These Highlights Do Not Include All The Information Needed To Use Dificid Safely And Effectively. See Full Prescribing Information For Dificid.

These Highlights Do Not Include All The Information Needed To Use Dificid Safely And Effectively. See Full Prescribing Information For Dificid.
SPL v21
SPL
SPL Set ID dd966338-c820-4270-b704-09ef75fa3ceb
Route
ORAL
Published
Effective Date 2022-09-19
Document Type 34391-3 HUMAN PRESCRIPTION DRUG LABEL

Drug Facts

Composition & Product

Active Ingredients
Fidaxomicin (200 mg)
Inactive Ingredients
Microcrystalline Cellulose Starch, Corn Hydroxypropyl Cellulose (1600000 Wamw) Butylated Hydroxytoluene Sodium Starch Glycolate Type A Potato Magnesium Stearate Polyvinyl Alcohol, Unspecified Titanium Dioxide Talc Polyethylene Glycol, Unspecified Lecithin, Soybean Citric Acid Monohydrate Xanthan Gum Sodium Benzoate Sodium Citrate, Unspecified Form Sucralose

Identifiers & Packaging

Pill Appearance
Imprint: FDX;200 Shape: capsule Color: white Size: 14 mm Score: 1
Marketing Status
NDA Active Since 2020-02-18

Description

DIFICID is a macrolide antibacterial indicated in adult and pediatric patients 6 months of age and older for the treatment of C. difficile -associated diarrhea. ( 1.1 ) To reduce the development of drug-resistant bacteria and maintain the effectiveness of DIFICID and other antibacterial drugs, DIFICID should be used only to treat infections that are proven or strongly suspected to be caused by C. difficile . ( 1.2 )

Indications and Usage

DIFICID is a macrolide antibacterial indicated in adult and pediatric patients 6 months of age and older for the treatment of C. difficile -associated diarrhea. ( 1.1 ) To reduce the development of drug-resistant bacteria and maintain the effectiveness of DIFICID and other antibacterial drugs, DIFICID should be used only to treat infections that are proven or strongly suspected to be caused by C. difficile . ( 1.2 )

Dosage and Administration

DIFICID is administered orally with or without food. ( 2.1 ) Adults One 200 mg tablet orally twice daily for 10 days. ( 2.2 ) Pediatrics (6 Months to Less than 18 Years of Age) Tablets Pediatric patients weighing at least 12.5 kg and able to swallow tablets: One 200 mg tablet orally twice daily for 10 days. ( 2.3 ) Oral Suspension Pediatric patients weighing at least 4 kg: Weight-based dosing of the oral suspension twice daily for 10 days using an oral dosing syringe, as specified in Table 1 in the full prescribing information. ( 2.3 ) For instructions on preparation and administration of DIFICID oral suspension, see full prescribing information. ( 2.4 )

Warnings and Precautions

Acute hypersensitivity reactions (angioedema, dyspnea, pruritus, and rash) have been reported. If a severe hypersensitivity reaction occurs, discontinue DIFICID. ( 5.1 ) DIFICID is not expected to be effective for the treatment of other types of infections due to minimal systemic absorption of fidaxomicin. DIFICID should only be used for the treatment of C. difficile -associated diarrhea. ( 5.2 ) Development of drug-resistant bacteria: Only use DIFICID for infection proven or strongly suspected to be caused by C. difficile . ( 5.3 )

Contraindications

DIFICID is contraindicated in patients who have known hypersensitivity to fidaxomicin or any other ingredient in DIFICID [see Warnings and Precautions (5.1) ] .

Adverse Reactions

The most common adverse reactions in adults (incidence ≥2%) are nausea, vomiting, abdominal pain, gastrointestinal hemorrhage, anemia, and neutropenia. ( 6 ) The most common adverse reactions in pediatric patients (incidence ≥5%) treated with DIFICID are pyrexia, abdominal pain, vomiting, diarrhea, constipation, increased aminotransferases, and rash. ( 6 ) To report SUSPECTED ADVERSE REACTIONS, contact Merck Sharp & Dohme LLC at 1-877-888-4231 or FDA at 1-800-FDA-1088 or www.fda.gov/medwatch  .

Drug Interactions

Fidaxomicin and its main metabolite, OP-1118, are substrates of the efflux transporter, P-glycoprotein (P-gp), which is expressed in the gastrointestinal tract.


Medication Information

Warnings and Precautions

Acute hypersensitivity reactions (angioedema, dyspnea, pruritus, and rash) have been reported. If a severe hypersensitivity reaction occurs, discontinue DIFICID. ( 5.1 ) DIFICID is not expected to be effective for the treatment of other types of infections due to minimal systemic absorption of fidaxomicin. DIFICID should only be used for the treatment of C. difficile -associated diarrhea. ( 5.2 ) Development of drug-resistant bacteria: Only use DIFICID for infection proven or strongly suspected to be caused by C. difficile . ( 5.3 )

Indications and Usage

DIFICID is a macrolide antibacterial indicated in adult and pediatric patients 6 months of age and older for the treatment of C. difficile -associated diarrhea. ( 1.1 ) To reduce the development of drug-resistant bacteria and maintain the effectiveness of DIFICID and other antibacterial drugs, DIFICID should be used only to treat infections that are proven or strongly suspected to be caused by C. difficile . ( 1.2 )

Dosage and Administration

DIFICID is administered orally with or without food. ( 2.1 ) Adults One 200 mg tablet orally twice daily for 10 days. ( 2.2 ) Pediatrics (6 Months to Less than 18 Years of Age) Tablets Pediatric patients weighing at least 12.5 kg and able to swallow tablets: One 200 mg tablet orally twice daily for 10 days. ( 2.3 ) Oral Suspension Pediatric patients weighing at least 4 kg: Weight-based dosing of the oral suspension twice daily for 10 days using an oral dosing syringe, as specified in Table 1 in the full prescribing information. ( 2.3 ) For instructions on preparation and administration of DIFICID oral suspension, see full prescribing information. ( 2.4 )

Contraindications

DIFICID is contraindicated in patients who have known hypersensitivity to fidaxomicin or any other ingredient in DIFICID [see Warnings and Precautions (5.1) ] .

Adverse Reactions

The most common adverse reactions in adults (incidence ≥2%) are nausea, vomiting, abdominal pain, gastrointestinal hemorrhage, anemia, and neutropenia. ( 6 ) The most common adverse reactions in pediatric patients (incidence ≥5%) treated with DIFICID are pyrexia, abdominal pain, vomiting, diarrhea, constipation, increased aminotransferases, and rash. ( 6 ) To report SUSPECTED ADVERSE REACTIONS, contact Merck Sharp & Dohme LLC at 1-877-888-4231 or FDA at 1-800-FDA-1088 or www.fda.gov/medwatch  .

Drug Interactions

Fidaxomicin and its main metabolite, OP-1118, are substrates of the efflux transporter, P-glycoprotein (P-gp), which is expressed in the gastrointestinal tract.

Description

DIFICID is a macrolide antibacterial indicated in adult and pediatric patients 6 months of age and older for the treatment of C. difficile -associated diarrhea. ( 1.1 ) To reduce the development of drug-resistant bacteria and maintain the effectiveness of DIFICID and other antibacterial drugs, DIFICID should be used only to treat infections that are proven or strongly suspected to be caused by C. difficile . ( 1.2 )

Section 42229-5

Tablets

The recommended dosage for pediatric patients weighing at least 12.5 kg and able to swallow tablets is one 200 mg DIFICID tablet administered orally twice daily for 10 days. If unable to swallow tablets, pediatric patients may be dosed with DIFICID oral suspension as recommended in Table 1 below.

Section 42230-3
Patient Information

DIFICID®
(dih-fih-sid)

(fidaxomicin)

tablets, for oral use

DIFICID® (dih-fih-sid)

(fidaxomicin)

for oral suspension
 
What You Need to Know About Your Medicine
  • Before you take DIFICID, be sure you understand what it is for and how to take it.
  • If you have questions about DIFICID, ask your doctor or pharmacist.
  • Remember that your doctor has prescribed DIFICID only for you. Never give this medicine to anyone else.
  • Keep this Patient Information for DIFICID so you can read it again.
What is DIFICID?
DIFICID is an antibiotic medicine used to treat an infection called Clostridioides difficile-associated diarrhea (CDAD) in adults and children 6 months of age and older. Clostridioides difficile (C-diff) is a bacterium that can cause an infection that can damage your colon and cause stomach pain and severe diarrhea.
  • DIFICID is not to be used to treat other types of infections in the body.
  • Sometimes infections are caused by viruses rather than bacteria. Antibiotic medicines, including DIFICID, do not kill viruses.
It is not known if DIFICID is safe and effective in children under 6 months old.
Who should not take DIFICID?
Do not take DIFICID if you are allergic to fidaxomicin, or any other ingredient in DIFICID. See the end of this Patient Information for a complete list of ingredients in DIFICID.
What should I tell my doctor before taking DIFICID?
Pregnancy
  • If you are pregnant or plan to become pregnant, tell your doctor before you take DIFICID.
  • It is not known if DIFICID will harm your baby while you are pregnant.
  • If you are pregnant, you and your doctor should decide together if you will take DIFICID.
Breastfeeding
  • If you are breastfeeding or plan to breastfeed, tell your doctor before you take DIFICID.
  • It is not known if DIFICID passes into breast milk.
  • If you are breastfeeding, you and your doctor should decide together if you will take DIFICID.
Other Medicines
  • Tell your doctor about all of the medicines you take, including prescription and over-the-counter medicines, vitamins, and herbal and dietary supplements.
  • Know the medicines you take. Keep a list of your medicines to show your doctor and pharmacist when you get a new medicine.
Allergic Reactions
  • See " Who should not take DIFICID? "
  • If you are allergic to other kinds of antibiotics called macrolides (for example: azithromycin (Zithromax) or clarithromycin (Biaxin)) or any other ingredient in DIFICID, tell your doctor.

    See the end of this Patient Information for a complete list of ingredients in DIFICID.
How do I take DIFICID?
  • Take DIFICID tablets or oral suspension exactly as prescribed by your doctor.
  • Take DIFICID twice a day (approximately every 12 hours). For example, if you take your first dose at 8:00 a.m. you should take your second dose at 8:00 p.m.
  • You can take DIFICID with or without food.
  • If DIFICID oral suspension is prescribed for your child:
    • DIFICID oral suspension is a liquid that your pharmacist will mix before it is given to you.
    • Store DIFICID oral suspension in the refrigerator (see " How should I store DIFICID? ").
    • Take the bottle out of the refrigerator 15 minutes before giving the dose to your child.
    • Shake the bottle well before each dose. DIFICID oral suspension should be white to yellowish white.
    • Remove the cap and measure the dose with the oral dosing syringe provided by your pharmacist.
    • Give the dose by mouth to your child using the oral dosing syringe.
    • Put the cap back on the bottle and store in the refrigerator after each dose.
  • Do not skip any doses or stop taking DIFICID until you finish your prescribed treatment, even if you begin to feel better, unless you have a serious allergic reaction (see " What are the possible side effects of DIFICID? ").

    This will lower the chance that the bacteria will become resistant to DIFICID. If this happens, DIFICID and other antibiotic medicines may not work in the future.
What are the possible side effects of DIFICID?
DIFICID can cause serious side effects, including:
  • Allergic reaction. If you get a severe allergic reaction while taking DIFICID, including problems breathing or shortness of breath, rash, itching or hives, or swelling of the mouth, throat, or face, stop taking DIFICID and get emergency medical help right away.
Common side effects of DIFICID include:

The most common side effects of DIFICID in adults include:
  • nausea
  • vomiting
  • stomach pain
  • bleeding in the stomach or intestines
  • low red blood cell count (anemia)
  • low white blood cell count (neutropenia)
The most common side effects of DIFICID in children include:
  • fever
  • vomiting
  • diarrhea
  • stomach pain
  • constipation
  • rash
  • high levels of enzymes called aminotransferases in the blood, which may indicate liver damage
Other less common side effects of DIFICID may include:
  • swelling of any body part (such as your face, lips, tongue or around your eyes)
  • itching
  • hives
  • bloating
  • stomach tenderness
  • heartburn
  • problems swallowing
  • high blood sugar (hyperglycemia)
  • abnormal liver tests
  • low levels of blood bicarbonate
  • passing gas
  • intestinal blockage
  • serious bowel inflammation (toxic megacolon)
  • low platelet count (important for clotting and to control bleeding)
  • high levels of acid in your blood (metabolic acidosis)
If you have any side effect that bothers you or does not go away, tell your doctor.
There may be other side effects to DIFICID that are not listed. Call your doctor for medical advice about side effects. You may report side effects to FDA at 1-800-FDA-1088.
How should I store DIFICID?
DIFICID tablets
  • Store DIFICID tablets at room temperature between 68°F to 77°F (20°C to 25°C).
  • Keep DIFICID in its original bottle until you are ready to take it.
DIFICID for oral suspension
  • Store DIFICID oral suspension in the refrigerator between 36°F to 46°F (2°C to 8°C) for up to 12 days. Throw away (discard) any unused DIFICID oral suspension by the date written on the bottle.
  • Keep DIFICID in its original child-resistant bottle with the cap on until you are ready to give it to your child.
Keep DIFICID and all medicines out of the reach of children.
General information about the safe and effective use of DIFICID.
Medicines are sometimes prescribed for purposes other than those listed in the Patient Information. Do not take DIFICID for a condition for which it was not prescribed. Do not give DIFICID to other people, even if they have the same symptoms that you have. It may harm them. You can ask your pharmacist or doctor for information about DIFICID that is written for health professionals.
What if I have questions?
  • Call your doctor.
  • Call the company that makes DIFICID at 1-800-444-2080.
  • Go to the website – www.DIFICID.com  .
  • You can also find the full prescribing information written for doctors at www.DIFICID.com
What are the ingredients in DIFICID?
DIFICID tablets
  • Active ingredient: fidaxomicin.
  • Inactive ingredients: butylated hydroxytoluene, hydroxypropyl cellulose, lecithin (soy), magnesium stearate, microcrystalline cellulose, polyethylene glycol, polyvinyl alcohol, pregelatinized starch, sodium starch glycolate, talc, and titanium dioxide.
DIFICID for oral suspension
  • Active ingredient: fidaxomicin.
  • Inactive ingredients: citric acid, microcrystalline cellulose, mixed berry flavor, sodium benzoate, sodium citrate, sodium starch glycolate, sucralose, and xanthan gum.
1.2 Usage

To reduce the development of drug-resistant bacteria and maintain the effectiveness of DIFICID and other antibacterial drugs, DIFICID should be used only to treat infections that are proven or strongly suspected to be caused by C. difficile. When culture and susceptibility information are available, they should be considered in selecting or modifying antibacterial therapy. In the absence of such data, local epidemiology and susceptibility patterns may contribute to the empiric selection of therapy.

10 Overdosage

No cases of acute overdose have been reported in humans. No drug-related adverse effects were seen in dogs dosed with fidaxomicin tablets at 9600 mg/day (over 100 times the human dose, scaled by weight) for 3 months.

11 Description

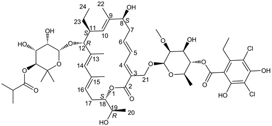
DIFICID (fidaxomicin) is a macrolide antibacterial drug for oral administration. Its CAS chemical name is Oxacyclooctadeca-3,5,9,13,15-pentaen-2-one, 3-[[[6-deoxy-4-O-(3,5-dichloro-2-ethyl-4,6-dihydroxybenzoyl)-2-O-methyl-β-D-mannopyranosyl]oxy]methyl]-12-[[6-deoxy-5-C-methyl-4-O-(2-methyl-1-oxopropyl)-β-D-lyxo-hexopyranosyl]oxy]-11-ethyl-8-hydroxy-18-[(1R)-1-hydroxyethyl]-9,13,15-trimethyl-, (3E,5E,8S,9E,11S,12R,13E,15E,18S)-. The structural formula of fidaxomicin is shown in Figure 1.

Figure 1: Structural Formula of Fidaxomicin

DIFICID tablets are film-coated and contain 200 mg of fidaxomicin per tablet and the following inactive ingredients: butylated hydroxytoluene, hydroxypropyl cellulose, lecithin (soy), magnesium stearate, microcrystalline cellulose, polyethylene glycol, polyvinyl alcohol, pregelatinized starch, sodium starch glycolate, talc, and titanium dioxide.

DIFICID for oral suspension is supplied as granules in bottles containing 5.45 g of fidaxomicin (40 mg of fidaxomicin per mL after reconstitution) and the following inactive ingredients: citric acid, microcrystalline cellulose, mixed berry flavor, sodium benzoate, sodium citrate, sodium starch glycolate, sucralose, and xanthan gum.

7.1 Cyclosporine

Cyclosporine is an inhibitor of multiple transporters, including P-gp. When cyclosporine was co-administered with DIFICID, plasma concentrations of fidaxomicin and OP-1118 were significantly increased but remained in the ng/mL range [see Clinical Pharmacology (12.3)]. Concentrations of fidaxomicin and OP-1118 may also be decreased at the site of action (i.e., gastrointestinal tract) via P-gp inhibition; however, concomitant P-gp inhibitor use had no attributable effect on safety or treatment outcome of fidaxomicin-treated adult patients in controlled clinical trials. Based on these results, fidaxomicin may be co-administered with P-gp inhibitors and no dose adjustment is recommended.

8.4 Pediatric Use

The safety and effectiveness of DIFICID for the treatment of CDAD have been established in pediatric patients 6 months to less than 18 years of age. Use of DIFICID in these age groups is supported by evidence from adequate and well-controlled trials of DIFICID in adults with CDAD and pharmacokinetic, safety and efficacy data from pediatric trials [see Clinical Pharmacology (12.3), Clinical Studies (14.2)]. No new safety signals associated with the use of DIFICID in pediatric patients were identified in the pediatric trials [see Adverse Reactions (6.1)].

The safety and effectiveness of DIFICID have not been established in pediatric patients younger than 6 months of age.

8.5 Geriatric Use

Of the total number of patients in controlled trials of DIFICID, 50% were 65 years of age and over, while 31% were 75 and over. No overall differences in safety or effectiveness of DIFICID compared to vancomycin were observed between these subjects and younger subjects.

In controlled trials, elderly patients (≥65 years of age) had higher plasma concentrations of fidaxomicin and its main metabolite, OP-1118, versus non-elderly patients (<65 years of age) [see Clinical Pharmacology (12.3)]. However, greater exposures in elderly patients were not considered to be clinically significant. No dose adjustment is recommended for elderly patients.

2.2 Adult Patients

The recommended dosage for adults is one 200 mg DIFICID tablet orally twice daily for 10 days.

4 Contraindications

DIFICID is contraindicated in patients who have known hypersensitivity to fidaxomicin or any other ingredient in DIFICID [see Warnings and Precautions (5.1)].

6 Adverse Reactions

The most common adverse reactions in adults (incidence ≥2%) are nausea, vomiting, abdominal pain, gastrointestinal hemorrhage, anemia, and neutropenia. (6)

The most common adverse reactions in pediatric patients (incidence ≥5%) treated with DIFICID are pyrexia, abdominal pain, vomiting, diarrhea, constipation, increased aminotransferases, and rash. (6)



To report SUSPECTED ADVERSE REACTIONS, contact Merck Sharp & Dohme LLC at 1-877-888-4231 or FDA at 1-800-FDA-1088 or www.fda.gov/medwatch  .

7 Drug Interactions

Fidaxomicin and its main metabolite, OP-1118, are substrates of the efflux transporter, P-glycoprotein (P-gp), which is expressed in the gastrointestinal tract.

12.2 Pharmacodynamics

Fidaxomicin acts locally in the gastrointestinal tract on C. difficile. In a dose-ranging trial (N=48) of fidaxomicin using 50 mg, 100 mg, and 200 mg twice daily for 10 days, a dose-response relationship was observed for efficacy.

12.3 Pharmacokinetics

The pharmacokinetic parameters of fidaxomicin and its main metabolite OP-1118 following a single dose of 200 mg in healthy adult males (N=14) are summarized in Table 4.

Table 4: Mean (± Standard Deviation) Pharmacokinetic Parameters of Fidaxomicin 200 mg in Healthy Adult Males
Parameter Fidaxomicin OP-1118
N Value N Value
Cmax (ng/mL) 14 5.20 ± 2.81 14 12.0 ± 6.06
Tmax (h)
Tmax, reported as median (range).

Cmax, maximum observed concentration; Tmax, time to maximum observed concentration; AUC0-t, area under the concentration-time curve from time 0 to the last measured concentration; AUC0-∞, area under the concentration-time curve from time 0 to infinity; t1/2, elimination half-life
14 2.00 (1.00-5.00) 14 1.02 (1.00-5.00)
AUC0-t (ng-h/mL) 14 48.3 ± 18.4 14 103 ± 39.4
AUC0-∞ (ng-h/mL) 9 62.9 ± 19.5 10 118 ± 43.3
t1/2 (h) 9 11.7 ± 4.80 10 11.2 ± 3.01
1 Indications and Usage

DIFICID is a macrolide antibacterial indicated in adult and pediatric patients 6 months of age and older for the treatment of C. difficile-associated diarrhea. (1.1)

To reduce the development of drug-resistant bacteria and maintain the effectiveness of DIFICID and other antibacterial drugs, DIFICID should be used only to treat infections that are proven or strongly suspected to be caused by C. difficile. (1.2)

12.1 Mechanism of Action

Fidaxomicin is an antibacterial drug [see Microbiology (12.4)].

5 Warnings and Precautions
  • Acute hypersensitivity reactions (angioedema, dyspnea, pruritus, and rash) have been reported. If a severe hypersensitivity reaction occurs, discontinue DIFICID. (5.1)
  • DIFICID is not expected to be effective for the treatment of other types of infections due to minimal systemic absorption of fidaxomicin. DIFICID should only be used for the treatment of C. difficile-associated diarrhea. (5.2)
  • Development of drug-resistant bacteria: Only use DIFICID for infection proven or strongly suspected to be caused by C. difficile. (5.3)
2 Dosage and Administration
  • DIFICID is administered orally with or without food. (2.1)
  • Adults
    • One 200 mg tablet orally twice daily for 10 days. (2.2)
  • Pediatrics (6 Months to Less than 18 Years of Age)
  • Tablets
    • Pediatric patients weighing at least 12.5 kg and able to swallow tablets: One 200 mg tablet orally twice daily for 10 days. (2.3)
  • Oral Suspension
    • Pediatric patients weighing at least 4 kg: Weight-based dosing of the oral suspension twice daily for 10 days using an oral dosing syringe, as specified in Table 1 in the full prescribing information. (2.3)
    • For instructions on preparation and administration of DIFICID oral suspension, see full prescribing information. (2.4)
1.1 Clostridioides Difficile

DIFICID® is indicated in adult and pediatric patients aged 6 months and older for the treatment of C. difficile-associated diarrhea (CDAD).

3 Dosage Forms and Strengths
  • Film-coated tablets: 200 mg (3)
  • For oral suspension: 40 mg/mL (200 mg/5 mL) when reconstituted (3)
6.2 Post Marketing Experience

The following adverse reactions have been identified during post-approval use of DIFICID. Because these reactions are reported voluntarily from a population of uncertain size, it is not always possible to reliably estimate their frequency or establish a causal relationship to drug exposure.

Hypersensitivity reactions (dyspnea, angioedema, rash, pruritus)

8 Use in Specific Populations

Pediatrics: The safety and effectiveness of DIFICID have not been established in pediatric patients younger than 6 months of age. (8.4)

5.1 Hypersensitivity Reactions

Acute hypersensitivity reactions, including dyspnea, rash, pruritus, and angioedema of the mouth, throat, and face have been reported with DIFICID. If a severe hypersensitivity reaction occurs, DIFICID should be discontinued and appropriate therapy should be instituted.

Some patients with hypersensitivity reactions to DIFICID also reported a history of allergy to other macrolides. Physicians prescribing DIFICID to patients with a known macrolide allergy should be aware of the possibility of hypersensitivity reactions.

6.1 Clinical Trials Experience

Because clinical trials are conducted under widely varying conditions, adverse reaction rates observed in the clinical trials of a drug cannot be directly compared to rates in the clinical trials of another drug and may not reflect the rates observed in practice.

17 Patient Counseling Information

Advise the patient to read the FDA-approved patient labeling (Patient Information).

2.1 Important Administration Instructions

DIFICID is available for oral administration as 200 mg tablets and as granules for oral suspension (40 mg/mL (200 mg/5 mL) when reconstituted). DIFICID is administered orally with or without food.

5.3 Development of Drug Resistant Bacteria

Prescribing DIFICID in the absence of proven or strongly suspected C. difficile infection is unlikely to provide benefit to the patient and increases the risk of the development of drug-resistant bacteria.

5.2 Not for Use in Infections Other Than C. Difficile

DIFICID is not expected to be effective for the treatment of other types of infections due to minimal systemic absorption of fidaxomicin [see Clinical Pharmacology (12.3)]. DIFICID has not been studied for the treatment of infections other than CDAD. DIFICID should only be used for the treatment of CDAD.

Principal Display Panel 200 Mg Tablet Bottle Carton

NDC 52015-080-01        20 tablets

DIFICID®

(fidaxomicin) tablets

200 mg per tablet

Rx only

Principal Display Panel 40 Mg/ml Bottle Pouch Carton

NDC 52015-700-22

DIFICID®

(fidaxomicin) for oral suspension

40 mg/mL

MUST BE RECONSTITUTED BY A PHARMACIST

BEFORE DISPENSING

See enclosed package insert for preparation instructions.

For pediatric use

For oral administration only

Each mL contains 40 mg fidaxomicin after reconstitution

with 130 mL purified water. (136 mL total volume

after reconstitution)

Mixed berry flavored         Rx only

13.1 Carcinogenesis, Mutagenesis, Impairment of Fertility

Long-term carcinogenicity studies have not been conducted to evaluate the carcinogenic potential of fidaxomicin.

Neither fidaxomicin nor OP-1118 was mutagenic in the Ames assay. Fidaxomicin was also negative in the rat micronucleus assay. However, fidaxomicin was clastogenic in Chinese hamster ovary cells.

Fidaxomicin did not affect the fertility of male and female rats at intravenous doses of 6.3 mg/kg. The exposure (AUC0-t) was approximately 100 times that in humans.

14.1 Clinical Studies of Dificid in Adult Patients With Cdad

In two randomized, double-blinded trials, a non-inferiority design was utilized to demonstrate the efficacy of DIFICID (200 mg tablets twice daily for 10 days) compared to vancomycin (125 mg four times daily for 10 days) in adults with CDAD.

Enrolled patients were 18 years of age or older and received no more than 24 hours of pretreatment with vancomycin or metronidazole. CDAD was defined by >3 unformed bowel movements (or >200 mL of unformed stool for subjects having rectal collection devices) in the 24 hours before randomization, and presence of either C. difficile toxin A or B in the stool within 48 hours of randomization. Enrolled patients had either no prior CDAD history or only one prior CDAD episode in the past three months. Subjects with life-threatening/fulminant infection, hypotension, septic shock, peritoneal signs, significant dehydration, or toxic megacolon were excluded.

The demographic profile and baseline CDAD characteristics of enrolled subjects were similar in the two trials. Patients had a median age of 64 years, were mainly white (90%), female (58%), and inpatients (63%). The median number of bowel movements per day was 6, and 37% of subjects had severe CDAD (defined as 10 or more unformed bowel movements per day or WBC ≥15000/mm3). Diarrhea alone was reported in 45% of patients and 84% of subjects had no prior CDAD episode.

The primary efficacy endpoint was the clinical response rate at the end of treatment, based upon improvement in diarrhea or other symptoms such that, in the investigator's judgment, further CDAD treatment was not needed. An additional efficacy endpoint was sustained clinical response 25 days after the end of treatment. Sustained response was evaluated only for patients who were clinical successes at the end of treatment. Sustained response was defined as clinical response at the end of treatment, and survival without proven or suspected CDAD recurrence through 25 days beyond the end of treatment.

The results for clinical response at the end of treatment in both trials, shown in Table 6, indicate that DIFICID is non-inferior to vancomycin based on the 95% confidence interval (CI) lower limit being greater than the non-inferiority margin of -10%.

The results for sustained clinical response at the end of the follow-up period, also shown in Table 6, indicate that DIFICID is superior to vancomycin on this endpoint. Since clinical success at the end of treatment and mortality rates were similar across treatment arms (approximately 6% in each group), differences in sustained clinical response were due to lower rates of proven or suspected CDAD during the follow-up period in DIFICID patients.

Table 6: Clinical Response Rates at End-of-Treatment and Sustained Response at 25 days Post-Treatment in Adult Patients
Clinical Response at End of Treatment Sustained Response at 25 days Post-Treatment
DIFICID

% (N)
Vancomycin

% (N)
Difference

(95% CI)
Confidence interval (CI) was derived using Wilson's score method. Approximately 5%-9% of the data in each trial and treatment arm were missing sustained response information and were imputed using multiple imputation method.
DIFICID

% (N)
Vancomycin

% (N)
Difference

(95% CI)
Trial 1 88%

(N=289)
86%

(N=307)
2.6%

(-2.9%, 8.0%)
70%

(N=289)
57%

(N=307)
12.7%

(4.4%, 20.9%)
Trial 2 88%

(N=253)
87%

(N=256)
1.0%

(-4.8%, 6.8%)
72%

(N=253)
57%

(N=256)
14.6%

(5.8%, 23.3%)

Restriction Endonuclease Analysis (REA) was used to identify C. difficile baseline isolates in the BI group, isolates associated with increasing rates and severity of CDAD in the US in the years prior to the clinical trials. Similar rates of clinical response at the end of treatment and proven or suspected CDAD during the follow-up period were seen in fidaxomicin-treated and vancomycin-treated patients infected with a BI isolate. However, DIFICID did not demonstrate superiority in sustained clinical response when compared with vancomycin (Table 7).

Table 7: Sustained Clinical Response at 25 Days after Treatment by C. difficile REA Group at Baseline in Adult Patients
Trial 1
Initial C. difficile Group DIFICID

n/N (%)
Vancomycin

n/N (%)
Difference

(95% CI)
Interaction test between the effect on sustained response rate and BI versus non-BI isolates using logistic regression (p-values: trial 1: 0.009; trial 2: 0.29). Approximately 25% of the mITT population were missing data for REA group. Confidence intervals (CI) were derived using Wilson's score method.
BI Isolates 44/76 (58%) 52/82 (63%) -5.5% (-20.3%, 9.5%)
Non-BI Isolates 105/126 (83%) 87/131 (66%) 16.9% (6.3%, 27.0%)
Trial 2
Initial C. difficile Group DIFICID

n/N (%)
Vancomycin

n/N (%)
Difference

(95% CI)
BI Isolates 42/65 (65%) 31/60 (52%) 12.9% (-4.2%, 29.2%)
Non-BI Isolates 109/131 (83%) 77/121 (64%) 19.6% (8.7%, 30.0%)
14.2 Clinical Studies of Dificid in Pediatric Patients With Cdad

The safety and efficacy of DIFICID in pediatric patients 6 months to less than 18 years of age was investigated in a Phase 3, multicenter, investigator-blinded, randomized, comparative trial (NCT02218372). In this trial, 148 patients were randomized, of whom 142 received either DIFICID or vancomycin in a 2:1 ratio. Randomized patients were stratified by age group as follows: 30 aged 6 months to <2 years, 49 aged 2 to <6 years, 40 aged 6 to <12 years, and 29 aged 12 to <18 years (one patient <6 months of age was enrolled in the trial). Treatment arms were balanced regarding demographics and other baseline characteristics.

Clinical response for patients <2 years of age was defined as the absence of watery stools for at least 2 consecutive days while on treatment and the patient remained well with no requirement for further CDAD therapy through 2 days after completing treatment as assessed by the Investigator. Clinical response for patients ≥2 to <18 years of age was defined as <3 unformed bowel movements for at least 2 consecutive days while on treatment and the patient remained well with no requirement for further CDAD therapy through 2 days after completing treatment as assessed by the Investigator. Sustained clinical response was defined as the proportion of treated patients with confirmed clinical response and no CDAD recurrence through 30 days after end of treatment. The clinical response and sustained clinical response overall and by age groups are presented in Table 8.

Table 8: Clinical Response and Sustained Response Overall and by Age Group in Pediatric Patients
Clinical Response Sustained Response at 30 days Post-Treatment
DIFICID

n/N (%)
Vancomycin

n/N (%)
Difference

(95% CI)
DIFICID

n/N (%)
Vancomycin

n/N (%)
Difference

(95% CI)
Overall 76/98 (77.6) 31/44 (70.5) 7.5

(-7.4, 23.9)
67/98 (68.4) 22/44 (50.0) 18.4

(1.5, 35.3)
<2 years 13/20 (65.0) 9/10 (90.0) 11/20 (55.0) 7/10 (70.0)
≥2 to <6 years 25/32 (78.1) 12/16 (75.0) 21/32 (65.6) 8/16 (50.0)
≥6 to <12 years 23/26 (88.5) 5/10 (50.0) 22/26 (84.6) 4/10 (40.0)
≥12 to <18 years 15/20 (75.0) 5/8 (62.5) 13/20 (65.0) 3/8 (37.5)

Structured Label Content

Section 42229-5 (42229-5)

Tablets

The recommended dosage for pediatric patients weighing at least 12.5 kg and able to swallow tablets is one 200 mg DIFICID tablet administered orally twice daily for 10 days. If unable to swallow tablets, pediatric patients may be dosed with DIFICID oral suspension as recommended in Table 1 below.

Section 42230-3 (42230-3)
Patient Information

DIFICID®
(dih-fih-sid)

(fidaxomicin)

tablets, for oral use

DIFICID® (dih-fih-sid)

(fidaxomicin)

for oral suspension
 
What You Need to Know About Your Medicine
  • Before you take DIFICID, be sure you understand what it is for and how to take it.
  • If you have questions about DIFICID, ask your doctor or pharmacist.
  • Remember that your doctor has prescribed DIFICID only for you. Never give this medicine to anyone else.
  • Keep this Patient Information for DIFICID so you can read it again.
What is DIFICID?
DIFICID is an antibiotic medicine used to treat an infection called Clostridioides difficile-associated diarrhea (CDAD) in adults and children 6 months of age and older. Clostridioides difficile (C-diff) is a bacterium that can cause an infection that can damage your colon and cause stomach pain and severe diarrhea.
  • DIFICID is not to be used to treat other types of infections in the body.
  • Sometimes infections are caused by viruses rather than bacteria. Antibiotic medicines, including DIFICID, do not kill viruses.
It is not known if DIFICID is safe and effective in children under 6 months old.
Who should not take DIFICID?
Do not take DIFICID if you are allergic to fidaxomicin, or any other ingredient in DIFICID. See the end of this Patient Information for a complete list of ingredients in DIFICID.
What should I tell my doctor before taking DIFICID?
Pregnancy
  • If you are pregnant or plan to become pregnant, tell your doctor before you take DIFICID.
  • It is not known if DIFICID will harm your baby while you are pregnant.
  • If you are pregnant, you and your doctor should decide together if you will take DIFICID.
Breastfeeding
  • If you are breastfeeding or plan to breastfeed, tell your doctor before you take DIFICID.
  • It is not known if DIFICID passes into breast milk.
  • If you are breastfeeding, you and your doctor should decide together if you will take DIFICID.
Other Medicines
  • Tell your doctor about all of the medicines you take, including prescription and over-the-counter medicines, vitamins, and herbal and dietary supplements.
  • Know the medicines you take. Keep a list of your medicines to show your doctor and pharmacist when you get a new medicine.
Allergic Reactions
  • See " Who should not take DIFICID? "
  • If you are allergic to other kinds of antibiotics called macrolides (for example: azithromycin (Zithromax) or clarithromycin (Biaxin)) or any other ingredient in DIFICID, tell your doctor.

    See the end of this Patient Information for a complete list of ingredients in DIFICID.
How do I take DIFICID?
  • Take DIFICID tablets or oral suspension exactly as prescribed by your doctor.
  • Take DIFICID twice a day (approximately every 12 hours). For example, if you take your first dose at 8:00 a.m. you should take your second dose at 8:00 p.m.
  • You can take DIFICID with or without food.
  • If DIFICID oral suspension is prescribed for your child:
    • DIFICID oral suspension is a liquid that your pharmacist will mix before it is given to you.
    • Store DIFICID oral suspension in the refrigerator (see " How should I store DIFICID? ").
    • Take the bottle out of the refrigerator 15 minutes before giving the dose to your child.
    • Shake the bottle well before each dose. DIFICID oral suspension should be white to yellowish white.
    • Remove the cap and measure the dose with the oral dosing syringe provided by your pharmacist.
    • Give the dose by mouth to your child using the oral dosing syringe.
    • Put the cap back on the bottle and store in the refrigerator after each dose.
  • Do not skip any doses or stop taking DIFICID until you finish your prescribed treatment, even if you begin to feel better, unless you have a serious allergic reaction (see " What are the possible side effects of DIFICID? ").

    This will lower the chance that the bacteria will become resistant to DIFICID. If this happens, DIFICID and other antibiotic medicines may not work in the future.
What are the possible side effects of DIFICID?
DIFICID can cause serious side effects, including:
  • Allergic reaction. If you get a severe allergic reaction while taking DIFICID, including problems breathing or shortness of breath, rash, itching or hives, or swelling of the mouth, throat, or face, stop taking DIFICID and get emergency medical help right away.
Common side effects of DIFICID include:

The most common side effects of DIFICID in adults include:
  • nausea
  • vomiting
  • stomach pain
  • bleeding in the stomach or intestines
  • low red blood cell count (anemia)
  • low white blood cell count (neutropenia)
The most common side effects of DIFICID in children include:
  • fever
  • vomiting
  • diarrhea
  • stomach pain
  • constipation
  • rash
  • high levels of enzymes called aminotransferases in the blood, which may indicate liver damage
Other less common side effects of DIFICID may include:
  • swelling of any body part (such as your face, lips, tongue or around your eyes)
  • itching
  • hives
  • bloating
  • stomach tenderness
  • heartburn
  • problems swallowing
  • high blood sugar (hyperglycemia)
  • abnormal liver tests
  • low levels of blood bicarbonate
  • passing gas
  • intestinal blockage
  • serious bowel inflammation (toxic megacolon)
  • low platelet count (important for clotting and to control bleeding)
  • high levels of acid in your blood (metabolic acidosis)
If you have any side effect that bothers you or does not go away, tell your doctor.
There may be other side effects to DIFICID that are not listed. Call your doctor for medical advice about side effects. You may report side effects to FDA at 1-800-FDA-1088.
How should I store DIFICID?
DIFICID tablets
  • Store DIFICID tablets at room temperature between 68°F to 77°F (20°C to 25°C).
  • Keep DIFICID in its original bottle until you are ready to take it.
DIFICID for oral suspension
  • Store DIFICID oral suspension in the refrigerator between 36°F to 46°F (2°C to 8°C) for up to 12 days. Throw away (discard) any unused DIFICID oral suspension by the date written on the bottle.
  • Keep DIFICID in its original child-resistant bottle with the cap on until you are ready to give it to your child.
Keep DIFICID and all medicines out of the reach of children.
General information about the safe and effective use of DIFICID.
Medicines are sometimes prescribed for purposes other than those listed in the Patient Information. Do not take DIFICID for a condition for which it was not prescribed. Do not give DIFICID to other people, even if they have the same symptoms that you have. It may harm them. You can ask your pharmacist or doctor for information about DIFICID that is written for health professionals.
What if I have questions?
  • Call your doctor.
  • Call the company that makes DIFICID at 1-800-444-2080.
  • Go to the website – www.DIFICID.com  .
  • You can also find the full prescribing information written for doctors at www.DIFICID.com
What are the ingredients in DIFICID?
DIFICID tablets
  • Active ingredient: fidaxomicin.
  • Inactive ingredients: butylated hydroxytoluene, hydroxypropyl cellulose, lecithin (soy), magnesium stearate, microcrystalline cellulose, polyethylene glycol, polyvinyl alcohol, pregelatinized starch, sodium starch glycolate, talc, and titanium dioxide.
DIFICID for oral suspension
  • Active ingredient: fidaxomicin.
  • Inactive ingredients: citric acid, microcrystalline cellulose, mixed berry flavor, sodium benzoate, sodium citrate, sodium starch glycolate, sucralose, and xanthan gum.
1.2 Usage

To reduce the development of drug-resistant bacteria and maintain the effectiveness of DIFICID and other antibacterial drugs, DIFICID should be used only to treat infections that are proven or strongly suspected to be caused by C. difficile. When culture and susceptibility information are available, they should be considered in selecting or modifying antibacterial therapy. In the absence of such data, local epidemiology and susceptibility patterns may contribute to the empiric selection of therapy.

10 Overdosage (10 OVERDOSAGE)

No cases of acute overdose have been reported in humans. No drug-related adverse effects were seen in dogs dosed with fidaxomicin tablets at 9600 mg/day (over 100 times the human dose, scaled by weight) for 3 months.

11 Description (11 DESCRIPTION)

DIFICID (fidaxomicin) is a macrolide antibacterial drug for oral administration. Its CAS chemical name is Oxacyclooctadeca-3,5,9,13,15-pentaen-2-one, 3-[[[6-deoxy-4-O-(3,5-dichloro-2-ethyl-4,6-dihydroxybenzoyl)-2-O-methyl-β-D-mannopyranosyl]oxy]methyl]-12-[[6-deoxy-5-C-methyl-4-O-(2-methyl-1-oxopropyl)-β-D-lyxo-hexopyranosyl]oxy]-11-ethyl-8-hydroxy-18-[(1R)-1-hydroxyethyl]-9,13,15-trimethyl-, (3E,5E,8S,9E,11S,12R,13E,15E,18S)-. The structural formula of fidaxomicin is shown in Figure 1.

Figure 1: Structural Formula of Fidaxomicin

DIFICID tablets are film-coated and contain 200 mg of fidaxomicin per tablet and the following inactive ingredients: butylated hydroxytoluene, hydroxypropyl cellulose, lecithin (soy), magnesium stearate, microcrystalline cellulose, polyethylene glycol, polyvinyl alcohol, pregelatinized starch, sodium starch glycolate, talc, and titanium dioxide.

DIFICID for oral suspension is supplied as granules in bottles containing 5.45 g of fidaxomicin (40 mg of fidaxomicin per mL after reconstitution) and the following inactive ingredients: citric acid, microcrystalline cellulose, mixed berry flavor, sodium benzoate, sodium citrate, sodium starch glycolate, sucralose, and xanthan gum.

7.1 Cyclosporine

Cyclosporine is an inhibitor of multiple transporters, including P-gp. When cyclosporine was co-administered with DIFICID, plasma concentrations of fidaxomicin and OP-1118 were significantly increased but remained in the ng/mL range [see Clinical Pharmacology (12.3)]. Concentrations of fidaxomicin and OP-1118 may also be decreased at the site of action (i.e., gastrointestinal tract) via P-gp inhibition; however, concomitant P-gp inhibitor use had no attributable effect on safety or treatment outcome of fidaxomicin-treated adult patients in controlled clinical trials. Based on these results, fidaxomicin may be co-administered with P-gp inhibitors and no dose adjustment is recommended.

8.4 Pediatric Use

The safety and effectiveness of DIFICID for the treatment of CDAD have been established in pediatric patients 6 months to less than 18 years of age. Use of DIFICID in these age groups is supported by evidence from adequate and well-controlled trials of DIFICID in adults with CDAD and pharmacokinetic, safety and efficacy data from pediatric trials [see Clinical Pharmacology (12.3), Clinical Studies (14.2)]. No new safety signals associated with the use of DIFICID in pediatric patients were identified in the pediatric trials [see Adverse Reactions (6.1)].

The safety and effectiveness of DIFICID have not been established in pediatric patients younger than 6 months of age.

8.5 Geriatric Use

Of the total number of patients in controlled trials of DIFICID, 50% were 65 years of age and over, while 31% were 75 and over. No overall differences in safety or effectiveness of DIFICID compared to vancomycin were observed between these subjects and younger subjects.

In controlled trials, elderly patients (≥65 years of age) had higher plasma concentrations of fidaxomicin and its main metabolite, OP-1118, versus non-elderly patients (<65 years of age) [see Clinical Pharmacology (12.3)]. However, greater exposures in elderly patients were not considered to be clinically significant. No dose adjustment is recommended for elderly patients.

2.2 Adult Patients

The recommended dosage for adults is one 200 mg DIFICID tablet orally twice daily for 10 days.

4 Contraindications (4 CONTRAINDICATIONS)

DIFICID is contraindicated in patients who have known hypersensitivity to fidaxomicin or any other ingredient in DIFICID [see Warnings and Precautions (5.1)].

6 Adverse Reactions (6 ADVERSE REACTIONS)

The most common adverse reactions in adults (incidence ≥2%) are nausea, vomiting, abdominal pain, gastrointestinal hemorrhage, anemia, and neutropenia. (6)

The most common adverse reactions in pediatric patients (incidence ≥5%) treated with DIFICID are pyrexia, abdominal pain, vomiting, diarrhea, constipation, increased aminotransferases, and rash. (6)



To report SUSPECTED ADVERSE REACTIONS, contact Merck Sharp & Dohme LLC at 1-877-888-4231 or FDA at 1-800-FDA-1088 or www.fda.gov/medwatch  .

7 Drug Interactions (7 DRUG INTERACTIONS)

Fidaxomicin and its main metabolite, OP-1118, are substrates of the efflux transporter, P-glycoprotein (P-gp), which is expressed in the gastrointestinal tract.

12.2 Pharmacodynamics

Fidaxomicin acts locally in the gastrointestinal tract on C. difficile. In a dose-ranging trial (N=48) of fidaxomicin using 50 mg, 100 mg, and 200 mg twice daily for 10 days, a dose-response relationship was observed for efficacy.

12.3 Pharmacokinetics

The pharmacokinetic parameters of fidaxomicin and its main metabolite OP-1118 following a single dose of 200 mg in healthy adult males (N=14) are summarized in Table 4.

Table 4: Mean (± Standard Deviation) Pharmacokinetic Parameters of Fidaxomicin 200 mg in Healthy Adult Males
Parameter Fidaxomicin OP-1118
N Value N Value
Cmax (ng/mL) 14 5.20 ± 2.81 14 12.0 ± 6.06
Tmax (h)
Tmax, reported as median (range).

Cmax, maximum observed concentration; Tmax, time to maximum observed concentration; AUC0-t, area under the concentration-time curve from time 0 to the last measured concentration; AUC0-∞, area under the concentration-time curve from time 0 to infinity; t1/2, elimination half-life
14 2.00 (1.00-5.00) 14 1.02 (1.00-5.00)
AUC0-t (ng-h/mL) 14 48.3 ± 18.4 14 103 ± 39.4
AUC0-∞ (ng-h/mL) 9 62.9 ± 19.5 10 118 ± 43.3
t1/2 (h) 9 11.7 ± 4.80 10 11.2 ± 3.01
1 Indications and Usage (1 INDICATIONS AND USAGE)

DIFICID is a macrolide antibacterial indicated in adult and pediatric patients 6 months of age and older for the treatment of C. difficile-associated diarrhea. (1.1)

To reduce the development of drug-resistant bacteria and maintain the effectiveness of DIFICID and other antibacterial drugs, DIFICID should be used only to treat infections that are proven or strongly suspected to be caused by C. difficile. (1.2)

12.1 Mechanism of Action

Fidaxomicin is an antibacterial drug [see Microbiology (12.4)].

5 Warnings and Precautions (5 WARNINGS AND PRECAUTIONS)
  • Acute hypersensitivity reactions (angioedema, dyspnea, pruritus, and rash) have been reported. If a severe hypersensitivity reaction occurs, discontinue DIFICID. (5.1)
  • DIFICID is not expected to be effective for the treatment of other types of infections due to minimal systemic absorption of fidaxomicin. DIFICID should only be used for the treatment of C. difficile-associated diarrhea. (5.2)
  • Development of drug-resistant bacteria: Only use DIFICID for infection proven or strongly suspected to be caused by C. difficile. (5.3)
2 Dosage and Administration (2 DOSAGE AND ADMINISTRATION)
  • DIFICID is administered orally with or without food. (2.1)
  • Adults
    • One 200 mg tablet orally twice daily for 10 days. (2.2)
  • Pediatrics (6 Months to Less than 18 Years of Age)
  • Tablets
    • Pediatric patients weighing at least 12.5 kg and able to swallow tablets: One 200 mg tablet orally twice daily for 10 days. (2.3)
  • Oral Suspension
    • Pediatric patients weighing at least 4 kg: Weight-based dosing of the oral suspension twice daily for 10 days using an oral dosing syringe, as specified in Table 1 in the full prescribing information. (2.3)
    • For instructions on preparation and administration of DIFICID oral suspension, see full prescribing information. (2.4)
1.1 Clostridioides Difficile (1.1 Clostridioides difficile)

DIFICID® is indicated in adult and pediatric patients aged 6 months and older for the treatment of C. difficile-associated diarrhea (CDAD).

3 Dosage Forms and Strengths (3 DOSAGE FORMS AND STRENGTHS)
  • Film-coated tablets: 200 mg (3)
  • For oral suspension: 40 mg/mL (200 mg/5 mL) when reconstituted (3)
6.2 Post Marketing Experience

The following adverse reactions have been identified during post-approval use of DIFICID. Because these reactions are reported voluntarily from a population of uncertain size, it is not always possible to reliably estimate their frequency or establish a causal relationship to drug exposure.

Hypersensitivity reactions (dyspnea, angioedema, rash, pruritus)

8 Use in Specific Populations (8 USE IN SPECIFIC POPULATIONS)

Pediatrics: The safety and effectiveness of DIFICID have not been established in pediatric patients younger than 6 months of age. (8.4)

5.1 Hypersensitivity Reactions

Acute hypersensitivity reactions, including dyspnea, rash, pruritus, and angioedema of the mouth, throat, and face have been reported with DIFICID. If a severe hypersensitivity reaction occurs, DIFICID should be discontinued and appropriate therapy should be instituted.

Some patients with hypersensitivity reactions to DIFICID also reported a history of allergy to other macrolides. Physicians prescribing DIFICID to patients with a known macrolide allergy should be aware of the possibility of hypersensitivity reactions.

6.1 Clinical Trials Experience

Because clinical trials are conducted under widely varying conditions, adverse reaction rates observed in the clinical trials of a drug cannot be directly compared to rates in the clinical trials of another drug and may not reflect the rates observed in practice.

17 Patient Counseling Information (17 PATIENT COUNSELING INFORMATION)

Advise the patient to read the FDA-approved patient labeling (Patient Information).

2.1 Important Administration Instructions

DIFICID is available for oral administration as 200 mg tablets and as granules for oral suspension (40 mg/mL (200 mg/5 mL) when reconstituted). DIFICID is administered orally with or without food.

5.3 Development of Drug Resistant Bacteria (5.3 Development of Drug-Resistant Bacteria)

Prescribing DIFICID in the absence of proven or strongly suspected C. difficile infection is unlikely to provide benefit to the patient and increases the risk of the development of drug-resistant bacteria.

5.2 Not for Use in Infections Other Than C. Difficile (5.2 Not for Use in Infections Other than C. difficile)

DIFICID is not expected to be effective for the treatment of other types of infections due to minimal systemic absorption of fidaxomicin [see Clinical Pharmacology (12.3)]. DIFICID has not been studied for the treatment of infections other than CDAD. DIFICID should only be used for the treatment of CDAD.

Principal Display Panel 200 Mg Tablet Bottle Carton (PRINCIPAL DISPLAY PANEL - 200 mg Tablet Bottle Carton)

NDC 52015-080-01        20 tablets

DIFICID®

(fidaxomicin) tablets

200 mg per tablet

Rx only

Principal Display Panel 40 Mg/ml Bottle Pouch Carton (PRINCIPAL DISPLAY PANEL - 40 mg/mL Bottle Pouch Carton)

NDC 52015-700-22

DIFICID®

(fidaxomicin) for oral suspension

40 mg/mL

MUST BE RECONSTITUTED BY A PHARMACIST

BEFORE DISPENSING

See enclosed package insert for preparation instructions.

For pediatric use

For oral administration only

Each mL contains 40 mg fidaxomicin after reconstitution

with 130 mL purified water. (136 mL total volume

after reconstitution)

Mixed berry flavored         Rx only

13.1 Carcinogenesis, Mutagenesis, Impairment of Fertility

Long-term carcinogenicity studies have not been conducted to evaluate the carcinogenic potential of fidaxomicin.

Neither fidaxomicin nor OP-1118 was mutagenic in the Ames assay. Fidaxomicin was also negative in the rat micronucleus assay. However, fidaxomicin was clastogenic in Chinese hamster ovary cells.

Fidaxomicin did not affect the fertility of male and female rats at intravenous doses of 6.3 mg/kg. The exposure (AUC0-t) was approximately 100 times that in humans.

14.1 Clinical Studies of Dificid in Adult Patients With Cdad (14.1 Clinical Studies of DIFICID in Adult Patients with CDAD)

In two randomized, double-blinded trials, a non-inferiority design was utilized to demonstrate the efficacy of DIFICID (200 mg tablets twice daily for 10 days) compared to vancomycin (125 mg four times daily for 10 days) in adults with CDAD.

Enrolled patients were 18 years of age or older and received no more than 24 hours of pretreatment with vancomycin or metronidazole. CDAD was defined by >3 unformed bowel movements (or >200 mL of unformed stool for subjects having rectal collection devices) in the 24 hours before randomization, and presence of either C. difficile toxin A or B in the stool within 48 hours of randomization. Enrolled patients had either no prior CDAD history or only one prior CDAD episode in the past three months. Subjects with life-threatening/fulminant infection, hypotension, septic shock, peritoneal signs, significant dehydration, or toxic megacolon were excluded.

The demographic profile and baseline CDAD characteristics of enrolled subjects were similar in the two trials. Patients had a median age of 64 years, were mainly white (90%), female (58%), and inpatients (63%). The median number of bowel movements per day was 6, and 37% of subjects had severe CDAD (defined as 10 or more unformed bowel movements per day or WBC ≥15000/mm3). Diarrhea alone was reported in 45% of patients and 84% of subjects had no prior CDAD episode.

The primary efficacy endpoint was the clinical response rate at the end of treatment, based upon improvement in diarrhea or other symptoms such that, in the investigator's judgment, further CDAD treatment was not needed. An additional efficacy endpoint was sustained clinical response 25 days after the end of treatment. Sustained response was evaluated only for patients who were clinical successes at the end of treatment. Sustained response was defined as clinical response at the end of treatment, and survival without proven or suspected CDAD recurrence through 25 days beyond the end of treatment.

The results for clinical response at the end of treatment in both trials, shown in Table 6, indicate that DIFICID is non-inferior to vancomycin based on the 95% confidence interval (CI) lower limit being greater than the non-inferiority margin of -10%.

The results for sustained clinical response at the end of the follow-up period, also shown in Table 6, indicate that DIFICID is superior to vancomycin on this endpoint. Since clinical success at the end of treatment and mortality rates were similar across treatment arms (approximately 6% in each group), differences in sustained clinical response were due to lower rates of proven or suspected CDAD during the follow-up period in DIFICID patients.

Table 6: Clinical Response Rates at End-of-Treatment and Sustained Response at 25 days Post-Treatment in Adult Patients
Clinical Response at End of Treatment Sustained Response at 25 days Post-Treatment
DIFICID

% (N)
Vancomycin

% (N)
Difference

(95% CI)
Confidence interval (CI) was derived using Wilson's score method. Approximately 5%-9% of the data in each trial and treatment arm were missing sustained response information and were imputed using multiple imputation method.
DIFICID

% (N)
Vancomycin

% (N)
Difference

(95% CI)
Trial 1 88%

(N=289)
86%

(N=307)
2.6%

(-2.9%, 8.0%)
70%

(N=289)
57%

(N=307)
12.7%

(4.4%, 20.9%)
Trial 2 88%

(N=253)
87%

(N=256)
1.0%

(-4.8%, 6.8%)
72%

(N=253)
57%

(N=256)
14.6%

(5.8%, 23.3%)

Restriction Endonuclease Analysis (REA) was used to identify C. difficile baseline isolates in the BI group, isolates associated with increasing rates and severity of CDAD in the US in the years prior to the clinical trials. Similar rates of clinical response at the end of treatment and proven or suspected CDAD during the follow-up period were seen in fidaxomicin-treated and vancomycin-treated patients infected with a BI isolate. However, DIFICID did not demonstrate superiority in sustained clinical response when compared with vancomycin (Table 7).

Table 7: Sustained Clinical Response at 25 Days after Treatment by C. difficile REA Group at Baseline in Adult Patients
Trial 1
Initial C. difficile Group DIFICID

n/N (%)
Vancomycin

n/N (%)
Difference

(95% CI)
Interaction test between the effect on sustained response rate and BI versus non-BI isolates using logistic regression (p-values: trial 1: 0.009; trial 2: 0.29). Approximately 25% of the mITT population were missing data for REA group. Confidence intervals (CI) were derived using Wilson's score method.
BI Isolates 44/76 (58%) 52/82 (63%) -5.5% (-20.3%, 9.5%)
Non-BI Isolates 105/126 (83%) 87/131 (66%) 16.9% (6.3%, 27.0%)
Trial 2
Initial C. difficile Group DIFICID

n/N (%)
Vancomycin

n/N (%)
Difference

(95% CI)
BI Isolates 42/65 (65%) 31/60 (52%) 12.9% (-4.2%, 29.2%)
Non-BI Isolates 109/131 (83%) 77/121 (64%) 19.6% (8.7%, 30.0%)
14.2 Clinical Studies of Dificid in Pediatric Patients With Cdad (14.2 Clinical Studies of DIFICID in Pediatric Patients with CDAD)

The safety and efficacy of DIFICID in pediatric patients 6 months to less than 18 years of age was investigated in a Phase 3, multicenter, investigator-blinded, randomized, comparative trial (NCT02218372). In this trial, 148 patients were randomized, of whom 142 received either DIFICID or vancomycin in a 2:1 ratio. Randomized patients were stratified by age group as follows: 30 aged 6 months to <2 years, 49 aged 2 to <6 years, 40 aged 6 to <12 years, and 29 aged 12 to <18 years (one patient <6 months of age was enrolled in the trial). Treatment arms were balanced regarding demographics and other baseline characteristics.

Clinical response for patients <2 years of age was defined as the absence of watery stools for at least 2 consecutive days while on treatment and the patient remained well with no requirement for further CDAD therapy through 2 days after completing treatment as assessed by the Investigator. Clinical response for patients ≥2 to <18 years of age was defined as <3 unformed bowel movements for at least 2 consecutive days while on treatment and the patient remained well with no requirement for further CDAD therapy through 2 days after completing treatment as assessed by the Investigator. Sustained clinical response was defined as the proportion of treated patients with confirmed clinical response and no CDAD recurrence through 30 days after end of treatment. The clinical response and sustained clinical response overall and by age groups are presented in Table 8.

Table 8: Clinical Response and Sustained Response Overall and by Age Group in Pediatric Patients
Clinical Response Sustained Response at 30 days Post-Treatment
DIFICID

n/N (%)
Vancomycin

n/N (%)
Difference

(95% CI)
DIFICID

n/N (%)
Vancomycin

n/N (%)
Difference

(95% CI)
Overall 76/98 (77.6) 31/44 (70.5) 7.5

(-7.4, 23.9)
67/98 (68.4) 22/44 (50.0) 18.4

(1.5, 35.3)
<2 years 13/20 (65.0) 9/10 (90.0) 11/20 (55.0) 7/10 (70.0)
≥2 to <6 years 25/32 (78.1) 12/16 (75.0) 21/32 (65.6) 8/16 (50.0)
≥6 to <12 years 23/26 (88.5) 5/10 (50.0) 22/26 (84.6) 4/10 (40.0)
≥12 to <18 years 15/20 (75.0) 5/8 (62.5) 13/20 (65.0) 3/8 (37.5)

Advanced Ingredient Data


Raw Label Data

All Sections (JSON)