These Highlights Do Not Include All The Information Needed To Use Vancomycin Hydrochloride For Injection Safely And Effectively. See Full Prescribing Information For Vancomycin Hydrochloride For Injection.

These Highlights Do Not Include All The Information Needed To Use Vancomycin Hydrochloride For Injection Safely And Effectively. See Full Prescribing Information For Vancomycin Hydrochloride For Injection.
SPL v4
SPL
SPL Set ID e4ce7b87-fab4-4b7a-b121-eba136c464ce
Routes
INTRAVENOUS ORAL
Published
Effective Date 2024-08-08
Document Type 34391-3 HUMAN PRESCRIPTION DRUG LABEL

Drug Facts

Composition & Product

Active Ingredients
Vancomycin (5.13 g)
Inactive Ingredients
Trehalose Polysorbate 80 Hydrochloric Acid

Identifiers & Packaging

Marketing Status
NDA Active Since 2023-02-02

Description

Vancomycin Hydrochloride for Injection is a glycopeptide antibacterial indicated in adult and pediatric patients less than 18 years of age as follows: Vancomycin Hydrochloride for Injection administered intravenously is indicated for the treatment of:      o Septicemia ( 1.1 )      o Infective Endocarditis ( 1.2 )      o Skin and Skin Structure Infections ( 1.3 )      o Bone Infections ( 1.4 )      o Lower Respiratory Tract Infections ( 1.5 ) Vancomycin Hydrochloride for Injection administered orally is indicated for the treatment of:      o Clostridioides difficile -associated diarrhea ( 1.6 )      o Enterocolitis caused by Staphylococcus aureus (including methicillin-resistant strains) ( 1.7 ) Limitations of Use ( 1.8 ) Vancomycin Hydrochloride for Injection administered intravenously is not approved for the treatment of C. difficile -associated diarrhea and enterocolitis caused by susceptible isolates of Staphylococcus aureus because it is not effective. Vancomycin Hydrochloride for Injection administered orally is not approved for the treatment of septicemia, infective endocarditis, skin and skin structure infections, bone infections and lower respiratory tract infections because it is not effective. To reduce the development of drug-resistant bacteria and maintain the effectiveness of Vancomycin Hydrochloride for Injection and other antibacterial drugs, Vancomycin Hydrochloride for Injection should be used only to treat or prevent infections that are proven or strongly suspected to be caused by susceptible bacteria. ( 1.9 )

Indications and Usage

Vancomycin Hydrochloride for Injection is a glycopeptide antibacterial indicated in adult and pediatric patients less than 18 years of age as follows: Vancomycin Hydrochloride for Injection administered intravenously is indicated for the treatment of:      o Septicemia ( 1.1 )      o Infective Endocarditis ( 1.2 )      o Skin and Skin Structure Infections ( 1.3 )      o Bone Infections ( 1.4 )      o Lower Respiratory Tract Infections ( 1.5 ) Vancomycin Hydrochloride for Injection administered orally is indicated for the treatment of:      o Clostridioides difficile -associated diarrhea ( 1.6 )      o Enterocolitis caused by Staphylococcus aureus (including methicillin-resistant strains) ( 1.7 ) Limitations of Use ( 1.8 ) Vancomycin Hydrochloride for Injection administered intravenously is not approved for the treatment of C. difficile -associated diarrhea and enterocolitis caused by susceptible isolates of Staphylococcus aureus because it is not effective. Vancomycin Hydrochloride for Injection administered orally is not approved for the treatment of septicemia, infective endocarditis, skin and skin structure infections, bone infections and lower respiratory tract infections because it is not effective. To reduce the development of drug-resistant bacteria and maintain the effectiveness of Vancomycin Hydrochloride for Injection and other antibacterial drugs, Vancomycin Hydrochloride for Injection should be used only to treat or prevent infections that are proven or strongly suspected to be caused by susceptible bacteria. ( 1.9 )

Dosage and Administration

Pharmacy Bulk Package. Not for direct intravenous infusion See full prescribing information for important information on intravenous and oral administration, preparation and storage instructions ( 2.1 , 2.5 , 2.8 ). Recommended Dosage and Administration Intravenous Use: o Administer Vancomycin Hydrochloride for Injection in a diluted solution by intravenous infusion over 60 minutes or greater to reduce the risk of infusion reactions. o Adult Patients: 2 grams (g) divided either as 0.5 g every 6 hours or 1 g every 12 hours ( 2.2 ) o Pediatric Patients (1 month and older): 10 mg/kg per dose given every 6 hours ( 2.2 ) o Pediatric Patients (younger than 1 month of age): See full prescribing information for recommended dosage ( 2.2 ) o Patients with Renal Impairment: See full prescribing information for recommended dosage in patients with renal impairment ( 2.4 ) Oral use: Adult Patients (18 years of age or greater): o C. difficile  Associated Diarrhea: 125 mg administered orally 4 times daily for 10 days ( 2.3 ). o Staphylococcal enterocolitis: 500 mg to 2 grams administered orally in 3 or 4 divided doses for 7 to 10 days ( 2.3 ) Pediatric Patients (less than 18 years of age): o For both C. difficile -associated diarrhea and staphylococcal enterocolitis: 40 mg/kg in 3 or 4 divided doses for 7 days to 10 days. The total daily dosage should not exceed 2 g ( 2.3 )

Warnings and Precautions

Nephrotoxicity : Systemic vancomycin exposure may result in acute kidney injury (AKI) including acute renal failure, mainly due to interstitial nephritis or less commonly acute tubular necrosis. Monitor serum vancomycin concentrations and renal function in patients receiving Vancomycin Hydrochloride for Injection intravenously. Monitor renal function in patients over 65 years of age receiving Vancomycin Hydrochloride for Injection orally. ( 5.1 ) Ototoxicity : Ototoxicity has occurred in patients administered vancomycin intravenously or orally. Monitor for signs and symptoms of ototoxicity during oral or intravenous therapy. Assessment of auditory function may be appropriate in some instances. ( 5.2 ) Severe Dermatologic Reactions: Discontinue Vancomycin Hydrochloride for Injection at the first appearance of skin rashes, mucosal lesions, or blisters ( 5.3 ). Neutropenia: This has been reported in patients administered vancomycin intravenously or orally. Periodically monitor leukocyte count. ( 5.4 ) Infusion Reactions : Hypotension, including shock and cardiac arrest, wheezing, dyspnea, urticaria, muscular, chest pain and vancomycin infusion reaction which manifests as pruritus and erythema that involves the face, neck and upper torso may occur with rapid intravenous administration. To reduce the risk of infusion reactions, administer Vancomycin Hydrochloride for Injection in a diluted solution over a period of 60 minutes or greater and also prior to intravenous anesthetic agents. ( 2.1 , 5.5 ) Phlebitis : To reduce the risk of local irritation and phlebitis administer Vancomycin Hydrochloride for Injection by a secure intravenous route of administration. ( 5.6 ) Clostridioides difficile -Associated Diarrhea : Evaluate patients if diarrhea occurs. ( 5.7 ) Development of Drug-Resistant Bacteria : Prescribing Vancomycin Hydrochloride for Injection in the absence of a proven or strongly suspected bacterial infection is unlikely to provide benefit to the patient and increases the risk of the development of drug resistant bacteria. ( 5.9 )

Contraindications

Vancomycin Hydrochloride for Injection is contraindicated in patients with known hypersensitivity to vancomycin and polysorbate 80.

Adverse Reactions

The following clinically significant adverse reactions are described elsewhere in the labeling: Nephrotoxicity [see Warnings and Precautions ( 5.1 )] Ototoxicity [see Warnings and Precautions ( 5.2 )] Severe Dermatologic Reactions [see Warnings and Precautions ( 5.3 )] Neutropenia [see Warnings and Precautions ( 5.4 )] Infusion Reactions [see Warnings and Precautions ( 5.5 )] Clostridioides difficile -Associated Diarrhea [see Warnings and Precautions ( 5.7 )]

Drug Interactions

Anesthetic Agents : Concomitant administration of vancomycin and anesthetic agents has been associated with erythema and histamine-like flushing. ( 2.1 , 7.1 ) Piperacillin/Tazobactam : Increased incidence of acute kidney injury in patients administered concomitant piperacillin/tazobactam and vancomycin as compared to vancomycin alone. Monitor kidney function in patients ( 7.2 )

Storage and Handling

How supplied Vancomycin Hydrochloride for Injection is a white, almost white to tan to brown, sterile spray-dried powder in Pharmacy Bulk Package vials each containing vancomycin hydrochloride equivalent to 5 g or 10 g of vancomycin base. The vial stopper is not made with natural rubber latex. NDC No. Strength  Unit of Sale 0143-9163-01 Vancomycin Hydrochloride for Injection, equivalent to 5 g vancomycin in a Pharmacy Bulk Package vial, packaged individually. 0143-9164-01 Vancomycin Hydrochloride for Injection, equivalent to 10 g vancomycin in a Pharmacy Bulk Package vial, packaged individually. Storage Store at 20°C to 25°C (68°F to 77°F). Brief exposure to 15°C to 30°C (59°F to 86°F) is permitted [See USP Controlled Room Temperature]. Storage after reconstitution and dilution is described elsewhere in the labeling [see Dosage and Administration ( 2.5 , 2.8 )] .

How Supplied

How supplied Vancomycin Hydrochloride for Injection is a white, almost white to tan to brown, sterile spray-dried powder in Pharmacy Bulk Package vials each containing vancomycin hydrochloride equivalent to 5 g or 10 g of vancomycin base. The vial stopper is not made with natural rubber latex. NDC No. Strength  Unit of Sale 0143-9163-01 Vancomycin Hydrochloride for Injection, equivalent to 5 g vancomycin in a Pharmacy Bulk Package vial, packaged individually. 0143-9164-01 Vancomycin Hydrochloride for Injection, equivalent to 10 g vancomycin in a Pharmacy Bulk Package vial, packaged individually. Storage Store at 20°C to 25°C (68°F to 77°F). Brief exposure to 15°C to 30°C (59°F to 86°F) is permitted [See USP Controlled Room Temperature]. Storage after reconstitution and dilution is described elsewhere in the labeling [see Dosage and Administration ( 2.5 , 2.8 )] .


Medication Information

Warnings and Precautions

Nephrotoxicity : Systemic vancomycin exposure may result in acute kidney injury (AKI) including acute renal failure, mainly due to interstitial nephritis or less commonly acute tubular necrosis. Monitor serum vancomycin concentrations and renal function in patients receiving Vancomycin Hydrochloride for Injection intravenously. Monitor renal function in patients over 65 years of age receiving Vancomycin Hydrochloride for Injection orally. ( 5.1 ) Ototoxicity : Ototoxicity has occurred in patients administered vancomycin intravenously or orally. Monitor for signs and symptoms of ototoxicity during oral or intravenous therapy. Assessment of auditory function may be appropriate in some instances. ( 5.2 ) Severe Dermatologic Reactions: Discontinue Vancomycin Hydrochloride for Injection at the first appearance of skin rashes, mucosal lesions, or blisters ( 5.3 ). Neutropenia: This has been reported in patients administered vancomycin intravenously or orally. Periodically monitor leukocyte count. ( 5.4 ) Infusion Reactions : Hypotension, including shock and cardiac arrest, wheezing, dyspnea, urticaria, muscular, chest pain and vancomycin infusion reaction which manifests as pruritus and erythema that involves the face, neck and upper torso may occur with rapid intravenous administration. To reduce the risk of infusion reactions, administer Vancomycin Hydrochloride for Injection in a diluted solution over a period of 60 minutes or greater and also prior to intravenous anesthetic agents. ( 2.1 , 5.5 ) Phlebitis : To reduce the risk of local irritation and phlebitis administer Vancomycin Hydrochloride for Injection by a secure intravenous route of administration. ( 5.6 ) Clostridioides difficile -Associated Diarrhea : Evaluate patients if diarrhea occurs. ( 5.7 ) Development of Drug-Resistant Bacteria : Prescribing Vancomycin Hydrochloride for Injection in the absence of a proven or strongly suspected bacterial infection is unlikely to provide benefit to the patient and increases the risk of the development of drug resistant bacteria. ( 5.9 )

Indications and Usage

Vancomycin Hydrochloride for Injection is a glycopeptide antibacterial indicated in adult and pediatric patients less than 18 years of age as follows: Vancomycin Hydrochloride for Injection administered intravenously is indicated for the treatment of:      o Septicemia ( 1.1 )      o Infective Endocarditis ( 1.2 )      o Skin and Skin Structure Infections ( 1.3 )      o Bone Infections ( 1.4 )      o Lower Respiratory Tract Infections ( 1.5 ) Vancomycin Hydrochloride for Injection administered orally is indicated for the treatment of:      o Clostridioides difficile -associated diarrhea ( 1.6 )      o Enterocolitis caused by Staphylococcus aureus (including methicillin-resistant strains) ( 1.7 ) Limitations of Use ( 1.8 ) Vancomycin Hydrochloride for Injection administered intravenously is not approved for the treatment of C. difficile -associated diarrhea and enterocolitis caused by susceptible isolates of Staphylococcus aureus because it is not effective. Vancomycin Hydrochloride for Injection administered orally is not approved for the treatment of septicemia, infective endocarditis, skin and skin structure infections, bone infections and lower respiratory tract infections because it is not effective. To reduce the development of drug-resistant bacteria and maintain the effectiveness of Vancomycin Hydrochloride for Injection and other antibacterial drugs, Vancomycin Hydrochloride for Injection should be used only to treat or prevent infections that are proven or strongly suspected to be caused by susceptible bacteria. ( 1.9 )

Dosage and Administration

Pharmacy Bulk Package. Not for direct intravenous infusion See full prescribing information for important information on intravenous and oral administration, preparation and storage instructions ( 2.1 , 2.5 , 2.8 ). Recommended Dosage and Administration Intravenous Use: o Administer Vancomycin Hydrochloride for Injection in a diluted solution by intravenous infusion over 60 minutes or greater to reduce the risk of infusion reactions. o Adult Patients: 2 grams (g) divided either as 0.5 g every 6 hours or 1 g every 12 hours ( 2.2 ) o Pediatric Patients (1 month and older): 10 mg/kg per dose given every 6 hours ( 2.2 ) o Pediatric Patients (younger than 1 month of age): See full prescribing information for recommended dosage ( 2.2 ) o Patients with Renal Impairment: See full prescribing information for recommended dosage in patients with renal impairment ( 2.4 ) Oral use: Adult Patients (18 years of age or greater): o C. difficile  Associated Diarrhea: 125 mg administered orally 4 times daily for 10 days ( 2.3 ). o Staphylococcal enterocolitis: 500 mg to 2 grams administered orally in 3 or 4 divided doses for 7 to 10 days ( 2.3 ) Pediatric Patients (less than 18 years of age): o For both C. difficile -associated diarrhea and staphylococcal enterocolitis: 40 mg/kg in 3 or 4 divided doses for 7 days to 10 days. The total daily dosage should not exceed 2 g ( 2.3 )

Contraindications

Vancomycin Hydrochloride for Injection is contraindicated in patients with known hypersensitivity to vancomycin and polysorbate 80.

Adverse Reactions

The following clinically significant adverse reactions are described elsewhere in the labeling: Nephrotoxicity [see Warnings and Precautions ( 5.1 )] Ototoxicity [see Warnings and Precautions ( 5.2 )] Severe Dermatologic Reactions [see Warnings and Precautions ( 5.3 )] Neutropenia [see Warnings and Precautions ( 5.4 )] Infusion Reactions [see Warnings and Precautions ( 5.5 )] Clostridioides difficile -Associated Diarrhea [see Warnings and Precautions ( 5.7 )]

Drug Interactions

Anesthetic Agents : Concomitant administration of vancomycin and anesthetic agents has been associated with erythema and histamine-like flushing. ( 2.1 , 7.1 ) Piperacillin/Tazobactam : Increased incidence of acute kidney injury in patients administered concomitant piperacillin/tazobactam and vancomycin as compared to vancomycin alone. Monitor kidney function in patients ( 7.2 )

Storage and Handling

How supplied Vancomycin Hydrochloride for Injection is a white, almost white to tan to brown, sterile spray-dried powder in Pharmacy Bulk Package vials each containing vancomycin hydrochloride equivalent to 5 g or 10 g of vancomycin base. The vial stopper is not made with natural rubber latex. NDC No. Strength  Unit of Sale 0143-9163-01 Vancomycin Hydrochloride for Injection, equivalent to 5 g vancomycin in a Pharmacy Bulk Package vial, packaged individually. 0143-9164-01 Vancomycin Hydrochloride for Injection, equivalent to 10 g vancomycin in a Pharmacy Bulk Package vial, packaged individually. Storage Store at 20°C to 25°C (68°F to 77°F). Brief exposure to 15°C to 30°C (59°F to 86°F) is permitted [See USP Controlled Room Temperature]. Storage after reconstitution and dilution is described elsewhere in the labeling [see Dosage and Administration ( 2.5 , 2.8 )] .

How Supplied

How supplied Vancomycin Hydrochloride for Injection is a white, almost white to tan to brown, sterile spray-dried powder in Pharmacy Bulk Package vials each containing vancomycin hydrochloride equivalent to 5 g or 10 g of vancomycin base. The vial stopper is not made with natural rubber latex. NDC No. Strength  Unit of Sale 0143-9163-01 Vancomycin Hydrochloride for Injection, equivalent to 5 g vancomycin in a Pharmacy Bulk Package vial, packaged individually. 0143-9164-01 Vancomycin Hydrochloride for Injection, equivalent to 10 g vancomycin in a Pharmacy Bulk Package vial, packaged individually. Storage Store at 20°C to 25°C (68°F to 77°F). Brief exposure to 15°C to 30°C (59°F to 86°F) is permitted [See USP Controlled Room Temperature]. Storage after reconstitution and dilution is described elsewhere in the labeling [see Dosage and Administration ( 2.5 , 2.8 )] .

Description

Vancomycin Hydrochloride for Injection is a glycopeptide antibacterial indicated in adult and pediatric patients less than 18 years of age as follows: Vancomycin Hydrochloride for Injection administered intravenously is indicated for the treatment of:      o Septicemia ( 1.1 )      o Infective Endocarditis ( 1.2 )      o Skin and Skin Structure Infections ( 1.3 )      o Bone Infections ( 1.4 )      o Lower Respiratory Tract Infections ( 1.5 ) Vancomycin Hydrochloride for Injection administered orally is indicated for the treatment of:      o Clostridioides difficile -associated diarrhea ( 1.6 )      o Enterocolitis caused by Staphylococcus aureus (including methicillin-resistant strains) ( 1.7 ) Limitations of Use ( 1.8 ) Vancomycin Hydrochloride for Injection administered intravenously is not approved for the treatment of C. difficile -associated diarrhea and enterocolitis caused by susceptible isolates of Staphylococcus aureus because it is not effective. Vancomycin Hydrochloride for Injection administered orally is not approved for the treatment of septicemia, infective endocarditis, skin and skin structure infections, bone infections and lower respiratory tract infections because it is not effective. To reduce the development of drug-resistant bacteria and maintain the effectiveness of Vancomycin Hydrochloride for Injection and other antibacterial drugs, Vancomycin Hydrochloride for Injection should be used only to treat or prevent infections that are proven or strongly suspected to be caused by susceptible bacteria. ( 1.9 )

1.9 Usage

To reduce the development of drug-resistant bacteria and maintain the effectiveness of Vancomycin Hydrochloride for Injection and other antibacterial drugs, Vancomycin Hydrochloride for Injection should be used only to treat or prevent infections that are proven or strongly suspected to be caused by susceptible bacteria. When culture and susceptibility information are available, they should be considered in selecting or modifying antibacterial therapy. In the absence of such data, local epidemiology and susceptibility patterns may contribute to the empiric selection of therapy.

10 Overdosage

Supportive care is advised, with maintenance of glomerular filtration. Vancomycin is poorly removed by dialysis. Hemofiltration and hemoperfusion with polysulfone resin have been reported to result in increased vancomycin clearance.

For current information on the management of overdosage, contact the National Poison Control Center at 1-800-222-1222 or www.poison.org.

15 References
  • Byrd RA., Gries CL, Buening M.: Developmental Toxicology Studies of Vancomycin Hydrochloride Administered Intravenously to Rats and Rabbits. Fundam Appl Toxicol 1994; 23: 590-597.
8.1 Pregnancy

Risk Summary

There are no available data on vancomycin use in pregnant women to inform a drug associated risk of major birth defects or miscarriage. Available published data on vancomycin use in pregnancy during the second and third trimesters have not shown an association with adverse pregnancy related outcomes (see Data). Vancomycin did not show adverse developmental effects when administered intravenously to pregnant rats and rabbits during organogenesis at doses less than or equal to the recommended maximum human dose (see Data). Systemic absorption of vancomycin is low following oral administration of vancomycin hydrochloride capsules; however, absorption may vary depending on various factors [see Clinical Pharmacology (12.3)].

The estimated background risk of major birth defects and miscarriage for the indicated population(s) is unknown. All pregnancies have a background risk of birth defect, loss, or other adverse outcomes. In the U.S. general population, the estimated background risk of major birth defects and miscarriage in clinically recognized pregnancies is 2% to 4% and 15% to 20%, respectively.

Data

Human Data

A published study evaluated hearing loss and nephrotoxicity in infants of 10 pregnant intravenous drug users treated with intravenously administered vancomycin for suspected or documented methicillin-resistant Staphylococcus-aureus (MRSA) infections in the second or third trimester. The comparison groups were 10 non-intravenous drug-dependent patients who received no treatment, and 10 untreated intravenous drug-dependent patients who served as substance abuse controls. No infant in the vancomycin exposed group had abnormal sensorineural hearing at 3 months of age or nephrotoxicity.



A published prospective study assessed outcomes in 55 pregnant women with a positive Group B streptococcus (GBS) culture and a high-risk penicillin allergy with resistance to clindamycin or unknown sensitivity who were administered vancomycin intravenously at the time of delivery. Vancomycin dosing ranged from the standard 1 g intravenously every 12 hours to 20 mg/kg intravenous every 8 hours (maximum individual dose 2 g). No major adverse reactions were recorded either in the mothers or their newborns. None of the newborns had sensorineural hearing loss. Neonatal renal function was not examined, but all of the newborns were discharged in good condition.

Animal Data

Vancomycin did not cause fetal malformations when administered during organogenesis to pregnant rats (gestation days 6 to 15) and rabbits (gestation days 6 to 18) at the equivalent recommended maximum human dose (based on body surface area comparisons) of 200 mg/kg/day IV to rats or 120 mg/kg/day IV to rabbits.1 No effects on fetal weight or development were seen in rats at the highest dose tested or in rabbits given 80 mg/kg/day (approximately 1 and 0.8 times the recommended maximum human dose based on body surface area, respectively). Maternal toxicity was observed in rats (at doses 120 mg/kg and above) and rabbits (at 80 mg/kg and above). There were no oral embryo-fetal toxicity studies conducted in animals with this Vancomycin Injection product.

8.2 Lactation

Risk Summary

Vancomycin is present in human milk following intravenous administration, however, there are insufficient data to inform the levels. There are no available data on vancomycin presence in milk following oral administration. Systemic absorption of vancomycin is low following oral administration of vancomycin hydrochloride capsules; however, absorption may vary depending on various factors [see Clinical Pharmacology (12.3)]. There are no data on the effects of vancomycin on the breastfed infant or milk production. The developmental and health benefits of breastfeeding should be considered along with the mother’s clinical need for Vancomycin Hydrochloride for Injection and any potential adverse effects on the breastfed infant from Vancomycin Hydrochloride for Injection or from the underlying maternal condition.

1.1 Septicemia

Vancomycin Hydrochloride for Injection administered intravenously is indicated in adults and pediatric patients less than 18 years of age for the treatment of septicemia due to:

  • Susceptible isolates of methicillin-resistant Staphylococcus aureus (MRSA) and coagulase negative staphylococci.
  • Methicillin-susceptible staphylococci in penicillin-allergic patients, or those patients who cannot receive or who have failed to respond to other drugs, including penicillins or cephalosporins.
11 Description

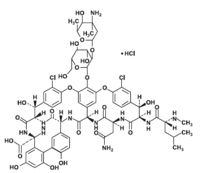
Vancomycin Hydrochloride for Injection contains the hydrochloride salt of vancomycin, a tricyclic glycopeptide antibacterial derived from Amycolatopsis orientalis (formerly Nocardia orientalis). The chemical name for vancomycin hydrochloride is (Sa)-(3S,6R,7R,22R,23S, 26S,36R,38aR)-44-[[2-O-(3-Amino-2,3,6-trideoxy-3-C-methyl-α-L-lyxo-hexopyranosyl)-β-Dglucopyranosyl]oxy]-3-(carbamoylmethyl)-10,19-dichloro-2,3,4,5,6,7,23,24,25,26,36,37,38,38atetradecahydro-7,22,28,30,32-pentahydroxy-6-[(2R)-4-methyl-2-(methylamino)valeramido]2,5,24,38,39-pentaoxo-22H-8,11:18,21-dietheno-23,36-(iminomethano)-13,16:31,35-dimetheno1H,16H-[l,6,9]oxadiazacyclohexadecino[4,5-m][10,2,16]-benzoxadiazacyclotetracosine-26carboxylic acid, monohydrochloride. The molecular formula is C66H75Cl2N9O24 • HCl and the molecular weight is 1,485.71. Vancomycin hydrochloride has the following structural formula:

Vancomycin Hydrochloride for Injection, 5 g and 10 g, in Pharmacy Bulk Package, is a sterile, preservative-free, white, almost white to tan to brown, spray-dried powder, for preparing intravenous (IV) infusions, in vials. Each 5 g vial contains 5 g vancomycin (equivalent to 5.13 g vancomycin hydrochloride), 1.25 g trehalose, 0.5 mg polysorbate 80, and hydrochloric acid used to adjust the pH. Each 10 g vial contains 10 g vancomycin (equivalent to 10.25 g vancomycin hydrochloride), 2.5 g trehalose, 1 mg polysorbate 80, and hydrochloric acid used to adjust the pH.

The spray-dried powder is reconstituted with Sterile Water for Injection which forms a clear solution and subsequently diluted prior to intravenous or oral administration [see Dosage and Administration (2.5, 2.8)]

A pharmacy bulk package is a sterile dosage form containing many single doses. The contents of this pharmacy bulk package are intended for use by a pharmacy admixture service for addition to suitable parenteral fluids in the preparation of admixtures for intravenous infusion. Vancomycin Hydrochloride for Injection is for intravenous or oral administration. Vancomycin Hydrochloride for Injection must be diluted with an appropriate diluent prior to intravenous administration [see Dosage and Administration (2.5)]. Vancomycin Hydrochloride for Injection may also be diluted with a sweetening agent for oral administration [see Dosage and Administration (2.8)].

5.2 Ototoxicity

Ototoxicity has occurred in patients administered vancomycin intravenously or orally. It may be transient or permanent. Ototoxicity manifests as tinnitus, hearing loss, dizziness or vertigo. The risk is higher in older patients, patients who are receiving higher doses, who have an underlying hearing loss, who are receiving concomitant therapy with another ototoxic agent, such as an aminoglycoside or who have underlying renal impairment. Monitor for signs and symptoms of ototoxicity during oral or intravenous therapy with Vancomycin Hydrochloride for Injection. Discontinue Vancomycin Hydrochloride for Injection if ototoxicity occurs. Serial tests of auditory function may be helpful in order to minimize the risk of ototoxicity.

5.4 Neutropenia

Reversible neutropenia has been reported in patients administered vancomycin intravenously or orally. Patients who will undergo prolonged therapy with Vancomycin Hydrochloride for Injection or those who are receiving concomitant drugs which may cause neutropenia should have periodic monitoring of the leukocyte count.

12.4 Microbiology

Mechanism of Action

The bactericidal action of vancomycin results primarily from inhibition of cell-wall biosynthesis. In addition, vancomycin alters bacterial-cell-membrane permeability and RNA synthesis.

Resistance

Vancomycin is not active in vitro against gram-negative bacilli, mycobacteria, or fungi. There is no cross-resistance between vancomycin and other antibacterials.

C. difficile

Isolates of C. difficile generally have vancomycin minimal inhibitory concentrations (MICs) of < 1 mcg/mL; however, vancomycin MICs ranging from 4 mcg/mL to 16 mcg/mL have been reported. The mechanism which mediates C. difficile’s decreased susceptibility to vancomycin has not been fully elucidated.

S. aureus

S. aureus isolates with vancomycin MICs as high as 1024 mcg/mL have been reported. The exact mechanism of this resistance is not clear but is believed to be due to cell wall thickening and potentially the transfer of genetic material.

Interaction with Other Antimicrobials

The combination of vancomycin and an aminoglycoside acts synergistically in vitro against many isolates of Staphylococcus aureus, Streptococcus gallolyticus (previously known as Streptococcus bovis), Enterococcus species, and the viridans group streptococci.

Antimicrobial Activity

Vancomycin has been shown to be active against most isolates of the following microorganisms, both in vitro and in clinical infections [see Indications and Usage (1)].

Aerobic bacteria

Gram-positive bacteria

Corynebacterium species

Enterococcus species (including Enterococcus faecalis)

Staphylococcus aureus (including methicillin-resistant and methicillin-susceptible isolates)

Coagulase negative staphylococci (including S.epidermidis and methicillin-resistant isolates)

Streptococcus gallolyticus (previously known as Streptococcus bovis)

Viridans group streptococci

Anaerobic bacteria

Gram-positive bacteria

Clostridioides difficile isolates associated with C. difficile associated diarrhea.

The following in vitro data are available, but their clinical significance is unknown. At least 90 percent of the following bacteria exhibit an in vitro minimum inhibitory concentration (MIC) less than or equal to the susceptible breakpoint for vancomycin against isolates of similar genus or organism group. However, the efficacy of vancomycin in treating clinical infections caused by these bacteria has not been established in adequate and well-controlled clinical trials.

Aerobic bacteria

Gram-positive bacteria

Listeria monocytogenes

Streptococcus pyogenes

Streptococcus pneumoniae

Streptococcus agalactiae

Anaerobic bacteria

Gram-positive bacteria

Actinomyces species

Lactobacillus species

Susceptibility Testing

For specific information regarding susceptibility test interpretive criteria and associated test methods and quality control standards recognized by FDA for this drug, please see: https://www.fda.gov/STIC.

8.4 Pediatric Use

Vancomycin Hydrochloride for Injection administered intravenously is indicated in pediatric patients less than 18 years of age for the treatment of septicemia, infective endocarditis, skin and skin structure infections, bone infections and lower respiratory tract infections [see Indications and Usage (1.1 to 1.5) and Dosage and Administration (2.2)].

Vancomycin Hydrochloride for Injection administered orally is indicated in pediatric patients less than 18 years of age for the treatment of Clostridioides difficile-associated diarrhea and enterocolitis caused by Staphylococcus aureus (including methicillin-resistant strains) [see Indications and Usage (1.6, 1.7) and Dosage and Administration (2.3)].

In pediatric patients, monitor vancomycin serum concentration and renal function when administering Vancomycin Hydrochloride for Injection intravenously [see Dosage and Administration (2.2) and Warnings and Precautions (5.1)]. More severe infusion related reactions related to Vancomycin Hydrochloride for Injection administration may occur in pediatric patients. Concomitant administration of vancomycin and intravenous anesthetic agents has been associated with erythema and histamine-like flushing in all patients including pediatric patients [see Warnings and Precautions (5.5)].

8.5 Geriatric Use

Clinical studies with another vancomycin hydrochloride drug product in C. difficile-associated diarrhea have demonstrated that geriatric subjects are at increased risk of developing nephrotoxicity following treatment with oral vancomycin hydrochloride, which may occur during or after completion of therapy. In patients over 65 years of age, including those with normal renal function prior to treatment, renal function should be monitored during and following treatment with Vancomycin Hydrochloride for Injection to detect potential vancomycin induced nephrotoxicity [see Warnings and Precautions (5.1)] and Adverse Reactions (6.1)].

Patients over 65 years of age may take longer to respond to therapy compared to patients 65 years of age and younger. Clinicians should be aware of the importance of appropriate duration of Vancomycin Hydrochloride for Injection treatment in patients over 65 years of age and not discontinue or switch to alternative treatment prematurely.

Vancomycin Hydrochloride for Injection is known to be substantially excreted by the kidney, and the risk of adverse reactions to this drug may be greater in patients with impaired renal function. Because elderly patients are more likely to have decreased renal function, care should be taken in dose selection [see Dosage and Administration (2.4)], and it may be useful to monitor renal function [see Warnings and Precautions (5.1)].

5.1 Nephrotoxicity

Vancomycin Hydrochloride for Injection administered intravenously or orally can result in acute kidney injury (AKI), including acute renal failure, mainly due to interstitial nephritis or less commonly acute tubular necrosis. AKI is manifested by increasing blood urea nitrogen (BUN) and serum creatinine (Cr). The risk of AKI increases with higher vancomycin serum levels, prolonged exposure, concomitant administration of other nephrotoxic drugs, concomitant administration of piperacillin-tazobactam [see Drug Interactions (7.2)], volume depletion, pre-existing renal impairment and in critically ill patients and patients with co-morbid conditions that predispose to renal impairment.

Monitor serum vancomycin concentrations and renal function in all patients receiving Vancomycin Hydrochloride for Injection intravenously.

Nephrotoxicity (e.g., reports of renal failure, renal impairment, blood creatine increased) has occurred following oral vancomycin hydrochloride capsule therapy in randomized controlled clinical studies and can occur either during or after completion of therapy. The risk of nephrotoxicity is increased in patients >65 years of age [see Adverse Reactions (6.1) and Use in Specific Populations (8.5)]. In patients over 65 years of age, including those with normal renal function prior to treatment, renal function should be monitored during and following treatment with oral Vancomycin Hydrochloride for Injection therapy to detect potential vancomycin induced nephrotoxicity.

More frequent monitoring is recommended in patients with comorbidities that predispose to impairment in renal function or are concomitantly receiving other nephrotoxic drugs, in critically ill patients, in patients with changing renal function, and in patients requiring higher therapeutic vancomycin levels. If acute kidney injury occurs, discontinue Vancomycin Hydrochloride for Injection or reduce the dose.

1.4 Bone Infections

Vancomycin Hydrochloride for Injection administered intravenously is indicated in adults and pediatric patients less than 18 years of age for the treatment of bone infections due to:

  • Susceptible isolates of MRSA and coagulase negative staphylococci.
  • Methicillin-susceptible staphylococci in penicillin-allergic patients, or those patients who cannot receive or who have failed to respond to other drugs, including penicillins or cephalosporins.
4 Contraindications

Vancomycin Hydrochloride for Injection is contraindicated in patients with known hypersensitivity to vancomycin and polysorbate 80.

6 Adverse Reactions

The following clinically significant adverse reactions are described elsewhere in the labeling:

  • Nephrotoxicity [see Warnings and Precautions (5.1)]
  • Ototoxicity [see Warnings and Precautions (5.2)]
  • Severe Dermatologic Reactions [see Warnings and Precautions (5.3)]
  • Neutropenia [see Warnings and Precautions (5.4)]
  • Infusion Reactions [see Warnings and Precautions (5.5)]
  • Clostridioides difficile-Associated Diarrhea [see Warnings and Precautions (5.7)]
7 Drug Interactions

8.6 Renal Impairment

Dosage adjustment must be made in patients with impaired renal function [see Dosage and Administration (2.3)]. Measure trough vancomycin serum concentrations to guide intravenous therapy, especially in seriously ill patients with changing renal function.

12.2 Pharmacodynamics

The pharmacodynamics of vancomycin is unknown.

12.3 Pharmacokinetics

General Pharmacokinetics

In subjects with normal kidney function, multiple intravenous dosing of 1 g of vancomycin (15 mg/kg) infused over 60 minutes produces mean plasma concentrations of approximately 63 mcg/mL immediately after the completion of infusion, mean plasma concentrations of approximately 23 mcg/mL 2 hours after infusion, and mean plasma concentrations of approximately 8 mcg/mL 11 hours after the end of the infusion. Multiple dosing of 500 mg infused over 30 minutes produces mean plasma concentrations of about 49 mcg/mL at the completion of infusion, mean plasma concentrations of about 19 mcg/mL 2 hours after infusion, and mean plasma concentrations of about 10 mcg/mL 6 hours after infusion. The plasma concentrations during multiple dosing are like those after a single dose.

Absorption

Vancomycin is poorly absorbed after oral administration. During multiple dosing of 250 mg every 8 hours for 7 doses, fecal concentrations of vancomycin in volunteers exceeded 100 mg/kg in the majority of samples. No blood concentrations were detected, and urinary recovery did not exceed 0.76%. In anephric subjects with no inflammatory bowel disease who received vancomycin oral solution 2 g for 16 days, blood concentrations of vancomycin were less than or eual to 0.66 mcg/mL in 2 of 5 subjects. No measurable blood concentrations were attained in the other 3 subjects. Following doses of 2 g daily, concentrations of drug were >3100 mg/kg in the feces and <1 mcg/mL in the serum of subjects with normal renal function who had C. difficile-associated diarrhea. After multiple-dose oral administration of vancomycin, measurable serum concentrations may occur in patients with active C. diffifile-associated diarrhea, and, in the presence of renal impairment, the possibility of accumulation exists. It should be noted that the total systemic and renal clearances of vancomycin are reduced in the elderly [see Use in Specific Populations (8.5)].

Distribution

The volume of distribution ranges from 0.3 to 0.43 L/kg after intravenous administration. Vancomycin is approximately 55% serum protein bound as measured by ultrafiltration at vancomycin serum concentrations of 10 to 100 mcg/mL. After intravenous administration of vancomycin, inhibitory concentrations are present in pleural, pericardial, ascitic, and synovial fluids; in urine; in peritoneal dialysis fluid; and in atrial appendage tissue. Vancomycin does not readily diffuse across normal meninges into the spinal fluid; but, when the meninges are inflamed, penetration into the spinal fluid occurs.

Elimination

Mean plasma clearance is about 0.058 L/kg/h, and mean renal clearance is about 0.048 L/kg/h.

The mean elimination half-life of vancomycin from plasma is 4 to 6 hours in subjects with normal renal function. In anephric patients, the mean elimination half-life is 7.5 days. Total body and renal clearance of vancomycin may be reduced in the elderly.

Metabolism

There is no apparent metabolism of vancomycin.

Excretion

In the first 24 hours after intravenous administration, about 75% of an administered dose of vancomycin is excreted in urine by glomerular filtration. Renal impairment slows excretion of vancomycin.

7.1 Anesthetic Agents

Concomitant administration of vancomycin and anesthetic agents has been associated with erythema and histamine-like flushing [see Warnings and Precautions (5.5) and Use in Specific Populations (8.4)].

1.8 Limitations of Use

Vancomycin Hydrochloride for Injection administered intravenously is not approved for the treatment of the following conditions because it is not effective:

  • C. difficile-Associated Diarrhea
  • Enterocolitis caused by susceptible isolates of Staphylococcus aureus

Vancomycin Hydrochloride for Injection administered orally is not approved for the treatment of the following conditions because it is not effective:

  • Septicemia due to susceptible isolates of MRSA or methicillin-susceptible staphylococci
  • Infective endocarditis due to susceptible isolates of MRSA, methicillin susceptible staphylococci, Viridans group streptococci Streptococcus gallolyticus, Enterococcus species and Corynebacterium species, or for the treatment of early-onset prosthetic valve endocarditis caused by Staphylococcus epidermidis in combination with rifampin and an aminoglycoside
  • Skin and skin structure infections due to susceptible isolates of MRSA and methicillin susceptible staphylococci
  • Bone infections due to susceptible isolates of MRSA and lower respiratory tract infections due to susceptible isolates of MRSA and methicillin susceptible staphylococci
5.5 Infusion Reactions

Hypotension, including shock and cardiac arrest, wheezing, dyspnea, urticaria, muscular and chest pain may occur with rapid Vancomycin Hydrochloride for Injection intravenous administration. The reactions may be more severe in younger patients, particularly children, and in patients receiving concomitant muscle relaxant anesthetics. Rapid intravenous administration of Vancomycin Hydrochloride for Injection may also be associated with vancomycin infusion reaction, which manifests as pruritus and erythema that involves the face, neck and upper torso. Infusion-related adverse reactions are related to both the concentration and the rate of administration of Vancomycin Hydrochloride for Injection. Infusion-related adverse reactions may occur, however, at any rate or concentration.

Administer Vancomycin Hydrochloride for Injection in a diluted solution over a period of 60 minutes or greater to reduce the risk of infusion-related adverse reactions. In selected patients in need of fluid restriction, a concentration up to 10 mg/mL may be used; use of such higher concentrations may increase the risk of infusion-related adverse reactions [see Nonclinical Toxicology (13.2)]. Administer prior to intravenous anesthetic agents when feasible. Stop the infusion if a reaction occurs.

12 Clinical Pharmacology

12.1 Mechanism of Action

Vancomycin is an antibacterial drug [see Microbiology (12.4)].

1 indications and Usage

13 Nonclinical Toxicology

1.2 Infective Endocarditis

Vancomycin Hydrochloride for Injection administered intravenously is indicated in adults and pediatric patients less than 18 years of age for the treatment of infective endocarditis due to:

  • Susceptible isolates of MRSA.
  • Viridans group streptococci Streptococcus gallolyticus (previously known as Streptococcus bovis), Enterococcus species and Corynebacterium species. For enterococcal endocarditis, use Vancomycin Hydrochloride for Injection in combination with an aminoglycoside.
  • Methicillin-susceptible staphylococci in penicillin-allergic patients, or those patients who cannot receive or who have failed to respond to other drugs, including penicillins or cephalosporins.

Vancomycin Hydrochloride for Injection administered intravenously is indicated in adults and pediatric patients less than 18 years of age for the treatment of early-onset prosthetic valve endocarditis caused by Staphylococcus epidermidis in combination with rifampin and an aminoglycoside.

5 Warnings and Precautions

2 Dosage and Administration

7.2 Piperacillin Tazobactam

Studies have detected an increased incidence of acute kidney injury in patients administered concomitant piperacillin/tazobactam and vancomycin as compared to vancomycin alone. Monitor kidney function in patients receiving concomitant piperacillin/tazobactam and Vancomycin Hydrochloride for Injection. No pharmacokinetic interactions have been noted between piperacillin/tazobactam and vancomycin.

1.6 Clostridioides Difficile

Vancomycin Hydrochloride for Injection administered orally is indicated for the treatment of C. difficile-associated diarrhea (CDAD) in adult and pediatric patients less than 18 years of age.

3 Dosage Forms and Strengths

Vancomycin Hydrochloride for Injection, in a Pharmacy Bulk Package is a sterile white, almost white to tan to brown spray-dried powder in vials each containing vancomycin hydrochloride equivalent to 5 g or 10 g vancomycin base.

5.7 Clostridioides Difficile

Clostridioides difficile-associated diarrhea (CDAD) has been reported with use of nearly all antibacterial agents, including with intravenous administration of vancomycin and may range in severity from mild diarrhea to fatal colitis. Treatment with antibacterial agents alters the normal flora of the colon leading to overgrowth of C. difficile.

C. difficile produces toxins A and B which contribute to the development of CDAD. Hypertoxin producing strains of C. difficile cause increased morbidity and mortality, as these infections can be refractory to antimicrobial therapy and may require colectomy. CDAD must be considered in all patients who present with diarrhea following antibacterial use. Careful medical history is necessary since CDAD has been reported to occur over two months after the administration of antibacterial agents. If CDAD is suspected or confirmed, ongoing antibacterial use not directed against C. difficile may need to be discontinued. Appropriate fluid and electrolyte management, protein supplementation, antibacterial treatment of C. difficile, and surgical evaluation should be instituted as clinically indicated.

Clinically significant serum concentrations of vancomycin have been reported in some patients being treated for active C. difficile-induced pseudomembranous colitis after multiple oral doses of vancomycin [see Warnings and Precautions (5.10)].

Prolonged use of Vancomycin Hydrochloride for Injection may result in the overgrowth of non-susceptible microorganisms. Careful observation of the patient is essential. If superinfection occurs during therapy, appropriate measures should be taken. There have been reports of pseudomembranous colitis due to C. difficile developing in patients who received intravenous vancomycin.

6.2 Postmarketing Experience

The following adverse reactions have been identified during postmarketing use of vancomycin (administered orally and intravenously). Because these reactions are reported voluntarily from a population of uncertain size, it is not possible to reliably estimate their frequency or establish a causal relationship to drug exposure.

Skin and Subcutaneous Tissue Disorders: Drug reaction with eosinophilia and systemic symptoms (DRESS), acute generalized exanthematous pustulosis (AGEP) [see Warnings and Precautions (5.3)].

Ototoxicity: Cases of hearing loss associated with intravenously administered vancomycin have been reported. Most of these patients had kidney dysfunction or a preexisting hearing loss or were receiving concomitant treatment with an ototoxic drug [see Warnings and Precautions (5.2)]. Vertigo, dizziness, and tinnitus have been reported.

Hematopoietic: Reversible neutropenia, usually starting 1 week or more after onset of intravenous therapy with vancomycin or after a total dose of more than 25 g, has been reported for several dozen patients. Neutropenia appears to be promptly reversible when vancomycin is discontinued. Thrombocytopenia has been reported.

Miscellaneous: Patients have been reported to have had anaphylaxis, drug fever, chills, nausea, eosinophilia, and cases of vasculitis in association with the administration of vancomycin.

A condition has been reported with oral vancomycin that is similar to the intravenous vancomycin-induced syndrome with symptoms consistent with anaphylactoid reactions, including hypotension, wheezing, dyspnea, urticaria, pruritus, flushing of the upper body (“vancomycin infusion reaction”), pain and muscle spasm of the chest and back [see Warnings and Precautions (5.5)]. These reactions usually resolve within 20 minutes but may persist for several hours.

8 Use in Specific Populations

6.1 Clinical Trials Experience

Because clinical trials are conducted under widely varying conditions, adverse reaction rates observed in the clinical trials of a drug cannot be directly compared to rates in the clinical trials of another drug and may not reflect the rates observed in practice.

Adverse Reactions in Patients Receiving Intravenously and Orally Administered Vancomycin

The following adverse reactions associated with the use of intravenously and orally administered vancomycin were identified in clinical trials:

Renal and urinary disorders: Acute kidney injury and interstitial nephritis [see Warnings and Precautions (5.1)]

Ear and labyrinth disorders: Tinnitus, hearing loss, vertigo [see Warnings and Precautions (5.2)]

Skin and subcutaneous tissue disorders: Erythema (especially of the face, neck and upper torso) and pruritus which are manifestations of rashes including exfoliative dermatitis, toxic epidermal necrolysis (TEN), Stevens-Johnson syndrome (SJS), Linear IgA bullous dermatosis (LABD) [see Warnings and Precautions (5.3)].

Blood and lymphatic system disorders: Agranulocytosis, neutropenia, pancytopenia, leukopenia, thrombocytopenia, eosinophilia [see Warnings and Precautions (5.4)]

Immune system disorders: Hypersensitivity reactions including anaphylaxis and vancomycin infusion reaction [see Warnings and Precautions (5.5)]

General disorders and administration site conditions: General discomfort, fever, chills, phlebitis, injection site irritation, injection site pain and necrosis following intramuscular injection, chemical peritonitis following intraperitoneal administration. Vancomycin Hydrochloride for Injection is not approved for intramuscular and intraperitoneal administration [see Warnings and Precautions (5.6)]

Gastrointestinal disorders: Pseudomembranous colitis [see Warnings and Precautions (5.7)]

Cardiac disorders: Cardiac arrest, chest pain

Laboratory abnormalities: Elevated blood urea nitrogen, elevated serum creatinine

Musculoskeletal and connective tissue disorders: Muscle pain

Nervous system disorders: Dizziness

Respiratory, thoracic and mediastinal disorders: Wheezing, dyspnea

Vascular disorders: Hypotension, shock, vasculitis

Adverse Reactions in Patients Receiving Oral Administration of Vancomycin Hydrochloride Capsules

The data described below reflect exposure to vancomycin hydrochloride capsules in 260 adult subjects in two Phase 3 clinical trials for the treatment of diarrhea associated with C. difficile. In both trials, subjects received vancomycin hydrochloride capsules 125 mg orally four times daily. The mean duration of treatment was 9.4 days. The median age of patients was 67, ranging between 19 and 96 years of age. Patients were predominantly Caucasian (93%) and 52% were male.

Adverse reactions occurring in ≥5% of vancomycin hydrochloride capsules-treated subjects are shown in Table 2. The most common adverse reactions associated with vancomycin hydrochloride capsules (≥10%) were nausea, abdominal pain, and hypokalemia.

Table 2: Common (≥5%) Adverse Reactionsa for Vancomycin Hydrochloride Capsules Reported in Clinical Trials for Treatment of Diarrhea Associated with C. difficile

System/Organ Class Adverse Reaction Vancomycin Hydrochloride Capsule % (N=260)
Gastrointestinal disorders Nausea

Abdominal pain

Vomiting

Diarrhea

Flatulence
17

15

9

9

8
General disorders and administration site conditions Pyrexia

Edema peripheral

Fatigue
9

6

5
Infections and infestations Urinary tract infection 8
Metabolism and nutrition disorders Hypokalemia 13
Musculoskeletal and connective tissue disorders Back pain 6
Nervous system disorders Headache 7
aAdverse reaction rates were derived from the incidence of treatment-emergent adverse events.  

Nephrotoxicity (e.g., reports of renal failure, renal impairment, blood creatinine increased) occurred in 5% of subjects treated with vancomycin hydrochloride capsules. Nephrotoxicity following vancomycin hydrochloride capsules typically first occurred within one week after completion of treatment (median day of onset was Day 16). Nephrotoxicity following vancomycin hydrochloride capsules occurred in 6% of subjects >65 years of age and 3% of subjects ≤65 years of age.

The incidences of hypokalemia, urinary tract infection, peripheral edema, insomnia, constipation, anemia, depression, vomiting, and hypotension were higher among subjects >65 years of age than in subjects ≤65 years of age.

Discontinuation of study drug due to adverse events occurred in 7% of subjects treated with vancomycin hydrochloride capsules. The most common adverse events leading to discontinuation of vancomycin hydrochloride capsules were C. difficile colitis (<1%), nausea (<1%), and vomiting (<1%).

Package Label Ndc 0143 9163 01

Carton Label

NDC 0143-9163-01

Rx Only

Vancomycin Hydrochloride

for Injection

Equivalent to

5 g*/ Pharmacy Bulk Package

Vancomycin

For intravenous infusion after dilution

For Oral Use, see prescribing information

PHARMACY BULK PACKAGE

NOT For Direct Infusion

READ INSERT FOR PRECAUTIONS AND DIRECTIONS BEFORE USE.

DIRECTIONS FOR USE:

Reconstitute with 47 mL of Sterile Water for Injection to the 5 g vial of dry, sterile

vancomycin powder. See enclosed package insert for complete reconstitution instruction.

The resultant solution will contain vancomycin 100 mg/mL.

AFTER RECONSTITUTION, FURTHER DILUTION IS REQUIRED.

This pharmacy bulk package is for use in a pharmacy admixture service.

Dispense aliquots from the vial using a suitable sterile dispensing set into infusion fluids under a laminar flow hood using aseptic technique.

DISCARD VIAL NO LATER THAN 4 HOURS AFTER INITIAL CLOSURE PUNCTURE. (See Package Insert).

hikma

Rev. 2/2024

Sterile. Spray dried. Preservative Free.

*Each vial contains:  Vancomycin hydrochloride equivalent to 5 g vancomycin.

Recommended Dosage: See prescribing information.

Important: Read package insert for PRECAUTIONS and DIRECTIONS FOR USE.

Prior to reconstitution, store at 20ºC to 25ºC (68ºF to 77ºF) [See USP Controlled Room Temperature].

After reconstitution, use promptly. (Discard vial within 4 hours after entry). See package insert for full information.

Vial stoppers are not made with natural rubber latex.

Manufactured by:

Zhejiang Novus Pharmaceuticals Co., Ltd.,

No. 125, Yuezhong Rd, Lihai Subdistrict,

Yuecheng District, Shaoxing, 312366,

Zhejiang, China

Distributed by:

Hikma Pharmaceuticals USA Inc.

Berkeley Heights, NJ 07922

Linear barcode

N3 01439 16301 5

Vial Label

NDC 0143-9163-01

Rx only

Vancomycin Hydrochloride

for Injection

Equivalent to

5 g*/ Pharmacy Bulk Package

Vancomycin

For intravenous infusion after dilution

For Oral Use, see prescribing information

PHARMACY BULK PACKAGE

NOT For Direct Infusion

READ INSERT FOR PRECAUTIONS AND DIRECTIONS BEFORE USE.

Sterile. Spray dried. Preservative Free.

*Each vial contains: Vancomycin hydrochloride equivalent to 5 g vancomycin.

Recommended Dosage: See prescribing information. 

IMPORTANT: Read package insert for PRECAUTIONS and DIRECTIONS FOR USE.

Prior to reconstitution, store at 20ºC to 25ºC(68ºF to 77ºF) [See USP Controlled Room Temperature].

After reconstitution, use promptly. (Discard vial within 4 hours after entry). See package insert for full information.

DIRECTIONS FOR USE:

Reconstitute with 47 mL of Sterile Water for Injection to the 5 g vial of dry, sterile vancomycin powder. See enclosed package for complete reconstitution instruction.

The resultant solution will contain vancomycin 100 mg/mL.

AFTER RECONSTITUTION, FURTHER DILUTION IS REQUIRED.

This pharmacy bulk package is for use in a pharmacy admixture service.

Dispense aliquots from the vial using a suitable sterile dispensing set into infusion fluids under a laminar flow hood using aseptic technique.

DISCARD VIAL NO LATER THAN 4 HOURS AFTER INITIAL CLOSURE PUNCTURE. (See Package Insert).

Vial stoppers are not made with natural rubber latex.

Manufactured by:

Zhejiang Novus Pharmaceuticals Co., Ltd.,

No. 125, Yuezhong Rd, Lihai Subdistrict, Yuecheng

District, Shaoxing, 312366, Zhejiang, China

Distributed by:

Hikma Pharmaceuticals USA Inc.

Berkeley Heights, NJ 07922

BZFD11201

Rev. 2/2024

Lot

Exp YYYY-MM-DD

BOTTLE ENTRY

DATE: _____

TIME: _____

Linear barcode

(01)00301439163015

Package Label Ndc 0143 9164 01

Carton Label

NDC 0143-9164-01

Rx Only

Vancomycin Hydrochloride

for Injection

Equivalent to

10 g*/ Pharmacy Bulk Package

Vancomycin

For intravenous infusion after dilution

For Oral Use, see prescribing information

PHARMACY BULK PACKAGE

NOT For Direct Infusion

READ INSERT FOR PRECAUTIONS AND DIRECTIONS BEFORE USE.

DIRECTIONS FOR USE:

Reconstitute with 94 mL of Sterile Water for Injection to the 10 g vial of dry, sterile

vancomycin powder. See enclosed package for complete reconstitution instruction.

The resultant solution will contain vancomycin 100 mg/mL.

AFTER RECONSTITUTION, FURTHER DILUTION IS REQUIRED.

This pharmacy bulk package is for use in a pharmacy admixture service.

Dispense aliquots from the vial using a suitable sterile dispensing set into infusion fluids under a laminar flow hood using aseptic technique.

DISCARD VIAL NO LATER THAN 4 HOURS AFTER INITIAL CLOSURE PUNCTURE. (See Package Insert).

hikma.

Rev. 2/2024

Sterile. Spray dried. Preservative Free.

*Each vial contains: Vancomycin hydrochloride equivalent to 10 g vancomycin.

Recommended Dosage: See prescribing information.

Important: Read package insert for PRECAUTIONS and DIRECTIONS FOR USE.

Prior to reconstitution, store at 20ºC to 25ºC (68ºF to 77ºF) [See USP Controlled Room Temperature].

After reconstitution, use promptly. (Discard vial within 4 hours after entry). See package insert for full information.

Vial stoppers are not made with natural rubber latex.

Manufactured by:

Zhejiang Novus Pharmaceuticals Co., Ltd.,

No. 125, Yuezhong Rd, Lihai Subdistrict,

Yuecheng District, Shaoxing, 312366,

Zhejiang, China

Distributed by:

Hikma Pharmaceuticals USA Inc.

Berkeley Heights, NJ 07922

N3 01439 16401 2

Vial Label

NDC 0143-9164-01

Rx only

Vancomycin Hydrochloride

for Injection

Equivalent to

10 g*/ Pharmacy Bulk Package

Vancomycin

For intravenous infusion after dilution

For Oral Use, see prescribing information

PHARMACY BULK PACKAGE

NOT For Direct Infusion

READ INSERT FOR PRECAUTIONS AND DIRECTIONS BEFORE USE.

Sterile. Spray dried. Preservative Free.

*Each vial contains: Vancomycin hydrochloride equivalent to 10 g vancomycin.

Recommended Dosage: See prescribing information.

IMPORTANT: Read package insert for PRECAUTIONS and DIRECTIONS FOR USE.

Prior to reconstitution, store at 20ºC to 25ºC(68ºF to 77ºF) [See USP Controlled Room Temperature].

After reconstitution, use promptly. (Discard vial within 4 hours after entry). See package insert for full information.

DIRECTIONS FOR USE:

Reconstitute with 94 mL of Sterile Water for Injection to the 10 g vial of dry, sterile vancomycin powder. See enclosed package for complete reconstitution instruction.

The resultant solution will contain vancomycin 100 mg/mL.

AFTER RECONSTITUTION, FURTHER DILUTION IS REQUIRED.

This pharmacy bulk package is for use in a pharmacy admixture service.

Dispense aliquots from the vial using a suitable sterile dispensing set into infusion fluids under a laminar flow hood using aseptic technique.

DISCARD VIAL NO LATER THAN 4 HOURS AFTER INITIAL CLOSURE PUNCTURE. (See Package Insert).

Vial stoppers are not made with natural rubber latex.

Manufactured by:

Zhejiang Novus Pharmaceuticals Co., Ltd.,

No. 125, Yuezhong Rd, Lihai Subdistrict, Yuecheng

District, Shaoxing, 312366, Zhejiang, China

Distributed by:

Hikma Pharmaceuticals USA Inc.

Berkeley Heights, NJ 07922

Rev. 2/2024

Lot

Exp YYYY-MM-DD

BOTTLE ENTRY

DATE: _____

TIME: _____

(01)00301439164012

17 Patient Counseling Information

Acute Kidney Injury

Advise patients that Vancomycin Hydrochloride for Injection can result in kidney damage and that blood tests are required to monitor vancomycin blood levels and kidney function during therapy [see Warnings and Precautions (5.1)].

Hearing Loss or Balance Problems

Advise patients that Vancomycin Hydrochloride for Injection may result in decreased hearing and to report hearing loss or balance problems to their health care provider [see Warnings and Precautions (5.2)].

Severe Dermatologic Reactions

Advise patients about the signs and symptoms of serious skin manifestations. Instruct patients to stop Vancomycin Hydrochloride for Injection immediately and promptly seek medical attention at the first signs or symptoms of skin rash, mucosal lesions or blisters [see Warnings and Precautions (5.3)].

Infusion Reactions During or After Intravenous Use

Advise patients that generalized skin redness, skin rash, itching, flushing, muscle pain, chest pain, shortness of breath, wheezing, or dizziness may occur during Vancomycin Hydrochloride for Injection infusion. [see Warnings and Precautions (5.5)].

Diarrhea

Diarrhea is a common problem caused by antibacterial drugs, including vancomycin, which usually ends when the antibacterial drug is discontinued. Sometimes after starting treatment with antibacterial drugs, patients can develop watery and bloody stools (with or without stomach cramps and fever) even as late as two or more months after having taken the last dose of the antibacterial drug. If this occurs during treatment with Vancomycin Hydrochloride for Injection, patients should contact their physician as soon as possible [see Warnings and Precautions (5.7)].

Antibacterial Resistance

Patients should be counseled that antibacterial drugs including Vancomycin Hydrochloride for Injection should only be used to treat bacterial infections. They do not treat viral infections (e.g., the common cold). When Vancomycin Hydrochloride for Injection is prescribed to treat a bacterial infection, patients should be told that although it is common to feel better early in the course of therapy, the medication should be taken exactly as directed. Skipping doses or not completing the full course of therapy may (1) decrease the effectiveness of the immediate treatment and (2) increase the likelihood that bacteria will develop resistance and will not be treatable by Vancomycin Hydrochloride for Injection or other antibacterial drugs in the future.

Manufactured by:

Zhejiang Novus Pharmaceuticals Co., Ltd.

No. 125, Yuezhong Rd, Lihai Subdistrict,

Yuecheng District, Shaoxing, 312366, Zhejiang, China

5.3 Severe Dermatologic Reactions

Severe dermatologic reactions such as toxic epidermal necrolysis (TEN), Stevens-Johnson syndrome (SJS), drug reaction with eosinophilia and systemic symptoms (DRESS), acute generalized exanthematous pustulosis (AGEP), and linear IgA bullous dermatosis (LABD) have been reported in association with the use of vancomycin. Cutaneous signs or symptoms reported include skin rashes, mucosal lesions, and blisters.

Discontinue Vancomycin Hydrochloride for Injection at the first appearance of signs and symptoms of TEN, SJS, DRESS, AGEP, or LABD.

16 How Supplied/storage and Handling

How supplied

Vancomycin Hydrochloride for Injection is a white, almost white to tan to brown, sterile spray-dried powder in Pharmacy Bulk Package vials each containing vancomycin hydrochloride equivalent to 5 g or 10 g of vancomycin base.

The vial stopper is not made with natural rubber latex.

NDC No.

Strength  Unit of Sale

0143-9163-01

Vancomycin Hydrochloride for Injection, equivalent to 5 g vancomycin in a Pharmacy Bulk Package vial, packaged individually.
0143-9164-01 Vancomycin Hydrochloride for Injection, equivalent to 10 g vancomycin in a Pharmacy Bulk Package vial, packaged individually.

Storage

Store at 20°C to 25°C (68°F to 77°F). Brief exposure to 15°C to 30°C (59°F to 86°F) is permitted [See USP Controlled Room Temperature]. Storage after reconstitution and dilution is described elsewhere in the labeling [see Dosage and Administration (2.5, 2.8)].

1.7 Enterocolitis Caused By S. Aureus

Vancomycin Hydrochloride for Injection administered orally is indicated for the treatment of enterocolitis caused by susceptible isolates of Staphylococcus aureus in adults and pediatric patients less than 18 years of age.

7.3 Ototoxic And/or Nephrotoxic Drugs

Concurrent and/or sequential systemic or topical use of other potentially, neurotoxic and/or nephrotoxic drugs requires more frequent monitoring of renal function.

1.3 Skin and Skin Structure Infections

Vancomycin Hydrochloride for Injection administered intravenously is indicated in adults and pediatric patients less than 18 years of age for the treatment of skin and skin structure infections due to:

  • Susceptible isolates of MRSA and coagulase negative staphylococci.
  • Methicillin-susceptible staphylococci in penicillin-allergic patients, or those patients who cannot receive or who have failed to respond to other drugs, including penicillins or cephalosporins.
1.5 Lower Respiratory Tract Infections

Vancomycin Hydrochloride for Injection administered intravenously is indicated in adults and pediatric patients less than 18 years of age for the treatment of lower respiratory tract infections due to:

  • Susceptible isolates of MRSA
  • Methicillin-susceptible staphylococci in penicillin-allergic patients, or those patients who cannot receive or who have failed to respond to other drugs, including penicillins or cephalosporins.
2.7 Incompatibilities for Intravenous Use

Vancomycin Hydrochloride for Injection reconstituted solution has a low pH and may cause chemical or physical instability when it is mixed with other compounds.

Mixtures of solutions of vancomycin and beta-lactam antibacterial drugs have been shown to be physically incompatible. The likelihood of precipitation increases with higher concentrations of vancomycin. It is recommended to adequately flush the intravenous lines between the administration of these antibacterial drugs. It is also recommended to dilute solutions of vancomycin to 5 mg/mL or less.

13.2 Animal Toxicology And/or Pharmacology

In animal studies, hypotension and bradycardia occurred in dogs receiving an intravenous infusion of vancomycin hydrochloride 25 mg/kg, at a concentration and infusion rate higher than recommended (concentration of 25 mg/mL and an infusion rate of 13.3 mL/min).

In a 4-week repeat-dose toxicokinetic study, electrocardiograms were obtained from dogs receiving Vancomycin Hydrochloride for Injection by the IV route, twice daily at 33 mg/kg (at a concentration of 10 mg/mL, over 30 minutes), for a total daily vancomycin dose of 66 mg/kg/day. No bradycardia was observed in the dogs when the pretest heart rates were compared to the heart rates observed 1 to 2 hours after the first daily dose during week 4.

5.9 Development of Drug Resistant Bacteria

Prescribing Vancomycin Hydrochloride for Injection (intravenously and orally administered) in the absence of a proven or strongly suspected bacterial infection or a prophylactic indication is unlikely to provide benefit to the patient and increases the risk of the development of drug-resistant bacteria.

5.8 Hemorrhagic Occlusive Retinal Vasculitis (horv)

Hemorrhagic occlusive retinal vasculitis, including permanent loss of vision, occurred in patients receiving intracameral or intravitreal administration of vancomycin during or after cataract surgery. The safety and efficacy of vancomycin administered by the intracameral or the intravitreal route have not been established by adequate and well-controlled trials. Vancomycin Hydrochloride for Injection (intravenously and orally administered) is not indicated for the prophylaxis of endophthalmitis.

2.4 Intravenous Dosage in Patients With Renal Impairment

Dosage adjustment must be made in adult and pediatric patients with renal impairment. The initial dose should be no less than 15 mg/kg, in adult patients with any degree of renal impairment.

In premature infants and the elderly, greater dosage reductions than expected may be necessary because of decreased renal function. Measure trough vancomycin serum concentrations to guide therapy, especially in seriously ill patients with changing renal function.

For functionally anephric patients, an initial dose of 15 mg/kg of body weight should be given to achieve prompt therapeutic serum concentration. A dose of 1.9 mg/kg/24 hr should be given after the initial dose of 15 mg/kg.

13.1 Carcinogenesis, Mutagenesis, Impairment of Fertility

No long-term carcinogenesis studies in animals have been conducted.

At concentrations up to 1000 mcg/mL, vancomycin had no mutagenic effect in vitro in the mouse lymphoma forward mutation assay or the primary rat hepatocyte unscheduled DNA synthesis assay. The concentrations tested in vitro were above the peak plasma vancomycin concentrations of 20 to 40 mcg/mL usually achieved in humans after slow infusion of the maximum recommended dose of 1 g. Vancomycin had no mutagenic effect in vivo in the Chinese hamster sister chromatid exchange assay (400 mg/kg IP) or the mouse micronucleus assay (800 mg/kg IP).

No definitive fertility studies have been conducted.

2.1 Important Administration Instructions for Intravenous Use
  • Vancomycin Hydrochloride for Injection is supplied in pharmacy bulk packages. A pharmacy bulk package is a sterile dosage form containing many single doses. The contents of Vancomycin Hydrochloride for Injection pharmacy bulk package are intended for use by a pharmacy admixture service for addition to suitable parenteral fluids in the preparation of admixtures for intravenous infusion. The Pharmacy Bulk Package is NOT for direct infusion. Further dilution is required before use [see Dosage and Administration (2.4)].
  • To reduce the risk of infusion related adverse reactions, administer diluted Vancomycin Hydrochloride for Injection by intravenous infusion over 60 minutes or greater [see Warnings and Precautions (5.5) and Adverse Reactions (6.1)].
  • Diluted Vancomycin Hydrochloride for Injection concentrations of no more than 5 mg/mL are recommended in adults [see Dosage and Administration (2.2)]. See also age-specific recommendations [see Dosage and Administration (2.2, 2.3)]. In selected patients in need of fluid restriction, a concentration up to 10 mg/mL may be used. Infusion related events may occur, however, at any rate or concentration [see Warnings and Precautions (5.5)].
  • Other drugs should not be added to the Vancomycin Hydrochloride for Injection Pharmacy Bulk Package or the diluted Vancomycin Hydrochloride for Injection [see Dosage and Administration (2.7)].
  • Administer diluted Vancomycin Hydrochloride for Injection prior to intravenous anesthetic agents to reduce the risk of infusion related adverse reactions [see Warnings and Precautions (5.5)].
  • Administer diluted Vancomycin Hydrochloride for Injection by a secure intravenous route of administration to avoid local irritation and phlebitis reactions [see Warnings and Precautions (5.6)].
2.6 Compatibility With Intravenous Fluids for Intravenous Use

The following diluents are physically and chemically compatible with approximately 4.5 mg/mL of vancomycin hydrochloride:

   5% Dextrose Injection, USP

   5% Dextrose Injection and 0.9% Sodium Chloride Injection, USP

   Lactated Ringer’s Injection, USP

   5% Dextrose and Lactated Ringer’s Injection, USP

   0.9% Sodium Chloride Injection, USP

2.3 Orally Administered Dosage in Adult and Pediatric Patients

Dosage in Adult Patients

  • C. difficile-associated diarrhea: The recommended dose is 125 mg administered orally 4 times daily for 10 days.
  • Staphylococcal enterocolitis: Total daily dosage is 500 mg to 2 g administered orally in 3 or 4 divided doses for 7 days to 10 days.

Dosage in Pediatric Patients (Less than 18 years of age)

For both C. difficile-associated diarrhea and staphylococcal enterocolitis, the usual daily dosage is 40 mg/kg in 3 or 4 divided doses for 7 days to 10 days. The total daily dosage should not exceed 2 g.

5.10 Potential for Systemic Absorption After Oral Administration

Clinically significant serum concentrations have been reported in some patients who have taken multiple oral doses of oral vancomycin for active C. difficile-associated diarrhea. Some patients with inflammatory disorders of the intestinal mucosa also may have significant systemic absorption of vancomycin. These patients may be at risk for the development of adverse reactions associated with higher doses of oral vancomycin; therefore, monitoring of serum concentrations of vancomycin may be appropriate in some instances, e.g., in patients with renal insufficiency and/or colitis or in those receiving concomitant therapy with an aminoglycoside antibacterial drug.

5.6 Phlebitis and Adverse Reactions With Unapproved Routes of Administration

Inflammation at the site of injection of vancomycin has been reported. Vancomycin is irritating to tissue and must be given by a secure intravenous route of administration to reduce the risk of local irritation and phlebitis. Thrombophlebitis may occur, the frequency and severity of which can be minimized by slow infusion of the drug and by rotation of venous access sites.

Administration of Vancomycin Hydrochloride for Injection by intramuscular (IM), intraperitoneal, intrathecal intraventricular, or intravitreal routes has not been approved and is not recommended. The safety and efficacy of vancomycin administered by these routes of administration have not been established by adequate and well controlled trials. Pain, tenderness, and necrosis occur with IM injection of vancomycin or with inadvertent extravasation. Intraperitoneal administration during continuous ambulatory peritoneal dialysis (CAPD) can result in chemical peritonitis. Manifestations range from cloudy dialysate alone to a cloudy dialysate accompanied by variable degrees of abdominal pain and fever. This syndrome appears to be resolved after discontinuation of intraperitoneal vancomycin.

About 60% of an intraperitoneal dose of vancomycin administered during peritoneal dialysis is absorbed systemically in 6 hours. Serum concentrations of about 10 mcg/mL are achieved by intraperitoneal injection of 30 mg/kg of vancomycin. However, the safety and efficacy of the intraperitoneal use of vancomycin has not been established in adequate and well-controlled trials.

2.2 Intravenous Dosage in Adult and Pediatric Patients With Normal Renal Function

Dosage in Adult Patients

The usual daily intravenous dose is 2 grams (g) divided either as 500 mg every 6 hours or 1 g every 12 hours. Administer each dose by intravenous infusion over a period of 60 minutes or greater. Other patient factors, such as age or obesity, may call for modification of the usual intravenous daily dose.

Dosage in Pediatric Patients Aged 1 Month and Older

The usual intravenous dosage of vancomycin is 10 mg/kg per dose given every 6 hours. Each dose should be administered over a period of at least 60 minutes. Close monitoring of serum concentrations of vancomycin may be warranted in these patients.

Dosage in Pediatric Patients Younger than 1 Month of Age

In pediatric patients, up to the age of 1 month, the total daily intravenous dosage may be lower. In neonates, an initial dose of 15 mg/kg is suggested, followed by 10 mg/kg every 12 hours for pediatric patients in the 1st week of life and every 8 hours thereafter up to the age of 1 month. Each dose should be administered over 60 minutes. In premature infants, vancomycin clearance decreases as postconceptional age decreases. Therefore, longer dosing intervals may be necessary in premature infants. Close monitoring of serum concentrations of vancomycin is recommended in these patients.

2.8 Preparation of Vancomycin Hydrochloride for Injection for Oral Administration

Preparation of the Pharmacy Bulk Package for Oral Use

  • Reconstitute Vancomycin Hydrochloride for Injection to 100 mg/mL by adding the appropriate amount of sterile water for injection:
    Table 1: Reconstitution-Volume of Sterile Water for Injection to be Added 
    Vancomycin Hydrochloride for Injection Strength per Vial Volume of Sterile Water for Injection to be added to achieve 100 mg/mL Vancomycin Hydrochloride Solution
    5 g 47 mL
    10 g 94 mL
  • Sweeteners may be added to this solution to improve the taste for oral administration following the steps outlined in Instructions for How to Prepare and Add Sweeteners below.

Instructions for How to Prepare and Add Sweeteners

1. Prepare the sweetening agent separately from the reconstituted Vancomycin hydrochloride solution in a plastic-container following one of the preparation options below: 

  • Mix sucrose and sterile water for injection in a 1:2 ratio (e.g., 10 g sucrose and 20 mL sterile water for injection) OR
  • Mix agave nectar with an equal volume of sterile water for injection

2. Mix the sweetening agent with the reconstituted Vancomycin hydrochloride solution in a 3:1 ratio (e.g., 30 mL sweetening agent with 10 mL vancomycin solution) to obtain a sweetened solution containing 25 mg/mL of vancomycin that is suitable for oral administration.

The diluted solution may be administered orally or via a nasogastric tube [see Dosage and Administration (2.3)].

2.5 directions for the Preparation, Dilution and Storage of the Pharmacy Bulk Package for Intravenous Use

Preparation

  • Vancomycin Hydrochloride for Injection pharmacy bulk package is not for direct intravenous infusion. Prior to intravenous administration, contents of the Vancomycin Hydrochloride for Injection pharmacy bulk package must be reconstituted and further diluted. No preservative is present in this product. Aseptic technique must be used in the preparation of final IV solution.
  • Prepare Vancomycin Hydrochloride for Injection pharmacy bulk packages for use in a pharmacy admixture service only in a suitable work area, such as a laminar flow hood. They should be hung by the integral hanger provided and suspended as a unit in the laminar flow hood.
  • Using aseptic technique, penetrate the container closure only one time utilizing a suitable sterile dispensing set or transfer device which allows measured distribution dispensing of the contents.
  • Use of a syringe and needle is not recommended as it may cause leakage. Swab bottle stopper with an antiseptic solution prior to inserting the dispensing set into the bottle using aseptic technique.
  • Once the sterile dispensing set has been inserted into the container, withdrawal of the contents from the Vancomycin Hydrochloride for Injection pharmacy bulk package should be accomplished without delay immediately. However, if this is not possible, a maximum time of 4 hours from the initial closure entry may be permitted to complete fluid transfer operations.
  • Discard the container and any unused portion in the container no later than 4 hours after initial closure puncture the container closure has been penetrated.

Reconstitution and Dilution

5 g Pharmacy Bulk Package Vial

At the time of use, reconstitute by adding 47 mL of Sterile Water for Injection to the 5 g vial of dry, sterile vancomycin powder following the reconstitution steps below. The resultant solution will contain vancomycin equivalent to about 100 mg/mL. After reconstitution, further dilution is required using one of the compatible intravenous diluents listed below [see Dosage and Administration (2.6)], prior to intravenous administration.

Reconstituted solutions of vancomycin (100 mg/mL) must be further diluted. A dose of 500 mg (5 mL) must be diluted with at least 100 mL of a suitable infusion. For doses of 1 gram (10 mL), at least 200 mL of solution must be used. The desired dose diluted in this manner should be administered by intermittent IV infusion over a period of at least 60 minutes.

10 g Pharmacy Bulk Package Vial

At the time of use, reconstitute by adding 94 mL of Sterile Water for Injection to the 10 g vial of dry, sterile vancomycin powder following the reconstitution steps below. The resultant solution will contain vancomycin equivalent to about 100 mg/mL. After reconstitution, further dilution is required using one of the compatible intravenous diluents listed below [see Dosage and Administration (2.6)], prior to intravenous administration.

Reconstituted solutions of vancomycin (100 mg/mL) must be further diluted. A dose of 500 mg (5 mL) must be diluted with at least 100 mL of a suitable infusion solution. For doses of 1 gram (10 mL), at least 200 mL of solution must be used. The desired dose diluted in this manner should be administered by intermittent IV infusion over a period of at least 60 minutes.

Parenteral drug products should be visually inspected for particulate matter and discoloration prior to administration, whenever solution and container permit.

Reconstitution steps:

  • Shake the vial to loosen the powder.
  • Remove the flip-off cap and transfer sterile water for injection into the vial using a syringe. When injecting the sterile water for injection into the vial, adjust the syringe needle angle pointing towards the vial wall, to disperse the powder and to prevent powder clump at the bottom.
  • After the sterile water for injection transfer, within 1 minute begin to shake the vial vigorously, continuing for up to 3 minutes or until a uniform solution is obtained.
2.9 Storage of Reconstituted and Diluted Vancomycin Hydrochloride for Injection for Intravenous Or Oral Administration

Intravenous Administration:

Administer the compounded mixtures within 4 hours after preparation when storing at room temperature and 6 days when stored refrigerated (14 days for solutions made with 0.9% sodium chloride and 5% dextrose).

Oral Administration:

Store the diluted solution for oral use in a plastic container refrigerated at 2 °C to 8 °C (36°F to 46°F) for up to 10 days.


Structured Label Content

1.9 Usage

To reduce the development of drug-resistant bacteria and maintain the effectiveness of Vancomycin Hydrochloride for Injection and other antibacterial drugs, Vancomycin Hydrochloride for Injection should be used only to treat or prevent infections that are proven or strongly suspected to be caused by susceptible bacteria. When culture and susceptibility information are available, they should be considered in selecting or modifying antibacterial therapy. In the absence of such data, local epidemiology and susceptibility patterns may contribute to the empiric selection of therapy.

10 Overdosage (10 OVERDOSAGE)

Supportive care is advised, with maintenance of glomerular filtration. Vancomycin is poorly removed by dialysis. Hemofiltration and hemoperfusion with polysulfone resin have been reported to result in increased vancomycin clearance.

For current information on the management of overdosage, contact the National Poison Control Center at 1-800-222-1222 or www.poison.org.

15 References (15 REFERENCES)
  • Byrd RA., Gries CL, Buening M.: Developmental Toxicology Studies of Vancomycin Hydrochloride Administered Intravenously to Rats and Rabbits. Fundam Appl Toxicol 1994; 23: 590-597.
8.1 Pregnancy

Risk Summary

There are no available data on vancomycin use in pregnant women to inform a drug associated risk of major birth defects or miscarriage. Available published data on vancomycin use in pregnancy during the second and third trimesters have not shown an association with adverse pregnancy related outcomes (see Data). Vancomycin did not show adverse developmental effects when administered intravenously to pregnant rats and rabbits during organogenesis at doses less than or equal to the recommended maximum human dose (see Data). Systemic absorption of vancomycin is low following oral administration of vancomycin hydrochloride capsules; however, absorption may vary depending on various factors [see Clinical Pharmacology (12.3)].

The estimated background risk of major birth defects and miscarriage for the indicated population(s) is unknown. All pregnancies have a background risk of birth defect, loss, or other adverse outcomes. In the U.S. general population, the estimated background risk of major birth defects and miscarriage in clinically recognized pregnancies is 2% to 4% and 15% to 20%, respectively.

Data

Human Data

A published study evaluated hearing loss and nephrotoxicity in infants of 10 pregnant intravenous drug users treated with intravenously administered vancomycin for suspected or documented methicillin-resistant Staphylococcus-aureus (MRSA) infections in the second or third trimester. The comparison groups were 10 non-intravenous drug-dependent patients who received no treatment, and 10 untreated intravenous drug-dependent patients who served as substance abuse controls. No infant in the vancomycin exposed group had abnormal sensorineural hearing at 3 months of age or nephrotoxicity.



A published prospective study assessed outcomes in 55 pregnant women with a positive Group B streptococcus (GBS) culture and a high-risk penicillin allergy with resistance to clindamycin or unknown sensitivity who were administered vancomycin intravenously at the time of delivery. Vancomycin dosing ranged from the standard 1 g intravenously every 12 hours to 20 mg/kg intravenous every 8 hours (maximum individual dose 2 g). No major adverse reactions were recorded either in the mothers or their newborns. None of the newborns had sensorineural hearing loss. Neonatal renal function was not examined, but all of the newborns were discharged in good condition.

Animal Data

Vancomycin did not cause fetal malformations when administered during organogenesis to pregnant rats (gestation days 6 to 15) and rabbits (gestation days 6 to 18) at the equivalent recommended maximum human dose (based on body surface area comparisons) of 200 mg/kg/day IV to rats or 120 mg/kg/day IV to rabbits.1 No effects on fetal weight or development were seen in rats at the highest dose tested or in rabbits given 80 mg/kg/day (approximately 1 and 0.8 times the recommended maximum human dose based on body surface area, respectively). Maternal toxicity was observed in rats (at doses 120 mg/kg and above) and rabbits (at 80 mg/kg and above). There were no oral embryo-fetal toxicity studies conducted in animals with this Vancomycin Injection product.

8.2 Lactation

Risk Summary

Vancomycin is present in human milk following intravenous administration, however, there are insufficient data to inform the levels. There are no available data on vancomycin presence in milk following oral administration. Systemic absorption of vancomycin is low following oral administration of vancomycin hydrochloride capsules; however, absorption may vary depending on various factors [see Clinical Pharmacology (12.3)]. There are no data on the effects of vancomycin on the breastfed infant or milk production. The developmental and health benefits of breastfeeding should be considered along with the mother’s clinical need for Vancomycin Hydrochloride for Injection and any potential adverse effects on the breastfed infant from Vancomycin Hydrochloride for Injection or from the underlying maternal condition.

1.1 Septicemia

Vancomycin Hydrochloride for Injection administered intravenously is indicated in adults and pediatric patients less than 18 years of age for the treatment of septicemia due to:

  • Susceptible isolates of methicillin-resistant Staphylococcus aureus (MRSA) and coagulase negative staphylococci.
  • Methicillin-susceptible staphylococci in penicillin-allergic patients, or those patients who cannot receive or who have failed to respond to other drugs, including penicillins or cephalosporins.
11 Description (11 DESCRIPTION)

Vancomycin Hydrochloride for Injection contains the hydrochloride salt of vancomycin, a tricyclic glycopeptide antibacterial derived from Amycolatopsis orientalis (formerly Nocardia orientalis). The chemical name for vancomycin hydrochloride is (Sa)-(3S,6R,7R,22R,23S, 26S,36R,38aR)-44-[[2-O-(3-Amino-2,3,6-trideoxy-3-C-methyl-α-L-lyxo-hexopyranosyl)-β-Dglucopyranosyl]oxy]-3-(carbamoylmethyl)-10,19-dichloro-2,3,4,5,6,7,23,24,25,26,36,37,38,38atetradecahydro-7,22,28,30,32-pentahydroxy-6-[(2R)-4-methyl-2-(methylamino)valeramido]2,5,24,38,39-pentaoxo-22H-8,11:18,21-dietheno-23,36-(iminomethano)-13,16:31,35-dimetheno1H,16H-[l,6,9]oxadiazacyclohexadecino[4,5-m][10,2,16]-benzoxadiazacyclotetracosine-26carboxylic acid, monohydrochloride. The molecular formula is C66H75Cl2N9O24 • HCl and the molecular weight is 1,485.71. Vancomycin hydrochloride has the following structural formula:

Vancomycin Hydrochloride for Injection, 5 g and 10 g, in Pharmacy Bulk Package, is a sterile, preservative-free, white, almost white to tan to brown, spray-dried powder, for preparing intravenous (IV) infusions, in vials. Each 5 g vial contains 5 g vancomycin (equivalent to 5.13 g vancomycin hydrochloride), 1.25 g trehalose, 0.5 mg polysorbate 80, and hydrochloric acid used to adjust the pH. Each 10 g vial contains 10 g vancomycin (equivalent to 10.25 g vancomycin hydrochloride), 2.5 g trehalose, 1 mg polysorbate 80, and hydrochloric acid used to adjust the pH.

The spray-dried powder is reconstituted with Sterile Water for Injection which forms a clear solution and subsequently diluted prior to intravenous or oral administration [see Dosage and Administration (2.5, 2.8)]

A pharmacy bulk package is a sterile dosage form containing many single doses. The contents of this pharmacy bulk package are intended for use by a pharmacy admixture service for addition to suitable parenteral fluids in the preparation of admixtures for intravenous infusion. Vancomycin Hydrochloride for Injection is for intravenous or oral administration. Vancomycin Hydrochloride for Injection must be diluted with an appropriate diluent prior to intravenous administration [see Dosage and Administration (2.5)]. Vancomycin Hydrochloride for Injection may also be diluted with a sweetening agent for oral administration [see Dosage and Administration (2.8)].

5.2 Ototoxicity

Ototoxicity has occurred in patients administered vancomycin intravenously or orally. It may be transient or permanent. Ototoxicity manifests as tinnitus, hearing loss, dizziness or vertigo. The risk is higher in older patients, patients who are receiving higher doses, who have an underlying hearing loss, who are receiving concomitant therapy with another ototoxic agent, such as an aminoglycoside or who have underlying renal impairment. Monitor for signs and symptoms of ototoxicity during oral or intravenous therapy with Vancomycin Hydrochloride for Injection. Discontinue Vancomycin Hydrochloride for Injection if ototoxicity occurs. Serial tests of auditory function may be helpful in order to minimize the risk of ototoxicity.

5.4 Neutropenia

Reversible neutropenia has been reported in patients administered vancomycin intravenously or orally. Patients who will undergo prolonged therapy with Vancomycin Hydrochloride for Injection or those who are receiving concomitant drugs which may cause neutropenia should have periodic monitoring of the leukocyte count.

12.4 Microbiology

Mechanism of Action

The bactericidal action of vancomycin results primarily from inhibition of cell-wall biosynthesis. In addition, vancomycin alters bacterial-cell-membrane permeability and RNA synthesis.

Resistance

Vancomycin is not active in vitro against gram-negative bacilli, mycobacteria, or fungi. There is no cross-resistance between vancomycin and other antibacterials.

C. difficile

Isolates of C. difficile generally have vancomycin minimal inhibitory concentrations (MICs) of < 1 mcg/mL; however, vancomycin MICs ranging from 4 mcg/mL to 16 mcg/mL have been reported. The mechanism which mediates C. difficile’s decreased susceptibility to vancomycin has not been fully elucidated.

S. aureus

S. aureus isolates with vancomycin MICs as high as 1024 mcg/mL have been reported. The exact mechanism of this resistance is not clear but is believed to be due to cell wall thickening and potentially the transfer of genetic material.

Interaction with Other Antimicrobials

The combination of vancomycin and an aminoglycoside acts synergistically in vitro against many isolates of Staphylococcus aureus, Streptococcus gallolyticus (previously known as Streptococcus bovis), Enterococcus species, and the viridans group streptococci.

Antimicrobial Activity

Vancomycin has been shown to be active against most isolates of the following microorganisms, both in vitro and in clinical infections [see Indications and Usage (1)].

Aerobic bacteria

Gram-positive bacteria

Corynebacterium species

Enterococcus species (including Enterococcus faecalis)

Staphylococcus aureus (including methicillin-resistant and methicillin-susceptible isolates)

Coagulase negative staphylococci (including S.epidermidis and methicillin-resistant isolates)

Streptococcus gallolyticus (previously known as Streptococcus bovis)

Viridans group streptococci

Anaerobic bacteria

Gram-positive bacteria

Clostridioides difficile isolates associated with C. difficile associated diarrhea.

The following in vitro data are available, but their clinical significance is unknown. At least 90 percent of the following bacteria exhibit an in vitro minimum inhibitory concentration (MIC) less than or equal to the susceptible breakpoint for vancomycin against isolates of similar genus or organism group. However, the efficacy of vancomycin in treating clinical infections caused by these bacteria has not been established in adequate and well-controlled clinical trials.

Aerobic bacteria

Gram-positive bacteria

Listeria monocytogenes

Streptococcus pyogenes

Streptococcus pneumoniae

Streptococcus agalactiae

Anaerobic bacteria

Gram-positive bacteria

Actinomyces species

Lactobacillus species

Susceptibility Testing

For specific information regarding susceptibility test interpretive criteria and associated test methods and quality control standards recognized by FDA for this drug, please see: https://www.fda.gov/STIC.

8.4 Pediatric Use

Vancomycin Hydrochloride for Injection administered intravenously is indicated in pediatric patients less than 18 years of age for the treatment of septicemia, infective endocarditis, skin and skin structure infections, bone infections and lower respiratory tract infections [see Indications and Usage (1.1 to 1.5) and Dosage and Administration (2.2)].

Vancomycin Hydrochloride for Injection administered orally is indicated in pediatric patients less than 18 years of age for the treatment of Clostridioides difficile-associated diarrhea and enterocolitis caused by Staphylococcus aureus (including methicillin-resistant strains) [see Indications and Usage (1.6, 1.7) and Dosage and Administration (2.3)].

In pediatric patients, monitor vancomycin serum concentration and renal function when administering Vancomycin Hydrochloride for Injection intravenously [see Dosage and Administration (2.2) and Warnings and Precautions (5.1)]. More severe infusion related reactions related to Vancomycin Hydrochloride for Injection administration may occur in pediatric patients. Concomitant administration of vancomycin and intravenous anesthetic agents has been associated with erythema and histamine-like flushing in all patients including pediatric patients [see Warnings and Precautions (5.5)].

8.5 Geriatric Use

Clinical studies with another vancomycin hydrochloride drug product in C. difficile-associated diarrhea have demonstrated that geriatric subjects are at increased risk of developing nephrotoxicity following treatment with oral vancomycin hydrochloride, which may occur during or after completion of therapy. In patients over 65 years of age, including those with normal renal function prior to treatment, renal function should be monitored during and following treatment with Vancomycin Hydrochloride for Injection to detect potential vancomycin induced nephrotoxicity [see Warnings and Precautions (5.1)] and Adverse Reactions (6.1)].

Patients over 65 years of age may take longer to respond to therapy compared to patients 65 years of age and younger. Clinicians should be aware of the importance of appropriate duration of Vancomycin Hydrochloride for Injection treatment in patients over 65 years of age and not discontinue or switch to alternative treatment prematurely.

Vancomycin Hydrochloride for Injection is known to be substantially excreted by the kidney, and the risk of adverse reactions to this drug may be greater in patients with impaired renal function. Because elderly patients are more likely to have decreased renal function, care should be taken in dose selection [see Dosage and Administration (2.4)], and it may be useful to monitor renal function [see Warnings and Precautions (5.1)].

5.1 Nephrotoxicity

Vancomycin Hydrochloride for Injection administered intravenously or orally can result in acute kidney injury (AKI), including acute renal failure, mainly due to interstitial nephritis or less commonly acute tubular necrosis. AKI is manifested by increasing blood urea nitrogen (BUN) and serum creatinine (Cr). The risk of AKI increases with higher vancomycin serum levels, prolonged exposure, concomitant administration of other nephrotoxic drugs, concomitant administration of piperacillin-tazobactam [see Drug Interactions (7.2)], volume depletion, pre-existing renal impairment and in critically ill patients and patients with co-morbid conditions that predispose to renal impairment.

Monitor serum vancomycin concentrations and renal function in all patients receiving Vancomycin Hydrochloride for Injection intravenously.

Nephrotoxicity (e.g., reports of renal failure, renal impairment, blood creatine increased) has occurred following oral vancomycin hydrochloride capsule therapy in randomized controlled clinical studies and can occur either during or after completion of therapy. The risk of nephrotoxicity is increased in patients >65 years of age [see Adverse Reactions (6.1) and Use in Specific Populations (8.5)]. In patients over 65 years of age, including those with normal renal function prior to treatment, renal function should be monitored during and following treatment with oral Vancomycin Hydrochloride for Injection therapy to detect potential vancomycin induced nephrotoxicity.

More frequent monitoring is recommended in patients with comorbidities that predispose to impairment in renal function or are concomitantly receiving other nephrotoxic drugs, in critically ill patients, in patients with changing renal function, and in patients requiring higher therapeutic vancomycin levels. If acute kidney injury occurs, discontinue Vancomycin Hydrochloride for Injection or reduce the dose.

1.4 Bone Infections

Vancomycin Hydrochloride for Injection administered intravenously is indicated in adults and pediatric patients less than 18 years of age for the treatment of bone infections due to:

  • Susceptible isolates of MRSA and coagulase negative staphylococci.
  • Methicillin-susceptible staphylococci in penicillin-allergic patients, or those patients who cannot receive or who have failed to respond to other drugs, including penicillins or cephalosporins.
4 Contraindications (4 CONTRAINDICATIONS)

Vancomycin Hydrochloride for Injection is contraindicated in patients with known hypersensitivity to vancomycin and polysorbate 80.

6 Adverse Reactions (6 ADVERSE REACTIONS)

The following clinically significant adverse reactions are described elsewhere in the labeling:

  • Nephrotoxicity [see Warnings and Precautions (5.1)]
  • Ototoxicity [see Warnings and Precautions (5.2)]
  • Severe Dermatologic Reactions [see Warnings and Precautions (5.3)]
  • Neutropenia [see Warnings and Precautions (5.4)]
  • Infusion Reactions [see Warnings and Precautions (5.5)]
  • Clostridioides difficile-Associated Diarrhea [see Warnings and Precautions (5.7)]
7 Drug Interactions (7 DRUG INTERACTIONS)

8.6 Renal Impairment

Dosage adjustment must be made in patients with impaired renal function [see Dosage and Administration (2.3)]. Measure trough vancomycin serum concentrations to guide intravenous therapy, especially in seriously ill patients with changing renal function.

12.2 Pharmacodynamics

The pharmacodynamics of vancomycin is unknown.

12.3 Pharmacokinetics

General Pharmacokinetics

In subjects with normal kidney function, multiple intravenous dosing of 1 g of vancomycin (15 mg/kg) infused over 60 minutes produces mean plasma concentrations of approximately 63 mcg/mL immediately after the completion of infusion, mean plasma concentrations of approximately 23 mcg/mL 2 hours after infusion, and mean plasma concentrations of approximately 8 mcg/mL 11 hours after the end of the infusion. Multiple dosing of 500 mg infused over 30 minutes produces mean plasma concentrations of about 49 mcg/mL at the completion of infusion, mean plasma concentrations of about 19 mcg/mL 2 hours after infusion, and mean plasma concentrations of about 10 mcg/mL 6 hours after infusion. The plasma concentrations during multiple dosing are like those after a single dose.

Absorption

Vancomycin is poorly absorbed after oral administration. During multiple dosing of 250 mg every 8 hours for 7 doses, fecal concentrations of vancomycin in volunteers exceeded 100 mg/kg in the majority of samples. No blood concentrations were detected, and urinary recovery did not exceed 0.76%. In anephric subjects with no inflammatory bowel disease who received vancomycin oral solution 2 g for 16 days, blood concentrations of vancomycin were less than or eual to 0.66 mcg/mL in 2 of 5 subjects. No measurable blood concentrations were attained in the other 3 subjects. Following doses of 2 g daily, concentrations of drug were >3100 mg/kg in the feces and <1 mcg/mL in the serum of subjects with normal renal function who had C. difficile-associated diarrhea. After multiple-dose oral administration of vancomycin, measurable serum concentrations may occur in patients with active C. diffifile-associated diarrhea, and, in the presence of renal impairment, the possibility of accumulation exists. It should be noted that the total systemic and renal clearances of vancomycin are reduced in the elderly [see Use in Specific Populations (8.5)].

Distribution

The volume of distribution ranges from 0.3 to 0.43 L/kg after intravenous administration. Vancomycin is approximately 55% serum protein bound as measured by ultrafiltration at vancomycin serum concentrations of 10 to 100 mcg/mL. After intravenous administration of vancomycin, inhibitory concentrations are present in pleural, pericardial, ascitic, and synovial fluids; in urine; in peritoneal dialysis fluid; and in atrial appendage tissue. Vancomycin does not readily diffuse across normal meninges into the spinal fluid; but, when the meninges are inflamed, penetration into the spinal fluid occurs.

Elimination

Mean plasma clearance is about 0.058 L/kg/h, and mean renal clearance is about 0.048 L/kg/h.

The mean elimination half-life of vancomycin from plasma is 4 to 6 hours in subjects with normal renal function. In anephric patients, the mean elimination half-life is 7.5 days. Total body and renal clearance of vancomycin may be reduced in the elderly.

Metabolism

There is no apparent metabolism of vancomycin.

Excretion

In the first 24 hours after intravenous administration, about 75% of an administered dose of vancomycin is excreted in urine by glomerular filtration. Renal impairment slows excretion of vancomycin.

7.1 Anesthetic Agents

Concomitant administration of vancomycin and anesthetic agents has been associated with erythema and histamine-like flushing [see Warnings and Precautions (5.5) and Use in Specific Populations (8.4)].

1.8 Limitations of Use

Vancomycin Hydrochloride for Injection administered intravenously is not approved for the treatment of the following conditions because it is not effective:

  • C. difficile-Associated Diarrhea
  • Enterocolitis caused by susceptible isolates of Staphylococcus aureus

Vancomycin Hydrochloride for Injection administered orally is not approved for the treatment of the following conditions because it is not effective:

  • Septicemia due to susceptible isolates of MRSA or methicillin-susceptible staphylococci
  • Infective endocarditis due to susceptible isolates of MRSA, methicillin susceptible staphylococci, Viridans group streptococci Streptococcus gallolyticus, Enterococcus species and Corynebacterium species, or for the treatment of early-onset prosthetic valve endocarditis caused by Staphylococcus epidermidis in combination with rifampin and an aminoglycoside
  • Skin and skin structure infections due to susceptible isolates of MRSA and methicillin susceptible staphylococci
  • Bone infections due to susceptible isolates of MRSA and lower respiratory tract infections due to susceptible isolates of MRSA and methicillin susceptible staphylococci
5.5 Infusion Reactions

Hypotension, including shock and cardiac arrest, wheezing, dyspnea, urticaria, muscular and chest pain may occur with rapid Vancomycin Hydrochloride for Injection intravenous administration. The reactions may be more severe in younger patients, particularly children, and in patients receiving concomitant muscle relaxant anesthetics. Rapid intravenous administration of Vancomycin Hydrochloride for Injection may also be associated with vancomycin infusion reaction, which manifests as pruritus and erythema that involves the face, neck and upper torso. Infusion-related adverse reactions are related to both the concentration and the rate of administration of Vancomycin Hydrochloride for Injection. Infusion-related adverse reactions may occur, however, at any rate or concentration.

Administer Vancomycin Hydrochloride for Injection in a diluted solution over a period of 60 minutes or greater to reduce the risk of infusion-related adverse reactions. In selected patients in need of fluid restriction, a concentration up to 10 mg/mL may be used; use of such higher concentrations may increase the risk of infusion-related adverse reactions [see Nonclinical Toxicology (13.2)]. Administer prior to intravenous anesthetic agents when feasible. Stop the infusion if a reaction occurs.

12 Clinical Pharmacology (12 CLINICAL PHARMACOLOGY)

12.1 Mechanism of Action

Vancomycin is an antibacterial drug [see Microbiology (12.4)].

1 indications and Usage (1 INDICATIONS AND USAGE)

13 Nonclinical Toxicology (13 NONCLINICAL TOXICOLOGY)

1.2 Infective Endocarditis

Vancomycin Hydrochloride for Injection administered intravenously is indicated in adults and pediatric patients less than 18 years of age for the treatment of infective endocarditis due to:

  • Susceptible isolates of MRSA.
  • Viridans group streptococci Streptococcus gallolyticus (previously known as Streptococcus bovis), Enterococcus species and Corynebacterium species. For enterococcal endocarditis, use Vancomycin Hydrochloride for Injection in combination with an aminoglycoside.
  • Methicillin-susceptible staphylococci in penicillin-allergic patients, or those patients who cannot receive or who have failed to respond to other drugs, including penicillins or cephalosporins.

Vancomycin Hydrochloride for Injection administered intravenously is indicated in adults and pediatric patients less than 18 years of age for the treatment of early-onset prosthetic valve endocarditis caused by Staphylococcus epidermidis in combination with rifampin and an aminoglycoside.

5 Warnings and Precautions (5 WARNINGS AND PRECAUTIONS)

2 Dosage and Administration (2 DOSAGE AND ADMINISTRATION)

7.2 Piperacillin Tazobactam (7.2 Piperacillin-Tazobactam)

Studies have detected an increased incidence of acute kidney injury in patients administered concomitant piperacillin/tazobactam and vancomycin as compared to vancomycin alone. Monitor kidney function in patients receiving concomitant piperacillin/tazobactam and Vancomycin Hydrochloride for Injection. No pharmacokinetic interactions have been noted between piperacillin/tazobactam and vancomycin.

1.6 Clostridioides Difficile (1.6 Clostridioides difficile)

Vancomycin Hydrochloride for Injection administered orally is indicated for the treatment of C. difficile-associated diarrhea (CDAD) in adult and pediatric patients less than 18 years of age.

3 Dosage Forms and Strengths (3 DOSAGE FORMS AND STRENGTHS)

Vancomycin Hydrochloride for Injection, in a Pharmacy Bulk Package is a sterile white, almost white to tan to brown spray-dried powder in vials each containing vancomycin hydrochloride equivalent to 5 g or 10 g vancomycin base.

5.7 Clostridioides Difficile (5.7 Clostridioides difficile)

Clostridioides difficile-associated diarrhea (CDAD) has been reported with use of nearly all antibacterial agents, including with intravenous administration of vancomycin and may range in severity from mild diarrhea to fatal colitis. Treatment with antibacterial agents alters the normal flora of the colon leading to overgrowth of C. difficile.

C. difficile produces toxins A and B which contribute to the development of CDAD. Hypertoxin producing strains of C. difficile cause increased morbidity and mortality, as these infections can be refractory to antimicrobial therapy and may require colectomy. CDAD must be considered in all patients who present with diarrhea following antibacterial use. Careful medical history is necessary since CDAD has been reported to occur over two months after the administration of antibacterial agents. If CDAD is suspected or confirmed, ongoing antibacterial use not directed against C. difficile may need to be discontinued. Appropriate fluid and electrolyte management, protein supplementation, antibacterial treatment of C. difficile, and surgical evaluation should be instituted as clinically indicated.

Clinically significant serum concentrations of vancomycin have been reported in some patients being treated for active C. difficile-induced pseudomembranous colitis after multiple oral doses of vancomycin [see Warnings and Precautions (5.10)].

Prolonged use of Vancomycin Hydrochloride for Injection may result in the overgrowth of non-susceptible microorganisms. Careful observation of the patient is essential. If superinfection occurs during therapy, appropriate measures should be taken. There have been reports of pseudomembranous colitis due to C. difficile developing in patients who received intravenous vancomycin.

6.2 Postmarketing Experience

The following adverse reactions have been identified during postmarketing use of vancomycin (administered orally and intravenously). Because these reactions are reported voluntarily from a population of uncertain size, it is not possible to reliably estimate their frequency or establish a causal relationship to drug exposure.

Skin and Subcutaneous Tissue Disorders: Drug reaction with eosinophilia and systemic symptoms (DRESS), acute generalized exanthematous pustulosis (AGEP) [see Warnings and Precautions (5.3)].

Ototoxicity: Cases of hearing loss associated with intravenously administered vancomycin have been reported. Most of these patients had kidney dysfunction or a preexisting hearing loss or were receiving concomitant treatment with an ototoxic drug [see Warnings and Precautions (5.2)]. Vertigo, dizziness, and tinnitus have been reported.

Hematopoietic: Reversible neutropenia, usually starting 1 week or more after onset of intravenous therapy with vancomycin or after a total dose of more than 25 g, has been reported for several dozen patients. Neutropenia appears to be promptly reversible when vancomycin is discontinued. Thrombocytopenia has been reported.

Miscellaneous: Patients have been reported to have had anaphylaxis, drug fever, chills, nausea, eosinophilia, and cases of vasculitis in association with the administration of vancomycin.

A condition has been reported with oral vancomycin that is similar to the intravenous vancomycin-induced syndrome with symptoms consistent with anaphylactoid reactions, including hypotension, wheezing, dyspnea, urticaria, pruritus, flushing of the upper body (“vancomycin infusion reaction”), pain and muscle spasm of the chest and back [see Warnings and Precautions (5.5)]. These reactions usually resolve within 20 minutes but may persist for several hours.

8 Use in Specific Populations (8 USE IN SPECIFIC POPULATIONS)

6.1 Clinical Trials Experience

Because clinical trials are conducted under widely varying conditions, adverse reaction rates observed in the clinical trials of a drug cannot be directly compared to rates in the clinical trials of another drug and may not reflect the rates observed in practice.

Adverse Reactions in Patients Receiving Intravenously and Orally Administered Vancomycin

The following adverse reactions associated with the use of intravenously and orally administered vancomycin were identified in clinical trials:

Renal and urinary disorders: Acute kidney injury and interstitial nephritis [see Warnings and Precautions (5.1)]

Ear and labyrinth disorders: Tinnitus, hearing loss, vertigo [see Warnings and Precautions (5.2)]

Skin and subcutaneous tissue disorders: Erythema (especially of the face, neck and upper torso) and pruritus which are manifestations of rashes including exfoliative dermatitis, toxic epidermal necrolysis (TEN), Stevens-Johnson syndrome (SJS), Linear IgA bullous dermatosis (LABD) [see Warnings and Precautions (5.3)].

Blood and lymphatic system disorders: Agranulocytosis, neutropenia, pancytopenia, leukopenia, thrombocytopenia, eosinophilia [see Warnings and Precautions (5.4)]

Immune system disorders: Hypersensitivity reactions including anaphylaxis and vancomycin infusion reaction [see Warnings and Precautions (5.5)]

General disorders and administration site conditions: General discomfort, fever, chills, phlebitis, injection site irritation, injection site pain and necrosis following intramuscular injection, chemical peritonitis following intraperitoneal administration. Vancomycin Hydrochloride for Injection is not approved for intramuscular and intraperitoneal administration [see Warnings and Precautions (5.6)]

Gastrointestinal disorders: Pseudomembranous colitis [see Warnings and Precautions (5.7)]

Cardiac disorders: Cardiac arrest, chest pain

Laboratory abnormalities: Elevated blood urea nitrogen, elevated serum creatinine

Musculoskeletal and connective tissue disorders: Muscle pain

Nervous system disorders: Dizziness

Respiratory, thoracic and mediastinal disorders: Wheezing, dyspnea

Vascular disorders: Hypotension, shock, vasculitis

Adverse Reactions in Patients Receiving Oral Administration of Vancomycin Hydrochloride Capsules

The data described below reflect exposure to vancomycin hydrochloride capsules in 260 adult subjects in two Phase 3 clinical trials for the treatment of diarrhea associated with C. difficile. In both trials, subjects received vancomycin hydrochloride capsules 125 mg orally four times daily. The mean duration of treatment was 9.4 days. The median age of patients was 67, ranging between 19 and 96 years of age. Patients were predominantly Caucasian (93%) and 52% were male.

Adverse reactions occurring in ≥5% of vancomycin hydrochloride capsules-treated subjects are shown in Table 2. The most common adverse reactions associated with vancomycin hydrochloride capsules (≥10%) were nausea, abdominal pain, and hypokalemia.

Table 2: Common (≥5%) Adverse Reactionsa for Vancomycin Hydrochloride Capsules Reported in Clinical Trials for Treatment of Diarrhea Associated with C. difficile

System/Organ Class Adverse Reaction Vancomycin Hydrochloride Capsule % (N=260)
Gastrointestinal disorders Nausea

Abdominal pain

Vomiting

Diarrhea

Flatulence
17

15

9

9

8
General disorders and administration site conditions Pyrexia

Edema peripheral

Fatigue
9

6

5
Infections and infestations Urinary tract infection 8
Metabolism and nutrition disorders Hypokalemia 13
Musculoskeletal and connective tissue disorders Back pain 6
Nervous system disorders Headache 7
aAdverse reaction rates were derived from the incidence of treatment-emergent adverse events.  

Nephrotoxicity (e.g., reports of renal failure, renal impairment, blood creatinine increased) occurred in 5% of subjects treated with vancomycin hydrochloride capsules. Nephrotoxicity following vancomycin hydrochloride capsules typically first occurred within one week after completion of treatment (median day of onset was Day 16). Nephrotoxicity following vancomycin hydrochloride capsules occurred in 6% of subjects >65 years of age and 3% of subjects ≤65 years of age.

The incidences of hypokalemia, urinary tract infection, peripheral edema, insomnia, constipation, anemia, depression, vomiting, and hypotension were higher among subjects >65 years of age than in subjects ≤65 years of age.

Discontinuation of study drug due to adverse events occurred in 7% of subjects treated with vancomycin hydrochloride capsules. The most common adverse events leading to discontinuation of vancomycin hydrochloride capsules were C. difficile colitis (<1%), nausea (<1%), and vomiting (<1%).

Package Label Ndc 0143 9163 01 (Package Label - NDC 0143-9163-01)

Carton Label

NDC 0143-9163-01

Rx Only

Vancomycin Hydrochloride

for Injection

Equivalent to

5 g*/ Pharmacy Bulk Package

Vancomycin

For intravenous infusion after dilution

For Oral Use, see prescribing information

PHARMACY BULK PACKAGE

NOT For Direct Infusion

READ INSERT FOR PRECAUTIONS AND DIRECTIONS BEFORE USE.

DIRECTIONS FOR USE:

Reconstitute with 47 mL of Sterile Water for Injection to the 5 g vial of dry, sterile

vancomycin powder. See enclosed package insert for complete reconstitution instruction.

The resultant solution will contain vancomycin 100 mg/mL.

AFTER RECONSTITUTION, FURTHER DILUTION IS REQUIRED.

This pharmacy bulk package is for use in a pharmacy admixture service.

Dispense aliquots from the vial using a suitable sterile dispensing set into infusion fluids under a laminar flow hood using aseptic technique.

DISCARD VIAL NO LATER THAN 4 HOURS AFTER INITIAL CLOSURE PUNCTURE. (See Package Insert).

hikma

Rev. 2/2024

Sterile. Spray dried. Preservative Free.

*Each vial contains:  Vancomycin hydrochloride equivalent to 5 g vancomycin.

Recommended Dosage: See prescribing information.

Important: Read package insert for PRECAUTIONS and DIRECTIONS FOR USE.

Prior to reconstitution, store at 20ºC to 25ºC (68ºF to 77ºF) [See USP Controlled Room Temperature].

After reconstitution, use promptly. (Discard vial within 4 hours after entry). See package insert for full information.

Vial stoppers are not made with natural rubber latex.

Manufactured by:

Zhejiang Novus Pharmaceuticals Co., Ltd.,

No. 125, Yuezhong Rd, Lihai Subdistrict,

Yuecheng District, Shaoxing, 312366,

Zhejiang, China

Distributed by:

Hikma Pharmaceuticals USA Inc.

Berkeley Heights, NJ 07922

Linear barcode

N3 01439 16301 5

Vial Label

NDC 0143-9163-01

Rx only

Vancomycin Hydrochloride

for Injection

Equivalent to

5 g*/ Pharmacy Bulk Package

Vancomycin

For intravenous infusion after dilution

For Oral Use, see prescribing information

PHARMACY BULK PACKAGE

NOT For Direct Infusion

READ INSERT FOR PRECAUTIONS AND DIRECTIONS BEFORE USE.

Sterile. Spray dried. Preservative Free.

*Each vial contains: Vancomycin hydrochloride equivalent to 5 g vancomycin.

Recommended Dosage: See prescribing information. 

IMPORTANT: Read package insert for PRECAUTIONS and DIRECTIONS FOR USE.

Prior to reconstitution, store at 20ºC to 25ºC(68ºF to 77ºF) [See USP Controlled Room Temperature].

After reconstitution, use promptly. (Discard vial within 4 hours after entry). See package insert for full information.

DIRECTIONS FOR USE:

Reconstitute with 47 mL of Sterile Water for Injection to the 5 g vial of dry, sterile vancomycin powder. See enclosed package for complete reconstitution instruction.

The resultant solution will contain vancomycin 100 mg/mL.

AFTER RECONSTITUTION, FURTHER DILUTION IS REQUIRED.

This pharmacy bulk package is for use in a pharmacy admixture service.

Dispense aliquots from the vial using a suitable sterile dispensing set into infusion fluids under a laminar flow hood using aseptic technique.

DISCARD VIAL NO LATER THAN 4 HOURS AFTER INITIAL CLOSURE PUNCTURE. (See Package Insert).

Vial stoppers are not made with natural rubber latex.

Manufactured by:

Zhejiang Novus Pharmaceuticals Co., Ltd.,

No. 125, Yuezhong Rd, Lihai Subdistrict, Yuecheng

District, Shaoxing, 312366, Zhejiang, China

Distributed by:

Hikma Pharmaceuticals USA Inc.

Berkeley Heights, NJ 07922

BZFD11201

Rev. 2/2024

Lot

Exp YYYY-MM-DD

BOTTLE ENTRY

DATE: _____

TIME: _____

Linear barcode

(01)00301439163015

Package Label Ndc 0143 9164 01 (Package Label - NDC 0143-9164-01)

Carton Label

NDC 0143-9164-01

Rx Only

Vancomycin Hydrochloride

for Injection

Equivalent to

10 g*/ Pharmacy Bulk Package

Vancomycin

For intravenous infusion after dilution

For Oral Use, see prescribing information

PHARMACY BULK PACKAGE

NOT For Direct Infusion

READ INSERT FOR PRECAUTIONS AND DIRECTIONS BEFORE USE.

DIRECTIONS FOR USE:

Reconstitute with 94 mL of Sterile Water for Injection to the 10 g vial of dry, sterile

vancomycin powder. See enclosed package for complete reconstitution instruction.

The resultant solution will contain vancomycin 100 mg/mL.

AFTER RECONSTITUTION, FURTHER DILUTION IS REQUIRED.

This pharmacy bulk package is for use in a pharmacy admixture service.

Dispense aliquots from the vial using a suitable sterile dispensing set into infusion fluids under a laminar flow hood using aseptic technique.

DISCARD VIAL NO LATER THAN 4 HOURS AFTER INITIAL CLOSURE PUNCTURE. (See Package Insert).

hikma.

Rev. 2/2024

Sterile. Spray dried. Preservative Free.

*Each vial contains: Vancomycin hydrochloride equivalent to 10 g vancomycin.

Recommended Dosage: See prescribing information.

Important: Read package insert for PRECAUTIONS and DIRECTIONS FOR USE.

Prior to reconstitution, store at 20ºC to 25ºC (68ºF to 77ºF) [See USP Controlled Room Temperature].

After reconstitution, use promptly. (Discard vial within 4 hours after entry). See package insert for full information.

Vial stoppers are not made with natural rubber latex.

Manufactured by:

Zhejiang Novus Pharmaceuticals Co., Ltd.,

No. 125, Yuezhong Rd, Lihai Subdistrict,

Yuecheng District, Shaoxing, 312366,

Zhejiang, China

Distributed by:

Hikma Pharmaceuticals USA Inc.

Berkeley Heights, NJ 07922

N3 01439 16401 2

Vial Label

NDC 0143-9164-01

Rx only

Vancomycin Hydrochloride

for Injection

Equivalent to

10 g*/ Pharmacy Bulk Package

Vancomycin

For intravenous infusion after dilution

For Oral Use, see prescribing information

PHARMACY BULK PACKAGE

NOT For Direct Infusion

READ INSERT FOR PRECAUTIONS AND DIRECTIONS BEFORE USE.

Sterile. Spray dried. Preservative Free.

*Each vial contains: Vancomycin hydrochloride equivalent to 10 g vancomycin.

Recommended Dosage: See prescribing information.

IMPORTANT: Read package insert for PRECAUTIONS and DIRECTIONS FOR USE.

Prior to reconstitution, store at 20ºC to 25ºC(68ºF to 77ºF) [See USP Controlled Room Temperature].

After reconstitution, use promptly. (Discard vial within 4 hours after entry). See package insert for full information.

DIRECTIONS FOR USE:

Reconstitute with 94 mL of Sterile Water for Injection to the 10 g vial of dry, sterile vancomycin powder. See enclosed package for complete reconstitution instruction.

The resultant solution will contain vancomycin 100 mg/mL.

AFTER RECONSTITUTION, FURTHER DILUTION IS REQUIRED.

This pharmacy bulk package is for use in a pharmacy admixture service.

Dispense aliquots from the vial using a suitable sterile dispensing set into infusion fluids under a laminar flow hood using aseptic technique.

DISCARD VIAL NO LATER THAN 4 HOURS AFTER INITIAL CLOSURE PUNCTURE. (See Package Insert).

Vial stoppers are not made with natural rubber latex.

Manufactured by:

Zhejiang Novus Pharmaceuticals Co., Ltd.,

No. 125, Yuezhong Rd, Lihai Subdistrict, Yuecheng

District, Shaoxing, 312366, Zhejiang, China

Distributed by:

Hikma Pharmaceuticals USA Inc.

Berkeley Heights, NJ 07922

Rev. 2/2024

Lot

Exp YYYY-MM-DD

BOTTLE ENTRY

DATE: _____

TIME: _____

(01)00301439164012

17 Patient Counseling Information (17 PATIENT COUNSELING INFORMATION)

Acute Kidney Injury

Advise patients that Vancomycin Hydrochloride for Injection can result in kidney damage and that blood tests are required to monitor vancomycin blood levels and kidney function during therapy [see Warnings and Precautions (5.1)].

Hearing Loss or Balance Problems

Advise patients that Vancomycin Hydrochloride for Injection may result in decreased hearing and to report hearing loss or balance problems to their health care provider [see Warnings and Precautions (5.2)].

Severe Dermatologic Reactions

Advise patients about the signs and symptoms of serious skin manifestations. Instruct patients to stop Vancomycin Hydrochloride for Injection immediately and promptly seek medical attention at the first signs or symptoms of skin rash, mucosal lesions or blisters [see Warnings and Precautions (5.3)].

Infusion Reactions During or After Intravenous Use

Advise patients that generalized skin redness, skin rash, itching, flushing, muscle pain, chest pain, shortness of breath, wheezing, or dizziness may occur during Vancomycin Hydrochloride for Injection infusion. [see Warnings and Precautions (5.5)].

Diarrhea

Diarrhea is a common problem caused by antibacterial drugs, including vancomycin, which usually ends when the antibacterial drug is discontinued. Sometimes after starting treatment with antibacterial drugs, patients can develop watery and bloody stools (with or without stomach cramps and fever) even as late as two or more months after having taken the last dose of the antibacterial drug. If this occurs during treatment with Vancomycin Hydrochloride for Injection, patients should contact their physician as soon as possible [see Warnings and Precautions (5.7)].

Antibacterial Resistance

Patients should be counseled that antibacterial drugs including Vancomycin Hydrochloride for Injection should only be used to treat bacterial infections. They do not treat viral infections (e.g., the common cold). When Vancomycin Hydrochloride for Injection is prescribed to treat a bacterial infection, patients should be told that although it is common to feel better early in the course of therapy, the medication should be taken exactly as directed. Skipping doses or not completing the full course of therapy may (1) decrease the effectiveness of the immediate treatment and (2) increase the likelihood that bacteria will develop resistance and will not be treatable by Vancomycin Hydrochloride for Injection or other antibacterial drugs in the future.

Manufactured by:

Zhejiang Novus Pharmaceuticals Co., Ltd.

No. 125, Yuezhong Rd, Lihai Subdistrict,

Yuecheng District, Shaoxing, 312366, Zhejiang, China

5.3 Severe Dermatologic Reactions

Severe dermatologic reactions such as toxic epidermal necrolysis (TEN), Stevens-Johnson syndrome (SJS), drug reaction with eosinophilia and systemic symptoms (DRESS), acute generalized exanthematous pustulosis (AGEP), and linear IgA bullous dermatosis (LABD) have been reported in association with the use of vancomycin. Cutaneous signs or symptoms reported include skin rashes, mucosal lesions, and blisters.

Discontinue Vancomycin Hydrochloride for Injection at the first appearance of signs and symptoms of TEN, SJS, DRESS, AGEP, or LABD.

16 How Supplied/storage and Handling (16 HOW SUPPLIED/STORAGE AND HANDLING)

How supplied

Vancomycin Hydrochloride for Injection is a white, almost white to tan to brown, sterile spray-dried powder in Pharmacy Bulk Package vials each containing vancomycin hydrochloride equivalent to 5 g or 10 g of vancomycin base.

The vial stopper is not made with natural rubber latex.

NDC No.

Strength  Unit of Sale

0143-9163-01

Vancomycin Hydrochloride for Injection, equivalent to 5 g vancomycin in a Pharmacy Bulk Package vial, packaged individually.
0143-9164-01 Vancomycin Hydrochloride for Injection, equivalent to 10 g vancomycin in a Pharmacy Bulk Package vial, packaged individually.

Storage

Store at 20°C to 25°C (68°F to 77°F). Brief exposure to 15°C to 30°C (59°F to 86°F) is permitted [See USP Controlled Room Temperature]. Storage after reconstitution and dilution is described elsewhere in the labeling [see Dosage and Administration (2.5, 2.8)].

1.7 Enterocolitis Caused By S. Aureus (1.7 Enterocolitis Caused by S. aureus)

Vancomycin Hydrochloride for Injection administered orally is indicated for the treatment of enterocolitis caused by susceptible isolates of Staphylococcus aureus in adults and pediatric patients less than 18 years of age.

7.3 Ototoxic And/or Nephrotoxic Drugs (7.3 Ototoxic and/or Nephrotoxic Drugs)

Concurrent and/or sequential systemic or topical use of other potentially, neurotoxic and/or nephrotoxic drugs requires more frequent monitoring of renal function.

1.3 Skin and Skin Structure Infections

Vancomycin Hydrochloride for Injection administered intravenously is indicated in adults and pediatric patients less than 18 years of age for the treatment of skin and skin structure infections due to:

  • Susceptible isolates of MRSA and coagulase negative staphylococci.
  • Methicillin-susceptible staphylococci in penicillin-allergic patients, or those patients who cannot receive or who have failed to respond to other drugs, including penicillins or cephalosporins.
1.5 Lower Respiratory Tract Infections

Vancomycin Hydrochloride for Injection administered intravenously is indicated in adults and pediatric patients less than 18 years of age for the treatment of lower respiratory tract infections due to:

  • Susceptible isolates of MRSA
  • Methicillin-susceptible staphylococci in penicillin-allergic patients, or those patients who cannot receive or who have failed to respond to other drugs, including penicillins or cephalosporins.
2.7 Incompatibilities for Intravenous Use

Vancomycin Hydrochloride for Injection reconstituted solution has a low pH and may cause chemical or physical instability when it is mixed with other compounds.

Mixtures of solutions of vancomycin and beta-lactam antibacterial drugs have been shown to be physically incompatible. The likelihood of precipitation increases with higher concentrations of vancomycin. It is recommended to adequately flush the intravenous lines between the administration of these antibacterial drugs. It is also recommended to dilute solutions of vancomycin to 5 mg/mL or less.

13.2 Animal Toxicology And/or Pharmacology (13.2 Animal Toxicology and/or Pharmacology)

In animal studies, hypotension and bradycardia occurred in dogs receiving an intravenous infusion of vancomycin hydrochloride 25 mg/kg, at a concentration and infusion rate higher than recommended (concentration of 25 mg/mL and an infusion rate of 13.3 mL/min).

In a 4-week repeat-dose toxicokinetic study, electrocardiograms were obtained from dogs receiving Vancomycin Hydrochloride for Injection by the IV route, twice daily at 33 mg/kg (at a concentration of 10 mg/mL, over 30 minutes), for a total daily vancomycin dose of 66 mg/kg/day. No bradycardia was observed in the dogs when the pretest heart rates were compared to the heart rates observed 1 to 2 hours after the first daily dose during week 4.

5.9 Development of Drug Resistant Bacteria (5.9 Development of Drug-Resistant Bacteria)

Prescribing Vancomycin Hydrochloride for Injection (intravenously and orally administered) in the absence of a proven or strongly suspected bacterial infection or a prophylactic indication is unlikely to provide benefit to the patient and increases the risk of the development of drug-resistant bacteria.

5.8 Hemorrhagic Occlusive Retinal Vasculitis (horv) (5.8 Hemorrhagic Occlusive Retinal Vasculitis (HORV))

Hemorrhagic occlusive retinal vasculitis, including permanent loss of vision, occurred in patients receiving intracameral or intravitreal administration of vancomycin during or after cataract surgery. The safety and efficacy of vancomycin administered by the intracameral or the intravitreal route have not been established by adequate and well-controlled trials. Vancomycin Hydrochloride for Injection (intravenously and orally administered) is not indicated for the prophylaxis of endophthalmitis.

2.4 Intravenous Dosage in Patients With Renal Impairment (2.4 Intravenous Dosage in Patients with Renal Impairment)

Dosage adjustment must be made in adult and pediatric patients with renal impairment. The initial dose should be no less than 15 mg/kg, in adult patients with any degree of renal impairment.

In premature infants and the elderly, greater dosage reductions than expected may be necessary because of decreased renal function. Measure trough vancomycin serum concentrations to guide therapy, especially in seriously ill patients with changing renal function.

For functionally anephric patients, an initial dose of 15 mg/kg of body weight should be given to achieve prompt therapeutic serum concentration. A dose of 1.9 mg/kg/24 hr should be given after the initial dose of 15 mg/kg.

13.1 Carcinogenesis, Mutagenesis, Impairment of Fertility

No long-term carcinogenesis studies in animals have been conducted.

At concentrations up to 1000 mcg/mL, vancomycin had no mutagenic effect in vitro in the mouse lymphoma forward mutation assay or the primary rat hepatocyte unscheduled DNA synthesis assay. The concentrations tested in vitro were above the peak plasma vancomycin concentrations of 20 to 40 mcg/mL usually achieved in humans after slow infusion of the maximum recommended dose of 1 g. Vancomycin had no mutagenic effect in vivo in the Chinese hamster sister chromatid exchange assay (400 mg/kg IP) or the mouse micronucleus assay (800 mg/kg IP).

No definitive fertility studies have been conducted.

2.1 Important Administration Instructions for Intravenous Use
  • Vancomycin Hydrochloride for Injection is supplied in pharmacy bulk packages. A pharmacy bulk package is a sterile dosage form containing many single doses. The contents of Vancomycin Hydrochloride for Injection pharmacy bulk package are intended for use by a pharmacy admixture service for addition to suitable parenteral fluids in the preparation of admixtures for intravenous infusion. The Pharmacy Bulk Package is NOT for direct infusion. Further dilution is required before use [see Dosage and Administration (2.4)].
  • To reduce the risk of infusion related adverse reactions, administer diluted Vancomycin Hydrochloride for Injection by intravenous infusion over 60 minutes or greater [see Warnings and Precautions (5.5) and Adverse Reactions (6.1)].
  • Diluted Vancomycin Hydrochloride for Injection concentrations of no more than 5 mg/mL are recommended in adults [see Dosage and Administration (2.2)]. See also age-specific recommendations [see Dosage and Administration (2.2, 2.3)]. In selected patients in need of fluid restriction, a concentration up to 10 mg/mL may be used. Infusion related events may occur, however, at any rate or concentration [see Warnings and Precautions (5.5)].
  • Other drugs should not be added to the Vancomycin Hydrochloride for Injection Pharmacy Bulk Package or the diluted Vancomycin Hydrochloride for Injection [see Dosage and Administration (2.7)].
  • Administer diluted Vancomycin Hydrochloride for Injection prior to intravenous anesthetic agents to reduce the risk of infusion related adverse reactions [see Warnings and Precautions (5.5)].
  • Administer diluted Vancomycin Hydrochloride for Injection by a secure intravenous route of administration to avoid local irritation and phlebitis reactions [see Warnings and Precautions (5.6)].
2.6 Compatibility With Intravenous Fluids for Intravenous Use (2.6 Compatibility with Intravenous Fluids for Intravenous Use)

The following diluents are physically and chemically compatible with approximately 4.5 mg/mL of vancomycin hydrochloride:

   5% Dextrose Injection, USP

   5% Dextrose Injection and 0.9% Sodium Chloride Injection, USP

   Lactated Ringer’s Injection, USP

   5% Dextrose and Lactated Ringer’s Injection, USP

   0.9% Sodium Chloride Injection, USP

2.3 Orally Administered Dosage in Adult and Pediatric Patients

Dosage in Adult Patients

  • C. difficile-associated diarrhea: The recommended dose is 125 mg administered orally 4 times daily for 10 days.
  • Staphylococcal enterocolitis: Total daily dosage is 500 mg to 2 g administered orally in 3 or 4 divided doses for 7 days to 10 days.

Dosage in Pediatric Patients (Less than 18 years of age)

For both C. difficile-associated diarrhea and staphylococcal enterocolitis, the usual daily dosage is 40 mg/kg in 3 or 4 divided doses for 7 days to 10 days. The total daily dosage should not exceed 2 g.

5.10 Potential for Systemic Absorption After Oral Administration (5.10 Potential for Systemic Absorption after Oral Administration)

Clinically significant serum concentrations have been reported in some patients who have taken multiple oral doses of oral vancomycin for active C. difficile-associated diarrhea. Some patients with inflammatory disorders of the intestinal mucosa also may have significant systemic absorption of vancomycin. These patients may be at risk for the development of adverse reactions associated with higher doses of oral vancomycin; therefore, monitoring of serum concentrations of vancomycin may be appropriate in some instances, e.g., in patients with renal insufficiency and/or colitis or in those receiving concomitant therapy with an aminoglycoside antibacterial drug.

5.6 Phlebitis and Adverse Reactions With Unapproved Routes of Administration (5.6 Phlebitis and Adverse Reactions with Unapproved Routes of Administration)

Inflammation at the site of injection of vancomycin has been reported. Vancomycin is irritating to tissue and must be given by a secure intravenous route of administration to reduce the risk of local irritation and phlebitis. Thrombophlebitis may occur, the frequency and severity of which can be minimized by slow infusion of the drug and by rotation of venous access sites.

Administration of Vancomycin Hydrochloride for Injection by intramuscular (IM), intraperitoneal, intrathecal intraventricular, or intravitreal routes has not been approved and is not recommended. The safety and efficacy of vancomycin administered by these routes of administration have not been established by adequate and well controlled trials. Pain, tenderness, and necrosis occur with IM injection of vancomycin or with inadvertent extravasation. Intraperitoneal administration during continuous ambulatory peritoneal dialysis (CAPD) can result in chemical peritonitis. Manifestations range from cloudy dialysate alone to a cloudy dialysate accompanied by variable degrees of abdominal pain and fever. This syndrome appears to be resolved after discontinuation of intraperitoneal vancomycin.

About 60% of an intraperitoneal dose of vancomycin administered during peritoneal dialysis is absorbed systemically in 6 hours. Serum concentrations of about 10 mcg/mL are achieved by intraperitoneal injection of 30 mg/kg of vancomycin. However, the safety and efficacy of the intraperitoneal use of vancomycin has not been established in adequate and well-controlled trials.

2.2 Intravenous Dosage in Adult and Pediatric Patients With Normal Renal Function (2.2 Intravenous Dosage in Adult and Pediatric Patients with Normal Renal Function)

Dosage in Adult Patients

The usual daily intravenous dose is 2 grams (g) divided either as 500 mg every 6 hours or 1 g every 12 hours. Administer each dose by intravenous infusion over a period of 60 minutes or greater. Other patient factors, such as age or obesity, may call for modification of the usual intravenous daily dose.

Dosage in Pediatric Patients Aged 1 Month and Older

The usual intravenous dosage of vancomycin is 10 mg/kg per dose given every 6 hours. Each dose should be administered over a period of at least 60 minutes. Close monitoring of serum concentrations of vancomycin may be warranted in these patients.

Dosage in Pediatric Patients Younger than 1 Month of Age

In pediatric patients, up to the age of 1 month, the total daily intravenous dosage may be lower. In neonates, an initial dose of 15 mg/kg is suggested, followed by 10 mg/kg every 12 hours for pediatric patients in the 1st week of life and every 8 hours thereafter up to the age of 1 month. Each dose should be administered over 60 minutes. In premature infants, vancomycin clearance decreases as postconceptional age decreases. Therefore, longer dosing intervals may be necessary in premature infants. Close monitoring of serum concentrations of vancomycin is recommended in these patients.

2.8 Preparation of Vancomycin Hydrochloride for Injection for Oral Administration

Preparation of the Pharmacy Bulk Package for Oral Use

  • Reconstitute Vancomycin Hydrochloride for Injection to 100 mg/mL by adding the appropriate amount of sterile water for injection:
    Table 1: Reconstitution-Volume of Sterile Water for Injection to be Added 
    Vancomycin Hydrochloride for Injection Strength per Vial Volume of Sterile Water for Injection to be added to achieve 100 mg/mL Vancomycin Hydrochloride Solution
    5 g 47 mL
    10 g 94 mL
  • Sweeteners may be added to this solution to improve the taste for oral administration following the steps outlined in Instructions for How to Prepare and Add Sweeteners below.

Instructions for How to Prepare and Add Sweeteners

1. Prepare the sweetening agent separately from the reconstituted Vancomycin hydrochloride solution in a plastic-container following one of the preparation options below: 

  • Mix sucrose and sterile water for injection in a 1:2 ratio (e.g., 10 g sucrose and 20 mL sterile water for injection) OR
  • Mix agave nectar with an equal volume of sterile water for injection

2. Mix the sweetening agent with the reconstituted Vancomycin hydrochloride solution in a 3:1 ratio (e.g., 30 mL sweetening agent with 10 mL vancomycin solution) to obtain a sweetened solution containing 25 mg/mL of vancomycin that is suitable for oral administration.

The diluted solution may be administered orally or via a nasogastric tube [see Dosage and Administration (2.3)].

2.5 directions for the Preparation, Dilution and Storage of the Pharmacy Bulk Package for Intravenous Use (2.5 Directions for the Preparation, Dilution and Storage of the Pharmacy Bulk Package for Intravenous Use)

Preparation

  • Vancomycin Hydrochloride for Injection pharmacy bulk package is not for direct intravenous infusion. Prior to intravenous administration, contents of the Vancomycin Hydrochloride for Injection pharmacy bulk package must be reconstituted and further diluted. No preservative is present in this product. Aseptic technique must be used in the preparation of final IV solution.
  • Prepare Vancomycin Hydrochloride for Injection pharmacy bulk packages for use in a pharmacy admixture service only in a suitable work area, such as a laminar flow hood. They should be hung by the integral hanger provided and suspended as a unit in the laminar flow hood.
  • Using aseptic technique, penetrate the container closure only one time utilizing a suitable sterile dispensing set or transfer device which allows measured distribution dispensing of the contents.
  • Use of a syringe and needle is not recommended as it may cause leakage. Swab bottle stopper with an antiseptic solution prior to inserting the dispensing set into the bottle using aseptic technique.
  • Once the sterile dispensing set has been inserted into the container, withdrawal of the contents from the Vancomycin Hydrochloride for Injection pharmacy bulk package should be accomplished without delay immediately. However, if this is not possible, a maximum time of 4 hours from the initial closure entry may be permitted to complete fluid transfer operations.
  • Discard the container and any unused portion in the container no later than 4 hours after initial closure puncture the container closure has been penetrated.

Reconstitution and Dilution

5 g Pharmacy Bulk Package Vial

At the time of use, reconstitute by adding 47 mL of Sterile Water for Injection to the 5 g vial of dry, sterile vancomycin powder following the reconstitution steps below. The resultant solution will contain vancomycin equivalent to about 100 mg/mL. After reconstitution, further dilution is required using one of the compatible intravenous diluents listed below [see Dosage and Administration (2.6)], prior to intravenous administration.

Reconstituted solutions of vancomycin (100 mg/mL) must be further diluted. A dose of 500 mg (5 mL) must be diluted with at least 100 mL of a suitable infusion. For doses of 1 gram (10 mL), at least 200 mL of solution must be used. The desired dose diluted in this manner should be administered by intermittent IV infusion over a period of at least 60 minutes.

10 g Pharmacy Bulk Package Vial

At the time of use, reconstitute by adding 94 mL of Sterile Water for Injection to the 10 g vial of dry, sterile vancomycin powder following the reconstitution steps below. The resultant solution will contain vancomycin equivalent to about 100 mg/mL. After reconstitution, further dilution is required using one of the compatible intravenous diluents listed below [see Dosage and Administration (2.6)], prior to intravenous administration.

Reconstituted solutions of vancomycin (100 mg/mL) must be further diluted. A dose of 500 mg (5 mL) must be diluted with at least 100 mL of a suitable infusion solution. For doses of 1 gram (10 mL), at least 200 mL of solution must be used. The desired dose diluted in this manner should be administered by intermittent IV infusion over a period of at least 60 minutes.

Parenteral drug products should be visually inspected for particulate matter and discoloration prior to administration, whenever solution and container permit.

Reconstitution steps:

  • Shake the vial to loosen the powder.
  • Remove the flip-off cap and transfer sterile water for injection into the vial using a syringe. When injecting the sterile water for injection into the vial, adjust the syringe needle angle pointing towards the vial wall, to disperse the powder and to prevent powder clump at the bottom.
  • After the sterile water for injection transfer, within 1 minute begin to shake the vial vigorously, continuing for up to 3 minutes or until a uniform solution is obtained.
2.9 Storage of Reconstituted and Diluted Vancomycin Hydrochloride for Injection for Intravenous Or Oral Administration (2.9 Storage of Reconstituted and Diluted Vancomycin Hydrochloride for Injection for Intravenous or Oral Administration)

Intravenous Administration:

Administer the compounded mixtures within 4 hours after preparation when storing at room temperature and 6 days when stored refrigerated (14 days for solutions made with 0.9% sodium chloride and 5% dextrose).

Oral Administration:

Store the diluted solution for oral use in a plastic container refrigerated at 2 °C to 8 °C (36°F to 46°F) for up to 10 days.


Advanced Ingredient Data


Raw Label Data

All Sections (JSON)