Hydromorphone Hydrochloride Injection

these highlights do not include all the information needed to use hydromorphone hydrochloride injection safely and effectively. see full prescribing information for hydromorphone hydrochloride injection.
SPL v33
SPL
SPL Set ID e9c9ef18-7dfc-4322-b2fc-29b934c30f8b
Routes
intramuscular intravenous subcutaneous
Published
Effective Date 2023-12-26
Document Type 34391-3 HUMAN PRESCRIPTION DRUG LABEL

Drug Facts

Composition & Product

Active Ingredients
hydromorphone (1 mg)
Inactive Ingredients
sodium lactate sodium chloride lactic acid, unspecified form sodium hydroxide

Identifiers & Packaging

Marketing Status
nda completed Since 2011-12-01 Until 2022-08-01

Indications and Usage

Hydromorphone Hydrochloride Injection is indicated for the management of pain severe enough to require an opioid analgesic and for which alternative treatments are inadequate.

Dosage and Administration

• Hydromorphone Hydrochloride Injection should be ‎prescribed only by healthcare professionals who are ‎knowledgeable about the use of opioids and how to ‎mitigate the associated risks. ( 2.1 )‎ • Use the lowest effective dosage for the shortest duration consistent with individual patient treatment goals. Reserve titration to higher doses of Hydromorphone ‎Hydrochloride Injection for patients in whom lower doses are insufficiently ‎effective and in whom the expected benefits of using a higher dose opioid ‎clearly outweigh the substantial risks. ( 2.1 , 5 ) • Many acute pain conditions (e.g., the pain that occurs with ‎a number of surgical procedures or acute ‎musculoskeletal injuries) require no more than a few ‎days of an opioid analgesic. Clinical guidelines on ‎opioid prescribing for some acute pain conditions are ‎available. ( 2.1 )‎ • Initiate the dosing regimen for each patient individually, ‎taking into account the patient’s underlying cause and severity of pain, prior analgesic treatment and ‎response, and risk factors for addiction, abuse, and misuse. ( 2.1 , 5.1 ) • Respiratory depression can occur at any time during opioid ‎therapy, especially when initiating and following dosage ‎increases with Hydromorphone Hydrochloride Injection. ‎Consider this risk when selecting an initial dose and when ‎making dose adjustments. ( 2.1 , 5.2 )‎ • Intramuscular and Subcutaneous Use : The usual starting dose is 1 mg to 2 mg every 2 to 3 hours as necessary. ( 2.2 ) • Intravenous Use : The usual starting dose is 0.2 mg to 1 mg every 2 to 3 hours. The injection should be given slowly , over at least 2 to 3 minutes. ( 2.2 ) • Hepatic Impairment : Initiate treatment with one-fourth to one-half the usual starting dose, depending on degree of hepatic impairment. ( 2.3 ) • Renal Impairment : Initiate treatment with one-fourth to one-half the usual starting dose, depending on degree of renal impairment. ( 2.4 ) • Periodically reassess patients receiving Hydromorphone Hydrochloride Injection to evaluate the continued need for opioid analgesics to maintain pain control, for the signs or symptoms of adverse reactions, and for the development of addiction, abuse, or misuse. ( 2.5 ) • Do not rapidly reduce or abruptly discontinue Hydromorphone Hydrochloride Injection in a physically-dependent patient. ( 2.6 , 5.12 )

Contraindications

Hydromorphone Hydrochloride Injection is contraindicated in patients with: • Significant respiratory depression [see Warnings and Precautions (5.2) ] • Acute or severe bronchial asthma in an unmonitored setting or in the absence of resuscitative equipment [see Warnings and Precautions (5.6) ] • Known or suspected gastrointestinal obstruction, including paralytic ileus [see Warnings and Precautions (5.10) ] • Hypersensitivity to hydromorphone (e.g., anaphylaxis) [see Adverse Reactions (6) ]

Warnings and Precautions

• Opioid-Induced Hyperalgesia and Allodynia : Opioid-Induced ‎Hyperalgesia (OIH) occurs when an opioid analgesic ‎paradoxically causes an increase in pain, or an increase in ‎sensitivity to pain. If OIH is suspected, carefully consider appropriately ‎decreasing the dose of the current opioid analgesic or ‎opioid rotation. ( 5.5 )‎ • Life-Threatening Respiratory Depression in Patients with Chronic Pulmonary Disease or in Elderly, Cachectic, or Debilitated Patients : Monitor closely, particularly during initiation and titration. ( 5.6 ) • Adrenal Insufficiency : If diagnosed, treat with physiologic replacement of corticosteroids, and wean patient off of the opioid. ( 5.7 ) • Severe Hypotension : Monitor during dosage initiation and titration. Avoid use of Hydromorphone Hydrochloride Injection in patients with circulatory shock. ( 5.8 ) • Risks of Use in Patients with Increased Intracranial Pressure, Brain Tumors, Head Injury, or Impaired Consciousness : Monitor for sedation and respiratory depression. Avoid use of Hydromorphone Hydrochloride Injection in patients with impaired consciousness or coma. ( 5.9 )

Adverse Reactions

The following serious adverse reactions are described, or described in greater detail, in other sections: • Addiction, Abuse, and Misuse [see Warnings and Precautions (5.1) ] • Life-Threatening Respiratory Depression [see Warnings and Precautions (5.2) ] • Interactions with Benzodiazepines or Other CNS Depressants [see Warnings and Precautions (5.3) ] • Neonatal Opioid Withdrawal Syndrome [see Warnings and Precautions (5.4) ] • Opioid-Induced Hyperalgesia and Allodynia [see Warnings and Precautions (5.5) ]‎ • Adrenal Insufficiency [see Warnings and Precautions (5.7) ] • Severe Hypotension [see Warnings and Precautions (5.8) ] • Gastrointestinal Adverse Reactions [see Warnings and Precautions (5.10) ] • Seizures [see Warnings and Precautions (5.11) ] • Withdrawal [see Warnings and Precautions (5.12) ] The following adverse reactions associated with the use of hydromorphone were identified in clinical studies or postmarketing reports. Because some of these reactions were reported voluntarily from a population of uncertain size, it is not always possible to reliably estimate their frequency or establish a causal relationship to drug exposure. The most common adverse effects are light-headedness, dizziness, sedation, nausea, vomiting, sweating, flushing, dysphoria, euphoria, dry mouth, and pruritus. These effects seem to be more prominent in ambulatory patients and in those not experiencing severe pain.

Drug Interactions

Table 1 includes clinically significant drug interactions with Hydromorphone Hydrochloride Injection. Table 1: Clinically Significant Drug Interactions with Hydromorphone Hydrochloride Injection Benzodiazepines and other Central Nervous System (CNS) Depressants Clinical Impact: Due to additive pharmacologic effect, the concomitant use of benzodiazepines or other CNS depressants, including alcohol, can increase the risk of hypotension, respiratory depression, profound sedation, coma, and death [see Warnings and Precautions (5.3) ] . Intervention: Reserve concomitant prescribing of these drugs for use in patients for whom alternative treatment options are inadequate. Limit dosages and durations to the minimum required. Monitor patients closely for signs of respiratory depression and sedation. Examples: Benzodiazepines and other sedatives/hypnotics, anxiolytics, tranquilizers, muscle relaxants, general anesthetics, antipsychotics, gabapentinoids (gabapentin or pregabalin), other opioids, alcohol. Serotonergic Drugs Clinical Impact: The concomitant use of opioids with other drugs that affect the serotonergic neurotransmitter system has resulted in serotonin syndrome. Intervention: If concomitant use is warranted, carefully observe the patient, particularly during treatment initiation and dose adjustment. Discontinue Hydromorphone Hydrochloride Injection if serotonin syndrome is suspected. Examples: Selective serotonin reuptake inhibitors (SSRIs), serotonin and norepinephrine reuptake inhibitors (SNRIs), tricyclic antidepressants (TCAs), triptans, 5-HT3 receptor antagonists, drugs that effect the serotonin neurotransmitter system (e.g., mirtazapine, trazodone, tramadol), certain muscle relaxants (i.e., cyclobenzaprine, metaxalone), monoamine oxidase (MAO) inhibitors (those intended to treat psychiatric disorders and also others, such as linezolid and intravenous methylene blue). Monoamine Oxidase Inhibitors (MAOIs) Clinical Impact: MAOI interactions with opioids may manifest as serotonin syndrome or opioid toxicity (e.g., respiratory depression, coma) [see Warnings and Precautions (5.2) ]. Intervention: The use of Hydromorphone Hydrochloride Injection is not recommended for patients taking MAOIs or within 14 days of stopping such treatment. If urgent use of an opioid is necessary, use test doses and frequent titration of small doses to treat pain while closely monitoring blood pressure and signs and symptoms of CNS and respiratory depression. Examples: phenelzine, tranylcypromine, linezolid Mixed Agonist/Antagonist and Partial Agonist Opioid Analgesics Clinical Impact: May reduce the analgesic effect of Hydromorphone Hydrochloride Injection and/or precipitate withdrawal symptoms. Intervention: Avoid concomitant use. Examples: butorphanol, nalbuphine, pentazocine, buprenorphine Muscle Relaxants Clinical Impact: Hydromorphone may enhance the neuromuscular blocking action of skeletal muscle relaxants and produce an increased degree of respiratory depression. Intervention: Monitor patients for signs of respiratory depression that may be greater than otherwise expected and decrease the dosage of Hydromorphone Hydrochloride Injection and/or the muscle relaxant as necessary. Examples: cyclobenzaprine, metaxalone Diuretics Clinical Impact: Opioids can reduce the efficacy of diuretics by inducing the release of antidiuretic hormone. Intervention: Monitor patients for signs of diminished diuresis and/or effects on blood pressure and increase the dosage of the diuretic as needed. Anticholinergic Drugs Clinical Impact: The concomitant use of anticholinergic drugs may increase risk of urinary retention and/or severe constipation, which may lead to paralytic ileus. Intervention: Monitor patients for signs of urinary retention or reduced gastric motility when Hydromorphone Hydrochloride Injection is used concomitantly with anticholinergic drugs.

How Supplied

     

Storage and Handling

     

Description

Boxed Warning 12/2025 Indications and Usage ( 1 ) 12/2025 Dosage and Administration ( 2.6 ) 12/2025 Warnings and Precautions ( 5.1 , 5.2 , 5.3 , 5.10 , 5.12 ) 12/2025


Medication Information

Warnings and Precautions

• Opioid-Induced Hyperalgesia and Allodynia : Opioid-Induced ‎Hyperalgesia (OIH) occurs when an opioid analgesic ‎paradoxically causes an increase in pain, or an increase in ‎sensitivity to pain. If OIH is suspected, carefully consider appropriately ‎decreasing the dose of the current opioid analgesic or ‎opioid rotation. ( 5.5 )‎ • Life-Threatening Respiratory Depression in Patients with Chronic Pulmonary Disease or in Elderly, Cachectic, or Debilitated Patients : Monitor closely, particularly during initiation and titration. ( 5.6 ) • Adrenal Insufficiency : If diagnosed, treat with physiologic replacement of corticosteroids, and wean patient off of the opioid. ( 5.7 ) • Severe Hypotension : Monitor during dosage initiation and titration. Avoid use of Hydromorphone Hydrochloride Injection in patients with circulatory shock. ( 5.8 ) • Risks of Use in Patients with Increased Intracranial Pressure, Brain Tumors, Head Injury, or Impaired Consciousness : Monitor for sedation and respiratory depression. Avoid use of Hydromorphone Hydrochloride Injection in patients with impaired consciousness or coma. ( 5.9 )

Indications and Usage

Hydromorphone Hydrochloride Injection is indicated for the management of pain severe enough to require an opioid analgesic and for which alternative treatments are inadequate.

Dosage and Administration

• Hydromorphone Hydrochloride Injection should be ‎prescribed only by healthcare professionals who are ‎knowledgeable about the use of opioids and how to ‎mitigate the associated risks. ( 2.1 )‎ • Use the lowest effective dosage for the shortest duration consistent with individual patient treatment goals. Reserve titration to higher doses of Hydromorphone ‎Hydrochloride Injection for patients in whom lower doses are insufficiently ‎effective and in whom the expected benefits of using a higher dose opioid ‎clearly outweigh the substantial risks. ( 2.1 , 5 ) • Many acute pain conditions (e.g., the pain that occurs with ‎a number of surgical procedures or acute ‎musculoskeletal injuries) require no more than a few ‎days of an opioid analgesic. Clinical guidelines on ‎opioid prescribing for some acute pain conditions are ‎available. ( 2.1 )‎ • Initiate the dosing regimen for each patient individually, ‎taking into account the patient’s underlying cause and severity of pain, prior analgesic treatment and ‎response, and risk factors for addiction, abuse, and misuse. ( 2.1 , 5.1 ) • Respiratory depression can occur at any time during opioid ‎therapy, especially when initiating and following dosage ‎increases with Hydromorphone Hydrochloride Injection. ‎Consider this risk when selecting an initial dose and when ‎making dose adjustments. ( 2.1 , 5.2 )‎ • Intramuscular and Subcutaneous Use : The usual starting dose is 1 mg to 2 mg every 2 to 3 hours as necessary. ( 2.2 ) • Intravenous Use : The usual starting dose is 0.2 mg to 1 mg every 2 to 3 hours. The injection should be given slowly , over at least 2 to 3 minutes. ( 2.2 ) • Hepatic Impairment : Initiate treatment with one-fourth to one-half the usual starting dose, depending on degree of hepatic impairment. ( 2.3 ) • Renal Impairment : Initiate treatment with one-fourth to one-half the usual starting dose, depending on degree of renal impairment. ( 2.4 ) • Periodically reassess patients receiving Hydromorphone Hydrochloride Injection to evaluate the continued need for opioid analgesics to maintain pain control, for the signs or symptoms of adverse reactions, and for the development of addiction, abuse, or misuse. ( 2.5 ) • Do not rapidly reduce or abruptly discontinue Hydromorphone Hydrochloride Injection in a physically-dependent patient. ( 2.6 , 5.12 )

Contraindications

Hydromorphone Hydrochloride Injection is contraindicated in patients with: • Significant respiratory depression [see Warnings and Precautions (5.2) ] • Acute or severe bronchial asthma in an unmonitored setting or in the absence of resuscitative equipment [see Warnings and Precautions (5.6) ] • Known or suspected gastrointestinal obstruction, including paralytic ileus [see Warnings and Precautions (5.10) ] • Hypersensitivity to hydromorphone (e.g., anaphylaxis) [see Adverse Reactions (6) ]

Adverse Reactions

The following serious adverse reactions are described, or described in greater detail, in other sections: • Addiction, Abuse, and Misuse [see Warnings and Precautions (5.1) ] • Life-Threatening Respiratory Depression [see Warnings and Precautions (5.2) ] • Interactions with Benzodiazepines or Other CNS Depressants [see Warnings and Precautions (5.3) ] • Neonatal Opioid Withdrawal Syndrome [see Warnings and Precautions (5.4) ] • Opioid-Induced Hyperalgesia and Allodynia [see Warnings and Precautions (5.5) ]‎ • Adrenal Insufficiency [see Warnings and Precautions (5.7) ] • Severe Hypotension [see Warnings and Precautions (5.8) ] • Gastrointestinal Adverse Reactions [see Warnings and Precautions (5.10) ] • Seizures [see Warnings and Precautions (5.11) ] • Withdrawal [see Warnings and Precautions (5.12) ] The following adverse reactions associated with the use of hydromorphone were identified in clinical studies or postmarketing reports. Because some of these reactions were reported voluntarily from a population of uncertain size, it is not always possible to reliably estimate their frequency or establish a causal relationship to drug exposure. The most common adverse effects are light-headedness, dizziness, sedation, nausea, vomiting, sweating, flushing, dysphoria, euphoria, dry mouth, and pruritus. These effects seem to be more prominent in ambulatory patients and in those not experiencing severe pain.

Drug Interactions

Table 1 includes clinically significant drug interactions with Hydromorphone Hydrochloride Injection. Table 1: Clinically Significant Drug Interactions with Hydromorphone Hydrochloride Injection Benzodiazepines and other Central Nervous System (CNS) Depressants Clinical Impact: Due to additive pharmacologic effect, the concomitant use of benzodiazepines or other CNS depressants, including alcohol, can increase the risk of hypotension, respiratory depression, profound sedation, coma, and death [see Warnings and Precautions (5.3) ] . Intervention: Reserve concomitant prescribing of these drugs for use in patients for whom alternative treatment options are inadequate. Limit dosages and durations to the minimum required. Monitor patients closely for signs of respiratory depression and sedation. Examples: Benzodiazepines and other sedatives/hypnotics, anxiolytics, tranquilizers, muscle relaxants, general anesthetics, antipsychotics, gabapentinoids (gabapentin or pregabalin), other opioids, alcohol. Serotonergic Drugs Clinical Impact: The concomitant use of opioids with other drugs that affect the serotonergic neurotransmitter system has resulted in serotonin syndrome. Intervention: If concomitant use is warranted, carefully observe the patient, particularly during treatment initiation and dose adjustment. Discontinue Hydromorphone Hydrochloride Injection if serotonin syndrome is suspected. Examples: Selective serotonin reuptake inhibitors (SSRIs), serotonin and norepinephrine reuptake inhibitors (SNRIs), tricyclic antidepressants (TCAs), triptans, 5-HT3 receptor antagonists, drugs that effect the serotonin neurotransmitter system (e.g., mirtazapine, trazodone, tramadol), certain muscle relaxants (i.e., cyclobenzaprine, metaxalone), monoamine oxidase (MAO) inhibitors (those intended to treat psychiatric disorders and also others, such as linezolid and intravenous methylene blue). Monoamine Oxidase Inhibitors (MAOIs) Clinical Impact: MAOI interactions with opioids may manifest as serotonin syndrome or opioid toxicity (e.g., respiratory depression, coma) [see Warnings and Precautions (5.2) ]. Intervention: The use of Hydromorphone Hydrochloride Injection is not recommended for patients taking MAOIs or within 14 days of stopping such treatment. If urgent use of an opioid is necessary, use test doses and frequent titration of small doses to treat pain while closely monitoring blood pressure and signs and symptoms of CNS and respiratory depression. Examples: phenelzine, tranylcypromine, linezolid Mixed Agonist/Antagonist and Partial Agonist Opioid Analgesics Clinical Impact: May reduce the analgesic effect of Hydromorphone Hydrochloride Injection and/or precipitate withdrawal symptoms. Intervention: Avoid concomitant use. Examples: butorphanol, nalbuphine, pentazocine, buprenorphine Muscle Relaxants Clinical Impact: Hydromorphone may enhance the neuromuscular blocking action of skeletal muscle relaxants and produce an increased degree of respiratory depression. Intervention: Monitor patients for signs of respiratory depression that may be greater than otherwise expected and decrease the dosage of Hydromorphone Hydrochloride Injection and/or the muscle relaxant as necessary. Examples: cyclobenzaprine, metaxalone Diuretics Clinical Impact: Opioids can reduce the efficacy of diuretics by inducing the release of antidiuretic hormone. Intervention: Monitor patients for signs of diminished diuresis and/or effects on blood pressure and increase the dosage of the diuretic as needed. Anticholinergic Drugs Clinical Impact: The concomitant use of anticholinergic drugs may increase risk of urinary retention and/or severe constipation, which may lead to paralytic ileus. Intervention: Monitor patients for signs of urinary retention or reduced gastric motility when Hydromorphone Hydrochloride Injection is used concomitantly with anticholinergic drugs.

Storage and Handling

     

How Supplied

     

Description

Boxed Warning 12/2025 Indications and Usage ( 1 ) 12/2025 Dosage and Administration ( 2.6 ) 12/2025 Warnings and Precautions ( 5.1 , 5.2 , 5.3 , 5.10 , 5.12 ) 12/2025

Section 42229-5

Limitations of Use:

Because of the risks of addiction, abuse, misuse, overdose, and death, which can occur at any dosage or duration and persist over the course of therapy [see Warnings and Precautions (5.1)], reserve opioid analgesics, including Hydromorphone Hydrochloride Injection, for use in patients for whom alternative treatment options are ineffective, not tolerated, or would be otherwise inadequate to provide sufficient management of pain.

Section 43683-2

Boxed Warning

12/2025

Indications and Usage (1)

12/2025

Dosage and Administration (2.6)

12/2025

Warnings and Precautions (5.1, 5.2, 5.3, 5.10, 5.12)

12/2025

Section 44425-7

Safety and Handling Instructions

Access to drugs with a potential for abuse such as Hydromorphone Hydrochloride Injection presents an occupational hazard for addiction in the health care industry. Routine procedures for handling controlled substances developed to protect the public may not be adequate to protect health care workers. Implementation of more effective accounting procedures and measures to restrict access to drugs of this class (appropriate to the practice setting) may minimize the risk of self-administration by health care providers.

9.2 Abuse

Hydromorphone Hydrochloride Injection contains hydromorphone, a substance with high potential for misuse and abuse, which can lead to the development of ‎substance use disorder, including addiction [see Warnings and Precautions (5.1) ].

Misuse is the intentional use, for therapeutic purposes, of a drug by an ‎individual in a way other than ‎prescribed by a healthcare provider or for ‎whom it was not prescribed.‎

Abuse is the intentional non-therapeutic use of a drug, even once, for its desirable psychological or physiological effects.

Drug addiction is a cluster of behavioral, cognitive, and physiological phenomena that may include a strong desire to take the drug, difficulties in controlling drug use (e.g., continuing drug, use despite harmful consequences, giving a higher priority to drug use than other activities and obligations), and possible tolerance or physical dependence.

Misuse and abuse of Hydromorphone Hydrochloride Injection increases ‎risk of overdose, which may lead to central nervous system and ‎respiratory depression, hypotension, seizures, and death. The risk is ‎increased with concurrent abuse of Hydromorphone Hydrochloride ‎Injection with alcohol and/or other CNS depressants.‎ Abuse of and addiction to opioids in some individuals may not be ‎accompanied by concurrent tolerance and symptoms of physical ‎dependence. In addition, abuse of opioids can occur in the absence of ‎addiction.‎

All patients treated with opioids require careful and frequent reevaluation ‎for signs of misuse, abuse, and addiction, because use of opioid analgesic ‎products carries the risk of addiction even under appropriate medical use. ‎Patients at high risk of Hydromorphone Hydrochloride Injection abuse ‎include those with a history of prolonged use of ‎ any opioid, including products containing ‎hydromorphone, those with a history of drug or alcohol abuse, or those ‎who use Hydromorphone Hydrochloride Injection in combination with ‎other abused drugs.‎

“Drug-seeking” behavior is very common in persons with substance use disorders. Drug-seeking tactics include emergency calls or visits near the end of office hours, refusal to undergo appropriate examination, testing, or referral, repeated “loss” of prescriptions, tampering with prescriptions and reluctance to provide prior medical records or contact information for other treating health care provider(s). “Doctor shopping” (visiting multiple prescribers to obtain additional prescriptions) is common among people who abuse drugs and people with substance use disorder. Preoccupation with achieving adequate pain relief can be appropriate behavior in a patient with inadequate pain control.

Hydromorphone Hydrochloride Injection, like other opioids, can be diverted for nonmedical use into illicit channels of distribution. Careful record-keeping of prescribing information, including quantity, frequency, and renewal requests, as required by state and federal law, is strongly advised.

Proper assessment of the patient, proper prescribing practices, periodic reevaluation of therapy, and proper dispensing and storage are appropriate measures that help to limit abuse of opioid drugs.

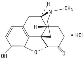
11 Description

Hydromorphone Hydrochloride Injection is an opioid agonist and available as an aqueous sterile solution, for use for intravenous, intramuscular and subcutaneous administration. It contains hydromorphone as active pharmaceutical ‎ingredient in the form of hydrochloride salt. ‎The chemical name of hydromorphone hydrochloride is 4,5α- epoxy-3-hydroxy-17-methylmorphinan-6-one hydrochloride. The molecular weight is 321.8 and it has the following chemical structure.

Hydromorphone hydrochloride is a white or almost white crystalline powder that is freely soluble in water, very slightly soluble in ethanol (96%), and practically insoluble in methylene chloride.

Each mL of Hydromorphone Hydrochloride Injection sterile solution contains 1 mg, 2 mg, or 4 mg of ‎Hydromorphone Hydrochloride USP, equivalent to 0.89 mg, 1.77 mg or 3.55 mg of hydromorphone ‎free base, respectively, 0.24 mg of Lactic Acid USP, 5.40 mg of Sodium Chloride as isotonicity agent, 8.93 ‎mg of Sodium Lactate USP as buffering agent, and Lactic Acid USP and Sodium Hydroxide NF as pH ‎adjusters, in Water for Injection. Hydromorphone Hydrochloride Injection pH range is 3.5 to 5.5. ‎

9.3 Dependence

Both tolerance and physical dependence can develop during use of opioid therapy.

Tolerance is a physiological state characterized by a reduced response to ‎a drug after repeated administration (i.e., a ‎higher dose of a drug is ‎required to produce the same effect that was once obtained at a lower ‎dose).‎

Physical dependence is a state that develops as a result of a physiological ‎adaptation in response to repeated drug use, ‎manifested by withdrawal signs and symptoms after abrupt discontinuation or a significant dose reduction of a drug.

Withdrawal may be precipitated through the administration of drugs with opioid antagonist activity (e.g., naloxone, nalmefene), mixed agonist/antagonist analgesics (e.g., pentazocine, butorphanol, nalbuphine), or partial agonists (e.g., buprenorphine). Physical dependence may not occur to a clinically significant degree until after several days to weeks of continued use.

Hydromorphone Hydrochloride Injection should not be rapidly reduced or abruptly discontinued in a physically-dependent patient [see Dosage and Administration (2.6)]. If Hydromorphone Hydrochloride Injection is abruptly discontinued in a physically-dependent patient, a withdrawal syndrome may occur, typically characterized by restlessness, lacrimation, rhinorrhea, perspiration, chills, myalgia, and mydriasis. Other signs and symptoms also may develop, including irritability, anxiety, backache, joint pain, weakness, abdominal cramps, insomnia, nausea, anorexia, vomiting, diarrhea, or increased blood pressure, respiratory rate, or heart rate.

Infants born to mothers physically-dependent on opioids will also be physically-dependent and may exhibit respiratory difficulties and withdrawal signs [see Use in Specific Populations (8.1)].

5.12 Withdrawal

Avoid the use of mixed agonist/antagonist (e.g., pentazocine, nalbuphine, and butorphanol) or partial agonist (e.g., buprenorphine) analgesics in patients who are receiving a full opioid agonist analgesic, including Hydromorphone Hydrochloride Injection. In these patients, mixed agonist/antagonist and partial agonist analgesics may reduce the analgesic effect and/or precipitate withdrawal symptoms [see Drug Interactions (7)].

When discontinuing Hydromorphone Hydrochloride Injection, in a physically-dependent patient, gradually taper the dosage [see Dosage and Administration (2.6)]. Do not rapidly reduce or abruptly discontinue Hydromorphone Hydrochloride Injection in these patients [see Drug Abuse and Dependence (9.3)].

8.4 Pediatric Use

The safety and effectiveness of Hydromorphone Hydrochloride Injection in pediatric patients has not been established.

8.5 Geriatric Use

Elderly patients (aged 65 years or older) may have increased sensitivity to hydromorphone. In general, use caution when selecting a dosage for an elderly patient, usually starting at the low end of the dosing range, reflecting the greater frequency of decreased hepatic, renal, or cardiac function and of concomitant disease or other drug therapy.

Respiratory depression is the chief risk for elderly patients treated with opioids and has occurred after large initial doses were administered to patients who were not opioid-tolerant or when opioids were co-administered with other agents that depress respiration. Titrate the dosage of Hydromorphone Hydrochloride Injection slowly in geriatric patients and monitor closely for signs of central nervous system and respiratory depression [see Warnings and Precautions (5.6) ].

Hydromorphone is known to be substantially excreted by the kidney, and the risk of adverse reactions to this drug may be greater in patients with impaired renal function. Because elderly patients are more likely to have decreased renal function, care should be taken in dose selection, and it may be useful to monitor renal function.

4 Contraindications

Hydromorphone Hydrochloride Injection is contraindicated in patients with:

6 Adverse Reactions

The following serious adverse reactions are described, or described in greater detail, in other sections:

The following adverse reactions associated with the use of hydromorphone were identified in clinical studies or postmarketing reports. Because some of these reactions were reported voluntarily from a population of uncertain size, it is not always possible to reliably estimate their frequency or establish a causal relationship to drug exposure.

The most common adverse effects are light-headedness, dizziness, sedation, nausea, vomiting, sweating, flushing, dysphoria, euphoria, dry mouth, and pruritus. These effects seem to be more prominent in ambulatory patients and in those not experiencing severe pain.

7 Drug Interactions

Table 1 includes clinically significant drug interactions with Hydromorphone Hydrochloride Injection.

Table 1: Clinically Significant Drug Interactions with Hydromorphone Hydrochloride Injection

Benzodiazepines and other Central Nervous System (CNS) Depressants

Clinical Impact:

Due to additive pharmacologic effect, the concomitant use of benzodiazepines or other CNS depressants, including alcohol, can increase the risk of hypotension, respiratory depression, profound sedation, coma, and death [see Warnings and Precautions (5.3)].

Intervention:

Reserve concomitant prescribing of these drugs for use in patients for whom alternative treatment options are inadequate. Limit dosages and durations to the minimum required. Monitor patients closely for signs of respiratory depression and sedation.

Examples:

Benzodiazepines and other sedatives/hypnotics, anxiolytics, tranquilizers, muscle relaxants, general anesthetics, antipsychotics, gabapentinoids (gabapentin or pregabalin), other opioids, alcohol.

Serotonergic Drugs

Clinical Impact:

The concomitant use of opioids with other drugs that affect the serotonergic neurotransmitter system has resulted in serotonin syndrome.

Intervention:

If concomitant use is warranted, carefully observe the patient, particularly during treatment initiation and dose adjustment. Discontinue Hydromorphone Hydrochloride Injection if serotonin syndrome is suspected.

Examples:

Selective serotonin reuptake inhibitors (SSRIs), serotonin and norepinephrine reuptake inhibitors (SNRIs), tricyclic antidepressants (TCAs), triptans, 5-HT3 receptor antagonists, drugs that effect the serotonin neurotransmitter system (e.g., mirtazapine, trazodone, tramadol), certain muscle relaxants (i.e., cyclobenzaprine, metaxalone), monoamine oxidase (MAO) inhibitors (those intended to treat psychiatric disorders and also others, such as linezolid and intravenous methylene blue).

Monoamine Oxidase Inhibitors (MAOIs)

Clinical Impact:

MAOI interactions with opioids may manifest as serotonin syndrome or opioid toxicity (e.g., respiratory depression, coma) [see Warnings and Precautions (5.2) ].

Intervention:

The use of Hydromorphone Hydrochloride Injection is not recommended for patients taking MAOIs or within 14 days of stopping such treatment.

If urgent use of an opioid is necessary, use test doses and frequent titration of small doses to treat pain while closely monitoring blood pressure and signs and symptoms of CNS and respiratory depression.

Examples:

phenelzine, tranylcypromine, linezolid

Mixed Agonist/Antagonist and Partial Agonist Opioid Analgesics

Clinical Impact:

May reduce the analgesic effect of Hydromorphone Hydrochloride Injection and/or precipitate withdrawal symptoms.

Intervention:

Avoid concomitant use.

Examples:

butorphanol, nalbuphine, pentazocine, buprenorphine

Muscle Relaxants

Clinical Impact:

Hydromorphone may enhance the neuromuscular blocking action of skeletal muscle relaxants and produce an increased degree of respiratory depression.

Intervention:

Monitor patients for signs of respiratory depression that may be greater than otherwise expected and decrease the dosage of Hydromorphone Hydrochloride Injection and/or the muscle relaxant as necessary.

Examples:

cyclobenzaprine, metaxalone

Diuretics

Clinical Impact:

Opioids can reduce the efficacy of diuretics by inducing the release of antidiuretic hormone.

Intervention:

Monitor patients for signs of diminished diuresis and/or effects on blood pressure and increase the dosage of the diuretic as needed.

Anticholinergic Drugs

Clinical Impact:

The concomitant use of anticholinergic drugs may increase risk of urinary retention and/or severe constipation, which may lead to paralytic ileus.

Intervention:

Monitor patients for signs of urinary retention or reduced gastric motility when Hydromorphone Hydrochloride Injection is used concomitantly with anticholinergic drugs.

8.7 Renal Impairment

The pharmacokinetics of hydromorphone are affected by renal impairment. In addition, in patients with severe renal impairment, hydromorphone appeared to be more slowly eliminated with a longer terminal elimination half-life. Start patients with renal impairment on one-fourth to one-half the usual starting dose depending on the degree of impairment. Patients with renal impairment should be closely monitored during dose titration [see Clinical Pharmacology (12.3)].

Instructions for Use

Parenteral drug products should be inspected visually for particulate matter and discoloration prior to ‎‎‎administration, whenever solution and container permit. Do not use if color is darker than pale yellow, if it ‎‎is ‎discolored in any other way, or if it contains a precipitate.‎

Instructions for use - Carpuject™ Single-dose Cartridge

Carpuject™ Single-dose cartridges with Luer Lock are packaged in a Slim-Pak™ tamper detection ‎package. Note that a needle is not included.‎

Before use, read all instructions for using the Carpuject™ Syringe, which are contained in the product insert for the reusable Carpuject™ Holder.

Carpuject™ Single-dose cartridges are to be used ONLY with Carpuject™ Holders.

NOTE: To prevent needlestick injuries, do not recap, purposely bend, or break by hand used ‎needles. Do ‎not recap, purposely bend, or break by hand blunt Cannulas.‎

12.2 Pharmacodynamics

     

2.6 Safe Reduction And

When a patient who has been taking Hydromorphone Hydrochloride Injection regularly and may be physically dependent no longer requires therapy with Hydromorphone Hydrochloride Injection, taper the dose gradually, by 25% to 50% every 2 to 4 days, while monitoring carefully for signs and symptoms of withdrawal. If the patient develops these signs or symptoms, raise the dose to the previous level and taper more slowly, either by increasing the interval between decreases, decreasing the amount of change in dose, or both. Do not rapidly reduce or abruptly discontinue Hydromorphone Hydrochloride Injection in patients who may be physically dependent on opioids [see Warnings and Precautions (5.12), Drug Abuse and Dependence (9.3)].

5.8 Severe Hypotension

Hydromorphone Hydrochloride Injection may cause severe hypotension including orthostatic hypotension and syncope in ambulatory patients. There is increased risk in patients whose ability to maintain blood pressure has already been compromised by a reduced blood volume or concurrent administration of certain CNS depressant drugs (e.g., phenothiazines or general anesthetics) [see Drug Interactions (7)]. Monitor these patients for signs of hypotension after initiating or titrating the dosage of Hydromorphone Hydrochloride Injection. In patients with circulatory shock, Hydromorphone Hydrochloride Injection may cause vasodilation that can further reduce cardiac output and blood pressure. Avoid the use of Hydromorphone Hydrochloride Injection in patients with circulatory shock.

8.6 Hepatic Impairment

The pharmacokinetics of hydromorphone are affected by hepatic impairment. Due to increased exposure of hydromorphone, patients with moderate hepatic impairment should be started at one fourth to one half the recommended starting dose depending on the degree of hepatic dysfunction and closely monitored during dose titration. The pharmacokinetics of hydromorphone in patients with severe hepatic impairment has not been studied. A further increase in Cmax and AUC of hydromorphone in this group is expected and should be taken into consideration when selecting a starting dose [see Clinical Pharmacology (12.3)].

1 Indications and Usage

Hydromorphone Hydrochloride Injection is indicated for the management of pain severe enough to require an opioid analgesic and for which alternative treatments are inadequate.

12 Clinical Pharmacology

     

12.1 Mechanism of Action

Hydromorphone is a full opioid agonist and is relatively selective for the mµ-opioid receptor, although it can bind to other opioid receptors at higher doses. The principal therapeutic action of hydromorphone is analgesia. Like all full opioid agonists, there is no ceiling effect for analgesia with morphine. Clinically, dosage is titrated to provide adequate analgesia and may be limited by adverse reactions, including respiratory and CNS depression.

The precise mechanism of the analgesic action is unknown. However, specific CNS opioid receptors for endogenous compounds with opioid-like activity have been identified throughout the brain and spinal cord and are thought to play a role in the analgesic effects of this drug.

9.1 Controlled Substance

Hydromorphone Hydrochloride Injection contains hydromorphone, a Schedule II controlled substance.

5.7 Adrenal Insufficiency

Cases of adrenal insufficiency have been reported with opioid use, more often following greater than one month of use. Presentation of adrenal insufficiency may include non-specific symptoms and signs including nausea, vomiting, anorexia, fatigue, weakness, dizziness, and low blood pressure. If adrenal insufficiency is suspected, confirm the diagnosis with diagnostic testing as soon as possible. If adrenal insufficiency is diagnosed, treat with physiologic replacement doses of corticosteroids. Wean the patient off of the opioid to allow adrenal function to recover and continue corticosteroid treatment until adrenal function recovers. Other opioids may be tried as some cases reported use of a different opioid without recurrence of adrenal insufficiency. The information available does not identify any particular opioids as being more likely to be associated with adrenal insufficiency.

5 Warnings and Precautions
  • Opioid-Induced Hyperalgesia and Allodynia: Opioid-Induced ‎Hyperalgesia (OIH) occurs when an opioid analgesic ‎paradoxically causes an increase in pain, or an increase in ‎sensitivity to pain. If OIH is suspected, carefully consider appropriately ‎decreasing the dose of the current opioid analgesic or ‎opioid rotation. (5.5)‎
  • Life-Threatening Respiratory Depression in Patients with Chronic Pulmonary Disease or in Elderly, Cachectic, or Debilitated Patients: Monitor closely, particularly during initiation and titration. (5.6)
  • Adrenal Insufficiency: If diagnosed, treat with physiologic replacement of corticosteroids, and wean patient off of the opioid. (5.7)
  • Severe Hypotension: Monitor during dosage initiation and titration. Avoid use of Hydromorphone Hydrochloride Injection in patients with circulatory shock. (5.8)
  • Risks of Use in Patients with Increased Intracranial Pressure, Brain Tumors, Head Injury, or Impaired Consciousness: Monitor for sedation and respiratory depression. Avoid use of Hydromorphone Hydrochloride Injection in patients with impaired consciousness or coma. (5.9)
2 Dosage and Administration
  • Hydromorphone Hydrochloride Injection should be ‎prescribed only by healthcare professionals who are ‎knowledgeable about the use of opioids and how to ‎mitigate the associated risks. (2.1)‎
  • Use the lowest effective dosage for the shortest duration consistent with individual patient treatment goals. Reserve titration to higher doses of Hydromorphone ‎Hydrochloride Injection for patients in whom lower doses are insufficiently ‎effective and in whom the expected benefits of using a higher dose opioid ‎clearly outweigh the substantial risks. (2.1, 5)
  • Many acute pain conditions (e.g., the pain that occurs with ‎a number of surgical procedures or acute ‎musculoskeletal injuries) require no more than a few ‎days of an opioid analgesic. Clinical guidelines on ‎opioid prescribing for some acute pain conditions are ‎available. (2.1)‎
  • Initiate the dosing regimen for each patient individually, ‎taking into account the patient’s underlying cause and severity of pain, prior analgesic treatment and ‎response, and risk factors for addiction, abuse, and misuse. (2.1, 5.1)
  • Respiratory depression can occur at any time during opioid ‎therapy, especially when initiating and following dosage ‎increases with Hydromorphone Hydrochloride Injection. ‎Consider this risk when selecting an initial dose and when ‎making dose adjustments. (2.1, 5.2)‎
  • Intramuscular and Subcutaneous Use: The usual starting dose is 1 mg to 2 mg every 2 to 3 hours as necessary. (2.2)
  • Intravenous Use: The usual starting dose is 0.2 mg to 1 mg every 2 to 3 hours. The injection should be given slowly, over at least 2 to 3 minutes. (2.2)
  • Hepatic Impairment: Initiate treatment with one-fourth to one-half the usual starting dose, depending on degree of hepatic impairment. (2.3)
  • Renal Impairment: Initiate treatment with one-fourth to one-half the usual starting dose, depending on degree of renal impairment. (2.4)
  • Periodically reassess patients receiving Hydromorphone Hydrochloride Injection to evaluate the continued need for opioid analgesics to maintain pain control, for the signs or symptoms of adverse reactions, and for the development of addiction, abuse, or misuse. (2.5)
  • Do not rapidly reduce or abruptly discontinue Hydromorphone Hydrochloride Injection in a physically-dependent patient. (2.6, 5.12)
3 Dosage Forms and Strengths

Hydromorphone Hydrochloride Injection, USP is available as:

  • Single-dose Ampuls
  • Single-dose Carpuject™ cartridges
  • Single-dose Vials
  •  
    1 mg/mL, 2 mg/mL, and 4 mg/mL
  •  
    1 mg/mL, 2 mg/mL, and 4 mg/mL
  •  
    2 mg/mL

The drug product is a clear, colorless to nearly colorless aqueous sterile solution. Each 1 mL of sterile solution contains 1 mg, 2 mg or 4 mg of hydromorphone hydrochloride.

8 Use in Specific Populations
  • Pregnancy: May cause fetal harm. (8.1)
  • Geriatric Patients: Use caution during dose selection, starting at the low ‎end of the dosing range while carefully monitoring for side effects. ‎‎(8.5)
5.1 Addiction, Abuse, and Misuse

Hydromorphone Hydrochloride Injection contains hydromorphone, a Schedule II controlled substance. As an opioid, Hydromorphone Hydrochloride Injection exposes users to the risks of addiction, abuse, and misuse [see Drug Abuse and Dependence (9)].

Although the risk of addiction in any individual is unknown, it can occur in patients appropriately prescribed Hydromorphone Hydrochloride Injection. Addiction can occur at recommended dosages and if the drug is misused or abused. The risk of opioid-related overdose or overdose-related death is increased with higher opioid doses, and this risk persists over the course of therapy. In postmarketing studies, addiction, abuse, misuse, and fatal and non-fatal opioid overdose were observed in patients with long-term opioid use [see Adverse Reactions (6)].

Assess each patient's risk for opioid addiction, abuse, or misuse prior to prescribing Hydromorphone Hydrochloride Injection, and monitor all patients receiving Hydromorphone Hydrochloride Injection for the development of these behaviors and conditions. Risks are increased in patients with a personal or family history of substance abuse (including drug or alcohol abuse or addiction) or mental illness (e.g., major depression). The potential for these risks should not, however, prevent the proper management of pain in any given patient. Patients at increased risk may be prescribed opioids such as Hydromorphone Hydrochloride Injection but use in such patients necessitates intensive counseling about the risks and proper use of Hydromorphone Hydrochloride Injection along with intensive monitoring for signs of addiction, abuse, and misuse.

Opioids are sought for nonmedical use and are subject to diversion from legitimate prescribed use. Consider these risks when prescribing or dispensing Hydromorphone Hydrochloride Injection. Strategies to reduce these risks include prescribing the drug in the smallest appropriate quantity. Contact local state professional licensing board or state-controlled substances authority for information on how to prevent and detect abuse or diversion of this product.

17 Patient Counseling Information

     

16 How Supplied/storage and Handling

     

5.4 Neonatal Opioid Withdrawal Syndrome

Use of Hydromorphone Hydrochloride Injection for an extended period of time during pregnancy can result in withdrawal in the neonate. Neonatal opioid withdrawal syndrome, unlike opioid withdrawal syndrome in adults, may be life‑threatening if not recognized and treated, and requires management according to protocols developed by neonatology experts. Observe newborns for signs of neonatal opioid withdrawal syndrome and manage accordingly. Advise pregnant women using opioids for an extended period of time of the risk of neonatal opioid withdrawal syndrome and ensure that management by neonatology experts will be available at delivery [see Use in Specific Populations (8.1)].

2.5 Titration and Maintenance of Therapy

Titrate the dose based upon the individual patient’s response to their initial dose of Hydromorphone ‎Hydrochloride Injection. Individually titrate Hydromorphone Hydrochloride Injection to a dose that provides adequate analgesia and minimizes adverse reactions. Continually reevaluate patients receiving Hydromorphone Hydrochloride Injection to assess the maintenance of pain control, signs and symptoms of opioid withdrawal, and other adverse reactions, as well as to reassess for the development of addiction, abuse, or misuse [see Warnings and Precautions (5.1,   5.12) ]. Frequent communication is important among the prescriber, other members of the healthcare team, the patient, and the caregiver/family during periods of changing analgesic requirements, including initial titration.

If the level of pain increases after dosage stabilization, attempt to identify the source of increased pain before increasing the Hydromorphone Hydrochloride Injection dosage. If after increasing the dosage, unacceptable opioid-related adverse reactions are observed (including an increase ‎in pain after a dosage increase), consider reducing the dosage [see Warnings and Precautions (5)]. Adjust the dosage to obtain an appropriate balance between management of pain and opioid-related adverse reactions.

5.2 Life Threatening Respiratory Depression

Serious, life-threatening, or fatal respiratory depression has been reported with the use of opioids, even when used as recommended. Respiratory depression, if not immediately recognized and treated, may lead to respiratory arrest and death. Management of respiratory depression may include close observation, supportive measures, and use of opioid overdose reversal agent (e.g., naloxone, nalmefene), depending on the patient's clinical status [see Overdosage (10)]. Carbon dioxide (CO2) retention from opioid-induced respiratory depression can exacerbate the sedating effects of opioids.

While serious, life-threatening, or fatal respiratory depression can occur at any time during the use of Hydromorphone Hydrochloride Injection, the risk is greatest during the initiation of therapy or following a dosage increase.

To reduce the risk of respiratory depression, proper dosing and titration of Hydromorphone Hydrochloride Injection are essential [see Dosage and Administration (2.1)]. Overestimating the Hydromorphone Hydrochloride Injection dosage when converting patients from another opioid product can result in a fatal overdose with the first dose.

Opioids can cause sleep-related breathing disorders including central sleep apnea (CSA) and sleep-related hypoxemia. Opioid use increases the risk of CSA in a dose-dependent fashion. In patients who present with CSA, consider decreasing the opioid dosage using best practices for opioid taper [see Dosage and Administration (2.1)].

5.10 Risks of Gastrointestinal Complications

Hydromorphone Hydrochloride Injection is contraindicated in patients with known or suspected gastrointestinal obstruction, including paralytic ileus.

The hydromorphone in Hydromorphone Hydrochloride Injection may cause spasm of the sphincter of Oddi. Opioids may cause increases in serum amylase. Monitor patients with biliary tract disease, including acute pancreatitis, for worsening symptoms.

Cases of opioid-induced esophageal dysfunction (OIED) have been reported in patients taking opioids. The risk of OIED may increase as the dose and/or duration of opioids increases. Regularly evaluate patients for signs and symptoms of OIED (e.g., dysphagia, regurgitation, non-cardiac chest pain) and, if necessary, adjust opioid therapy as clinically appropriate [see Clinical Pharmacology (12.2)].

Principal Display Panel 1 Mg/ml Ampule Box

1 mL 10 Single-use ampuls

NDC 0409-2552-01

Rx only

HYDROmorphone HCl

Injection, USP

1 mg/mL

CII

For Intravenous, Intramuscular, or Subcutaneous Use

Store at 20 to 25°C (68 to 77°F). [See USP Controlled Room Temperature.]

PROTECT FROM LIGHT.

Do not use if solution is discolored or contains a precipitate.

Usual Dosage: See insert.

Hospira

Principal Display Panel 2 Mg/ml Ampule Box

1 mL 10 Single-use ampuls

NDC 0409-3356-01

Rx only

HYDROmorphone HCl

Injection, USP

2 mg/mL

CII

For Intravenous, Intramuscular, or Subcutaneous Use

Store at 20 to 25°C (68 to 77°F). [See USP Controlled Room Temperature.]

PROTECT FROM LIGHT.

Do not use if solution is discolored or contains a precipitate.

Usual Dosage: See insert.

Hospira

Principal Display Panel 2 Mg/ml Vial Label

1mL Single-dose vial

Rx only

NDC 0409-3365-11

HYDROmorphone HCl

Injection, USP

2 mg/mL

CII

PROTECT FROM LIGHT

Dist. by Hospira, Inc., Lake Forest, IL 60045 USA

Hospira

Principal Display Panel 4 Mg/ml Ampule Box

1 mL 10 Single-use ampuls

NDC 0409-2540-01

Rx only

HYDROmorphone HCl

Injection, USP

4 mg/mL

CII

For Intravenous, Intramuscular, or Subcutaneous Use

Store at 20 to 25°C (68 to 77°F). [See USP Controlled Room Temperature.]

PROTECT FROM LIGHT.

Do not use if solution is discolored or contains a precipitate.

Usual Dosage: See insert.

Hospira

5.13 Risks of Driving and Operating Machinery

Hydromorphone Hydrochloride Injection may impair the mental or physical abilities needed to perform potentially hazardous activities such as driving a car or operating machinery. Warn patients not to drive or operate dangerous machinery unless they are tolerant to the effects of Hydromorphone Hydrochloride Injection and know how they will react to the medication.

5.5 Opioid Induced Hyperalgesia and Allodynia

Opioid-Induced Hyperalgesia (OIH) occurs when an opioid analgesic ‎paradoxically causes an increase in pain, or an increase in sensitivity to pain. ‎This condition differs from tolerance, which is the need for increasing doses of ‎opioids to maintain a defined effect [see Drug Abuse and Dependence (9.3)]. Symptoms of OIH ‎include (but may not be limited to) increased levels of pain upon opioid dosage ‎increase, decreased levels of pain upon opioid dosage decrease, or pain from ‎ordinarily non‑painful stimuli (allodynia). These symptoms may suggest OIH only ‎if there is no evidence of underlying disease progression, opioid tolerance, ‎opioid withdrawal, or addictive behavior.‎

Cases of OIH have been reported, both with short-term and longer-term use of ‎opioid analgesics. Though the mechanism of OIH is not fully understood, ‎multiple biochemical pathways have been implicated. Medical literature suggests ‎a strong biologic plausibility between opioid analgesics and OIH and allodynia. If a ‎patient is suspected to be experiencing OIH, carefully consider appropriately ‎decreasing the dose of the current opioid analgesic or opioid rotation (safely ‎switching the patient to a different opioid moiety) [see Dosage and ‎Administration (2.6) , Warnings and Precautions (5.12)].‎

Principal Display Panel 2 Mg/ml Vial Carton

1 mL 10 Single-dose vials

Rx only

NDC 0409-3365-10

Contains 10 of NDC 0409-3365-11

HYDROmorphone HCl

Injection, USP

2 mg/mL

CII

For Intravenous, Intramuscular, or Subcutaneous Use

Distributed by Hospira, Inc., Lake Forest, IL 60045 USA

Hospira

Principal Display Panel 1 Mg/ml Ampule Label

RL - 4950

NDC 0409-2552-11

Rx only

1 mL

Single-use ampul

HYDROmorphone HCl

Injection, USP

CII

1 mg/mL

PROTECT FROM LIGHT

Hospira, Inc.,

Lake Forest, IL 60045 USA

Hospira

Principal Display Panel 2 Mg/ml Ampule Label

RL - 4973

Rx only

NDC 0409-3356-11

1 mL Single-use ampul

HYDROmorphone HCl

Injection, USP

CII

2 mg/mL

PROTECT FROM LIGHT

Hospira, Inc.,

Lake Forest, IL 60045 USA

Hospira

Principal Display Panel 4 Mg/ml Ampule Label

RL - 4949

NDC 0409-2540-11

Rx only

1 mL

Single-use ampul

HYDROmorphone HCl

Injection, USP

CII

4 mg/mL

PROTECT FROM LIGHT

Hospira, Inc.,

Lake Forest, IL 60045 USA

Hospira

Principal Display Panel 1 Mg/ml Cartridge Label

1 mL Single-dose Carpuject™

Sterile Cartridge Unit with Luer Lock

NDC 0409-1283-03

Rx only

HYDROmorphone HCl

Injection, USP

1 mg/mL

CII

PAA198794

PROTECT FROM LIGHT

Distributed by

Hospira, Inc., Lake Forest, IL 60045 USA

Hospira

#####AA

DMMMYYYY

Principal Display Panel 2 Mg/ml Cartridge Label

1 mL Single-dose Carpuject™

Sterile Cartridge Unit with Luer Lock

NDC 0409-1312-03

Rx only

HYDROmorphone HCl

Injection, USP

2 mg/mL

CII

PROTECT FROM LIGHT

Distributed by Hospira, Inc., Lake Forest, IL 60045 USA

Hospira

PAA198795

#####AA

DMMMYYYY

Principal Display Panel 4 Mg/ml Cartridge Label

1 mL Single-dose Carpuject™

Sterile Cartridge Unit with Luer Lock

NDC 0409-1304-03

Rx only

HYDROmorphone HCl

Injection, USP

4 mg/mL

CII

PROTECT FROM LIGHT

Distributed by

Hospira, Inc., Lake Forest, IL 60045 USA

Hospira

PAA198796

#####AA

DMMMYYYY

Principal Display Panel 1 Mg/ml Cartridge Carton

NDC 0409-1283-31

Contains 10 of NDC 0409-1283-03

Rx only

1 mL

Single-dose

10 Carpuject™

Sterile Cartridge Units

with Luer Lock

Needle not included

SLIM-PACK™

Tamper Detection Package

HYDROmorphone HCl

Injection, USP

1 mg/mL

CII

For Intravenous,

Intramuscular, or

Subcutaneous Use

Carpuject Cartridges are to be used

ONLY with Carpuject Holders.

Hospira

Principal Display Panel 2 Mg/ml Cartridge Carton

NDC 0409-1312-30

Contains 10 of NDC 0409-1312-03

Rx only

1 mL

Single-dose

10 Carpuject™

Sterile Cartridge Units

with Luer Lock

Needle not included

SLIM-PAK™

Tamper Detection Package

HYDROmorphone HCl

Injection, USP

2 mg/mL

CII

For Intravenous,

Intramuscular, or

Subcutaneous Use

Carpuject Cartridges are to be used

ONLY with Carpuject Holders.

Hospira

Principal Display Panel 4 Mg/ml Cartridge Carton

NDC 0409-1304-31

Contains 10 of NDC 0409-1304-03

Rx only

1 mL

Single-dose

10 Carpuject™

Sterile Cartridge Units

with Luer Lock

Needle not included

SLIM-PAK™

Tamper Detection Package

HYDROmorphone HCl

Injection, USP

4 mg/mL

CII

For Intravenous,

Intramuscular, or

Subcutaneous Use

Carpuject Cartridges are

to be used ONLY with

Carpuject Holders.

Hospira

2.1 Important Dosage and Administration Instructions
  • Hydromorphone Hydrochloride Injection should be prescribed only by healthcare ‎professionals who are knowledgeable about the use of opioids and how to ‎mitigate the associated risks.‎
  • Use the lowest effective dosage for the shortest duration of time consistent with individual patient treatment goals [see Warnings and Precautions (5)]. Because ‎the risk of overdose increases as opioid doses increase, reserve titration to ‎higher doses of Hydromorphone Hydrochloride Injection for patients in whom ‎lower doses are insufficiently effective and in whom the expected benefits of ‎using a higher dose opioid clearly outweigh the substantial risks.‎
  • Many acute pain conditions (e.g., the pain that occurs with a number of surgical ‎procedures or acute musculoskeletal injuries) require no more than a few days ‎of an opioid analgesic. Clinical guidelines on opioid prescribing for some acute ‎pain conditions are available.‎
  • There is variability in the opioid analgesic dose and duration needed to ‎adequately manage pain due both to the cause of pain and to individual patient ‎factors. Initiate the dosing regimen for each patient individually, taking into account the patient’s underlying cause and severity of pain, prior analgesic treatment and response, and risk factors for addiction, abuse, and misuse [see Warnings and Precautions (5.1)].
  • Respiratory depression can occur at any time during opioid therapy, especially when initiating and following dosage increases with Hydromorphone Hydrochloride Injection. Consider this risk when selecting an initial dose and ‎when making dose adjustments [see Warnings and Precautions (5)].
  • Inspect Hydromorphone Hydrochloride for particulate matter and discoloration prior to administration. Do not use if there is any discoloration or precipitate. A slight yellowish discoloration may develop in Hydromorphone Hydrochloride Injection ampuls. No loss of potency has been demonstrated. Hydromorphone Hydrochloride Injection is physically compatible and chemically stable for at least 24 hours at 25°C protected from light in most common large volume parenteral solutions.
  • Discard any unused portion in an appropriate manner.
13.1 Carcinogenesis, Mutagenesis, Impairment of Fertility

     

2.4 Dosage Modifications in Patients With Renal Impairment

Start patients with renal impairment on one-fourth to one-half the usual starting dose of Hydromorphone Hydrochloride Injection depending on the degree of impairment [see Clinical Pharmacology (12.3) ].

2.3 Dosage Modifications in Patients With Hepatic Impairment

Start patients with hepatic impairment on one-fourth to one-half the usual dose of Hydromorphone Hydrochloride Injection depending on the extent of impairment [see Clinical Pharmacology (12.3)].

5.11 Increased Risk of Seizures in Patients With Seizure Disorders

The hydromorphone in Hydromorphone Hydrochloride Injection may increase the frequency of seizures in patients with seizure disorders and may increase the risk of seizures occurring in other clinical settings associated with seizures. Monitor patients with a history of seizure disorders for worsened seizure control during Hydromorphone Hydrochloride Injection therapy.

5.3 Risks From Concomitant Use With Benzodiazepines Or Other Cns Depressants

Profound sedation, respiratory depression, coma, and death may result from the concomitant use of Hydromorphone Hydrochloride Injection with benzodiazepines and/or other CNS depressants, including alcohol (e.g., non-benzodiazepine sedatives/hypnotics, anxiolytics, tranquilizers, muscle relaxants, general anesthetics, antipsychotics, gabapentinoids [gabapentin or pregabalin], and other opioids). Because of these risks, reserve concomitant prescribing of these drugs for use in patients for whom alternative treatment options are inadequate.

Observational studies have demonstrated that concomitant use of opioid analgesics and benzodiazepines increases the risk of drug-related mortality compared to use of opioid analgesics alone. Because of similar pharmacological properties, it is reasonable to expect similar risk with the concomitant use of other CNS depressant drugs with opioid analgesics [see Drug Interactions (7)].

If the decision is made to prescribe a benzodiazepine or other CNS depressant concomitantly with an opioid analgesic, prescribe the lowest effective dosages and minimum durations of concomitant use. In patients already receiving an opioid analgesic, prescribe a lower initial dose of the benzodiazepine or other CNS depressant than indicated in the absence of an opioid, and titrate based on clinical response. If an opioid analgesic is initiated in a patient already taking a benzodiazepine or other CNS depressant, prescribe a lower initial dose of the opioid analgesic, and titrate based on clinical response. Monitor patients closely for signs and symptoms of respiratory depression and sedation.

Advise both patients and caregivers about the risks of respiratory depression and sedation when Hydromorphone Hydrochloride Injection is used with benzodiazepines or other CNS depressants (including alcohol and illicit drugs). Advise patients not to drive or operate heavy machinery until the effects of concomitant use of the benzodiazepine or other CNS depressant have been determined. Screen patients for risk of substance use disorders, including opioid abuse and misuse, and warn them of the risk for overdose and death associated with the use of additional CNS depressants including alcohol and illicit drugs [see Drug Interactions (7)].

Warning: Serious and Life Threatening Risks From Use of Hydromorphone Hydrochloride Injection

Addiction, Abuse, and Misuse

Because the use of Hydromorphone Hydrochloride Injection exposes patients and other users to risks of opioid addiction, abuse, and misuse, which can lead to overdose and death. Assess each patient’s risk prior to prescribing and reassess all patients regularly for the development of these behaviors and conditions [see Warnings and Precautions (5.1)].

Life-Threatening Respiratory Depression

Serious, life-threatening, or fatal respiratory depression may occur with use of Hydromorphone Hydrochloride Injection, especially during initiation or following a dosage increase. To reduce the risk of respiratory depression, proper dosing and titration of Hydromorphone Hydrochloride Injection are essential [see Warnings and Precautions (5.2)].

Risks From Concomitant Use With Benzodiazepines Or Other CNS Depressants

Concomitant use of opioids with benzodiazepines or other central nervous system (CNS) depressants, including alcohol, may result in profound sedation, respiratory depression, coma, and death. Reserve concomitant prescribing of ‎Hydromorphone Hydrochloride Injection and benzodiazepines or other CNS ‎depressants for use in patients for whom alternative treatment options are ‎inadequate [see Warnings and Precautions (5.3), Drug Interactions (7)].

Neonatal Opioid Withdrawal Syndrome (NOWS)

Advise pregnant women using opioids for an extended period of time of the risk of Neonatal Opioid Withdrawal Syndrome, which may be life-threatening if not recognized and treated. Ensure that management by neonatology experts will be available at delivery [see Warnings and Precautions (5.4)].

5.14 Increased Risk of Hypotension and Respiratory Depression With Rapid Intravenous Administration

Hydromorphone Hydrochloride Injection may be given intravenously, but the injection should be given very slowly. Rapid intravenous injection of opioid analgesics increases the possibility of side effects such as hypotension and respiratory depression [see Dosage and Administration (2.1)].

5.9 Risks of Use in Patients With Increased Intracranial Pressure, Brain Tumors, Head Injury, Or Impaired Consciousness

In patients who may be susceptible to the intracranial effects of CO2 retention (e.g., those with evidence of increased intracranial pressure or brain tumors), Hydromorphone Hydrochloride Injection may reduce respiratory drive, and the resultant CO2 retention can further increase intracranial pressure. Monitor such patients for worsening of signs of increasing intracranial pressure.‎ Monitor patients for signs of sedation and respiratory depression, particularly when initiating therapy with Hydromorphone Hydrochloride Injection.

Opioids may also obscure the clinical course in a patient with a head injury. Avoid the use of Hydromorphone Hydrochloride Injection in patients with impaired consciousness or coma.

5.6 Life Threatening Respiratory Depression in Patients With Chronic Pulmonary Disease Or in Elderly, Cachectic, Or Debilitated Patients

The use of Hydromorphone Hydrochloride Injection in patients with acute or severe bronchial asthma in an unmonitored setting or in the absence of resuscitative equipment is contraindicated.


Structured Label Content

Section 42229-5 (42229-5)

Limitations of Use:

Because of the risks of addiction, abuse, misuse, overdose, and death, which can occur at any dosage or duration and persist over the course of therapy [see Warnings and Precautions (5.1)], reserve opioid analgesics, including Hydromorphone Hydrochloride Injection, for use in patients for whom alternative treatment options are ineffective, not tolerated, or would be otherwise inadequate to provide sufficient management of pain.

Section 43683-2 (43683-2)

Boxed Warning

12/2025

Indications and Usage (1)

12/2025

Dosage and Administration (2.6)

12/2025

Warnings and Precautions (5.1, 5.2, 5.3, 5.10, 5.12)

12/2025

Section 44425-7 (44425-7)

Safety and Handling Instructions

Access to drugs with a potential for abuse such as Hydromorphone Hydrochloride Injection presents an occupational hazard for addiction in the health care industry. Routine procedures for handling controlled substances developed to protect the public may not be adequate to protect health care workers. Implementation of more effective accounting procedures and measures to restrict access to drugs of this class (appropriate to the practice setting) may minimize the risk of self-administration by health care providers.

9.2 Abuse

Hydromorphone Hydrochloride Injection contains hydromorphone, a substance with high potential for misuse and abuse, which can lead to the development of ‎substance use disorder, including addiction [see Warnings and Precautions (5.1) ].

Misuse is the intentional use, for therapeutic purposes, of a drug by an ‎individual in a way other than ‎prescribed by a healthcare provider or for ‎whom it was not prescribed.‎

Abuse is the intentional non-therapeutic use of a drug, even once, for its desirable psychological or physiological effects.

Drug addiction is a cluster of behavioral, cognitive, and physiological phenomena that may include a strong desire to take the drug, difficulties in controlling drug use (e.g., continuing drug, use despite harmful consequences, giving a higher priority to drug use than other activities and obligations), and possible tolerance or physical dependence.

Misuse and abuse of Hydromorphone Hydrochloride Injection increases ‎risk of overdose, which may lead to central nervous system and ‎respiratory depression, hypotension, seizures, and death. The risk is ‎increased with concurrent abuse of Hydromorphone Hydrochloride ‎Injection with alcohol and/or other CNS depressants.‎ Abuse of and addiction to opioids in some individuals may not be ‎accompanied by concurrent tolerance and symptoms of physical ‎dependence. In addition, abuse of opioids can occur in the absence of ‎addiction.‎

All patients treated with opioids require careful and frequent reevaluation ‎for signs of misuse, abuse, and addiction, because use of opioid analgesic ‎products carries the risk of addiction even under appropriate medical use. ‎Patients at high risk of Hydromorphone Hydrochloride Injection abuse ‎include those with a history of prolonged use of ‎ any opioid, including products containing ‎hydromorphone, those with a history of drug or alcohol abuse, or those ‎who use Hydromorphone Hydrochloride Injection in combination with ‎other abused drugs.‎

“Drug-seeking” behavior is very common in persons with substance use disorders. Drug-seeking tactics include emergency calls or visits near the end of office hours, refusal to undergo appropriate examination, testing, or referral, repeated “loss” of prescriptions, tampering with prescriptions and reluctance to provide prior medical records or contact information for other treating health care provider(s). “Doctor shopping” (visiting multiple prescribers to obtain additional prescriptions) is common among people who abuse drugs and people with substance use disorder. Preoccupation with achieving adequate pain relief can be appropriate behavior in a patient with inadequate pain control.

Hydromorphone Hydrochloride Injection, like other opioids, can be diverted for nonmedical use into illicit channels of distribution. Careful record-keeping of prescribing information, including quantity, frequency, and renewal requests, as required by state and federal law, is strongly advised.

Proper assessment of the patient, proper prescribing practices, periodic reevaluation of therapy, and proper dispensing and storage are appropriate measures that help to limit abuse of opioid drugs.

11 Description (11 DESCRIPTION)

Hydromorphone Hydrochloride Injection is an opioid agonist and available as an aqueous sterile solution, for use for intravenous, intramuscular and subcutaneous administration. It contains hydromorphone as active pharmaceutical ‎ingredient in the form of hydrochloride salt. ‎The chemical name of hydromorphone hydrochloride is 4,5α- epoxy-3-hydroxy-17-methylmorphinan-6-one hydrochloride. The molecular weight is 321.8 and it has the following chemical structure.

Hydromorphone hydrochloride is a white or almost white crystalline powder that is freely soluble in water, very slightly soluble in ethanol (96%), and practically insoluble in methylene chloride.

Each mL of Hydromorphone Hydrochloride Injection sterile solution contains 1 mg, 2 mg, or 4 mg of ‎Hydromorphone Hydrochloride USP, equivalent to 0.89 mg, 1.77 mg or 3.55 mg of hydromorphone ‎free base, respectively, 0.24 mg of Lactic Acid USP, 5.40 mg of Sodium Chloride as isotonicity agent, 8.93 ‎mg of Sodium Lactate USP as buffering agent, and Lactic Acid USP and Sodium Hydroxide NF as pH ‎adjusters, in Water for Injection. Hydromorphone Hydrochloride Injection pH range is 3.5 to 5.5. ‎

9.3 Dependence

Both tolerance and physical dependence can develop during use of opioid therapy.

Tolerance is a physiological state characterized by a reduced response to ‎a drug after repeated administration (i.e., a ‎higher dose of a drug is ‎required to produce the same effect that was once obtained at a lower ‎dose).‎

Physical dependence is a state that develops as a result of a physiological ‎adaptation in response to repeated drug use, ‎manifested by withdrawal signs and symptoms after abrupt discontinuation or a significant dose reduction of a drug.

Withdrawal may be precipitated through the administration of drugs with opioid antagonist activity (e.g., naloxone, nalmefene), mixed agonist/antagonist analgesics (e.g., pentazocine, butorphanol, nalbuphine), or partial agonists (e.g., buprenorphine). Physical dependence may not occur to a clinically significant degree until after several days to weeks of continued use.

Hydromorphone Hydrochloride Injection should not be rapidly reduced or abruptly discontinued in a physically-dependent patient [see Dosage and Administration (2.6)]. If Hydromorphone Hydrochloride Injection is abruptly discontinued in a physically-dependent patient, a withdrawal syndrome may occur, typically characterized by restlessness, lacrimation, rhinorrhea, perspiration, chills, myalgia, and mydriasis. Other signs and symptoms also may develop, including irritability, anxiety, backache, joint pain, weakness, abdominal cramps, insomnia, nausea, anorexia, vomiting, diarrhea, or increased blood pressure, respiratory rate, or heart rate.

Infants born to mothers physically-dependent on opioids will also be physically-dependent and may exhibit respiratory difficulties and withdrawal signs [see Use in Specific Populations (8.1)].

5.12 Withdrawal

Avoid the use of mixed agonist/antagonist (e.g., pentazocine, nalbuphine, and butorphanol) or partial agonist (e.g., buprenorphine) analgesics in patients who are receiving a full opioid agonist analgesic, including Hydromorphone Hydrochloride Injection. In these patients, mixed agonist/antagonist and partial agonist analgesics may reduce the analgesic effect and/or precipitate withdrawal symptoms [see Drug Interactions (7)].

When discontinuing Hydromorphone Hydrochloride Injection, in a physically-dependent patient, gradually taper the dosage [see Dosage and Administration (2.6)]. Do not rapidly reduce or abruptly discontinue Hydromorphone Hydrochloride Injection in these patients [see Drug Abuse and Dependence (9.3)].

8.4 Pediatric Use

The safety and effectiveness of Hydromorphone Hydrochloride Injection in pediatric patients has not been established.

8.5 Geriatric Use

Elderly patients (aged 65 years or older) may have increased sensitivity to hydromorphone. In general, use caution when selecting a dosage for an elderly patient, usually starting at the low end of the dosing range, reflecting the greater frequency of decreased hepatic, renal, or cardiac function and of concomitant disease or other drug therapy.

Respiratory depression is the chief risk for elderly patients treated with opioids and has occurred after large initial doses were administered to patients who were not opioid-tolerant or when opioids were co-administered with other agents that depress respiration. Titrate the dosage of Hydromorphone Hydrochloride Injection slowly in geriatric patients and monitor closely for signs of central nervous system and respiratory depression [see Warnings and Precautions (5.6) ].

Hydromorphone is known to be substantially excreted by the kidney, and the risk of adverse reactions to this drug may be greater in patients with impaired renal function. Because elderly patients are more likely to have decreased renal function, care should be taken in dose selection, and it may be useful to monitor renal function.

4 Contraindications (4 CONTRAINDICATIONS)

Hydromorphone Hydrochloride Injection is contraindicated in patients with:

6 Adverse Reactions (6 ADVERSE REACTIONS)

The following serious adverse reactions are described, or described in greater detail, in other sections:

The following adverse reactions associated with the use of hydromorphone were identified in clinical studies or postmarketing reports. Because some of these reactions were reported voluntarily from a population of uncertain size, it is not always possible to reliably estimate their frequency or establish a causal relationship to drug exposure.

The most common adverse effects are light-headedness, dizziness, sedation, nausea, vomiting, sweating, flushing, dysphoria, euphoria, dry mouth, and pruritus. These effects seem to be more prominent in ambulatory patients and in those not experiencing severe pain.

7 Drug Interactions (7 DRUG INTERACTIONS)

Table 1 includes clinically significant drug interactions with Hydromorphone Hydrochloride Injection.

Table 1: Clinically Significant Drug Interactions with Hydromorphone Hydrochloride Injection

Benzodiazepines and other Central Nervous System (CNS) Depressants

Clinical Impact:

Due to additive pharmacologic effect, the concomitant use of benzodiazepines or other CNS depressants, including alcohol, can increase the risk of hypotension, respiratory depression, profound sedation, coma, and death [see Warnings and Precautions (5.3)].

Intervention:

Reserve concomitant prescribing of these drugs for use in patients for whom alternative treatment options are inadequate. Limit dosages and durations to the minimum required. Monitor patients closely for signs of respiratory depression and sedation.

Examples:

Benzodiazepines and other sedatives/hypnotics, anxiolytics, tranquilizers, muscle relaxants, general anesthetics, antipsychotics, gabapentinoids (gabapentin or pregabalin), other opioids, alcohol.

Serotonergic Drugs

Clinical Impact:

The concomitant use of opioids with other drugs that affect the serotonergic neurotransmitter system has resulted in serotonin syndrome.

Intervention:

If concomitant use is warranted, carefully observe the patient, particularly during treatment initiation and dose adjustment. Discontinue Hydromorphone Hydrochloride Injection if serotonin syndrome is suspected.

Examples:

Selective serotonin reuptake inhibitors (SSRIs), serotonin and norepinephrine reuptake inhibitors (SNRIs), tricyclic antidepressants (TCAs), triptans, 5-HT3 receptor antagonists, drugs that effect the serotonin neurotransmitter system (e.g., mirtazapine, trazodone, tramadol), certain muscle relaxants (i.e., cyclobenzaprine, metaxalone), monoamine oxidase (MAO) inhibitors (those intended to treat psychiatric disorders and also others, such as linezolid and intravenous methylene blue).

Monoamine Oxidase Inhibitors (MAOIs)

Clinical Impact:

MAOI interactions with opioids may manifest as serotonin syndrome or opioid toxicity (e.g., respiratory depression, coma) [see Warnings and Precautions (5.2) ].

Intervention:

The use of Hydromorphone Hydrochloride Injection is not recommended for patients taking MAOIs or within 14 days of stopping such treatment.

If urgent use of an opioid is necessary, use test doses and frequent titration of small doses to treat pain while closely monitoring blood pressure and signs and symptoms of CNS and respiratory depression.

Examples:

phenelzine, tranylcypromine, linezolid

Mixed Agonist/Antagonist and Partial Agonist Opioid Analgesics

Clinical Impact:

May reduce the analgesic effect of Hydromorphone Hydrochloride Injection and/or precipitate withdrawal symptoms.

Intervention:

Avoid concomitant use.

Examples:

butorphanol, nalbuphine, pentazocine, buprenorphine

Muscle Relaxants

Clinical Impact:

Hydromorphone may enhance the neuromuscular blocking action of skeletal muscle relaxants and produce an increased degree of respiratory depression.

Intervention:

Monitor patients for signs of respiratory depression that may be greater than otherwise expected and decrease the dosage of Hydromorphone Hydrochloride Injection and/or the muscle relaxant as necessary.

Examples:

cyclobenzaprine, metaxalone

Diuretics

Clinical Impact:

Opioids can reduce the efficacy of diuretics by inducing the release of antidiuretic hormone.

Intervention:

Monitor patients for signs of diminished diuresis and/or effects on blood pressure and increase the dosage of the diuretic as needed.

Anticholinergic Drugs

Clinical Impact:

The concomitant use of anticholinergic drugs may increase risk of urinary retention and/or severe constipation, which may lead to paralytic ileus.

Intervention:

Monitor patients for signs of urinary retention or reduced gastric motility when Hydromorphone Hydrochloride Injection is used concomitantly with anticholinergic drugs.

8.7 Renal Impairment

The pharmacokinetics of hydromorphone are affected by renal impairment. In addition, in patients with severe renal impairment, hydromorphone appeared to be more slowly eliminated with a longer terminal elimination half-life. Start patients with renal impairment on one-fourth to one-half the usual starting dose depending on the degree of impairment. Patients with renal impairment should be closely monitored during dose titration [see Clinical Pharmacology (12.3)].

Instructions for Use (INSTRUCTIONS FOR USE)

Parenteral drug products should be inspected visually for particulate matter and discoloration prior to ‎‎‎administration, whenever solution and container permit. Do not use if color is darker than pale yellow, if it ‎‎is ‎discolored in any other way, or if it contains a precipitate.‎

Instructions for use - Carpuject™ Single-dose Cartridge

Carpuject™ Single-dose cartridges with Luer Lock are packaged in a Slim-Pak™ tamper detection ‎package. Note that a needle is not included.‎

Before use, read all instructions for using the Carpuject™ Syringe, which are contained in the product insert for the reusable Carpuject™ Holder.

Carpuject™ Single-dose cartridges are to be used ONLY with Carpuject™ Holders.

NOTE: To prevent needlestick injuries, do not recap, purposely bend, or break by hand used ‎needles. Do ‎not recap, purposely bend, or break by hand blunt Cannulas.‎

12.2 Pharmacodynamics

     

2.6 Safe Reduction And (2.6 Safe Reduction and)

When a patient who has been taking Hydromorphone Hydrochloride Injection regularly and may be physically dependent no longer requires therapy with Hydromorphone Hydrochloride Injection, taper the dose gradually, by 25% to 50% every 2 to 4 days, while monitoring carefully for signs and symptoms of withdrawal. If the patient develops these signs or symptoms, raise the dose to the previous level and taper more slowly, either by increasing the interval between decreases, decreasing the amount of change in dose, or both. Do not rapidly reduce or abruptly discontinue Hydromorphone Hydrochloride Injection in patients who may be physically dependent on opioids [see Warnings and Precautions (5.12), Drug Abuse and Dependence (9.3)].

5.8 Severe Hypotension

Hydromorphone Hydrochloride Injection may cause severe hypotension including orthostatic hypotension and syncope in ambulatory patients. There is increased risk in patients whose ability to maintain blood pressure has already been compromised by a reduced blood volume or concurrent administration of certain CNS depressant drugs (e.g., phenothiazines or general anesthetics) [see Drug Interactions (7)]. Monitor these patients for signs of hypotension after initiating or titrating the dosage of Hydromorphone Hydrochloride Injection. In patients with circulatory shock, Hydromorphone Hydrochloride Injection may cause vasodilation that can further reduce cardiac output and blood pressure. Avoid the use of Hydromorphone Hydrochloride Injection in patients with circulatory shock.

8.6 Hepatic Impairment

The pharmacokinetics of hydromorphone are affected by hepatic impairment. Due to increased exposure of hydromorphone, patients with moderate hepatic impairment should be started at one fourth to one half the recommended starting dose depending on the degree of hepatic dysfunction and closely monitored during dose titration. The pharmacokinetics of hydromorphone in patients with severe hepatic impairment has not been studied. A further increase in Cmax and AUC of hydromorphone in this group is expected and should be taken into consideration when selecting a starting dose [see Clinical Pharmacology (12.3)].

1 Indications and Usage (1 INDICATIONS AND USAGE)

Hydromorphone Hydrochloride Injection is indicated for the management of pain severe enough to require an opioid analgesic and for which alternative treatments are inadequate.

12 Clinical Pharmacology (12 CLINICAL PHARMACOLOGY)

     

12.1 Mechanism of Action

Hydromorphone is a full opioid agonist and is relatively selective for the mµ-opioid receptor, although it can bind to other opioid receptors at higher doses. The principal therapeutic action of hydromorphone is analgesia. Like all full opioid agonists, there is no ceiling effect for analgesia with morphine. Clinically, dosage is titrated to provide adequate analgesia and may be limited by adverse reactions, including respiratory and CNS depression.

The precise mechanism of the analgesic action is unknown. However, specific CNS opioid receptors for endogenous compounds with opioid-like activity have been identified throughout the brain and spinal cord and are thought to play a role in the analgesic effects of this drug.

9.1 Controlled Substance

Hydromorphone Hydrochloride Injection contains hydromorphone, a Schedule II controlled substance.

5.7 Adrenal Insufficiency

Cases of adrenal insufficiency have been reported with opioid use, more often following greater than one month of use. Presentation of adrenal insufficiency may include non-specific symptoms and signs including nausea, vomiting, anorexia, fatigue, weakness, dizziness, and low blood pressure. If adrenal insufficiency is suspected, confirm the diagnosis with diagnostic testing as soon as possible. If adrenal insufficiency is diagnosed, treat with physiologic replacement doses of corticosteroids. Wean the patient off of the opioid to allow adrenal function to recover and continue corticosteroid treatment until adrenal function recovers. Other opioids may be tried as some cases reported use of a different opioid without recurrence of adrenal insufficiency. The information available does not identify any particular opioids as being more likely to be associated with adrenal insufficiency.

5 Warnings and Precautions (5 WARNINGS AND PRECAUTIONS)
  • Opioid-Induced Hyperalgesia and Allodynia: Opioid-Induced ‎Hyperalgesia (OIH) occurs when an opioid analgesic ‎paradoxically causes an increase in pain, or an increase in ‎sensitivity to pain. If OIH is suspected, carefully consider appropriately ‎decreasing the dose of the current opioid analgesic or ‎opioid rotation. (5.5)‎
  • Life-Threatening Respiratory Depression in Patients with Chronic Pulmonary Disease or in Elderly, Cachectic, or Debilitated Patients: Monitor closely, particularly during initiation and titration. (5.6)
  • Adrenal Insufficiency: If diagnosed, treat with physiologic replacement of corticosteroids, and wean patient off of the opioid. (5.7)
  • Severe Hypotension: Monitor during dosage initiation and titration. Avoid use of Hydromorphone Hydrochloride Injection in patients with circulatory shock. (5.8)
  • Risks of Use in Patients with Increased Intracranial Pressure, Brain Tumors, Head Injury, or Impaired Consciousness: Monitor for sedation and respiratory depression. Avoid use of Hydromorphone Hydrochloride Injection in patients with impaired consciousness or coma. (5.9)
2 Dosage and Administration (2 DOSAGE AND ADMINISTRATION)
  • Hydromorphone Hydrochloride Injection should be ‎prescribed only by healthcare professionals who are ‎knowledgeable about the use of opioids and how to ‎mitigate the associated risks. (2.1)‎
  • Use the lowest effective dosage for the shortest duration consistent with individual patient treatment goals. Reserve titration to higher doses of Hydromorphone ‎Hydrochloride Injection for patients in whom lower doses are insufficiently ‎effective and in whom the expected benefits of using a higher dose opioid ‎clearly outweigh the substantial risks. (2.1, 5)
  • Many acute pain conditions (e.g., the pain that occurs with ‎a number of surgical procedures or acute ‎musculoskeletal injuries) require no more than a few ‎days of an opioid analgesic. Clinical guidelines on ‎opioid prescribing for some acute pain conditions are ‎available. (2.1)‎
  • Initiate the dosing regimen for each patient individually, ‎taking into account the patient’s underlying cause and severity of pain, prior analgesic treatment and ‎response, and risk factors for addiction, abuse, and misuse. (2.1, 5.1)
  • Respiratory depression can occur at any time during opioid ‎therapy, especially when initiating and following dosage ‎increases with Hydromorphone Hydrochloride Injection. ‎Consider this risk when selecting an initial dose and when ‎making dose adjustments. (2.1, 5.2)‎
  • Intramuscular and Subcutaneous Use: The usual starting dose is 1 mg to 2 mg every 2 to 3 hours as necessary. (2.2)
  • Intravenous Use: The usual starting dose is 0.2 mg to 1 mg every 2 to 3 hours. The injection should be given slowly, over at least 2 to 3 minutes. (2.2)
  • Hepatic Impairment: Initiate treatment with one-fourth to one-half the usual starting dose, depending on degree of hepatic impairment. (2.3)
  • Renal Impairment: Initiate treatment with one-fourth to one-half the usual starting dose, depending on degree of renal impairment. (2.4)
  • Periodically reassess patients receiving Hydromorphone Hydrochloride Injection to evaluate the continued need for opioid analgesics to maintain pain control, for the signs or symptoms of adverse reactions, and for the development of addiction, abuse, or misuse. (2.5)
  • Do not rapidly reduce or abruptly discontinue Hydromorphone Hydrochloride Injection in a physically-dependent patient. (2.6, 5.12)
3 Dosage Forms and Strengths (3 DOSAGE FORMS AND STRENGTHS)

Hydromorphone Hydrochloride Injection, USP is available as:

  • Single-dose Ampuls
  • Single-dose Carpuject™ cartridges
  • Single-dose Vials
  •  
    1 mg/mL, 2 mg/mL, and 4 mg/mL
  •  
    1 mg/mL, 2 mg/mL, and 4 mg/mL
  •  
    2 mg/mL

The drug product is a clear, colorless to nearly colorless aqueous sterile solution. Each 1 mL of sterile solution contains 1 mg, 2 mg or 4 mg of hydromorphone hydrochloride.

8 Use in Specific Populations (8 USE IN SPECIFIC POPULATIONS)
  • Pregnancy: May cause fetal harm. (8.1)
  • Geriatric Patients: Use caution during dose selection, starting at the low ‎end of the dosing range while carefully monitoring for side effects. ‎‎(8.5)
5.1 Addiction, Abuse, and Misuse

Hydromorphone Hydrochloride Injection contains hydromorphone, a Schedule II controlled substance. As an opioid, Hydromorphone Hydrochloride Injection exposes users to the risks of addiction, abuse, and misuse [see Drug Abuse and Dependence (9)].

Although the risk of addiction in any individual is unknown, it can occur in patients appropriately prescribed Hydromorphone Hydrochloride Injection. Addiction can occur at recommended dosages and if the drug is misused or abused. The risk of opioid-related overdose or overdose-related death is increased with higher opioid doses, and this risk persists over the course of therapy. In postmarketing studies, addiction, abuse, misuse, and fatal and non-fatal opioid overdose were observed in patients with long-term opioid use [see Adverse Reactions (6)].

Assess each patient's risk for opioid addiction, abuse, or misuse prior to prescribing Hydromorphone Hydrochloride Injection, and monitor all patients receiving Hydromorphone Hydrochloride Injection for the development of these behaviors and conditions. Risks are increased in patients with a personal or family history of substance abuse (including drug or alcohol abuse or addiction) or mental illness (e.g., major depression). The potential for these risks should not, however, prevent the proper management of pain in any given patient. Patients at increased risk may be prescribed opioids such as Hydromorphone Hydrochloride Injection but use in such patients necessitates intensive counseling about the risks and proper use of Hydromorphone Hydrochloride Injection along with intensive monitoring for signs of addiction, abuse, and misuse.

Opioids are sought for nonmedical use and are subject to diversion from legitimate prescribed use. Consider these risks when prescribing or dispensing Hydromorphone Hydrochloride Injection. Strategies to reduce these risks include prescribing the drug in the smallest appropriate quantity. Contact local state professional licensing board or state-controlled substances authority for information on how to prevent and detect abuse or diversion of this product.

17 Patient Counseling Information (17 PATIENT COUNSELING INFORMATION)

     

16 How Supplied/storage and Handling (16 HOW SUPPLIED/STORAGE AND HANDLING)

     

5.4 Neonatal Opioid Withdrawal Syndrome

Use of Hydromorphone Hydrochloride Injection for an extended period of time during pregnancy can result in withdrawal in the neonate. Neonatal opioid withdrawal syndrome, unlike opioid withdrawal syndrome in adults, may be life‑threatening if not recognized and treated, and requires management according to protocols developed by neonatology experts. Observe newborns for signs of neonatal opioid withdrawal syndrome and manage accordingly. Advise pregnant women using opioids for an extended period of time of the risk of neonatal opioid withdrawal syndrome and ensure that management by neonatology experts will be available at delivery [see Use in Specific Populations (8.1)].

2.5 Titration and Maintenance of Therapy

Titrate the dose based upon the individual patient’s response to their initial dose of Hydromorphone ‎Hydrochloride Injection. Individually titrate Hydromorphone Hydrochloride Injection to a dose that provides adequate analgesia and minimizes adverse reactions. Continually reevaluate patients receiving Hydromorphone Hydrochloride Injection to assess the maintenance of pain control, signs and symptoms of opioid withdrawal, and other adverse reactions, as well as to reassess for the development of addiction, abuse, or misuse [see Warnings and Precautions (5.1,   5.12) ]. Frequent communication is important among the prescriber, other members of the healthcare team, the patient, and the caregiver/family during periods of changing analgesic requirements, including initial titration.

If the level of pain increases after dosage stabilization, attempt to identify the source of increased pain before increasing the Hydromorphone Hydrochloride Injection dosage. If after increasing the dosage, unacceptable opioid-related adverse reactions are observed (including an increase ‎in pain after a dosage increase), consider reducing the dosage [see Warnings and Precautions (5)]. Adjust the dosage to obtain an appropriate balance between management of pain and opioid-related adverse reactions.

5.2 Life Threatening Respiratory Depression (5.2 Life-Threatening Respiratory Depression)

Serious, life-threatening, or fatal respiratory depression has been reported with the use of opioids, even when used as recommended. Respiratory depression, if not immediately recognized and treated, may lead to respiratory arrest and death. Management of respiratory depression may include close observation, supportive measures, and use of opioid overdose reversal agent (e.g., naloxone, nalmefene), depending on the patient's clinical status [see Overdosage (10)]. Carbon dioxide (CO2) retention from opioid-induced respiratory depression can exacerbate the sedating effects of opioids.

While serious, life-threatening, or fatal respiratory depression can occur at any time during the use of Hydromorphone Hydrochloride Injection, the risk is greatest during the initiation of therapy or following a dosage increase.

To reduce the risk of respiratory depression, proper dosing and titration of Hydromorphone Hydrochloride Injection are essential [see Dosage and Administration (2.1)]. Overestimating the Hydromorphone Hydrochloride Injection dosage when converting patients from another opioid product can result in a fatal overdose with the first dose.

Opioids can cause sleep-related breathing disorders including central sleep apnea (CSA) and sleep-related hypoxemia. Opioid use increases the risk of CSA in a dose-dependent fashion. In patients who present with CSA, consider decreasing the opioid dosage using best practices for opioid taper [see Dosage and Administration (2.1)].

5.10 Risks of Gastrointestinal Complications

Hydromorphone Hydrochloride Injection is contraindicated in patients with known or suspected gastrointestinal obstruction, including paralytic ileus.

The hydromorphone in Hydromorphone Hydrochloride Injection may cause spasm of the sphincter of Oddi. Opioids may cause increases in serum amylase. Monitor patients with biliary tract disease, including acute pancreatitis, for worsening symptoms.

Cases of opioid-induced esophageal dysfunction (OIED) have been reported in patients taking opioids. The risk of OIED may increase as the dose and/or duration of opioids increases. Regularly evaluate patients for signs and symptoms of OIED (e.g., dysphagia, regurgitation, non-cardiac chest pain) and, if necessary, adjust opioid therapy as clinically appropriate [see Clinical Pharmacology (12.2)].

Principal Display Panel 1 Mg/ml Ampule Box (PRINCIPAL DISPLAY PANEL - 1 mg/mL Ampule Box)

1 mL 10 Single-use ampuls

NDC 0409-2552-01

Rx only

HYDROmorphone HCl

Injection, USP

1 mg/mL

CII

For Intravenous, Intramuscular, or Subcutaneous Use

Store at 20 to 25°C (68 to 77°F). [See USP Controlled Room Temperature.]

PROTECT FROM LIGHT.

Do not use if solution is discolored or contains a precipitate.

Usual Dosage: See insert.

Hospira

Principal Display Panel 2 Mg/ml Ampule Box (PRINCIPAL DISPLAY PANEL - 2 mg/mL Ampule Box)

1 mL 10 Single-use ampuls

NDC 0409-3356-01

Rx only

HYDROmorphone HCl

Injection, USP

2 mg/mL

CII

For Intravenous, Intramuscular, or Subcutaneous Use

Store at 20 to 25°C (68 to 77°F). [See USP Controlled Room Temperature.]

PROTECT FROM LIGHT.

Do not use if solution is discolored or contains a precipitate.

Usual Dosage: See insert.

Hospira

Principal Display Panel 2 Mg/ml Vial Label (PRINCIPAL DISPLAY PANEL - 2 mg/mL Vial Label)

1mL Single-dose vial

Rx only

NDC 0409-3365-11

HYDROmorphone HCl

Injection, USP

2 mg/mL

CII

PROTECT FROM LIGHT

Dist. by Hospira, Inc., Lake Forest, IL 60045 USA

Hospira

Principal Display Panel 4 Mg/ml Ampule Box (PRINCIPAL DISPLAY PANEL - 4 mg/mL Ampule Box)

1 mL 10 Single-use ampuls

NDC 0409-2540-01

Rx only

HYDROmorphone HCl

Injection, USP

4 mg/mL

CII

For Intravenous, Intramuscular, or Subcutaneous Use

Store at 20 to 25°C (68 to 77°F). [See USP Controlled Room Temperature.]

PROTECT FROM LIGHT.

Do not use if solution is discolored or contains a precipitate.

Usual Dosage: See insert.

Hospira

5.13 Risks of Driving and Operating Machinery

Hydromorphone Hydrochloride Injection may impair the mental or physical abilities needed to perform potentially hazardous activities such as driving a car or operating machinery. Warn patients not to drive or operate dangerous machinery unless they are tolerant to the effects of Hydromorphone Hydrochloride Injection and know how they will react to the medication.

5.5 Opioid Induced Hyperalgesia and Allodynia (5.5 Opioid-Induced Hyperalgesia and Allodynia)

Opioid-Induced Hyperalgesia (OIH) occurs when an opioid analgesic ‎paradoxically causes an increase in pain, or an increase in sensitivity to pain. ‎This condition differs from tolerance, which is the need for increasing doses of ‎opioids to maintain a defined effect [see Drug Abuse and Dependence (9.3)]. Symptoms of OIH ‎include (but may not be limited to) increased levels of pain upon opioid dosage ‎increase, decreased levels of pain upon opioid dosage decrease, or pain from ‎ordinarily non‑painful stimuli (allodynia). These symptoms may suggest OIH only ‎if there is no evidence of underlying disease progression, opioid tolerance, ‎opioid withdrawal, or addictive behavior.‎

Cases of OIH have been reported, both with short-term and longer-term use of ‎opioid analgesics. Though the mechanism of OIH is not fully understood, ‎multiple biochemical pathways have been implicated. Medical literature suggests ‎a strong biologic plausibility between opioid analgesics and OIH and allodynia. If a ‎patient is suspected to be experiencing OIH, carefully consider appropriately ‎decreasing the dose of the current opioid analgesic or opioid rotation (safely ‎switching the patient to a different opioid moiety) [see Dosage and ‎Administration (2.6) , Warnings and Precautions (5.12)].‎

Principal Display Panel 2 Mg/ml Vial Carton (PRINCIPAL DISPLAY PANEL - 2 mg/mL Vial Carton)

1 mL 10 Single-dose vials

Rx only

NDC 0409-3365-10

Contains 10 of NDC 0409-3365-11

HYDROmorphone HCl

Injection, USP

2 mg/mL

CII

For Intravenous, Intramuscular, or Subcutaneous Use

Distributed by Hospira, Inc., Lake Forest, IL 60045 USA

Hospira

Principal Display Panel 1 Mg/ml Ampule Label (PRINCIPAL DISPLAY PANEL - 1 mg/mL Ampule Label)

RL - 4950

NDC 0409-2552-11

Rx only

1 mL

Single-use ampul

HYDROmorphone HCl

Injection, USP

CII

1 mg/mL

PROTECT FROM LIGHT

Hospira, Inc.,

Lake Forest, IL 60045 USA

Hospira

Principal Display Panel 2 Mg/ml Ampule Label (PRINCIPAL DISPLAY PANEL - 2 mg/mL Ampule Label)

RL - 4973

Rx only

NDC 0409-3356-11

1 mL Single-use ampul

HYDROmorphone HCl

Injection, USP

CII

2 mg/mL

PROTECT FROM LIGHT

Hospira, Inc.,

Lake Forest, IL 60045 USA

Hospira

Principal Display Panel 4 Mg/ml Ampule Label (PRINCIPAL DISPLAY PANEL - 4 mg/mL Ampule Label)

RL - 4949

NDC 0409-2540-11

Rx only

1 mL

Single-use ampul

HYDROmorphone HCl

Injection, USP

CII

4 mg/mL

PROTECT FROM LIGHT

Hospira, Inc.,

Lake Forest, IL 60045 USA

Hospira

Principal Display Panel 1 Mg/ml Cartridge Label (PRINCIPAL DISPLAY PANEL - 1 mg/mL Cartridge Label)

1 mL Single-dose Carpuject™

Sterile Cartridge Unit with Luer Lock

NDC 0409-1283-03

Rx only

HYDROmorphone HCl

Injection, USP

1 mg/mL

CII

PAA198794

PROTECT FROM LIGHT

Distributed by

Hospira, Inc., Lake Forest, IL 60045 USA

Hospira

#####AA

DMMMYYYY

Principal Display Panel 2 Mg/ml Cartridge Label (PRINCIPAL DISPLAY PANEL - 2 mg/mL Cartridge Label)

1 mL Single-dose Carpuject™

Sterile Cartridge Unit with Luer Lock

NDC 0409-1312-03

Rx only

HYDROmorphone HCl

Injection, USP

2 mg/mL

CII

PROTECT FROM LIGHT

Distributed by Hospira, Inc., Lake Forest, IL 60045 USA

Hospira

PAA198795

#####AA

DMMMYYYY

Principal Display Panel 4 Mg/ml Cartridge Label (PRINCIPAL DISPLAY PANEL - 4 mg/mL Cartridge Label)

1 mL Single-dose Carpuject™

Sterile Cartridge Unit with Luer Lock

NDC 0409-1304-03

Rx only

HYDROmorphone HCl

Injection, USP

4 mg/mL

CII

PROTECT FROM LIGHT

Distributed by

Hospira, Inc., Lake Forest, IL 60045 USA

Hospira

PAA198796

#####AA

DMMMYYYY

Principal Display Panel 1 Mg/ml Cartridge Carton (PRINCIPAL DISPLAY PANEL - 1 mg/mL Cartridge Carton)

NDC 0409-1283-31

Contains 10 of NDC 0409-1283-03

Rx only

1 mL

Single-dose

10 Carpuject™

Sterile Cartridge Units

with Luer Lock

Needle not included

SLIM-PACK™

Tamper Detection Package

HYDROmorphone HCl

Injection, USP

1 mg/mL

CII

For Intravenous,

Intramuscular, or

Subcutaneous Use

Carpuject Cartridges are to be used

ONLY with Carpuject Holders.

Hospira

Principal Display Panel 2 Mg/ml Cartridge Carton (PRINCIPAL DISPLAY PANEL - 2 mg/mL Cartridge Carton)

NDC 0409-1312-30

Contains 10 of NDC 0409-1312-03

Rx only

1 mL

Single-dose

10 Carpuject™

Sterile Cartridge Units

with Luer Lock

Needle not included

SLIM-PAK™

Tamper Detection Package

HYDROmorphone HCl

Injection, USP

2 mg/mL

CII

For Intravenous,

Intramuscular, or

Subcutaneous Use

Carpuject Cartridges are to be used

ONLY with Carpuject Holders.

Hospira

Principal Display Panel 4 Mg/ml Cartridge Carton (PRINCIPAL DISPLAY PANEL - 4 mg/mL Cartridge Carton)

NDC 0409-1304-31

Contains 10 of NDC 0409-1304-03

Rx only

1 mL

Single-dose

10 Carpuject™

Sterile Cartridge Units

with Luer Lock

Needle not included

SLIM-PAK™

Tamper Detection Package

HYDROmorphone HCl

Injection, USP

4 mg/mL

CII

For Intravenous,

Intramuscular, or

Subcutaneous Use

Carpuject Cartridges are

to be used ONLY with

Carpuject Holders.

Hospira

2.1 Important Dosage and Administration Instructions
  • Hydromorphone Hydrochloride Injection should be prescribed only by healthcare ‎professionals who are knowledgeable about the use of opioids and how to ‎mitigate the associated risks.‎
  • Use the lowest effective dosage for the shortest duration of time consistent with individual patient treatment goals [see Warnings and Precautions (5)]. Because ‎the risk of overdose increases as opioid doses increase, reserve titration to ‎higher doses of Hydromorphone Hydrochloride Injection for patients in whom ‎lower doses are insufficiently effective and in whom the expected benefits of ‎using a higher dose opioid clearly outweigh the substantial risks.‎
  • Many acute pain conditions (e.g., the pain that occurs with a number of surgical ‎procedures or acute musculoskeletal injuries) require no more than a few days ‎of an opioid analgesic. Clinical guidelines on opioid prescribing for some acute ‎pain conditions are available.‎
  • There is variability in the opioid analgesic dose and duration needed to ‎adequately manage pain due both to the cause of pain and to individual patient ‎factors. Initiate the dosing regimen for each patient individually, taking into account the patient’s underlying cause and severity of pain, prior analgesic treatment and response, and risk factors for addiction, abuse, and misuse [see Warnings and Precautions (5.1)].
  • Respiratory depression can occur at any time during opioid therapy, especially when initiating and following dosage increases with Hydromorphone Hydrochloride Injection. Consider this risk when selecting an initial dose and ‎when making dose adjustments [see Warnings and Precautions (5)].
  • Inspect Hydromorphone Hydrochloride for particulate matter and discoloration prior to administration. Do not use if there is any discoloration or precipitate. A slight yellowish discoloration may develop in Hydromorphone Hydrochloride Injection ampuls. No loss of potency has been demonstrated. Hydromorphone Hydrochloride Injection is physically compatible and chemically stable for at least 24 hours at 25°C protected from light in most common large volume parenteral solutions.
  • Discard any unused portion in an appropriate manner.
13.1 Carcinogenesis, Mutagenesis, Impairment of Fertility

     

2.4 Dosage Modifications in Patients With Renal Impairment (2.4 Dosage Modifications in Patients with Renal Impairment)

Start patients with renal impairment on one-fourth to one-half the usual starting dose of Hydromorphone Hydrochloride Injection depending on the degree of impairment [see Clinical Pharmacology (12.3) ].

2.3 Dosage Modifications in Patients With Hepatic Impairment (2.3 Dosage Modifications in Patients with Hepatic Impairment)

Start patients with hepatic impairment on one-fourth to one-half the usual dose of Hydromorphone Hydrochloride Injection depending on the extent of impairment [see Clinical Pharmacology (12.3)].

5.11 Increased Risk of Seizures in Patients With Seizure Disorders (5.11 Increased Risk of Seizures in Patients with Seizure Disorders)

The hydromorphone in Hydromorphone Hydrochloride Injection may increase the frequency of seizures in patients with seizure disorders and may increase the risk of seizures occurring in other clinical settings associated with seizures. Monitor patients with a history of seizure disorders for worsened seizure control during Hydromorphone Hydrochloride Injection therapy.

5.3 Risks From Concomitant Use With Benzodiazepines Or Other Cns Depressants (5.3 Risks from Concomitant Use with Benzodiazepines or Other CNS Depressants)

Profound sedation, respiratory depression, coma, and death may result from the concomitant use of Hydromorphone Hydrochloride Injection with benzodiazepines and/or other CNS depressants, including alcohol (e.g., non-benzodiazepine sedatives/hypnotics, anxiolytics, tranquilizers, muscle relaxants, general anesthetics, antipsychotics, gabapentinoids [gabapentin or pregabalin], and other opioids). Because of these risks, reserve concomitant prescribing of these drugs for use in patients for whom alternative treatment options are inadequate.

Observational studies have demonstrated that concomitant use of opioid analgesics and benzodiazepines increases the risk of drug-related mortality compared to use of opioid analgesics alone. Because of similar pharmacological properties, it is reasonable to expect similar risk with the concomitant use of other CNS depressant drugs with opioid analgesics [see Drug Interactions (7)].

If the decision is made to prescribe a benzodiazepine or other CNS depressant concomitantly with an opioid analgesic, prescribe the lowest effective dosages and minimum durations of concomitant use. In patients already receiving an opioid analgesic, prescribe a lower initial dose of the benzodiazepine or other CNS depressant than indicated in the absence of an opioid, and titrate based on clinical response. If an opioid analgesic is initiated in a patient already taking a benzodiazepine or other CNS depressant, prescribe a lower initial dose of the opioid analgesic, and titrate based on clinical response. Monitor patients closely for signs and symptoms of respiratory depression and sedation.

Advise both patients and caregivers about the risks of respiratory depression and sedation when Hydromorphone Hydrochloride Injection is used with benzodiazepines or other CNS depressants (including alcohol and illicit drugs). Advise patients not to drive or operate heavy machinery until the effects of concomitant use of the benzodiazepine or other CNS depressant have been determined. Screen patients for risk of substance use disorders, including opioid abuse and misuse, and warn them of the risk for overdose and death associated with the use of additional CNS depressants including alcohol and illicit drugs [see Drug Interactions (7)].

Warning: Serious and Life Threatening Risks From Use of Hydromorphone Hydrochloride Injection (WARNING: SERIOUS AND LIFE-THREATENING RISKS FROM USE OF HYDROMORPHONE HYDROCHLORIDE INJECTION)

Addiction, Abuse, and Misuse

Because the use of Hydromorphone Hydrochloride Injection exposes patients and other users to risks of opioid addiction, abuse, and misuse, which can lead to overdose and death. Assess each patient’s risk prior to prescribing and reassess all patients regularly for the development of these behaviors and conditions [see Warnings and Precautions (5.1)].

Life-Threatening Respiratory Depression

Serious, life-threatening, or fatal respiratory depression may occur with use of Hydromorphone Hydrochloride Injection, especially during initiation or following a dosage increase. To reduce the risk of respiratory depression, proper dosing and titration of Hydromorphone Hydrochloride Injection are essential [see Warnings and Precautions (5.2)].

Risks From Concomitant Use With Benzodiazepines Or Other CNS Depressants

Concomitant use of opioids with benzodiazepines or other central nervous system (CNS) depressants, including alcohol, may result in profound sedation, respiratory depression, coma, and death. Reserve concomitant prescribing of ‎Hydromorphone Hydrochloride Injection and benzodiazepines or other CNS ‎depressants for use in patients for whom alternative treatment options are ‎inadequate [see Warnings and Precautions (5.3), Drug Interactions (7)].

Neonatal Opioid Withdrawal Syndrome (NOWS)

Advise pregnant women using opioids for an extended period of time of the risk of Neonatal Opioid Withdrawal Syndrome, which may be life-threatening if not recognized and treated. Ensure that management by neonatology experts will be available at delivery [see Warnings and Precautions (5.4)].

5.14 Increased Risk of Hypotension and Respiratory Depression With Rapid Intravenous Administration (5.14 Increased Risk of Hypotension and Respiratory Depression with Rapid Intravenous Administration)

Hydromorphone Hydrochloride Injection may be given intravenously, but the injection should be given very slowly. Rapid intravenous injection of opioid analgesics increases the possibility of side effects such as hypotension and respiratory depression [see Dosage and Administration (2.1)].

5.9 Risks of Use in Patients With Increased Intracranial Pressure, Brain Tumors, Head Injury, Or Impaired Consciousness (5.9 Risks of Use in Patients with Increased Intracranial Pressure, Brain Tumors, Head Injury, or Impaired Consciousness)

In patients who may be susceptible to the intracranial effects of CO2 retention (e.g., those with evidence of increased intracranial pressure or brain tumors), Hydromorphone Hydrochloride Injection may reduce respiratory drive, and the resultant CO2 retention can further increase intracranial pressure. Monitor such patients for worsening of signs of increasing intracranial pressure.‎ Monitor patients for signs of sedation and respiratory depression, particularly when initiating therapy with Hydromorphone Hydrochloride Injection.

Opioids may also obscure the clinical course in a patient with a head injury. Avoid the use of Hydromorphone Hydrochloride Injection in patients with impaired consciousness or coma.

5.6 Life Threatening Respiratory Depression in Patients With Chronic Pulmonary Disease Or in Elderly, Cachectic, Or Debilitated Patients (5.6 Life-Threatening Respiratory Depression in Patients with Chronic Pulmonary Disease or in Elderly, Cachectic, or Debilitated Patients)

The use of Hydromorphone Hydrochloride Injection in patients with acute or severe bronchial asthma in an unmonitored setting or in the absence of resuscitative equipment is contraindicated.


Advanced Ingredient Data


Raw Label Data

All Sections (JSON)