Demeclocycline Hydrochloride Tablets, Usp

Demeclocycline Hydrochloride Tablets, Usp
SPL v4
SPL
SPL Set ID e6adaf70-5ff9-4395-bff1-0f332090cb80
Route
ORAL
Published
Effective Date 2022-06-27
Document Type 34391-3 HUMAN PRESCRIPTION DRUG LABEL

Drug Facts

Composition & Product

Active Ingredients
Demeclocycline (150 mg)
Inactive Ingredients
Alginic Acid Starch, Corn Ethylcellulose, Unspecified Fd&c Red No. 40 Hypromellose, Unspecified Magnesium Stearate Microcrystalline Cellulose Polyethylene Glycol, Unspecified Polyvinyl Alcohol, Unspecified Sodium Lauryl Sulfate Talc Titanium Dioxide D&c Red No. 27

Identifiers & Packaging

Pill Appearance
Imprint: AN;55 Shape: round Color: red Size: 9 mm Size: 20 mm Score: 1
Marketing Status
ANDA Active Since 2023-01-19

Description

To reduce the development of drug-resistant bacteria and maintain the effectiveness of demeclocycline hydrochloride tablets and other antibacterial drugs, demeclocycline hydrochloride tablets should be used only to treat or prevent infections that are proven or strongly suspected to be caused by bacteria.

Indications and Usage

Demeclocycline hydrochloride tablets are indicated in the treatment of infections caused by susceptible strains of the designated microorganisms in the conditions below: Rocky Mountain spotted fever, typhus fever and the typhus group, Q fever, rickettsialpox and tick fevers caused by rickettsiae; Respiratory tract infections caused by Mycoplasma pneumoniae Lymphogranuloma venereum due to Chlamydia trachomatis Psittacosis (Ornithosis) due to Chlamydia psittaci Trachoma due to Chlamydia trachomatis , although the infectious agent is not always eliminated as judged by immunofluorescence Inclusion conjunctivitis caused by Chlamydia trachomatis Nongonococcal urethritis in adults caused by Ureaplasma urealyticum or Chlamydia trachomatis Relapsing fever due to Borrelia recurrentis Chancroid caused by Haemophilus ducreyi Plague due to Yersinia pestis Tularemia due to Francisella tularensis Cholera caused by Vibrio cholerae Campylobacter fetus infections cause by Campylobacter fetus Brucellosis due to Brucella species (in conjunction with streptomycin); Bartonellosis due to Bartonella bacilliformis Granuloma inguinale caused by Calymmatobacterium granulomatis Demeclocycline hydrochloride tablets are indicated for treatment of infections by the following gram-negative microorganisms, when bacteriologic testing indicates appropriate susceptibility to the drug: Escherichia coli Enterobacter aerogenes Shigella species Acinetobacter species Respiratory tract infections caused by Haemophilus influenzae Respiratory tract and urinary tract infections caused by Klebsiella species Demeclocycline hydrochloride tablets are indicated for treatment of infections caused by the following gram-positive microorganisms, when bacteriologic testing indicates appropriate susceptibility to the drug: Upper respiratory infections caused by Streptococcus pneumoniae Skin and skin structure infections caused by Staphylococcus aureus . (Note: Tetracyclines, including demeclocycline, are not the drugs of choice in the treatment of any type of staphylococcal infection). When penicillin is contraindicated, tetracyclines, including demeclocycline hydrochloride, are alternative drugs in the treatment of the following infections: Uncomplicated urethritis in men due to Neisseria gonorrhoeae , and for the treatment of other uncomplicated gonococcal infections Infections in women caused by Neisseria gonorrhoeae Syphilis caused by Treponema pallidum subspecies pallidum Yaws caused by Treponema pallidum subspecies pertenue Listeriosis due to Listeria monocytogenes Anthrax due to Bacillus anthracis Vincent’s infection caused by Fusobacterium fusiforme Actinomycosis caused by Actinomyces israelii Clostridial diseases caused by Clostridium species In acute intestinal amebiasis, demeclocycline hydrochloride may be a useful adjunct to amebicides. In severe acne, demeclocycline hydrochloride may be a useful adjunctive therapy. To reduce the development of drug-resistant bacteria and maintain the effectiveness of demeclocycline hydrochloride tablets and other antibacterial drugs, demeclocycline hydrochloride tablets should be used only to treat or prevent infections that are proven or strongly suspected to be caused by susceptible bacteria. When culture and susceptibility information are available they should be considered in selecting or modifying antibacterial therapy. In the absence of such data, local epidemiology and susceptibility patterns may contribute to the empiric selection of therapy.

Dosage and Administration

Therapy should be continued for at least 24 to 48 hours after symptoms and fever have subsided. Concomitant therapy: Absorption of tetracyclines is impaired by antacids containing aluminum, calcium, or magnesium and by iron-containing preparations. Foods and some dairy products also interfere with absorption. Oral forms of tetracycline should be given at least 1 hour before or 2 hours after meals. In patients with renal impairment: (see WARNINGS ). Tetracyclines should be used cautiously in patients with impaired renal function. Total dosage should be decreased by reduction of recommended individual doses and/or by extending time intervals between doses. In patients with liver impairment: Tetracyclines should be used cautiously in patients with impaired liver function. Total dosage should be decreased by reduction of recommended individual doses and/or by extending time intervals between doses. Administration of adequate amounts of fluid with the oral formulations of tetracyclines is recommended to wash down the drugs and reduce the risk of esophageal irritation and ulceration (see ADVERSE REACTIONS ). Adults: Usual daily dose – Four divided doses of 150 mg each or two divided doses of 300 mg each. For pediatric patients above eight years of age: Usual daily dose, 7 mg/kg to 13 mg/kg body weight/day, depending upon the severity of the disease, divided into two to four doses not to exceed adult dosage of 600 mg/day. Gonorrhea patients sensitive to penicillin may be treated with demeclocycline administered as an initial oral dose of 600 mg followed by 300 mg every 12 hours for four days to a total of 3 grams.

Contraindications

This drug is contraindicated in persons who have shown hypersensitivity to any of the tetracyclines or any of the components of the product formulation.

Adverse Reactions

The following reactions have been reported in patients receiving tetracyclines: Gastrointestinal: Anorexia, nausea, vomiting, diarrhea, glossitis, dysphagia, enterocolitis, pancreatitis and inflammatory lesions (with monilial overgrowth) in the anogenital region, increases in liver enzymes, and hepatic toxicity has been reported rarely. Rarely, hepatitis and liver failure have been reported. These reactions have been caused by both the oral and parenteral administration of tetracyclines. Instances of esophageal ulcerations have been reported in patients receiving oral tetracyclines. Most of the patients were reported to have taken the medication immediately before lying down (see DOSAGE AND ADMINISTRATION ). Skin: Maculopapular and erythematous rashes, erythema multiforme. Exfoliative dermatitis has been reported but is uncommon. Fixed drug eruptions and Stevens-Johnson syndrome have been reported rarely. Lesions occurring on the glans penis have caused balanitis. Pigmentation of the skin and mucous membranes has also been reported. Photosensitivity is discussed above (see WARNINGS ). Renal toxicity: Acute renal failure, rise in BUN has been reported and is apparently dose related, nephrogenic diabetes insipidus (see WARNINGS ). Hypersensitivity reactions: Urticaria, angioneurotic edema, polyarthralgia, anaphylaxis, anaphylactoid purpura, pericarditis exacerbation of systemic lupus erythematosus, lupus-like syndrome, pulmonary infiltrates with eosinophilia. Hematologic: Hemolytic anemia, thrombocytopenia, neutropenia and eosinophilia have been reported. CNS: Pseudotumor cerebri (benign intracranial hypertension) in adults and bulging fontanels in infants (see PRECAUTIONS – General ). Dizziness, headache, tinnitus and visual disturbances have been reported. Myasthenic syndrome has been reported rarely. Other: When given over prolonged periods, tetracyclines have been reported to produce brown-black microscopic discoloration of thyroid glands. No abnormalities of thyroid function studies are known to occur. Very rare cases of abnormal thyroid function have been reported. Tooth discoloration has occurred in pediatric patients less than 8 years of age (see WARNINGS ), and has been reported rarely in adults. To report SUSPECTED ADVERSE REACTIONS, contact Amneal Pharmaceuticals at 1-877-835-5472 or FDA at 1-800-FDA-1088 or www.fda.gov/medwatch .

Drug Interactions

Because tetracyclines have shown to depress plasma prothrombin activity, patients who are on anticoagulant therapy may require downward adjustment of their anticoagulant dosage. Since bacteriostatic drugs may interfere with the bactericidal action of penicillins, it is advisable to avoid giving tetracycline-class drugs in conjunction with penicillin. Concurrent use of tetracyclines with oral contraceptives may render oral contraceptives less effective. The concurrent use of tetracyclines and methoxyflurane has been reported to result in fatal renal toxicity. Absorption of tetracyclines is impaired by antacids containing aluminum, calcium or magnesium and by iron-containing preparations.

How Supplied

Demeclocycline Hydrochloride Tablets USP, 150 mg, are supplied as red, round, convex, film-coated tablet debossed with “AN” above “54” on one side and plain on the other side. They are available as follows: Unit dose packages of 100 (10 x 10) NDC 60687-691-01 Demeclocycline Hydrochloride Tablets USP, 300 mg, are supplied as red, round convex film-coated tablet debossed with “AN” above “55” on one side and plain on the other side. They are available as follows: Unit dose packages of 50 (5 x 10) NDC 60687-705-65 Store at 20° to 25°C (68° to 77°F) [see USP Controlled Room Temperature]. Protect from light. FOR YOUR PROTECTION: Do not use if blister is torn or broken. KEEP THIS AND ALL DRUGS OUT OF THE REACH OF CHILDREN.


Medication Information

Indications and Usage

Demeclocycline hydrochloride tablets are indicated in the treatment of infections caused by susceptible strains of the designated microorganisms in the conditions below:

Rocky Mountain spotted fever, typhus fever and the typhus group, Q fever, rickettsialpox and tick fevers caused by rickettsiae;

Respiratory tract infections caused by Mycoplasma pneumoniae

Lymphogranuloma venereum due to Chlamydia trachomatis

Psittacosis (Ornithosis) due to Chlamydia psittaci

Trachoma due to Chlamydia trachomatis, although the infectious agent is not always eliminated as judged by immunofluorescence

Inclusion conjunctivitis caused by Chlamydia trachomatis

Nongonococcal urethritis in adults caused by Ureaplasma urealyticum or Chlamydia trachomatis

Relapsing fever due to Borrelia recurrentis

Chancroid caused by Haemophilus ducreyi

Plague due to Yersinia pestis

Tularemia due to Francisella tularensis

Cholera caused by Vibrio cholerae

Campylobacter fetus infections cause by Campylobacter fetus

Brucellosis due to Brucella species (in conjunction with streptomycin);

Bartonellosis due to Bartonella bacilliformis

Granuloma inguinale caused by Calymmatobacterium granulomatis

Demeclocycline hydrochloride tablets are indicated for treatment of infections by the following gram-negative microorganisms, when bacteriologic testing indicates appropriate susceptibility to the drug:

Escherichia coli

Enterobacter aerogenes

Shigella species

Acinetobacter species

Respiratory tract infections caused by Haemophilus influenzae

Respiratory tract and urinary tract infections caused by Klebsiella species

Demeclocycline hydrochloride tablets are indicated for treatment of infections caused by the following gram-positive microorganisms, when bacteriologic testing indicates appropriate susceptibility to the drug:

Upper respiratory infections caused by Streptococcus pneumoniae

Skin and skin structure infections caused by Staphylococcus aureus. (Note: Tetracyclines, including demeclocycline, are not the drugs of choice in the treatment of any type of staphylococcal infection).

When penicillin is contraindicated, tetracyclines, including demeclocycline hydrochloride, are alternative drugs in the treatment of the following infections:

Uncomplicated urethritis in men due to Neisseria gonorrhoeae, and for the treatment of other uncomplicated gonococcal infections

Infections in women caused by Neisseria gonorrhoeae

Syphilis caused by Treponema pallidum subspecies pallidum

Yaws caused by Treponema pallidum subspecies pertenue

Listeriosis due to Listeria monocytogenes

Anthrax due to Bacillus anthracis

Vincent’s infection caused by Fusobacterium fusiforme

Actinomycosis caused by Actinomyces israelii

Clostridial diseases caused by Clostridium species

In acute intestinal amebiasis, demeclocycline hydrochloride may be a useful adjunct to amebicides.

In severe acne, demeclocycline hydrochloride may be a useful adjunctive therapy.

To reduce the development of drug-resistant bacteria and maintain the effectiveness of demeclocycline hydrochloride tablets and other antibacterial drugs, demeclocycline hydrochloride tablets should be used only to treat or prevent infections that are proven or strongly suspected to be caused by susceptible bacteria. When culture and susceptibility information are available they should be considered in selecting or modifying antibacterial therapy. In the absence of such data, local epidemiology and susceptibility patterns may contribute to the empiric selection of therapy.

Dosage and Administration

Therapy should be continued for at least 24 to 48 hours after symptoms and fever have subsided.

Concomitant therapy: Absorption of tetracyclines is impaired by antacids containing aluminum, calcium, or magnesium and by iron-containing preparations. Foods and some dairy products also interfere with absorption. Oral forms of tetracycline should be given at least 1 hour before or 2 hours after meals.

In patients with renal impairment: (see WARNINGS ). Tetracyclines should be used cautiously in patients with impaired renal function. Total dosage should be decreased by reduction of recommended individual doses and/or by extending time intervals between doses.

In patients with liver impairment: Tetracyclines should be used cautiously in patients with impaired liver function. Total dosage should be decreased by reduction of recommended individual doses and/or by extending time intervals between doses. Administration of adequate amounts of fluid with the oral formulations of tetracyclines is recommended to wash down the drugs and reduce the risk of esophageal irritation and ulceration (see ADVERSE REACTIONS ).

Adults: Usual daily dose – Four divided doses of 150 mg each or two divided doses of 300 mg each.

For pediatric patients above eight years of age: Usual daily dose, 7 mg/kg to 13 mg/kg body weight/day, depending upon the severity of the disease, divided into two to four doses not to exceed adult dosage of 600 mg/day.

Gonorrhea patients sensitive to penicillin may be treated with demeclocycline administered as an initial oral dose of 600 mg followed by 300 mg every 12 hours for four days to a total of 3 grams.

Contraindications

This drug is contraindicated in persons who have shown hypersensitivity to any of the tetracyclines or any of the components of the product formulation.

Adverse Reactions

The following reactions have been reported in patients receiving tetracyclines:

Gastrointestinal: Anorexia, nausea, vomiting, diarrhea, glossitis, dysphagia, enterocolitis, pancreatitis and inflammatory lesions (with monilial overgrowth) in the anogenital region, increases in liver enzymes, and hepatic toxicity has been reported rarely.

Rarely, hepatitis and liver failure have been reported. These reactions have been caused by both the oral and parenteral administration of tetracyclines.

Instances of esophageal ulcerations have been reported in patients receiving oral tetracyclines. Most of the patients were reported to have taken the medication immediately before lying down (see DOSAGE AND ADMINISTRATION ).

Skin: Maculopapular and erythematous rashes, erythema multiforme. Exfoliative dermatitis has been reported but is uncommon. Fixed drug eruptions and Stevens-Johnson syndrome have been reported rarely. Lesions occurring on the glans penis have caused balanitis. Pigmentation of the skin and mucous membranes has also been reported. Photosensitivity is discussed above (see WARNINGS ).

Renal toxicity: Acute renal failure, rise in BUN has been reported and is apparently dose related, nephrogenic diabetes insipidus (see WARNINGS ).

Hypersensitivity reactions: Urticaria, angioneurotic edema, polyarthralgia, anaphylaxis, anaphylactoid purpura, pericarditis exacerbation of systemic lupus erythematosus, lupus-like syndrome, pulmonary infiltrates with eosinophilia.

Hematologic: Hemolytic anemia, thrombocytopenia, neutropenia and eosinophilia have been reported.

CNS: Pseudotumor cerebri (benign intracranial hypertension) in adults and bulging fontanels in infants (see PRECAUTIONS – General ). Dizziness, headache, tinnitus and visual disturbances have been reported. Myasthenic syndrome has been reported rarely.

Other: When given over prolonged periods, tetracyclines have been reported to produce brown-black microscopic discoloration of thyroid glands. No abnormalities of thyroid function studies are known to occur. Very rare cases of abnormal thyroid function have been reported.

Tooth discoloration has occurred in pediatric patients less than 8 years of age (see WARNINGS ), and has been reported rarely in adults.

To report SUSPECTED ADVERSE REACTIONS, contact Amneal Pharmaceuticals at 1-877-835-5472 or FDA at 1-800-FDA-1088 or www.fda.gov/medwatch.

Drug Interactions

Because tetracyclines have shown to depress plasma prothrombin activity, patients who are on anticoagulant therapy may require downward adjustment of their anticoagulant dosage. Since bacteriostatic drugs may interfere with the bactericidal action of penicillins, it is advisable to avoid giving tetracycline-class drugs in conjunction with penicillin.

Concurrent use of tetracyclines with oral contraceptives may render oral contraceptives less effective.

The concurrent use of tetracyclines and methoxyflurane has been reported to result in fatal renal toxicity.

Absorption of tetracyclines is impaired by antacids containing aluminum, calcium or magnesium and by iron-containing preparations.

How Supplied

Demeclocycline Hydrochloride Tablets USP, 150 mg, are supplied as red, round, convex, film-coated tablet debossed with “AN” above “54” on one side and plain on the other side.

They are available as follows:

Unit dose packages of 100 (10 x 10) NDC 60687-691-01

Demeclocycline Hydrochloride Tablets USP, 300 mg, are supplied as red, round convex film-coated tablet debossed with “AN” above “55” on one side and plain on the other side.

They are available as follows:

Unit dose packages of 50 (5 x 10) NDC 60687-705-65

Store at 20° to 25°C (68° to 77°F) [see USP Controlled Room Temperature].

Protect from light.

FOR YOUR PROTECTION: Do not use if blister is torn or broken.

KEEP THIS AND ALL DRUGS OUT OF THE REACH OF CHILDREN.

Description

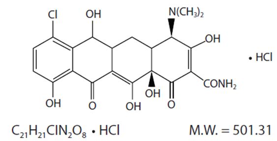
Demeclocycline hydrochloride is an antibiotic isolated from a mutant strain of Streptomyces aureofaciens. Chemically it is 7-Chloro-4-(dimethylamino)-1,4,4a,5,5a,6,11,12a-octahydro-3,6,10,12,12a-pentahydroxy-1,11-dioxo-2-naphthacenecarboxamide monohydrochloride.

Its structural formula is:

Demeclocycline hydrochloride tablets, USP, for oral administration, contain 150 mg or 300 mg of demeclocycline hydrochloride, USP and the following inactive ingredients: alginic acid, corn starch, ethylcellulose, FD&C Red 40 aluminum lake, hypromellose, magnesium stearate, microcrystalline cellulose, polyethylene glycol, polyvinyl alcohol, sodium lauryl sulfate, talc and titanium dioxide. In addition, the 150 mg tablet contains D&C Red 27 aluminum lake.

Section 42229-5

To reduce the development of drug-resistant bacteria and maintain the effectiveness of demeclocycline hydrochloride tablets and other antibacterial drugs, demeclocycline hydrochloride tablets should be used only to treat or prevent infections that are proven or strongly suspected to be caused by bacteria.

General

Pseudotumor cerebri (benign intracranial hypertension) in adults has been associated with the use of tetracyclines. The usual clinical manifestations are headache and blurred vision. Bulging fontanels have been associated with the use of tetracyclines in infants. While both of these conditions and related symptoms usually resolve soon after discontinuation of the tetracycline, the possibility for permanent sequelae exists.

As with other antibiotic preparations, use of this drug may result in overgrowth of nonsusceptible organisms, including fungi. If superinfection occurs, the antibiotic should be discontinued and appropriate therapy should be instituted. Incision and drainage or other surgical procedures should be performed in conjunction with antibiotic therapy, when indicated. Prescribing demeclocycline hydrochloride tablets in the absence of a proven or strongly suspected bacterial infection or a prophylactic indication is unlikely to provide benefit to the patient and increases the risk of the development of drug-resistant bacteria.

Warnings

DEMECLOCYCLINE HYDROCHLORIDE, LIKE OTHER TETRACYCLINE-CLASS ANTIBIOTICS, CAN CAUSE FETAL HARM WHEN ADMINISTERED TO A PREGNANT WOMAN. IF ANY TETRACYCLINE IS USED DURING PREGNANCY, OR IF THE PATIENT BECOMES PREGNANT WHILE TAKING THESE DRUGS, THE PATIENT SHOULD BE APPRISED OF THE POTENTIAL HAZARD TO THE FETUS.

THE USE OF DRUGS OF THE TETRACYCLINE CLASS DURING TOOTH DEVELOPMENT (LAST HALF OF PREGNANCY INFANCY AND CHILDHOOD TO THE AGE OF 8 YEARS) MAY CAUSE PERMANENT DISCOLORATION OF THE TEETH (YELLOW-GRAY-BROWN). This adverse reaction is more common during long-term use of the drugs but has been observed following repeated short-term courses. Enamel hypoplasia has also been reported. TETRACYCLINE DRUGS, THEREFORE, SHOULD NOT BE USED DURING TOOTH DEVELOPMENT UNLESS OTHER DRUGS ARE NOT LIKELY TO BE EFFECTIVE OR ARE CONTRAINDICATED.

All tetracyclines form a stable calcium complex in any bone-forming tissue. A decrease in fibula growth rate has been observed in premature human infants given oral tetracycline in doses of 25 mg/kg/ every six hours. This reaction was shown to be reversible when the drug was discontinued.

Results of animal studies indicate that tetracyclines cross the placenta, are found in fetal tissues, and can have toxic effects on the developing fetus (often related to retardation of skeletal development). Evidence of embryotoxicity has also been noted in animals treated early in pregnancy. The anti-anabolic action of the tetracyclines may cause an increase in BUN. While this is not a problem in those with normal renal function, in patients with significantly impaired function, higher serum levels of tetracycline may lead to azotemia, hyperphosphatemia and acidosis. If renal impairment exists, even usual oral or parenteral doses may lead to excessive systemic accumulation of the drug and possible liver toxicity. Under such conditions, lower than usual total doses are indicated and, if therapy is prolonged, serum level determinations of the drug may be advisable.

Photosensitivity manifested by an exaggerated sunburn reaction has been observed in some individuals taking tetracyclines. Phototoxic reactions can occur in individuals taking demeclocycline, and are characterized by severe burns or exposed surfaces resulting from direct exposure of patients to sunlight during therapy with moderate or large doses of demeclocycline. Patients apt to be exposed to direct sunlight or ultraviolet light should be advised that this reaction can occur and treatment should be discontinued at the first evidence of erythema of the skin.

Administration of demeclocycline hydrochloride has resulted in appearance of the diabetes insipidus syndrome (polyuria, polydipsia and weakness) in some patients on long-term therapy. The syndrome has been shown to be nephrogenic, dose-dependent and reversible on discontinuance of therapy. Patients, who are experiencing central nervous system symptoms associated with demeclocycline therapy, should be cautioned about driving vehicles or using hazardous machinery while on demeclocycline therapy.

Clostridium difficile associated with diarrhea (CDAD) has been reported with use of nearly all antibacterial agents, including demeclocycline hydrochloride and may range in severity from mild diarrhea to fatal colitis. Treatment with antibacterial agents alters the normal flora of the colon leading to overgrowth of C. difficile.

C. difficile produces toxins A and B which contribute to the development of CDAD. Hypertoxin producing strains of C. difficile cause increased morbidity and mortality, as these infections can be refractory to antimicrobial therapy and may require colectomy. CDAD must be considered in all patients who present with diarrhea following antibiotic use. Careful medical history is necessary since CDAD has been reported to occur over two months after the administration of antibacterial agents.

If CDAD is suspected or confirmed, ongoing antibiotic use not directed against C. difficile may need to discontinue. Appropriate fluid and electrolyte management, protein supplementation, antibiotic treatment of C. difficile, and surgical evaluation should be instituted as clinically indicated.

Pregnancy

Teratogenic effects

Pregnancy Category D

(See WARNINGS ). Result of animal studies indicate that tetracyclines cross the placenta, are found in fetal tissues, and can have toxic effects on the developing fetus (often related to retardation of skeletal development). Evidence of embryotoxicity has been noted in animals treated early in pregnancy.

Nonteratogenic effects

(See WARNINGS )

Overdosage

In case of overdosage, discontinue medication, treat symptomatically and institute supportive measures. Tetracyclines are not removed in significant quantities by hemodialysis or peritoneal dialysis.

Pediatric Use

Not for use in patients younger than eight years of age [see WARNINGS, PRECAUTIONS ( General subsection) and DOSAGE AND ADMINISTRATION].

Nursing Mothers

Tetracyclines are excreted in human milk. Because of the potential for serious adverse reactions in nursing infants from the tetracyclines, a decision should be made whether to discontinue nursing or discontinue the drug, taking into account the importance of the drug to the mother (see WARNINGS ).

Laboratory Tests

In venereal diseases when coexistent syphilis is suspected, darkfield examination should be done before treatment is started and the blood serology repeated monthly for at least 4 months. In long-term therapy, periodic laboratory evaluation of organ systems, including hematopoietic, renal and hepatic, should be performed. All patients with gonorrhea should have a serologic test for syphilis at the time of diagnosis. Patients treated with demeclocycline hydrochloride should have a follow-up serologic test for syphilis after 3 months.

Labor and Delivery

The effect of tetracyclines on labor and delivery is unknown.

Clinical Pharmacology

Pharmacokinetics

The absorption of demeclocycline is slower than that of tetracycline. The time to reach the peak concentration is about 4 hours. After a 150 mg oral dose of demeclocycline tablet, the mean concentrations at 1 hour and 3 hours are 0.46 mcg/mL and 1.22 mcg/mL (n=6) respectively. The serum half-life ranges between 10 and 16 hours. When demeclocycline hydrochloride is given concomitantly with some dairy products, or antacids containing aluminum, calcium, or magnesium, the extent of absorption is reduced by more than 50%. Demeclocycline hydrochloride penetrates well into various body fluids and tissues. The percent of demeclocycline hydrochloride bound to plasma protein is about 40% using a dialysis equilibrium method and 90% using an ultra-filtration method. Demeclocycline hydrochloride, like other tetracyclines, is concentrated in the liver and excreted into the bile where it is found in much higher concentrations than in the blood. The rate of demeclocycline hydrochloride renal clearance (35 mL/min/1.73 m 2) is less than half that of tetracycline. Following a single 150 mg dose of demeclocycline hydrochloride in normal volunteers, 44% (n=8) was excreted in urine and 13% and 46%, respectively, were excreted in feces in two patients within 96 hours as active drug.

Microbiology

Mechanism of Action

The tetracyclines are primarily bacteriostatic and are thought to exert their antimicrobial effect by the inhibition of protein synthesis. The tetracyclines, including demeclocycline have a similar antimicrobial spectrum of activity against a wide range of gram-negative and gram-positive organisms.

Mechanism(s) of Resistance

Resistance to tetracyclines may be mediated by efflux, alteration in the target site of tetracycline, enzymatic inactivation, and decreased bacterial permeability to the tetracycline or a combination of these mechanisms.

Cross Resistance

Cross-resistance between antibiotics of the tetracycline family occurs.

Demeclocycline has been shown to be active against most isolates of the following bacteria, in vitro and/or in clinical infections as described in the INDICATIONS AND USAGE section.

Gram-positive bacteria

Bacillus anthracis

Listeria monocytogenes

Staphylococcus aureus

Streptococcus pneumoniae

Gram-negative bacteria

Bartonella bacilliformis

Brucella species

Calymmatobacterium granulomatis

Campylobacter fetus

Francisella tularensis

Haemophilus ducreyi

Haemophilus influenzae

Neisseria gonorrhoeae

Vibrio cholerae

Yersinia pestis

Because isolates of the following groups of gram-negative bacteria have been shown to be resistant to tetracyclines, culture and susceptibility testing are especially recommended:

Acinetobacter species

Enterobacter aerogenes

Escherichia coli

Klebsiella species

Shigella species

Other microorganisms

Actinomyces israelii

Borrelia recurrentis

Chlamydia psittaci

Chlamydia trachomatis

Clostridium species

Entamoeba species

Fusobacterium fusiforme

Mycoplasma pneumoniae

Propionibacterium acnes

Rickettsia

Treponema pallidum subspecies pallidum

Treponema pallidum subspecies pertenue

Ureaplasma urealyticum

Susceptibility Test Methods

For specific information regarding susceptibility test interpretive criteria and associated test methods and quality control standards recognized by FDA for this drug, please see: https://www.fda.gov/STIC.

Packaging Information

American Health Packaging unit dose blisters (see How Supplied section) contain drug product from Amneal Pharmaceuticals LLC as follows:

(150 mg / 100 UD) NDC 60687-691-01 packaged from NDC 53746-554

(300 mg / 50 UD) NDC 60687-705-65 packaged from NDC 53746-555

Distributed by:

American Health Packaging

Columbus, OH 43217

8469101/0722F

Information for Patients

Photosensitivity manifested by an exaggerated sunburn reaction has been observed in some individuals taking tetracyclines. Patients apt to be exposed to direct sunlight or ultraviolet light should be advised that this reaction can occur with tetracycline drugs, and treatment should be discontinued at the first evidence of skin erythema. Concurrent use of tetracyclines with oral contraceptives may render oral contraceptives less effective (see Drug Interactions ). Patients should be informed that demeclocycline hydrochloride tablets should be taken at least 1 hour before meals or 2 hours after meals (see DOSAGE AND ADMINISTRATION ). Unused supplies of tetracycline antibiotics should be discarded by the expiration date. Patients who are experiencing headache, dizziness, light-headedness, vertigo, or blurred vision while on demeclocycline therapy, should be cautioned about driving vehicles or using hazardous machinery while receiving demeclocycline therapy (see WARNINGS ).

Patients should be counseled that antibacterial drugs, including demeclocycline hydrochloride tablets, should only be used to treat bacterial infections. They do not treat viral infections (e.g., the common cold). When demeclocycline hydrochloride tablets are prescribed to treat a bacterial infection, patients should be told that although it is common to feel better early in the course of therapy, the medication should be taken exactly as directed.

Skipping doses or not completing the full course of therapy may (1) decrease the effectiveness of the immediate treatment and (2) increase the likelihood that bacteria will develop resistance and will not be treatable by demeclocycline hydrochloride tablets or other antibacterial drugs in the future.

Diarrhea is a common problem caused by antibiotics which usually ends when the antibiotic is discontinued. Sometimes after starting treatment with antibiotics, patients can develop watery and bloody stools (with or without stomach cramps and fever) even as late as two or more months after having taken the last dose of the antibiotic. If this occurs, patients should contact their physician as soon as possible.

Animal Pharmacology and Animal Toxicology

Hyperpigmentation of the thyroid has been produced by members of the tetracycline class in the following species: in rats by oxytetracycline, doxycycline, tetracycline PO 4 and methacycline; in minipigs by doxycycline, minocycline, tetracycline PO 4 and methacycline; in dogs by doxycycline and minocycline; in monkeys by minocycline.

Minocycline, tetracycline PO 4, methacycline, doxycycline, tetracycline base oxytetracycline hydrochloride and tetracycline hydrochloride, were goitrogenic in rats fed a low iodine diet. This goitrogenic effect was accompanied by high radioactive iodine uptake. Administration of minocycline also produced a large goiter with high radioiodine uptake in rats fed a relatively high iodine diet.

Treatment of various animal species with this class of drugs has also resulted in the induction of thyroid hyperplasia in the following: in rats and dogs (minocycline), in chickens (chlortetracycline) and in rats and mice (oxytetracycline). Adrenal gland hyperplasia has been observed in goats and rats treated with oxytetracycline.

Package/label Display Panel – Carton – 150 Mg

NDC 60687- 691-01

Demeclocycline

Hydrochloride

Tablets, USP

150 mg

100 Tablets (10 x 10)                 Rx Only

Each Film-Coated Tablet Contains:

Demeclocycline Hydrochloride, USP.....................................150 mg

Usual Dosage: See full prescribing information.

Store at 20° to 25°C (68° to 77°F); excursions permitted between

15° to 30°C (59° to 86°F) [see USP Controlled Room Temperature].

Protect from light.

FOR YOUR PROTECTION: Do not use if blister is torn or broken.

The drug product contained in this package is from

NDC # 53746-554, Amneal Pharmaceuticals LLC.

Distributed by: American Health Packaging, Columbus, Ohio 43217

769101

0469101/0924

Package/label Display Panel – Carton – 300 Mg

NDC 60687- 705-65

Demeclocycline

Hydrochloride


Tablets, USP

300 mg

50 Tablets (5 x 10)                Rx Only

Each Film-Coated Tablet Contains:

Demeclocycline Hydrochloride, USP.....................................300 mg

Usual Dosage: See full prescribing information.

Store at 20° to 25°C (68° to 77°F); excursions permitted between

15° to 30°C (59° to 86°F) [see USP Controlled Room Temperature].

Protect from light.

FOR YOUR PROTECTION: Do not use if blister is torn or broken.

The drug product contained in this package is from

NDC # 53746-555, Amneal Pharmaceuticals LLC.

Distributed by: American Health Packaging, Columbus, Ohio 43217

770565

0470565/0924

Package/label Display Panel – Blister – 150 Mg

Demeclocycline

Hydrochloride Tablet, USP

150 mg

Package/label Display Panel – Blister – 300 Mg

Demeclocycline

Hydrochloride Tablet, USP

300 mg

Carcinogenesis, Mutagenesis, Impairment of Fertility

Long-term studies in animals to evaluate carcinogenic potential of demeclocycline hydrochloride have not been conducted. However, there has been evidence of oncogenic activity in rats in studies with the related antibiotics oxytetracycline (adrenal and pituitary tumors) and minocycline (thyroid tumors).

Although mutagenicity studies of demeclocycline hydrochloride have not been conducted, positive results in in vitro mammalian cell assays (i.e., mouse lymphoma and Chinese hamster lung cells) have been reported for related antibiotics (tetracyclines hydrochloride and oxytetracycline) (see WARNINGS and ANIMAL PHARMACOLOGY AND ANIMAL TOXICOLOGY ).

Demeclocycline hydrochloride had no effect on fertility when administered in the diet to male and female rats at a daily intake of 45 times the human dose.


Structured Label Content

Section 42229-5 (42229-5)

To reduce the development of drug-resistant bacteria and maintain the effectiveness of demeclocycline hydrochloride tablets and other antibacterial drugs, demeclocycline hydrochloride tablets should be used only to treat or prevent infections that are proven or strongly suspected to be caused by bacteria.

General

Pseudotumor cerebri (benign intracranial hypertension) in adults has been associated with the use of tetracyclines. The usual clinical manifestations are headache and blurred vision. Bulging fontanels have been associated with the use of tetracyclines in infants. While both of these conditions and related symptoms usually resolve soon after discontinuation of the tetracycline, the possibility for permanent sequelae exists.

As with other antibiotic preparations, use of this drug may result in overgrowth of nonsusceptible organisms, including fungi. If superinfection occurs, the antibiotic should be discontinued and appropriate therapy should be instituted. Incision and drainage or other surgical procedures should be performed in conjunction with antibiotic therapy, when indicated. Prescribing demeclocycline hydrochloride tablets in the absence of a proven or strongly suspected bacterial infection or a prophylactic indication is unlikely to provide benefit to the patient and increases the risk of the development of drug-resistant bacteria.

Warnings (WARNINGS)

DEMECLOCYCLINE HYDROCHLORIDE, LIKE OTHER TETRACYCLINE-CLASS ANTIBIOTICS, CAN CAUSE FETAL HARM WHEN ADMINISTERED TO A PREGNANT WOMAN. IF ANY TETRACYCLINE IS USED DURING PREGNANCY, OR IF THE PATIENT BECOMES PREGNANT WHILE TAKING THESE DRUGS, THE PATIENT SHOULD BE APPRISED OF THE POTENTIAL HAZARD TO THE FETUS.

THE USE OF DRUGS OF THE TETRACYCLINE CLASS DURING TOOTH DEVELOPMENT (LAST HALF OF PREGNANCY INFANCY AND CHILDHOOD TO THE AGE OF 8 YEARS) MAY CAUSE PERMANENT DISCOLORATION OF THE TEETH (YELLOW-GRAY-BROWN). This adverse reaction is more common during long-term use of the drugs but has been observed following repeated short-term courses. Enamel hypoplasia has also been reported. TETRACYCLINE DRUGS, THEREFORE, SHOULD NOT BE USED DURING TOOTH DEVELOPMENT UNLESS OTHER DRUGS ARE NOT LIKELY TO BE EFFECTIVE OR ARE CONTRAINDICATED.

All tetracyclines form a stable calcium complex in any bone-forming tissue. A decrease in fibula growth rate has been observed in premature human infants given oral tetracycline in doses of 25 mg/kg/ every six hours. This reaction was shown to be reversible when the drug was discontinued.

Results of animal studies indicate that tetracyclines cross the placenta, are found in fetal tissues, and can have toxic effects on the developing fetus (often related to retardation of skeletal development). Evidence of embryotoxicity has also been noted in animals treated early in pregnancy. The anti-anabolic action of the tetracyclines may cause an increase in BUN. While this is not a problem in those with normal renal function, in patients with significantly impaired function, higher serum levels of tetracycline may lead to azotemia, hyperphosphatemia and acidosis. If renal impairment exists, even usual oral or parenteral doses may lead to excessive systemic accumulation of the drug and possible liver toxicity. Under such conditions, lower than usual total doses are indicated and, if therapy is prolonged, serum level determinations of the drug may be advisable.

Photosensitivity manifested by an exaggerated sunburn reaction has been observed in some individuals taking tetracyclines. Phototoxic reactions can occur in individuals taking demeclocycline, and are characterized by severe burns or exposed surfaces resulting from direct exposure of patients to sunlight during therapy with moderate or large doses of demeclocycline. Patients apt to be exposed to direct sunlight or ultraviolet light should be advised that this reaction can occur and treatment should be discontinued at the first evidence of erythema of the skin.

Administration of demeclocycline hydrochloride has resulted in appearance of the diabetes insipidus syndrome (polyuria, polydipsia and weakness) in some patients on long-term therapy. The syndrome has been shown to be nephrogenic, dose-dependent and reversible on discontinuance of therapy. Patients, who are experiencing central nervous system symptoms associated with demeclocycline therapy, should be cautioned about driving vehicles or using hazardous machinery while on demeclocycline therapy.

Clostridium difficile associated with diarrhea (CDAD) has been reported with use of nearly all antibacterial agents, including demeclocycline hydrochloride and may range in severity from mild diarrhea to fatal colitis. Treatment with antibacterial agents alters the normal flora of the colon leading to overgrowth of C. difficile.

C. difficile produces toxins A and B which contribute to the development of CDAD. Hypertoxin producing strains of C. difficile cause increased morbidity and mortality, as these infections can be refractory to antimicrobial therapy and may require colectomy. CDAD must be considered in all patients who present with diarrhea following antibiotic use. Careful medical history is necessary since CDAD has been reported to occur over two months after the administration of antibacterial agents.

If CDAD is suspected or confirmed, ongoing antibiotic use not directed against C. difficile may need to discontinue. Appropriate fluid and electrolyte management, protein supplementation, antibiotic treatment of C. difficile, and surgical evaluation should be instituted as clinically indicated.

Pregnancy

Teratogenic effects

Pregnancy Category D

(See WARNINGS ). Result of animal studies indicate that tetracyclines cross the placenta, are found in fetal tissues, and can have toxic effects on the developing fetus (often related to retardation of skeletal development). Evidence of embryotoxicity has been noted in animals treated early in pregnancy.

Nonteratogenic effects

(See WARNINGS )

Overdosage (OVERDOSAGE)

In case of overdosage, discontinue medication, treat symptomatically and institute supportive measures. Tetracyclines are not removed in significant quantities by hemodialysis or peritoneal dialysis.

Description (DESCRIPTION)

Demeclocycline hydrochloride is an antibiotic isolated from a mutant strain of Streptomyces aureofaciens. Chemically it is 7-Chloro-4-(dimethylamino)-1,4,4a,5,5a,6,11,12a-octahydro-3,6,10,12,12a-pentahydroxy-1,11-dioxo-2-naphthacenecarboxamide monohydrochloride.

Its structural formula is:

Demeclocycline hydrochloride tablets, USP, for oral administration, contain 150 mg or 300 mg of demeclocycline hydrochloride, USP and the following inactive ingredients: alginic acid, corn starch, ethylcellulose, FD&C Red 40 aluminum lake, hypromellose, magnesium stearate, microcrystalline cellulose, polyethylene glycol, polyvinyl alcohol, sodium lauryl sulfate, talc and titanium dioxide. In addition, the 150 mg tablet contains D&C Red 27 aluminum lake.

How Supplied (HOW SUPPLIED)

Demeclocycline Hydrochloride Tablets USP, 150 mg, are supplied as red, round, convex, film-coated tablet debossed with “AN” above “54” on one side and plain on the other side.

They are available as follows:

Unit dose packages of 100 (10 x 10) NDC 60687-691-01

Demeclocycline Hydrochloride Tablets USP, 300 mg, are supplied as red, round convex film-coated tablet debossed with “AN” above “55” on one side and plain on the other side.

They are available as follows:

Unit dose packages of 50 (5 x 10) NDC 60687-705-65

Store at 20° to 25°C (68° to 77°F) [see USP Controlled Room Temperature].

Protect from light.

FOR YOUR PROTECTION: Do not use if blister is torn or broken.

KEEP THIS AND ALL DRUGS OUT OF THE REACH OF CHILDREN.

Pediatric Use

Not for use in patients younger than eight years of age [see WARNINGS, PRECAUTIONS ( General subsection) and DOSAGE AND ADMINISTRATION].

Nursing Mothers

Tetracyclines are excreted in human milk. Because of the potential for serious adverse reactions in nursing infants from the tetracyclines, a decision should be made whether to discontinue nursing or discontinue the drug, taking into account the importance of the drug to the mother (see WARNINGS ).

Laboratory Tests

In venereal diseases when coexistent syphilis is suspected, darkfield examination should be done before treatment is started and the blood serology repeated monthly for at least 4 months. In long-term therapy, periodic laboratory evaluation of organ systems, including hematopoietic, renal and hepatic, should be performed. All patients with gonorrhea should have a serologic test for syphilis at the time of diagnosis. Patients treated with demeclocycline hydrochloride should have a follow-up serologic test for syphilis after 3 months.

Adverse Reactions (ADVERSE REACTIONS)

The following reactions have been reported in patients receiving tetracyclines:

Gastrointestinal: Anorexia, nausea, vomiting, diarrhea, glossitis, dysphagia, enterocolitis, pancreatitis and inflammatory lesions (with monilial overgrowth) in the anogenital region, increases in liver enzymes, and hepatic toxicity has been reported rarely.

Rarely, hepatitis and liver failure have been reported. These reactions have been caused by both the oral and parenteral administration of tetracyclines.

Instances of esophageal ulcerations have been reported in patients receiving oral tetracyclines. Most of the patients were reported to have taken the medication immediately before lying down (see DOSAGE AND ADMINISTRATION ).

Skin: Maculopapular and erythematous rashes, erythema multiforme. Exfoliative dermatitis has been reported but is uncommon. Fixed drug eruptions and Stevens-Johnson syndrome have been reported rarely. Lesions occurring on the glans penis have caused balanitis. Pigmentation of the skin and mucous membranes has also been reported. Photosensitivity is discussed above (see WARNINGS ).

Renal toxicity: Acute renal failure, rise in BUN has been reported and is apparently dose related, nephrogenic diabetes insipidus (see WARNINGS ).

Hypersensitivity reactions: Urticaria, angioneurotic edema, polyarthralgia, anaphylaxis, anaphylactoid purpura, pericarditis exacerbation of systemic lupus erythematosus, lupus-like syndrome, pulmonary infiltrates with eosinophilia.

Hematologic: Hemolytic anemia, thrombocytopenia, neutropenia and eosinophilia have been reported.

CNS: Pseudotumor cerebri (benign intracranial hypertension) in adults and bulging fontanels in infants (see PRECAUTIONS – General ). Dizziness, headache, tinnitus and visual disturbances have been reported. Myasthenic syndrome has been reported rarely.

Other: When given over prolonged periods, tetracyclines have been reported to produce brown-black microscopic discoloration of thyroid glands. No abnormalities of thyroid function studies are known to occur. Very rare cases of abnormal thyroid function have been reported.

Tooth discoloration has occurred in pediatric patients less than 8 years of age (see WARNINGS ), and has been reported rarely in adults.

To report SUSPECTED ADVERSE REACTIONS, contact Amneal Pharmaceuticals at 1-877-835-5472 or FDA at 1-800-FDA-1088 or www.fda.gov/medwatch.

Contraindications (CONTRAINDICATIONS)

This drug is contraindicated in persons who have shown hypersensitivity to any of the tetracyclines or any of the components of the product formulation.

Drug Interactions

Because tetracyclines have shown to depress plasma prothrombin activity, patients who are on anticoagulant therapy may require downward adjustment of their anticoagulant dosage. Since bacteriostatic drugs may interfere with the bactericidal action of penicillins, it is advisable to avoid giving tetracycline-class drugs in conjunction with penicillin.

Concurrent use of tetracyclines with oral contraceptives may render oral contraceptives less effective.

The concurrent use of tetracyclines and methoxyflurane has been reported to result in fatal renal toxicity.

Absorption of tetracyclines is impaired by antacids containing aluminum, calcium or magnesium and by iron-containing preparations.

Labor and Delivery

The effect of tetracyclines on labor and delivery is unknown.

Clinical Pharmacology (CLINICAL PHARMACOLOGY)

Pharmacokinetics

The absorption of demeclocycline is slower than that of tetracycline. The time to reach the peak concentration is about 4 hours. After a 150 mg oral dose of demeclocycline tablet, the mean concentrations at 1 hour and 3 hours are 0.46 mcg/mL and 1.22 mcg/mL (n=6) respectively. The serum half-life ranges between 10 and 16 hours. When demeclocycline hydrochloride is given concomitantly with some dairy products, or antacids containing aluminum, calcium, or magnesium, the extent of absorption is reduced by more than 50%. Demeclocycline hydrochloride penetrates well into various body fluids and tissues. The percent of demeclocycline hydrochloride bound to plasma protein is about 40% using a dialysis equilibrium method and 90% using an ultra-filtration method. Demeclocycline hydrochloride, like other tetracyclines, is concentrated in the liver and excreted into the bile where it is found in much higher concentrations than in the blood. The rate of demeclocycline hydrochloride renal clearance (35 mL/min/1.73 m 2) is less than half that of tetracycline. Following a single 150 mg dose of demeclocycline hydrochloride in normal volunteers, 44% (n=8) was excreted in urine and 13% and 46%, respectively, were excreted in feces in two patients within 96 hours as active drug.

Microbiology

Mechanism of Action

The tetracyclines are primarily bacteriostatic and are thought to exert their antimicrobial effect by the inhibition of protein synthesis. The tetracyclines, including demeclocycline have a similar antimicrobial spectrum of activity against a wide range of gram-negative and gram-positive organisms.

Mechanism(s) of Resistance

Resistance to tetracyclines may be mediated by efflux, alteration in the target site of tetracycline, enzymatic inactivation, and decreased bacterial permeability to the tetracycline or a combination of these mechanisms.

Cross Resistance

Cross-resistance between antibiotics of the tetracycline family occurs.

Demeclocycline has been shown to be active against most isolates of the following bacteria, in vitro and/or in clinical infections as described in the INDICATIONS AND USAGE section.

Gram-positive bacteria

Bacillus anthracis

Listeria monocytogenes

Staphylococcus aureus

Streptococcus pneumoniae

Gram-negative bacteria

Bartonella bacilliformis

Brucella species

Calymmatobacterium granulomatis

Campylobacter fetus

Francisella tularensis

Haemophilus ducreyi

Haemophilus influenzae

Neisseria gonorrhoeae

Vibrio cholerae

Yersinia pestis

Because isolates of the following groups of gram-negative bacteria have been shown to be resistant to tetracyclines, culture and susceptibility testing are especially recommended:

Acinetobacter species

Enterobacter aerogenes

Escherichia coli

Klebsiella species

Shigella species

Other microorganisms

Actinomyces israelii

Borrelia recurrentis

Chlamydia psittaci

Chlamydia trachomatis

Clostridium species

Entamoeba species

Fusobacterium fusiforme

Mycoplasma pneumoniae

Propionibacterium acnes

Rickettsia

Treponema pallidum subspecies pallidum

Treponema pallidum subspecies pertenue

Ureaplasma urealyticum

Susceptibility Test Methods

For specific information regarding susceptibility test interpretive criteria and associated test methods and quality control standards recognized by FDA for this drug, please see: https://www.fda.gov/STIC.

Indications and Usage (INDICATIONS AND USAGE)

Demeclocycline hydrochloride tablets are indicated in the treatment of infections caused by susceptible strains of the designated microorganisms in the conditions below:

Rocky Mountain spotted fever, typhus fever and the typhus group, Q fever, rickettsialpox and tick fevers caused by rickettsiae;

Respiratory tract infections caused by Mycoplasma pneumoniae

Lymphogranuloma venereum due to Chlamydia trachomatis

Psittacosis (Ornithosis) due to Chlamydia psittaci

Trachoma due to Chlamydia trachomatis, although the infectious agent is not always eliminated as judged by immunofluorescence

Inclusion conjunctivitis caused by Chlamydia trachomatis

Nongonococcal urethritis in adults caused by Ureaplasma urealyticum or Chlamydia trachomatis

Relapsing fever due to Borrelia recurrentis

Chancroid caused by Haemophilus ducreyi

Plague due to Yersinia pestis

Tularemia due to Francisella tularensis

Cholera caused by Vibrio cholerae

Campylobacter fetus infections cause by Campylobacter fetus

Brucellosis due to Brucella species (in conjunction with streptomycin);

Bartonellosis due to Bartonella bacilliformis

Granuloma inguinale caused by Calymmatobacterium granulomatis

Demeclocycline hydrochloride tablets are indicated for treatment of infections by the following gram-negative microorganisms, when bacteriologic testing indicates appropriate susceptibility to the drug:

Escherichia coli

Enterobacter aerogenes

Shigella species

Acinetobacter species

Respiratory tract infections caused by Haemophilus influenzae

Respiratory tract and urinary tract infections caused by Klebsiella species

Demeclocycline hydrochloride tablets are indicated for treatment of infections caused by the following gram-positive microorganisms, when bacteriologic testing indicates appropriate susceptibility to the drug:

Upper respiratory infections caused by Streptococcus pneumoniae

Skin and skin structure infections caused by Staphylococcus aureus. (Note: Tetracyclines, including demeclocycline, are not the drugs of choice in the treatment of any type of staphylococcal infection).

When penicillin is contraindicated, tetracyclines, including demeclocycline hydrochloride, are alternative drugs in the treatment of the following infections:

Uncomplicated urethritis in men due to Neisseria gonorrhoeae, and for the treatment of other uncomplicated gonococcal infections

Infections in women caused by Neisseria gonorrhoeae

Syphilis caused by Treponema pallidum subspecies pallidum

Yaws caused by Treponema pallidum subspecies pertenue

Listeriosis due to Listeria monocytogenes

Anthrax due to Bacillus anthracis

Vincent’s infection caused by Fusobacterium fusiforme

Actinomycosis caused by Actinomyces israelii

Clostridial diseases caused by Clostridium species

In acute intestinal amebiasis, demeclocycline hydrochloride may be a useful adjunct to amebicides.

In severe acne, demeclocycline hydrochloride may be a useful adjunctive therapy.

To reduce the development of drug-resistant bacteria and maintain the effectiveness of demeclocycline hydrochloride tablets and other antibacterial drugs, demeclocycline hydrochloride tablets should be used only to treat or prevent infections that are proven or strongly suspected to be caused by susceptible bacteria. When culture and susceptibility information are available they should be considered in selecting or modifying antibacterial therapy. In the absence of such data, local epidemiology and susceptibility patterns may contribute to the empiric selection of therapy.

Packaging Information (PACKAGING INFORMATION)

American Health Packaging unit dose blisters (see How Supplied section) contain drug product from Amneal Pharmaceuticals LLC as follows:

(150 mg / 100 UD) NDC 60687-691-01 packaged from NDC 53746-554

(300 mg / 50 UD) NDC 60687-705-65 packaged from NDC 53746-555

Distributed by:

American Health Packaging

Columbus, OH 43217

8469101/0722F

Information for Patients

Photosensitivity manifested by an exaggerated sunburn reaction has been observed in some individuals taking tetracyclines. Patients apt to be exposed to direct sunlight or ultraviolet light should be advised that this reaction can occur with tetracycline drugs, and treatment should be discontinued at the first evidence of skin erythema. Concurrent use of tetracyclines with oral contraceptives may render oral contraceptives less effective (see Drug Interactions ). Patients should be informed that demeclocycline hydrochloride tablets should be taken at least 1 hour before meals or 2 hours after meals (see DOSAGE AND ADMINISTRATION ). Unused supplies of tetracycline antibiotics should be discarded by the expiration date. Patients who are experiencing headache, dizziness, light-headedness, vertigo, or blurred vision while on demeclocycline therapy, should be cautioned about driving vehicles or using hazardous machinery while receiving demeclocycline therapy (see WARNINGS ).

Patients should be counseled that antibacterial drugs, including demeclocycline hydrochloride tablets, should only be used to treat bacterial infections. They do not treat viral infections (e.g., the common cold). When demeclocycline hydrochloride tablets are prescribed to treat a bacterial infection, patients should be told that although it is common to feel better early in the course of therapy, the medication should be taken exactly as directed.

Skipping doses or not completing the full course of therapy may (1) decrease the effectiveness of the immediate treatment and (2) increase the likelihood that bacteria will develop resistance and will not be treatable by demeclocycline hydrochloride tablets or other antibacterial drugs in the future.

Diarrhea is a common problem caused by antibiotics which usually ends when the antibiotic is discontinued. Sometimes after starting treatment with antibiotics, patients can develop watery and bloody stools (with or without stomach cramps and fever) even as late as two or more months after having taken the last dose of the antibiotic. If this occurs, patients should contact their physician as soon as possible.

Dosage and Administration (DOSAGE AND ADMINISTRATION)

Therapy should be continued for at least 24 to 48 hours after symptoms and fever have subsided.

Concomitant therapy: Absorption of tetracyclines is impaired by antacids containing aluminum, calcium, or magnesium and by iron-containing preparations. Foods and some dairy products also interfere with absorption. Oral forms of tetracycline should be given at least 1 hour before or 2 hours after meals.

In patients with renal impairment: (see WARNINGS ). Tetracyclines should be used cautiously in patients with impaired renal function. Total dosage should be decreased by reduction of recommended individual doses and/or by extending time intervals between doses.

In patients with liver impairment: Tetracyclines should be used cautiously in patients with impaired liver function. Total dosage should be decreased by reduction of recommended individual doses and/or by extending time intervals between doses. Administration of adequate amounts of fluid with the oral formulations of tetracyclines is recommended to wash down the drugs and reduce the risk of esophageal irritation and ulceration (see ADVERSE REACTIONS ).

Adults: Usual daily dose – Four divided doses of 150 mg each or two divided doses of 300 mg each.

For pediatric patients above eight years of age: Usual daily dose, 7 mg/kg to 13 mg/kg body weight/day, depending upon the severity of the disease, divided into two to four doses not to exceed adult dosage of 600 mg/day.

Gonorrhea patients sensitive to penicillin may be treated with demeclocycline administered as an initial oral dose of 600 mg followed by 300 mg every 12 hours for four days to a total of 3 grams.

Animal Pharmacology and Animal Toxicology (ANIMAL PHARMACOLOGY AND ANIMAL TOXICOLOGY)

Hyperpigmentation of the thyroid has been produced by members of the tetracycline class in the following species: in rats by oxytetracycline, doxycycline, tetracycline PO 4 and methacycline; in minipigs by doxycycline, minocycline, tetracycline PO 4 and methacycline; in dogs by doxycycline and minocycline; in monkeys by minocycline.

Minocycline, tetracycline PO 4, methacycline, doxycycline, tetracycline base oxytetracycline hydrochloride and tetracycline hydrochloride, were goitrogenic in rats fed a low iodine diet. This goitrogenic effect was accompanied by high radioactive iodine uptake. Administration of minocycline also produced a large goiter with high radioiodine uptake in rats fed a relatively high iodine diet.

Treatment of various animal species with this class of drugs has also resulted in the induction of thyroid hyperplasia in the following: in rats and dogs (minocycline), in chickens (chlortetracycline) and in rats and mice (oxytetracycline). Adrenal gland hyperplasia has been observed in goats and rats treated with oxytetracycline.

Package/label Display Panel – Carton – 150 Mg (Package/Label Display Panel – Carton – 150 mg)

NDC 60687- 691-01

Demeclocycline

Hydrochloride

Tablets, USP

150 mg

100 Tablets (10 x 10)                 Rx Only

Each Film-Coated Tablet Contains:

Demeclocycline Hydrochloride, USP.....................................150 mg

Usual Dosage: See full prescribing information.

Store at 20° to 25°C (68° to 77°F); excursions permitted between

15° to 30°C (59° to 86°F) [see USP Controlled Room Temperature].

Protect from light.

FOR YOUR PROTECTION: Do not use if blister is torn or broken.

The drug product contained in this package is from

NDC # 53746-554, Amneal Pharmaceuticals LLC.

Distributed by: American Health Packaging, Columbus, Ohio 43217

769101

0469101/0924

Package/label Display Panel – Carton – 300 Mg (Package/Label Display Panel – Carton – 300 mg)

NDC 60687- 705-65

Demeclocycline

Hydrochloride


Tablets, USP

300 mg

50 Tablets (5 x 10)                Rx Only

Each Film-Coated Tablet Contains:

Demeclocycline Hydrochloride, USP.....................................300 mg

Usual Dosage: See full prescribing information.

Store at 20° to 25°C (68° to 77°F); excursions permitted between

15° to 30°C (59° to 86°F) [see USP Controlled Room Temperature].

Protect from light.

FOR YOUR PROTECTION: Do not use if blister is torn or broken.

The drug product contained in this package is from

NDC # 53746-555, Amneal Pharmaceuticals LLC.

Distributed by: American Health Packaging, Columbus, Ohio 43217

770565

0470565/0924

Package/label Display Panel – Blister – 150 Mg (Package/Label Display Panel – Blister – 150 mg)

Demeclocycline

Hydrochloride Tablet, USP

150 mg

Package/label Display Panel – Blister – 300 Mg (Package/Label Display Panel – Blister – 300 mg)

Demeclocycline

Hydrochloride Tablet, USP

300 mg

Carcinogenesis, Mutagenesis, Impairment of Fertility

Long-term studies in animals to evaluate carcinogenic potential of demeclocycline hydrochloride have not been conducted. However, there has been evidence of oncogenic activity in rats in studies with the related antibiotics oxytetracycline (adrenal and pituitary tumors) and minocycline (thyroid tumors).

Although mutagenicity studies of demeclocycline hydrochloride have not been conducted, positive results in in vitro mammalian cell assays (i.e., mouse lymphoma and Chinese hamster lung cells) have been reported for related antibiotics (tetracyclines hydrochloride and oxytetracycline) (see WARNINGS and ANIMAL PHARMACOLOGY AND ANIMAL TOXICOLOGY ).

Demeclocycline hydrochloride had no effect on fertility when administered in the diet to male and female rats at a daily intake of 45 times the human dose.


Advanced Ingredient Data


Raw Label Data

All Sections (JSON)