Betamethasone Dipropionate

Betamethasone Dipropionate
SPL v6
SPL
SPL Set ID e041ceb2-8bda-4703-b663-804e7b462e32
Route
TOPICAL
Published
Effective Date 2019-12-03
Document Type 34391-3 HUMAN PRESCRIPTION DRUG LABEL

Drug Facts

Composition & Product

Active Ingredients
Betamethasone (0.5 mg)
Inactive Ingredients
Carbomer Homopolymer Type C (allyl Pentaerythritol Crosslinked) Propylene Glycol Water Sodium Hydroxide

Identifiers & Packaging

Marketing Status
ANDA Active Since 2003-12-02

Description

(Potency expressed as betamethasone) *Vehicle augments the penetration of the steroid. FOR DERMATOLOGICAL USE ONLY NOT FOR OPHTHALMIC USE Rx only

Indications and Usage

Betamethasone dipropionate gel (augmented) is a super-high potency corticosteroid indicated for the relief of the inflammatory and pruritic manifestations of corticosteroid-responsive dermatoses. Treatment beyond two consecutive weeks is not recommended, and the total dose should not exceed 50 g per week because of potential for the drug to suppress the hypothalamic-pituitary-adrenal (HPA) axis. This product is not recommended for use in pediatric patients under 12 years of age.

Dosage and Administration

Apply a thin layer of betamethasone dipropionate gel (augmented) to the affected skin once or twice daily and rub it in gently and completely. Betamethasone dipropionate gel (augmented) is a super-high potency topical corticosteroid; therefore, treatment should be limited to two weeks, and amounts greater than 50 g per week should not be used. Betamethasone dipropionate gel (augmented) should not be used with occlusive dressings.

Contraindications

Betamethasone dipropionate gel (augmented) is contraindicated in those patients with a history of hypersensitivity to any of the components of the preparation.

Adverse Reactions

In controlled clinical trials, the total incidence of adverse events associated with the use of betamethasone dipropionate gel (augmented) was 10%. These included stinging or burning in 6% of patients, dry skin in 4% of patients, and pruritus in 2% of patients. Less frequently reported adverse reactions were irritation, skin atrophy, telangiectasia, erythema, cracking/tightening of the skin, follicular rash, and allergic contact dermatitis. The following additional local adverse reactions are reported infrequently with topical corticosteroids, but may occur more frequently with super-high potency corticosteroids, such as betamethasone dipropionate gel (augmented). These reactions are listed in approximate decreasing order of occurrence: acneiform eruptions, hypopigmentation, perioral dermatitis, secondary infection, striae, and miliaria.

How Supplied

Betamethasone Dipropionate Gel (Augmented), 0.05% is supplied as follows: 15 g NDC 51672-1309-1 50 g NDC 51672-1309-3


Medication Information

Indications and Usage

Betamethasone dipropionate gel (augmented) is a super-high potency corticosteroid indicated for the relief of the inflammatory and pruritic manifestations of corticosteroid-responsive dermatoses. Treatment beyond two consecutive weeks is not recommended, and the total dose should not exceed 50 g per week because of potential for the drug to suppress the hypothalamic-pituitary-adrenal (HPA) axis.

This product is not recommended for use in pediatric patients under 12 years of age.

Dosage and Administration

Apply a thin layer of betamethasone dipropionate gel (augmented) to the affected skin once or twice daily and rub it in gently and completely.

Betamethasone dipropionate gel (augmented) is a super-high potency topical corticosteroid; therefore, treatment should be limited to two weeks, and amounts greater than 50 g per week should not be used.

Betamethasone dipropionate gel (augmented) should not be used with occlusive dressings.

Contraindications

Betamethasone dipropionate gel (augmented) is contraindicated in those patients with a history of hypersensitivity to any of the components of the preparation.

Adverse Reactions

In controlled clinical trials, the total incidence of adverse events associated with the use of betamethasone dipropionate gel (augmented) was 10%. These included stinging or burning in 6% of patients, dry skin in 4% of patients, and pruritus in 2% of patients. Less frequently reported adverse reactions were irritation, skin atrophy, telangiectasia, erythema, cracking/tightening of the skin, follicular rash, and allergic contact dermatitis.

The following additional local adverse reactions are reported infrequently with topical corticosteroids, but may occur more frequently with super-high potency corticosteroids, such as betamethasone dipropionate gel (augmented).

These reactions are listed in approximate decreasing order of occurrence: acneiform eruptions, hypopigmentation, perioral dermatitis, secondary infection, striae, and miliaria.

How Supplied

Betamethasone Dipropionate Gel (Augmented), 0.05% is supplied as follows:

15 g NDC 51672-1309-1
50 g NDC 51672-1309-3
Description

Betamethasone dipropionate gel (augmented), 0.05%, contains betamethasone dipropionate, USP, a synthetic fluorinated corticosteroid for topical dermatologic use. Betamethasone dipropionate is included in a class of compounds consisting primarily of synthetic corticosteroids for use topically as anti-inflammatory and anti-pruritic agents.

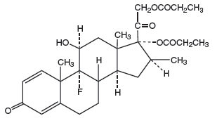
Chemically, betamethasone dipropionate is 9-fluoro-11β,17,21-trihydroxy-16β-methylpregna-1,4-diene-3,20-dione 17,21-dipropionate, with the molecular formula C 28H 37FO 7, a molecular weight of 504.6, and the following structural formula:

Betamethasone dipropionate is a white to creamy white, odorless crystalline powder, insoluble in water.

Each gram of betamethasone dipropionate gel (augmented) contains: 0.64 mg betamethasone dipropionate, USP (equivalent to 0.5 mg betamethasone), in an augmented gel base of carbomer homopolymer type C, propylene glycol, purified water and sodium hydroxide.

Section 42229-5

(Potency expressed as betamethasone)

*Vehicle augments the penetration of the steroid.

FOR DERMATOLOGICAL USE ONLY

NOT FOR OPHTHALMIC USE

Rx only

Section 44425-7

Store at 20° to 25°C (68° to 77°F)[See USP Controlled Room Temperature].

General

Betamethasone dipropionate gel (augmented) should not be used in the treatment of rosacea or perioral dermatitis, and it should not be used on the face, groin, or in the axillae.

Systemic absorption of topical corticosteroids can produce reversible hypothalamic-pituitary-adrenal (HPA) axis suppression with the potential for glucocorticosteroid insufficiency after withdrawal of treatment. Manifestations of Cushing's syndrome, hyperglycemia, and glucosuria can also be produced in some patients by systemic absorption of topical corticosteroids while on treatment.

At 7 g per day (applied once daily or as 3.5 g twice daily), betamethasone dipropionate gel (augmented) was shown to cause inhibition of the HPA axis following application for one, two or three weeks to diseased skin in some patients with psoriasis or atopic dermatitis. These effects were reversible upon discontinuation of treatment.

Patients receiving betamethasone dipropionate gel (augmented) applied to large areas should be evaluated periodically for evidence of HPA axis suppression. This may be done by using the ACTH-stimulation, morning plasma cortisol and urinary free-cortisol tests. Patients should not be treated with betamethasone dipropionate gel (augmented) for more than 2 weeks at a time, and amounts greater than 50 g per week should not be used because of the potential for the drug to suppress the HPA axis.

If HPA axis suppression is noted, an attempt should be made to withdraw the drug, to reduce the frequency of application, or to substitute a less potent corticosteroid. Recovery of HPA axis function is generally prompt and complete upon discontinuation of topical corticosteroids. Infrequently, signs and symptoms of glucocorticosteroid insufficiency may occur, requiring supplemental systemic corticosteroids. For information on systemic supplementation, see prescribing information for systemic corticosteroids.

Pediatric patients may be more susceptible to systemic toxicity from equivalent doses due to their larger skin surface to body mass ratios (see PRECAUTIONS - Pediatric Use ).

If irritation develops, betamethasone dipropionate gel (augmented) should be discontinued and appropriate therapy instituted. Allergic contact dermatitis with corticosteroids is usually diagnosed by observing failure to heal rather than noting clinical exacerbation as with most topical products not containing corticosteroids. Such an observation should be corroborated with appropriate diagnostic patch testing.

If concomitant fungal and/or bacterial skin infections are present or develop, an appropriate antifungal or antibacterial agent should be used. If a favorable response does not occur promptly, use of betamethasone dipropionate gel (augmented) should be discontinued until the infection has been adequately controlled.

Overdosage

Topically applied betamethasone dipropionate gel (augmented) can be absorbed in sufficient amounts to produce systemic effects (see PRECAUTIONS ).

Geriatric Use

Clinical studies of betamethasone dipropionate gel (augmented) included 65 subjects who were 65 years of age and over and 15 subjects who were 75 years of age and over. No overall differences in safety or effectiveness were observed between these subjects and younger subjects, and other reported clinical experience has not identified differences in responses between the elderly and younger patients. However, greater sensitivity of some older individuals cannot be ruled out.

Pediatric Use

Data regarding use of betamethasone dipropionate gel (augmented) in pediatric patients are not available, so use of this product in patients under the age of 12 is not recommended. Because of a higher ratio of skin surface area to body mass, pediatric patients are at a greater risk than adults of HPA axis suppression when they are treated with topical corticosteroids. They are, therefore, also at greater risk of glucocorticosteroid insufficiency after withdrawal of treatment and of Cushing's syndrome while on treatment.Adverse effects, including striae, have been reported with inappropriate use of topical corticosteroids in infants and pediatric patients.

HPA axis suppression, Cushing's syndrome, and intracranial hypertension have been reported in pediatric patients receiving topical corticosteroids. Manifestations of adrenal suppression in pediatric patients include linear growth retardation, delayed weight gain, low plasma cortisol levels, and absence of response to ACTH stimulation. Manifestations of intracranial hypertension include bulging fontanelles, headaches, and bilateral papilledema.

Nursing Mothers

Systemically administered corticosteroids appear in human milk and could suppress growth, interfere with endogenous corticosteroid production, or cause other untoward effects. It is not known whether topical administration of corticosteroids could result in sufficient systemic absorption to produce detectable quantities in human milk. Because many drugs are excreted in human milk, caution should be exercised when betamethasone dipropionate gel (augmented) is administered to a nursing woman.

Laboratory Tests

The following tests may be helpful in evaluating patients for HPA axis suppression:

ACTH stimulation test, Morning plasma-cortisol test, Urinary free-cortisol test

Pharmacokinetics

The extent of percutaneous absorption of topical corticosteroids is determined by many factors including the vehicle and the integrity of the epidermal barrier. Occlusive dressings with hydrocortisone for up to 24 hours have not been demonstrated to increase penetration; however, occlusion of hydrocortisone for 96 hours markedly enhances penetration. Topical corticosteroids can be absorbed from normal intact skin. In addition, inflammation and/or other disease processes in the skin may increase percutaneous absorption. Studies performed with betamethasone dipropionate gel (augmented) indicate that it is in the super-high range of potency as compared with other topical corticosteroids.

Pregnancy Category C

Corticosteroids have been shown to be teratogenic in laboratory animals when administered systemically at relatively low dosage levels. Some corticosteroids have been shown to be teratogenic after dermal application to laboratory animals.

Betamethasone dipropionate has been shown to be teratogenic in rabbits when given by the intramuscular route at doses of 0.05 mg/kg. This dose is approximately 26 times the human topical dose of betamethasone dipropionate gel (augmented) assuming human percutaneous absorption of approximately 3% and the use in a 70 kg person of 7 g per day. The abnormalities observed included umbilical hernias, cephalocele, and cleft palate.

There are no adequate and well-controlled studies of the teratogenic potential of betamethasone dipropionate in pregnant women. Therefore, betamethasone dipropionate gel (augmented) should be used during pregnancy only if the potential benefit justifies the potential risk to the fetus.

Clinical Pharmacology

Like other topical corticosteroids, betamethasone dipropionate has anti-inflammatory, anti-pruritic, and vasoconstrictive properties. The mechanism of the anti-inflammatory activity of the topical steroids, in general, is unclear. However, corticosteroids are thought to act by the induction of phospholipase A 2inhibitory proteins, collectively called lipocortins. It is postulated that these proteins control the biosynthesis of potent mediators of inflammation, such as prostaglandins and leukotrienes, by inhibiting the release of their common pre-cursor, arachidonic acid. Arachidonic acid is released from membrane phospholipids by phospholipase A 2.

Information for Patients

Patients using topical corticosteroids should receive the following information and instructions:

  • The medication is to be used as directed by the physician. It is for external use only. Avoid contact with the eyes.
  • The medication should not be used for any disorder other than that for which it was prescribed.
  • The treated skin area should not be bandaged or otherwise covered or wrapped so as to be occlusive.
  • Patients should report to their physician any signs of local adverse reactions.
Principal Display Panel 15 G Tube Carton

NDC 51672-1309-1

15 g

Betamethasone Dipropionate

Gel (Augmented*), 0.05%

(Potency expressed as betamethasone)


*Vehicle augments the penetration of the steroid.

FOR DERMATOLOGICAL USE ONLY. NOT FOR OPHTHALMIC USE.

Rx only

Keep this and all medications out of the reach of children.

TARO

Carcinogenesis, Mutagenesis, Impairment of Fertility

Long-term animal studies have not been performed to evaluate the carcinogenic potential of betamethasone dipropionate.

Studies in rabbits, mice and rats using intramuscular doses up to 1, 33 and 2 mg/kg, respectively, resulted in dose related increases in fetal resorptions in the rabbits and mice.


Structured Label Content

Section 42229-5 (42229-5)

(Potency expressed as betamethasone)

*Vehicle augments the penetration of the steroid.

FOR DERMATOLOGICAL USE ONLY

NOT FOR OPHTHALMIC USE

Rx only

Section 44425-7 (44425-7)

Store at 20° to 25°C (68° to 77°F)[See USP Controlled Room Temperature].

General

Betamethasone dipropionate gel (augmented) should not be used in the treatment of rosacea or perioral dermatitis, and it should not be used on the face, groin, or in the axillae.

Systemic absorption of topical corticosteroids can produce reversible hypothalamic-pituitary-adrenal (HPA) axis suppression with the potential for glucocorticosteroid insufficiency after withdrawal of treatment. Manifestations of Cushing's syndrome, hyperglycemia, and glucosuria can also be produced in some patients by systemic absorption of topical corticosteroids while on treatment.

At 7 g per day (applied once daily or as 3.5 g twice daily), betamethasone dipropionate gel (augmented) was shown to cause inhibition of the HPA axis following application for one, two or three weeks to diseased skin in some patients with psoriasis or atopic dermatitis. These effects were reversible upon discontinuation of treatment.

Patients receiving betamethasone dipropionate gel (augmented) applied to large areas should be evaluated periodically for evidence of HPA axis suppression. This may be done by using the ACTH-stimulation, morning plasma cortisol and urinary free-cortisol tests. Patients should not be treated with betamethasone dipropionate gel (augmented) for more than 2 weeks at a time, and amounts greater than 50 g per week should not be used because of the potential for the drug to suppress the HPA axis.

If HPA axis suppression is noted, an attempt should be made to withdraw the drug, to reduce the frequency of application, or to substitute a less potent corticosteroid. Recovery of HPA axis function is generally prompt and complete upon discontinuation of topical corticosteroids. Infrequently, signs and symptoms of glucocorticosteroid insufficiency may occur, requiring supplemental systemic corticosteroids. For information on systemic supplementation, see prescribing information for systemic corticosteroids.

Pediatric patients may be more susceptible to systemic toxicity from equivalent doses due to their larger skin surface to body mass ratios (see PRECAUTIONS - Pediatric Use ).

If irritation develops, betamethasone dipropionate gel (augmented) should be discontinued and appropriate therapy instituted. Allergic contact dermatitis with corticosteroids is usually diagnosed by observing failure to heal rather than noting clinical exacerbation as with most topical products not containing corticosteroids. Such an observation should be corroborated with appropriate diagnostic patch testing.

If concomitant fungal and/or bacterial skin infections are present or develop, an appropriate antifungal or antibacterial agent should be used. If a favorable response does not occur promptly, use of betamethasone dipropionate gel (augmented) should be discontinued until the infection has been adequately controlled.

Overdosage (OVERDOSAGE)

Topically applied betamethasone dipropionate gel (augmented) can be absorbed in sufficient amounts to produce systemic effects (see PRECAUTIONS ).

Description (DESCRIPTION)

Betamethasone dipropionate gel (augmented), 0.05%, contains betamethasone dipropionate, USP, a synthetic fluorinated corticosteroid for topical dermatologic use. Betamethasone dipropionate is included in a class of compounds consisting primarily of synthetic corticosteroids for use topically as anti-inflammatory and anti-pruritic agents.

Chemically, betamethasone dipropionate is 9-fluoro-11β,17,21-trihydroxy-16β-methylpregna-1,4-diene-3,20-dione 17,21-dipropionate, with the molecular formula C 28H 37FO 7, a molecular weight of 504.6, and the following structural formula:

Betamethasone dipropionate is a white to creamy white, odorless crystalline powder, insoluble in water.

Each gram of betamethasone dipropionate gel (augmented) contains: 0.64 mg betamethasone dipropionate, USP (equivalent to 0.5 mg betamethasone), in an augmented gel base of carbomer homopolymer type C, propylene glycol, purified water and sodium hydroxide.

How Supplied (HOW SUPPLIED)

Betamethasone Dipropionate Gel (Augmented), 0.05% is supplied as follows:

15 g NDC 51672-1309-1
50 g NDC 51672-1309-3
Geriatric Use

Clinical studies of betamethasone dipropionate gel (augmented) included 65 subjects who were 65 years of age and over and 15 subjects who were 75 years of age and over. No overall differences in safety or effectiveness were observed between these subjects and younger subjects, and other reported clinical experience has not identified differences in responses between the elderly and younger patients. However, greater sensitivity of some older individuals cannot be ruled out.

Pediatric Use

Data regarding use of betamethasone dipropionate gel (augmented) in pediatric patients are not available, so use of this product in patients under the age of 12 is not recommended. Because of a higher ratio of skin surface area to body mass, pediatric patients are at a greater risk than adults of HPA axis suppression when they are treated with topical corticosteroids. They are, therefore, also at greater risk of glucocorticosteroid insufficiency after withdrawal of treatment and of Cushing's syndrome while on treatment.Adverse effects, including striae, have been reported with inappropriate use of topical corticosteroids in infants and pediatric patients.

HPA axis suppression, Cushing's syndrome, and intracranial hypertension have been reported in pediatric patients receiving topical corticosteroids. Manifestations of adrenal suppression in pediatric patients include linear growth retardation, delayed weight gain, low plasma cortisol levels, and absence of response to ACTH stimulation. Manifestations of intracranial hypertension include bulging fontanelles, headaches, and bilateral papilledema.

Nursing Mothers

Systemically administered corticosteroids appear in human milk and could suppress growth, interfere with endogenous corticosteroid production, or cause other untoward effects. It is not known whether topical administration of corticosteroids could result in sufficient systemic absorption to produce detectable quantities in human milk. Because many drugs are excreted in human milk, caution should be exercised when betamethasone dipropionate gel (augmented) is administered to a nursing woman.

Laboratory Tests

The following tests may be helpful in evaluating patients for HPA axis suppression:

ACTH stimulation test, Morning plasma-cortisol test, Urinary free-cortisol test

Pharmacokinetics

The extent of percutaneous absorption of topical corticosteroids is determined by many factors including the vehicle and the integrity of the epidermal barrier. Occlusive dressings with hydrocortisone for up to 24 hours have not been demonstrated to increase penetration; however, occlusion of hydrocortisone for 96 hours markedly enhances penetration. Topical corticosteroids can be absorbed from normal intact skin. In addition, inflammation and/or other disease processes in the skin may increase percutaneous absorption. Studies performed with betamethasone dipropionate gel (augmented) indicate that it is in the super-high range of potency as compared with other topical corticosteroids.

Adverse Reactions (ADVERSE REACTIONS)

In controlled clinical trials, the total incidence of adverse events associated with the use of betamethasone dipropionate gel (augmented) was 10%. These included stinging or burning in 6% of patients, dry skin in 4% of patients, and pruritus in 2% of patients. Less frequently reported adverse reactions were irritation, skin atrophy, telangiectasia, erythema, cracking/tightening of the skin, follicular rash, and allergic contact dermatitis.

The following additional local adverse reactions are reported infrequently with topical corticosteroids, but may occur more frequently with super-high potency corticosteroids, such as betamethasone dipropionate gel (augmented).

These reactions are listed in approximate decreasing order of occurrence: acneiform eruptions, hypopigmentation, perioral dermatitis, secondary infection, striae, and miliaria.

Contraindications (CONTRAINDICATIONS)

Betamethasone dipropionate gel (augmented) is contraindicated in those patients with a history of hypersensitivity to any of the components of the preparation.

Pregnancy Category C

Corticosteroids have been shown to be teratogenic in laboratory animals when administered systemically at relatively low dosage levels. Some corticosteroids have been shown to be teratogenic after dermal application to laboratory animals.

Betamethasone dipropionate has been shown to be teratogenic in rabbits when given by the intramuscular route at doses of 0.05 mg/kg. This dose is approximately 26 times the human topical dose of betamethasone dipropionate gel (augmented) assuming human percutaneous absorption of approximately 3% and the use in a 70 kg person of 7 g per day. The abnormalities observed included umbilical hernias, cephalocele, and cleft palate.

There are no adequate and well-controlled studies of the teratogenic potential of betamethasone dipropionate in pregnant women. Therefore, betamethasone dipropionate gel (augmented) should be used during pregnancy only if the potential benefit justifies the potential risk to the fetus.

Clinical Pharmacology (CLINICAL PHARMACOLOGY)

Like other topical corticosteroids, betamethasone dipropionate has anti-inflammatory, anti-pruritic, and vasoconstrictive properties. The mechanism of the anti-inflammatory activity of the topical steroids, in general, is unclear. However, corticosteroids are thought to act by the induction of phospholipase A 2inhibitory proteins, collectively called lipocortins. It is postulated that these proteins control the biosynthesis of potent mediators of inflammation, such as prostaglandins and leukotrienes, by inhibiting the release of their common pre-cursor, arachidonic acid. Arachidonic acid is released from membrane phospholipids by phospholipase A 2.

Indications and Usage (INDICATIONS AND USAGE)

Betamethasone dipropionate gel (augmented) is a super-high potency corticosteroid indicated for the relief of the inflammatory and pruritic manifestations of corticosteroid-responsive dermatoses. Treatment beyond two consecutive weeks is not recommended, and the total dose should not exceed 50 g per week because of potential for the drug to suppress the hypothalamic-pituitary-adrenal (HPA) axis.

This product is not recommended for use in pediatric patients under 12 years of age.

Information for Patients

Patients using topical corticosteroids should receive the following information and instructions:

  • The medication is to be used as directed by the physician. It is for external use only. Avoid contact with the eyes.
  • The medication should not be used for any disorder other than that for which it was prescribed.
  • The treated skin area should not be bandaged or otherwise covered or wrapped so as to be occlusive.
  • Patients should report to their physician any signs of local adverse reactions.
Dosage and Administration (DOSAGE AND ADMINISTRATION)

Apply a thin layer of betamethasone dipropionate gel (augmented) to the affected skin once or twice daily and rub it in gently and completely.

Betamethasone dipropionate gel (augmented) is a super-high potency topical corticosteroid; therefore, treatment should be limited to two weeks, and amounts greater than 50 g per week should not be used.

Betamethasone dipropionate gel (augmented) should not be used with occlusive dressings.

Principal Display Panel 15 G Tube Carton (PRINCIPAL DISPLAY PANEL - 15 g Tube Carton)

NDC 51672-1309-1

15 g

Betamethasone Dipropionate

Gel (Augmented*), 0.05%

(Potency expressed as betamethasone)


*Vehicle augments the penetration of the steroid.

FOR DERMATOLOGICAL USE ONLY. NOT FOR OPHTHALMIC USE.

Rx only

Keep this and all medications out of the reach of children.

TARO

Carcinogenesis, Mutagenesis, Impairment of Fertility

Long-term animal studies have not been performed to evaluate the carcinogenic potential of betamethasone dipropionate.

Studies in rabbits, mice and rats using intramuscular doses up to 1, 33 and 2 mg/kg, respectively, resulted in dose related increases in fetal resorptions in the rabbits and mice.


Advanced Ingredient Data


Raw Label Data

All Sections (JSON)