Edex®

Edex®
SPL v15
SPL
SPL Set ID e8b8ec8d-1318-43e4-a182-446e9f9579de
Route
INTRACAVERNOUS
Published
Effective Date 2024-03-27
Document Type 34391-3 HUMAN PRESCRIPTION DRUG LABEL

Drug Facts

Composition & Product

Active Ingredients
Alprostadil (10 ug)
Inactive Ingredients
Alfadex Lactose, Unspecified Form Sodium Chloride Water

Identifiers & Packaging

Pill Appearance
Color: white
Marketing Status
NDA Active Since 2012-03-15

Description

For Intracavernous Use Only Sterile Powder and Diluent (sterile 0.9% sodium chloride) in Cartridges Rx Only

Indications and Usage

edex ® is indicated for the treatment of erectile dysfunction due to neurogenic, vasculogenic, psychogenic, or mixed etiology.

Contraindications

edex ® should not be used: in men who have conditions that predispose them to priapism, such as sickle cell anemia or sickle cell trait, multiple myeloma, or leukemia (see WARNINGS ) . for the treatment of erectile dysfunction in men with fibrotic conditions of the penis, such as cavernosal fibrosis or Peyronie’s disease (see PRECAUTIONS ) .   in men with penile implants

Adverse Reactions

edex ® , administered by intracavernous injection in doses ranging from 1 to 40 mcg per injection for periods up to 24 months, has been evaluated in clinical trials for safety in over 1,065 patients with erectile dysfunction. Discontinuation of therapy due to a side effect in clinical trials was required in approximately 9% of patients treated with edex ® and in <1% of patients treated with placebo.

How Supplied

edex ® (alprostadil for injection) is available in single-dose, dual-chamber cartridges intended for use with the reusable edex ® injection device. One chamber of the cartridge contains 10.75, 21.5, or 43 mcg of alprostadil as a white, sterile, lyophilized powder. The other chamber contains 1.075 mL of sterile 0.9% sodium chloride. When the cartridge is placed into the edex ® injection device and reconstituted, the deliverable amount of alprostadil in each milliliter is 10, 20, or 40 mcg, respectively. edex ® Cartridge 2 Pack contains one reusable edex ® injection device, two single-dose, dual-chamber cartridges, two ½-inch, 29-gauge (0.33 mm × 12.7 mm) needles, and four alcohol swabs. edex ® Cartridge 6 Pack contains one reusable edex ® injection device, six single-dose, dual-chamber cartridges, six ½-inch, 29-gauge (0.33 mm × 12.7 mm) needles, and twelve alcohol swabs. The edex ® cartridges are supplied in the following packages:  edex ® Cartridge 2 Pack (includes one injection device, two cartridges, two needles and four alcohol swabs)  10 mcg  1 × 2 Pack  NDC 52244-010-02  20 mcg  1 × 2 Pack  NDC 52244-020-02  40 mcg  1 × 2 Pack  NDC 52244-040-02  edex ® Cartridge 6 Pack (includes one injection device, six cartridges, six needles and twelve alcohol swabs)  10 mcg  1 × 6 Pack  NDC 52244-010-06  20 mcg  1 × 6 Pack  NDC 52244-020-06  40 mcg  1 × 6 Pack  NDC 52244-040-06


Medication Information

Indications and Usage

edex® is indicated for the treatment of erectile dysfunction due to neurogenic, vasculogenic, psychogenic, or mixed etiology.

Contraindications

edex ® should not be used:

  • in men who have conditions that predispose them to priapism, such as sickle cell anemia or sickle cell trait, multiple myeloma, or leukemia (see WARNINGS).
  • for the treatment of erectile dysfunction in men with fibrotic conditions of the penis, such as cavernosal fibrosis or Peyronie’s disease (see PRECAUTIONS).  
  • in men with penile implants
Adverse Reactions

edex®, administered by intracavernous injection in doses ranging from 1 to 40 mcg per injection for periods up to 24 months, has been evaluated in clinical trials for safety in over 1,065 patients with erectile dysfunction. Discontinuation of therapy due to a side effect in clinical trials was required in approximately 9% of patients treated with edex® and in <1% of patients treated with placebo.

How Supplied

edex® (alprostadil for injection) is available in single-dose, dual-chamber cartridges intended for use with the reusable edex® injection device. One chamber of the cartridge contains 10.75, 21.5, or 43 mcg of alprostadil as a white, sterile, lyophilized powder. The other chamber contains 1.075 mL of sterile 0.9% sodium chloride. When the cartridge is placed into the edex® injection device and reconstituted, the deliverable amount of alprostadil in each milliliter is 10, 20, or 40 mcg, respectively. edex® Cartridge 2 Pack contains one reusable edex® injection device, two single-dose, dual-chamber cartridges, two ½-inch, 29-gauge (0.33 mm × 12.7 mm) needles, and four alcohol swabs. edex® Cartridge 6 Pack contains one reusable edex® injection device, six single-dose, dual-chamber cartridges, six ½-inch, 29-gauge (0.33 mm × 12.7 mm) needles, and twelve alcohol swabs.

The edex® cartridges are supplied in the following packages:

 edex® Cartridge 2 Pack (includes one injection device, two cartridges, two needles and four alcohol swabs)
 10 mcg  1 × 2 Pack  NDC 52244-010-02
 20 mcg  1 × 2 Pack  NDC 52244-020-02
 40 mcg  1 × 2 Pack  NDC 52244-040-02
 edex® Cartridge 6 Pack (includes one injection device, six cartridges, six needles and twelve alcohol swabs)
 10 mcg  1 × 6 Pack  NDC 52244-010-06
 20 mcg  1 × 6 Pack  NDC 52244-020-06
 40 mcg  1 × 6 Pack  NDC 52244-040-06
Description

edex® (alprostadil for injection) is a sterile, pyrogen-free powder containing alprostadil in an alfadex (α-cyclodextrin) inclusion complex. Alprostadil is an endogenous substance known as prostaglandin E1 (PGE1). edex® is supplied in single-dose, dual-chamber cartridges.

edex® is lyophilized in single-dose, dual-chamber cartridges intended for use with the reusable edex® injection device. One chamber of the cartridge contains alprostadil, alfadex and lactose as a sterile, pyrogen-free powder. The other chamber contains 1.075 mL of sterile 0.9% sodium chloride. The edex® cartridges are supplied in three strengths: 10-mcg cartridge (10.75 mcg alprostadil, 347.55 mcg α-cyclodextrin, 51.06 mg lactose); 20-mcg cartridge (21.5 mcg alprostadil, 695.2 mcg α-cyclodextrin, 51.06 mg lactose); 40-mcg cartridge (43 mcg alprostadil, 1,390.3 mcg α-cyclodextrin, 51.06 mg lactose). The edex® injection device is used to reconstitute the sterile powder in one chamber with the sterile 0.9% sodium chloride in the other chamber. After reconstitution, the edex® injection device is used to administer the intracavernous injection of alprostadil.

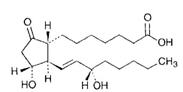
The chemical name for alprostadil is (1R,2R,3R)-3-Hydroxy-2-[(E)-(3S)-3-hydroxy-1-octenyl]-5-oxocyclopentane heptanoic acid. The empirical formula is C20H34O5 and the molecular weight is 354.49. The chemical structure is:

The α-cyclodextrin inclusion complex improves the water solubility of alprostadil. The empirical formula of α-cyclodextrin is C36H60O30 and the molecular weight is 972.85.

The chemical structure is:

Alprostadil alfadex is a white, odorless, hygroscopic powder. It is freely soluble in water and practically insoluble in ethanol, ethyl acetate and ether. After reconstitution, the active ingredient, alprostadil, immediately dissociates from the α-cyclodextrin inclusion complex. The reconstituted solution is clear and colorless and has a pH between 4.0 and 8.0. When the single-dose, dual-chamber cartridge containing either 10.75, 21.5, or 43 mcg of alprostadil is placed into the edex® injection device and reconstituted, the deliverable amount of alprostadil in each milliliter is 10, 20 or 40 mcg, respectively.

Section 34072-9

General

1) Intracavernous injections of edex® can lead to increased peripheral blood levels of PGE1 and its metabolites, especially in those patients with significant corpora cavernosa venous leakage. Increased peripheral blood levels of PGE1 and its metabolites may lead to hypotension and/or dizziness.

2) Regular follow-up of patients, with careful examination of the penis at the start of therapy and at regular intervals (e.g. 3 months), is strongly recommended to identify any penile changes. The overall incidence of penile fibrosis, including Peyronie's disease, reported in clinical studies up to 24 months with edex® was 7.8%. Treatment with edex® should be discontinued in patients who develop penile angulation, cavernosal fibrosis, or Peyronie's disease. Treatment can be resumed if the penile abnormality subsides.

3) The safety and efficacy of combinations of edex® and other vasoactive agents have not been systematically studied. Therefore, the use of such combinations is not recommended.

4) After injection of the edex® solution, compression of the injection site for five minutes, or until bleeding stops, is necessary. Patients on anticoagulants, such as warfarin or heparin, may have increased propensity for bleeding after intracavernous injection.

5) Underlying treatable medical causes of erectile dysfunction should be diagnosed and treated prior to initiation of therapy with edex®.

6) edex® uses a superfine (29 gauge) needle. As with all superfine needles, the possibility of needle breakage exists. Careful instruction in proper patient handling and injection techniques may minimize the potential for needle breakage.

7) The patient should be instructed not to reuse or to share needles or cartridges. As with all prescription medicines, the patient should not allow anyone else to use his medicine.

8) Cardiovascular Risk Related to Underlying Medical Conditions

There is a potential for cardiac risk of sexual activity in patients with preexisting cardiovascular disease. Therefore, treatments for erectile dysfunction, including edex®, generally should not be used in men for whom sexual activity is inadvisable because of their underlying cardiovascular status.  In addition, the evaluation of erectile dysfunction should include a determination of potential underlying causes and the identification of appropriate treatment following a complete medical assessment.

Section 34073-7

Drug Interactions

The pharmacodynamic interaction between heparin (5,000 units) and alprostadil intravenous infusion (90 mcg over 3 hours) was investigated. The results indicate significant changes in partial thromboplastin time (140% increase) and thrombin time (120% increase). Therefore, caution should be exercised with concomitant administration of heparin and edex®.

(Also, see Drug-Drug Interactions in CLINICAL PHARMACOLOGY, Pharmacokinetics .)

Section 34076-0

Information for Patients

To ensure safe and effective use of edex®, the patient should be thoroughly instructed and trained in the self-injection technique before he begins intracavernous treatment with edex® at home. The desirable dose should be established in the physician's office. The instructions for preparation of the edex® solution should be carefully followed. The reconstituted solution may initially appear cloudy due to small air bubbles. Do not use the solution if it remains cloudy, contains precipitates, or is discolored. The reconstituted solution should be gently mixed, not shaken. A patient information pamphlet is included in each package of edex® cartridges.

edex® should be used immediately after reconstitution. The patient should follow the instructions in the patient information pamphlet to limit the possibility of bacterial contamination. The reconstituted cartridge is designed for one use only and should be discarded after use. The edex® cartridge contains a solid layer or Iyophilized cake of dry white powder approximately 3/8" in thickness. A normal cake may appear cracked or crumbled. If the cartridge is damaged, the cake may shrink in size. Do not use the cartridge if it appears damaged or the cake is substantially reduced in size.

If the dosage prescribed is less than 1 mL of edex® solution, excess solution will be expelled through the needle as the plunger is pushed and the upper rim of the top stopper reaches the correct volume mark for the prescribed dose. The needle must be properly discarded after use; it must not be reused or shared with other persons.

The dose of edex® that is established in the physician's office should not be changed by the patient without consulting the physician. The patient may expect an erection to occur within 5 to 20 minutes. A standard treatment goal is to produce an erection lasting no longer than 1 hour. edex® should be used no more than 3 times per week, with at least 24 hours between each use.

Patients should be aware of possible side effects of therapy with edex®; the most frequently occurring is penile pain during and/or after injection, usually mild to moderate in severity. A potentially serious adverse reaction with intracavernous therapy is priapism. Accordingly, the patient should be instructed to contact the physician's office immediately or, if unavailable, to seek immediate medical assistance if an erection persists for longer than 6 hours.

The patient should report any penile pain that was not present before or that increased in intensity, as well as the occurrence of nodules or hard tissue in the penis to his physician as soon as possible. As with any injection, infection is possible. Patients should be instructed to report to the physician any penile redness, swelling, tenderness or curvature of the erect penis. The patient must visit the physician's office for regular checkups for assessment of the therapeutic benefit and safety of treatment with edex®.

Note: Individuals who are sexually active should be counseled about the protective measures that are necessary to guard against the spread of sexually transmitted diseases, including the human immunodeficiency virus (HIV). Use of intracavernous edex® offers no protection from the transmission of sexually transmitted or blood-borne diseases. The injection of edex® can induce a small amount of bleeding at the site of injection. In patients infected with blood-borne diseases, this could increase the risk of transmission of blood-borne diseases between partners.

Section 34082-8

Geriatric Use

Of the approximately 1,065 patients who entered the in-office dose-titration period in clinical studies, 25% were 65 years or older. In clinical studies, geriatric patients required, on average, higher minimally effective doses and had a higher rate of lack of effect (optimum dose not determined). Overall differences in safety were not observed between these geriatric patients and younger patients. Geriatric patients should be dosed and titrated according to the same DOSAGE AND ADMINISTRATION recommendations as younger patients, and the lowest possible effective dose should always be used.

This drug is known to be substantially excreted by the kidney, and the risk of toxic reactions to this drug may be greater in patients with impaired renal function. Because elderly patients are more likely to have decreased renal function, care should be taken in dose selection, and it may be useful to monitor renal function.

Section 34083-6

Carcinogenesis, Mutagenesis, Impairment of Fertility

Long-term carcinogenicity studies have not been conducted. Alprostadil showed no evidence of mutagenicity in three in vitro assays including the AMES bacterial reverse mutation assay, a forward gene mutation assay in Chinese hamster lung (V79) cells, and a chromosome aberration assay in human peripheral lymphocytes. Alprostadil did not produce damage to chromosomes or the mitotic apparatus in the in vivo rat micronucleus test.

Alprostadil did not cause any adverse effects on fertility or general reproductive performance when administered intraperitoneally to male or female rats at dose levels from 2 to 200 mcg/kg/day. The high dose of 200 mcg/kg/day is about 300 times the maximum recommended human dose (MRHD) on a body weight basis. The human dose of edex® is <1 mcg/kg (MRHD is 40 mcg and the calculation assumes a 60-kg subject).

Section 34092-7

Clinical Studies

In two studies (protocol numbers KU-620-001 [Study 1] and KU-620-002 [Study 2]), the safety and efficacy of edex® were evaluated in 347 men with a diagnosis of erectile dysfunction due to vasculogenic, neurogenic and/or mixed etiology. Each study consisted of three phases: an in-office dose-titration phase, a two-week double-blind cross-over phase at home, and an open-label at home treatment phase that lasted for 12 months (Study 1) or six months (Study 2).

During the dose-titration phase, individualized optimum doses of edex® were established. Erectile response was measured by the Buckling Test to assess axial penile rigidity. A positive Buckling Test was achieved if the erect penis was able to support an axial load of 1.0 kg without buckling of the penile shaft. During the subsequent two-week double-blind, cross-over phase, patients self-injected edex® or placebo at home. Thereafter, patients continued to perform self-injections of open-label edex® for six or 12 months, and the occurrence of an erection sufficient for sexual intercourse was documented following each injection.

Section 42228-7

Pregnancy, Nursing Mothers and Pediatric Use

edex® is not indicated for use in women or pediatric patients.

Section 42229-5

For Intracavernous Use Only

Sterile Powder and Diluent

(sterile 0.9% sodium chloride) in Cartridges

Rx Only

Section 42230-3

edex®

(alprostadil for injection)

For Intracavernous Use Only

Sterile Powder and Diluent (sterile 0.9% sodium chloride) in Cartridges

PATIENT INFORMATION FOR edex® CARTRIDGES

Please read carefully before using.

Rx Only

Please read carefully before using.

edex® can only be obtained with a prescription from your doctor. You or your partner should be fully trained on the proper injection technique before using edex® at home. Be sure to use only the dose prescribed by your doctor.

This leaflet provides a summary of information about your medicine. Please read this information carefully before you prepare the edex® solution. The reusable edex® injection device is used to prepare and administer the edex® solution. A convenient carrying case is provided for the reusable edex® injection device.

Carefully follow the instructions for administration which are described below. For further information or advice, ask your doctor or pharmacist.

Please keep this information in case you need to refer to it again.

Erectile Dysfunction: Causes and Treatments

There are several causes of erectile dysfunction, commonly known as impotence. These include impaired blood circulation in the penis, nerve damage, hormonal imbalances, excessive alcohol use, emotional problems, and certain medications that you may be taking for other conditions. Smoking has an adverse effect on erectile function by accentuating the effects of other risk factors such as blood vessel disease or high blood pressure. Erectile dysfunction is often due to more than one of these causes.

Treatment for erectile dysfunction includes penile injections, medical devices that produce an erection, surgical procedures (e.g. penile bypass or implants), hormone treatment, psychological counseling, lifestyle changes, or a change in medication. You should not stop taking any prescription medications, unless told to do so by your doctor.

Your doctor has prescribed edex®, a penile injection, to treat your erectile dysfunction.

Use of edex®

edex® is injected into a specific area of the penis (see injection directions below) and should produce an erection in 5 to 20 minutes. The erection can be expected to last up to one hour. You should not use edex® more than 3 times a week. Injections should be administered at least 24 hours apart.

Ideally, the injection should be administered just prior to foreplay. If your partner experiences insufficient vaginal lubrication or painful vaginal sensations during intercourse, the use of a lubricant may be helpful.

Who should NOT use edex®?

Men who have conditions that might result in long-lasting erections should not use edex®. Some of these conditions include sickle cell anemia or trait, leukemia, and tumor of the bone marrow (multiple myeloma). If you have any of these conditions, consult your doctor.

Men with penile implants, severe penile curvature, or those who have been advised not to engage in sexual activity should not use edex®.

edex® should not be used by women or children.

What are the risks of using edex®?

Erections that last more than 6 hours can cause serious damage to the penile tissue and may result in permanent impotence. Call the prescribing physician or, if unavailable, seek professional help immediately if you still have an erection 6 hours after injection. Various treatment options for reversing a prolonged erection are available.

A common side effect of edex® is mild to moderate pain during injection. The erection may also be associated with a painful sensation. If you experience severe pain, contact the prescribing physician.

Call your doctor if you notice any redness, lumps, swelling, tenderness or curvature of the erect penis.

A small amount of bleeding at the injection site may occur. To prevent bruising, apply firm pressure to the injection site for 5 minutes. Tell your doctor if you have a condition or are taking a medicine that interferes with blood clotting.

There is a possibility of needle breakage with use of edex®. To best avoid breaking the needle, you should pay careful attention to your doctor's instructions and try to handle the injection device properly. If the needle breaks during injection and you are able to see and grasp the broken end, you should remove it and contact your doctor. If you cannot see or cannot grasp the broken end, you should promptly contact your doctor.

NOTE: edex® offers no protection from the transmission of sexually transmitted diseases such as HIV (the virus that causes AIDS). Small amounts of bleeding at the injection site can increase the risk of transmission of blood-borne diseases between partners.

There is no approved injectable treatment using multiple medications. In addition, there are no data on the efficacy and safety of these combinations.

edex® Cartridge 2 Pack contains enough supplies for two injections. The 2 Pack contains the following items:

One reusable edex® injection device

One reusable carrying case

Two single-dose, dual-chamber cartridges (one per injection)

Two &frac12;-inch, 29-gauge (0.33 mm x 12.7 mm) sterile needles (one per injection)

Four alcohol swabs (two per injection)

Patient Information for edex® Cartridges

edex® Cartridge 6 Pack contains enough supplies for six injections. The 6 Pack contains the following items:

One reusable edex® injection device

One reusable carrying case

Six single-dose, dual-chamber cartridges (one per injection)

Six &frac12;-inch, 29-gauge (0.33 mm x 12.7 mm) sterile needles (one per injection)

Twelve alcohol swabs (two per injection)

Patient Information for edex® Cartridges

Storage and Handling

1. Store at 25°C (77°F); temperature variations between 15°C - 30°C (59°F - 86°F) are allowed. As with any drug product, extremes in temperature should be avoided. When traveling, do not store in checked luggage during air travel or leave in a closed automobile.

2. edex® solution should be used immediately after reconstitution.

IMPORTANT: To maintain sterility and avoid contamination, follow these directions carefully. Each needle and cartridge should be used only once. Safely discard the supplies (see the “Discard Injection Supplies” section of these instructions). The edex® cartridges contain a solid layer or cake of dry white powder approximately 3/8” in thickness. A normal cake may appear cracked or crumbled. If the cartridge is damaged, the cake may shrink in size. Do not use the cartridge if it appears damaged or the cake is substantially reduced in size.

Self-Injection Procedure

Before using edex®, you should be properly trained by your doctor. Mix edex® just prior to injection. Your dose has been customized for your individual needs. Use only the dose prescribed by your doctor. Have a clean area available to assemble the items necessary for your edex® injection. The reusable edex® injection device is for use only with the single-dose, dual-chamber cartridges and needles included in the edex® Cartridge 2 Pack or 6 Pack.

READ THE INSTRUCTIONS COMPLETELY BEFORE STARTING YOUR SELF-INJECTION PROCEDURE

Prepare edex® Solution

1. Wash your hands thoroughly with soap and water and dry them with a clean towel.

2. Check to see if the seal on the base of the needle is intact. Remove the seal from the base of the needle. Do not touch the exposed needle (Figure B).

3. Attach the needle to the tip of the edex® injection device by turning clockwise until tight (Figure C). Note: Always attach the needle to the injection device before inserting the cartridge into the injection device.

4. Turn the blue portion of the plunger counterclockwise to unscrew it from the injection device (Figure D).

5. Pick up the cartridge and wipe the tip of the cartridge with an alcohol swab. Do not touch the tip of the cartridge after it has been cleansed with the alcohol swab (Figure E).

6. Insert the cartridge into the injection device with the tip facing toward the attached needle (Figure F). The ridge on the cartridge will need to fit into the groove on the injection device.

7. Attach the plunger to the injection device by turning the blue portion of the plunger clockwise until tight (Figure G).

8. Hold the injection device in an upright position with the needle pointing up.

9. To prepare the drug solution, slowly push the plunger until the two gray rubber stoppers touch (Figure H). Gently move the injection device in a back and forth motion until the drug has dissolved and the solution is clear. The solution may initially appear cloudy due to small air bubbles. Do not use the solution if it remains cloudy, is colored, or contains particles.

10. While holding the injection device with the needle pointing up, carefully remove the external and internal protective caps from the needle by pulling them straight off (Figure I). Do not turn the protective caps counterclockwise as this will loosen the needle. Do not discard the large external protective cap; you will need to use it later. Do not touch the exposed needle or allow the needle to touch anything.

11. Gently tap the cartridge so that air bubbles float to the top of the solution (Figure J). Carefully push the plunger until a drop of solution appears at the end of the needle (Figure K).

Note: The plunger pushes the rubber stoppers forward; the rubber stoppers cannot be pulled back with the plunger.

12. Push the plunger until the upper rim of the top stopper reaches the correct volume mark for your prescribed dose. Excess solution will be expelled through the needle.

13. Set the injection device down on a clean, level surface and do not allow the needle to touch anything.

Select Injection Site

14. Choose an injection site mid-shaft on one side of the penis. Avoid visible blood vessels. With each use of edex®, alternate the side of the penis and vary the site of the injection (Figure L). If your penis is not circumcised, pull the foreskin back. Grasping the head of the penis with your thumb and forefinger, stretch it lengthwise along your thigh so that you can clearly see the selected injection site. Wipe the injection site with a new alcohol swab. Do not discard this swab; you will need to use it later.

Inject edex®

15. Pick up the injection device and reposition the penis as in Step 14 to keep it from moving during the injection.

16. Hold the injection device as shown in Figure M. Do not touch the plunger at this time. Position the needle horizontally and gently insert the needle into the selected injection site until the needle is almost completely inserted into the penis (Figure M). Now place your thumb on the plunger and inject the solution slowly over a period of 5 to 10 seconds (Figure N).

17. If the solution does not inject easily, or if you immediately experience a burning pain at the injection site, reposition the needle by advancing it slightly or by partially withdrawing it until the solution can be injected easily and painlessly.

18. Withdraw needle from penis. Immediately apply firm but gentle pressure with the alcohol swab to the injection site for five minutes to prevent bruising (Figure O). Continue to apply firm pressure until bleeding stops. If bleeding continues or recurs after applying pressure, abstain from intercourse.

Discard Injection Supplies

19. Carefully place the large external protective cap on the needle. Remove the needle from the injection device by turning counterclockwise.

20. Remove the cartridge from the injection device by turning the blue portion of the plunger counterclockwise.

21. Discard your needle in a special container for disposal of sharp medical supplies. Ask your doctor or pharmacist where you can obtain these special containers. Follow the directions on your disposal container for proper disposal procedures. Do not reuse or share needles.

22. Clean the reusable injection device with warm water and a mild soap after each use. Once the injection device is dry, place it in the carrying case.

As with all prescription medicines, do not allow anyone else to use your medication. Proper injection technique and individual dose titration are essential for the safe use of this product.

Manufactured for:

Endo USA

Malvern, PA 19355

Revised: March 2024

Section 43679-0

Mode of Action

Alprostadil is a smooth muscle relaxant. Precontracted isolated preparations of the human corpus cavernosum, corpus spongiosum and cavernous artery are relaxed by alprostadil. Alprostadil has been shown to bind to specific receptors in human penile tissue. Two types of receptors that differ in their PGE1 binding affinity have been identified. The binding of alprostadil to its receptors is accompanied by an increase in intracellular cAMP levels. Human cavernous smooth muscle cells respond to alprostadil by releasing intracellular calcium into the surrounding medium. Smooth muscle relaxation is associated with a reduction of the cytoplasmic free calcium concentration. Alprostadil also attenuates presynaptic noradrenaline release in the corpus cavernosum which is essential for the maintenance of a flaccid and non-erect penis.

Alprostadil induces erection by relaxation of trabecular smooth muscle and by dilation of cavernous arteries. This leads to expansion of lacunar spaces and entrapment of blood by compressing the venules against the tunica albuginea, a process referred to as the corporal veno-occlusive mechanism.

Section 43682-4

Pharmacokinetics

Section 44425-7

Store at 25°C (77°F); excursions permitted between 15°C - 30°C (59°F - 86°F).

Warnings

Prolonged erections greater than four hours in duration occurred in 4% of all patients treated up to 24 months. The incidence of priapism (erections greater than 6 hours in duration) was <1% with long-term use for up to 24 months. In the majority of cases, spontaneous detumescence occurred. Pharmacologic intervention and/or aspiration of blood from the corpora was necessary in 1.6% of 311 patients with prolonged erections/priapism. To minimize the chances of prolonged erection or priapism, edex® should be titrated slowly to the lowest effective dose (see DOSAGE AND ADMINISTRATION). The patient must be instructed to immediately report to his prescribing physician or, if unavailable, to seek immediate medical assistance for any erection that persists longer than six hours. If priapism is not treated immediately, penile tissue damage and permanent loss of potency may result.

Stability

The single-dose, dual-chamber cartridge should be reconstituted only when it is certain that the patient is ready to administer the drug. The reconstituted drug solution should be used immediately after reconstitution. Any solution remaining in the cartridge should be discarded.

Overdosage

Limited data are available in regard to edex® overdose in humans. Systemic reactions are uncommon with intracavernous injection of edex®. Hypotension occurred in less than 1% of patients treated with edex®. A single dose rising tolerance study in healthy volunteers indicated that single intravenous doses of alprostadil from 1 to 120 mcg were well tolerated. Beginning with a 40 mcg bolus intravenous dose, the frequency of drug-related systemic adverse events increased in a dose-dependent manner, characterized mainly by facial flushing.

The primary symptom of an edex® overdose is a prolonged erection or priapism. Because of the potential for tissue hypoxia and possible necrosis, it is strongly recommended to treat an erection lasting more than 6 hours. The patient is strongly encouraged to go to the nearest emergency room if his personal physician is not available.

In the event of an overdose, supportive therapy according to the presence of other symptoms is recommended.

Administration

edex® is given as an intracavernous injection over a 5- to 10-second interval. See patient information for edex®.

Alpha Cyclodextrin

After reconstitution, PGE1 immediately dissociates from the α-cyclodextrin inclusion complex; the in vivo disposition of both components occurs independently after administration. After intravenous infusion of radiolabeled α-cyclodextrin to healthy volunteers, the radiolabeled components were rapidly eliminated within 24-hours, urine accounting for 81% to 83% of radioactivity and feces for 0.1%. There was no evidence of significant accumulation of radiolabeled α-cyclodextrin in the body even after 7 days of repeated intravenous injection. After intracavernous administration in monkeys, radiolabeled α-cyclodextrin was rapidly distributed from the injection site with less than 0.1% of the dose remaining in the penis 1 hour after administration. There was no evidence of tissue retention of radiolabeled α-cyclodextrin in monkeys.

Clinical Pharmacology

Alprostadil (PGE1) is one of the prostaglandins, a family of naturally occurring acidic lipids with various pharmacological effects. Endogenous PGE1 is derived from dihomo-gamma-linolenic acid, a fatty acid found within the phospholipids of cellular membranes. As an endogenous substance, PGE1 exerts its biological effects either directly or indirectly by regulating and modifying the synthesis and effects of other hormones and mediators.

Preparation of Solution

The edex® injection device is used to reconstitute the single-dose, dual-chamber cartridge. The plunger is used to force the sterile 0.9% sodium chloride (1.075 mL) in one chamber into the chamber containing alprostadil. After reconstitution, the edex® injection device is used to administer the intracavernous injection of alprostadil. The reusable edex® injection device is for use only with the cartridges and needles included in the edex® Cartridge Packs.

Prepare the edex® solution immediately before use. Do not administer unless solution is clear. Do not add any drugs or solutions to the edex® solution. Discard any unused solution remaining in the cartridge. The reconstituted solution should not be stored.

The edex® cartridge contains a solid layer or lyophilized cake of dry white powder approximately 3/8" in thickness. A normal cake may appear cracked or crumbled. If the cartridge is damaged, the cake may shrink in size. Do not use the cartridge if it appears damaged or the cake is substantially reduced in size.

Parenteral drug products should be inspected visually for particulate matter and discoloration prior to administration. The reconstituted solution may initially appear cloudy due to small air bubbles. Do not use the solution if it remains cloudy, contains precipitates, or is discolored.

CAUTION: Do not reuse any solution remaining in the cartridge due to the possibility of bacterial contamination.

Principal Display Panel 10 Mcg 2pk
Principal Display Panel 10 Mcg 6pk
Principal Display Panel 20 Mcg 2pk
Principal Display Panel 20 Mcg 6pk
Principal Display Panel 40 Mcg 2pk
Principal Display Panel 40 Mcg 6pk

Structured Label Content

Section 34072-9 (34072-9)

General

1) Intracavernous injections of edex® can lead to increased peripheral blood levels of PGE1 and its metabolites, especially in those patients with significant corpora cavernosa venous leakage. Increased peripheral blood levels of PGE1 and its metabolites may lead to hypotension and/or dizziness.

2) Regular follow-up of patients, with careful examination of the penis at the start of therapy and at regular intervals (e.g. 3 months), is strongly recommended to identify any penile changes. The overall incidence of penile fibrosis, including Peyronie's disease, reported in clinical studies up to 24 months with edex® was 7.8%. Treatment with edex® should be discontinued in patients who develop penile angulation, cavernosal fibrosis, or Peyronie's disease. Treatment can be resumed if the penile abnormality subsides.

3) The safety and efficacy of combinations of edex® and other vasoactive agents have not been systematically studied. Therefore, the use of such combinations is not recommended.

4) After injection of the edex® solution, compression of the injection site for five minutes, or until bleeding stops, is necessary. Patients on anticoagulants, such as warfarin or heparin, may have increased propensity for bleeding after intracavernous injection.

5) Underlying treatable medical causes of erectile dysfunction should be diagnosed and treated prior to initiation of therapy with edex®.

6) edex® uses a superfine (29 gauge) needle. As with all superfine needles, the possibility of needle breakage exists. Careful instruction in proper patient handling and injection techniques may minimize the potential for needle breakage.

7) The patient should be instructed not to reuse or to share needles or cartridges. As with all prescription medicines, the patient should not allow anyone else to use his medicine.

8) Cardiovascular Risk Related to Underlying Medical Conditions

There is a potential for cardiac risk of sexual activity in patients with preexisting cardiovascular disease. Therefore, treatments for erectile dysfunction, including edex®, generally should not be used in men for whom sexual activity is inadvisable because of their underlying cardiovascular status.  In addition, the evaluation of erectile dysfunction should include a determination of potential underlying causes and the identification of appropriate treatment following a complete medical assessment.

Section 34073-7 (34073-7)

Drug Interactions

The pharmacodynamic interaction between heparin (5,000 units) and alprostadil intravenous infusion (90 mcg over 3 hours) was investigated. The results indicate significant changes in partial thromboplastin time (140% increase) and thrombin time (120% increase). Therefore, caution should be exercised with concomitant administration of heparin and edex®.

(Also, see Drug-Drug Interactions in CLINICAL PHARMACOLOGY, Pharmacokinetics .)

Section 34076-0 (34076-0)

Information for Patients

To ensure safe and effective use of edex®, the patient should be thoroughly instructed and trained in the self-injection technique before he begins intracavernous treatment with edex® at home. The desirable dose should be established in the physician's office. The instructions for preparation of the edex® solution should be carefully followed. The reconstituted solution may initially appear cloudy due to small air bubbles. Do not use the solution if it remains cloudy, contains precipitates, or is discolored. The reconstituted solution should be gently mixed, not shaken. A patient information pamphlet is included in each package of edex® cartridges.

edex® should be used immediately after reconstitution. The patient should follow the instructions in the patient information pamphlet to limit the possibility of bacterial contamination. The reconstituted cartridge is designed for one use only and should be discarded after use. The edex® cartridge contains a solid layer or Iyophilized cake of dry white powder approximately 3/8" in thickness. A normal cake may appear cracked or crumbled. If the cartridge is damaged, the cake may shrink in size. Do not use the cartridge if it appears damaged or the cake is substantially reduced in size.

If the dosage prescribed is less than 1 mL of edex® solution, excess solution will be expelled through the needle as the plunger is pushed and the upper rim of the top stopper reaches the correct volume mark for the prescribed dose. The needle must be properly discarded after use; it must not be reused or shared with other persons.

The dose of edex® that is established in the physician's office should not be changed by the patient without consulting the physician. The patient may expect an erection to occur within 5 to 20 minutes. A standard treatment goal is to produce an erection lasting no longer than 1 hour. edex® should be used no more than 3 times per week, with at least 24 hours between each use.

Patients should be aware of possible side effects of therapy with edex®; the most frequently occurring is penile pain during and/or after injection, usually mild to moderate in severity. A potentially serious adverse reaction with intracavernous therapy is priapism. Accordingly, the patient should be instructed to contact the physician's office immediately or, if unavailable, to seek immediate medical assistance if an erection persists for longer than 6 hours.

The patient should report any penile pain that was not present before or that increased in intensity, as well as the occurrence of nodules or hard tissue in the penis to his physician as soon as possible. As with any injection, infection is possible. Patients should be instructed to report to the physician any penile redness, swelling, tenderness or curvature of the erect penis. The patient must visit the physician's office for regular checkups for assessment of the therapeutic benefit and safety of treatment with edex®.

Note: Individuals who are sexually active should be counseled about the protective measures that are necessary to guard against the spread of sexually transmitted diseases, including the human immunodeficiency virus (HIV). Use of intracavernous edex® offers no protection from the transmission of sexually transmitted or blood-borne diseases. The injection of edex® can induce a small amount of bleeding at the site of injection. In patients infected with blood-borne diseases, this could increase the risk of transmission of blood-borne diseases between partners.

Section 34082-8 (34082-8)

Geriatric Use

Of the approximately 1,065 patients who entered the in-office dose-titration period in clinical studies, 25% were 65 years or older. In clinical studies, geriatric patients required, on average, higher minimally effective doses and had a higher rate of lack of effect (optimum dose not determined). Overall differences in safety were not observed between these geriatric patients and younger patients. Geriatric patients should be dosed and titrated according to the same DOSAGE AND ADMINISTRATION recommendations as younger patients, and the lowest possible effective dose should always be used.

This drug is known to be substantially excreted by the kidney, and the risk of toxic reactions to this drug may be greater in patients with impaired renal function. Because elderly patients are more likely to have decreased renal function, care should be taken in dose selection, and it may be useful to monitor renal function.

Section 34083-6 (34083-6)

Carcinogenesis, Mutagenesis, Impairment of Fertility

Long-term carcinogenicity studies have not been conducted. Alprostadil showed no evidence of mutagenicity in three in vitro assays including the AMES bacterial reverse mutation assay, a forward gene mutation assay in Chinese hamster lung (V79) cells, and a chromosome aberration assay in human peripheral lymphocytes. Alprostadil did not produce damage to chromosomes or the mitotic apparatus in the in vivo rat micronucleus test.

Alprostadil did not cause any adverse effects on fertility or general reproductive performance when administered intraperitoneally to male or female rats at dose levels from 2 to 200 mcg/kg/day. The high dose of 200 mcg/kg/day is about 300 times the maximum recommended human dose (MRHD) on a body weight basis. The human dose of edex® is <1 mcg/kg (MRHD is 40 mcg and the calculation assumes a 60-kg subject).

Section 34092-7 (34092-7)

Clinical Studies

In two studies (protocol numbers KU-620-001 [Study 1] and KU-620-002 [Study 2]), the safety and efficacy of edex® were evaluated in 347 men with a diagnosis of erectile dysfunction due to vasculogenic, neurogenic and/or mixed etiology. Each study consisted of three phases: an in-office dose-titration phase, a two-week double-blind cross-over phase at home, and an open-label at home treatment phase that lasted for 12 months (Study 1) or six months (Study 2).

During the dose-titration phase, individualized optimum doses of edex® were established. Erectile response was measured by the Buckling Test to assess axial penile rigidity. A positive Buckling Test was achieved if the erect penis was able to support an axial load of 1.0 kg without buckling of the penile shaft. During the subsequent two-week double-blind, cross-over phase, patients self-injected edex® or placebo at home. Thereafter, patients continued to perform self-injections of open-label edex® for six or 12 months, and the occurrence of an erection sufficient for sexual intercourse was documented following each injection.

Section 42228-7 (42228-7)

Pregnancy, Nursing Mothers and Pediatric Use

edex® is not indicated for use in women or pediatric patients.

Section 42229-5 (42229-5)

For Intracavernous Use Only

Sterile Powder and Diluent

(sterile 0.9% sodium chloride) in Cartridges

Rx Only

Section 42230-3 (42230-3)

edex®

(alprostadil for injection)

For Intracavernous Use Only

Sterile Powder and Diluent (sterile 0.9% sodium chloride) in Cartridges

PATIENT INFORMATION FOR edex® CARTRIDGES

Please read carefully before using.

Rx Only

Please read carefully before using.

edex® can only be obtained with a prescription from your doctor. You or your partner should be fully trained on the proper injection technique before using edex® at home. Be sure to use only the dose prescribed by your doctor.

This leaflet provides a summary of information about your medicine. Please read this information carefully before you prepare the edex® solution. The reusable edex® injection device is used to prepare and administer the edex® solution. A convenient carrying case is provided for the reusable edex® injection device.

Carefully follow the instructions for administration which are described below. For further information or advice, ask your doctor or pharmacist.

Please keep this information in case you need to refer to it again.

Erectile Dysfunction: Causes and Treatments

There are several causes of erectile dysfunction, commonly known as impotence. These include impaired blood circulation in the penis, nerve damage, hormonal imbalances, excessive alcohol use, emotional problems, and certain medications that you may be taking for other conditions. Smoking has an adverse effect on erectile function by accentuating the effects of other risk factors such as blood vessel disease or high blood pressure. Erectile dysfunction is often due to more than one of these causes.

Treatment for erectile dysfunction includes penile injections, medical devices that produce an erection, surgical procedures (e.g. penile bypass or implants), hormone treatment, psychological counseling, lifestyle changes, or a change in medication. You should not stop taking any prescription medications, unless told to do so by your doctor.

Your doctor has prescribed edex®, a penile injection, to treat your erectile dysfunction.

Use of edex®

edex® is injected into a specific area of the penis (see injection directions below) and should produce an erection in 5 to 20 minutes. The erection can be expected to last up to one hour. You should not use edex® more than 3 times a week. Injections should be administered at least 24 hours apart.

Ideally, the injection should be administered just prior to foreplay. If your partner experiences insufficient vaginal lubrication or painful vaginal sensations during intercourse, the use of a lubricant may be helpful.

Who should NOT use edex®?

Men who have conditions that might result in long-lasting erections should not use edex®. Some of these conditions include sickle cell anemia or trait, leukemia, and tumor of the bone marrow (multiple myeloma). If you have any of these conditions, consult your doctor.

Men with penile implants, severe penile curvature, or those who have been advised not to engage in sexual activity should not use edex®.

edex® should not be used by women or children.

What are the risks of using edex®?

Erections that last more than 6 hours can cause serious damage to the penile tissue and may result in permanent impotence. Call the prescribing physician or, if unavailable, seek professional help immediately if you still have an erection 6 hours after injection. Various treatment options for reversing a prolonged erection are available.

A common side effect of edex® is mild to moderate pain during injection. The erection may also be associated with a painful sensation. If you experience severe pain, contact the prescribing physician.

Call your doctor if you notice any redness, lumps, swelling, tenderness or curvature of the erect penis.

A small amount of bleeding at the injection site may occur. To prevent bruising, apply firm pressure to the injection site for 5 minutes. Tell your doctor if you have a condition or are taking a medicine that interferes with blood clotting.

There is a possibility of needle breakage with use of edex®. To best avoid breaking the needle, you should pay careful attention to your doctor's instructions and try to handle the injection device properly. If the needle breaks during injection and you are able to see and grasp the broken end, you should remove it and contact your doctor. If you cannot see or cannot grasp the broken end, you should promptly contact your doctor.

NOTE: edex® offers no protection from the transmission of sexually transmitted diseases such as HIV (the virus that causes AIDS). Small amounts of bleeding at the injection site can increase the risk of transmission of blood-borne diseases between partners.

There is no approved injectable treatment using multiple medications. In addition, there are no data on the efficacy and safety of these combinations.

edex® Cartridge 2 Pack contains enough supplies for two injections. The 2 Pack contains the following items:

One reusable edex® injection device

One reusable carrying case

Two single-dose, dual-chamber cartridges (one per injection)

Two &frac12;-inch, 29-gauge (0.33 mm x 12.7 mm) sterile needles (one per injection)

Four alcohol swabs (two per injection)

Patient Information for edex® Cartridges

edex® Cartridge 6 Pack contains enough supplies for six injections. The 6 Pack contains the following items:

One reusable edex® injection device

One reusable carrying case

Six single-dose, dual-chamber cartridges (one per injection)

Six &frac12;-inch, 29-gauge (0.33 mm x 12.7 mm) sterile needles (one per injection)

Twelve alcohol swabs (two per injection)

Patient Information for edex® Cartridges

Storage and Handling

1. Store at 25°C (77°F); temperature variations between 15°C - 30°C (59°F - 86°F) are allowed. As with any drug product, extremes in temperature should be avoided. When traveling, do not store in checked luggage during air travel or leave in a closed automobile.

2. edex® solution should be used immediately after reconstitution.

IMPORTANT: To maintain sterility and avoid contamination, follow these directions carefully. Each needle and cartridge should be used only once. Safely discard the supplies (see the “Discard Injection Supplies” section of these instructions). The edex® cartridges contain a solid layer or cake of dry white powder approximately 3/8” in thickness. A normal cake may appear cracked or crumbled. If the cartridge is damaged, the cake may shrink in size. Do not use the cartridge if it appears damaged or the cake is substantially reduced in size.

Self-Injection Procedure

Before using edex®, you should be properly trained by your doctor. Mix edex® just prior to injection. Your dose has been customized for your individual needs. Use only the dose prescribed by your doctor. Have a clean area available to assemble the items necessary for your edex® injection. The reusable edex® injection device is for use only with the single-dose, dual-chamber cartridges and needles included in the edex® Cartridge 2 Pack or 6 Pack.

READ THE INSTRUCTIONS COMPLETELY BEFORE STARTING YOUR SELF-INJECTION PROCEDURE

Prepare edex® Solution

1. Wash your hands thoroughly with soap and water and dry them with a clean towel.

2. Check to see if the seal on the base of the needle is intact. Remove the seal from the base of the needle. Do not touch the exposed needle (Figure B).

3. Attach the needle to the tip of the edex® injection device by turning clockwise until tight (Figure C). Note: Always attach the needle to the injection device before inserting the cartridge into the injection device.

4. Turn the blue portion of the plunger counterclockwise to unscrew it from the injection device (Figure D).

5. Pick up the cartridge and wipe the tip of the cartridge with an alcohol swab. Do not touch the tip of the cartridge after it has been cleansed with the alcohol swab (Figure E).

6. Insert the cartridge into the injection device with the tip facing toward the attached needle (Figure F). The ridge on the cartridge will need to fit into the groove on the injection device.

7. Attach the plunger to the injection device by turning the blue portion of the plunger clockwise until tight (Figure G).

8. Hold the injection device in an upright position with the needle pointing up.

9. To prepare the drug solution, slowly push the plunger until the two gray rubber stoppers touch (Figure H). Gently move the injection device in a back and forth motion until the drug has dissolved and the solution is clear. The solution may initially appear cloudy due to small air bubbles. Do not use the solution if it remains cloudy, is colored, or contains particles.

10. While holding the injection device with the needle pointing up, carefully remove the external and internal protective caps from the needle by pulling them straight off (Figure I). Do not turn the protective caps counterclockwise as this will loosen the needle. Do not discard the large external protective cap; you will need to use it later. Do not touch the exposed needle or allow the needle to touch anything.

11. Gently tap the cartridge so that air bubbles float to the top of the solution (Figure J). Carefully push the plunger until a drop of solution appears at the end of the needle (Figure K).

Note: The plunger pushes the rubber stoppers forward; the rubber stoppers cannot be pulled back with the plunger.

12. Push the plunger until the upper rim of the top stopper reaches the correct volume mark for your prescribed dose. Excess solution will be expelled through the needle.

13. Set the injection device down on a clean, level surface and do not allow the needle to touch anything.

Select Injection Site

14. Choose an injection site mid-shaft on one side of the penis. Avoid visible blood vessels. With each use of edex®, alternate the side of the penis and vary the site of the injection (Figure L). If your penis is not circumcised, pull the foreskin back. Grasping the head of the penis with your thumb and forefinger, stretch it lengthwise along your thigh so that you can clearly see the selected injection site. Wipe the injection site with a new alcohol swab. Do not discard this swab; you will need to use it later.

Inject edex®

15. Pick up the injection device and reposition the penis as in Step 14 to keep it from moving during the injection.

16. Hold the injection device as shown in Figure M. Do not touch the plunger at this time. Position the needle horizontally and gently insert the needle into the selected injection site until the needle is almost completely inserted into the penis (Figure M). Now place your thumb on the plunger and inject the solution slowly over a period of 5 to 10 seconds (Figure N).

17. If the solution does not inject easily, or if you immediately experience a burning pain at the injection site, reposition the needle by advancing it slightly or by partially withdrawing it until the solution can be injected easily and painlessly.

18. Withdraw needle from penis. Immediately apply firm but gentle pressure with the alcohol swab to the injection site for five minutes to prevent bruising (Figure O). Continue to apply firm pressure until bleeding stops. If bleeding continues or recurs after applying pressure, abstain from intercourse.

Discard Injection Supplies

19. Carefully place the large external protective cap on the needle. Remove the needle from the injection device by turning counterclockwise.

20. Remove the cartridge from the injection device by turning the blue portion of the plunger counterclockwise.

21. Discard your needle in a special container for disposal of sharp medical supplies. Ask your doctor or pharmacist where you can obtain these special containers. Follow the directions on your disposal container for proper disposal procedures. Do not reuse or share needles.

22. Clean the reusable injection device with warm water and a mild soap after each use. Once the injection device is dry, place it in the carrying case.

As with all prescription medicines, do not allow anyone else to use your medication. Proper injection technique and individual dose titration are essential for the safe use of this product.

Manufactured for:

Endo USA

Malvern, PA 19355

Revised: March 2024

Section 43679-0 (43679-0)

Mode of Action

Alprostadil is a smooth muscle relaxant. Precontracted isolated preparations of the human corpus cavernosum, corpus spongiosum and cavernous artery are relaxed by alprostadil. Alprostadil has been shown to bind to specific receptors in human penile tissue. Two types of receptors that differ in their PGE1 binding affinity have been identified. The binding of alprostadil to its receptors is accompanied by an increase in intracellular cAMP levels. Human cavernous smooth muscle cells respond to alprostadil by releasing intracellular calcium into the surrounding medium. Smooth muscle relaxation is associated with a reduction of the cytoplasmic free calcium concentration. Alprostadil also attenuates presynaptic noradrenaline release in the corpus cavernosum which is essential for the maintenance of a flaccid and non-erect penis.

Alprostadil induces erection by relaxation of trabecular smooth muscle and by dilation of cavernous arteries. This leads to expansion of lacunar spaces and entrapment of blood by compressing the venules against the tunica albuginea, a process referred to as the corporal veno-occlusive mechanism.

Section 43682-4 (43682-4)

Pharmacokinetics

Section 44425-7 (44425-7)

Store at 25°C (77°F); excursions permitted between 15°C - 30°C (59°F - 86°F).

Warnings (WARNINGS)

Prolonged erections greater than four hours in duration occurred in 4% of all patients treated up to 24 months. The incidence of priapism (erections greater than 6 hours in duration) was <1% with long-term use for up to 24 months. In the majority of cases, spontaneous detumescence occurred. Pharmacologic intervention and/or aspiration of blood from the corpora was necessary in 1.6% of 311 patients with prolonged erections/priapism. To minimize the chances of prolonged erection or priapism, edex® should be titrated slowly to the lowest effective dose (see DOSAGE AND ADMINISTRATION). The patient must be instructed to immediately report to his prescribing physician or, if unavailable, to seek immediate medical assistance for any erection that persists longer than six hours. If priapism is not treated immediately, penile tissue damage and permanent loss of potency may result.

Stability

The single-dose, dual-chamber cartridge should be reconstituted only when it is certain that the patient is ready to administer the drug. The reconstituted drug solution should be used immediately after reconstitution. Any solution remaining in the cartridge should be discarded.

Overdosage (OVERDOSAGE)

Limited data are available in regard to edex® overdose in humans. Systemic reactions are uncommon with intracavernous injection of edex®. Hypotension occurred in less than 1% of patients treated with edex®. A single dose rising tolerance study in healthy volunteers indicated that single intravenous doses of alprostadil from 1 to 120 mcg were well tolerated. Beginning with a 40 mcg bolus intravenous dose, the frequency of drug-related systemic adverse events increased in a dose-dependent manner, characterized mainly by facial flushing.

The primary symptom of an edex® overdose is a prolonged erection or priapism. Because of the potential for tissue hypoxia and possible necrosis, it is strongly recommended to treat an erection lasting more than 6 hours. The patient is strongly encouraged to go to the nearest emergency room if his personal physician is not available.

In the event of an overdose, supportive therapy according to the presence of other symptoms is recommended.

Description (DESCRIPTION)

edex® (alprostadil for injection) is a sterile, pyrogen-free powder containing alprostadil in an alfadex (α-cyclodextrin) inclusion complex. Alprostadil is an endogenous substance known as prostaglandin E1 (PGE1). edex® is supplied in single-dose, dual-chamber cartridges.

edex® is lyophilized in single-dose, dual-chamber cartridges intended for use with the reusable edex® injection device. One chamber of the cartridge contains alprostadil, alfadex and lactose as a sterile, pyrogen-free powder. The other chamber contains 1.075 mL of sterile 0.9% sodium chloride. The edex® cartridges are supplied in three strengths: 10-mcg cartridge (10.75 mcg alprostadil, 347.55 mcg α-cyclodextrin, 51.06 mg lactose); 20-mcg cartridge (21.5 mcg alprostadil, 695.2 mcg α-cyclodextrin, 51.06 mg lactose); 40-mcg cartridge (43 mcg alprostadil, 1,390.3 mcg α-cyclodextrin, 51.06 mg lactose). The edex® injection device is used to reconstitute the sterile powder in one chamber with the sterile 0.9% sodium chloride in the other chamber. After reconstitution, the edex® injection device is used to administer the intracavernous injection of alprostadil.

The chemical name for alprostadil is (1R,2R,3R)-3-Hydroxy-2-[(E)-(3S)-3-hydroxy-1-octenyl]-5-oxocyclopentane heptanoic acid. The empirical formula is C20H34O5 and the molecular weight is 354.49. The chemical structure is:

The α-cyclodextrin inclusion complex improves the water solubility of alprostadil. The empirical formula of α-cyclodextrin is C36H60O30 and the molecular weight is 972.85.

The chemical structure is:

Alprostadil alfadex is a white, odorless, hygroscopic powder. It is freely soluble in water and practically insoluble in ethanol, ethyl acetate and ether. After reconstitution, the active ingredient, alprostadil, immediately dissociates from the α-cyclodextrin inclusion complex. The reconstituted solution is clear and colorless and has a pH between 4.0 and 8.0. When the single-dose, dual-chamber cartridge containing either 10.75, 21.5, or 43 mcg of alprostadil is placed into the edex® injection device and reconstituted, the deliverable amount of alprostadil in each milliliter is 10, 20 or 40 mcg, respectively.

How Supplied (HOW SUPPLIED)

edex® (alprostadil for injection) is available in single-dose, dual-chamber cartridges intended for use with the reusable edex® injection device. One chamber of the cartridge contains 10.75, 21.5, or 43 mcg of alprostadil as a white, sterile, lyophilized powder. The other chamber contains 1.075 mL of sterile 0.9% sodium chloride. When the cartridge is placed into the edex® injection device and reconstituted, the deliverable amount of alprostadil in each milliliter is 10, 20, or 40 mcg, respectively. edex® Cartridge 2 Pack contains one reusable edex® injection device, two single-dose, dual-chamber cartridges, two ½-inch, 29-gauge (0.33 mm × 12.7 mm) needles, and four alcohol swabs. edex® Cartridge 6 Pack contains one reusable edex® injection device, six single-dose, dual-chamber cartridges, six ½-inch, 29-gauge (0.33 mm × 12.7 mm) needles, and twelve alcohol swabs.

The edex® cartridges are supplied in the following packages:

 edex® Cartridge 2 Pack (includes one injection device, two cartridges, two needles and four alcohol swabs)
 10 mcg  1 × 2 Pack  NDC 52244-010-02
 20 mcg  1 × 2 Pack  NDC 52244-020-02
 40 mcg  1 × 2 Pack  NDC 52244-040-02
 edex® Cartridge 6 Pack (includes one injection device, six cartridges, six needles and twelve alcohol swabs)
 10 mcg  1 × 6 Pack  NDC 52244-010-06
 20 mcg  1 × 6 Pack  NDC 52244-020-06
 40 mcg  1 × 6 Pack  NDC 52244-040-06
Administration

edex® is given as an intracavernous injection over a 5- to 10-second interval. See patient information for edex®.

Adverse Reactions (ADVERSE REACTIONS)

edex®, administered by intracavernous injection in doses ranging from 1 to 40 mcg per injection for periods up to 24 months, has been evaluated in clinical trials for safety in over 1,065 patients with erectile dysfunction. Discontinuation of therapy due to a side effect in clinical trials was required in approximately 9% of patients treated with edex® and in <1% of patients treated with placebo.

Contraindications (CONTRAINDICATIONS)

edex ® should not be used:

  • in men who have conditions that predispose them to priapism, such as sickle cell anemia or sickle cell trait, multiple myeloma, or leukemia (see WARNINGS).
  • for the treatment of erectile dysfunction in men with fibrotic conditions of the penis, such as cavernosal fibrosis or Peyronie’s disease (see PRECAUTIONS).  
  • in men with penile implants
Alpha Cyclodextrin (Alpha-Cyclodextrin)

After reconstitution, PGE1 immediately dissociates from the α-cyclodextrin inclusion complex; the in vivo disposition of both components occurs independently after administration. After intravenous infusion of radiolabeled α-cyclodextrin to healthy volunteers, the radiolabeled components were rapidly eliminated within 24-hours, urine accounting for 81% to 83% of radioactivity and feces for 0.1%. There was no evidence of significant accumulation of radiolabeled α-cyclodextrin in the body even after 7 days of repeated intravenous injection. After intracavernous administration in monkeys, radiolabeled α-cyclodextrin was rapidly distributed from the injection site with less than 0.1% of the dose remaining in the penis 1 hour after administration. There was no evidence of tissue retention of radiolabeled α-cyclodextrin in monkeys.

Clinical Pharmacology (CLINICAL PHARMACOLOGY)

Alprostadil (PGE1) is one of the prostaglandins, a family of naturally occurring acidic lipids with various pharmacological effects. Endogenous PGE1 is derived from dihomo-gamma-linolenic acid, a fatty acid found within the phospholipids of cellular membranes. As an endogenous substance, PGE1 exerts its biological effects either directly or indirectly by regulating and modifying the synthesis and effects of other hormones and mediators.

Indications and Usage (INDICATIONS AND USAGE)

edex® is indicated for the treatment of erectile dysfunction due to neurogenic, vasculogenic, psychogenic, or mixed etiology.

Preparation of Solution

The edex® injection device is used to reconstitute the single-dose, dual-chamber cartridge. The plunger is used to force the sterile 0.9% sodium chloride (1.075 mL) in one chamber into the chamber containing alprostadil. After reconstitution, the edex® injection device is used to administer the intracavernous injection of alprostadil. The reusable edex® injection device is for use only with the cartridges and needles included in the edex® Cartridge Packs.

Prepare the edex® solution immediately before use. Do not administer unless solution is clear. Do not add any drugs or solutions to the edex® solution. Discard any unused solution remaining in the cartridge. The reconstituted solution should not be stored.

The edex® cartridge contains a solid layer or lyophilized cake of dry white powder approximately 3/8" in thickness. A normal cake may appear cracked or crumbled. If the cartridge is damaged, the cake may shrink in size. Do not use the cartridge if it appears damaged or the cake is substantially reduced in size.

Parenteral drug products should be inspected visually for particulate matter and discoloration prior to administration. The reconstituted solution may initially appear cloudy due to small air bubbles. Do not use the solution if it remains cloudy, contains precipitates, or is discolored.

CAUTION: Do not reuse any solution remaining in the cartridge due to the possibility of bacterial contamination.

Principal Display Panel 10 Mcg 2pk (Principal Display Panel - 10 mcg 2pk)
Principal Display Panel 10 Mcg 6pk (Principal Display Panel - 10 mcg 6pk)
Principal Display Panel 20 Mcg 2pk (Principal Display Panel - 20 mcg 2pk)
Principal Display Panel 20 Mcg 6pk (Principal Display Panel - 20 mcg 6pk)
Principal Display Panel 40 Mcg 2pk (Principal Display Panel - 40 mcg 2pk)
Principal Display Panel 40 Mcg 6pk (Principal Display Panel - 40 mcg 6pk)

Advanced Ingredient Data


Raw Label Data

All Sections (JSON)