These Highlights Do Not Include All The Information Needed To Use Levalbuterol Inhalation Solution, Usp Safely And Effectively. See Full Prescribing Information For Levalbuterol Inhalation Solution, Usp.

These Highlights Do Not Include All The Information Needed To Use Levalbuterol Inhalation Solution, Usp Safely And Effectively. See Full Prescribing Information For Levalbuterol Inhalation Solution, Usp.
SPL v5
SPL
SPL Set ID e5c8368a-49f9-45cf-9d42-a871f005edb9
Route
RESPIRATORY (INHALATION)
Published
Effective Date 2019-06-29
Document Type 34391-3 HUMAN PRESCRIPTION DRUG LABEL

Drug Facts

Composition & Product

Active Ingredients
Levalbuterol (0.31 mg)
Inactive Ingredients
Edetate Disodium

Identifiers & Packaging

Marketing Status
ANDA Active Since 2016-03-22

Description

Levalbuterol Inhalation Solution, USP is indicated for the treatment or prevention of bronchospasm in adults, adolescents, and children 6 years of age and older with reversible obstructive airway disease.

Indications and Usage

Levalbuterol Inhalation Solution, USP is indicated for the treatment or prevention of bronchospasm in adults, adolescents, and children 6 years of age and older with reversible obstructive airway disease.

Dosage and Administration

Levalbuterol Inhalation Solution, USP is for oral inhalation only. Administer by nebulization using a standard jet nebulizer (with a face mask or mouthpiece) connected to an air compressor. Do not exceed recommended dose.

Warnings and Precautions

Life-threatening paradoxical bronchospasm may occur. Discontinue Levalbuterol Inhalation Solution, USP immediately and treat with alternative therapy. ( 5.1 ) Need for more doses of Levalbuterol Inhalation Solution, USP than usual may be a sign of deterioration of asthma and requires reevaluation of treatment. ( 5.2 ) Levalbuterol Inhalation Solution, USP is not a substitute for corticosteroids. ( 5.3 ) Cardiovascular effects may occur. Consider discontinuation of Levalbuterol Inhalation Solution, USP if these effects occur. Use with caution in patients with underlying cardiovascular disorders. ( 5.4 ) Excessive use may be fatal. Do not exceed recommended dose. ( 5.5 ) Immediate hypersensitivity reactions may occur. Discontinue Levalbuterol Inhalation Solution, USP immediately. ( 5.6 ) Hypokalemia and changes in blood glucose may occur. ( 5.7 , 5.8 )

Contraindications

Levalbuterol Inhalation Solution, USP is contraindicated in patients with a history of hypersensitivity to levalbuterol or racemic albuterol. Reactions have included urticaria, angioedema, rash, bronchospasm, anaphylaxis, and oropharyngeal edema [see Warnings and Precautions (5.6) ].

Adverse Reactions

The following serious adverse reactions are described below and elsewhere in the labeling: Paradoxical bronchospasm [see Warnings and Precautions (5.1) ] Cardiovascular effects [see Warnings and Precautions (5.4) ] Immediate hypersensitivity reactions [see Warnings and Precautions (5.6) ] Hypokalemia [see Warnings and Precautions (5.8) ]

Drug Interactions

Other short-acting sympathomimetic aerosol bronchodilators and adrenergic drugs: May potentiate effect. ( 7.1 ) Beta-blockers: May block bronchodilatory effects of beta-agonists and produce severe bronchospasm. Patients with asthma should not normally be treated with beta-blockers. ( 7.2 ) Diuretic: May worsen electrocardiographic changes or hypokalemia associated with diuretic may worsen. Consider monitoring potassium levels. ( 7.3 ) Digoxin: May decrease serum digoxin levels. Consider monitoring digoxin levels. ( 7.4 ) Monoamine oxidase inhibitors (MAOs) or tricyclic antidepressants: May potentiate effect of albuterol on the cardiovascular system. ( 7.5 )

Storage and Handling

Levalbuterol Inhalation Solution, USP is supplied in 3 mL unit-dose, low-density polyethylene (LDPE) vials as a clear, colorless, sterile, preservative-free, aqueous solution, in three different strengths of levalbuterol (0.31 mg, 0.63 mg, 1.25 mg). Levalbuterol Inhalation Solution, USP, 0.31 mg/3 mL ( foil pouch label color green ) contains 0.31 mg/3 mL (0.0103%) of levalbuterol (as 0.36 mg/3 mL of levalbuterol HCl) and is available in cartons as listed below. NDC 0115-9930-78 25 vials per carton / 25 vials per foil pouch Levalbuterol Inhalation Solution, USP, 0.63 mg/3 mL ( foil pouch label color yellow ) contains 0.63 mg/3 mL (0.021%) of levalbuterol (as 0.73 mg/3 mL of levalbuterol HCl) and is available in cartons as listed below. NDC 0115-9931-78 25 vials per carton / 25 vials per foil pouch Levalbuterol Inhalation Solution, USP, 1.25 mg/3 mL ( foil pouch label color red ) contains 1.25 mg/3 mL (0.042%) of levalbuterol (as 1.44 mg/3 mL of levalbuterol HCl) and is available in cartons as listed below. NDC 0115-9932-78 25 vials per carton / 25 vials per foil pouch

How Supplied

Levalbuterol Inhalation Solution, USP is supplied in 3 mL unit-dose, low-density polyethylene (LDPE) vials as a clear, colorless, sterile, preservative-free, aqueous solution, in three different strengths of levalbuterol (0.31 mg, 0.63 mg, 1.25 mg). Levalbuterol Inhalation Solution, USP, 0.31 mg/3 mL ( foil pouch label color green ) contains 0.31 mg/3 mL (0.0103%) of levalbuterol (as 0.36 mg/3 mL of levalbuterol HCl) and is available in cartons as listed below. NDC 0115-9930-78 25 vials per carton / 25 vials per foil pouch Levalbuterol Inhalation Solution, USP, 0.63 mg/3 mL ( foil pouch label color yellow ) contains 0.63 mg/3 mL (0.021%) of levalbuterol (as 0.73 mg/3 mL of levalbuterol HCl) and is available in cartons as listed below. NDC 0115-9931-78 25 vials per carton / 25 vials per foil pouch Levalbuterol Inhalation Solution, USP, 1.25 mg/3 mL ( foil pouch label color red ) contains 1.25 mg/3 mL (0.042%) of levalbuterol (as 1.44 mg/3 mL of levalbuterol HCl) and is available in cartons as listed below. NDC 0115-9932-78 25 vials per carton / 25 vials per foil pouch

Patient Information

Levalbuterol Inhalation Solution, USP (pronounced lev" al bue' ter ol) 0.31 mg, 0.63 mg, 1.25 mg 3 mL Unit-Dose Vials For Oral Inhalation Only Rx only Levalbuterol Inhalation Solution, USP is only for use with a nebulizer. Read this Patient Information Leaflet before you start to use Levalbuterol Inhalation Solution, USP and each time you get a refill. There may be new information. This information does not take the place of talking with your doctor about your medical condition or your treatment. What is Levalbuterol Inhalation Solution, USP? Levalbuterol Inhalation Solution, USP is an inhaled prescription medicine used for the treatment or prevention of bronchospasm in people 6 years of age and older. Levalbuterol Inhalation Solution, USP has not been shown to be safe and effective in children younger than 6 years of age. Levalbuterol Inhalation Solution, USP is supplied in 3 mL unit-dose vials in three different strengths of levalbuterol (0.31 mg, 0.63 mg, 1.25 mg). The vials do not require dilution before use. Who should not use Levalbuterol Inhalation Solution, USP? Do not use Levalbuterol Inhalation Solution, USP if you are allergic to levalbuterol, racemic albuterol, or any of the ingredients in Levalbuterol Inhalation Solution, USP. See the end of this leaflet for a complete list of ingredients in Levalbuterol Inhalation Solution, USP. What should I tell my doctor before using Levalbuterol Inhalation Solution, USP? Before you use Levalbuterol Inhalation Solution, USP, tell your doctor if you have: had an allergic reaction to levalbuterol or racemic albuterol heart problems high blood pressure seizures diabetes thyroid problems any other medical conditions are pregnant or planning to become pregnant. It is not known if Levalbuterol Inhalation Solution, USP will harm your unborn baby. Talk to your doctor if you are pregnant or plan to become pregnant. are breastfeeding or plan to breastfeed. It is not known if Levalbuterol Inhalation Solution, USP passes into your breast milk. You and your doctor should decide if you will use Levalbuterol Inhalation Solution, USP or breastfeed. You should not do both. Tell your doctor about all the medicines you take including prescription and over-the-counter medicines, vitamins, and herbal supplements. Levalbuterol Inhalation Solution, USP may affect the way other medicines work, and other medicines may affect how Levalbuterol Inhalation Solution, USP works. Especially tell your doctor if you take: other asthma medicines heart medicines medicines that increase urination (diuretics) antidepressants medicine to treat chronic obstructive pulmonary disease (COPD) Ask your doctor if you are not sure if any of your medicines are the kinds listed above. Know the medicines you take. Keep a list of them and show it to your doctor and pharmacist when you get a new medicine. How should I use Levalbuterol Inhalation Solution, USP? Read the step-by-step Instructions for Using Levalbuterol Inhalation Solution, USP at the end of this leaflet. Use Levalbuterol Inhalation Solution, USP exactly as your doctor tells you to. Do not change your dose without talking to your doctor first. Your doctor will tell you how many times and when to use your Levalbuterol Inhalation Solution, USP. An adult should help a child use Levalbuterol Inhalation Solution, USP. Do not use your Levalbuterol Inhalation Solution, USP more often than your doctor tells you to. Get medical help right away if Levalbuterol Inhalation Solution, USP: does not work as well for your asthma symptoms or your asthma symptoms get worse or you need to use your Levalbuterol Inhalation Solution, USP more often than usual If you also use another medicine by inhalation, you should ask your doctor for instructions on when to use it while you are also using Levalbuterol Inhalation Solution, USP. Do not mix Levalbuterol Inhalation Solution, USP with other medicines in your nebulizer. Only use Levalbuterol Inhalation Solution, USP if it is colorless. Throw away the Levalbuterol Inhalation Solution, USP vial if the liquid medicine is not colorless. Do not use Levalbuterol Inhalation Solution, USP after the expiration date on the vial. What are the possible side effects of Levalbuterol Inhalation Solution, USP? Levalbuterol Inhalation Solution, USP can cause serious side effects including: sudden shortness of breath (bronchospasm). Sudden shortness of breath can happen right away after using Levalbuterol Inhalation Solution, USP. worsening asthma heart problems death. If you use too much Levalbuterol Inhalation Solution, USP you can have heart or lung problems that can lead to death. serious allergic reactions. Call your doctor and stop using Levalbuterol Inhalation Solution, USP right away if you have any symptoms of an allergic reaction such as: swelling of the face, throat or tongue hives rash breathing problems low potassium levels in your blood Call your doctor or go to the nearest hospital emergency room right away if you have any of the serious side effects listed above or if you have worsening lung symptoms. The most common side effects of Levalbuterol Inhalation Solution, USP include: palpitations chest pain fast heart rate headache dizziness tremor nervousness Tell your doctor if you have any side effects that bother you or that do not go away. These are not all the possible side effects of Levalbuterol Inhalation Solution, USP. For more information, ask your doctor or pharmacist. Call your doctor for medical advice about side effects. You may report side effects to FDA at 1-800-FDA-1088. How should I store Levalbuterol Inhalation Solution, USP? Store unopened Levalbuterol Inhalation Solution, USP vials in the protective foil pouch they come in at 20°-25°C (68°-77°F). Keep Levalbuterol Inhalation Solution, USP away from light and heat. When a Levalbuterol Inhalation Solution, USP foil pouch is opened, use the vials within 2 weeks. When Levalbuterol Inhalation Solution, USP vials are removed from the foil pouch, use them right away or within 1 week. Keep Levalbuterol Inhalation Solution, USP and all medicines out of the reach of children. General information about the safe and effective use of Levalbuterol Inhalation Solution, USP. Medicines are sometimes prescribed for purposes other than those listed in a Patient Information Leaflet. Do not use Levalbuterol Inhalation Solution, USP for a condition for which it was not prescribed. Do not give Levalbuterol Inhalation Solution, USP to other people, even if they have the same symptoms that you have. It may harm them. This Patient Information Leaflet summarizes the most important information about Levalbuterol Inhalation Solution, USP. If you would like more information, talk with your doctor. You can ask your pharmacist or doctor for information about Levalbuterol Inhalation Solution, USP that is written for health professionals. To report SUSPECTED ADVERSE REACTIONS, contact Amneal Pharmaceuticals at 1-877-835-5472 or FDA at 1-800-FDA-1088 or www.fda.gov/medwatch. What are the ingredients in Levalbuterol Inhalation Solution, USP? Active ingredient: levalbuterol hydrochloride Inactive ingredients: sodium chloride, edetate disodium, sulfuric acid, and water


Medication Information

Warnings and Precautions

Life-threatening paradoxical bronchospasm may occur. Discontinue Levalbuterol Inhalation Solution, USP immediately and treat with alternative therapy. ( 5.1 ) Need for more doses of Levalbuterol Inhalation Solution, USP than usual may be a sign of deterioration of asthma and requires reevaluation of treatment. ( 5.2 ) Levalbuterol Inhalation Solution, USP is not a substitute for corticosteroids. ( 5.3 ) Cardiovascular effects may occur. Consider discontinuation of Levalbuterol Inhalation Solution, USP if these effects occur. Use with caution in patients with underlying cardiovascular disorders. ( 5.4 ) Excessive use may be fatal. Do not exceed recommended dose. ( 5.5 ) Immediate hypersensitivity reactions may occur. Discontinue Levalbuterol Inhalation Solution, USP immediately. ( 5.6 ) Hypokalemia and changes in blood glucose may occur. ( 5.7 , 5.8 )

Indications and Usage

Levalbuterol Inhalation Solution, USP is indicated for the treatment or prevention of bronchospasm in adults, adolescents, and children 6 years of age and older with reversible obstructive airway disease.

Dosage and Administration

Levalbuterol Inhalation Solution, USP is for oral inhalation only. Administer by nebulization using a standard jet nebulizer (with a face mask or mouthpiece) connected to an air compressor. Do not exceed recommended dose.

Contraindications

Levalbuterol Inhalation Solution, USP is contraindicated in patients with a history of hypersensitivity to levalbuterol or racemic albuterol. Reactions have included urticaria, angioedema, rash, bronchospasm, anaphylaxis, and oropharyngeal edema [see Warnings and Precautions (5.6) ].

Adverse Reactions

The following serious adverse reactions are described below and elsewhere in the labeling: Paradoxical bronchospasm [see Warnings and Precautions (5.1) ] Cardiovascular effects [see Warnings and Precautions (5.4) ] Immediate hypersensitivity reactions [see Warnings and Precautions (5.6) ] Hypokalemia [see Warnings and Precautions (5.8) ]

Drug Interactions

Other short-acting sympathomimetic aerosol bronchodilators and adrenergic drugs: May potentiate effect. ( 7.1 ) Beta-blockers: May block bronchodilatory effects of beta-agonists and produce severe bronchospasm. Patients with asthma should not normally be treated with beta-blockers. ( 7.2 ) Diuretic: May worsen electrocardiographic changes or hypokalemia associated with diuretic may worsen. Consider monitoring potassium levels. ( 7.3 ) Digoxin: May decrease serum digoxin levels. Consider monitoring digoxin levels. ( 7.4 ) Monoamine oxidase inhibitors (MAOs) or tricyclic antidepressants: May potentiate effect of albuterol on the cardiovascular system. ( 7.5 )

Storage and Handling

Levalbuterol Inhalation Solution, USP is supplied in 3 mL unit-dose, low-density polyethylene (LDPE) vials as a clear, colorless, sterile, preservative-free, aqueous solution, in three different strengths of levalbuterol (0.31 mg, 0.63 mg, 1.25 mg). Levalbuterol Inhalation Solution, USP, 0.31 mg/3 mL ( foil pouch label color green ) contains 0.31 mg/3 mL (0.0103%) of levalbuterol (as 0.36 mg/3 mL of levalbuterol HCl) and is available in cartons as listed below. NDC 0115-9930-78 25 vials per carton / 25 vials per foil pouch Levalbuterol Inhalation Solution, USP, 0.63 mg/3 mL ( foil pouch label color yellow ) contains 0.63 mg/3 mL (0.021%) of levalbuterol (as 0.73 mg/3 mL of levalbuterol HCl) and is available in cartons as listed below. NDC 0115-9931-78 25 vials per carton / 25 vials per foil pouch Levalbuterol Inhalation Solution, USP, 1.25 mg/3 mL ( foil pouch label color red ) contains 1.25 mg/3 mL (0.042%) of levalbuterol (as 1.44 mg/3 mL of levalbuterol HCl) and is available in cartons as listed below. NDC 0115-9932-78 25 vials per carton / 25 vials per foil pouch

How Supplied

Levalbuterol Inhalation Solution, USP is supplied in 3 mL unit-dose, low-density polyethylene (LDPE) vials as a clear, colorless, sterile, preservative-free, aqueous solution, in three different strengths of levalbuterol (0.31 mg, 0.63 mg, 1.25 mg). Levalbuterol Inhalation Solution, USP, 0.31 mg/3 mL ( foil pouch label color green ) contains 0.31 mg/3 mL (0.0103%) of levalbuterol (as 0.36 mg/3 mL of levalbuterol HCl) and is available in cartons as listed below. NDC 0115-9930-78 25 vials per carton / 25 vials per foil pouch Levalbuterol Inhalation Solution, USP, 0.63 mg/3 mL ( foil pouch label color yellow ) contains 0.63 mg/3 mL (0.021%) of levalbuterol (as 0.73 mg/3 mL of levalbuterol HCl) and is available in cartons as listed below. NDC 0115-9931-78 25 vials per carton / 25 vials per foil pouch Levalbuterol Inhalation Solution, USP, 1.25 mg/3 mL ( foil pouch label color red ) contains 1.25 mg/3 mL (0.042%) of levalbuterol (as 1.44 mg/3 mL of levalbuterol HCl) and is available in cartons as listed below. NDC 0115-9932-78 25 vials per carton / 25 vials per foil pouch

Patient Information

Levalbuterol Inhalation Solution, USP (pronounced lev" al bue' ter ol) 0.31 mg, 0.63 mg, 1.25 mg 3 mL Unit-Dose Vials For Oral Inhalation Only Rx only Levalbuterol Inhalation Solution, USP is only for use with a nebulizer. Read this Patient Information Leaflet before you start to use Levalbuterol Inhalation Solution, USP and each time you get a refill. There may be new information. This information does not take the place of talking with your doctor about your medical condition or your treatment. What is Levalbuterol Inhalation Solution, USP? Levalbuterol Inhalation Solution, USP is an inhaled prescription medicine used for the treatment or prevention of bronchospasm in people 6 years of age and older. Levalbuterol Inhalation Solution, USP has not been shown to be safe and effective in children younger than 6 years of age. Levalbuterol Inhalation Solution, USP is supplied in 3 mL unit-dose vials in three different strengths of levalbuterol (0.31 mg, 0.63 mg, 1.25 mg). The vials do not require dilution before use. Who should not use Levalbuterol Inhalation Solution, USP? Do not use Levalbuterol Inhalation Solution, USP if you are allergic to levalbuterol, racemic albuterol, or any of the ingredients in Levalbuterol Inhalation Solution, USP. See the end of this leaflet for a complete list of ingredients in Levalbuterol Inhalation Solution, USP. What should I tell my doctor before using Levalbuterol Inhalation Solution, USP? Before you use Levalbuterol Inhalation Solution, USP, tell your doctor if you have: had an allergic reaction to levalbuterol or racemic albuterol heart problems high blood pressure seizures diabetes thyroid problems any other medical conditions are pregnant or planning to become pregnant. It is not known if Levalbuterol Inhalation Solution, USP will harm your unborn baby. Talk to your doctor if you are pregnant or plan to become pregnant. are breastfeeding or plan to breastfeed. It is not known if Levalbuterol Inhalation Solution, USP passes into your breast milk. You and your doctor should decide if you will use Levalbuterol Inhalation Solution, USP or breastfeed. You should not do both. Tell your doctor about all the medicines you take including prescription and over-the-counter medicines, vitamins, and herbal supplements. Levalbuterol Inhalation Solution, USP may affect the way other medicines work, and other medicines may affect how Levalbuterol Inhalation Solution, USP works. Especially tell your doctor if you take: other asthma medicines heart medicines medicines that increase urination (diuretics) antidepressants medicine to treat chronic obstructive pulmonary disease (COPD) Ask your doctor if you are not sure if any of your medicines are the kinds listed above. Know the medicines you take. Keep a list of them and show it to your doctor and pharmacist when you get a new medicine. How should I use Levalbuterol Inhalation Solution, USP? Read the step-by-step Instructions for Using Levalbuterol Inhalation Solution, USP at the end of this leaflet. Use Levalbuterol Inhalation Solution, USP exactly as your doctor tells you to. Do not change your dose without talking to your doctor first. Your doctor will tell you how many times and when to use your Levalbuterol Inhalation Solution, USP. An adult should help a child use Levalbuterol Inhalation Solution, USP. Do not use your Levalbuterol Inhalation Solution, USP more often than your doctor tells you to. Get medical help right away if Levalbuterol Inhalation Solution, USP: does not work as well for your asthma symptoms or your asthma symptoms get worse or you need to use your Levalbuterol Inhalation Solution, USP more often than usual If you also use another medicine by inhalation, you should ask your doctor for instructions on when to use it while you are also using Levalbuterol Inhalation Solution, USP. Do not mix Levalbuterol Inhalation Solution, USP with other medicines in your nebulizer. Only use Levalbuterol Inhalation Solution, USP if it is colorless. Throw away the Levalbuterol Inhalation Solution, USP vial if the liquid medicine is not colorless. Do not use Levalbuterol Inhalation Solution, USP after the expiration date on the vial. What are the possible side effects of Levalbuterol Inhalation Solution, USP? Levalbuterol Inhalation Solution, USP can cause serious side effects including: sudden shortness of breath (bronchospasm). Sudden shortness of breath can happen right away after using Levalbuterol Inhalation Solution, USP. worsening asthma heart problems death. If you use too much Levalbuterol Inhalation Solution, USP you can have heart or lung problems that can lead to death. serious allergic reactions. Call your doctor and stop using Levalbuterol Inhalation Solution, USP right away if you have any symptoms of an allergic reaction such as: swelling of the face, throat or tongue hives rash breathing problems low potassium levels in your blood Call your doctor or go to the nearest hospital emergency room right away if you have any of the serious side effects listed above or if you have worsening lung symptoms. The most common side effects of Levalbuterol Inhalation Solution, USP include: palpitations chest pain fast heart rate headache dizziness tremor nervousness Tell your doctor if you have any side effects that bother you or that do not go away. These are not all the possible side effects of Levalbuterol Inhalation Solution, USP. For more information, ask your doctor or pharmacist. Call your doctor for medical advice about side effects. You may report side effects to FDA at 1-800-FDA-1088. How should I store Levalbuterol Inhalation Solution, USP? Store unopened Levalbuterol Inhalation Solution, USP vials in the protective foil pouch they come in at 20°-25°C (68°-77°F). Keep Levalbuterol Inhalation Solution, USP away from light and heat. When a Levalbuterol Inhalation Solution, USP foil pouch is opened, use the vials within 2 weeks. When Levalbuterol Inhalation Solution, USP vials are removed from the foil pouch, use them right away or within 1 week. Keep Levalbuterol Inhalation Solution, USP and all medicines out of the reach of children. General information about the safe and effective use of Levalbuterol Inhalation Solution, USP. Medicines are sometimes prescribed for purposes other than those listed in a Patient Information Leaflet. Do not use Levalbuterol Inhalation Solution, USP for a condition for which it was not prescribed. Do not give Levalbuterol Inhalation Solution, USP to other people, even if they have the same symptoms that you have. It may harm them. This Patient Information Leaflet summarizes the most important information about Levalbuterol Inhalation Solution, USP. If you would like more information, talk with your doctor. You can ask your pharmacist or doctor for information about Levalbuterol Inhalation Solution, USP that is written for health professionals. To report SUSPECTED ADVERSE REACTIONS, contact Amneal Pharmaceuticals at 1-877-835-5472 or FDA at 1-800-FDA-1088 or www.fda.gov/medwatch. What are the ingredients in Levalbuterol Inhalation Solution, USP? Active ingredient: levalbuterol hydrochloride Inactive ingredients: sodium chloride, edetate disodium, sulfuric acid, and water

Description

Levalbuterol Inhalation Solution, USP is indicated for the treatment or prevention of bronchospasm in adults, adolescents, and children 6 years of age and older with reversible obstructive airway disease.

Section 34077-8

Teratogenic Effects: Pregnancy Category C.

There are no adequate and well-controlled studies of Levalbuterol Inhalation Solution, USP in pregnant women. Because animal reproduction studies are not always predictive of human response, Levalbuterol Inhalation Solution, USP should be used during pregnancy only if the potential benefit justifies the potential risk to the fetus.

During worldwide marketing experience, various congenital anomalies, including cleft palate and limb defects, have been reported in newborns of women treated with racemic albuterol which contains the levalbuterol isomer (active drug substance of Levalbuterol Inhalation Solution, USP). However, since multiple medications were taken during some of the pregnancies and there was no consistent pattern of anomalies, it was not possible to establish a relationship between racemic albuterol use and the occurrence of these congenital anomalies.

In animal studies, oral administration of levalbuterol HCl to pregnant New Zealand White rabbits found no evidence of teratogenicity at doses up to 25 mg/kg/day (approximately 108 times the maximum recommended daily inhalation [MRDI] dose of levalbuterol HCl for adults on a mg/m2 basis).

However, other studies demonstrated that racemic albuterol sulfate was teratogenic in mice and rabbits at doses comparable to the human therapeutic range. Pregnant mice administered racemic albuterol sulfate subcutaneously had a dose-related increased incidence of cleft palate in their fetuses (4.5% of fetuses at 0.25 mg/kg/day or greater, corresponding to approximately 0.3 times the MRDI dose, 9.3% of fetuses at 2.5 mg/kg/day, approximately 3 times the MRDI dose of levalbuterol HCl for adults on a mg/m2 basis). The drug did not induce cleft palate formation when administered subcutaneously at a dose of 0.025 mg/kg/day (approximately 0.03 times the MRDI dose of levalbuterol HCl for adults on a mg/m2 basis). In addition, oral administration of racemic albuterol sulfate to pregnant rabbits resulted in an increased incidence of cranioschisis in fetuses (approximately 215 times the MRDI dose of levalbuterol HCl for adults on a mg/m2 basis).

Section 34078-6

Non-Teratogenic Effects:

A study in which pregnant rats were dosed with radiolabeled racemic albuterol sulfate demonstrated that drug-related material is transferred from the maternal circulation to the fetus.

Section 42229-5

Children 6-11 years old: The recommended dosage of Levalbuterol Inhalation Solution, USP for patients 6-11 years old is 0.31 mg administered three times a day, by nebulization. Routine dosing should not exceed 0.63 mg three times a day.

Section 44425-7

Store Levalbuterol Inhalation Solution, USP in the protective foil pouch at 20°- 25°C (68°- 77°F) [see USP Controlled Room Temperature]. Protect from light and excessive heat. Keep unopened vials in the foil pouch. Once the foil pouch is opened, the vials should be used within 2 weeks. Vials removed from the pouch, if not used immediately, should be protected from light and used within 1 week. Discard any vial if the solution is not colorless.

Rx only

7.4 Digoxin

Mean decreases of 16% and 22% in serum digoxin levels were demonstrated after single-dose intravenous and oral administration of racemic albuterol, respectively, to normal volunteers who had received digoxin for 10 days. The clinical significance of these findings for patients with obstructive airway disease who are receiving Levalbuterol Inhalation Solution, USP and digoxin on a chronic basis is unclear. Nevertheless, it would be prudent to carefully evaluate the serum digoxin levels in patients who are currently receiving digoxin and Levalbuterol Inhalation Solution, USP.

10 Overdosage

The expected symptoms with overdosage are those of excessive beta-adrenergic receptor stimulation and/or occurrence or exaggeration of any of the symptoms listed under Adverse Reactions (6) , e.g., seizures, angina, hypertension or hypotension, tachycardia with rates up to 200 beats/min., arrhythmias, nervousness, headache, tremor, dry mouth, palpitation, nausea, dizziness, fatigue, malaise, and sleeplessness. Hypokalemia also may occur. As with all sympathomimetic medications, cardiac arrest and even death may be associated with the abuse of Levalbuterol Inhalation Solution, USP. Treatment consists of discontinuation of Levalbuterol Inhalation Solution, USP together with appropriate symptomatic therapy. The judicious use of a cardioselective beta-receptor blocker may be considered, bearing in mind that such medication can produce bronchospasm. There is insufficient evidence to determine if dialysis is beneficial for overdosage of Levalbuterol Inhalation Solution, USP.

7.3 Diuretics

The ECG changes or hypokalemia that may result from the administration of non-potassium-sparing diuretics (such as loop and thiazide diuretics) can be acutely worsened by beta-agonists, especially when the recommended dose of the beta-agonist is exceeded. Although the clinical significance of these effects is not known, caution is advised in the coadministration of beta-agonists with non-potassium-sparing diuretics. Consider monitoring potassium levels.

11 Description

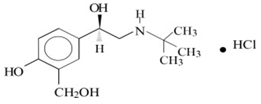
Levalbuterol Inhalation Solution, USP is a sterile, clear, colorless, preservative-free solution of the hydrochloride salt of levalbuterol, the (R)-enantiomer of the drug substance racemic albuterol. Levalbuterol HCl is a relatively selective beta2-adrenergic receptor agonist [see Clinical Pharmacology (12) ]. The chemical name for levalbuterol HCl is (R)-α1-[[(1,1-dimethylethyl)amino]methyl]-4-hydroxy-1,3-benzenedimethanol hydrochloride, and its established chemical structure is as follows:

The molecular weight of levalbuterol HCl is 275.8, and its empirical formula is C13H21NO3∙HCl. It is a white to off-white, crystalline solid, with a melting point of approximately 187°C and solubility of approximately 180 mg/mL in water.

Levalbuterol HCl is the USAN modified name for (R)-albuterol HCl in the United States.

Levalbuterol Inhalation Solution, USP is supplied in unit-dose vials and requires no dilution before administration by nebulization. Each 3 mL unit-dose vial contains 0.31 mg/3 mL (0.0103%) of levalbuterol (as 0.36 mg/3 mL of levalbuterol HCl) or 0.63 mg/3 mL (0.021%) of levalbuterol (as 0.73 mg/3 mL of levalbuterol HCl) or 1.25 mg/3 mL (0.042%) of levalbuterol (as 1.44 mg/3 mL of levalbuterol HCl), sodium chloride to adjust tonicity, edetate disodium (EDTA) as a stabilizer for the active pharmaceutical ingredient, and sulfuric acid to adjust the pH to 4.0 (3.3 to 4.5).

5.8 Hypokalemia

As with other beta-adrenergic agonist medications, Levalbuterol Inhalation Solution, USP may produce significant hypokalemia in some patients, possibly through intracellular shunting, which has the potential to produce adverse cardiovascular effects. The decrease is usually transient, not requiring supplementation.

7.2 Beta Blockers

Beta-adrenergic receptor blocking agents not only block the pulmonary effect of beta-adrenergic agonists such as Levalbuterol Inhalation Solution, USP, but may produce severe bronchospasm in asthmatic patients. Therefore, patients with asthma should not normally be treated with beta-blockers. However, under certain circumstances, e.g., prophylaxis after myocardial infarction, there may be no acceptable alternatives to the use of beta-adrenergic blocking agents in patients with asthma. In this setting, cardioselective beta-blockers should be considered, although they should be administered with caution.

8.4 Pediatric Use

Pediatric Patients 6 Years of Age and Older

The safety and efficacy of Levalbuterol Inhalation Solution, USP have been established in pediatric patients 6 years of age and older in an adequate and well-controlled clinical trial [see Adverse Reactions (6) and Clinical Studies (14) ].

Pediatric Patients less than 6 Years of Age

Levalbuterol Inhalation Solution, USP is not indicated for pediatric patients less than 6 years of age.

Clinical trials with Levalbuterol Inhalation Solution, USP in this age group failed to meet the primary efficacy endpoint and demonstrated an increased number of asthma related adverse reactions following chronic Levalbuterol Inhalation Solution, USP treatment.

Additional information describing clinical studies in which safety and efficacy were not demonstrated in pediatric patients less than 6 years of age is approved for Oak Pharmaceuticals, Inc.’s XOPENEX® (levalbuterol hydrochloride) Inhalation Solution. However, due to Oak Pharmaceuticals, Inc.’s marketing exclusivity rights, this product is not labeled with that pediatric information.

8.5 Geriatric Use

Clinical studies of Levalbuterol Inhalation Solution, USP did not include sufficient numbers of subjects aged 65 years and older to determine whether they respond differently from younger subjects. Only 5 patients 65 years of age and older were treated with Levalbuterol Inhalation Solution, USP in a 4-week clinical study [see Clinical Pharmacology (12) and Clinical Studies (14) ] (n = 2 for 0.63 mg and n = 3 for 1.25 mg). In these patients, bronchodilation was observed after the first dose on day 1 and after 4 weeks of treatment. In general, patients 65 years of age and older should be started at a dose of 0.63 mg of Levalbuterol Inhalation Solution, USP. If clinically warranted due to insufficient bronchodilator response, the dose of Levalbuterol Inhalation Solution, USP may be increased in elderly patients as tolerated, in conjunction with frequent clinical and laboratory monitoring, to the maximum recommended daily dose [see Dosage and Administration (2) ].

4 Contraindications

Levalbuterol Inhalation Solution, USP is contraindicated in patients with a history of hypersensitivity to levalbuterol or racemic albuterol. Reactions have included urticaria, angioedema, rash, bronchospasm, anaphylaxis, and oropharyngeal edema [see Warnings and Precautions (5.6) ].

6 Adverse Reactions

The following serious adverse reactions are described below and elsewhere in the labeling:

7 Drug Interactions
  • Other short-acting sympathomimetic aerosol bronchodilators and adrenergic drugs: May potentiate effect. (7.1)
  • Beta-blockers: May block bronchodilatory effects of beta-agonists and produce severe bronchospasm. Patients with asthma should not normally be treated with beta-blockers. (7.2)
  • Diuretic: May worsen electrocardiographic changes or hypokalemia associated with diuretic may worsen. Consider monitoring potassium levels. (7.3)
  • Digoxin: May decrease serum digoxin levels. Consider monitoring digoxin levels. (7.4)
  • Monoamine oxidase inhibitors (MAOs) or tricyclic antidepressants: May potentiate effect of albuterol on the cardiovascular system. (7.5)
8.3 Nursing Mothers

Plasma concentrations of levalbuterol after inhalation of therapeutic doses are very low in humans. It is not known whether levalbuterol is excreted in human milk.

Because of the potential for tumorigenicity shown for racemic albuterol in animal studies and the lack of experience with the use of Levalbuterol Inhalation Solution, USP by nursing mothers, a decision should be made whether to discontinue nursing or to discontinue the drug, taking into account the importance of the drug to the mother. Caution should be exercised when Levalbuterol Inhalation Solution, USP is administered to a nursing woman.

8.6 Renal Impairment

Albuterol is known to be substantially excreted by the kidney, and the risk of toxic reactions may be greater in patients with impaired renal function. Because elderly patients are more likely to have decreased renal function, care should be taken in dose selection, and it may be useful to monitor renal function.

8.2 Labor and Delivery

Because of the potential for beta-adrenergic agonists to interfere with uterine contractility, the use of Levalbuterol Inhalation Solution, USP for the treatment of bronchospasm during labor should be restricted to those patients in whom the benefits clearly outweigh the risk.

Levalbuterol Inhalation Solution, USP has not been approved for the management of preterm labor. The benefit:risk ratio when levalbuterol HCl is administered for tocolysis has not been established. Serious adverse reactions, including maternal pulmonary edema, have been reported during or following treatment of premature labor with beta2-agonists, including racemic albuterol.

1 Indications and Usage

Levalbuterol Inhalation Solution, USP is indicated for the treatment or prevention of bronchospasm in adults, adolescents, and children 6 years of age and older with reversible obstructive airway disease.

12.1 Mechanism of Action

Activation of beta2-adrenergic receptors on airway smooth muscle leads to the activation of adenylate cyclase and to an increase in the intracellular concentration of cyclic-3′, 5′-adenosine monophosphate (cyclic AMP). The increase in cyclic AMP is associated with the activation of protein kinase A, which in turn inhibits the phosphorylation of myosin and lowers intracellular ionic calcium concentrations, resulting in muscle relaxation. Levalbuterol relaxes the smooth muscles of all airways, from the trachea to the terminal bronchioles. Increased cyclic AMP concentrations are also associated with the inhibition of release of mediators from mast cells in the airway. Levalbuterol acts as a functional antagonist to relax the airway irrespective of the spasmogen involved, thus protecting against all bronchoconstrictor challenges. While it is recognized that beta2-adrenergic receptors are the predominant receptors on bronchial smooth muscle, data indicate that there are beta-receptors in the human heart, 10% to 50% of which are beta2-adrenergic receptors. The precise function of these receptors has not been established [see Warnings and Precautions (5.4) ]. However, all beta-adrenergic agonist drugs can produce a significant cardiovascular effect in some patients, as measured by pulse rate, blood pressure, symptoms, and/or electrocardiographic changes.

5.7 Coexisting Conditions

Levalbuterol Inhalation Solution, USP, like all sympathomimetic amines, should be used with caution in patients with cardiovascular disorders, especially coronary insufficiency, hypertension, and cardiac arrhythmias; in patients with convulsive disorders, hyperthyroidism, or diabetes mellitus; and in patients who are unusually responsive to sympathomimetic amines. Clinically significant changes in systolic and diastolic blood pressure have been seen in individual patients and could be expected to occur in some patients after the use of any beta-adrenergic bronchodilator.

Changes in blood glucose may occur. Large doses of intravenous racemic albuterol have been reported to aggravate preexisting diabetes mellitus and ketoacidosis.

5 Warnings and Precautions
  • Life-threatening paradoxical bronchospasm may occur. Discontinue Levalbuterol Inhalation Solution, USP immediately and treat with alternative therapy. (5.1)
  • Need for more doses of Levalbuterol Inhalation Solution, USP than usual may be a sign of deterioration of asthma and requires reevaluation of treatment. (5.2)
  • Levalbuterol Inhalation Solution, USP is not a substitute for corticosteroids. (5.3)
  • Cardiovascular effects may occur. Consider discontinuation of Levalbuterol Inhalation Solution, USP if these effects occur. Use with caution in patients with underlying cardiovascular disorders. (5.4)
  • Excessive use may be fatal. Do not exceed recommended dose. (5.5)
  • Immediate hypersensitivity reactions may occur. Discontinue Levalbuterol Inhalation Solution, USP immediately. (5.6)
  • Hypokalemia and changes in blood glucose may occur. (5.7, 5.8)
5.4 Cardiovascular Effects

Levalbuterol Inhalation Solution, USP, like other beta-adrenergic agonists, can produce clinically significant cardiovascular effects in some patients, as measured by heart rate, blood pressure, and symptoms. Although such effects are uncommon after administration of Levalbuterol Inhalation Solution, USP at recommended doses, if they occur, the drug may need to be discontinued. In addition, beta-agonists have been reported to produce electrocardiogram (ECG) changes, such as flattening of the t-wave, prolongation of the QTc interval, and ST segment depression. The clinical significance of these findings is unknown. Therefore, Levalbuterol Inhalation Solution, USP, like all sympathomimetic amines, should be used with caution in patients with cardiovascular disorders, especially coronary insufficiency, cardiac arrhythmias, and hypertension.

2 Dosage and Administration

Levalbuterol Inhalation Solution, USP is for oral inhalation only. Administer by nebulization using a standard jet nebulizer (with a face mask or mouthpiece) connected to an air compressor. Do not exceed recommended dose.

5.2 Deterioration of Asthma

Asthma may deteriorate acutely over a period of hours or chronically over several days or longer. If the patient needs more doses of Levalbuterol Inhalation Solution, USP than usual, this may be a marker of destabilization of asthma and requires reevaluation of the patient and treatment regimen, giving special consideration to the possible need for anti-inflammatory treatment, e.g., corticosteroids.

Patient Information Leaflet

Levalbuterol Inhalation Solution, USP



(pronounced lev" al bue' ter ol)

0.31 mg, 0.63 mg, 1.25 mg



3 mL Unit-Dose Vials

Read this Patient Information Leaflet before you start to use Levalbuterol Inhalation Solution, USP and each time you get a refill. There may be new information. This information does not take the place of talking with your doctor about your medical condition or your treatment.

What is Levalbuterol Inhalation Solution, USP?

Levalbuterol Inhalation Solution, USP is an inhaled prescription medicine used for the treatment or prevention of bronchospasm in people 6 years of age and older.

Levalbuterol Inhalation Solution, USP has not been shown to be safe and effective in children younger than 6 years of age.

Levalbuterol Inhalation Solution, USP is supplied in 3 mL unit-dose vials in three different strengths of levalbuterol (0.31 mg, 0.63 mg, 1.25 mg). The vials do not require dilution before use.

Who should not use Levalbuterol Inhalation Solution, USP?

Do not use Levalbuterol Inhalation Solution, USP if you are allergic to levalbuterol, racemic albuterol, or any of the ingredients in Levalbuterol Inhalation Solution, USP. See the end of this leaflet for a complete list of ingredients in Levalbuterol Inhalation Solution, USP.

What should I tell my doctor before using Levalbuterol Inhalation Solution, USP?

Before you use Levalbuterol Inhalation Solution, USP, tell your doctor if you have:

  • had an allergic reaction to levalbuterol or racemic albuterol
  • heart problems
  • high blood pressure
  • seizures
  • diabetes
  • thyroid problems
  • any other medical conditions
  • are pregnant or planning to become pregnant. It is not known if Levalbuterol Inhalation Solution, USP will harm your unborn baby. Talk to your doctor if you are pregnant or plan to become pregnant.
  • are breastfeeding or plan to breastfeed. It is not known if Levalbuterol Inhalation Solution, USP passes into your breast milk. You and your doctor should decide if you will use Levalbuterol Inhalation Solution, USP or breastfeed. You should not do both.

Tell your doctor about all the medicines you take including prescription and over-the-counter medicines, vitamins, and herbal supplements. Levalbuterol Inhalation Solution, USP may affect the way other medicines work, and other medicines may affect how Levalbuterol Inhalation Solution, USP works.

Especially tell your doctor if you take:

  • other asthma medicines
  • heart medicines
  • medicines that increase urination (diuretics)
  • antidepressants
  • medicine to treat chronic obstructive pulmonary disease (COPD)

Ask your doctor if you are not sure if any of your medicines are the kinds listed above.

Know the medicines you take. Keep a list of them and show it to your doctor and pharmacist when you get a new medicine.

How should I use Levalbuterol Inhalation Solution, USP?

  • Read the step-by-step Instructions for Using Levalbuterol Inhalation Solution, USP at the end of this leaflet.
  • Use Levalbuterol Inhalation Solution, USP exactly as your doctor tells you to. Do not change your dose without talking to your doctor first.
  • Your doctor will tell you how many times and when to use your Levalbuterol Inhalation Solution, USP.
  • An adult should help a child use Levalbuterol Inhalation Solution, USP.
  • Do not use your Levalbuterol Inhalation Solution, USP more often than your doctor tells you to.
  • Get medical help right away if Levalbuterol Inhalation Solution, USP:
    • does not work as well for your asthma symptoms or
    • your asthma symptoms get worse or
    • you need to use your Levalbuterol Inhalation Solution, USP more often than usual
  • If you also use another medicine by inhalation, you should ask your doctor for instructions on when to use it while you are also using Levalbuterol Inhalation Solution, USP.
  • Do not mix Levalbuterol Inhalation Solution, USP with other medicines in your nebulizer.
  • Only use Levalbuterol Inhalation Solution, USP if it is colorless. Throw away the Levalbuterol Inhalation Solution, USP vial if the liquid medicine is not colorless.
  • Do not use Levalbuterol Inhalation Solution, USP after the expiration date on the vial.

What are the possible side effects of Levalbuterol Inhalation Solution, USP?

Levalbuterol Inhalation Solution, USP can cause serious side effects including:

  • sudden shortness of breath (bronchospasm). Sudden shortness of breath can happen right away after using Levalbuterol Inhalation Solution, USP.
  • worsening asthma
  • heart problems
  • death. If you use too much Levalbuterol Inhalation Solution, USP you can have heart or lung problems that can lead to death.
  • serious allergic reactions. Call your doctor and stop using Levalbuterol Inhalation Solution, USP right away if you have any symptoms of an allergic reaction such as:
    • swelling of the face, throat or tongue
    • hives
    • rash
    • breathing problems
  • low potassium levels in your blood

Call your doctor or go to the nearest hospital emergency room right away if you have any of the serious side effects listed above or if you have worsening lung symptoms.

The most common side effects of Levalbuterol Inhalation Solution, USP include:

  • palpitations
  • chest pain
  • fast heart rate
  • headache
  • dizziness
  • tremor
  • nervousness

Tell your doctor if you have any side effects that bother you or that do not go away.

These are not all the possible side effects of Levalbuterol Inhalation Solution, USP. For more information, ask your doctor or pharmacist.

Call your doctor for medical advice about side effects. You may report side effects to FDA at 1-800-FDA-1088.

How should I store Levalbuterol Inhalation Solution, USP?

  • Store unopened Levalbuterol Inhalation Solution, USP vials in the protective foil pouch they come in at 20°-25°C (68°-77°F).
  • Keep Levalbuterol Inhalation Solution, USP away from light and heat.
  • When a Levalbuterol Inhalation Solution, USP foil pouch is opened, use the vials within 2 weeks.
  • When Levalbuterol Inhalation Solution, USP vials are removed from the foil pouch, use them right away or within 1 week.

Keep Levalbuterol Inhalation Solution, USP and all medicines out of the reach of children.

General information about the safe and effective use of Levalbuterol Inhalation Solution, USP.

Medicines are sometimes prescribed for purposes other than those listed in a Patient Information Leaflet. Do not use Levalbuterol Inhalation Solution, USP for a condition for which it was not prescribed. Do not give Levalbuterol Inhalation Solution, USP to other people, even if they have the same symptoms that you have. It may harm them.

This Patient Information Leaflet summarizes the most important information about Levalbuterol Inhalation Solution, USP. If you would like more information, talk with your doctor. You can ask your pharmacist or doctor for information about Levalbuterol Inhalation Solution, USP that is written for health professionals.

To report SUSPECTED ADVERSE REACTIONS, contact Amneal Pharmaceuticals at 1-877-835-5472 or FDA at 1-800-FDA-1088 or www.fda.gov/medwatch.

What are the ingredients in Levalbuterol Inhalation Solution, USP?

Active ingredient: levalbuterol hydrochloride

Inactive ingredients: sodium chloride, edetate disodium, sulfuric acid, and water

3 Dosage Forms and Strengths

Inhalation Solution 3 mL unit-dose, vials in three dosage strengths of levalbuterol; 0.31 mg, 0.63 mg, 1.25 mg.

5.1 Paradoxical Bronchospasm

Levalbuterol Inhalation Solution, USP can produce paradoxical bronchospasm, which may be life-threatening. If paradoxical bronchospasm occurs, Levalbuterol Inhalation Solution, USP should be discontinued immediately and alternative therapy instituted. It should be recognized that paradoxical bronchospasm, when associated with inhaled formulations, frequently occurs with the first use of a new vial.

6.2 Post Marketing Experience

In addition to the adverse reactions reported in clinical trials, the following adverse reactions have been observed in postapproval use of Levalbuterol Inhalation Solution, USP. Because these reactions are reported voluntarily from a population of uncertain size, it is not always possible to reliably estimate their frequency or establish a causal relationship to drug exposure. These events have been chosen for inclusion due to their seriousness, their frequency of reporting, or their likely beta-mediated mechanism: angioedema, anaphylaxis, arrhythmias (including atrial fibrillation, supraventricular tachycardia, extrasystoles), asthma, chest pain, cough increased, dysphonia, dyspnea, gastrooesophageal reflux disease (GERD), metabolic acidosis, nausea, nervousness, rash, tachycardia, tremor, urticaria.

In addition, Levalbuterol Inhalation Solution, USP, like other sympathomimetic agents, can cause adverse reactions such as hypertension, angina, vertigo, central nervous system stimulation, sleeplessness, headache, and drying or irritation of the oropharynx.

6.1 Clinical Trials Experience

Because clinical trials are conducted under widely varying conditions, adverse reaction rates observed in the clinical trials of the drug cannot be directly compared with rates in the clinical trials of another drug and may not reflect the rates observed in practice.

7.1 Short Acting Bronchodilators

Avoid concomitant use of other short-acting sympathomimetic bronchodilators or epinephrine in patients being treated with Levalbuterol Inhalation Solution, USP. If additional adrenergic drugs are to be administered by any route, they should be used with caution to avoid deleterious cardiovascular effects.

17 Patient Counseling Information

See FDA-approved patient labeling (Patient Information Leaflet and Instructions for Using Levalbuterol Inhalation Solution, USP).

Patients should be given the following information:

5.5 Do Not Exceed Recommended Dose

Do not exceed the recommended dose. Fatalities have been reported in association with excessive use of inhaled sympathomimetic drugs in patients with asthma. The exact cause of death is unknown, but cardiac arrest following an unexpected development of a severe acute asthmatic crisis and subsequent hypoxia is suspected.

5.3 Use of Anti Inflammatory Agents

Levalbuterol Inhalation Solution, USP is not a substitute for corticosteroids. The use of beta-adrenergic agonist alone may not be adequate to control asthma in many patients. Early consideration should be given to adding anti-inflammatory agents, e.g., corticosteroids, to the therapeutic regimen.

16 How Supplied/storage and Handling

Levalbuterol Inhalation Solution, USP is supplied in 3 mL unit-dose, low-density polyethylene (LDPE) vials as a clear, colorless, sterile, preservative-free, aqueous solution, in three different strengths of levalbuterol (0.31 mg, 0.63 mg, 1.25 mg).

Levalbuterol Inhalation Solution, USP, 0.31 mg/3 mL (foil pouch label color green) contains 0.31 mg/3 mL (0.0103%) of levalbuterol (as 0.36 mg/3 mL of levalbuterol HCl) and is available in cartons as listed below.

NDC 0115-9930-78 25 vials per carton / 25 vials per foil pouch

Levalbuterol Inhalation Solution, USP, 0.63 mg/3 mL (foil pouch label color yellow) contains 0.63 mg/3 mL (0.021%) of levalbuterol (as 0.73 mg/3 mL of levalbuterol HCl) and is available in cartons as listed below.

NDC 0115-9931-78 25 vials per carton / 25 vials per foil pouch

Levalbuterol Inhalation Solution, USP, 1.25 mg/3 mL (foil pouch label color red) contains 1.25 mg/3 mL (0.042%) of levalbuterol (as 1.44 mg/3 mL of levalbuterol HCl) and is available in cartons as listed below.

NDC 0115-9932-78 25 vials per carton / 25 vials per foil pouch

5.6 Immediate Hypersensitivity Reactions

Immediate hypersensitivity reactions may occur after administration of levalbuterol or racemic albuterol. Reactions have included urticaria, angioedema, rash, bronchospasm, anaphylaxis, and oropharyngeal edema. The potential for hypersensitivity must be considered in the clinical evaluation of patients who experience immediate hypersensitivity reactions while receiving Levalbuterol Inhalation Solution, USP.

Principal Display Panel 0.31 Mg 24 Vials Carton

NDC 0115-9930-78

Levalbuterol Inhalation Solution, USP

0.31 mg (0.0103%)

0.31 mg/3 mL

Rx only

Principal Display Panel 0.63 Mg 24 Vials Carton

NDC 0115-9931-78

Levalbuterol Inhalation Solution, USP

0.63 mg (0.021%)

0.63 mg/3 mL

Rx only

Principal Display Panel 1.25 Mg 24 Vials Carton

NDC 0115-9932-78

Levalbuterol Inhalation Solution, USP

1.25 mg (0.042%)

1.25 mg/3 mL

Rx only

13.1 Carcinogenesis, Mutagenesis, Impairment of Fertility

Although there have been no carcinogenesis studies with levalbuterol HCl, racemic albuterol sulfate has been evaluated for its carcinogenic potential.

In a 2-year study in Sprague-Dawley rats, dietary administration of racemic albuterol sulfate resulted in a significant dose-related increase in the incidence of benign leiomyomas of the mesovarium at doses of 2 mg/kg/day and greater (approximately 4 times the MRDI dose of levalbuterol HCl for adults and approximately 5 times the MRDI dose of levalbuterol HCl for children on a mg/m2 basis). In an 18-month study in CD-1 mice and a 22-month study in the golden hamster, dietary administration of racemic albuterol sulfate showed no evidence of tumorigenicity. Dietary doses in CD-1 mice were up to 500 mg/kg/day (approximately 540 times the MRDI dose of levalbuterol HCl for adults and approximately 630 times the MRDI dose of levalbuterol HCl for children on a mg/m2 basis) and doses in the golden hamster study were up to 50 mg/kg/day (approximately 90 times the MRDI dose of levalbuterol HCl for adults on a mg/m2 basis and approximately 105 times the MRDI dose of levalbuterol HCl for children on a mg/m2 basis).

Levalbuterol HCl was not mutagenic in the Ames test or the CHO/HPRT Mammalian Forward Gene Mutation Assay. Levalbuterol HCl was not clastogenic in the in vivo micronucleus test in mouse bone marrow. Racemic albuterol sulfate was not clastogenic in an in vitro chromosomal aberration assay in CHO cell cultures.

No fertility studies have been conducted with levalbuterol hydrochloride. Reproduction studies in rats using racemic albuterol sulfate demonstrated no evidence of impaired fertility at oral doses up to 50 mg/kg/day (approximately 108 times the maximum recommended daily inhalation dose of levalbuterol HCl for adults on a mg/m2 basis).

Instructions for Using Levalbuterol Inhalation Solution, Usp

Levalbuterol Inhalation Solution, USP vial (see Figure A):

Figure A

Using your Levalbuterol Inhalation Solution, USP:

Read the following Steps before using your Levalbuterol Inhalation Solution, USP. If you have any questions, ask your doctor or pharmacist.

Step 1. Open the foil pouch by tearing the notched edge along the seam of the pouch (see Figure B). Remove 1 vial to be used right away. Keep the rest of the unused vials in the foil pouch to protect them from light and heat.

Figure B

Step 2. Hold the vial in your hands. Make sure your thumb and finger cover the twist-off tabs below the top (see Figure C).

Figure C

Step 3. While holding the top firmly between your thumb and finger, twist the body of the vial to open the vial (see Figure C).

Step 4. Throw away the top of the vial and squeeze the entire contents of the vial into the nebulizer reservoir (see Figure D).

Figure D

Step 5. Connect the nebulizer reservoir to the mouthpiece (see Figure E.1) or face mask (see Figure E.2).

Step 6. Connect the nebulizer to the compressor (see Figure F).

Figure F

Step 7. Sit in a comfortable, upright position. Place the mouthpiece in your mouth (see Figure G.1) or put on your face mask (see Figure G.2). Turn on the compressor.

Step 8. Breathe as calmly, deeply, and evenly as possible until no more mist is seen in the nebulizer reservoir. Your treatment will take about 5 to 15 minutes. When you do not see any mist in the nebulizer reservoir, your treatment is finished.

Step 9. Clean and store your nebulizer. See the manufacturer's instructions that come with your nebulizer for how to clean and store your nebulizer.

This Patient Information Leaflet and Instructions for Use have been approved by the U.S. Food and Drug Administration.

Manufactured by:  

The Ritedose Corporation

Columbia, SC 29203 USA

Distributed by:

Amneal Pharmaceuticals LLC

Bridgewater, NJ 08807    

To report SUSPECTED ADVERSE REACTIONS, contact Amneal Pharmaceuticals at 1-877-835-5472 or FDA at 1-800-FDA-1088 or www.fda.gov/medwatch.

Rev. 12-2018-00

                            

7.5 Monoamine Oxidase Inhibitors Or Tricyclic Antidepressants

Levalbuterol Inhalation Solution, USP should be administered with extreme caution to patients being treated with monoamine oxidase inhibitors or tricyclic antidepressants, or within 2 weeks of discontinuation of such agents, because the action of levalbuterol on the vascular system may be potentiated. Consider alternative therapy in patients taking MAO inhibitors or tricyclic antidepressants.


Structured Label Content

Section 34077-8 (34077-8)

Teratogenic Effects: Pregnancy Category C.

There are no adequate and well-controlled studies of Levalbuterol Inhalation Solution, USP in pregnant women. Because animal reproduction studies are not always predictive of human response, Levalbuterol Inhalation Solution, USP should be used during pregnancy only if the potential benefit justifies the potential risk to the fetus.

During worldwide marketing experience, various congenital anomalies, including cleft palate and limb defects, have been reported in newborns of women treated with racemic albuterol which contains the levalbuterol isomer (active drug substance of Levalbuterol Inhalation Solution, USP). However, since multiple medications were taken during some of the pregnancies and there was no consistent pattern of anomalies, it was not possible to establish a relationship between racemic albuterol use and the occurrence of these congenital anomalies.

In animal studies, oral administration of levalbuterol HCl to pregnant New Zealand White rabbits found no evidence of teratogenicity at doses up to 25 mg/kg/day (approximately 108 times the maximum recommended daily inhalation [MRDI] dose of levalbuterol HCl for adults on a mg/m2 basis).

However, other studies demonstrated that racemic albuterol sulfate was teratogenic in mice and rabbits at doses comparable to the human therapeutic range. Pregnant mice administered racemic albuterol sulfate subcutaneously had a dose-related increased incidence of cleft palate in their fetuses (4.5% of fetuses at 0.25 mg/kg/day or greater, corresponding to approximately 0.3 times the MRDI dose, 9.3% of fetuses at 2.5 mg/kg/day, approximately 3 times the MRDI dose of levalbuterol HCl for adults on a mg/m2 basis). The drug did not induce cleft palate formation when administered subcutaneously at a dose of 0.025 mg/kg/day (approximately 0.03 times the MRDI dose of levalbuterol HCl for adults on a mg/m2 basis). In addition, oral administration of racemic albuterol sulfate to pregnant rabbits resulted in an increased incidence of cranioschisis in fetuses (approximately 215 times the MRDI dose of levalbuterol HCl for adults on a mg/m2 basis).

Section 34078-6 (34078-6)

Non-Teratogenic Effects:

A study in which pregnant rats were dosed with radiolabeled racemic albuterol sulfate demonstrated that drug-related material is transferred from the maternal circulation to the fetus.

Section 42229-5 (42229-5)

Children 6-11 years old: The recommended dosage of Levalbuterol Inhalation Solution, USP for patients 6-11 years old is 0.31 mg administered three times a day, by nebulization. Routine dosing should not exceed 0.63 mg three times a day.

Section 44425-7 (44425-7)

Store Levalbuterol Inhalation Solution, USP in the protective foil pouch at 20°- 25°C (68°- 77°F) [see USP Controlled Room Temperature]. Protect from light and excessive heat. Keep unopened vials in the foil pouch. Once the foil pouch is opened, the vials should be used within 2 weeks. Vials removed from the pouch, if not used immediately, should be protected from light and used within 1 week. Discard any vial if the solution is not colorless.

Rx only

7.4 Digoxin

Mean decreases of 16% and 22% in serum digoxin levels were demonstrated after single-dose intravenous and oral administration of racemic albuterol, respectively, to normal volunteers who had received digoxin for 10 days. The clinical significance of these findings for patients with obstructive airway disease who are receiving Levalbuterol Inhalation Solution, USP and digoxin on a chronic basis is unclear. Nevertheless, it would be prudent to carefully evaluate the serum digoxin levels in patients who are currently receiving digoxin and Levalbuterol Inhalation Solution, USP.

10 Overdosage (10 OVERDOSAGE)

The expected symptoms with overdosage are those of excessive beta-adrenergic receptor stimulation and/or occurrence or exaggeration of any of the symptoms listed under Adverse Reactions (6) , e.g., seizures, angina, hypertension or hypotension, tachycardia with rates up to 200 beats/min., arrhythmias, nervousness, headache, tremor, dry mouth, palpitation, nausea, dizziness, fatigue, malaise, and sleeplessness. Hypokalemia also may occur. As with all sympathomimetic medications, cardiac arrest and even death may be associated with the abuse of Levalbuterol Inhalation Solution, USP. Treatment consists of discontinuation of Levalbuterol Inhalation Solution, USP together with appropriate symptomatic therapy. The judicious use of a cardioselective beta-receptor blocker may be considered, bearing in mind that such medication can produce bronchospasm. There is insufficient evidence to determine if dialysis is beneficial for overdosage of Levalbuterol Inhalation Solution, USP.

7.3 Diuretics

The ECG changes or hypokalemia that may result from the administration of non-potassium-sparing diuretics (such as loop and thiazide diuretics) can be acutely worsened by beta-agonists, especially when the recommended dose of the beta-agonist is exceeded. Although the clinical significance of these effects is not known, caution is advised in the coadministration of beta-agonists with non-potassium-sparing diuretics. Consider monitoring potassium levels.

11 Description (11 DESCRIPTION)

Levalbuterol Inhalation Solution, USP is a sterile, clear, colorless, preservative-free solution of the hydrochloride salt of levalbuterol, the (R)-enantiomer of the drug substance racemic albuterol. Levalbuterol HCl is a relatively selective beta2-adrenergic receptor agonist [see Clinical Pharmacology (12) ]. The chemical name for levalbuterol HCl is (R)-α1-[[(1,1-dimethylethyl)amino]methyl]-4-hydroxy-1,3-benzenedimethanol hydrochloride, and its established chemical structure is as follows:

The molecular weight of levalbuterol HCl is 275.8, and its empirical formula is C13H21NO3∙HCl. It is a white to off-white, crystalline solid, with a melting point of approximately 187°C and solubility of approximately 180 mg/mL in water.

Levalbuterol HCl is the USAN modified name for (R)-albuterol HCl in the United States.

Levalbuterol Inhalation Solution, USP is supplied in unit-dose vials and requires no dilution before administration by nebulization. Each 3 mL unit-dose vial contains 0.31 mg/3 mL (0.0103%) of levalbuterol (as 0.36 mg/3 mL of levalbuterol HCl) or 0.63 mg/3 mL (0.021%) of levalbuterol (as 0.73 mg/3 mL of levalbuterol HCl) or 1.25 mg/3 mL (0.042%) of levalbuterol (as 1.44 mg/3 mL of levalbuterol HCl), sodium chloride to adjust tonicity, edetate disodium (EDTA) as a stabilizer for the active pharmaceutical ingredient, and sulfuric acid to adjust the pH to 4.0 (3.3 to 4.5).

5.8 Hypokalemia

As with other beta-adrenergic agonist medications, Levalbuterol Inhalation Solution, USP may produce significant hypokalemia in some patients, possibly through intracellular shunting, which has the potential to produce adverse cardiovascular effects. The decrease is usually transient, not requiring supplementation.

7.2 Beta Blockers (7.2 Beta-blockers)

Beta-adrenergic receptor blocking agents not only block the pulmonary effect of beta-adrenergic agonists such as Levalbuterol Inhalation Solution, USP, but may produce severe bronchospasm in asthmatic patients. Therefore, patients with asthma should not normally be treated with beta-blockers. However, under certain circumstances, e.g., prophylaxis after myocardial infarction, there may be no acceptable alternatives to the use of beta-adrenergic blocking agents in patients with asthma. In this setting, cardioselective beta-blockers should be considered, although they should be administered with caution.

8.4 Pediatric Use

Pediatric Patients 6 Years of Age and Older

The safety and efficacy of Levalbuterol Inhalation Solution, USP have been established in pediatric patients 6 years of age and older in an adequate and well-controlled clinical trial [see Adverse Reactions (6) and Clinical Studies (14) ].

Pediatric Patients less than 6 Years of Age

Levalbuterol Inhalation Solution, USP is not indicated for pediatric patients less than 6 years of age.

Clinical trials with Levalbuterol Inhalation Solution, USP in this age group failed to meet the primary efficacy endpoint and demonstrated an increased number of asthma related adverse reactions following chronic Levalbuterol Inhalation Solution, USP treatment.

Additional information describing clinical studies in which safety and efficacy were not demonstrated in pediatric patients less than 6 years of age is approved for Oak Pharmaceuticals, Inc.’s XOPENEX® (levalbuterol hydrochloride) Inhalation Solution. However, due to Oak Pharmaceuticals, Inc.’s marketing exclusivity rights, this product is not labeled with that pediatric information.

8.5 Geriatric Use

Clinical studies of Levalbuterol Inhalation Solution, USP did not include sufficient numbers of subjects aged 65 years and older to determine whether they respond differently from younger subjects. Only 5 patients 65 years of age and older were treated with Levalbuterol Inhalation Solution, USP in a 4-week clinical study [see Clinical Pharmacology (12) and Clinical Studies (14) ] (n = 2 for 0.63 mg and n = 3 for 1.25 mg). In these patients, bronchodilation was observed after the first dose on day 1 and after 4 weeks of treatment. In general, patients 65 years of age and older should be started at a dose of 0.63 mg of Levalbuterol Inhalation Solution, USP. If clinically warranted due to insufficient bronchodilator response, the dose of Levalbuterol Inhalation Solution, USP may be increased in elderly patients as tolerated, in conjunction with frequent clinical and laboratory monitoring, to the maximum recommended daily dose [see Dosage and Administration (2) ].

4 Contraindications (4 CONTRAINDICATIONS)

Levalbuterol Inhalation Solution, USP is contraindicated in patients with a history of hypersensitivity to levalbuterol or racemic albuterol. Reactions have included urticaria, angioedema, rash, bronchospasm, anaphylaxis, and oropharyngeal edema [see Warnings and Precautions (5.6) ].

6 Adverse Reactions (6 ADVERSE REACTIONS)

The following serious adverse reactions are described below and elsewhere in the labeling:

7 Drug Interactions (7 DRUG INTERACTIONS)
  • Other short-acting sympathomimetic aerosol bronchodilators and adrenergic drugs: May potentiate effect. (7.1)
  • Beta-blockers: May block bronchodilatory effects of beta-agonists and produce severe bronchospasm. Patients with asthma should not normally be treated with beta-blockers. (7.2)
  • Diuretic: May worsen electrocardiographic changes or hypokalemia associated with diuretic may worsen. Consider monitoring potassium levels. (7.3)
  • Digoxin: May decrease serum digoxin levels. Consider monitoring digoxin levels. (7.4)
  • Monoamine oxidase inhibitors (MAOs) or tricyclic antidepressants: May potentiate effect of albuterol on the cardiovascular system. (7.5)
8.3 Nursing Mothers

Plasma concentrations of levalbuterol after inhalation of therapeutic doses are very low in humans. It is not known whether levalbuterol is excreted in human milk.

Because of the potential for tumorigenicity shown for racemic albuterol in animal studies and the lack of experience with the use of Levalbuterol Inhalation Solution, USP by nursing mothers, a decision should be made whether to discontinue nursing or to discontinue the drug, taking into account the importance of the drug to the mother. Caution should be exercised when Levalbuterol Inhalation Solution, USP is administered to a nursing woman.

8.6 Renal Impairment

Albuterol is known to be substantially excreted by the kidney, and the risk of toxic reactions may be greater in patients with impaired renal function. Because elderly patients are more likely to have decreased renal function, care should be taken in dose selection, and it may be useful to monitor renal function.

8.2 Labor and Delivery

Because of the potential for beta-adrenergic agonists to interfere with uterine contractility, the use of Levalbuterol Inhalation Solution, USP for the treatment of bronchospasm during labor should be restricted to those patients in whom the benefits clearly outweigh the risk.

Levalbuterol Inhalation Solution, USP has not been approved for the management of preterm labor. The benefit:risk ratio when levalbuterol HCl is administered for tocolysis has not been established. Serious adverse reactions, including maternal pulmonary edema, have been reported during or following treatment of premature labor with beta2-agonists, including racemic albuterol.

1 Indications and Usage (1 INDICATIONS AND USAGE)

Levalbuterol Inhalation Solution, USP is indicated for the treatment or prevention of bronchospasm in adults, adolescents, and children 6 years of age and older with reversible obstructive airway disease.

12.1 Mechanism of Action

Activation of beta2-adrenergic receptors on airway smooth muscle leads to the activation of adenylate cyclase and to an increase in the intracellular concentration of cyclic-3′, 5′-adenosine monophosphate (cyclic AMP). The increase in cyclic AMP is associated with the activation of protein kinase A, which in turn inhibits the phosphorylation of myosin and lowers intracellular ionic calcium concentrations, resulting in muscle relaxation. Levalbuterol relaxes the smooth muscles of all airways, from the trachea to the terminal bronchioles. Increased cyclic AMP concentrations are also associated with the inhibition of release of mediators from mast cells in the airway. Levalbuterol acts as a functional antagonist to relax the airway irrespective of the spasmogen involved, thus protecting against all bronchoconstrictor challenges. While it is recognized that beta2-adrenergic receptors are the predominant receptors on bronchial smooth muscle, data indicate that there are beta-receptors in the human heart, 10% to 50% of which are beta2-adrenergic receptors. The precise function of these receptors has not been established [see Warnings and Precautions (5.4) ]. However, all beta-adrenergic agonist drugs can produce a significant cardiovascular effect in some patients, as measured by pulse rate, blood pressure, symptoms, and/or electrocardiographic changes.

5.7 Coexisting Conditions

Levalbuterol Inhalation Solution, USP, like all sympathomimetic amines, should be used with caution in patients with cardiovascular disorders, especially coronary insufficiency, hypertension, and cardiac arrhythmias; in patients with convulsive disorders, hyperthyroidism, or diabetes mellitus; and in patients who are unusually responsive to sympathomimetic amines. Clinically significant changes in systolic and diastolic blood pressure have been seen in individual patients and could be expected to occur in some patients after the use of any beta-adrenergic bronchodilator.

Changes in blood glucose may occur. Large doses of intravenous racemic albuterol have been reported to aggravate preexisting diabetes mellitus and ketoacidosis.

5 Warnings and Precautions (5 WARNINGS AND PRECAUTIONS)
  • Life-threatening paradoxical bronchospasm may occur. Discontinue Levalbuterol Inhalation Solution, USP immediately and treat with alternative therapy. (5.1)
  • Need for more doses of Levalbuterol Inhalation Solution, USP than usual may be a sign of deterioration of asthma and requires reevaluation of treatment. (5.2)
  • Levalbuterol Inhalation Solution, USP is not a substitute for corticosteroids. (5.3)
  • Cardiovascular effects may occur. Consider discontinuation of Levalbuterol Inhalation Solution, USP if these effects occur. Use with caution in patients with underlying cardiovascular disorders. (5.4)
  • Excessive use may be fatal. Do not exceed recommended dose. (5.5)
  • Immediate hypersensitivity reactions may occur. Discontinue Levalbuterol Inhalation Solution, USP immediately. (5.6)
  • Hypokalemia and changes in blood glucose may occur. (5.7, 5.8)
5.4 Cardiovascular Effects

Levalbuterol Inhalation Solution, USP, like other beta-adrenergic agonists, can produce clinically significant cardiovascular effects in some patients, as measured by heart rate, blood pressure, and symptoms. Although such effects are uncommon after administration of Levalbuterol Inhalation Solution, USP at recommended doses, if they occur, the drug may need to be discontinued. In addition, beta-agonists have been reported to produce electrocardiogram (ECG) changes, such as flattening of the t-wave, prolongation of the QTc interval, and ST segment depression. The clinical significance of these findings is unknown. Therefore, Levalbuterol Inhalation Solution, USP, like all sympathomimetic amines, should be used with caution in patients with cardiovascular disorders, especially coronary insufficiency, cardiac arrhythmias, and hypertension.

2 Dosage and Administration (2 DOSAGE AND ADMINISTRATION)

Levalbuterol Inhalation Solution, USP is for oral inhalation only. Administer by nebulization using a standard jet nebulizer (with a face mask or mouthpiece) connected to an air compressor. Do not exceed recommended dose.

5.2 Deterioration of Asthma

Asthma may deteriorate acutely over a period of hours or chronically over several days or longer. If the patient needs more doses of Levalbuterol Inhalation Solution, USP than usual, this may be a marker of destabilization of asthma and requires reevaluation of the patient and treatment regimen, giving special consideration to the possible need for anti-inflammatory treatment, e.g., corticosteroids.

Patient Information Leaflet (PATIENT INFORMATION LEAFLET)

Levalbuterol Inhalation Solution, USP



(pronounced lev" al bue' ter ol)

0.31 mg, 0.63 mg, 1.25 mg



3 mL Unit-Dose Vials

Read this Patient Information Leaflet before you start to use Levalbuterol Inhalation Solution, USP and each time you get a refill. There may be new information. This information does not take the place of talking with your doctor about your medical condition or your treatment.

What is Levalbuterol Inhalation Solution, USP?

Levalbuterol Inhalation Solution, USP is an inhaled prescription medicine used for the treatment or prevention of bronchospasm in people 6 years of age and older.

Levalbuterol Inhalation Solution, USP has not been shown to be safe and effective in children younger than 6 years of age.

Levalbuterol Inhalation Solution, USP is supplied in 3 mL unit-dose vials in three different strengths of levalbuterol (0.31 mg, 0.63 mg, 1.25 mg). The vials do not require dilution before use.

Who should not use Levalbuterol Inhalation Solution, USP?

Do not use Levalbuterol Inhalation Solution, USP if you are allergic to levalbuterol, racemic albuterol, or any of the ingredients in Levalbuterol Inhalation Solution, USP. See the end of this leaflet for a complete list of ingredients in Levalbuterol Inhalation Solution, USP.

What should I tell my doctor before using Levalbuterol Inhalation Solution, USP?

Before you use Levalbuterol Inhalation Solution, USP, tell your doctor if you have:

  • had an allergic reaction to levalbuterol or racemic albuterol
  • heart problems
  • high blood pressure
  • seizures
  • diabetes
  • thyroid problems
  • any other medical conditions
  • are pregnant or planning to become pregnant. It is not known if Levalbuterol Inhalation Solution, USP will harm your unborn baby. Talk to your doctor if you are pregnant or plan to become pregnant.
  • are breastfeeding or plan to breastfeed. It is not known if Levalbuterol Inhalation Solution, USP passes into your breast milk. You and your doctor should decide if you will use Levalbuterol Inhalation Solution, USP or breastfeed. You should not do both.

Tell your doctor about all the medicines you take including prescription and over-the-counter medicines, vitamins, and herbal supplements. Levalbuterol Inhalation Solution, USP may affect the way other medicines work, and other medicines may affect how Levalbuterol Inhalation Solution, USP works.

Especially tell your doctor if you take:

  • other asthma medicines
  • heart medicines
  • medicines that increase urination (diuretics)
  • antidepressants
  • medicine to treat chronic obstructive pulmonary disease (COPD)

Ask your doctor if you are not sure if any of your medicines are the kinds listed above.

Know the medicines you take. Keep a list of them and show it to your doctor and pharmacist when you get a new medicine.

How should I use Levalbuterol Inhalation Solution, USP?

  • Read the step-by-step Instructions for Using Levalbuterol Inhalation Solution, USP at the end of this leaflet.
  • Use Levalbuterol Inhalation Solution, USP exactly as your doctor tells you to. Do not change your dose without talking to your doctor first.
  • Your doctor will tell you how many times and when to use your Levalbuterol Inhalation Solution, USP.
  • An adult should help a child use Levalbuterol Inhalation Solution, USP.
  • Do not use your Levalbuterol Inhalation Solution, USP more often than your doctor tells you to.
  • Get medical help right away if Levalbuterol Inhalation Solution, USP:
    • does not work as well for your asthma symptoms or
    • your asthma symptoms get worse or
    • you need to use your Levalbuterol Inhalation Solution, USP more often than usual
  • If you also use another medicine by inhalation, you should ask your doctor for instructions on when to use it while you are also using Levalbuterol Inhalation Solution, USP.
  • Do not mix Levalbuterol Inhalation Solution, USP with other medicines in your nebulizer.
  • Only use Levalbuterol Inhalation Solution, USP if it is colorless. Throw away the Levalbuterol Inhalation Solution, USP vial if the liquid medicine is not colorless.
  • Do not use Levalbuterol Inhalation Solution, USP after the expiration date on the vial.

What are the possible side effects of Levalbuterol Inhalation Solution, USP?

Levalbuterol Inhalation Solution, USP can cause serious side effects including:

  • sudden shortness of breath (bronchospasm). Sudden shortness of breath can happen right away after using Levalbuterol Inhalation Solution, USP.
  • worsening asthma
  • heart problems
  • death. If you use too much Levalbuterol Inhalation Solution, USP you can have heart or lung problems that can lead to death.
  • serious allergic reactions. Call your doctor and stop using Levalbuterol Inhalation Solution, USP right away if you have any symptoms of an allergic reaction such as:
    • swelling of the face, throat or tongue
    • hives
    • rash
    • breathing problems
  • low potassium levels in your blood

Call your doctor or go to the nearest hospital emergency room right away if you have any of the serious side effects listed above or if you have worsening lung symptoms.

The most common side effects of Levalbuterol Inhalation Solution, USP include:

  • palpitations
  • chest pain
  • fast heart rate
  • headache
  • dizziness
  • tremor
  • nervousness

Tell your doctor if you have any side effects that bother you or that do not go away.

These are not all the possible side effects of Levalbuterol Inhalation Solution, USP. For more information, ask your doctor or pharmacist.

Call your doctor for medical advice about side effects. You may report side effects to FDA at 1-800-FDA-1088.

How should I store Levalbuterol Inhalation Solution, USP?

  • Store unopened Levalbuterol Inhalation Solution, USP vials in the protective foil pouch they come in at 20°-25°C (68°-77°F).
  • Keep Levalbuterol Inhalation Solution, USP away from light and heat.
  • When a Levalbuterol Inhalation Solution, USP foil pouch is opened, use the vials within 2 weeks.
  • When Levalbuterol Inhalation Solution, USP vials are removed from the foil pouch, use them right away or within 1 week.

Keep Levalbuterol Inhalation Solution, USP and all medicines out of the reach of children.

General information about the safe and effective use of Levalbuterol Inhalation Solution, USP.

Medicines are sometimes prescribed for purposes other than those listed in a Patient Information Leaflet. Do not use Levalbuterol Inhalation Solution, USP for a condition for which it was not prescribed. Do not give Levalbuterol Inhalation Solution, USP to other people, even if they have the same symptoms that you have. It may harm them.

This Patient Information Leaflet summarizes the most important information about Levalbuterol Inhalation Solution, USP. If you would like more information, talk with your doctor. You can ask your pharmacist or doctor for information about Levalbuterol Inhalation Solution, USP that is written for health professionals.

To report SUSPECTED ADVERSE REACTIONS, contact Amneal Pharmaceuticals at 1-877-835-5472 or FDA at 1-800-FDA-1088 or www.fda.gov/medwatch.

What are the ingredients in Levalbuterol Inhalation Solution, USP?

Active ingredient: levalbuterol hydrochloride

Inactive ingredients: sodium chloride, edetate disodium, sulfuric acid, and water

3 Dosage Forms and Strengths (3 DOSAGE FORMS AND STRENGTHS)

Inhalation Solution 3 mL unit-dose, vials in three dosage strengths of levalbuterol; 0.31 mg, 0.63 mg, 1.25 mg.

5.1 Paradoxical Bronchospasm

Levalbuterol Inhalation Solution, USP can produce paradoxical bronchospasm, which may be life-threatening. If paradoxical bronchospasm occurs, Levalbuterol Inhalation Solution, USP should be discontinued immediately and alternative therapy instituted. It should be recognized that paradoxical bronchospasm, when associated with inhaled formulations, frequently occurs with the first use of a new vial.

6.2 Post Marketing Experience (6.2 Post-marketing Experience)

In addition to the adverse reactions reported in clinical trials, the following adverse reactions have been observed in postapproval use of Levalbuterol Inhalation Solution, USP. Because these reactions are reported voluntarily from a population of uncertain size, it is not always possible to reliably estimate their frequency or establish a causal relationship to drug exposure. These events have been chosen for inclusion due to their seriousness, their frequency of reporting, or their likely beta-mediated mechanism: angioedema, anaphylaxis, arrhythmias (including atrial fibrillation, supraventricular tachycardia, extrasystoles), asthma, chest pain, cough increased, dysphonia, dyspnea, gastrooesophageal reflux disease (GERD), metabolic acidosis, nausea, nervousness, rash, tachycardia, tremor, urticaria.

In addition, Levalbuterol Inhalation Solution, USP, like other sympathomimetic agents, can cause adverse reactions such as hypertension, angina, vertigo, central nervous system stimulation, sleeplessness, headache, and drying or irritation of the oropharynx.

6.1 Clinical Trials Experience

Because clinical trials are conducted under widely varying conditions, adverse reaction rates observed in the clinical trials of the drug cannot be directly compared with rates in the clinical trials of another drug and may not reflect the rates observed in practice.

7.1 Short Acting Bronchodilators (7.1 Short-Acting Bronchodilators)

Avoid concomitant use of other short-acting sympathomimetic bronchodilators or epinephrine in patients being treated with Levalbuterol Inhalation Solution, USP. If additional adrenergic drugs are to be administered by any route, they should be used with caution to avoid deleterious cardiovascular effects.

17 Patient Counseling Information (17 PATIENT COUNSELING INFORMATION)

See FDA-approved patient labeling (Patient Information Leaflet and Instructions for Using Levalbuterol Inhalation Solution, USP).

Patients should be given the following information:

5.5 Do Not Exceed Recommended Dose

Do not exceed the recommended dose. Fatalities have been reported in association with excessive use of inhaled sympathomimetic drugs in patients with asthma. The exact cause of death is unknown, but cardiac arrest following an unexpected development of a severe acute asthmatic crisis and subsequent hypoxia is suspected.

5.3 Use of Anti Inflammatory Agents (5.3 Use of Anti-Inflammatory Agents)

Levalbuterol Inhalation Solution, USP is not a substitute for corticosteroids. The use of beta-adrenergic agonist alone may not be adequate to control asthma in many patients. Early consideration should be given to adding anti-inflammatory agents, e.g., corticosteroids, to the therapeutic regimen.

16 How Supplied/storage and Handling (16 HOW SUPPLIED/STORAGE AND HANDLING)

Levalbuterol Inhalation Solution, USP is supplied in 3 mL unit-dose, low-density polyethylene (LDPE) vials as a clear, colorless, sterile, preservative-free, aqueous solution, in three different strengths of levalbuterol (0.31 mg, 0.63 mg, 1.25 mg).

Levalbuterol Inhalation Solution, USP, 0.31 mg/3 mL (foil pouch label color green) contains 0.31 mg/3 mL (0.0103%) of levalbuterol (as 0.36 mg/3 mL of levalbuterol HCl) and is available in cartons as listed below.

NDC 0115-9930-78 25 vials per carton / 25 vials per foil pouch

Levalbuterol Inhalation Solution, USP, 0.63 mg/3 mL (foil pouch label color yellow) contains 0.63 mg/3 mL (0.021%) of levalbuterol (as 0.73 mg/3 mL of levalbuterol HCl) and is available in cartons as listed below.

NDC 0115-9931-78 25 vials per carton / 25 vials per foil pouch

Levalbuterol Inhalation Solution, USP, 1.25 mg/3 mL (foil pouch label color red) contains 1.25 mg/3 mL (0.042%) of levalbuterol (as 1.44 mg/3 mL of levalbuterol HCl) and is available in cartons as listed below.

NDC 0115-9932-78 25 vials per carton / 25 vials per foil pouch

5.6 Immediate Hypersensitivity Reactions

Immediate hypersensitivity reactions may occur after administration of levalbuterol or racemic albuterol. Reactions have included urticaria, angioedema, rash, bronchospasm, anaphylaxis, and oropharyngeal edema. The potential for hypersensitivity must be considered in the clinical evaluation of patients who experience immediate hypersensitivity reactions while receiving Levalbuterol Inhalation Solution, USP.

Principal Display Panel 0.31 Mg 24 Vials Carton (PRINCIPAL DISPLAY PANEL - 0.31 mg 24 Vials Carton)

NDC 0115-9930-78

Levalbuterol Inhalation Solution, USP

0.31 mg (0.0103%)

0.31 mg/3 mL

Rx only

Principal Display Panel 0.63 Mg 24 Vials Carton (PRINCIPAL DISPLAY PANEL - 0.63 mg 24 Vials Carton)

NDC 0115-9931-78

Levalbuterol Inhalation Solution, USP

0.63 mg (0.021%)

0.63 mg/3 mL

Rx only

Principal Display Panel 1.25 Mg 24 Vials Carton (PRINCIPAL DISPLAY PANEL - 1.25 mg 24 Vials Carton)

NDC 0115-9932-78

Levalbuterol Inhalation Solution, USP

1.25 mg (0.042%)

1.25 mg/3 mL

Rx only

13.1 Carcinogenesis, Mutagenesis, Impairment of Fertility

Although there have been no carcinogenesis studies with levalbuterol HCl, racemic albuterol sulfate has been evaluated for its carcinogenic potential.

In a 2-year study in Sprague-Dawley rats, dietary administration of racemic albuterol sulfate resulted in a significant dose-related increase in the incidence of benign leiomyomas of the mesovarium at doses of 2 mg/kg/day and greater (approximately 4 times the MRDI dose of levalbuterol HCl for adults and approximately 5 times the MRDI dose of levalbuterol HCl for children on a mg/m2 basis). In an 18-month study in CD-1 mice and a 22-month study in the golden hamster, dietary administration of racemic albuterol sulfate showed no evidence of tumorigenicity. Dietary doses in CD-1 mice were up to 500 mg/kg/day (approximately 540 times the MRDI dose of levalbuterol HCl for adults and approximately 630 times the MRDI dose of levalbuterol HCl for children on a mg/m2 basis) and doses in the golden hamster study were up to 50 mg/kg/day (approximately 90 times the MRDI dose of levalbuterol HCl for adults on a mg/m2 basis and approximately 105 times the MRDI dose of levalbuterol HCl for children on a mg/m2 basis).

Levalbuterol HCl was not mutagenic in the Ames test or the CHO/HPRT Mammalian Forward Gene Mutation Assay. Levalbuterol HCl was not clastogenic in the in vivo micronucleus test in mouse bone marrow. Racemic albuterol sulfate was not clastogenic in an in vitro chromosomal aberration assay in CHO cell cultures.

No fertility studies have been conducted with levalbuterol hydrochloride. Reproduction studies in rats using racemic albuterol sulfate demonstrated no evidence of impaired fertility at oral doses up to 50 mg/kg/day (approximately 108 times the maximum recommended daily inhalation dose of levalbuterol HCl for adults on a mg/m2 basis).

Instructions for Using Levalbuterol Inhalation Solution, Usp (Instructions for Using Levalbuterol Inhalation Solution, USP)

Levalbuterol Inhalation Solution, USP vial (see Figure A):

Figure A

Using your Levalbuterol Inhalation Solution, USP:

Read the following Steps before using your Levalbuterol Inhalation Solution, USP. If you have any questions, ask your doctor or pharmacist.

Step 1. Open the foil pouch by tearing the notched edge along the seam of the pouch (see Figure B). Remove 1 vial to be used right away. Keep the rest of the unused vials in the foil pouch to protect them from light and heat.

Figure B

Step 2. Hold the vial in your hands. Make sure your thumb and finger cover the twist-off tabs below the top (see Figure C).

Figure C

Step 3. While holding the top firmly between your thumb and finger, twist the body of the vial to open the vial (see Figure C).

Step 4. Throw away the top of the vial and squeeze the entire contents of the vial into the nebulizer reservoir (see Figure D).

Figure D

Step 5. Connect the nebulizer reservoir to the mouthpiece (see Figure E.1) or face mask (see Figure E.2).

Step 6. Connect the nebulizer to the compressor (see Figure F).

Figure F

Step 7. Sit in a comfortable, upright position. Place the mouthpiece in your mouth (see Figure G.1) or put on your face mask (see Figure G.2). Turn on the compressor.

Step 8. Breathe as calmly, deeply, and evenly as possible until no more mist is seen in the nebulizer reservoir. Your treatment will take about 5 to 15 minutes. When you do not see any mist in the nebulizer reservoir, your treatment is finished.

Step 9. Clean and store your nebulizer. See the manufacturer's instructions that come with your nebulizer for how to clean and store your nebulizer.

This Patient Information Leaflet and Instructions for Use have been approved by the U.S. Food and Drug Administration.

Manufactured by:  

The Ritedose Corporation

Columbia, SC 29203 USA

Distributed by:

Amneal Pharmaceuticals LLC

Bridgewater, NJ 08807    

To report SUSPECTED ADVERSE REACTIONS, contact Amneal Pharmaceuticals at 1-877-835-5472 or FDA at 1-800-FDA-1088 or www.fda.gov/medwatch.

Rev. 12-2018-00

                            

7.5 Monoamine Oxidase Inhibitors Or Tricyclic Antidepressants (7.5 Monoamine Oxidase Inhibitors or Tricyclic Antidepressants)

Levalbuterol Inhalation Solution, USP should be administered with extreme caution to patients being treated with monoamine oxidase inhibitors or tricyclic antidepressants, or within 2 weeks of discontinuation of such agents, because the action of levalbuterol on the vascular system may be potentiated. Consider alternative therapy in patients taking MAO inhibitors or tricyclic antidepressants.


Advanced Ingredient Data


Raw Label Data

All Sections (JSON)