Halcinonide Topical Solution, Usp 0.1%

Halcinonide Topical Solution, Usp 0.1%
SPL v1
SPL
SPL Set ID debd165b-118b-4ef0-af7d-3b90a8fd8ded
Route
TOPICAL
Published
Effective Date 2025-01-29
Document Type 34391-3 HUMAN PRESCRIPTION DRUG LABEL

Drug Facts

Composition & Product

Active Ingredients
Halcinonide (1 mg)
Inactive Ingredients
Butylated Hydroxytoluene Edetate Disodium Polyethylene Glycol 300 Water

Identifiers & Packaging

Marketing Status
ANDA Active Since 2025-01-29

Description

Rx Only

Indications and Usage

Halcinonide Topical Solution, USP 0.1% is indicated for the relief of the inflammatory and pruritic manifestations of corticosteroid-responsive dermatoses.

Dosage and Administration

Apply Halcinonide Topical Solution, USP 0.1% to the affected area two to three times daily. Occlusive Dressing Technique Occlusive dressings may be used for the management of psoriasis or other recalcitrant conditions. Apply the solution to the lesion, cover with a pliable nonporous film, and seal the edges. If needed, additional moisture may be provided by covering the lesion with a dampened clean cotton cloth before the nonporous film is applied or by briefly wetting the affected area with water immediately prior to applying the medication. The frequency of changing dressings is best determined on an individual basis. It may be convenient to apply Halcinonide Topical Solution, USP 0.1% under an occlusive dressing in the evening and to remove the dressing in the morning (i.e., 12-hour occlusion). When utilizing the 12-hour occlusion regimen, additional solution should be applied, without occlusion, during the day. Reapplication is essential at each dressing change. If an infection develops, the use of occlusive dressings should be discontinued and appropriate antimicrobial therapy instituted.

Contraindications

Topical corticosteroids are contraindicated in those patients with a history of hypersensitivity to any of the components of the preparations.

Adverse Reactions

The following local adverse reactions are reported infrequently with topical corticosteroids, but may occur more frequently with the use of occlusive dressings (reactions are listed in an approximate decreasing order of occurrence): burning, itching, irritation, dryness, folliculitis, hypertrichosis, acneiform eruptions, hypopigmentation, perioral dermatitis, allergic contact dermatitis, maceration of the skin, secondary infection, skin atrophy, striae, and miliaria.

How Supplied

Halcinonide Topical Solution, USP 0.1% is supplied in plastic squeeze bottles containing 120 mL (NDC 74157-012-12) of solution. Storage Store at room temperature; avoid freezing and temperatures above 104° F. To report SUSPECTED ADVERSE REACTIONS, contact INA Pharmaceutics Inc at 1- 866-835-0469 or FDA at 1-800-FDA-1088 or www.fda.gov/medwatch. Manufactured for: INA PHARMACEUTICS INC. FAIRMONT W V 26554


Medication Information

Indications and Usage

Halcinonide Topical Solution, USP 0.1% is indicated for the relief of the inflammatory and pruritic manifestations of corticosteroid-responsive dermatoses.

Dosage and Administration

Apply Halcinonide Topical Solution, USP 0.1% to the affected area two to three times daily.



Occlusive Dressing Technique



Occlusive dressings may be used for the management of psoriasis or other recalcitrant conditions. Apply the solution to the lesion, cover with a pliable nonporous film, and seal the edges. If needed, additional moisture may be provided by covering the lesion with a dampened clean cotton cloth before the nonporous film is applied or by briefly wetting the affected area with water immediately prior to applying the medication. The frequency of changing dressings is best determined on an individual basis. It may be convenient to apply Halcinonide Topical Solution, USP 0.1% under an occlusive dressing in the evening and to remove the dressing in the morning (i.e., 12-hour occlusion). When utilizing the 12-hour occlusion regimen, additional solution should be applied, without occlusion, during the day. Reapplication is essential at each dressing change.



If an infection develops, the use of occlusive dressings should be discontinued and appropriate antimicrobial therapy instituted.

Contraindications

Topical corticosteroids are contraindicated in those patients with a history of hypersensitivity to any of the components of the preparations.

Adverse Reactions

The following local adverse reactions are reported infrequently with topical corticosteroids, but may occur more frequently with the use of occlusive dressings (reactions are listed in an approximate decreasing order of occurrence): burning, itching, irritation, dryness, folliculitis, hypertrichosis, acneiform eruptions, hypopigmentation, perioral dermatitis, allergic contact dermatitis, maceration of the skin, secondary infection, skin atrophy, striae, and miliaria.



How Supplied

Halcinonide Topical Solution, USP 0.1% is supplied in plastic squeeze bottles containing 120 mL (NDC 74157-012-12) of solution.

Storage

Store at room temperature; avoid freezing and temperatures above 104° F.

To report SUSPECTED ADVERSE REACTIONS, contact INA Pharmaceutics Inc at 1- 866-835-0469 or FDA at 1-800-FDA-1088 or www.fda.gov/medwatch.

Manufactured for:

INA PHARMACEUTICS INC.

FAIRMONT

W V 26554

Description

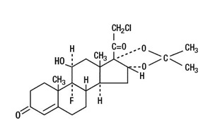
The topical corticosteroids constitute a class of primarily synthetic steroids used as anti- inflammatory and antipruritic agents. The steroids in this class include halcinonide. Halcinonide is designated chemically as 21-Chloro-9-fluoro-11β, 16α, 17-trihydroxypregn-4-ene-3, 20-dione cyclic 16, 17-acetal with acetone. Graphic formula:





C 24H 32ClFO 5, MW 454.96, CAS-3093-35-4

Each mL of 0.1% Halcinonide Topical Solution, USP contains 1 mg halcinonide, edetate disodium, polyethylene glycol 300, and purified water with butylated hydroxytoluene as an antioxidant.

Section 42229-5

Rx Only

General

Systemic absorption of topical corticosteroids has produced reversible hypothalamic- pituitary-adrenal (HPA) axis suppression, manifestations of Cushing’s syndrome, hyperglycemia, and glucosuria in some patients.



Conditions which augment systemic absorption include the application of the more potent steroids, use over large surface areas, prolonged use, and the addition of occlusive dressings.

Therefore, patients receiving a large dose of any potent topical steroid applied to a large surface area or under an occlusive dressing should be evaluated periodically for evidence of HPA axis suppression by using the urinary free cortisol and ACTH stimulation tests, and for impairment of thermal homeostasis. If HPA axis suppression or elevation of the body temperature occurs, an attempt should be made to withdraw the drug, to reduce the frequency of application, substitute a less potent steroid, or use a sequential approach when utilizing the occlusive technique.



Recovery of HPA axis function and thermal homeostasis are generally prompt and complete upon discontinuation of the drug. Infrequently, signs and symptoms of steroid withdrawal may occur, requiring supplemental systemic corticosteroids. Occasionally, a patient may develop a sensitivity reaction to a particular occlusive dressing material or adhesive and a substitute material may be necessary.



Children may absorb proportionally larger amounts of topical corticosteroids and thus be more susceptible to systemic toxicity (see PRECAUTIONS: Pediatric Use ).



If irritation develops, topical corticosteroids should be discontinued and appropriate therapy instituted.



In the presence of dermatological infections, the use of an appropriate antifungal or antibacterial agent should be instituted. If a favorable response does not occur promptly, the corticosteroid should be discontinued until the infection has been adequately controlled.



This preparation is not for ophthalmic use.

Pregnancy

Teratogenic Effects



Corticosteroids are generally teratogenic in laboratory animals when administered systemically at relatively low dosage levels. The more potent corticosteroids have been shown to be teratogenic after dermal application in laboratory animals. There are no adequate and well-controlled studies in pregnant women on teratogenic effects from topically applied corticosteroids. Therefore, topical corticosteroids should be used during pregnancy only if the potential benefit justifies the potential risk to the fetus. Drugs of this class should not be used extensively on pregnant patients, in large amounts, or for prolonged periods of time.

Overdosage

Topically applied corticosteroids can be absorbed in sufficient amounts to produce systemic effects (see PRECAUTIONS: General ).

Geriatric Use

Clinical studies of 0.1% halcinonide topical solution did not include sufficient numbers of patients aged 65 years and over to determine whether they respond differently from younger patients. Other reported clinical experience has not identified differences in responses between the elderly and younger patients. In general, dose selection for an elderly patient should be cautious, usually starting at the low end of the dosing range.

Pediatric Use

Pediatric patients may demonstrate greater susceptibility to topical corticosteroid- induced HPA axis suppression and Cushing’s syndrome than mature patients because of a larger skin surface area to body weight ratio.

HPA axis suppression, Cushing’s syndrome, and intracranial hypertension have been reported in children receiving topical corticosteroids. Manifestations of adrenal suppression in children include linear growth retardation, delayed weight gain, low plasma cortisol levels, and absence of response to ACTH stimulation. Manifestations of intracranial hypertension include bulging fontanelles, headaches, and bilateral papilledema.



Administration of topical corticosteroids to children should be limited to the least amount compatible with an effective therapeutic regimen. Chronic corticosteroid therapy may interfere with the growth and development of children.

Nursing Mothers

It is not known whether topical administration of corticosteroids could result in sufficient systemic absorption to produce detectable quantities in breast milk. Systemically administered corticosteroids are secreted into breast milk in quantities not likely to have a deleterious effect on the infant. Nevertheless, caution should be exercised when topical corticosteroids are administered to a nursing woman.

Laboratory Tests

A urinary free cortisol test and ACTH stimulation test may be helpful in evaluating HPA axis suppression.

Clinical Pharmacology

Topical corticosteroids share anti-inflammatory, antipruritic and vasoconstrictive actions.



The mechanism of anti-inflammatory activity of the topical corticosteroids is unclear. Various laboratory methods, including vasoconstrictor assays, are used to compare and predict potencies and/or clinical efficacies of the topical corticosteroids. There is some evidence to suggest that a recognizable correlation exists between vasoconstrictor potency and therapeutic efficacy in man.



Pharmacokinetics

The extent of percutaneous absorption of topical corticosteroids is determined by many factors including the vehicle, the integrity of the epidermal barrier, and the use of occlusive dressings.



Topical corticosteroids can be absorbed from normal intact skin. Inflammation and/or other disease processes in the skin increase percutaneous absorption. Occlusive dressings substantially increase the percutaneous absorption of topical corticosteroids. Thus, occlusive dressings may be a valuable therapeutic adjunct for treatment of resistant dermatoses (see DOSAGE AND ADMINISTRATION ).



Once absorbed through the skin, topical corticosteroids are handled through pharmacokinetic pathways similar to systemically administered corticosteroids. Corticosteroids are bound to plasma proteins in varying degrees. Corticosteroids are metabolized primarily in the liver and are then excreted by the kidneys. Some of the topical corticosteroids and their metabolites are also excreted into the bile.

Information for the Patient

Patients using topical corticosteroids should receive the following information and instructions:

1) This medication is to be used as directed by the physician. It is for dermatologic use only. Avoid contact with the eyes.

2) Patients should be advised not to use this medication for any disorder other than for which it was prescribed.

3) The treated skin area should not be bandaged or otherwise covered or wrapped as to be occlusive unless directed by the physician.

4) Patients should report any signs of local adverse reactions especially under occlusive dressing.

5) Parents of pediatric patients should be advised not to use tight-fitting diapers or plastic pants on a child being treated in the diaper area, as these garments may constitute occlusive dressings.

Package Label.principal Display Panel

NDC 74157-012-12

Halcinonide Topical Solution, USP 0.1%

FOR DERMATOLOGIC USE

Not For Ophthalmic Use

Net Wt. 120 ml

Rx only

Carcinogenesis, Mutagenesis, and Impairment of Fertility

Long-term animal studies have not been performed to evaluate the carcinogenic potential or the effect on fertility of topical corticosteroids.



Studies to determine mutagenicity with prednisolone and hydrocortisone showed negative results.




Structured Label Content

Section 42229-5 (42229-5)

Rx Only

General

Systemic absorption of topical corticosteroids has produced reversible hypothalamic- pituitary-adrenal (HPA) axis suppression, manifestations of Cushing’s syndrome, hyperglycemia, and glucosuria in some patients.



Conditions which augment systemic absorption include the application of the more potent steroids, use over large surface areas, prolonged use, and the addition of occlusive dressings.

Therefore, patients receiving a large dose of any potent topical steroid applied to a large surface area or under an occlusive dressing should be evaluated periodically for evidence of HPA axis suppression by using the urinary free cortisol and ACTH stimulation tests, and for impairment of thermal homeostasis. If HPA axis suppression or elevation of the body temperature occurs, an attempt should be made to withdraw the drug, to reduce the frequency of application, substitute a less potent steroid, or use a sequential approach when utilizing the occlusive technique.



Recovery of HPA axis function and thermal homeostasis are generally prompt and complete upon discontinuation of the drug. Infrequently, signs and symptoms of steroid withdrawal may occur, requiring supplemental systemic corticosteroids. Occasionally, a patient may develop a sensitivity reaction to a particular occlusive dressing material or adhesive and a substitute material may be necessary.



Children may absorb proportionally larger amounts of topical corticosteroids and thus be more susceptible to systemic toxicity (see PRECAUTIONS: Pediatric Use ).



If irritation develops, topical corticosteroids should be discontinued and appropriate therapy instituted.



In the presence of dermatological infections, the use of an appropriate antifungal or antibacterial agent should be instituted. If a favorable response does not occur promptly, the corticosteroid should be discontinued until the infection has been adequately controlled.



This preparation is not for ophthalmic use.

Pregnancy

Teratogenic Effects



Corticosteroids are generally teratogenic in laboratory animals when administered systemically at relatively low dosage levels. The more potent corticosteroids have been shown to be teratogenic after dermal application in laboratory animals. There are no adequate and well-controlled studies in pregnant women on teratogenic effects from topically applied corticosteroids. Therefore, topical corticosteroids should be used during pregnancy only if the potential benefit justifies the potential risk to the fetus. Drugs of this class should not be used extensively on pregnant patients, in large amounts, or for prolonged periods of time.

Overdosage (OVERDOSAGE)

Topically applied corticosteroids can be absorbed in sufficient amounts to produce systemic effects (see PRECAUTIONS: General ).

Description (DESCRIPTION)

The topical corticosteroids constitute a class of primarily synthetic steroids used as anti- inflammatory and antipruritic agents. The steroids in this class include halcinonide. Halcinonide is designated chemically as 21-Chloro-9-fluoro-11β, 16α, 17-trihydroxypregn-4-ene-3, 20-dione cyclic 16, 17-acetal with acetone. Graphic formula:





C 24H 32ClFO 5, MW 454.96, CAS-3093-35-4

Each mL of 0.1% Halcinonide Topical Solution, USP contains 1 mg halcinonide, edetate disodium, polyethylene glycol 300, and purified water with butylated hydroxytoluene as an antioxidant.

How Supplied (HOW SUPPLIED)

Halcinonide Topical Solution, USP 0.1% is supplied in plastic squeeze bottles containing 120 mL (NDC 74157-012-12) of solution.

Storage

Store at room temperature; avoid freezing and temperatures above 104° F.

To report SUSPECTED ADVERSE REACTIONS, contact INA Pharmaceutics Inc at 1- 866-835-0469 or FDA at 1-800-FDA-1088 or www.fda.gov/medwatch.

Manufactured for:

INA PHARMACEUTICS INC.

FAIRMONT

W V 26554

Geriatric Use

Clinical studies of 0.1% halcinonide topical solution did not include sufficient numbers of patients aged 65 years and over to determine whether they respond differently from younger patients. Other reported clinical experience has not identified differences in responses between the elderly and younger patients. In general, dose selection for an elderly patient should be cautious, usually starting at the low end of the dosing range.

Pediatric Use

Pediatric patients may demonstrate greater susceptibility to topical corticosteroid- induced HPA axis suppression and Cushing’s syndrome than mature patients because of a larger skin surface area to body weight ratio.

HPA axis suppression, Cushing’s syndrome, and intracranial hypertension have been reported in children receiving topical corticosteroids. Manifestations of adrenal suppression in children include linear growth retardation, delayed weight gain, low plasma cortisol levels, and absence of response to ACTH stimulation. Manifestations of intracranial hypertension include bulging fontanelles, headaches, and bilateral papilledema.



Administration of topical corticosteroids to children should be limited to the least amount compatible with an effective therapeutic regimen. Chronic corticosteroid therapy may interfere with the growth and development of children.

Nursing Mothers

It is not known whether topical administration of corticosteroids could result in sufficient systemic absorption to produce detectable quantities in breast milk. Systemically administered corticosteroids are secreted into breast milk in quantities not likely to have a deleterious effect on the infant. Nevertheless, caution should be exercised when topical corticosteroids are administered to a nursing woman.

Laboratory Tests

A urinary free cortisol test and ACTH stimulation test may be helpful in evaluating HPA axis suppression.

Adverse Reactions (ADVERSE REACTIONS)

The following local adverse reactions are reported infrequently with topical corticosteroids, but may occur more frequently with the use of occlusive dressings (reactions are listed in an approximate decreasing order of occurrence): burning, itching, irritation, dryness, folliculitis, hypertrichosis, acneiform eruptions, hypopigmentation, perioral dermatitis, allergic contact dermatitis, maceration of the skin, secondary infection, skin atrophy, striae, and miliaria.



Contraindications (CONTRAINDICATIONS)

Topical corticosteroids are contraindicated in those patients with a history of hypersensitivity to any of the components of the preparations.

Clinical Pharmacology (CLINICAL PHARMACOLOGY)

Topical corticosteroids share anti-inflammatory, antipruritic and vasoconstrictive actions.



The mechanism of anti-inflammatory activity of the topical corticosteroids is unclear. Various laboratory methods, including vasoconstrictor assays, are used to compare and predict potencies and/or clinical efficacies of the topical corticosteroids. There is some evidence to suggest that a recognizable correlation exists between vasoconstrictor potency and therapeutic efficacy in man.



Pharmacokinetics

The extent of percutaneous absorption of topical corticosteroids is determined by many factors including the vehicle, the integrity of the epidermal barrier, and the use of occlusive dressings.



Topical corticosteroids can be absorbed from normal intact skin. Inflammation and/or other disease processes in the skin increase percutaneous absorption. Occlusive dressings substantially increase the percutaneous absorption of topical corticosteroids. Thus, occlusive dressings may be a valuable therapeutic adjunct for treatment of resistant dermatoses (see DOSAGE AND ADMINISTRATION ).



Once absorbed through the skin, topical corticosteroids are handled through pharmacokinetic pathways similar to systemically administered corticosteroids. Corticosteroids are bound to plasma proteins in varying degrees. Corticosteroids are metabolized primarily in the liver and are then excreted by the kidneys. Some of the topical corticosteroids and their metabolites are also excreted into the bile.

Indications and Usage (INDICATIONS AND USAGE)

Halcinonide Topical Solution, USP 0.1% is indicated for the relief of the inflammatory and pruritic manifestations of corticosteroid-responsive dermatoses.

Dosage and Administration (DOSAGE AND ADMINISTRATION)

Apply Halcinonide Topical Solution, USP 0.1% to the affected area two to three times daily.



Occlusive Dressing Technique



Occlusive dressings may be used for the management of psoriasis or other recalcitrant conditions. Apply the solution to the lesion, cover with a pliable nonporous film, and seal the edges. If needed, additional moisture may be provided by covering the lesion with a dampened clean cotton cloth before the nonporous film is applied or by briefly wetting the affected area with water immediately prior to applying the medication. The frequency of changing dressings is best determined on an individual basis. It may be convenient to apply Halcinonide Topical Solution, USP 0.1% under an occlusive dressing in the evening and to remove the dressing in the morning (i.e., 12-hour occlusion). When utilizing the 12-hour occlusion regimen, additional solution should be applied, without occlusion, during the day. Reapplication is essential at each dressing change.



If an infection develops, the use of occlusive dressings should be discontinued and appropriate antimicrobial therapy instituted.

Information for the Patient

Patients using topical corticosteroids should receive the following information and instructions:

1) This medication is to be used as directed by the physician. It is for dermatologic use only. Avoid contact with the eyes.

2) Patients should be advised not to use this medication for any disorder other than for which it was prescribed.

3) The treated skin area should not be bandaged or otherwise covered or wrapped as to be occlusive unless directed by the physician.

4) Patients should report any signs of local adverse reactions especially under occlusive dressing.

5) Parents of pediatric patients should be advised not to use tight-fitting diapers or plastic pants on a child being treated in the diaper area, as these garments may constitute occlusive dressings.

Package Label.principal Display Panel (PACKAGE LABEL.PRINCIPAL DISPLAY PANEL)

NDC 74157-012-12

Halcinonide Topical Solution, USP 0.1%

FOR DERMATOLOGIC USE

Not For Ophthalmic Use

Net Wt. 120 ml

Rx only

Carcinogenesis, Mutagenesis, and Impairment of Fertility

Long-term animal studies have not been performed to evaluate the carcinogenic potential or the effect on fertility of topical corticosteroids.



Studies to determine mutagenicity with prednisolone and hydrocortisone showed negative results.




Advanced Ingredient Data


Raw Label Data

All Sections (JSON)