These Highlights Do Not Include All The Information Needed To Use Sensorcaine®

These Highlights Do Not Include All The Information Needed To Use Sensorcaine®
SPL v7
SPL
SPL Set ID e700eb7b-8b14-49c9-96b2-331f18776e45
Routes
EPIDURAL INTRACAUDAL INFILTRATION PERINEURAL
Published
Effective Date 2022-11-30
Document Type 34391-3 HUMAN PRESCRIPTION DRUG LABEL

Drug Facts

Composition & Product

Inactive Ingredients
Sodium Chloride Sodium Hydroxide Hydrochloric Acid

Identifiers & Packaging

Marketing Status
ANDA Active Since 2010-11-19

Description

There have been reports of cardiac arrest with difficult resuscitation or death during use of SENSORCAINE for epidural anesthesia in obstetrical patients. In most cases, this has followed use of the 0.75% (7.5 mg/mL) concentration. Resuscitation has been difficult or impossible despite apparently adequate preparation and appropriate management. Cardiac arrest has occurred after convulsions resulting from systemic toxicity, presumably following unintentional intravascular injection. The 0.75% (7.5 mg/mL) concentration of SENSORCAINE is not recommended for obstetrical anesthesia and should be reserved for surgical procedures where a high degree of muscle relaxation and prolonged effect are necessary [see Warnings and Precautions ( 5.1 )].

Indications and Usage

SENSORCAINE / SENSORCAINE WITH EPINEPHRINE is indicated in adults for the production of local or regional anesthesia or analgesia for surgery, dental and oral surgery procedures, diagnostic and therapeutic procedures, and for obstetrical procedures. Specific concentrations and presentations of SENSORCAINE / SENSORCAINE WITH EPINEPHRINE are recommended for each type of block indicated to produce local or regional anesthesia or analgesia [see Dosage and Administration ( 2.2 )].

Dosage and Administration

Not for intrathecal use. ( 2.1 ) Avoid use of solutions containing antimicrobial preservatives (i.e., multiple dose vials) for epidural or caudal anesthesia. ( 2.1 , 5.4 ) Three mL of SENSORCAINE-MPF WITH EPINEPHRINE without antimicrobial preservative (0.5% bupivacaine with 1:200,000 epinephrine) is recommended for use as a test dose prior to caudal and lumbar epidural blocks when clinical conditions permit. ( 2.4 ) See full prescribing information for: - Recommended concentrations and dosages of SENSORCAINE / SENSORCAINE WITH EPINEPHRINE according to type of block. ( 2.2 ) - Additional dosage and administration information pertaining to use in epidural anesthesia, test dose for caudal and lumbar epidural blocks, use in dentistry, and use in ophthalmic surgery. ( 2.3 , 2.4 , 2.5 , 2.6 )

Warnings and Precautions

Dose-Related Toxicity : Monitor cardiovascular and respiratory vital signs and patient's state of consciousness after injection of SENSORCAINE/ SENSORCAINE WITH EPINEPHRINE. ( 5.2 ) Methemoglobinemia : Cases of methemoglobinemia have been reported in association with local anesthetic use. See full prescribing information for more detail on managing these risks. ( 5.3 ) Chondrolysis with Intra-Articular Infusion : Intra-articular infusions of local anesthetics including SENSORCAINE following arthroscopic and other surgical procedures is an unapproved use, and there have been post-marketing reports of chondrolysis in patients receiving such infusions. ( 5.5 ) Risk of Cardiac Arrest with Intravenous Regional Anesthesia Use (Bier Block) : There have been reports of cardiac arrest and death during the use of bupivacaine for intravenous regional anesthesia (Bier Block). ( 5.7 ) Allergic-Type Reactions to Sulfites in SENSORCAINE WITH EPINEPHRINE : SENSORCAINE WITH EPINEPHRINE contains sodium metabisulfite, a sulfite that may cause allergic-type reactions including anaphylactic symptoms and life-threatening or less severe asthmatic episodes in certain susceptible people. ( 5.8 ) Risk of Systemic Toxicities with Unintended Intravascular or Intrathecal Injection : Unintended intravascular or intrathecal injection may be associated with systemic toxicities, including CNS or cardiorespiratory depression and coma, progressing ultimately to respiratory arrest. Aspirate for blood or cerebrospinal fluid (where applicable) prior to each dose and consider using a test dose of SENSORCAINE-MPF WITH EPINEPHRINE. ( 5.9 )

Contraindications

SENSORCAINE / SENSORCAINE WITH EPINEPHRINE is contraindicated in: obstetrical paracervical block anesthesia. Its use in this technique has resulted in fetal bradycardia and death. intravenous regional anesthesia (Bier Block) [see Warnings and Precautions ( 5.7 )] . patients with a known hypersensitivity to bupivacaine or to any local anesthetic agent of the amide-type or to other components of SENSORCAINE / SENSORCAINE WITH EPINEPHRINE.

Adverse Reactions

Small doses of local anesthetics (e.g., SENSORCAINE) injected into the head and neck area, including retrobulbar, dental, and stellate ganglion blocks, may produce adverse reactions similar to systemic toxicity seen with unintentional intravascular injections of larger doses. The injection procedures require the utmost care. Confusion, convulsions, respiratory depression, and/or respiratory arrest, and cardiovascular stimulation or depression have been reported. These reactions may be due to intra-arterial injection of the local anesthetic with retrograde flow to the cerebral circulation. They may also be due to puncture of the dural sheath of the optic nerve during retrobulbar block with diffusion of any local anesthetic along the subdural space to the midbrain. Monitor circulation and respiration and constantly observe patients receiving SENSORCAINE/ SENSORCAINE WITH EPINEPHRINE blocks. Resuscitative equipment and drugs, and personnel for treating adverse reactions should be immediately available. Dosage recommendations should not be exceeded [see Dosage and Administration ( 2.2 )].

Drug Interactions

Local Anesthetics : The toxic effects of local anesthetics are additive. Monitor for neurologic and cardiovascular effects when additional local anesthetics are administered. ( 7.1 ) Monoamine Oxidase Inhibitors and Tricyclic Antidepressants : Administration of SENSORCAINE WITH EPINEPHRINE to patients receiving monoamine oxidase inhibitors or tricyclic antidepressants may produce severe, prolonged hypertension. Concurrent use of these agents should generally be avoided. ( 5.6 , 7.2 ) Ergot-Type Oxytocic Drugs : Concurrent administration of SENSORCAINE WITH EPINEPHRINE and ergot-type oxytocic drugs may cause severe, persistent hypertension or cerebrovascular accidents. ( 5.6 , 7.3 ) Nonselective Beta-Adrenergic Antagonists : Administration of SENSORCAINE WITH EPINEPHRINE (containing a vasoconstrictor) in patients receiving nonselective beta-adrenergic antagonists may cause severe hypertension and bradycardia. Concurrent use of these agents should generally be avoided. ( 5.6 , 7.4 ) Drugs Associated with Methemoglobinemia : Patients are at increased risk of developing methemoglobinemia when concurrently exposed to nitrates, nitrites, local anesthetics, antineoplastic agents, antibiotics, antimalarials, anticonvulsants, and other drugs. ( 7.5 ) Potent Inhalation Anesthetics : Serious dose-related cardiac arrhythmias may occur if preparations containing a vasoconstrictor such as epinephrine are used in patients during or following the administration of potent inhalation anesthetics. ( 5.13 , 7.6 )

Storage and Handling

Solutions should be stored at 20° to 25°C (68° to 77°F); excursion permitted between 15 ⁰ C to 30 ⁰C (59 ⁰ F to 86 ⁰ F) [see USP Controlled Room Temperature]. These solutions are not for spinal anesthesia. SENSORCAINE ® -MPF (methylparaben free) does not contain epinephrine and is clear and colorless. Do not use the solution if it is discolored or if it contains a precipitate. SENSORCAINE ® -MPF is available in the following forms: Product Code Unit of Sale Strength Each 460417 NDC 63323-464-17 Trays of 25 0.25% 25 mg per 10 mL (2.5 mg per mL) NDC 63323-464-01 10 mL Single Dose Vial 460437 NDC 63323-464-37 Trays of 25 0.25% 75 mg per 30 mL (2.5 mg per mL) NDC 63323-464-02 30 mL Single Dose Vial 460617 NDC 63323-466-17 Trays of 25 0.5% 50 mg per 10 mL (5 mg per mL) NDC 63323-466-03 10 mL Single Dose Vial 460637 NDC 63323-466-37 Trays of 25 0.5% 150 mg per 30 mL (5 mg per mL) NDC 63323-466-01 30 mL Single Dose Vial 470217 NDC 63323-472-17 Trays of 25 0.75% 75 mg per 10 mL (7.5 mg per mL) NDC 63323-472-03 10 mL Single Dose Vial 470237 NDC 63323-472-37 Trays of 25 0.75% 225 mg per 30 mL (7.5 mg per mL) NDC 63323-472-01 30 mL Single Dose Vial SENSORCAINE ® - MPF WITH EPINEPHRINE (1:200,000) should be protected from light. This product is clear, colorless to slightly yellow. Do not use the solution if it is pinkish or darker than slightly yellow or if it contains a precipitate. SENSORCAINE ® -MPF WITH EPINEPHRINE is available in the following forms: Product Code Unit of Sale Strength Each 460837 NDC 63323-468-37 Trays of 25 0.25% 75 mg per 30 mL (2.5 mg per mL) NDC 63323-468-02 30 mL Single Dose Vial 460817 NDC 63323-468-17 Trays of 25 0.25% 25 mg per 10 mL (2.5 mg per mL) NDC 63323-468-01 10 mL Single Dose Vial 460217 NDC 63323-462-17 Trays of 25 0.5% 50 mg per 10 mL (5 mg per mL) NDC 63323-462-04 10 mL Single Dose Vial 460237 NDC 63323-462-37 Trays of 25 0.5% 150 mg per 30 mL (5 mg per mL) NDC 63323-462-01 30 mL Single Dose Vial 461037 NDC 63323-460-37 Trays of 25 0.75% 225 mg per 30 mL (7.5 mg per mL) NDC 63323-460-01 30 mL Single Dose Vial For Single Dose Vials: Discard unused portion. SENSORCAINE ® (preserved with methylparaben) does not contain epinephrine and is clear and colorless. Do not use the solution if it is discolored or if it contains a precipitate. SENSORCAINE ® is available in the following forms: Product Code Unit of Sale Strength Each 460557 NDC 63323-465-57 Trays of 25 0.25% 125 mg per 50 mL (2.5 mg per mL) NDC 63323-465-01 50 mL Multiple Dose Vial 460757 NDC 63323-467-57 Trays of 25 0.5% 250 mg per 50 mL (5 mg per mL) NDC 63323-467-01 50 mL Multiple Dose Vial SENSORCAINE ® WITH EPINEPHRINE (1:200,000) should be protected from light. This product is clear, colorless to slightly yellow. Do not use the solution if it is pinkish or darker than slightly yellow or if it contains a precipitate. SENSORCAINE® WITH EPINEPHRINE is available in the following forms: Product Code Unit of Sale Strength Each 460157 NDC 63323-461-57 Trays of 25 0.25% 125 mg per 50 mL (2.5 mg per mL) NDC 63323-461-01 50 mL Multiple Dose Vial 460357 NDC 63323-463-57 Trays of 25 0.5% 250 mg per 50 mL (5 mg per mL) NDC 63323-463-01 50 mL Multiple Dose Vial

How Supplied

Solutions should be stored at 20° to 25°C (68° to 77°F); excursion permitted between 15 ⁰ C to 30 ⁰C (59 ⁰ F to 86 ⁰ F) [see USP Controlled Room Temperature]. These solutions are not for spinal anesthesia. SENSORCAINE ® -MPF (methylparaben free) does not contain epinephrine and is clear and colorless. Do not use the solution if it is discolored or if it contains a precipitate. SENSORCAINE ® -MPF is available in the following forms: Product Code Unit of Sale Strength Each 460417 NDC 63323-464-17 Trays of 25 0.25% 25 mg per 10 mL (2.5 mg per mL) NDC 63323-464-01 10 mL Single Dose Vial 460437 NDC 63323-464-37 Trays of 25 0.25% 75 mg per 30 mL (2.5 mg per mL) NDC 63323-464-02 30 mL Single Dose Vial 460617 NDC 63323-466-17 Trays of 25 0.5% 50 mg per 10 mL (5 mg per mL) NDC 63323-466-03 10 mL Single Dose Vial 460637 NDC 63323-466-37 Trays of 25 0.5% 150 mg per 30 mL (5 mg per mL) NDC 63323-466-01 30 mL Single Dose Vial 470217 NDC 63323-472-17 Trays of 25 0.75% 75 mg per 10 mL (7.5 mg per mL) NDC 63323-472-03 10 mL Single Dose Vial 470237 NDC 63323-472-37 Trays of 25 0.75% 225 mg per 30 mL (7.5 mg per mL) NDC 63323-472-01 30 mL Single Dose Vial SENSORCAINE ® - MPF WITH EPINEPHRINE (1:200,000) should be protected from light. This product is clear, colorless to slightly yellow. Do not use the solution if it is pinkish or darker than slightly yellow or if it contains a precipitate. SENSORCAINE ® -MPF WITH EPINEPHRINE is available in the following forms: Product Code Unit of Sale Strength Each 460837 NDC 63323-468-37 Trays of 25 0.25% 75 mg per 30 mL (2.5 mg per mL) NDC 63323-468-02 30 mL Single Dose Vial 460817 NDC 63323-468-17 Trays of 25 0.25% 25 mg per 10 mL (2.5 mg per mL) NDC 63323-468-01 10 mL Single Dose Vial 460217 NDC 63323-462-17 Trays of 25 0.5% 50 mg per 10 mL (5 mg per mL) NDC 63323-462-04 10 mL Single Dose Vial 460237 NDC 63323-462-37 Trays of 25 0.5% 150 mg per 30 mL (5 mg per mL) NDC 63323-462-01 30 mL Single Dose Vial 461037 NDC 63323-460-37 Trays of 25 0.75% 225 mg per 30 mL (7.5 mg per mL) NDC 63323-460-01 30 mL Single Dose Vial For Single Dose Vials: Discard unused portion. SENSORCAINE ® (preserved with methylparaben) does not contain epinephrine and is clear and colorless. Do not use the solution if it is discolored or if it contains a precipitate. SENSORCAINE ® is available in the following forms: Product Code Unit of Sale Strength Each 460557 NDC 63323-465-57 Trays of 25 0.25% 125 mg per 50 mL (2.5 mg per mL) NDC 63323-465-01 50 mL Multiple Dose Vial 460757 NDC 63323-467-57 Trays of 25 0.5% 250 mg per 50 mL (5 mg per mL) NDC 63323-467-01 50 mL Multiple Dose Vial SENSORCAINE ® WITH EPINEPHRINE (1:200,000) should be protected from light. This product is clear, colorless to slightly yellow. Do not use the solution if it is pinkish or darker than slightly yellow or if it contains a precipitate. SENSORCAINE® WITH EPINEPHRINE is available in the following forms: Product Code Unit of Sale Strength Each 460157 NDC 63323-461-57 Trays of 25 0.25% 125 mg per 50 mL (2.5 mg per mL) NDC 63323-461-01 50 mL Multiple Dose Vial 460357 NDC 63323-463-57 Trays of 25 0.5% 250 mg per 50 mL (5 mg per mL) NDC 63323-463-01 50 mL Multiple Dose Vial


Medication Information

Warnings and Precautions

Dose-Related Toxicity : Monitor cardiovascular and respiratory vital signs and patient's state of consciousness after injection of SENSORCAINE/ SENSORCAINE WITH EPINEPHRINE. ( 5.2 ) Methemoglobinemia : Cases of methemoglobinemia have been reported in association with local anesthetic use. See full prescribing information for more detail on managing these risks. ( 5.3 ) Chondrolysis with Intra-Articular Infusion : Intra-articular infusions of local anesthetics including SENSORCAINE following arthroscopic and other surgical procedures is an unapproved use, and there have been post-marketing reports of chondrolysis in patients receiving such infusions. ( 5.5 ) Risk of Cardiac Arrest with Intravenous Regional Anesthesia Use (Bier Block) : There have been reports of cardiac arrest and death during the use of bupivacaine for intravenous regional anesthesia (Bier Block). ( 5.7 ) Allergic-Type Reactions to Sulfites in SENSORCAINE WITH EPINEPHRINE : SENSORCAINE WITH EPINEPHRINE contains sodium metabisulfite, a sulfite that may cause allergic-type reactions including anaphylactic symptoms and life-threatening or less severe asthmatic episodes in certain susceptible people. ( 5.8 ) Risk of Systemic Toxicities with Unintended Intravascular or Intrathecal Injection : Unintended intravascular or intrathecal injection may be associated with systemic toxicities, including CNS or cardiorespiratory depression and coma, progressing ultimately to respiratory arrest. Aspirate for blood or cerebrospinal fluid (where applicable) prior to each dose and consider using a test dose of SENSORCAINE-MPF WITH EPINEPHRINE. ( 5.9 )

Indications and Usage

SENSORCAINE / SENSORCAINE WITH EPINEPHRINE is indicated in adults for the production of local or regional anesthesia or analgesia for surgery, dental and oral surgery procedures, diagnostic and therapeutic procedures, and for obstetrical procedures. Specific concentrations and presentations of SENSORCAINE / SENSORCAINE WITH EPINEPHRINE are recommended for each type of block indicated to produce local or regional anesthesia or analgesia [see Dosage and Administration ( 2.2 )].

Dosage and Administration

Not for intrathecal use. ( 2.1 ) Avoid use of solutions containing antimicrobial preservatives (i.e., multiple dose vials) for epidural or caudal anesthesia. ( 2.1 , 5.4 ) Three mL of SENSORCAINE-MPF WITH EPINEPHRINE without antimicrobial preservative (0.5% bupivacaine with 1:200,000 epinephrine) is recommended for use as a test dose prior to caudal and lumbar epidural blocks when clinical conditions permit. ( 2.4 ) See full prescribing information for: - Recommended concentrations and dosages of SENSORCAINE / SENSORCAINE WITH EPINEPHRINE according to type of block. ( 2.2 ) - Additional dosage and administration information pertaining to use in epidural anesthesia, test dose for caudal and lumbar epidural blocks, use in dentistry, and use in ophthalmic surgery. ( 2.3 , 2.4 , 2.5 , 2.6 )

Contraindications

SENSORCAINE / SENSORCAINE WITH EPINEPHRINE is contraindicated in: obstetrical paracervical block anesthesia. Its use in this technique has resulted in fetal bradycardia and death. intravenous regional anesthesia (Bier Block) [see Warnings and Precautions ( 5.7 )] . patients with a known hypersensitivity to bupivacaine or to any local anesthetic agent of the amide-type or to other components of SENSORCAINE / SENSORCAINE WITH EPINEPHRINE.

Adverse Reactions

Small doses of local anesthetics (e.g., SENSORCAINE) injected into the head and neck area, including retrobulbar, dental, and stellate ganglion blocks, may produce adverse reactions similar to systemic toxicity seen with unintentional intravascular injections of larger doses. The injection procedures require the utmost care. Confusion, convulsions, respiratory depression, and/or respiratory arrest, and cardiovascular stimulation or depression have been reported. These reactions may be due to intra-arterial injection of the local anesthetic with retrograde flow to the cerebral circulation. They may also be due to puncture of the dural sheath of the optic nerve during retrobulbar block with diffusion of any local anesthetic along the subdural space to the midbrain. Monitor circulation and respiration and constantly observe patients receiving SENSORCAINE/ SENSORCAINE WITH EPINEPHRINE blocks. Resuscitative equipment and drugs, and personnel for treating adverse reactions should be immediately available. Dosage recommendations should not be exceeded [see Dosage and Administration ( 2.2 )].

Drug Interactions

Local Anesthetics : The toxic effects of local anesthetics are additive. Monitor for neurologic and cardiovascular effects when additional local anesthetics are administered. ( 7.1 ) Monoamine Oxidase Inhibitors and Tricyclic Antidepressants : Administration of SENSORCAINE WITH EPINEPHRINE to patients receiving monoamine oxidase inhibitors or tricyclic antidepressants may produce severe, prolonged hypertension. Concurrent use of these agents should generally be avoided. ( 5.6 , 7.2 ) Ergot-Type Oxytocic Drugs : Concurrent administration of SENSORCAINE WITH EPINEPHRINE and ergot-type oxytocic drugs may cause severe, persistent hypertension or cerebrovascular accidents. ( 5.6 , 7.3 ) Nonselective Beta-Adrenergic Antagonists : Administration of SENSORCAINE WITH EPINEPHRINE (containing a vasoconstrictor) in patients receiving nonselective beta-adrenergic antagonists may cause severe hypertension and bradycardia. Concurrent use of these agents should generally be avoided. ( 5.6 , 7.4 ) Drugs Associated with Methemoglobinemia : Patients are at increased risk of developing methemoglobinemia when concurrently exposed to nitrates, nitrites, local anesthetics, antineoplastic agents, antibiotics, antimalarials, anticonvulsants, and other drugs. ( 7.5 ) Potent Inhalation Anesthetics : Serious dose-related cardiac arrhythmias may occur if preparations containing a vasoconstrictor such as epinephrine are used in patients during or following the administration of potent inhalation anesthetics. ( 5.13 , 7.6 )

Storage and Handling

Solutions should be stored at 20° to 25°C (68° to 77°F); excursion permitted between 15 ⁰ C to 30 ⁰C (59 ⁰ F to 86 ⁰ F) [see USP Controlled Room Temperature]. These solutions are not for spinal anesthesia. SENSORCAINE ® -MPF (methylparaben free) does not contain epinephrine and is clear and colorless. Do not use the solution if it is discolored or if it contains a precipitate. SENSORCAINE ® -MPF is available in the following forms: Product Code Unit of Sale Strength Each 460417 NDC 63323-464-17 Trays of 25 0.25% 25 mg per 10 mL (2.5 mg per mL) NDC 63323-464-01 10 mL Single Dose Vial 460437 NDC 63323-464-37 Trays of 25 0.25% 75 mg per 30 mL (2.5 mg per mL) NDC 63323-464-02 30 mL Single Dose Vial 460617 NDC 63323-466-17 Trays of 25 0.5% 50 mg per 10 mL (5 mg per mL) NDC 63323-466-03 10 mL Single Dose Vial 460637 NDC 63323-466-37 Trays of 25 0.5% 150 mg per 30 mL (5 mg per mL) NDC 63323-466-01 30 mL Single Dose Vial 470217 NDC 63323-472-17 Trays of 25 0.75% 75 mg per 10 mL (7.5 mg per mL) NDC 63323-472-03 10 mL Single Dose Vial 470237 NDC 63323-472-37 Trays of 25 0.75% 225 mg per 30 mL (7.5 mg per mL) NDC 63323-472-01 30 mL Single Dose Vial SENSORCAINE ® - MPF WITH EPINEPHRINE (1:200,000) should be protected from light. This product is clear, colorless to slightly yellow. Do not use the solution if it is pinkish or darker than slightly yellow or if it contains a precipitate. SENSORCAINE ® -MPF WITH EPINEPHRINE is available in the following forms: Product Code Unit of Sale Strength Each 460837 NDC 63323-468-37 Trays of 25 0.25% 75 mg per 30 mL (2.5 mg per mL) NDC 63323-468-02 30 mL Single Dose Vial 460817 NDC 63323-468-17 Trays of 25 0.25% 25 mg per 10 mL (2.5 mg per mL) NDC 63323-468-01 10 mL Single Dose Vial 460217 NDC 63323-462-17 Trays of 25 0.5% 50 mg per 10 mL (5 mg per mL) NDC 63323-462-04 10 mL Single Dose Vial 460237 NDC 63323-462-37 Trays of 25 0.5% 150 mg per 30 mL (5 mg per mL) NDC 63323-462-01 30 mL Single Dose Vial 461037 NDC 63323-460-37 Trays of 25 0.75% 225 mg per 30 mL (7.5 mg per mL) NDC 63323-460-01 30 mL Single Dose Vial For Single Dose Vials: Discard unused portion. SENSORCAINE ® (preserved with methylparaben) does not contain epinephrine and is clear and colorless. Do not use the solution if it is discolored or if it contains a precipitate. SENSORCAINE ® is available in the following forms: Product Code Unit of Sale Strength Each 460557 NDC 63323-465-57 Trays of 25 0.25% 125 mg per 50 mL (2.5 mg per mL) NDC 63323-465-01 50 mL Multiple Dose Vial 460757 NDC 63323-467-57 Trays of 25 0.5% 250 mg per 50 mL (5 mg per mL) NDC 63323-467-01 50 mL Multiple Dose Vial SENSORCAINE ® WITH EPINEPHRINE (1:200,000) should be protected from light. This product is clear, colorless to slightly yellow. Do not use the solution if it is pinkish or darker than slightly yellow or if it contains a precipitate. SENSORCAINE® WITH EPINEPHRINE is available in the following forms: Product Code Unit of Sale Strength Each 460157 NDC 63323-461-57 Trays of 25 0.25% 125 mg per 50 mL (2.5 mg per mL) NDC 63323-461-01 50 mL Multiple Dose Vial 460357 NDC 63323-463-57 Trays of 25 0.5% 250 mg per 50 mL (5 mg per mL) NDC 63323-463-01 50 mL Multiple Dose Vial

How Supplied

Solutions should be stored at 20° to 25°C (68° to 77°F); excursion permitted between 15 ⁰ C to 30 ⁰C (59 ⁰ F to 86 ⁰ F) [see USP Controlled Room Temperature]. These solutions are not for spinal anesthesia. SENSORCAINE ® -MPF (methylparaben free) does not contain epinephrine and is clear and colorless. Do not use the solution if it is discolored or if it contains a precipitate. SENSORCAINE ® -MPF is available in the following forms: Product Code Unit of Sale Strength Each 460417 NDC 63323-464-17 Trays of 25 0.25% 25 mg per 10 mL (2.5 mg per mL) NDC 63323-464-01 10 mL Single Dose Vial 460437 NDC 63323-464-37 Trays of 25 0.25% 75 mg per 30 mL (2.5 mg per mL) NDC 63323-464-02 30 mL Single Dose Vial 460617 NDC 63323-466-17 Trays of 25 0.5% 50 mg per 10 mL (5 mg per mL) NDC 63323-466-03 10 mL Single Dose Vial 460637 NDC 63323-466-37 Trays of 25 0.5% 150 mg per 30 mL (5 mg per mL) NDC 63323-466-01 30 mL Single Dose Vial 470217 NDC 63323-472-17 Trays of 25 0.75% 75 mg per 10 mL (7.5 mg per mL) NDC 63323-472-03 10 mL Single Dose Vial 470237 NDC 63323-472-37 Trays of 25 0.75% 225 mg per 30 mL (7.5 mg per mL) NDC 63323-472-01 30 mL Single Dose Vial SENSORCAINE ® - MPF WITH EPINEPHRINE (1:200,000) should be protected from light. This product is clear, colorless to slightly yellow. Do not use the solution if it is pinkish or darker than slightly yellow or if it contains a precipitate. SENSORCAINE ® -MPF WITH EPINEPHRINE is available in the following forms: Product Code Unit of Sale Strength Each 460837 NDC 63323-468-37 Trays of 25 0.25% 75 mg per 30 mL (2.5 mg per mL) NDC 63323-468-02 30 mL Single Dose Vial 460817 NDC 63323-468-17 Trays of 25 0.25% 25 mg per 10 mL (2.5 mg per mL) NDC 63323-468-01 10 mL Single Dose Vial 460217 NDC 63323-462-17 Trays of 25 0.5% 50 mg per 10 mL (5 mg per mL) NDC 63323-462-04 10 mL Single Dose Vial 460237 NDC 63323-462-37 Trays of 25 0.5% 150 mg per 30 mL (5 mg per mL) NDC 63323-462-01 30 mL Single Dose Vial 461037 NDC 63323-460-37 Trays of 25 0.75% 225 mg per 30 mL (7.5 mg per mL) NDC 63323-460-01 30 mL Single Dose Vial For Single Dose Vials: Discard unused portion. SENSORCAINE ® (preserved with methylparaben) does not contain epinephrine and is clear and colorless. Do not use the solution if it is discolored or if it contains a precipitate. SENSORCAINE ® is available in the following forms: Product Code Unit of Sale Strength Each 460557 NDC 63323-465-57 Trays of 25 0.25% 125 mg per 50 mL (2.5 mg per mL) NDC 63323-465-01 50 mL Multiple Dose Vial 460757 NDC 63323-467-57 Trays of 25 0.5% 250 mg per 50 mL (5 mg per mL) NDC 63323-467-01 50 mL Multiple Dose Vial SENSORCAINE ® WITH EPINEPHRINE (1:200,000) should be protected from light. This product is clear, colorless to slightly yellow. Do not use the solution if it is pinkish or darker than slightly yellow or if it contains a precipitate. SENSORCAINE® WITH EPINEPHRINE is available in the following forms: Product Code Unit of Sale Strength Each 460157 NDC 63323-461-57 Trays of 25 0.25% 125 mg per 50 mL (2.5 mg per mL) NDC 63323-461-01 50 mL Multiple Dose Vial 460357 NDC 63323-463-57 Trays of 25 0.5% 250 mg per 50 mL (5 mg per mL) NDC 63323-463-01 50 mL Multiple Dose Vial

Description

There have been reports of cardiac arrest with difficult resuscitation or death during use of SENSORCAINE for epidural anesthesia in obstetrical patients. In most cases, this has followed use of the 0.75% (7.5 mg/mL) concentration. Resuscitation has been difficult or impossible despite apparently adequate preparation and appropriate management. Cardiac arrest has occurred after convulsions resulting from systemic toxicity, presumably following unintentional intravascular injection. The 0.75% (7.5 mg/mL) concentration of SENSORCAINE is not recommended for obstetrical anesthesia and should be reserved for surgical procedures where a high degree of muscle relaxation and prolonged effect are necessary [see Warnings and Precautions ( 5.1 )].

Section 42229-5

Limitations of Use

Not all blocks are indicated for use with SENSORCAINE / SENSORCAINE WITH EPINEPHRINE given clinically significant risks associated with use [see Dosage and Administration (2.2), Contraindications (4), Warnings and Precautions (5.1, 5.4, 5.5, 5.7, 5.9)].

Section 51945-4

PACKAGE LABEL – PRINCIPAL DISPLAY – Sensorcaine-MPF 10 mL Single Dose Vial Label

NDC 63323-464-01        460417

SENSORcaine® -MPF

(Bupivacaine HCl Injection, USP)

0.25%

25 mg per 10 mL

(2.5 mg per mL)

For infiltration, nerve block, caudal and epidural anesthesia.

Not for spinal anesthesia.

Methylparaben free.

10 mL Single Dose Vial        Rx only

11 Description

SENSORCAINE-MPF / SENSORCAINE-MPF WITH EPINEPHRINE injections contains bupivacaine hydrochloride, a local anesthetic agent with and without epinephrine (as bitartrate) 1:200,000. The route of administration for SENSORCAINE-MPF / SENSORCAINE-MPF WITH EPINEPHRINE is parenterally by injection, for infiltration, perineural, caudal, epidural, or retrobulbar use. SENSORCAINE-MPF / SENSORCAINE-MPF WITH EPINEPHRINE injections are Methyl Paraben Free (MPF).

SENSORCAINE/SENSORCAINE WITH EPINEPHRINE injections contains bupivacaine hydrochloride, a local anesthetic agent with and without epinephrine (as bitartrate) 1:200,000. The route of administration for SENSORCAINE / SENSORCAINE WITH EPINEPHRINE is parenterally by injection, for infiltration and perineural use.

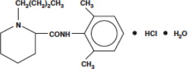
Bupivacaine hydrochloride is a white or almost white, crystalline powder or colorless crystals, soluble in water, freely soluble in alcohol. Bupivacaine is related chemically and pharmacologically to the aminoacyl local anesthetics. It is a homologue of mepivacaine and is chemically related to lidocaine. All three of these anesthetics contain an amide linkage between the aromatic nucleus and the amino, or piperidine group. They differ in this respect from the procaine-type local anesthetics, which have an ester linkage. Bupivacaine hydrochloride chemical name is 2-piperidinecarboxamide, 1-butyl-N-(2,6-dimethylphenyl)-, monohydrochloride, monohydrate. The molecular formula is C18H28N2O·HCl·H2O, with a molecular weight of 342.9 g/mol. Bupivacaine hydrochloride monohydrate has the following chemical structure:

The pKa of bupivacaine (8.1) is similar to that of lidocaine (7.86). However, bupivacaine possesses a greater degree of lipid solubility and is protein bound to a greater extent than lidocaine.

Epinephrine bitartrate is a white to greyish white or light brownish-grey, odorless, crystalline powder, freely soluble in water, slightly soluble in 96% ethanol and methanol, practically insoluble in chloroform, methylene chloride and ether. Epinephrine bitartrate chemical name is (-)-3,4-Dihydroxy- α [(methylamino)methyl] benzyl alcohol (+) tartrate (1:1) salt. The molecular formula is C9H13NO3·C4H6O6, with a molecular weight of 333.29 g/mol. Epinephrine bitartrate has the following chemical structure:

8.4 Pediatric Use

SENSORCAINE/ SENSORCAINE WITH EPINEPHRINE is approved for use in adults. Administration of SENSORCAINE/ SENSORCAINE WITH EPINEPHRINE in pediatric patients younger than 12 years is not recommended.

Continuous infusions of bupivacaine in pediatric patients have been reported to result in high systemic levels of bupivacaine and seizures; high plasma levels may also be associated with cardiovascular abnormalities.

8.5 Geriatric Use

Patients 65 years and over, particularly those with hypertension, may be at increased risk for developing hypotension while undergoing anesthesia with SENSORCAINE/ SENSORCAINE WITH EPINEPHRINE.

In clinical studies of bupivacaine, elderly patients reached the maximal spread of analgesia and maximal motor blockade more rapidly than younger adult patients.

Differences in various pharmacokinetic parameters have been observed between elderly and younger adult patients [see Clinical Pharmacology (12.3)].

This product is known to be substantially excreted by the kidney, and the risk of adverse reactions to this drug may be greater in patients with impaired renal function. Because elderly patients are more likely to have decreased renal function, care should be taken in dose selection, and it may be useful to monitor renal function. Elderly patients may require lower doses of SENSORCAINE/ SENSORCAINE WITH EPINEPHRINE.

4 Contraindications

SENSORCAINE / SENSORCAINE WITH EPINEPHRINE is contraindicated in:

  • obstetrical paracervical block anesthesia. Its use in this technique has resulted in fetal bradycardia and death.
  • intravenous regional anesthesia (Bier Block) [see Warnings and Precautions (5.7)].
  • patients with a known hypersensitivity to bupivacaine or to any local anesthetic agent of the amide-type or to other components of SENSORCAINE / SENSORCAINE WITH EPINEPHRINE.
6 Adverse Reactions

The following clinically significant adverse reactions have been reported and described in the Warnings and Precautions section of the labeling:

  • Cardiac Arrest in Obstetrical Anesthesia [see Warnings and Precautions (5.1)]
  • Dose-Related Toxicity [see Warnings and Precautions (5.2)]
  • Methemoglobinemia [see Warnings and Precautions (5.3)]
  • Chondrolysis with Intra-Articular Infusion [see Warnings and Precautions (5.5)]
  • Severe, Persistent Hypertension, Cerebrovascular Accidents, and Bradycardia Due to Drug Interactions [see Warnings and Precautions (5.6)]
  • Cardiac Arrest with Intravenous Regional Anesthesia Use [see Contraindications (4), Warnings and Precautions (5.7)]
  • Allergic-Type Reactions [see Warnings and Precautions (5.8)]
  • Systemic Toxicities with Unintended Intravascular or Intrathecal Injection [see Warnings and Precautions (5.9)]
  • Respiratory Arrest Following Retrobulbar Block [see Warnings and Precautions (5.15)]

The following adverse reactions from voluntary reports or clinical studies have been reported with bupivacaine or bupivacaine and epinephrine. Because many of these reactions were reported voluntarily from a population of uncertain size, it is not always possible to reliably estimate their frequency or establish a causal relationship to drug exposure.

Adverse reactions to SENSORCAINE/ SENSORCAINE WITH EPINEPHRINE are characteristic of those associated with other amide-type local anesthetics. A major cause of adverse reactions to this group of drugs is excessive plasma levels, which may be due to overdosage, unintentional intravascular injection, or slow metabolic degradation.

The most commonly encountered acute adverse reactions that demand immediate counter-measures were related to the CNS and the cardiovascular system. These adverse reactions were generally dose-related and due to high plasma levels which may have resulted from overdosage, rapid absorption from the injection site, diminished tolerance, or from unintentional intravascular injection of the local anesthetic solution. In addition to systemic dose-related toxicity, unintentional intrathecal injection of drug during the intended performance of caudal or lumbar epidural block or nerve blocks near the vertebral column (especially in the head and neck region) has resulted in underventilation or apnea (“Total or High Spinal”). Also, hypotension due to loss of sympathetic tone and respiratory paralysis or underventilation due to cephalad extension of the motor level of anesthesia have occurred. This has led to secondary cardiac arrest when untreated.

Nervous System Disorders: Adverse reactions were characterized by excitation and/or depression of the central nervous system and included restlessness, anxiety, dizziness, tinnitus, blurred vision, tremors, convulsions, drowsiness, unconsciousness, respiratory arrest, nausea, vomiting, chills, pupillary constriction.

In the practice of caudal or lumbar epidural block, unintentional penetration of the subarachnoid space by the catheter or needle has occurred. Subsequent adverse effects may have depended partially on the amount of drug administered intrathecally and the physiological and physical effects of a dural puncture. A high spinal has been characterized by paralysis of the legs, loss of consciousness, respiratory paralysis, and bradycardia.

Neurologic effects following epidural or caudal anesthesia have included spinal block of varying magnitude (including high or total spinal block); hypotension secondary to spinal block; urinary retention; fecal and urinary incontinence; loss of perineal sensation and sexual function; persistent anesthesia, paresthesia, weakness, paralysis of the lower extremities and loss of sphincter control, all of which had slow, incomplete, or no recovery; headache; backache; septic meningitis; meningismus; slowing of labor; increased incidence of forceps delivery; and cranial nerve palsies due to traction on nerves from loss of cerebrospinal fluid.

Neurologic effects following other procedures or routes of administration have included persistent anesthesia, paresthesia, weakness, paralysis, all with slow, incomplete, or no recovery.

Convulsions: Incidence varied with the procedure used and the total dose administered. In a survey of studies of epidural anesthesia, overt toxicity progressing to convulsions occurred in approximately 0.1% of local anesthetic administrations. The incidences of adverse neurologic reactions associated with the use of local anesthetics may be related to the total dose of local anesthetic administered and are also dependent upon the particular drug used, the route of administration, and the physical status of the patient.

Cardiac Disorders: High doses or unintentional intravascular injection have led to high plasma levels and related depression of the myocardium, decreased cardiac output, heartblock, hypotension, bradycardia, ventricular arrhythmias, including ventricular tachycardia and ventricular fibrillation, and cardiac arrest [see Warnings and Precautions (5.9)].

Immune System Disorders: Allergic-type reactions have occurred as a result of sensitivity to bupivacaine or to other formulation ingredients, such as the antimicrobial preservative methylparaben contained in multiple dose vials or sulfites in epinephrine-containing solutions. These reactions were characterized by signs such as urticaria, pruritus, erythema, angioneurotic edema (including laryngeal edema), tachycardia, sneezing, nausea, vomiting, dizziness, syncope, excessive sweating, elevated temperature, and severe hypotension. Cross sensitivity among members of the amide-type local anesthetic group has been reported [see Warnings and Precautions (5.8)].

7 Drug Interactions
  • Local Anesthetics: The toxic effects of local anesthetics are additive. Monitor for neurologic and cardiovascular effects when additional local anesthetics are administered. (7.1)
  • Monoamine Oxidase Inhibitors and Tricyclic Antidepressants: Administration of SENSORCAINE WITH EPINEPHRINE to patients receiving monoamine oxidase inhibitors or tricyclic antidepressants may produce severe, prolonged hypertension. Concurrent use of these agents should generally be avoided. (5.6, 7.2)
  • Ergot-Type Oxytocic Drugs: Concurrent administration of SENSORCAINE WITH EPINEPHRINE and ergot-type oxytocic drugs may cause severe, persistent hypertension or cerebrovascular accidents. (5.6, 7.3)
  • Nonselective Beta-Adrenergic Antagonists: Administration of SENSORCAINE WITH EPINEPHRINE (containing a vasoconstrictor) in patients receiving nonselective beta-adrenergic antagonists may cause severe hypertension and bradycardia. Concurrent use of these agents should generally be avoided. (5.6, 7.4)
  • Drugs Associated with Methemoglobinemia: Patients are at increased risk of developing methemoglobinemia when concurrently exposed to nitrates, nitrites, local anesthetics, antineoplastic agents, antibiotics, antimalarials, anticonvulsants, and other drugs. (7.5)
  • Potent Inhalation Anesthetics: Serious dose-related cardiac arrhythmias may occur if preparations containing a vasoconstrictor such as epinephrine are used in patients during or following the administration of potent inhalation anesthetics. (5.13, 7.6)
2.5 Use in Dentistry

SENSORCAINE WITH EPINEPHRINE 0.5% (5 mg/mL) is recommended for infiltration and block injection in the maxillary and mandibular area when a longer duration of local anesthesia is desired, such as for procedures generally associated with significant postoperative pain. The average dose of 1.8 mL (9 mg) per injection site will usually suffice; an occasional second dose of 1.8 mL (9 mg) may be used if necessary to produce adequate anesthesia after allowing 2 to 10 minutes for block onset [see Clinical Pharmacology (12.2)]. Use the lowest effective dose and allow time between injections; it is recommended that the total dose for all injection sites, spread out over a single dental sitting, not exceed 90 mg for a healthy adult patient (ten 1.8 mL injections of 0.5% (5 mg/mL) SENSORCAINE WITH EPINEPHRINE). Inject slowly and with frequent aspirations.

8.7 Renal Impairment

Bupivacaine is known to be substantially excreted by the kidney, and the risk of adverse reactions to this drug may be greater in patients with renal impairment. This should be considered when selecting the SENSORCAINE/ SENSORCAINE WITH EPINEPHRINE dosage [see Use in Specific Populations (8.5)].

12.2 Pharmacodynamics

Systemic absorption of bupivacaine produces effects on the cardiovascular system and CNS. At blood concentrations achieved with normal therapeutic doses, changes in cardiac conduction, excitability, refractoriness, contractility, and peripheral vascular resistance are minimal. However, toxic blood concentrations depress cardiac conduction and excitability, which may lead to atrioventricular block, ventricular arrhythmias, and cardiac arrest, sometimes resulting in fatalities. In addition, myocardial contractility is depressed and peripheral vasodilation occurs, leading to decreased cardiac output and arterial blood pressure. These cardiovascular changes are more likely to occur after unintended intravascular injection of bupivacaine [see Warnings and Precautions (5.9)].

Following systemic absorption, bupivacaine can produce CNS stimulation, CNS depression, or both. Apparent central stimulation is manifested as restlessness, tremors, and shivering, progressing to convulsions, followed by CNS depression and coma progressing ultimately to respiratory arrest. However, bupivacaine has a primary depressant effect on the medulla and on higher centers. The depressed stage may occur without a prior excited state.

The duration of local anesthesia after administration of SENSORCAINE is longer than that observed after administration of other commonly used short-acting local anesthetics. There appears to be period of analgesia that persists after the resolution of the block and return of sensation.

The onset of action following dental injections is usually 2 to 10 minutes and may last up to 7 hours. The duration of anesthetic effect is prolonged by the addition of epinephrine 1:200,000.

12.3 Pharmacokinetics

Systemic plasma levels of bupivacaine following administration of SENSORCAINE do not correlate with local efficacy.

5.3 Methemoglobinemia

Cases of methemoglobinemia have been reported in association with local anesthetic use. Although all patients are at risk for methemoglobinemia, patients with glucose-6-phosphate dehydrogenase deficiency, congenital or idiopathic methemoglobinemia, cardiac or pulmonary compromise, infants under 6 months of age, and concurrent exposure to oxidizing agents or their metabolites are more susceptible to developing clinical manifestations of the condition [see Drug Interactions (7.5)]. If local anesthetics must be used in these patients, close monitoring for symptoms and signs of methemoglobinemia is recommended.

Signs of methemoglobinemia may occur immediately or may be delayed some hours after exposure, and are characterized by a cyanotic skin discoloration and/or abnormal coloration of the blood. Methemoglobin levels may continue to rise; therefore, immediate treatment is required to avert more serious CNS and cardiovascular adverse effects, including seizures, coma, arrhythmias, and death. Discontinue SENSORCAINE/ SENSORCAINE WITH EPINEPHRINE and any other oxidizing agents. Depending on the severity of the signs and symptoms, patients may respond to supportive care, i.e., oxygen therapy, hydration. A more severe clinical presentation may require treatment with methylene blue, exchange transfusion, or hyperbaric oxygen.

7.1 Local Anesthetics

The toxic effects of local anesthetics are additive. If coadministration of other local anesthetics with SENSORCAINE/ SENSORCAINE WITH EPINEPHRINE cannot be avoided, monitor patients for neurologic and cardiovascular effects related to local anesthetic systemic toxicity [see Dosage and Administration (2.1), Warnings and Precautions (5.2)].

8.6 Hepatic Impairment

Amide-type local anesthetics, such as bupivacaine, are metabolized by the liver. Patients with severe hepatic impairment, because of their inability to metabolize local anesthetics normally, are at a greater risk of developing toxic plasma concentrations, and potentially local anesthetic systemic toxicity. Therefore, consider reduced dosing and increased monitoring for local anesthetic systemic toxicity in patients with moderate to severe hepatic impairment treated with SENSORCAINE/ SENSORCAINE WITH EPINEPHRINE, especially with repeat doses [see Warnings and Precautions (5.10)].

1 Indications and Usage

SENSORCAINE / SENSORCAINE WITH EPINEPHRINE is indicated in adults for the production of local or regional anesthesia or analgesia for surgery, dental and oral surgery procedures, diagnostic and therapeutic procedures, and for obstetrical procedures. Specific concentrations and presentations of SENSORCAINE / SENSORCAINE WITH EPINEPHRINE are recommended for each type of block indicated to produce local or regional anesthesia or analgesia [see Dosage and Administration (2.2)].

12.1 Mechanism of Action

Bupivacaine blocks the generation and the conduction of nerve impulses, presumably by increasing the threshold for electrical excitation in the nerve, by slowing the propagation of the nerve impulse, and by reducing the rate of rise of the action potential. In general, the progression of anesthesia is related to the diameter, myelination, and conduction velocity of affected nerve fibers. Clinically, the order of loss of nerve function is as follows: (1) pain, (2) temperature, (3) touch, (4) proprioception, and (5) skeletal muscle tone.

Epinephrine is a vasoconstrictor added to bupivacaine to slow absorption into the general circulation and thus prolong maintenance of an active tissue concentration.

5.2 Dose Related Toxicity

The safety and effectiveness of SENSORCAINE/ SENSORCAINE WITH EPINEPHRINE depend on proper dosage, correct technique, adequate precautions, and readiness for emergencies. Careful and constant monitoring of cardiovascular and respiratory (adequacy of ventilation) vital signs and the patient's state of consciousness should be performed after injection of SENSORCAINE/ SENSORCAINE WITH EPINEPHRINE solutions.

Possible early warning signs of central nervous system (CNS) toxicity are restlessness, anxiety, incoherent speech, lightheadedness, numbness and tingling of the mouth and lips, metallic taste, tinnitus, dizziness, blurred vision, tremors, twitching, CNS depression, or drowsiness. Delay in proper management of dose-related toxicity, underventilation from any cause, and/or altered sensitivity may lead to the development of acidosis, cardiac arrest, and, possibly, death.

During major regional nerve blocks, such as those of the brachial plexus or lower extremity, the patient should have an indwelling intravenous catheter to assure adequate intravenous access. Use the lowest dosage of SENSORCAINE/ SENSORCAINE WITH EPINEPHRINE that results in effective anesthesia to avoid high plasma levels and serious adverse effects. Avoid rapid injection of a large volume of SENSORCAINE/ SENSORCAINE WITH EPINEPHRINE solution and administer fractional (incremental) doses when feasible.

Injection of repeated doses of SENSORCAINE/ SENSORCAINE WITH EPINEPHRINE may cause significant increases in plasma levels with each repeated dose due to slow accumulation of the drug or its metabolites, or to slow metabolic degradation. Tolerance to elevated blood levels varies with the status of the patient. Debilitated, elderly patients and acutely ill patients should be given reduced doses commensurate with their age and physical status.

5 Warnings and Precautions
  • Dose-Related Toxicity: Monitor cardiovascular and respiratory vital signs and patient's state of consciousness after injection of SENSORCAINE/ SENSORCAINE WITH EPINEPHRINE. (5.2)
  • Methemoglobinemia: Cases of methemoglobinemia have been reported in association with local anesthetic use. See full prescribing information for more detail on managing these risks. (5.3)
  • Chondrolysis with Intra-Articular Infusion: Intra-articular infusions of local anesthetics including SENSORCAINE following arthroscopic and other surgical procedures is an unapproved use, and there have been
  • post-marketing reports of chondrolysis in patients receiving such infusions. (5.5)
  • Risk of Cardiac Arrest with Intravenous Regional Anesthesia Use (Bier Block): There have been reports of cardiac arrest and death during the use of bupivacaine for intravenous regional anesthesia (Bier Block). (5.7)
  • Allergic-Type Reactions to Sulfites in SENSORCAINE WITH EPINEPHRINE: SENSORCAINE WITH EPINEPHRINE contains sodium metabisulfite, a sulfite that may cause allergic-type reactions including anaphylactic symptoms and life-threatening or less severe asthmatic episodes in certain susceptible people. (5.8)
  • Risk of Systemic Toxicities with Unintended Intravascular or Intrathecal Injection: Unintended intravascular or intrathecal injection may be associated with systemic toxicities, including CNS or cardiorespiratory depression and coma, progressing ultimately to respiratory arrest. Aspirate for blood or cerebrospinal fluid (where applicable) prior to each dose and consider using a test dose of SENSORCAINE-MPF WITH EPINEPHRINE. (5.9)
2 Dosage and Administration
  • Not for intrathecal use. (2.1)
  • Avoid use of solutions containing antimicrobial preservatives (i.e., multiple dose vials) for epidural or caudal anesthesia. (2.1, 5.4)
  • Three mL of SENSORCAINE-MPF WITH EPINEPHRINE without antimicrobial preservative (0.5% bupivacaine with 1:200,000 epinephrine) is recommended for use as a test dose prior to caudal and lumbar epidural blocks when clinical conditions permit. (2.4)
  • See full prescribing information for:
    • -
      Recommended concentrations and dosages of SENSORCAINE / SENSORCAINE WITH EPINEPHRINE according to type of block. (2.2)
    • -
      Additional dosage and administration information pertaining to use in epidural anesthesia, test dose for caudal and lumbar epidural blocks, use in dentistry, and use in ophthalmic surgery. (2.3, 2.4, 2.5, 2.6)
3 Dosage Forms and Strengths

SENSORCAINE®-MPF (bupivacaine hydrochloride) injection is a clear, colorless, methyl paraben free solution available as:

  • 0.25% (25 mg per 10 mL) (2.5 mg/mL), in 10 mL Single Dose Vial
  • 0.25% (75 mg per 30 mL) (2.5 mg/mL), in 30 mL Single Dose Vial
  • 0.5% (50 mg per 10 mL) (5 mg/mL), in 10 mL Single Dose Vial
  • 0.5% (150 mg per 30 mL) (5 mg/mL), in 30 mL Single Dose Vial
  • 0.75% (75 mg per 10 mL) (7.5 mg/mL), in 10 mL Single Dose Vial
  • 0.75% (225 mg per 30 mL) (7.5 mg/mL), in 30 mL Single Dose Vial

SENSORCAINE®-MPF WITH EPINEPHRINE 1:200,000 (bupivacaine hydrochloride and epinephrine injection, USP) is a clear, colorless to slightly yellow, methyl paraben free solution available as:

  • 0.25% (75 mg per 30 mL) (2.5 mg/mL), in 30 mL Single Dose Vial
  • 0.25% (25 mg per 10 mL) (2.5 mg/mL), in 10 mL Single Dose Vial
  • 0.5% (50 mg per 10 mL) (5 mg/mL), in 10 mL Single Dose Vial
  • 0.5% (150 mg per 30 mL) (5 mg/mL), in 30 mL Single Dose Vial
  • 0.75% (225 mg per 30 mL) (7.5 mg/mL), in 30 mL Single Dose Vial

SENSORCAINE® (bupivacaine hydrochloride), injection is a clear, colorless solution available as:

  • 0.25% (125 mg per 50 mL) (2.5 mg/mL), in 50 mL Multiple Dose Vial
  • 0.5% (250 mg per 50 mL) (5 mg/mL), in 50 mL Multiple Dose Vial

SENSORCAINE® WITH EPINEPHRINE 1:200,000 (bupivacaine hydrochloride and epinephrine, USP) injection is a clear, colorless to slightly yellow solution available as:

  • 0.25% (125 mg per 50 mL) (2.5 mg/mL), 50 mL Multiple Dose Vial
  • 0.5% (250 mg per 50 mL) (5 mg/mL), 50 mL Multiple Dose Vial
2.6 Use in Ophthalmic Surgery

When SENSORCAINE-MPF/SENSORCAINE-MPF with EPINEPHRINE 0.75% (7.5 mg/mL) is used for retrobulbar block, complete corneal anesthesia usually precedes onset of clinically acceptable external ocular muscle akinesia. Therefore, presence of akinesia rather than anesthesia alone should determine readiness of the patient for surgery [see Warnings and Precautions (5.15)].

7.3 Ergot Type Oxytocic Drugs

Concurrent administration of SENSORCAINE WITH EPINEPHRINE and ergot-type oxytocic drugs may cause severe, persistent hypertension or cerebrovascular accidents. Avoid use of SENSORCAINE WITH EPINEPHRINE concomitantly with ergot-type oxytocic drugs [see Warnings and Precautions (5.6)].

8 Use in Specific Populations
  • Pediatric Use: Administration of SENSORCAINE/ SENSORCAINE WITH EPINEPHRINE in pediatric patients younger than 12 years is not recommended. (8.4)
  • Geriatric Use: Patients 65 years and over, particularly those with hypertension, may be at increased risk for developing hypotension while undergoing anesthesia with SENSORCAINE/SENSORCAINE WITH EPINEPHRINE (8.5)
  • Moderate to Severe Hepatic Impairment: Consider increased monitoring for bupivacaine systemic toxicity. (8.6)
2.3 Use in Epidural Anesthesia

During the administration of epidural anesthesia, it is recommended that a test dose of SENSORCAINE-MPF WITH EPINEPHRINE without antimicrobial preservative (0.5% bupivacaine with 1:200,000 epinephrine) be administered initially and the effects monitored before the full dose is given. When using a “continuous” catheter technique, test doses should be given prior to both the initial and all supplemental doses, because a catheter in the epidural space can migrate into a blood vessel or through the dura [see Dosage and Administration (2.4)].

During epidural administration, administer SENSORCAINE-MPF / SENSORCAINE-MPF WITH EPINEPHRINE, 0.5% (5 mg/mL) and SENSORCAINE-MPF 0.75% (7.5 mg/mL) solutions in incremental doses of 3 mL to 5 mL with sufficient time between doses to detect toxic manifestations of unintentional intravascular or intrathecal injection. Administer injections slowly, with frequent aspirations before and during the injection to avoid intravascular injection. Perform syringe aspirations before and during each supplemental injection in continuous (intermittent) catheter techniques. In obstetrics, use ONLY the 0.5% (5 mg/mL) and 0.25% (2.5 mg/mL) concentrations of SENSORCAINE-MPF / SENSORCAINE-MPF WITH EPINEPHRINE [see Warnings and Precautions (5.1)]; incremental doses of 3 mL to 5 mL of the 0.5% (5 mg/mL) solution not exceeding 50 mg to 100 mg at any dosing interval are recommended. Repeat doses should be preceded by a test dose containing epinephrine if not clinically contraindicated. Use only the single dose vials for caudal or epidural anesthesia; avoid use of the multiple dose vials for these procedures, which contain a preservative [see Dosage and Administration (2.1, 2.4), Warnings and Precautions (5.4, 5.9)].

7.6 Potent Inhalation Anesthetics

Serious dose-related cardiac arrhythmias may occur if preparations containing a vasoconstrictor such as epinephrine (e.g., SENSORCAINE WITH EPINEPHRINE ) are used in patients during or following the administration of potent inhalation anesthetics [see Warnings and Precautions (5.13)].

16 How Supplied/storage and Handling

Solutions should be stored at 20° to 25°C (68° to 77°F); excursion permitted between 15 ⁰ C to 30 ⁰C (59 ⁰ F to 86 ⁰ F) [see USP Controlled Room Temperature].

These solutions are not for spinal anesthesia.

SENSORCAINE®-MPF (methylparaben free) does not contain epinephrine and is clear and colorless. Do not use the solution if it is discolored or if it contains a precipitate. SENSORCAINE®-MPF is available in the following forms:

Product Code Unit of Sale Strength Each
460417 NDC 63323-464-17

Trays of 25
0.25%

25 mg per 10 mL

(2.5 mg per mL)
NDC 63323-464-01

10 mL Single Dose Vial
460437

NDC 63323-464-37

Trays of 25
0.25%

75 mg per 30 mL

(2.5 mg per mL)
NDC 63323-464-02

30 mL Single Dose Vial
460617

NDC 63323-466-17

Trays of 25
0.5%

50 mg per 10 mL

(5 mg per mL)
NDC 63323-466-03

10 mL Single Dose Vial
460637

NDC 63323-466-37

Trays of 25
0.5%

150 mg per 30 mL

(5 mg per mL)
NDC 63323-466-01

30 mL Single Dose Vial
470217

NDC 63323-472-17

Trays of 25
0.75%

75 mg per 10 mL

(7.5 mg per mL)
NDC 63323-472-03

10 mL Single Dose Vial
470237

NDC 63323-472-37

Trays of 25
0.75%

225 mg per 30 mL

(7.5 mg per mL)
NDC 63323-472-01

30 mL Single Dose Vial

SENSORCAINE®- MPF WITH EPINEPHRINE (1:200,000) should be protected from light. This product is clear, colorless to slightly yellow. Do not use the solution if it is pinkish or darker than slightly yellow or if it contains a precipitate. SENSORCAINE®-MPF WITH EPINEPHRINE is available in the following forms:

Product Code Unit of Sale Strength Each
460837

NDC 63323-468-37

Trays of 25
0.25%

75 mg per 30 mL

(2.5 mg per mL)
NDC 63323-468-02

30 mL Single Dose Vial
460817

NDC 63323-468-17

Trays of 25
0.25%

25 mg per 10 mL

(2.5 mg per mL)
NDC 63323-468-01

10 mL Single Dose Vial
460217

NDC 63323-462-17

Trays of 25
0.5%

50 mg per 10 mL

(5 mg per mL)
NDC 63323-462-04

10 mL Single Dose Vial
460237

NDC 63323-462-37

Trays of 25
0.5%

150 mg per 30 mL

(5 mg per mL)
NDC 63323-462-01

30 mL Single Dose Vial
461037

NDC 63323-460-37

Trays of 25
0.75%

225 mg per 30 mL

(7.5 mg per mL)
NDC 63323-460-01

30 mL Single Dose Vial

For Single Dose Vials: Discard unused portion.

SENSORCAINE® (preserved with methylparaben) does not contain epinephrine and is clear and colorless. Do not use the solution if it is discolored or if it contains a precipitate. SENSORCAINE® is available in the following forms:

Product Code Unit of Sale Strength Each
460557

NDC 63323-465-57

Trays of 25
0.25%



125 mg per 50 mL

(2.5 mg per mL)
NDC 63323-465-01

50 mL Multiple Dose Vial
460757

NDC 63323-467-57

Trays of 25
0.5%

250 mg per 50 mL

(5 mg per mL)
NDC 63323-467-01

50 mL Multiple Dose Vial

SENSORCAINE® WITH EPINEPHRINE (1:200,000) should be protected from light. This product is clear, colorless to slightly yellow. Do not use the solution if it is pinkish or darker than slightly yellow or if it contains a precipitate. SENSORCAINE® WITH EPINEPHRINE is available in the following forms:

Product Code Unit of Sale Strength Each
460157

NDC 63323-461-57

Trays of 25
0.25%

125 mg per 50 mL

(2.5 mg per mL)
NDC 63323-461-01

50 mL Multiple Dose Vial
460357

NDC 63323-463-57

Trays of 25
0.5%

250 mg per 50 mL

(5 mg per mL)
NDC 63323-463-01

50 mL Multiple Dose Vial
7.7 Phenothiazines and Butyrophenones

Phenothiazines and butyrophenones may reduce or reverse the pressor effect of epinephrine. Concurrent use of SENSORCAINE WITH EPINEPHRINE and these agents should generally be avoided. In situations when concurrent therapy is necessary, careful patient monitoring is essential.

7.5 Drugs Associated With Methemoglobinemia

Patients who are administered SENSORCAINE/ SENSORCAINE WITH EPINEPHRINE are at increased risk of developing methemoglobinemia when concurrently exposed to following drugs, which could include other local anesthetics [see Warnings and Precautions (5.3)].

Examples of Drugs Associated with Methemoglobinemia:
Class Examples
Nitrates/Nitrites nitric oxide, nitroglycerin, nitroprusside, nitrous oxide
Local anesthetics articaine, benzocaine, bupivacaine, lidocaine, mepivacaine, prilocaine, procaine, ropivacaine, tetracaine
Antineoplastic agents cyclophosphamide, flutamide, hydroxyurea, ifosfamide, rasburicase
Antibiotics dapsone, nitrofurantoin, para-aminosalicylic acid, sulfonamides
Antimalarials chloroquine, primaquine
Anticonvulsants phenobarbital, phenytoin, sodium valproate
Other drugs acetaminophen, metoclopramide, quinine, sulfasalazine
7.4 Nonselective Beta Adrenergic Antagonists

Administration of SENSORCAINE WITH EPINEPHRINE (containing a vasoconstrictor) in patients receiving nonselective beta-adrenergic antagonists may cause severe hypertension and bradycardia. Concurrent use of these agents should generally be avoided. In situations when concurrent therapy is necessary, careful monitoring of the patient's blood pressure and heart rate is essential [see Warnings and Precautions (5.6)].

5.5 Chondrolysis With Intra Articular Infusion

Intra-articular infusions of local anesthetics including SENSORCAINE following arthroscopic and other surgical procedures is an unapproved use, and there have been post-marketing reports of chondrolysis in patients receiving such infusions. The majority of reported cases of chondrolysis have involved the shoulder joint; cases of gleno-humeral chondrolysis have been described in pediatric and adult patients following intra-articular infusions of local anesthetics with and without epinephrine for periods of 48 to 72 hours. There is insufficient information to determine whether shorter infusion periods are associated with chondrolysis. The time of onset of symptoms, such as joint pain, stiffness and loss of motion can be variable, but may begin as early as the 2nd month after surgery. Currently, there is no effective treatment for chondrolysis; patients who experienced chondrolysis have required additional diagnostic and therapeutic procedures and some required arthroplasty or shoulder replacement.

2.1 Important Dosage and Administration Information
  • SENSORCAINE / SENSORCAINE WITH EPINEPHRINE is not for intrathecal use.
  • Avoid use of SENSORCAINE / SENSORCAINE WITH EPINEPHRINE solutions containing antimicrobial preservatives (i.e., multiple dose vials) for epidural or caudal anesthesia [see Warnings and Precautions (5.4)].
  • Discard unused portions of solution not containing preservatives, i.e., those supplied in single dose vials, following initial use.
  • Visually inspect this product for particulate matter and discoloration prior to administration whenever solution and container permit. SENSORCAINE are clear, colorless solutions. Do not administer solutions which are discolored or contain particulate matter. SENSORCAINE WITH EPINEPHRINE are clear, colorless to slightly yellow solutions. Do not administer solutions which are pinkish or darker than slightly yellow or contain particulate matter.
  • Mixing or the prior or intercurrent use of any other local anesthetic with SENSORCAINE / SENSORCAINE WITH EPINEPHRINE is not recommended because of insufficient data on the clinical use of such mixtures.
2.4 Test Dose for Caudal and Lumbar Epidural Blocks

Three mL of SENSORCAINE-MPF WITH EPINEPHRINE without antimicrobial preservative (0.5% bupivacaine with 1:200,000 epinephrine) is recommended for use as a test dose prior to caudal and lumbar epidural blocks when clinical conditions permit. This test dose may serve as a warning of unintended intravascular or intrathecal injection. Closely monitor for early clinical signs of toxicity following each test dose [see Warnings and Precautions (5.9)]. Allot adequate time for onset of spinal block to detect possible intrathecal injection. An intravascular or intrathecal injection is still possible even if results of the test dose are negative. The test dose itself may produce a systemic toxic reaction, high spinal, or cardiovascular effects from the epinephrine [see Warnings and Precautions (5.2, 5.9), Overdosage (10)].

5.4 Antimicrobial Preservatives in Multiple Dose Vials

Avoid use of SENSORCAINE/ SENSORCAINE WITH EPINEPHRINE solutions containing antimicrobial preservatives, i.e., those supplied in multiple dose vials, for epidural or caudal anesthesia because safety has not been established with such use.

5.10 Risk of Toxicity in Patients With Hepatic Impairment

Because amide local anesthetics such as bupivacaine are metabolized by the liver, consider reduced dosing and increased monitoring for bupivacaine systemic toxicity in patients with moderate to severe hepatic impairment who are treated with SENSORCAINE/ SENSORCAINE WITH EPINEPHRINE, especially with repeat doses [see Use in Specific Populations (8.6)].

5.14 Risk of Adverse Reactions With Use in Head and Neck Area

Small doses of local anesthetics (e.g., SENSORCAINE) injected into the head and neck area, including retrobulbar, dental, and stellate ganglion blocks, may produce adverse reactions similar to systemic toxicity seen with unintentional intravascular injections of larger doses. The injection procedures require the utmost care.

Confusion, convulsions, respiratory depression, and/or respiratory arrest, and cardiovascular stimulation or depression have been reported. These reactions may be due to intra-arterial injection of the local anesthetic with retrograde flow to the cerebral circulation. They may also be due to puncture of the dural sheath of the optic nerve during retrobulbar block with diffusion of any local anesthetic along the subdural space to the midbrain. Monitor circulation and respiration and constantly observe patients receiving SENSORCAINE/ SENSORCAINE WITH EPINEPHRINE blocks. Resuscitative equipment and drugs, and personnel for treating adverse reactions should be immediately available. Dosage recommendations should not be exceeded [see Dosage and Administration (2.2)].

5.15 Risk of Respiratory Arrest With Use in Ophthalmic Surgery

Clinicians who perform retrobulbar blocks should be aware that there have been reports of respiratory arrest following local anesthetic injection. Prior to retrobulbar block (e.g., with SENSORCAINE-MPF/ SENSORCAINE-MPF WITH EPINEPHRINE), as with all other regional procedures, resuscitative equipment and drugs, and personnel to manage respiratory arrest or depression, convulsions, and cardiac stimulation or depression should be immediately available [see Warnings and Precautions (5.14)]. As with other anesthetic procedures, patients should be constantly monitored following ophthalmic blocks for signs of these adverse reactions, which may occur following relatively low total doses.

A concentration of 0.75% bupivacaine is indicated for retrobulbar block; however, this concentration is not indicated for any other peripheral nerve block, including the facial nerve, and not indicated for local infiltration, including the conjunctiva [see Indications and Usage (1)].

7.2 Monoamine Oxidase Inhibitors and Tricyclic Antidepressants

The administration of SENSORCAINE WITH EPINEPHRINE to patients receiving monoamine oxidase inhibitors, or tricyclic antidepressants may produce severe, prolonged hypertension. Concurrent use of these agents should generally be avoided. In situations when concurrent therapy is necessary, careful monitoring of the patient's hemodynamic status is essential [see Warnings and Precautions (5.6)].

5.11 Risk of Use in Patients With Impaired Cardiovascular Function

SENSORCAINE/ SENSORCAINE WITH EPINEPHRINE should be given in reduced doses in patients with impaired cardiovascular function (e.g., hypotension, heartblock) because they may be less able to compensate for functional changes associated with the prolongation of AV conduction produced by SENSORCAINE/ SENSORCAINE WITH EPINEPHRINE. Monitor patients closely for blood pressure, heart rate, and ECG changes.

5.8 Allergic Type Reactions to Sulfites in Sensorcaine With Epinephrine

SENSORCAINE WITH EPINEPHRINE contains sodium metabisulfite, a sulfite that may cause allergic-type reactions including anaphylactic symptoms and life-threatening or less severe asthmatic episodes in certain susceptible people. The overall prevalence of sulfite sensitivity in the general population is unknown and probably low. Sulfite sensitivity is seen more frequently in asthmatic than in nonasthmatic people. SENSORCAINE without epinephrine does not contain sodium metabisulfite.

5.1 Risk of Cardiac Arrest With Use of Sensorcaine in Obstetrical Anesthesia

There have been reports of cardiac arrest with difficult resuscitation or death during use of SENSORCAINE for epidural anesthesia in obstetrical patients. In most cases, this has followed use of the 0.75% (7.5 mg/mL) concentration. Resuscitation has been difficult or impossible despite apparently adequate preparation and appropriate management. Cardiac arrest has occurred after convulsions resulting from systemic toxicity, presumably following unintentional intravascular injection. The 0.75% (7.5 mg/mL) concentration of SENSORCAINE is not recommended for obstetrical anesthesia and should be reserved for surgical procedures where a high degree of muscle relaxation and prolonged effect are necessary.

5.12 Risk of Ischemic Injury Or Necrosis in Body Areas With Limited Blood Supply

Use SENSORCAINE WITH EPINEPHRINE in carefully restricted quantities in areas of the body supplied by end arteries or having otherwise compromised blood supply such as digits, nose, external ear, or penis. Patients with hypertensive vascular disease may exhibit exaggerated vasoconstrictor response. Ischemic injury or necrosis may result.

5.7 Risk of Cardiac Arrest With Intravenous Regional Anesthesia Use (bier Block)

There have been reports of cardiac arrest and death during the use of bupivacaine for intravenous regional anesthesia (Bier Block). Information on safe dosages and techniques of administration of Sensorcaine in this procedure is lacking. Therefore, SENSORCAINE/ SENSORCAINE WITH EPINEPHRINE is contraindicated for use with this technique [see Contraindications (4)].

Warning: Risk of Cardiac Arrest With Use of Sensorcaine in Obstetrical Anesthesia

There have been reports of cardiac arrest with difficult resuscitation or death during use of SENSORCAINE for epidural anesthesia in obstetrical patients. In most cases, this has followed use of the 0.75% (7.5 mg/mL) concentration. Resuscitation has been difficult or impossible despite apparently adequate preparation and appropriate management.

Cardiac arrest has occurred after convulsions resulting from systemic toxicity, presumably following unintentional intravascular injection. The 0.75% (7.5 mg/mL) concentration of SENSORCAINE is not recommended for obstetrical anesthesia and should be reserved for surgical procedures where a high degree of muscle relaxation and prolonged effect are necessary [see Warnings and Precautions (5.1)].

5.13 Risk of Cardiac Arrhythmias With Concomitant Use of Potent Inhalation Anesthetics

Serious dose-related cardiac arrhythmias may occur if preparations containing a vasoconstrictor such as epinephrine (e.g., SENSORCAINE WITH EPINEPHRINE) are used in patients during or following the administration of potent inhalation anesthetics [see Drug Interactions (7.6)]. In deciding whether to concurrently use SENSORCAINE WITH EPINEPHRINE with potent inhalation anesthetics in the same patient, the combined action of both agents upon the myocardium, the concentration and volume of vasoconstrictor used, and the time since injection, when applicable, should be taken into account.

5.9 Risk of Systemic Toxicities With Unintended Intravascular Or Intrathecal Injection

Unintended intravascular or intrathecal injection of SENSORCAINE/ SENSORCAINE WITH EPINEPHRINE may be associated with systemic toxicities, including CNS or cardiorespiratory depression and coma, progressing ultimately to respiratory arrest. Unintentional intrathecal injection during the intended performance of caudal or lumbar epidural block or nerve blocks near the vertebral column has resulted in underventilation or apnea (“Total or High Spinal”). A high spinal has been characterized by paralysis of the legs, loss of consciousness, respiratory paralysis, and bradycardia [see Adverse Reactions (6)].

Aspirate for blood or cerebrospinal fluid (where applicable) before injecting SENSORCAINE/ SENSORCAINE WITH EPINEPHRINE, both the initial dose and all subsequent doses, to avoid intravascular or intrathecal injection. However, a negative aspiration for blood or cerebrospinal fluid does not ensure against an intravascular or intrathecal injection.

2.2 Recommended Concentrations and Dosages of Sensorcaine/ Sensorcaine With Epinephrine

The dosage of SENSORCAINE / SENSORCAINE WITH EPINEPHRINE administered varies with the anesthetic procedure, the area to be anesthetized, the vascularity of the tissues, the number of neuronal segments to be blocked, the depth of anesthesia and degree of muscle relaxation required, the duration of anesthesia desired, individual tolerance, and the physical condition of the patient. Administer the smallest dosage and concentration required to produce the desired result.

The types of block and recommended SENSORCAINE / SENSORCAINE WITH EPINEPHRINE concentrations are shown in Table 1

Table 1. Types of Block and Recommended SENSORCAINE/ SENSORCAINE WITH EPINEPHRINE Concentrations

* SENSORCAINE 0.75% (7.5 mg/mL) is not recommended for nonobstetrical surgical procedures in pregnant patients.

** Avoid use of multiple dose vials of SENSORCAINE / SENSORCAINE WITH EPINEPHRINE for caudal or epidural anesthesia [see Warnings and Precautions (5.4)].

✓= indicated use [see Warnings and Precautions (5.1)].

SENSORCAINE-MPF SENSORCAINE-MPF WITH EPINEPHRINE (1:200,000) SENSORCAINE SENSORCAINE WITH EPINEPHRINE (1:200,000)
Type of Block 0.25% 0.50% 0.75%* 0.25% 0.50% 0.75%* 0.25% 0.50% 0.25% 0.50%
(2.5 mg/mL) (5 mg/ml) (7.5 mg per mL) (2.5 mg/mL) (5 mg/mL) (7.5 mg /mL) (2.5 mg/mL) (5 mg/mL) (2.5 mg/mL) (5 mg/mL)
Local infiltration
Peripheral nerve block
Retrobulbar block
Sympathetic block
Caudal block**
Lumbar epidural block**

(Not for obstetrical anesthesia.)
✓ (Not for obstetrical anesthesia.)
Epidural test dose**
Dental block

At recommended dosages, SENSORCAINE / SENSORCAINE WITH EPINEPHRINE produces complete sensory block, but the effect on motor function differs among the three concentrations. Table 2 provides information on the expected effect on motor function for the three concentrations.

Table 2. SENSORCAINE / SENSORCAINE WITH EPINEPHRINE Concentration vs. Motor Function

* These products include SENSORCAINE / SENSORCAINE WITH EPINEPHRINE [the epinephrine concentration (1:200,000) is not included in the table].

Sensorcaine

Concentration


Motor Function


0.25%

(2.5 mg/mL)*
When used for caudal, epidural, or peripheral nerve block, produces incomplete motor block. Should be used for operations in which muscle relaxation is not important, or when another means of providing muscle relaxation is used concurrently. Onset of action may be slower than with the 0.5% (5 mg/mL) or 0.75% (7.5 mg/mL) solutions.
0.5%

(5 mg/mL)*
Provides motor blockade for caudal, epidural, or nerve block, but muscle relaxation may be inadequate for operations in which complete muscle relaxation is essential.
0.75%

(7.5 mg/mL)*
Produces complete motor block. Most useful for epidural block in abdominal operations requiring complete muscle relaxation, and for retrobulbar anesthesia. Not for obstetrical anesthesia.

The duration of anesthesia with SENSORCAINE / SENSORCAINE WITH EPINEPHRINE is such that for most indications, a single dose is sufficient.

The maximum dosage limit within the recommended dosage range must be individualized in each case after evaluating the size and physical status of the patient, as well as the anticipated rate of systemic absorption from a particular injection site.

The dosages in Table 3 are recommended as a guide for use in the average adult. These doses may be repeated once every three hours. Do not exceed a total daily dosage of 400 mg in 24 hours. The duration of anesthetic effect may be prolonged by the addition of epinephrine.

Table 3. Recommended Concentrations and Doses of SENSORCAINE / SENSORCAINE WITH EPINEPHRINE in Adults

a. With continuous (intermittent) techniques, repeat doses increase the degree of motor block. The first repeat dose of 0.5% (5 mg/mL) may produce complete motor block. Intercostal nerve block with 0.25% (2.5 mg/mL) also may produce complete motor block for intra-thoracic and upper intra-abdominal surgery.

b. Solutions with or without epinephrine. The SENSORCAINE WITH EPINEPHRINE products include epinephrine (1:200,000).

c. For single dose use; not for intermittent epidural technique. Not for obstetrical anesthesia.

Type of Block Concentration of SENSORCAINE Each Dose Motor Block a
mL mg of SENSORCAINE
Local infiltration 0.25%

(2.5 mg/mL) b
Up to 70

(without epinephrine)
Up to 175

(without epinephrine)
Up to 90

(with epinephrine)
Up to 225

(with epinephrine)
Peripheral nerve block 0.5%

(5 mg/mL) b
5-35

(without epinephrine)
25-175

(without epinephrine)
moderate to complete
5-45

(with epinephrine)
25-225

(with epinephrine)
0.25%

(2.5 mg/mL) b
5-70

(without epinephrine)
12.5-175

(without epinephrine)
moderate to complete
5-90

(with epinephrine)
12.5-225

(with epinephrine)
   Retrobulbar block

[see Dosage and Administration (2.6)]
0.75%

(7.5 mg/mL) b
2-4 15-30 complete
Sympathetic block 0.25%

(2.5 mg/mL)
20-50 50-125
   Caudal block

[see Dosage and Administration (2.4)]
0.5%

(5 mg/mL) b
15-30 75-150 moderate to complete
0.25%

(2.5 mg/mL) b
15-30 37.5-75 moderate
   Lumbar epidural block

[see Dosage and Administration (2.3)]
0.75%

(7.5 mg/mL) c
10-20 75-150 complete
0.5%

(5 mg/mL) b
10-20 50-100 moderate to complete
0.25%

(2.5 mg/mL) b
10-20 25-50 partial to moderate
   Epidural test dose

[see Dosage and Administration (2.4)]
0.5%

(5 mg/mL)
2-3 10-15

(10-15 micrograms epinephrine)
   Dental

[see Dosage and Administration (2.5)]
0.5% (5 mg/mL) with epinephrine 1.8-3.6

per site
9-18

per site
5.16 Risk of Inadvertent Trauma to Tongue, Lips, and Buccal Mucosa in Dental Applications

Because of the long duration of anesthesia, when SENSORCAINE WITH EPINEPHRINE [0.5% (5 mg/mL) of bupivacaine] is used for dental injections, warn patients about the possibility of inadvertent trauma to tongue, lips, and buccal mucosa and advise them not to chew solid foods until sensation returns [see Patient Counseling Information (17)].


Structured Label Content

Section 42229-5 (42229-5)

Limitations of Use

Not all blocks are indicated for use with SENSORCAINE / SENSORCAINE WITH EPINEPHRINE given clinically significant risks associated with use [see Dosage and Administration (2.2), Contraindications (4), Warnings and Precautions (5.1, 5.4, 5.5, 5.7, 5.9)].

Section 51945-4 (51945-4)

PACKAGE LABEL – PRINCIPAL DISPLAY – Sensorcaine-MPF 10 mL Single Dose Vial Label

NDC 63323-464-01        460417

SENSORcaine® -MPF

(Bupivacaine HCl Injection, USP)

0.25%

25 mg per 10 mL

(2.5 mg per mL)

For infiltration, nerve block, caudal and epidural anesthesia.

Not for spinal anesthesia.

Methylparaben free.

10 mL Single Dose Vial        Rx only

11 Description (11 DESCRIPTION)

SENSORCAINE-MPF / SENSORCAINE-MPF WITH EPINEPHRINE injections contains bupivacaine hydrochloride, a local anesthetic agent with and without epinephrine (as bitartrate) 1:200,000. The route of administration for SENSORCAINE-MPF / SENSORCAINE-MPF WITH EPINEPHRINE is parenterally by injection, for infiltration, perineural, caudal, epidural, or retrobulbar use. SENSORCAINE-MPF / SENSORCAINE-MPF WITH EPINEPHRINE injections are Methyl Paraben Free (MPF).

SENSORCAINE/SENSORCAINE WITH EPINEPHRINE injections contains bupivacaine hydrochloride, a local anesthetic agent with and without epinephrine (as bitartrate) 1:200,000. The route of administration for SENSORCAINE / SENSORCAINE WITH EPINEPHRINE is parenterally by injection, for infiltration and perineural use.

Bupivacaine hydrochloride is a white or almost white, crystalline powder or colorless crystals, soluble in water, freely soluble in alcohol. Bupivacaine is related chemically and pharmacologically to the aminoacyl local anesthetics. It is a homologue of mepivacaine and is chemically related to lidocaine. All three of these anesthetics contain an amide linkage between the aromatic nucleus and the amino, or piperidine group. They differ in this respect from the procaine-type local anesthetics, which have an ester linkage. Bupivacaine hydrochloride chemical name is 2-piperidinecarboxamide, 1-butyl-N-(2,6-dimethylphenyl)-, monohydrochloride, monohydrate. The molecular formula is C18H28N2O·HCl·H2O, with a molecular weight of 342.9 g/mol. Bupivacaine hydrochloride monohydrate has the following chemical structure:

The pKa of bupivacaine (8.1) is similar to that of lidocaine (7.86). However, bupivacaine possesses a greater degree of lipid solubility and is protein bound to a greater extent than lidocaine.

Epinephrine bitartrate is a white to greyish white or light brownish-grey, odorless, crystalline powder, freely soluble in water, slightly soluble in 96% ethanol and methanol, practically insoluble in chloroform, methylene chloride and ether. Epinephrine bitartrate chemical name is (-)-3,4-Dihydroxy- α [(methylamino)methyl] benzyl alcohol (+) tartrate (1:1) salt. The molecular formula is C9H13NO3·C4H6O6, with a molecular weight of 333.29 g/mol. Epinephrine bitartrate has the following chemical structure:

8.4 Pediatric Use

SENSORCAINE/ SENSORCAINE WITH EPINEPHRINE is approved for use in adults. Administration of SENSORCAINE/ SENSORCAINE WITH EPINEPHRINE in pediatric patients younger than 12 years is not recommended.

Continuous infusions of bupivacaine in pediatric patients have been reported to result in high systemic levels of bupivacaine and seizures; high plasma levels may also be associated with cardiovascular abnormalities.

8.5 Geriatric Use

Patients 65 years and over, particularly those with hypertension, may be at increased risk for developing hypotension while undergoing anesthesia with SENSORCAINE/ SENSORCAINE WITH EPINEPHRINE.

In clinical studies of bupivacaine, elderly patients reached the maximal spread of analgesia and maximal motor blockade more rapidly than younger adult patients.

Differences in various pharmacokinetic parameters have been observed between elderly and younger adult patients [see Clinical Pharmacology (12.3)].

This product is known to be substantially excreted by the kidney, and the risk of adverse reactions to this drug may be greater in patients with impaired renal function. Because elderly patients are more likely to have decreased renal function, care should be taken in dose selection, and it may be useful to monitor renal function. Elderly patients may require lower doses of SENSORCAINE/ SENSORCAINE WITH EPINEPHRINE.

4 Contraindications (4 CONTRAINDICATIONS)

SENSORCAINE / SENSORCAINE WITH EPINEPHRINE is contraindicated in:

  • obstetrical paracervical block anesthesia. Its use in this technique has resulted in fetal bradycardia and death.
  • intravenous regional anesthesia (Bier Block) [see Warnings and Precautions (5.7)].
  • patients with a known hypersensitivity to bupivacaine or to any local anesthetic agent of the amide-type or to other components of SENSORCAINE / SENSORCAINE WITH EPINEPHRINE.
6 Adverse Reactions (6 ADVERSE REACTIONS)

The following clinically significant adverse reactions have been reported and described in the Warnings and Precautions section of the labeling:

  • Cardiac Arrest in Obstetrical Anesthesia [see Warnings and Precautions (5.1)]
  • Dose-Related Toxicity [see Warnings and Precautions (5.2)]
  • Methemoglobinemia [see Warnings and Precautions (5.3)]
  • Chondrolysis with Intra-Articular Infusion [see Warnings and Precautions (5.5)]
  • Severe, Persistent Hypertension, Cerebrovascular Accidents, and Bradycardia Due to Drug Interactions [see Warnings and Precautions (5.6)]
  • Cardiac Arrest with Intravenous Regional Anesthesia Use [see Contraindications (4), Warnings and Precautions (5.7)]
  • Allergic-Type Reactions [see Warnings and Precautions (5.8)]
  • Systemic Toxicities with Unintended Intravascular or Intrathecal Injection [see Warnings and Precautions (5.9)]
  • Respiratory Arrest Following Retrobulbar Block [see Warnings and Precautions (5.15)]

The following adverse reactions from voluntary reports or clinical studies have been reported with bupivacaine or bupivacaine and epinephrine. Because many of these reactions were reported voluntarily from a population of uncertain size, it is not always possible to reliably estimate their frequency or establish a causal relationship to drug exposure.

Adverse reactions to SENSORCAINE/ SENSORCAINE WITH EPINEPHRINE are characteristic of those associated with other amide-type local anesthetics. A major cause of adverse reactions to this group of drugs is excessive plasma levels, which may be due to overdosage, unintentional intravascular injection, or slow metabolic degradation.

The most commonly encountered acute adverse reactions that demand immediate counter-measures were related to the CNS and the cardiovascular system. These adverse reactions were generally dose-related and due to high plasma levels which may have resulted from overdosage, rapid absorption from the injection site, diminished tolerance, or from unintentional intravascular injection of the local anesthetic solution. In addition to systemic dose-related toxicity, unintentional intrathecal injection of drug during the intended performance of caudal or lumbar epidural block or nerve blocks near the vertebral column (especially in the head and neck region) has resulted in underventilation or apnea (“Total or High Spinal”). Also, hypotension due to loss of sympathetic tone and respiratory paralysis or underventilation due to cephalad extension of the motor level of anesthesia have occurred. This has led to secondary cardiac arrest when untreated.

Nervous System Disorders: Adverse reactions were characterized by excitation and/or depression of the central nervous system and included restlessness, anxiety, dizziness, tinnitus, blurred vision, tremors, convulsions, drowsiness, unconsciousness, respiratory arrest, nausea, vomiting, chills, pupillary constriction.

In the practice of caudal or lumbar epidural block, unintentional penetration of the subarachnoid space by the catheter or needle has occurred. Subsequent adverse effects may have depended partially on the amount of drug administered intrathecally and the physiological and physical effects of a dural puncture. A high spinal has been characterized by paralysis of the legs, loss of consciousness, respiratory paralysis, and bradycardia.

Neurologic effects following epidural or caudal anesthesia have included spinal block of varying magnitude (including high or total spinal block); hypotension secondary to spinal block; urinary retention; fecal and urinary incontinence; loss of perineal sensation and sexual function; persistent anesthesia, paresthesia, weakness, paralysis of the lower extremities and loss of sphincter control, all of which had slow, incomplete, or no recovery; headache; backache; septic meningitis; meningismus; slowing of labor; increased incidence of forceps delivery; and cranial nerve palsies due to traction on nerves from loss of cerebrospinal fluid.

Neurologic effects following other procedures or routes of administration have included persistent anesthesia, paresthesia, weakness, paralysis, all with slow, incomplete, or no recovery.

Convulsions: Incidence varied with the procedure used and the total dose administered. In a survey of studies of epidural anesthesia, overt toxicity progressing to convulsions occurred in approximately 0.1% of local anesthetic administrations. The incidences of adverse neurologic reactions associated with the use of local anesthetics may be related to the total dose of local anesthetic administered and are also dependent upon the particular drug used, the route of administration, and the physical status of the patient.

Cardiac Disorders: High doses or unintentional intravascular injection have led to high plasma levels and related depression of the myocardium, decreased cardiac output, heartblock, hypotension, bradycardia, ventricular arrhythmias, including ventricular tachycardia and ventricular fibrillation, and cardiac arrest [see Warnings and Precautions (5.9)].

Immune System Disorders: Allergic-type reactions have occurred as a result of sensitivity to bupivacaine or to other formulation ingredients, such as the antimicrobial preservative methylparaben contained in multiple dose vials or sulfites in epinephrine-containing solutions. These reactions were characterized by signs such as urticaria, pruritus, erythema, angioneurotic edema (including laryngeal edema), tachycardia, sneezing, nausea, vomiting, dizziness, syncope, excessive sweating, elevated temperature, and severe hypotension. Cross sensitivity among members of the amide-type local anesthetic group has been reported [see Warnings and Precautions (5.8)].

7 Drug Interactions (7 DRUG INTERACTIONS)
  • Local Anesthetics: The toxic effects of local anesthetics are additive. Monitor for neurologic and cardiovascular effects when additional local anesthetics are administered. (7.1)
  • Monoamine Oxidase Inhibitors and Tricyclic Antidepressants: Administration of SENSORCAINE WITH EPINEPHRINE to patients receiving monoamine oxidase inhibitors or tricyclic antidepressants may produce severe, prolonged hypertension. Concurrent use of these agents should generally be avoided. (5.6, 7.2)
  • Ergot-Type Oxytocic Drugs: Concurrent administration of SENSORCAINE WITH EPINEPHRINE and ergot-type oxytocic drugs may cause severe, persistent hypertension or cerebrovascular accidents. (5.6, 7.3)
  • Nonselective Beta-Adrenergic Antagonists: Administration of SENSORCAINE WITH EPINEPHRINE (containing a vasoconstrictor) in patients receiving nonselective beta-adrenergic antagonists may cause severe hypertension and bradycardia. Concurrent use of these agents should generally be avoided. (5.6, 7.4)
  • Drugs Associated with Methemoglobinemia: Patients are at increased risk of developing methemoglobinemia when concurrently exposed to nitrates, nitrites, local anesthetics, antineoplastic agents, antibiotics, antimalarials, anticonvulsants, and other drugs. (7.5)
  • Potent Inhalation Anesthetics: Serious dose-related cardiac arrhythmias may occur if preparations containing a vasoconstrictor such as epinephrine are used in patients during or following the administration of potent inhalation anesthetics. (5.13, 7.6)
2.5 Use in Dentistry

SENSORCAINE WITH EPINEPHRINE 0.5% (5 mg/mL) is recommended for infiltration and block injection in the maxillary and mandibular area when a longer duration of local anesthesia is desired, such as for procedures generally associated with significant postoperative pain. The average dose of 1.8 mL (9 mg) per injection site will usually suffice; an occasional second dose of 1.8 mL (9 mg) may be used if necessary to produce adequate anesthesia after allowing 2 to 10 minutes for block onset [see Clinical Pharmacology (12.2)]. Use the lowest effective dose and allow time between injections; it is recommended that the total dose for all injection sites, spread out over a single dental sitting, not exceed 90 mg for a healthy adult patient (ten 1.8 mL injections of 0.5% (5 mg/mL) SENSORCAINE WITH EPINEPHRINE). Inject slowly and with frequent aspirations.

8.7 Renal Impairment

Bupivacaine is known to be substantially excreted by the kidney, and the risk of adverse reactions to this drug may be greater in patients with renal impairment. This should be considered when selecting the SENSORCAINE/ SENSORCAINE WITH EPINEPHRINE dosage [see Use in Specific Populations (8.5)].

12.2 Pharmacodynamics

Systemic absorption of bupivacaine produces effects on the cardiovascular system and CNS. At blood concentrations achieved with normal therapeutic doses, changes in cardiac conduction, excitability, refractoriness, contractility, and peripheral vascular resistance are minimal. However, toxic blood concentrations depress cardiac conduction and excitability, which may lead to atrioventricular block, ventricular arrhythmias, and cardiac arrest, sometimes resulting in fatalities. In addition, myocardial contractility is depressed and peripheral vasodilation occurs, leading to decreased cardiac output and arterial blood pressure. These cardiovascular changes are more likely to occur after unintended intravascular injection of bupivacaine [see Warnings and Precautions (5.9)].

Following systemic absorption, bupivacaine can produce CNS stimulation, CNS depression, or both. Apparent central stimulation is manifested as restlessness, tremors, and shivering, progressing to convulsions, followed by CNS depression and coma progressing ultimately to respiratory arrest. However, bupivacaine has a primary depressant effect on the medulla and on higher centers. The depressed stage may occur without a prior excited state.

The duration of local anesthesia after administration of SENSORCAINE is longer than that observed after administration of other commonly used short-acting local anesthetics. There appears to be period of analgesia that persists after the resolution of the block and return of sensation.

The onset of action following dental injections is usually 2 to 10 minutes and may last up to 7 hours. The duration of anesthetic effect is prolonged by the addition of epinephrine 1:200,000.

12.3 Pharmacokinetics

Systemic plasma levels of bupivacaine following administration of SENSORCAINE do not correlate with local efficacy.

5.3 Methemoglobinemia

Cases of methemoglobinemia have been reported in association with local anesthetic use. Although all patients are at risk for methemoglobinemia, patients with glucose-6-phosphate dehydrogenase deficiency, congenital or idiopathic methemoglobinemia, cardiac or pulmonary compromise, infants under 6 months of age, and concurrent exposure to oxidizing agents or their metabolites are more susceptible to developing clinical manifestations of the condition [see Drug Interactions (7.5)]. If local anesthetics must be used in these patients, close monitoring for symptoms and signs of methemoglobinemia is recommended.

Signs of methemoglobinemia may occur immediately or may be delayed some hours after exposure, and are characterized by a cyanotic skin discoloration and/or abnormal coloration of the blood. Methemoglobin levels may continue to rise; therefore, immediate treatment is required to avert more serious CNS and cardiovascular adverse effects, including seizures, coma, arrhythmias, and death. Discontinue SENSORCAINE/ SENSORCAINE WITH EPINEPHRINE and any other oxidizing agents. Depending on the severity of the signs and symptoms, patients may respond to supportive care, i.e., oxygen therapy, hydration. A more severe clinical presentation may require treatment with methylene blue, exchange transfusion, or hyperbaric oxygen.

7.1 Local Anesthetics

The toxic effects of local anesthetics are additive. If coadministration of other local anesthetics with SENSORCAINE/ SENSORCAINE WITH EPINEPHRINE cannot be avoided, monitor patients for neurologic and cardiovascular effects related to local anesthetic systemic toxicity [see Dosage and Administration (2.1), Warnings and Precautions (5.2)].

8.6 Hepatic Impairment

Amide-type local anesthetics, such as bupivacaine, are metabolized by the liver. Patients with severe hepatic impairment, because of their inability to metabolize local anesthetics normally, are at a greater risk of developing toxic plasma concentrations, and potentially local anesthetic systemic toxicity. Therefore, consider reduced dosing and increased monitoring for local anesthetic systemic toxicity in patients with moderate to severe hepatic impairment treated with SENSORCAINE/ SENSORCAINE WITH EPINEPHRINE, especially with repeat doses [see Warnings and Precautions (5.10)].

1 Indications and Usage (1 INDICATIONS AND USAGE)

SENSORCAINE / SENSORCAINE WITH EPINEPHRINE is indicated in adults for the production of local or regional anesthesia or analgesia for surgery, dental and oral surgery procedures, diagnostic and therapeutic procedures, and for obstetrical procedures. Specific concentrations and presentations of SENSORCAINE / SENSORCAINE WITH EPINEPHRINE are recommended for each type of block indicated to produce local or regional anesthesia or analgesia [see Dosage and Administration (2.2)].

12.1 Mechanism of Action

Bupivacaine blocks the generation and the conduction of nerve impulses, presumably by increasing the threshold for electrical excitation in the nerve, by slowing the propagation of the nerve impulse, and by reducing the rate of rise of the action potential. In general, the progression of anesthesia is related to the diameter, myelination, and conduction velocity of affected nerve fibers. Clinically, the order of loss of nerve function is as follows: (1) pain, (2) temperature, (3) touch, (4) proprioception, and (5) skeletal muscle tone.

Epinephrine is a vasoconstrictor added to bupivacaine to slow absorption into the general circulation and thus prolong maintenance of an active tissue concentration.

5.2 Dose Related Toxicity (5.2 Dose-Related Toxicity)

The safety and effectiveness of SENSORCAINE/ SENSORCAINE WITH EPINEPHRINE depend on proper dosage, correct technique, adequate precautions, and readiness for emergencies. Careful and constant monitoring of cardiovascular and respiratory (adequacy of ventilation) vital signs and the patient's state of consciousness should be performed after injection of SENSORCAINE/ SENSORCAINE WITH EPINEPHRINE solutions.

Possible early warning signs of central nervous system (CNS) toxicity are restlessness, anxiety, incoherent speech, lightheadedness, numbness and tingling of the mouth and lips, metallic taste, tinnitus, dizziness, blurred vision, tremors, twitching, CNS depression, or drowsiness. Delay in proper management of dose-related toxicity, underventilation from any cause, and/or altered sensitivity may lead to the development of acidosis, cardiac arrest, and, possibly, death.

During major regional nerve blocks, such as those of the brachial plexus or lower extremity, the patient should have an indwelling intravenous catheter to assure adequate intravenous access. Use the lowest dosage of SENSORCAINE/ SENSORCAINE WITH EPINEPHRINE that results in effective anesthesia to avoid high plasma levels and serious adverse effects. Avoid rapid injection of a large volume of SENSORCAINE/ SENSORCAINE WITH EPINEPHRINE solution and administer fractional (incremental) doses when feasible.

Injection of repeated doses of SENSORCAINE/ SENSORCAINE WITH EPINEPHRINE may cause significant increases in plasma levels with each repeated dose due to slow accumulation of the drug or its metabolites, or to slow metabolic degradation. Tolerance to elevated blood levels varies with the status of the patient. Debilitated, elderly patients and acutely ill patients should be given reduced doses commensurate with their age and physical status.

5 Warnings and Precautions (5 WARNINGS AND PRECAUTIONS)
  • Dose-Related Toxicity: Monitor cardiovascular and respiratory vital signs and patient's state of consciousness after injection of SENSORCAINE/ SENSORCAINE WITH EPINEPHRINE. (5.2)
  • Methemoglobinemia: Cases of methemoglobinemia have been reported in association with local anesthetic use. See full prescribing information for more detail on managing these risks. (5.3)
  • Chondrolysis with Intra-Articular Infusion: Intra-articular infusions of local anesthetics including SENSORCAINE following arthroscopic and other surgical procedures is an unapproved use, and there have been
  • post-marketing reports of chondrolysis in patients receiving such infusions. (5.5)
  • Risk of Cardiac Arrest with Intravenous Regional Anesthesia Use (Bier Block): There have been reports of cardiac arrest and death during the use of bupivacaine for intravenous regional anesthesia (Bier Block). (5.7)
  • Allergic-Type Reactions to Sulfites in SENSORCAINE WITH EPINEPHRINE: SENSORCAINE WITH EPINEPHRINE contains sodium metabisulfite, a sulfite that may cause allergic-type reactions including anaphylactic symptoms and life-threatening or less severe asthmatic episodes in certain susceptible people. (5.8)
  • Risk of Systemic Toxicities with Unintended Intravascular or Intrathecal Injection: Unintended intravascular or intrathecal injection may be associated with systemic toxicities, including CNS or cardiorespiratory depression and coma, progressing ultimately to respiratory arrest. Aspirate for blood or cerebrospinal fluid (where applicable) prior to each dose and consider using a test dose of SENSORCAINE-MPF WITH EPINEPHRINE. (5.9)
2 Dosage and Administration (2 DOSAGE AND ADMINISTRATION)
  • Not for intrathecal use. (2.1)
  • Avoid use of solutions containing antimicrobial preservatives (i.e., multiple dose vials) for epidural or caudal anesthesia. (2.1, 5.4)
  • Three mL of SENSORCAINE-MPF WITH EPINEPHRINE without antimicrobial preservative (0.5% bupivacaine with 1:200,000 epinephrine) is recommended for use as a test dose prior to caudal and lumbar epidural blocks when clinical conditions permit. (2.4)
  • See full prescribing information for:
    • -
      Recommended concentrations and dosages of SENSORCAINE / SENSORCAINE WITH EPINEPHRINE according to type of block. (2.2)
    • -
      Additional dosage and administration information pertaining to use in epidural anesthesia, test dose for caudal and lumbar epidural blocks, use in dentistry, and use in ophthalmic surgery. (2.3, 2.4, 2.5, 2.6)
3 Dosage Forms and Strengths (3 DOSAGE FORMS AND STRENGTHS)

SENSORCAINE®-MPF (bupivacaine hydrochloride) injection is a clear, colorless, methyl paraben free solution available as:

  • 0.25% (25 mg per 10 mL) (2.5 mg/mL), in 10 mL Single Dose Vial
  • 0.25% (75 mg per 30 mL) (2.5 mg/mL), in 30 mL Single Dose Vial
  • 0.5% (50 mg per 10 mL) (5 mg/mL), in 10 mL Single Dose Vial
  • 0.5% (150 mg per 30 mL) (5 mg/mL), in 30 mL Single Dose Vial
  • 0.75% (75 mg per 10 mL) (7.5 mg/mL), in 10 mL Single Dose Vial
  • 0.75% (225 mg per 30 mL) (7.5 mg/mL), in 30 mL Single Dose Vial

SENSORCAINE®-MPF WITH EPINEPHRINE 1:200,000 (bupivacaine hydrochloride and epinephrine injection, USP) is a clear, colorless to slightly yellow, methyl paraben free solution available as:

  • 0.25% (75 mg per 30 mL) (2.5 mg/mL), in 30 mL Single Dose Vial
  • 0.25% (25 mg per 10 mL) (2.5 mg/mL), in 10 mL Single Dose Vial
  • 0.5% (50 mg per 10 mL) (5 mg/mL), in 10 mL Single Dose Vial
  • 0.5% (150 mg per 30 mL) (5 mg/mL), in 30 mL Single Dose Vial
  • 0.75% (225 mg per 30 mL) (7.5 mg/mL), in 30 mL Single Dose Vial

SENSORCAINE® (bupivacaine hydrochloride), injection is a clear, colorless solution available as:

  • 0.25% (125 mg per 50 mL) (2.5 mg/mL), in 50 mL Multiple Dose Vial
  • 0.5% (250 mg per 50 mL) (5 mg/mL), in 50 mL Multiple Dose Vial

SENSORCAINE® WITH EPINEPHRINE 1:200,000 (bupivacaine hydrochloride and epinephrine, USP) injection is a clear, colorless to slightly yellow solution available as:

  • 0.25% (125 mg per 50 mL) (2.5 mg/mL), 50 mL Multiple Dose Vial
  • 0.5% (250 mg per 50 mL) (5 mg/mL), 50 mL Multiple Dose Vial
2.6 Use in Ophthalmic Surgery

When SENSORCAINE-MPF/SENSORCAINE-MPF with EPINEPHRINE 0.75% (7.5 mg/mL) is used for retrobulbar block, complete corneal anesthesia usually precedes onset of clinically acceptable external ocular muscle akinesia. Therefore, presence of akinesia rather than anesthesia alone should determine readiness of the patient for surgery [see Warnings and Precautions (5.15)].

7.3 Ergot Type Oxytocic Drugs (7.3 Ergot-Type Oxytocic Drugs)

Concurrent administration of SENSORCAINE WITH EPINEPHRINE and ergot-type oxytocic drugs may cause severe, persistent hypertension or cerebrovascular accidents. Avoid use of SENSORCAINE WITH EPINEPHRINE concomitantly with ergot-type oxytocic drugs [see Warnings and Precautions (5.6)].

8 Use in Specific Populations (8 USE IN SPECIFIC POPULATIONS)
  • Pediatric Use: Administration of SENSORCAINE/ SENSORCAINE WITH EPINEPHRINE in pediatric patients younger than 12 years is not recommended. (8.4)
  • Geriatric Use: Patients 65 years and over, particularly those with hypertension, may be at increased risk for developing hypotension while undergoing anesthesia with SENSORCAINE/SENSORCAINE WITH EPINEPHRINE (8.5)
  • Moderate to Severe Hepatic Impairment: Consider increased monitoring for bupivacaine systemic toxicity. (8.6)
2.3 Use in Epidural Anesthesia

During the administration of epidural anesthesia, it is recommended that a test dose of SENSORCAINE-MPF WITH EPINEPHRINE without antimicrobial preservative (0.5% bupivacaine with 1:200,000 epinephrine) be administered initially and the effects monitored before the full dose is given. When using a “continuous” catheter technique, test doses should be given prior to both the initial and all supplemental doses, because a catheter in the epidural space can migrate into a blood vessel or through the dura [see Dosage and Administration (2.4)].

During epidural administration, administer SENSORCAINE-MPF / SENSORCAINE-MPF WITH EPINEPHRINE, 0.5% (5 mg/mL) and SENSORCAINE-MPF 0.75% (7.5 mg/mL) solutions in incremental doses of 3 mL to 5 mL with sufficient time between doses to detect toxic manifestations of unintentional intravascular or intrathecal injection. Administer injections slowly, with frequent aspirations before and during the injection to avoid intravascular injection. Perform syringe aspirations before and during each supplemental injection in continuous (intermittent) catheter techniques. In obstetrics, use ONLY the 0.5% (5 mg/mL) and 0.25% (2.5 mg/mL) concentrations of SENSORCAINE-MPF / SENSORCAINE-MPF WITH EPINEPHRINE [see Warnings and Precautions (5.1)]; incremental doses of 3 mL to 5 mL of the 0.5% (5 mg/mL) solution not exceeding 50 mg to 100 mg at any dosing interval are recommended. Repeat doses should be preceded by a test dose containing epinephrine if not clinically contraindicated. Use only the single dose vials for caudal or epidural anesthesia; avoid use of the multiple dose vials for these procedures, which contain a preservative [see Dosage and Administration (2.1, 2.4), Warnings and Precautions (5.4, 5.9)].

7.6 Potent Inhalation Anesthetics

Serious dose-related cardiac arrhythmias may occur if preparations containing a vasoconstrictor such as epinephrine (e.g., SENSORCAINE WITH EPINEPHRINE ) are used in patients during or following the administration of potent inhalation anesthetics [see Warnings and Precautions (5.13)].

16 How Supplied/storage and Handling (16 HOW SUPPLIED/STORAGE AND HANDLING)

Solutions should be stored at 20° to 25°C (68° to 77°F); excursion permitted between 15 ⁰ C to 30 ⁰C (59 ⁰ F to 86 ⁰ F) [see USP Controlled Room Temperature].

These solutions are not for spinal anesthesia.

SENSORCAINE®-MPF (methylparaben free) does not contain epinephrine and is clear and colorless. Do not use the solution if it is discolored or if it contains a precipitate. SENSORCAINE®-MPF is available in the following forms:

Product Code Unit of Sale Strength Each
460417 NDC 63323-464-17

Trays of 25
0.25%

25 mg per 10 mL

(2.5 mg per mL)
NDC 63323-464-01

10 mL Single Dose Vial
460437

NDC 63323-464-37

Trays of 25
0.25%

75 mg per 30 mL

(2.5 mg per mL)
NDC 63323-464-02

30 mL Single Dose Vial
460617

NDC 63323-466-17

Trays of 25
0.5%

50 mg per 10 mL

(5 mg per mL)
NDC 63323-466-03

10 mL Single Dose Vial
460637

NDC 63323-466-37

Trays of 25
0.5%

150 mg per 30 mL

(5 mg per mL)
NDC 63323-466-01

30 mL Single Dose Vial
470217

NDC 63323-472-17

Trays of 25
0.75%

75 mg per 10 mL

(7.5 mg per mL)
NDC 63323-472-03

10 mL Single Dose Vial
470237

NDC 63323-472-37

Trays of 25
0.75%

225 mg per 30 mL

(7.5 mg per mL)
NDC 63323-472-01

30 mL Single Dose Vial

SENSORCAINE®- MPF WITH EPINEPHRINE (1:200,000) should be protected from light. This product is clear, colorless to slightly yellow. Do not use the solution if it is pinkish or darker than slightly yellow or if it contains a precipitate. SENSORCAINE®-MPF WITH EPINEPHRINE is available in the following forms:

Product Code Unit of Sale Strength Each
460837

NDC 63323-468-37

Trays of 25
0.25%

75 mg per 30 mL

(2.5 mg per mL)
NDC 63323-468-02

30 mL Single Dose Vial
460817

NDC 63323-468-17

Trays of 25
0.25%

25 mg per 10 mL

(2.5 mg per mL)
NDC 63323-468-01

10 mL Single Dose Vial
460217

NDC 63323-462-17

Trays of 25
0.5%

50 mg per 10 mL

(5 mg per mL)
NDC 63323-462-04

10 mL Single Dose Vial
460237

NDC 63323-462-37

Trays of 25
0.5%

150 mg per 30 mL

(5 mg per mL)
NDC 63323-462-01

30 mL Single Dose Vial
461037

NDC 63323-460-37

Trays of 25
0.75%

225 mg per 30 mL

(7.5 mg per mL)
NDC 63323-460-01

30 mL Single Dose Vial

For Single Dose Vials: Discard unused portion.

SENSORCAINE® (preserved with methylparaben) does not contain epinephrine and is clear and colorless. Do not use the solution if it is discolored or if it contains a precipitate. SENSORCAINE® is available in the following forms:

Product Code Unit of Sale Strength Each
460557

NDC 63323-465-57

Trays of 25
0.25%



125 mg per 50 mL

(2.5 mg per mL)
NDC 63323-465-01

50 mL Multiple Dose Vial
460757

NDC 63323-467-57

Trays of 25
0.5%

250 mg per 50 mL

(5 mg per mL)
NDC 63323-467-01

50 mL Multiple Dose Vial

SENSORCAINE® WITH EPINEPHRINE (1:200,000) should be protected from light. This product is clear, colorless to slightly yellow. Do not use the solution if it is pinkish or darker than slightly yellow or if it contains a precipitate. SENSORCAINE® WITH EPINEPHRINE is available in the following forms:

Product Code Unit of Sale Strength Each
460157

NDC 63323-461-57

Trays of 25
0.25%

125 mg per 50 mL

(2.5 mg per mL)
NDC 63323-461-01

50 mL Multiple Dose Vial
460357

NDC 63323-463-57

Trays of 25
0.5%

250 mg per 50 mL

(5 mg per mL)
NDC 63323-463-01

50 mL Multiple Dose Vial
7.7 Phenothiazines and Butyrophenones

Phenothiazines and butyrophenones may reduce or reverse the pressor effect of epinephrine. Concurrent use of SENSORCAINE WITH EPINEPHRINE and these agents should generally be avoided. In situations when concurrent therapy is necessary, careful patient monitoring is essential.

7.5 Drugs Associated With Methemoglobinemia (7.5 Drugs Associated with Methemoglobinemia)

Patients who are administered SENSORCAINE/ SENSORCAINE WITH EPINEPHRINE are at increased risk of developing methemoglobinemia when concurrently exposed to following drugs, which could include other local anesthetics [see Warnings and Precautions (5.3)].

Examples of Drugs Associated with Methemoglobinemia:
Class Examples
Nitrates/Nitrites nitric oxide, nitroglycerin, nitroprusside, nitrous oxide
Local anesthetics articaine, benzocaine, bupivacaine, lidocaine, mepivacaine, prilocaine, procaine, ropivacaine, tetracaine
Antineoplastic agents cyclophosphamide, flutamide, hydroxyurea, ifosfamide, rasburicase
Antibiotics dapsone, nitrofurantoin, para-aminosalicylic acid, sulfonamides
Antimalarials chloroquine, primaquine
Anticonvulsants phenobarbital, phenytoin, sodium valproate
Other drugs acetaminophen, metoclopramide, quinine, sulfasalazine
7.4 Nonselective Beta Adrenergic Antagonists (7.4 Nonselective Beta-Adrenergic Antagonists)

Administration of SENSORCAINE WITH EPINEPHRINE (containing a vasoconstrictor) in patients receiving nonselective beta-adrenergic antagonists may cause severe hypertension and bradycardia. Concurrent use of these agents should generally be avoided. In situations when concurrent therapy is necessary, careful monitoring of the patient's blood pressure and heart rate is essential [see Warnings and Precautions (5.6)].

5.5 Chondrolysis With Intra Articular Infusion (5.5 Chondrolysis with Intra-Articular Infusion)

Intra-articular infusions of local anesthetics including SENSORCAINE following arthroscopic and other surgical procedures is an unapproved use, and there have been post-marketing reports of chondrolysis in patients receiving such infusions. The majority of reported cases of chondrolysis have involved the shoulder joint; cases of gleno-humeral chondrolysis have been described in pediatric and adult patients following intra-articular infusions of local anesthetics with and without epinephrine for periods of 48 to 72 hours. There is insufficient information to determine whether shorter infusion periods are associated with chondrolysis. The time of onset of symptoms, such as joint pain, stiffness and loss of motion can be variable, but may begin as early as the 2nd month after surgery. Currently, there is no effective treatment for chondrolysis; patients who experienced chondrolysis have required additional diagnostic and therapeutic procedures and some required arthroplasty or shoulder replacement.

2.1 Important Dosage and Administration Information
  • SENSORCAINE / SENSORCAINE WITH EPINEPHRINE is not for intrathecal use.
  • Avoid use of SENSORCAINE / SENSORCAINE WITH EPINEPHRINE solutions containing antimicrobial preservatives (i.e., multiple dose vials) for epidural or caudal anesthesia [see Warnings and Precautions (5.4)].
  • Discard unused portions of solution not containing preservatives, i.e., those supplied in single dose vials, following initial use.
  • Visually inspect this product for particulate matter and discoloration prior to administration whenever solution and container permit. SENSORCAINE are clear, colorless solutions. Do not administer solutions which are discolored or contain particulate matter. SENSORCAINE WITH EPINEPHRINE are clear, colorless to slightly yellow solutions. Do not administer solutions which are pinkish or darker than slightly yellow or contain particulate matter.
  • Mixing or the prior or intercurrent use of any other local anesthetic with SENSORCAINE / SENSORCAINE WITH EPINEPHRINE is not recommended because of insufficient data on the clinical use of such mixtures.
2.4 Test Dose for Caudal and Lumbar Epidural Blocks

Three mL of SENSORCAINE-MPF WITH EPINEPHRINE without antimicrobial preservative (0.5% bupivacaine with 1:200,000 epinephrine) is recommended for use as a test dose prior to caudal and lumbar epidural blocks when clinical conditions permit. This test dose may serve as a warning of unintended intravascular or intrathecal injection. Closely monitor for early clinical signs of toxicity following each test dose [see Warnings and Precautions (5.9)]. Allot adequate time for onset of spinal block to detect possible intrathecal injection. An intravascular or intrathecal injection is still possible even if results of the test dose are negative. The test dose itself may produce a systemic toxic reaction, high spinal, or cardiovascular effects from the epinephrine [see Warnings and Precautions (5.2, 5.9), Overdosage (10)].

5.4 Antimicrobial Preservatives in Multiple Dose Vials

Avoid use of SENSORCAINE/ SENSORCAINE WITH EPINEPHRINE solutions containing antimicrobial preservatives, i.e., those supplied in multiple dose vials, for epidural or caudal anesthesia because safety has not been established with such use.

5.10 Risk of Toxicity in Patients With Hepatic Impairment (5.10 Risk of Toxicity in Patients with Hepatic Impairment)

Because amide local anesthetics such as bupivacaine are metabolized by the liver, consider reduced dosing and increased monitoring for bupivacaine systemic toxicity in patients with moderate to severe hepatic impairment who are treated with SENSORCAINE/ SENSORCAINE WITH EPINEPHRINE, especially with repeat doses [see Use in Specific Populations (8.6)].

5.14 Risk of Adverse Reactions With Use in Head and Neck Area (5.14 Risk of Adverse Reactions with Use in Head and Neck Area)

Small doses of local anesthetics (e.g., SENSORCAINE) injected into the head and neck area, including retrobulbar, dental, and stellate ganglion blocks, may produce adverse reactions similar to systemic toxicity seen with unintentional intravascular injections of larger doses. The injection procedures require the utmost care.

Confusion, convulsions, respiratory depression, and/or respiratory arrest, and cardiovascular stimulation or depression have been reported. These reactions may be due to intra-arterial injection of the local anesthetic with retrograde flow to the cerebral circulation. They may also be due to puncture of the dural sheath of the optic nerve during retrobulbar block with diffusion of any local anesthetic along the subdural space to the midbrain. Monitor circulation and respiration and constantly observe patients receiving SENSORCAINE/ SENSORCAINE WITH EPINEPHRINE blocks. Resuscitative equipment and drugs, and personnel for treating adverse reactions should be immediately available. Dosage recommendations should not be exceeded [see Dosage and Administration (2.2)].

5.15 Risk of Respiratory Arrest With Use in Ophthalmic Surgery (5.15 Risk of Respiratory Arrest with Use in Ophthalmic Surgery)

Clinicians who perform retrobulbar blocks should be aware that there have been reports of respiratory arrest following local anesthetic injection. Prior to retrobulbar block (e.g., with SENSORCAINE-MPF/ SENSORCAINE-MPF WITH EPINEPHRINE), as with all other regional procedures, resuscitative equipment and drugs, and personnel to manage respiratory arrest or depression, convulsions, and cardiac stimulation or depression should be immediately available [see Warnings and Precautions (5.14)]. As with other anesthetic procedures, patients should be constantly monitored following ophthalmic blocks for signs of these adverse reactions, which may occur following relatively low total doses.

A concentration of 0.75% bupivacaine is indicated for retrobulbar block; however, this concentration is not indicated for any other peripheral nerve block, including the facial nerve, and not indicated for local infiltration, including the conjunctiva [see Indications and Usage (1)].

7.2 Monoamine Oxidase Inhibitors and Tricyclic Antidepressants

The administration of SENSORCAINE WITH EPINEPHRINE to patients receiving monoamine oxidase inhibitors, or tricyclic antidepressants may produce severe, prolonged hypertension. Concurrent use of these agents should generally be avoided. In situations when concurrent therapy is necessary, careful monitoring of the patient's hemodynamic status is essential [see Warnings and Precautions (5.6)].

5.11 Risk of Use in Patients With Impaired Cardiovascular Function (5.11 Risk of Use in Patients with Impaired Cardiovascular Function)

SENSORCAINE/ SENSORCAINE WITH EPINEPHRINE should be given in reduced doses in patients with impaired cardiovascular function (e.g., hypotension, heartblock) because they may be less able to compensate for functional changes associated with the prolongation of AV conduction produced by SENSORCAINE/ SENSORCAINE WITH EPINEPHRINE. Monitor patients closely for blood pressure, heart rate, and ECG changes.

5.8 Allergic Type Reactions to Sulfites in Sensorcaine With Epinephrine (5.8 Allergic-Type Reactions to Sulfites in SENSORCAINE WITH EPINEPHRINE)

SENSORCAINE WITH EPINEPHRINE contains sodium metabisulfite, a sulfite that may cause allergic-type reactions including anaphylactic symptoms and life-threatening or less severe asthmatic episodes in certain susceptible people. The overall prevalence of sulfite sensitivity in the general population is unknown and probably low. Sulfite sensitivity is seen more frequently in asthmatic than in nonasthmatic people. SENSORCAINE without epinephrine does not contain sodium metabisulfite.

5.1 Risk of Cardiac Arrest With Use of Sensorcaine in Obstetrical Anesthesia (5.1 Risk of Cardiac Arrest with Use of SENSORCAINE in Obstetrical Anesthesia)

There have been reports of cardiac arrest with difficult resuscitation or death during use of SENSORCAINE for epidural anesthesia in obstetrical patients. In most cases, this has followed use of the 0.75% (7.5 mg/mL) concentration. Resuscitation has been difficult or impossible despite apparently adequate preparation and appropriate management. Cardiac arrest has occurred after convulsions resulting from systemic toxicity, presumably following unintentional intravascular injection. The 0.75% (7.5 mg/mL) concentration of SENSORCAINE is not recommended for obstetrical anesthesia and should be reserved for surgical procedures where a high degree of muscle relaxation and prolonged effect are necessary.

5.12 Risk of Ischemic Injury Or Necrosis in Body Areas With Limited Blood Supply (5.12 Risk of Ischemic Injury or Necrosis in Body Areas with Limited Blood Supply)

Use SENSORCAINE WITH EPINEPHRINE in carefully restricted quantities in areas of the body supplied by end arteries or having otherwise compromised blood supply such as digits, nose, external ear, or penis. Patients with hypertensive vascular disease may exhibit exaggerated vasoconstrictor response. Ischemic injury or necrosis may result.

5.7 Risk of Cardiac Arrest With Intravenous Regional Anesthesia Use (bier Block) (5.7 Risk of Cardiac Arrest with Intravenous Regional Anesthesia Use (Bier Block))

There have been reports of cardiac arrest and death during the use of bupivacaine for intravenous regional anesthesia (Bier Block). Information on safe dosages and techniques of administration of Sensorcaine in this procedure is lacking. Therefore, SENSORCAINE/ SENSORCAINE WITH EPINEPHRINE is contraindicated for use with this technique [see Contraindications (4)].

Warning: Risk of Cardiac Arrest With Use of Sensorcaine in Obstetrical Anesthesia (WARNING: RISK OF CARDIAC ARREST WITH USE OF SENSORCAINE IN OBSTETRICAL ANESTHESIA)

There have been reports of cardiac arrest with difficult resuscitation or death during use of SENSORCAINE for epidural anesthesia in obstetrical patients. In most cases, this has followed use of the 0.75% (7.5 mg/mL) concentration. Resuscitation has been difficult or impossible despite apparently adequate preparation and appropriate management.

Cardiac arrest has occurred after convulsions resulting from systemic toxicity, presumably following unintentional intravascular injection. The 0.75% (7.5 mg/mL) concentration of SENSORCAINE is not recommended for obstetrical anesthesia and should be reserved for surgical procedures where a high degree of muscle relaxation and prolonged effect are necessary [see Warnings and Precautions (5.1)].

5.13 Risk of Cardiac Arrhythmias With Concomitant Use of Potent Inhalation Anesthetics (5.13 Risk of Cardiac Arrhythmias with Concomitant Use of Potent Inhalation Anesthetics)

Serious dose-related cardiac arrhythmias may occur if preparations containing a vasoconstrictor such as epinephrine (e.g., SENSORCAINE WITH EPINEPHRINE) are used in patients during or following the administration of potent inhalation anesthetics [see Drug Interactions (7.6)]. In deciding whether to concurrently use SENSORCAINE WITH EPINEPHRINE with potent inhalation anesthetics in the same patient, the combined action of both agents upon the myocardium, the concentration and volume of vasoconstrictor used, and the time since injection, when applicable, should be taken into account.

5.9 Risk of Systemic Toxicities With Unintended Intravascular Or Intrathecal Injection (5.9 Risk of Systemic Toxicities with Unintended Intravascular or Intrathecal Injection)

Unintended intravascular or intrathecal injection of SENSORCAINE/ SENSORCAINE WITH EPINEPHRINE may be associated with systemic toxicities, including CNS or cardiorespiratory depression and coma, progressing ultimately to respiratory arrest. Unintentional intrathecal injection during the intended performance of caudal or lumbar epidural block or nerve blocks near the vertebral column has resulted in underventilation or apnea (“Total or High Spinal”). A high spinal has been characterized by paralysis of the legs, loss of consciousness, respiratory paralysis, and bradycardia [see Adverse Reactions (6)].

Aspirate for blood or cerebrospinal fluid (where applicable) before injecting SENSORCAINE/ SENSORCAINE WITH EPINEPHRINE, both the initial dose and all subsequent doses, to avoid intravascular or intrathecal injection. However, a negative aspiration for blood or cerebrospinal fluid does not ensure against an intravascular or intrathecal injection.

2.2 Recommended Concentrations and Dosages of Sensorcaine/ Sensorcaine With Epinephrine (2.2 Recommended Concentrations and Dosages of SENSORCAINE/ SENSORCAINE WITH EPINEPHRINE)

The dosage of SENSORCAINE / SENSORCAINE WITH EPINEPHRINE administered varies with the anesthetic procedure, the area to be anesthetized, the vascularity of the tissues, the number of neuronal segments to be blocked, the depth of anesthesia and degree of muscle relaxation required, the duration of anesthesia desired, individual tolerance, and the physical condition of the patient. Administer the smallest dosage and concentration required to produce the desired result.

The types of block and recommended SENSORCAINE / SENSORCAINE WITH EPINEPHRINE concentrations are shown in Table 1

Table 1. Types of Block and Recommended SENSORCAINE/ SENSORCAINE WITH EPINEPHRINE Concentrations

* SENSORCAINE 0.75% (7.5 mg/mL) is not recommended for nonobstetrical surgical procedures in pregnant patients.

** Avoid use of multiple dose vials of SENSORCAINE / SENSORCAINE WITH EPINEPHRINE for caudal or epidural anesthesia [see Warnings and Precautions (5.4)].

✓= indicated use [see Warnings and Precautions (5.1)].

SENSORCAINE-MPF SENSORCAINE-MPF WITH EPINEPHRINE (1:200,000) SENSORCAINE SENSORCAINE WITH EPINEPHRINE (1:200,000)
Type of Block 0.25% 0.50% 0.75%* 0.25% 0.50% 0.75%* 0.25% 0.50% 0.25% 0.50%
(2.5 mg/mL) (5 mg/ml) (7.5 mg per mL) (2.5 mg/mL) (5 mg/mL) (7.5 mg /mL) (2.5 mg/mL) (5 mg/mL) (2.5 mg/mL) (5 mg/mL)
Local infiltration
Peripheral nerve block
Retrobulbar block
Sympathetic block
Caudal block**
Lumbar epidural block**

(Not for obstetrical anesthesia.)
✓ (Not for obstetrical anesthesia.)
Epidural test dose**
Dental block

At recommended dosages, SENSORCAINE / SENSORCAINE WITH EPINEPHRINE produces complete sensory block, but the effect on motor function differs among the three concentrations. Table 2 provides information on the expected effect on motor function for the three concentrations.

Table 2. SENSORCAINE / SENSORCAINE WITH EPINEPHRINE Concentration vs. Motor Function

* These products include SENSORCAINE / SENSORCAINE WITH EPINEPHRINE [the epinephrine concentration (1:200,000) is not included in the table].

Sensorcaine

Concentration


Motor Function


0.25%

(2.5 mg/mL)*
When used for caudal, epidural, or peripheral nerve block, produces incomplete motor block. Should be used for operations in which muscle relaxation is not important, or when another means of providing muscle relaxation is used concurrently. Onset of action may be slower than with the 0.5% (5 mg/mL) or 0.75% (7.5 mg/mL) solutions.
0.5%

(5 mg/mL)*
Provides motor blockade for caudal, epidural, or nerve block, but muscle relaxation may be inadequate for operations in which complete muscle relaxation is essential.
0.75%

(7.5 mg/mL)*
Produces complete motor block. Most useful for epidural block in abdominal operations requiring complete muscle relaxation, and for retrobulbar anesthesia. Not for obstetrical anesthesia.

The duration of anesthesia with SENSORCAINE / SENSORCAINE WITH EPINEPHRINE is such that for most indications, a single dose is sufficient.

The maximum dosage limit within the recommended dosage range must be individualized in each case after evaluating the size and physical status of the patient, as well as the anticipated rate of systemic absorption from a particular injection site.

The dosages in Table 3 are recommended as a guide for use in the average adult. These doses may be repeated once every three hours. Do not exceed a total daily dosage of 400 mg in 24 hours. The duration of anesthetic effect may be prolonged by the addition of epinephrine.

Table 3. Recommended Concentrations and Doses of SENSORCAINE / SENSORCAINE WITH EPINEPHRINE in Adults

a. With continuous (intermittent) techniques, repeat doses increase the degree of motor block. The first repeat dose of 0.5% (5 mg/mL) may produce complete motor block. Intercostal nerve block with 0.25% (2.5 mg/mL) also may produce complete motor block for intra-thoracic and upper intra-abdominal surgery.

b. Solutions with or without epinephrine. The SENSORCAINE WITH EPINEPHRINE products include epinephrine (1:200,000).

c. For single dose use; not for intermittent epidural technique. Not for obstetrical anesthesia.

Type of Block Concentration of SENSORCAINE Each Dose Motor Block a
mL mg of SENSORCAINE
Local infiltration 0.25%

(2.5 mg/mL) b
Up to 70

(without epinephrine)
Up to 175

(without epinephrine)
Up to 90

(with epinephrine)
Up to 225

(with epinephrine)
Peripheral nerve block 0.5%

(5 mg/mL) b
5-35

(without epinephrine)
25-175

(without epinephrine)
moderate to complete
5-45

(with epinephrine)
25-225

(with epinephrine)
0.25%

(2.5 mg/mL) b
5-70

(without epinephrine)
12.5-175

(without epinephrine)
moderate to complete
5-90

(with epinephrine)
12.5-225

(with epinephrine)
   Retrobulbar block

[see Dosage and Administration (2.6)]
0.75%

(7.5 mg/mL) b
2-4 15-30 complete
Sympathetic block 0.25%

(2.5 mg/mL)
20-50 50-125
   Caudal block

[see Dosage and Administration (2.4)]
0.5%

(5 mg/mL) b
15-30 75-150 moderate to complete
0.25%

(2.5 mg/mL) b
15-30 37.5-75 moderate
   Lumbar epidural block

[see Dosage and Administration (2.3)]
0.75%

(7.5 mg/mL) c
10-20 75-150 complete
0.5%

(5 mg/mL) b
10-20 50-100 moderate to complete
0.25%

(2.5 mg/mL) b
10-20 25-50 partial to moderate
   Epidural test dose

[see Dosage and Administration (2.4)]
0.5%

(5 mg/mL)
2-3 10-15

(10-15 micrograms epinephrine)
   Dental

[see Dosage and Administration (2.5)]
0.5% (5 mg/mL) with epinephrine 1.8-3.6

per site
9-18

per site
5.16 Risk of Inadvertent Trauma to Tongue, Lips, and Buccal Mucosa in Dental Applications

Because of the long duration of anesthesia, when SENSORCAINE WITH EPINEPHRINE [0.5% (5 mg/mL) of bupivacaine] is used for dental injections, warn patients about the possibility of inadvertent trauma to tongue, lips, and buccal mucosa and advise them not to chew solid foods until sensation returns [see Patient Counseling Information (17)].


Advanced Ingredient Data


Raw Label Data

All Sections (JSON)