lumbar puncture-type headache is encountered in a significant minority of cases for several days following intrathecal catheter implantation and generally responds to bed rest and/or other conventional therapy.
Gastrointestinal System: Nausea, vomiting, constipation
Skin: Generalized pruritus, urticaria, wheals, and/or local tissue irritation. Single-dose epidural or intrathecal administration is accompanied by a high incidence of dose-related generalized pruritus.
Urinary System: Urinary retention, oliguria.
Peripheral edema: There are several reports of peripheral edema
Other: Other adverse reactions reported following morphine therapy include depression of cough reflex, interference with thermal regulation, peripheral edema.
Serotonin syndrome: Cases of serotonin syndrome, a potentially life-threatening condition, have been reported during concomitant use of opioids with serotonergic drugs.
Adrenal insufficiency: Cases of adrenal insufficiency have been reported with opioid use, more often following greater than one month of use.
Anaphylaxis: Anaphylaxis has been reported with ingredients contained in DURAMORPH.
Androgen deficiency: Cases of androgen deficiency have occurred with use of opioids for an extended period of time. [see Clinical Pharmacology (12.2)].
Hyperalgesia and Allodynia: Cases of hyperalgesia and allodynia have been reported with opioid therapy of any duration [see Warnings and Precautions (5.8)].
Hypoglycemia: Cases of hypoglycemia have been reported in patients taking opioids. Most reports were in patients with at least one predisposing risk factor (e.g., diabetes).
Opioid-induced esophageal dysfunction (OIED): Cases of OIED have been reported in patients taking opioids and may occur more frequently in patients taking higher doses of opioids, and/or in patients taking opioids longer term [see Warnings and Precautions (5.14)].
Adverse Reactions from Observational Studies
A prospective, observational cohort study estimated the risks of addiction, abuse, and misuse in patients initiating long-term use of Schedule II opioid analgesics between 2017 and 2021. Study participants included in one or more analyses had been enrolled in selected insurance plans or health systems for at least one year, were free of at least one outcome at baseline, completed a minimum number of follow-up assessments, and either: 1) filled multiple extended-release/long-acting opioid analgesic prescriptions during a 90-day period (n=978); or 2) filled any Schedule II opioid analgesic prescriptions covering at least 70 of 90 days (n=1,244). Those included also had no dispensing of the qualifying opioids in the previous 6 months.
Over 12 months:
- approximately 1% to 6% of participants across the two cohorts newly met criteria for addiction, as assessed with two validated interview-based measures of moderate-to-severe opioid use disorderbasedonDiagnosticandStatisticalManualofMentalDisorders,FifthEdition(DSM-5) criteria, and
- approximately9%and22%ofparticipantsacrossthetwocohortsnewlymetcriteriafor prescription opioid abuse and misuse [defined in Drug Abuse and Dependence (9.2)] , respectively, as measured with a validated self-reported instrument.
A retrospective, observational cohort study estimated the risk of opioidinvolved overdose or opioid overdose-related death in patients with new long-term use of Schedule II opioid analgesics from 2006 through 2016 (n=220,249). Included patients had been enrolled in either one of two commercial insurance programs, one managed care program, or one Medicaid program for at least 9 months. New long-term use was defined as having Schedule II opioid analgesic prescriptions covering at least 70 days’ supply over the 3 months prior to study entry and none during the preceding 6 months. Patients were excluded if they had an opioid-involved overdose in the 9 months prior to study entry. Overdose was measured using a validated medical code-based algorithm with linkage to the National Death Index database. The 5-year cumulative incidence estimates for opioid-involved overdose or opioid overdose-related death ranged from approximately 1.5% to 4% across study sites, counting only the first event during follow-up. Approximately 17% of first opioid overdoses observed over the entire study period (5-11 years, depending on the study site) were fatal. Higher baseline opioid dose was the strongest and most consistent predictor of opioid-involved overdose or opioid overdose-related death. Study exclusion criteria may have selected patients at lower risk of overdose, and substantial loss to follow-up (approximately 80%) also may have biased estimates.
The risk estimates from the studies described above may not be generalizable to all patients receiving opioid analgesics, such as those with exposures shorter or longer than the duration evaluated in the studies.
7 Drug Interactions (7 DRUG INTERACTIONS)
Table 1 includes clinically significant drug interactions with DURAMORPH.
Table 1 Clinically Significant Drug Interactions with DURAMORPH
|
Benzodiazepines and Other Central Nervous System (CNS) Depressants |
|
|
Clinical Impact: |
Due to additive pharmacologic effect, the concomitant use of benzodiazepines or other CNS depressants, including alcohol, can increase the risk of hypotension, respiratory depression, profound sedation, coma, and death. The depressant effects of morphine are potentiated by the presence of other CNS depressants. Use of neuroleptics in conjunction with neuraxial morphine may increase the risk of respiratory depression [see Warnings and Precautions (5.4)]. |
|
Intervention: |
Reserve concomitant prescribing of these drugs for use in patients for whom alternative treatment options are inadequate. Limit dosages and durations to the minimum required. Monitor closely for signs of respiratory depression and sedation [see Warnings and Precautions (5.4)]. |
|
Examples: |
Benzodiazepines and other sedatives/hypnotics, anxiolytics, tranquilizers, muscle relaxants, general anesthetics, antipsychotics, psychotropic drugs, antihistamines, neuroleptics, gabapentinoids (gabapentin or pregabalin), other opioids, alcohol. |
|
Serotonergic Drugs |
|
|
Clinical Impact: |
The concomitant use of opioids with other drugs that affect the serotonergic neurotransmitter system has resulted in serotonin syndrome. |
|
Intervention: |
If concomitant use is warranted, carefully observe the patient, particularly during treatment initiation and dose adjustment. Discontinue DURAMORPH if serotonin syndrome is suspected. |
|
Examples: |
Selective serotonin reuptake inhibitors (SSRIs), serotonin and norepinephrine reuptake inhibitors (SNRIs), tricyclic antidepressants (TCAs), triptans, 5-HT3 receptor antagonists, drugs that effect the serotonin neurotransmitter system (e.g., mirtazapine, trazodone, tramadol), certain muscle relaxants (i.e., cyclobenzaprine, metaxalone), monoamine oxidase inhibitors (those intended to treat psychiatric disorders and also others, such as linezolid and intravenous methylene blue). |
|
Monoamine Oxidase Inhibitors (MAOIs) |
|
|
Clinical Impact: |
MAOI interactions with opioids may manifest as serotonin syndrome or opioid toxicity (e.g., respiratory depression, coma) [see Warnings and Precautions (5.10)]. |
| Do not use DURAMORPH in patients taking MAOIs or within 14 days of stopping such treatment. | |
|
Intervention: |
If urgent use of an opioid is necessary, use test doses and frequent titration of small doses of other opioids (such as oxycodone, hydromorphone, oxymorphone, hydrocodone, or buprenorphine) to treat pain while closely monitoring blood pressure and signs and symptoms of CNS and respiratory depression. |
|
Examples: |
phenelzine, tranylcypromine, linezolid |
|
Mixed Agonist/Antagonist and Partial Agonist Opioid Analgesics |
|
|
Clinical Impact: |
Clinical Impact: May reduce the analgesic effect of DURAMORPH and/or precipitate withdrawal symptoms. |
|
Intervention: |
Avoid concomitant use. |
|
Examples: |
Butorphanol, nalbuphine, pentazocine, buprenorphine. |
|
Muscle Relaxants |
|
|
Clinical Impact: |
Morphine may enhance the neuromuscular blocking action of skeletal muscle relaxants and produce an increased degree of respiratory depression. |
|
Intervention: |
Monitor patients for signs of respiratory depression that may be greater than otherwise expected and decrease the dosage of DURAMORPH and/or the muscle relaxant as necessary. |
|
Diuretics |
|
|
Clinical Impact: |
Opioids can reduce the efficacy of diuretics by inducing the release of antidiuretic hormone. |
|
Intervention: |
Monitor patients for signs of diminished diuresis and/or effects on blood pressure and increase the dosage of the diuretic as needed. |
|
Anticholinergic Drugs |
|
|
Clinical Impact: |
The concomitant use of anticholinergic drugs may increase risk of urinary retention and/or severe constipation, which may lead to paralyticileus. |
|
Intervention: |
Monitor patients for signs of urinary retention or reduced gastric motility when DURAMORPH is used concomitantly with anticholinergic drugs. |
|
Oral P2Y12 Inhibitors |
|
|
Clinical Impact: |
The co-administration of oral P2Y12 inhibitors and intravenous morphine sulfate can decrease the absorption and peak concentration of oral P2Y12 inhibitors and delay the onset of the antiplatelet effect. |
|
Intervention: |
Consider the use of a parenteral antiplatelet agent in the setting of acute coronary syndrome requiring co-administration of intravenous morphine sulfate. |
|
Examples: |
clopidogrel, prasugrel, ticagrelor |
Recent Major Changes (RECENT MAJOR CHANGES)
12.2 Pharmacodynamics
Effects on the Central Nervous System
Morphine produces respiratory depression by direct action on brain stem respiratory centers. The respiratory depression involves a reduction in the responsiveness of the brain stem respiratory centers to both increases in carbon dioxide tension and electrical stimulation.
Morphine causes miosis, even in total darkness. Pinpoint pupils are a sign of opioid overdose but are not pathognomic (e.g., pontine lesions of hemorrhagic or ischemic origins may produce similar findings). Marked mydriasis rather than miosis may be seen due to hypoxia in overdose situations.
Both early and late respiratory depression (up to 24 hours post dosing) have been reported following neuraxial administration. Circulation of the spinal fluid may also result in high concentrations of morphine reaching the brain stem directly.
Effects on the Gastrointestinal Tract and Other Smooth Muscle
Morphine causes a reduction in motility associated with an increase in smooth muscle tone in the antrum of the stomach and duodenum. Digestion of food in the small intestine is delayed and propulsive contractions are decreased. Propulsive peristaltic waves in the colon are decreased, while tone may be increased to the point of spasm, resulting in constipation. Other opioid-induced effects may include a reduction in biliary and pancreatic secretions, spasm of sphincter of Oddi, transient elevations in serum amylase, and opioid-induced esophageal dysfunction (OIED)
Effects on the Cardiovascular System
Morphine produces peripheral vasodilation, which may result in orthostatic hypotension or syncope. Manifestations of histamine release and/or peripheral vasodilation may include pruritis, flushing, red eyes, sweating, and/or orthostatic hypotension.
Effects on the Endocrine System
Opioids inhibit the secretion of adrenocorticotropic hormone (ACTH), cortisol, and lutenizing hormone (LH) in humans [see Adverse Reactions (6)]. They also stimulate prolactin, growth hormone (GH) secretion, and pancreatic secretion of insulin and glucagon.
Use of opioids for an extended period of time may influence the hypothalamic-pituitary-gonadal-axis, leading to androgen deficiency that may manifest as low libido, impotence, erectile dysfunction, amenorrhea, or infertility. The causal role of opioids in the clinical syndrome of hypogonadism is unknown because the various medical, physical, lifestyle, and psychological stressors that may influence gonadal hormone levels have not been adequately controlled for in studies conducted to date [see Adverse Reactions (6)].
Effects on the Immune System
Opioids have been shown to have a variety of effects on components of the immune system in in vitro and animal models. The clinical significance of these findings is unknown. Overall, the effects of opioids appear to be modestly immunosuppressive.
Concentration – Efficacy Relationships
The minimum effective analgesic concentration will vary widely among patients, especially among patients who have been previously treated with opioid agonists. The minimum effective analgesic concentration of morphine for any individual patient may increase over time due to an increase in pain, the development of a new pain syndrome, and/or the development of analgesic tolerance [see Dosage and Administration (2.1, 2.5)].
Concentration – Adverse Reaction Relationships
There is a relationship between increasing morphine plasma concentration and increasing frequency of dose-related opioid adverse reactions such as nausea, vomiting, CNS effects, and respiratory depression. In opioid-tolerant patients, the situation may be altered by the development of tolerance to opioid-related adverse reactions [see Dosage and Administration (2.1, 2.2, 2.6)].
12.3 Pharmacokinetics
Intravenous Administration
Morphine has an apparent volume of distribution ranging from 1.0 to 4.7 L/kg after intravenous dosage. Protein binding is low, about 36%, and muscle tissue binding is reported as 54%. A blood-brain barrier exists, and when morphine is introduced outside of the CNS (e.g., intravenously), plasma concentrations of morphine remain higher than the corresponding CSF morphine levels. Conversely, when morphine is injected into the intrathecal space, it diffuses out into the systemic circulation slowly, accounting for the long duration of action of morphine administered by this route.
Morphine has a total plasma clearance which ranges from 0.9 to 1.2 L/kg/h (liters/kilogram/hour) in postoperative patients, but shows considerable interindividual variation. The major pathway of clearance is hepatic glucuronidation to morphine‑3‑glucuronide, which is pharmacologically inactive. The major excretion path of the conjugate is through the kidneys, with about 10% in the feces. Morphine is also eliminated by the kidneys, 2 to 12% being excreted unchanged in the urine. Terminal half-life is commonly reported to vary from 1.5 to 4.5 hours, although the longer half‑lives were obtained when morphine levels were monitored over protracted periods with very sensitive radioimmunoassay methods. The accepted elimination half-life in normal subjects is 1.5 to 2 hours.
Epidural Administration
Morphine, injected into the epidural space, is rapidly absorbed into the general circulation. Absorption is so rapid that the plasma concentration-time profiles closely resemble those obtained after intravenous or intramuscular administration. Peak plasma concentrations averaging 33–40 ng/mL (range 5–62 ng/mL) are achieved within 10 to 15 minutes after administration of 3 mg of morphine. Plasma concentrations decline in a multiexponential fashion. The terminal half-life is reported to range from 39 to 249 minutes (mean of 90 ± 34.3 min) and, though somewhat shorter, is similar in magnitude as values reported after intravenous and intramuscular administration (1.5–4.5 h). CSF concentrations of morphine, after epidural doses of 2 to 6 mg in postoperative patients, have been reported to be 50 to 250 times higher than corresponding plasma concentrations. The CSF levels of morphine exceed those in plasma after only 15 minutes and are detectable for as long as 20 hours after the injection of 2 mg of epidural morphine. Approximately 4% of the dose injected epidurally reaches the CSF. This corresponds to the relative minimum effective epidural and intrathecal doses of 5 mg and 0.25 mg, respectively. The disposition of morphine in the CSF follows a biphasic pattern, with an early half-life of 1.5 h and a late phase half-life of about 6 h. Morphine crosses the dura slowly, with an absorption half-life across the dura averaging 22 minutes. Maximum CSF concentrations are seen 60–90 minutes after injection. Minimum effective CSF concentrations for postoperative analgesia average 150 ng/mL (range < 1‑380 ng/mL).
Intrathecal Administration
The intrathecal route of administration circumvents meningeal diffusion barriers and, therefore, lower doses of morphine produce comparable analgesia to that induced by the epidural route. After intrathecal bolus injection of morphine, there is a rapid initial distribution phase lasting 15–30 minutes and a half-life in the CSF of 42–136 min (mean 90 ± 16 min). Derived from limited data, it appears that the disposition of morphine in the CSF, from 15 minutes postintrathecal administration to the end of a six-hour observation period, represents a combination of the distribution and elimination phases. Morphine concentrations in the CSF averaged 332 ± 137 ng/mL at 6 hours, following a bolus dose of 0.3 mg of morphine. The apparent volume of distribution of morphine in the intrathecal space is about 22 ± 8 mL.
Time-to-peak plasma concentrations, however, are similar (5-10 min) after either epidural or intrathecal bolus administration of morphine. Maximum plasma morphine concentrations after 0.3 mg intrathecal morphine have been reported from < 1 to 7.8 ng/mL.The minimum analgesic morphine plasma concentration during Patient‑Controlled Analgesia (PCA) has been reported as 20–40 ng/mL, suggesting that any analgesic contribution from systemic redistribution would be minimal after the first 30–60 minutes with epidural administration and virtually absent with intrathecal administration of morphine.
5.15 risk of Seizures (5.15 Risk of Seizures)
The morphine in DURAMORPH may increase the frequency of seizures in patients with seizure disorders, and may increase the risk of seizures occurring in other clinical setting associated with seizures. Monitor patients with a history of seizure disorders for worsened seizure control during DURAMORPH therapy.
Excitation of the central nervous system, resulting in convulsions, may accompany high doses of morphine given intravenously.
1 Indications and Usage (1 INDICATIONS AND USAGE)
DURAMORPH is indicated for:
- the management of pain severe enough to require use of an opioid analgesic by intravenous administration, and for which alternative treatments are not expected to be adequate.
- the epidural or intrathecal management of pain without attendant loss of motor, sensory, or sympathetic function.
Limitation of Use
DURAMORPH is not for use in continuous microinfusion devices.
Because of the risks of addiction, abuse, misuse, overdose, and death, which can occur at any dosage or duration and persist over the course of therapy [see Warnings and Precautions (5.2)], reserve opioid analgesiscs, including DURAMORPH for use in patients for whom alternative treatment options are ineffective, not tolerated or would be otherwise inadequate to provide sufficient management of pain.
5.12 Severe Hypotension
DURAMORPH may cause severe hypotension including orthostatic hypotension and syncope in ambulatory patients. There is increased risk in patients whose ability to maintain blood pressure has already been compromised by a reduced blood volume or concurrent administration of certain CNS depressant drugs (e.g., phenothiazines or general anesthetics) [see Drug Interactions (7)]. Monitor these patients for signs of hypotension after initiating or titrating the dosage of DURAMORPH. In patients with circulatory shock, DURAMORPH may cause vasodilation that can further reduce cardiac output and blood pressure. Avoid the use of DURAMORPH in patients with circulatory shock.
5.7 Chest Wall Rigidity
Rapid intravenous administration may result in chest wall rigidity.
Principal Display Panel (PRINCIPAL DISPLAY PANEL)
NDC 0641-6020-01 10 mL Ampul
Rx only
Duramorph
(Morphine Sulfate Injection, USP) CII
5 mg per 10 mL
(0.5 mg/mL)
Preservative Free
For Intravenous, Epidural, or Intrathecal Use
NDC 0641-6020-10
Rx only
Duramorph
(Morphine Sulfate Injection, USP) CII
5 mg per 10 mL
(0.5 mg/mL)
Preservative Free
For Intravenous, Epidural, or Intrathecal Use
10 x 10 mL Ampuls
12.1 Mechanism of Action
Morphine is a full opioid agonist and is relatively selective for the mu-opioid receptor, although it can bind to other opioid receptors at higher doses. The principal therapeutic action of morphine is analgesia. Like all full opioid agonists, there is no ceiling effect for analgesia with morphine. Clinically, dosage is titrated to provide adequate analgesia and may be limited by adverse reactions, including respiratory and CNS depression.
The precise mechanism of the analgesic action is unknown. However, specific CNS opioid receptors for endogenous compounds with opioid-like activity have been identified throughout the brain and spinal cord and are thought to play a role in the analgesic effects of this drug.
9.1 Controlled Substance
DURAMORPH contains morphine, a Schedule II controlled drug substance.
5 Warnings and Precautions (5 WARNINGS AND PRECAUTIONS)
- Risk of Tolerance and Myoclonic Activity: Monitor patients for unusual acceleration of neuraxial morphine, which may cause myoclonic-like spasm of lower extremities. Detoxification maybe required. (5.6)
- Chest Wall Rigidity: Rapid intravenous administration may result in chest wall rigidity. (5.7)
- Opioid Induced Hyperalgesia and Allodynia: Opioid Induced Hyperalgesia (OIH) occurs when an opioid analgesic paradoxically causes an increase in pain, or an increase in sensitivity to pain. If a patient is suspected to be experiencing OIH, carefully consider appropriately decreasing the dose of the current opioid analgesic, or opioid rotation (safety switching the patient to a different opioid moiety). (5.8)
- Life-Threatening Respiratory Depression in Patients with Chronic Pulmonary Disease or in Elderly, Cachectic, or Debilitated Patients: Monitor closely, particularly during initiation and titration. (5.9)
- Adrenal Insufficiency: If diagnosed, treat with physiologic replacement of corticosteroids, and wean patient off of the opioid. (5.11)
- Severe Hypotension: Monitor during dosage initiation and titration. AvoiduseofDURAMORPHinpatientswithcirculatoryshock.(5.12)
- Risks of Use in Patients with Increased Intracranial Pressure, Brain Tumors, Head Injury, or Impaired Consciousness: Monitor for sedation and respiratory depression. Avoid use of DURAMORPH in patients with impaired consciousness or coma. (5.13)
5.11 Adrenal Insufficiency
Cases of adrenal insufficiency have been reported with opioid use, more often following greater than one month of use. Presentation of adrenal insufficiency may include nonspecific symptoms and signs including nausea, vomiting, anorexia, fatigue, weakness, dizziness, and low blood pressure. If adrenal insufficiency is suspected, confirm the diagnosis with diagnostic testing as soon as possible. If adrenal insufficiency is diagnosed, treat with physiologic replacement doses of corticosteroids. Wean the patient off of the opioid to allow adrenal function to recover and continue corticosteroid treatment until adrenal function recovers. Other opioids may be tried as some cases reported use of a different opioid without recurrence of adrenal insufficiency. The information available does not identify any particular opioids as being more likely to be associated with adrenal insufficiency.
2 Dosage and Administration (2 DOSAGE AND ADMINISTRATION)
- DURAMORPH should be prescribed only by healthcare professionals who are knowledgeable about the use of opioids and how to mitigate the associated risks. (2.1)
- Should be administered by or under the direction of a physician experienced in the techniques of epidural or intrathecal administration. (2.1)
- Use the lowest effective dosage for the shortest duration of time consistent with individual patient treatment goals. Reserve titration to higher doses of DURAMORPH for patients in whom lower doses are insufficiently effective and in whom the expected benefits of using a higher dose opioid clearly outweigh the substantial risks. (2.2, 5)
- Initiate the dosing regimen for each patient individually, taking into account the patient’s underlying cause and severity of pain, prior analgesic treatment and response, and risk factors for addiction, abuse, and misuse. (2.1, 5.2)
- Respiratory depression can occur at any time during opioid therapy, especially when initiating and following dosage increases with DURAMORPH. Consider this risk when selecting an initial dose and when making dose adjustments. (2, 5.3)
- Dosage for Intravenous Administration: 2 mg to 10 mg/70 kg of body weight. (2.3)
- Dosage for Epidural Administration: Initial injection of 5 mg in the lumbar region may provide satisfactory pain relief for up to 24 hours. If adequate pain relief is not achieved within one hour, carefully administer incremental doses of 1 to 2 mg at intervals sufficient to assess effectiveness. Administer no more than 10 mg/24 hr. (2.4)
- Dosage for Intrathecal Administration: A single injection of 0.2 to 1 mgmayprovidesatisfactorypainreliefforupto24hours.Repeated intrathecal injections of DURAMORPH are not recommended. (2.5)
- Periodically reassess patients receiving DURAMORPH to evaluate the continued need for opioid analgesics to maintain pain control, for the signs or symptoms of adverse reactions, and the development of addiction, abuse or misuse.(2.6)
- Do not rapidly reduce or abruptly discontinue DURAMORPH abruptly in a physically-dependent patient. (2.6, 5.16)
3 Dosage Forms and Strengths (3 DOSAGE FORMS AND STRENGTHS)
Injection: 5 mg per 10 mL (0.5 mg/mL) Preservative-free amber glass ampuls
Injection: 10 mg per 10 mL (1 mg/mL) Preservative-free amber glass ampuls
8 Use in Specific Populations (8 USE IN SPECIFIC POPULATIONS)
- Pregnancy: May cause fetal harm. (8.1)
8.6 Hepatic Or Renal Impairment (8.6 Hepatic or Renal Impairment)
The elimination half-life of morphine may be prolonged in patients with reduced metabolic rates and with hepatic and/or renal dysfunction. Hence, care should be exercised in administering DURAMORPH epidurally to patients with these conditions. High blood morphine levels, due to reduced clearance, may take several days to develop.
5.2 Addiction, Abuse, and Misuse
DURAMORPH contains morphine, a Schedule II controlled substance. As an opioid, DURAMORPH exposes users to the risks of addiction, abuse, and misuse [see Drug Abuse and Dependence (9)].
Although the risk of addiction in any individual is unknown, it can occur in patients appropriately prescribed DURAMORPH. Addiction can occur at recommended dosages and if the drug is misused or abused. The risk of opioid-related overdose or overdose-related death is increased with higher opioid doses, and this risk persists over the course of therapy. In postmarketing studies, addiction, abuse, misuse and fatal and non-fatal opioid overdose were observed in patients with long-term opioid use [see Adverse Reactions (6.2)].
Assess each patient’s risk for opioid addiction, abuse, or misuse prior to prescribing DURAMORPH, and monitor all patients receiving DURAMORPH for the development of these behaviors and conditions. Risks are increased in patients with a personal or family history of substance abuse (including drug or alcohol abuse or addiction) or mental illness (e.g., major depression). The potential for these risks should not, however, prevent the proper management of pain in any given patient.
Patients at increased risk may be prescribed opioids such as DURAMORPH but use in such patients necessitates intensive counseling about the risks and proper use of DURAMORPH along with intensive monitoring for signs of addiction, abuse, and misuse.
Opioids are sought for nonmedical use and are subject to diversion from legitimate prescribed use. Consider these risks when prescribing or dispensing DURAMORPH. Strategies to reduce these risks include prescribing the drug in the smallest appropriate quantity.
Contact local state professional licensing board or state-controlled substances authority for information on how to prevent and detect abuse or diversion of this product.
17 Patient Counseling Information (17 PATIENT COUNSELING INFORMATION)
Addiction, Abuse, and Misuse
Inform patients that the use of DURAMORPH, even when taken as recommended, can result in addiction, abuse, and misuse, which can lead to overdose and death [see Warnings and Precautions (5.2)].
Life-Threatening Respiratory Depression
Inform patients of the risk of life-threatening respiratory depression, including information that the risk is greatest when starting DURAMORPH or when the dosage is increased, and that it can occur even at recommended dosages [see Warnings and Precautions (5.3)].
Hyperalgesia and Allodynia
Advise patients to inform their healthcare provider if they experience symptoms of hyperalgesia, including worsening pain, increased sensitivity to pain, or new pain [see Warnings and Precautions (5.8), Adverse Reactions (6)].
Serotonin Syndrome
Inform patients that opioids could cause a rare but potentially life-threatening condition called serotonin syndrome resulting from concomitant administration of serotonergic drugs. Warn patients of thesymptoms of serotonin syndrome and to seek medical attention right away if symptoms develop after discharge from the hospital. Instruct patients to inform their physicians if they are taking, or plan to take serotonergic medications [see Drug Interactions (7)] .
Constipation
Advise patients of the potential for severe constipation, including management instructions and when to seek medical attention [see Adverse Reactions (6), Clinical Pharmacology (12.2)].
16 How Supplied/storage and Handling (16 HOW SUPPLIED/STORAGE AND HANDLING)
DURAMORPH (morphine sulfate injection, USP) is a preservative-free solution, available as 5 mg/10 mL (0.5 mg/mL) and 10 mg/10 mL (1 mg/mL), in amber ampuls, for single use administration.
NDC 0641-6020-10 5 mg/10 mL (0.5 mg/mL) Single Use amber ampuls packaged in 10s
NDC 0641-6019-10 10 mg/10 mL (1 mg/mL) Single Use amber ampuls packaged in 10s
DURAMORPH is supplied in sealed ampuls. Accidental dermal exposure should be treated by the removal of any contaminated clothing and rinsing the affected area with water.
PROTECT FROM LIGHT. Keep stored in carton until time of use. Store at 20˚‑25˚C (68˚‑77˚F), excursions permitted to 15˚‑30˚C (59˚‑86˚F) [See USP Controlled Room Temperature]. DO NOT FREEZE. DURAMORPH contains no preservative or antioxidant. Each 10 mL ampul of DURAMORPH is intended for SINGLE USE ONLY. Discard any unused portion. Do not heat-sterilize.
To report SUSPECTED ADVERSE REACTIONS, contact Hikma Pharmaceuticals USA Inc. at 1-877-845-0689, or the FDA at 1-800-FDA-1088 or www.fda.gov/medwatch.
For Product Inquiry call 1-877-845-0689.
2.4 Dosage for Epidural Administration
Adult Dosage: Initial injection of 5 mg in the lumbar region may provide satisfactory pain relief for up to 24 hours. If adequate pain relief is not achieved within one hour, careful administration of incremental doses of 1 to 2 mg at intervals sufficient to assess effectiveness may be given. Do not administer more than 10 mg per 24 hours.
5.1 Risks With Neuraxial Administration (5.1 Risks with Neuraxial Administration)
Control of pain by neuraxial opioid delivery is always accompanied by considerable risk to the patient and requires a high level of skill to be successfully accomplished. The task of treating these patients must be undertaken by experienced clinical teams, well-versed in patient selection, evolving technology and emerging standards of care.
In the case of epidural or intrathecal administration, DURAMORPH should be administered by or under the direction of a physician experienced in the techniques and familiar with the patient management problems associated with epidural or intrathecal drug administration. The physician should be familiar with patient conditions (such as infection at the injection site, bleeding diathesis, anticoagulant therapy, etc.) which call infection at the injection site, bleeding diathesis, anticoagulant therapy, etc.) which call for special evaluation of the benefit versus risk potential.
Because epidural administration has been associated with less potential for immediate or late adverse effects than intrathecal administration, the epidural route should be used whenever possible.
For safety reasons, it is recommended that administration of DURAMORPH by the epidural or intrathecal routes be limited to the lumbar area. Thoracic epidural administration has been shown to dramatically increase the incidence of early and late respiratory depression even with doses of 1 to 2 mg.
Because of the risk of severe adverse effects when the epidural or intrathecal route of administration is employed, patients must be observed in a fully equipped and staffed environment for at least 24 hours after the initial dose.
The facility must be equipped to resuscitate patients with severe opiate overdosage, and the personnel must be familiar with the use and limitations of specific opioid overdose reversal agents in (naloxone, naltrexone) in such cases.
Parenteral administration of narcotics in patients receiving epidural or intrathecal morphine may result in overdosage.
5.5 Neonatal Opioid Withdrawal Syndrome
Prolonged use of DURAMORPH during pregnancy can result in withdrawal in the neonate. Neonatal opioid withdrawal syndrome, unlike opioid withdrawal syndrome in adults, may be life threatening if not recognized and treated and requires management according to protocols developed by neonatology experts. Observe newborns for signs of neonatal opioid withdrawal syndrome and manage accordingly. Advise pregnant women using opioids for a prolonged period of the risk of neonatal opioid withdrawal syndrome and ensure that management by neonatology experts will be available at delivery [see Use in Specific Populations (8.1)].
5.18 Risks of Use in Ambulatory Patients
Patients with reduced circulating blood volume, impaired myocardial function or on sympatholytic drugs should be monitored for the possible occurrence of orthostatic hypotension, a frequent complication in single-dose neuraxial morphine analgesia.
2.3 Dosage for Intravenous Administration
Adult Dosage: The initial dose of morphine should be 2 mg to 10 mg/70 kg of body weight, and at the lowest dose necessary to achieve adequate analgesia. Titrate the dose based upon the individual patient’s response to their initial dose of DURAMORPH
2.5 Dosage for Intrathecal Administration
Adult Dosage: Intrathecal dosage is usually 1/10 that of epidural dosage. A single injection of 0.2 to 1 mg may provide satisfactory pain relief for up to 24 hours. (Caution: this is only 0.4 to 2 mL of the 5 mg/10 mL ampul or 0.2 to 1 mL of the 10 mg/10 mL ampul of DURAMORPH).
- Do not inject intrathecally more than 2 mL of the 5 mg/10 mL ampul or 1 mL of the 10 mg/10 mL ampul.
- Repeated intrathecal injections of DURAMORPH are not recommended. If pain recurs, consider alternative routes of administration
- A constant intravenous infusion of naloxone, 0.6 mg/hr, for 24 hours after intrathecal injection may be used to reduce the incidence of potential side effects.
5.3 Life Threatening Respiratory Depression (5.3 Life-Threatening Respiratory Depression)
Serious, life threatening, or fatal respiratory depression has been reported with the use of opioids, even when used as recommended. Respiratory depression, if not immediately recognized and treated, may lead to respiratory arrest and death. Management of respiratory depression may include close observation, supportive measures, and use of opioid overdose reversal agents (e.g., naloxone, nalmefene), depending on the patient’s clinical status [see Overdosage (10)]. Carbon dioxide (CO) retention from opioid induced respiratory depression can exacerbate the sedating effects of opioids.
While serious, life threatening, or fatal respiratory depression can occur at any time during the use of DURAMORPH, the risk is greatest during the initiation of therapy or following a dosage increase. This respiratory depression and/or respiratory arrest may be severe and could require intervention.
- Because of delay in maximum CNS effect with intravenously administered drug (30 min), rapid administration may result in overdosing.
- Single-dose neuraxial administration may result in acute or delayed respiratory depression for periods at least as long as 24 hours.
- Severe respiratory depression up to 24 hours following epidural or intrathecal administration has been reported.
- Intrathecal use has been associated with a higher incidence of respiratory depression than epidural use.
- Thoracic administration has been shown to dramatically increase the incidence of early and late respiratory depression even at doses of 1 to 2 mg.
Because of the risk of severe adverse effects when the epidural or intrathecal route of administration is employed, patients must be observed in a fully equipped and staffed environment for at least 24 hours after the initial dose. The facility must be equipped to resuscitate patients with severe opiate overdosage, and the personnel must be familiar with the use and limitations of specific narcotic antagonists (naloxone, naltrexone) in such cases.
To reduce the risk of respiratory depression, proper dosing and titration of DURAMORPH are essential [see Dosage and Administration (2)]. Overestimating the DURAMORPH dosage can result in a fatal overdose with the first dose.
Opioids can cause sleep-related breathing disorders including central sleep apnea (CSA) and sleep-related hypoxemia. Opioid use increases the risk of CSA in a dose dependent fashion. In patients who present with CSA, consider decreasing the opioid dosage using best practices for opioid taper [see Dosage and Administration (2.6)]
5.14 Risks of Gastrointestinal Complications
DURAMORPH is contraindicated in patients with known or suspected gastrointestinal obstruction, including paralytic ileus.
The morphine in DURAMORPH may cause spasm of the sphincter of Oddi. Opioids may cause increases in serum amylase. Monitor patients with biliary tract disease, including acute pancreatitis for worsening symptoms. As significant morphine is released into the systemic circulation from neuraxial administration, the ensuing smooth muscle hypertonicity may result in biliary colic.
Cases of opioid-induced esophageal dysfunction (OIED) have been reported in patients taking opioids. The risk of OIED may increase as the dose and/or duration of opioids increases. Regularly evaluate patients for signs and symptoms of OIED (e.g., dysphagia, regurgitation, non-cardiac chest pain) and, if necessary, adjust opioid therapy as clinically appropriate [see Clinical Pharmacology (12.2)].
5.6 Risk of Tolerance and Myoclonic Activity
Patients sometimes manifest unusual acceleration of neuraxial morphine requirements, which may cause concern regarding systemic absorption and the hazards of large doses; these patients may benefit from hospitalization and detoxification. Two cases of myoclonic-like spasm of the lower extremities have been reported in patients receiving more than 20 mg/day of intrathecal morphine. After detoxification, it might be possible to resume treatment at lower doses, and some patients have been successfully changed from continuous epidural morphine to continuous intrathecal morphine. Repeat detoxification may be indicated at a later date. The upper daily dosage limit for each patient during continuing treatment must be individualized.
5.8 Opioid Induced Hyperalgesia and Allodynia (5.8 Opioid-Induced Hyperalgesia and Allodynia)
Opioid Induced Hyperalgesia (OIH) occurs when an opioid analgesic paradoxically causes an increase in pain, or an increase in sensitivity to pain. This condition differs from tolerance, which is the need for increasing doses of opioids to maintain a defined effect [see Dependence (9.3) ]. Symptoms of OIH include (but may not be limited to) increased levels of pain upon opioid dosage increase, decreased levels of pain upon opioid dosage decrease, or pain from ordinarily nonpainful stimuli (allodynia). These symptoms may suggest OIH only if there is no evidence of underlying disease progression, opioid tolerance, opioid withdrawal, or addictive behavior.
Cases of OIH have been reported, both with short-term and longer-term use of opioid analgesics. Though the mechanism of OIH is not fully understood, multiple biochemical pathways have been implicated. Medical literature suggests a strong biologic plausibility between opioid analgesics and OIH and allodynia. If a patient is suspected to be experiencing OIH, carefully consider appropriately decreasing the dose of the current opioid analgesic or opioid rotation (safely switching the patient to a different opioid moiety) [see Dosage and Administration (2.6), Warnings and Precautions (5.16)].
8.3 Females and Males of Reproductive Potential
Infertility
Use of opioids for an extended period of time may cause reduced fertility in females and males of reproductive potential. It is not known whether these effects on fertility are reversible [see Adverse Reactions (6), Clinical Pharmacology (12.2)].
In published animal studies, morphine administration adversely effected fertility and reproductive endpoints in male rats and prolonged estrus cycle in female rats [see Nonclinical Toxicology (13)].
5.10 Interaction With Monoamine Oxidase Inhibitors (5.10 Interaction with Monoamine Oxidase Inhibitors)
Monoamine oxidase inhibitors (MAOIs) may potentiate the effects of morphine, including respiratory depression, coma, and confusion. DURAMORPH should not be used in patients taking MAOIs or within 14 days of stopping such treatment [see Drug Interactions (7)].
2.6 Safe Reduction and Discontinuation of Duramorph (2.6 Safe Reduction and Discontinuation of DURAMORPH)
When a patient who has been treated with a regimen of opioid analgesics including DURAMORPH regularly and may be physically dependent or no longer requires therapy with DURAMORPH, taper the dose gradually while monitoring carefully for signs and symptoms of withdrawal. If the patient develops these signs or symptoms, raise the dose to the previous level and taper more slowly, either by increasing the interval between decreases, decreasing the amount of change in dose, or both. Do not rapidly reduce or abruptly discontinue DURAMORPH in patients who may be physically dependant on opioids. [see Warnings and Precautions (5.16), Drug Abuse and Dependence (9.3)].
2.1 Important Dosage and Administration Instructions
Do Not Use DURAMORPH in Continuous Microinfusion Devices.
DURAMORPH should be administered by or under the direction of a physician experienced in the techniques of epidural or intrathecal administration and familiar with the patient management problems associated with epidural or intrathecal drug administration and the labeling, and should take place only in settings where adequate patient monitoring is possible.
- DURAMORPHshouldbeprescribedonlybyhealthcareprofessionalswhoareknowledgeable about the use of opioids and how to mitigate the associated risks.
- Because of the risk of delayed respiratory depression, patients should be observed in a fully equipped and staffed environment for at least 24 hours. Respiratory depression (both early and late onset)hasoccurredmorefrequentlyfollowingintrathecaladministrationthanepidural administration.
- Becauseepiduraladministrationhasbeenassociatedwithlesspotentialforimmediateorlate adverse effects than intrathecal administration, the epidural route should be used whenever possible.
- Forsafetyreasons,itisrecommendedthatadministrationofDURAMORPHbytheepiduralor intrathecal routes be limited to the lumbar area.
- Have resuscitative equipment and an opioid overdose reversal agent (e.g., naloxone, nalmefene) immediately available for the management of respiratory depression as well as complicationswhichmightresultfrominadvertentintrathecalorintravascularinjection(note: intrathecal dosage is usually 1/10 that of epidural dosage).
Epidural Administration
Verify proper placement of a needle or catheter in the epidural space before DURAMORPH is injected.
Acceptable techniques for verifying proper placement include: a) aspiration to check for absence of blood or cerebrospinal fluid, or b) administration of 5 mL (3 mL in obstetric patients) of 1.5% PRESERVATIVE-FREE Lidocaine and Epinephrine (1:200,000) Injection and then observe the patient for lack of tachycardia (this indicates that vascular injection has not been made) and lack of sudden onset of segmental anesthesia (this indicates that intrathecal injection has not been made).
Safety and Handling Instructions:
DURAMORPH is supplied in sealed ampuls. Accidental dermal exposure should be treated by the removal of any contaminated clothing and rinsing the affected area with water.
Inspect parenteral drug products for particulate matter and discoloration prior to administration, whenever solution and container permit. Do not use if color is darker than pale yellow, if it is discolored in any other way, or if it contains a precipitate.
DURAMORPH is intended for single use only. Protect from light, discard any unused portion. Do not heat-sterilize.
13.1 Carcinogenesis, Mutagenesis, Impairment of Fertility
Carcinogenesis
Long-term studies in animals to evaluate the carcinogenic potential of morphine have not been conducted.
Mutagenesis
No formal studies to assess the mutagenic potential of morphine have been conducted. In the published literature, morphine was found to be mutagenic in vitro increasing DNA fragmentation in human T-cells. Morphine was reported to be mutagenic in the in vivo mouse micronucleus assay and positive for the induction of chromosomal aberrations in mouse spermatids and murine lymphocytes. Mechanistic studies suggest that the in vivo clastogenic effects reported with morphine in mice may be related to increases in glucocorticoid levels produced by morphine in this species. In contrast to the above positive findings, in vitro studies in the literature have also shown that morphine did not induce chromosomal aberrations in human leukocytes or translocations or lethal mutations in Drosophila.
Impairment of Fertility
No formal nonclinical studies to assess the potential of morphine to impair fertility have been conducted.
Several nonclinical studies from the literature have demonstrated adverse effects on male fertility in the rat from exposure to morphine. One study in which male rats were administered morphine sulfate subcutaneously prior to mating (up to 30 mg/kg twice daily) and during mating (20 mg/kg twice daily) with untreated females, a number of adverse reproductive effects including reduction in total pregnancies and higher incidence of pseudopregnancies at 20 mg/kg/day (3.2 times the HDD) were reported.
Studies from the literature have also reported changes in hormonal levels in male rats (i.e., testosterone, luteinizing hormone) following treatment with morphine at 10 mg/kg/day or greater (1.6 times the HDD).
5.17 Risks of Use in Patients With Urinary System Disorders (5.17 Risks of Use in Patients with Urinary System Disorders)
Urinary retention, which may persist 10 to 20 hours following single epidural or intrathecal administration, is frequently associated with neuraxial opioid administration and must be anticipated, more frequently in male patients than female patients. Urinary retention may also occur during the first several days of hospitalization for the initiation of continuous intrathecal or epidural morphine therapy. Early recognition of difficulty in urination and prompt intervention in cases of urinary retention is indicated. Patients who develop urinary retention have responded to cholinomimetic treatment and/or judicious use of catheters.
Warning: Serious and Life Threatening Risks From Use of Duramorph (WARNING: SERIOUS AND LIFE-THREATENING RISKS FROM USE OF DURAMORPH)
Risks with Neuraxial Administration
Single-dose neuraxial administration may result in acute or delayed respiratory depression up to 24 hours. Because of the risk of severe adverse reactions when DURAMORPH is administered by the epidural or intrathecal route of administration, patients must be observed in a fully equipped and staffed environment for at least 24 hours after the initial dose [see Warnings and Precautions (5.1)].
Addiction, Abuse, and Misuse
Because the use of DURAMORPH exposes patients and other users to the risks of opioid addiction, abuse, and misuse, which can lead to overdose and death, assess each patient’s risk prior to prescribing and reassess all patients regularly for the development of these behaviors and conditions [see Warnings and Precautions (5.2)].
Life-Threatening Respiratory Depression
Serious, life-threatening, or fatal respiratory depression may occur with use of DURAMORPH, especially during initiation or following a dosage increase. To reduce the risk of respiratory depression, proper dosing and titration of DURAMORPH are essential [see Warnings and Precautions (5.3)].
Risks From Concomitant Use With Benzodiazepines Or Other CNS Depressants
Concomitant use of opioids with benzodiazepines or other central nervous system (CNS) depressants, including alcohol, may result in profound sedation, respiratory depression, coma, and death. Reserve concomitant prescribing of DURAMORPH and benzodiazepines or other CNS depressants for use in patients for whom alternative treatment options are inadequate [see Warnings and Precautions (5.4), Drug Interactions (7)].
Neonatal Opioid Withdrawal Syndrome (NOWS)
Advise pregnant women using opioids for an extended period of time of the risk of Neonatal Opioid Withdrawal Syndrome, which may be life threatening if not recognized and treated. Ensure that management by neonatology experts will be available at delivery [see Warnings and Precautions (5.5)].
5.4 Risks From Concomitant Use With Benzodiazepines Or Other Cns Depressants (5.4 Risks from Concomitant Use with Benzodiazepines or Other CNS Depressants)
Profound sedation, respiratory depression, coma, and death may result from concomitant use of DURAMORPH with benzodiazepines and/or other CNS depressants, including alcohol (e.g., nonbenzodiazepine sedatives/ hypnotics, anxiolytics, tranquilizers, muscle relaxants, general anesthetics, antipsychotics, gabapentinoids [gabapentin or pregabalin], and other opioids). Because of these risks, reserve concomitant prescribing of these drugs for use in patients for whom alternative treatment options are inadequate.
Use of neuroleptics in conjunction with neuraxial morphine may increase the risk of respiratory depression.
Observational studies have demonstrated that concomitant use of opioid analgesics and benzodiazepines increases the risk of drug related mortality compared to use of opioid analgesics alone. Because of similar pharmacological properties, it is reasonable to expect similar risk with the concomitant use of other CNS depressant drugs with opioid analgesics [see Drug Interactions (7)].
If the decision is made to prescribe a benzodiazepine or other CNS depressant concomitantly with an opioid analgesic, prescribe the lowest effective dosages and minimum durations of concomitant use. In patients already receiving an opioid analgesic, prescribe a lower initial dose of the benzodiazepine or other CNS depressant than indicated in the absence of an opioid, and titrate based on clinical response. If an opioid analgesic is initiated in a patient already taking a benzodiazepine or other CNS depressant, prescribe a lower initial dose of the opioid analgesic, and titrate based on clinical response. Monitor patients closely for signs and symptoms of respiratory depression and sedation.
5.13 Risks of Use in Patients With Increased Intracranial Pressure, Brain Tumors, Head Injury, Or Impaired Consciousness (5.13 Risks of Use in Patients with Increased Intracranial Pressure, Brain Tumors, Head Injury, or Impaired Consciousness)
In patients who may be susceptible to the intracranial effects of CO2 retention (e.g., those with evidence of increased intracranial pressure or brain tumors), DURAMORPH may reduce respiratory drive, and the resultant CO2 retention can further increase intracranial pressure. Monitor such patients for signs of sedation and respiratory depression, particularly when initiating therapy with DURAMORPH. DURAMORPH should be used with extreme caution in patients with head injury or increased intracranial pressure. Pupillary changes (miosis) from morphine may obscure the existence, extent and course of intracranial pathology. High doses of neuraxial morphine may produce myoclonic events [see Warnings and Precautions (5.6)]. Clinicians should maintain a high index of suspicion for adverse drug reactions when evaluating altered mental status or movement abnormalities in patients receiving this modality of treatment.
Opioids may also obscure the clinical course in a patient with a head injury. Avoid the use of DURAMORPH in patients with impaired consciousness or coma.
5.9 Life Threatening Respiratory Depression in Patients With Chronic Pulmonary Disease Or in Elderly, Cachectic, Or Debilitated Patients (5.9 Life-Threatening Respiratory Depression in Patients with Chronic Pulmonary Disease or in Elderly, Cachectic, or Debilitated Patients)
The use of DURAMORPH in patients with acute or severe bronchial asthma in an unmonitored setting or in the absence of resuscitative equipment is contraindicated.
Patients with Chronic Pulmonary Disease: Patients with significant chronic obstructive pulmonary disease or cor pulmonale, and those with a substantially decreased respiratory reserve, hypoxia, hypercapnia, or pre-existing respiratory depression are at increased risk of decreased respiratory drive including apnea, even at recommended doses of DURAMORPH [see Warnings and Precautions (5.3)].
Elderly, Cachectic, or Debilitated Patients: Life-threatening respiratory depression is more likely to occur in elderly, cachectic, or debilitated patients because they may have altered pharmacokinetics or altered clearance compared to younger, healthier patients [see Warnings and Precautions (5.3)].
Monitor such patients closely, particularly when initiating and titrating DURAMORPH and when DURAMORPH is given concomitantly with other drugs that depress respiration [see Warnings and Precautions (5.3, 5.4), Drug Interactions (7)]. Alternatively, consider the use of non-opioid analgesics in these patients.
Advanced Ingredient Data
Raw Label Data
All Sections (JSON)
Additional Information
Back to search View SPL set listing Open on DailyMed ↗
Source: dailymed · Ingested: 2026-02-15T11:52:56.796585 · Updated: 2026-03-14T22:45:11.004418