These Highlights Do Not Include All The Information Needed To Use Norepinephrine Bitartrate Injection Safely And Effectively. See Full Prescribing Information For Norepinephrine Bitartrate Injection.

These Highlights Do Not Include All The Information Needed To Use Norepinephrine Bitartrate Injection Safely And Effectively. See Full Prescribing Information For Norepinephrine Bitartrate Injection.
SPL v1
SPL
SPL Set ID dd4b7827-2fe9-4427-a40a-60f275611bf4
Route
INTRAVENOUS
Published
Effective Date 2025-12-11
Document Type 34391-3 HUMAN PRESCRIPTION DRUG LABEL

Drug Facts

Composition & Product

Active Ingredients
Norepinephrine (1 mg)
Inactive Ingredients
Sodium Chloride Sodium Metabisulfite Water

Identifiers & Packaging

Marketing Status
ANDA Active Since 2026-02-01

Description

Norepinephrine Bitartrate Injection is indicated to raise blood pressure in adult patients with severe, acute hypotension.

Indications and Usage

Norepinephrine Bitartrate Injection is indicated to raise blood pressure in adult patients with severe, acute hypotension.

Dosage and Administration

Initial dose of 0.25 mL to 0.375 mL (from 8 mcg to 12 mcg of base) per minute, adjust the rate of flow to establish and maintain a low to normal blood pressure (usually 80 mm Hg to 100 mm Hg systolic) sufficient to maintain the circulation of vital organs. ( 2.2 ) The average maintenance dose ranges from 0.0625 mL to 0.125 mL per minute (from 2 mcg to 4 mcg of base). ( 2.2 )

Warnings and Precautions

Tissue Ischemia : Avoid extravasation of Norepinephrine Bitartrate Injection into the tissues, as local necrosis might ensue due to the vasoconstrictive action of the drug. Infuse Norepinephrine Bitartrate Injection into a large vein. To prevent sloughing and necrosis in areas in which extravasation has taken place, the area should be infiltrated as soon as possible with 10 mL to 15 mL of saline solution containing from 5 mg to 10 mg of an adrenergic blocking agent. ( 5.1 ) Hypotension After Abrupt Discontinuation : Sudden cessation of the infusion rate may result in marked hypotension. Reduce the Norepinephrine Bitartrate Injection infusion rate gradually. ( 5.2 ) Cardiac Arrhythmias : Norepinephrine Bitartrate Injection may cause arrhythmias. Monitor cardiac function in patients with underlying heart disease. ( 5.3 ) Allergic Reactions with Sulfite : Norepinephrine Bitartrate Injection contains sodium metabisulfite. Sulfite may cause allergic-type-reactions. ( 5.4 )

Contraindications

None.

Adverse Reactions

The following adverse reactions are described in greater detail in other sections: Tissue Ischemia [see Warnings and Precautions ( 5.1 )] Hypotension [see Warnings and Precautions ( 5.2 )] Cardiac Arrhythmias [see Warnings and Precautions ( 5.3 )] The most common adverse reactions are hypertension and bradycardia. The following adverse reactions can occur: Nervous system disorders: Anxiety, headache Respiratory disorders: Respiratory difficulty, pulmonary edema

Drug Interactions

Monoamine oxidase inhibitors (MAOI) or antidepressants of the triptyline or imipramine types may result in hypertension. ( 7.1 ) Cyclopropane and halothane anesthetics increase cardiac autonomic irritability. ( 7.4 )

Storage and Handling

Norepinephrine Bitartrate Injection, USP, is a sterile, clear colorless to slightly yellow color solution for injection intended for intravenous use. It contains the equivalent of 1 mg of norepinephrine base per 1 mL (4 mg per 4 mL). It is available as 4 mg per 4 mL in single-dose amber glass vials supplied as follows: Norepinephrine Bitartrate Injection, USP NDC (1 mg per mL) Package Factor 83634-307-04 4 mg per 4 mL Single-Dose Vial 10 vials per carton

How Supplied

Norepinephrine Bitartrate Injection, USP, is a sterile, clear colorless to slightly yellow color solution for injection intended for intravenous use. It contains the equivalent of 1 mg of norepinephrine base per 1 mL (4 mg per 4 mL). It is available as 4 mg per 4 mL in single-dose amber glass vials supplied as follows: Norepinephrine Bitartrate Injection, USP NDC (1 mg per mL) Package Factor 83634-307-04 4 mg per 4 mL Single-Dose Vial 10 vials per carton


Medication Information

Warnings and Precautions

Tissue Ischemia : Avoid extravasation of Norepinephrine Bitartrate Injection into the tissues, as local necrosis might ensue due to the vasoconstrictive action of the drug. Infuse Norepinephrine Bitartrate Injection into a large vein. To prevent sloughing and necrosis in areas in which extravasation has taken place, the area should be infiltrated as soon as possible with 10 mL to 15 mL of saline solution containing from 5 mg to 10 mg of an adrenergic blocking agent. ( 5.1 ) Hypotension After Abrupt Discontinuation : Sudden cessation of the infusion rate may result in marked hypotension. Reduce the Norepinephrine Bitartrate Injection infusion rate gradually. ( 5.2 ) Cardiac Arrhythmias : Norepinephrine Bitartrate Injection may cause arrhythmias. Monitor cardiac function in patients with underlying heart disease. ( 5.3 ) Allergic Reactions with Sulfite : Norepinephrine Bitartrate Injection contains sodium metabisulfite. Sulfite may cause allergic-type-reactions. ( 5.4 )

Indications and Usage

Norepinephrine Bitartrate Injection is indicated to raise blood pressure in adult patients with severe, acute hypotension.

Dosage and Administration

Initial dose of 0.25 mL to 0.375 mL (from 8 mcg to 12 mcg of base) per minute, adjust the rate of flow to establish and maintain a low to normal blood pressure (usually 80 mm Hg to 100 mm Hg systolic) sufficient to maintain the circulation of vital organs. ( 2.2 ) The average maintenance dose ranges from 0.0625 mL to 0.125 mL per minute (from 2 mcg to 4 mcg of base). ( 2.2 )

Contraindications

None.

Adverse Reactions

The following adverse reactions are described in greater detail in other sections: Tissue Ischemia [see Warnings and Precautions ( 5.1 )] Hypotension [see Warnings and Precautions ( 5.2 )] Cardiac Arrhythmias [see Warnings and Precautions ( 5.3 )] The most common adverse reactions are hypertension and bradycardia. The following adverse reactions can occur: Nervous system disorders: Anxiety, headache Respiratory disorders: Respiratory difficulty, pulmonary edema

Drug Interactions

Monoamine oxidase inhibitors (MAOI) or antidepressants of the triptyline or imipramine types may result in hypertension. ( 7.1 ) Cyclopropane and halothane anesthetics increase cardiac autonomic irritability. ( 7.4 )

Storage and Handling

Norepinephrine Bitartrate Injection, USP, is a sterile, clear colorless to slightly yellow color solution for injection intended for intravenous use. It contains the equivalent of 1 mg of norepinephrine base per 1 mL (4 mg per 4 mL). It is available as 4 mg per 4 mL in single-dose amber glass vials supplied as follows: Norepinephrine Bitartrate Injection, USP NDC (1 mg per mL) Package Factor 83634-307-04 4 mg per 4 mL Single-Dose Vial 10 vials per carton

How Supplied

Norepinephrine Bitartrate Injection, USP, is a sterile, clear colorless to slightly yellow color solution for injection intended for intravenous use. It contains the equivalent of 1 mg of norepinephrine base per 1 mL (4 mg per 4 mL). It is available as 4 mg per 4 mL in single-dose amber glass vials supplied as follows: Norepinephrine Bitartrate Injection, USP NDC (1 mg per mL) Package Factor 83634-307-04 4 mg per 4 mL Single-Dose Vial 10 vials per carton

Description

Norepinephrine Bitartrate Injection is indicated to raise blood pressure in adult patients with severe, acute hypotension.

Section 42229-5

Correct Hypovolemia

Address hypovolemia before initiation of norepinephrine bitartrate injection therapy. If the patient does not respond to therapy, suspect occult hypovolemia [see Warnings and Precautions (5.1)].

Section 44425-7

Storage Conditions

Store at 20° to 25°C (68° to 77°F); excursions permitted between 15° and 30°C (59° and 86°F). [See USP Controlled Room Temperature.]

Protect from light. Retain in carton until time of use.

Discard unused portion.

Sterile, Nonpyrogenic.

The container closure is not made with natural rubber latex.

Section 51945-4

PACKAGE LABEL - PRINCIPAL DISPLAY PANEL – Vial Label

NDC 83634-307-41

Norepinephrine Bitartrate Injection, USP

4 mg per 4 mL (1 mg per mL)

FOR INTRAVENOUS INFUSION ONLY

Warning: Contains Sulfites

4 mL Single-Dose Vial

Rx only

2.2 Dosage

After an initial dosage of 8 to 12 mcg per minute via intravenous infusion, assess patient response and adjust dosage to maintain desired hemodynamic effect. Monitor blood pressure every two minutes until the desired hemodynamic effect is achieved, and then monitor blood pressure every five minutes for the duration of the infusion.

Typical maintenance intravenous dosage is 2 to 4 mcg per minute.

10 Overdosage

Overdosage with Norepinephrine Bitartrate Injection may result in headache, severe hypertension, reflex bradycardia, marked increase in peripheral resistance, and decreased cardiac output.

In case of overdosage, discontinue Norepinephrine Bitartrate Injection until the condition of the patient stabilizes.

11 Description

Norepinephrine (sometimes referred to as l-arterenol/Levarterenol or l-norepinephrine) is a sympathomimetic amine which differs from epinephrine by the absence of a methyl group on the nitrogen atom.

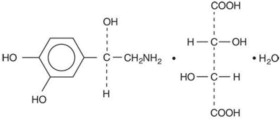
Norepinephrine Bitartrate is (-)-α-(aminomethyl)-3,4-dihydroxybenzyl alcohol tartrate (1:1) (salt) monohydrate (molecular weight 337.3 g/mol) and has the following structural formula:

Norepinephrine Bitartrate Injection, USP is supplied in a sterile aqueous solution in the form of the bitartrate salt to be administered by intravenous infusion. Norepinephrine is freely soluble in water, slightly soluble in alcohol, practically insoluble in chloroform and ether. Each mL contains 1 mg of norepinephrine base (equivalent to 1.89 mg of norepinephrine bitartrate, anhydrous basis), sodium chloride for isotonicity, not more than 0.2 mg (vials) of sodium metabisulfite as an antioxidant. It has a pH of 3.0 to 4.5. The air in the containers has been displaced by nitrogen gas.

7.3 Antidiabetics

Norepinephrine Bitartrate Injection can decrease insulin sensitivity and raise blood glucose. Monitor glucose and consider dosage adjustment of antidiabetic drugs.

8.4 Pediatric Use

Safety and effectiveness in pediatric patients have not been established.

8.5 Geriatric Use

Clinical studies of Norepinephrine Bitartrate Injection did not include sufficient numbers of subjects aged 65 and over to determine whether they respond differently from younger subjects. Other reported clinical experience has not identified differences in responses between the elderly and younger patients. In general, dose selection for an elderly patient should be cautious, usually starting at the low end of the dosing range, reflecting the greater frequency of decreased hepatic, renal, or cardiac function, and of concomitant disease or other drug therapy.

Avoid administration of Norepinephrine Bitartrate Injection into the veins in the leg in elderly patients [see Warnings and Precautions (5.1)].

4 Contraindications

None.

5.1 Tissue Ischemia

Administration of Norepinephrine Bitartrate Injection to patients who are hypotensive from hypovolemia can result in severe peripheral and visceral vasoconstriction, decreased renal perfusion and reduced urine output, tissue hypoxia, lactic acidosis, and reduced systemic blood flow despite “normal” blood pressure. Address hypovolemia prior to initiating Norepinephrine Bitartrate Injection [see Dosage and Administration (2.1)]. Avoid Norepinephrine Bitartrate Injection in patients with mesenteric or peripheral vascular thrombosis, as this may increase ischemia and extend the area of infarction.

Gangrene of the extremities has occurred in patients with occlusive or thrombotic vascular disease or who received prolonged or high dose infusions. Monitor for changes to the skin of the extremities in susceptible patients.

Extravasation of Norepinephrine Bitartrate Injection may cause necrosis and sloughing of surrounding tissue. To reduce the risk of extravasation, infuse into a large vein, check the infusion site frequently for free flow, and monitor for signs of extravasation [see Dosage and Administration (2.1)].

6 Adverse Reactions

The following adverse reactions are described in greater detail in other sections:

  • Tissue Ischemia [see Warnings and Precautions (5.1)]
  • Hypotension [see Warnings and Precautions (5.2)]
  • Cardiac Arrhythmias [see Warnings and Precautions (5.3)]

The most common adverse reactions are hypertension and bradycardia.

The following adverse reactions can occur:

Nervous system disorders: Anxiety, headache

Respiratory disorders: Respiratory difficulty, pulmonary edema

7 Drug Interactions
  • Monoamine oxidase inhibitors (MAOI) or antidepressants of the triptyline or imipramine types may result in hypertension. (7.1)
  • Cyclopropane and halothane anesthetics increase cardiac autonomic irritability. (7.4)
12.2 Pharmacodynamics

The primary pharmacodynamic effects of norepinephrine are cardiac stimulation and vasoconstriction. Cardiac output is generally unaffected, although it can be decreased, and total peripheral resistance is also elevated. The elevation in resistance and pressure result in reflex vagal activity, which slows the heart rate and increases stroke volume. The elevation in vascular tone or resistance reduces blood flow to the major abdominal organs as well as to skeletal muscle. Coronary blood flow is substantially increased secondary to the indirect effects of alpha stimulation. After intravenous administration, a pressor response occurs rapidly and reaches steady state within 5 minutes. The pharmacologic actions of norepinephrine are terminated primarily by uptake and metabolism in sympathetic nerve endings. The pressor action stops within 1 to 2 minutes after the infusion is discontinued.

1 Indications and Usage

Norepinephrine Bitartrate Injection is indicated to raise blood pressure in adult patients with severe, acute hypotension.

5.3 Cardiac Arrhythmias

Norepinephrine Bitartrate Injection elevates intracellular calcium concentrations and may cause arrhythmias, particularly in the setting of hypoxia or hypercarbia. Perform continuous cardiac monitoring of patients with arrhythmias.

12.1 Mechanism of Action

Norepinephrine is a peripheral vasoconstrictor (alpha-adrenergic action) and an inotropic stimulator of the heart and dilator of coronary arteries (beta-adrenergic action).

7.1 Mao Inhibiting Drugs

Co-administration of Norepinephrine Bitartrate Injection with monoamine oxidase (MAO) inhibitors or other drugs with MAO-inhibiting properties (e.g., linezolid) can cause severe, prolonged hypertension.

If administration of Norepinephrine Bitartrate Injection cannot be avoided in patients who recently have received any of these drugs and in whom, after discontinuation, MAO activity has not yet sufficiently recovered, monitor for hypertension.

2.4 Drug Incompatibilities

Avoid contact with iron salts, alkalis, or oxidizing agents.

Whole blood or plasma, if indicated to increase blood volume, should be administered separately.

5 Warnings and Precautions
  • Tissue Ischemia: Avoid extravasation of Norepinephrine Bitartrate Injection into the tissues, as local necrosis might ensue due to the vasoconstrictive action of the drug. Infuse Norepinephrine Bitartrate Injection into a large vein. To prevent sloughing and necrosis in areas in which extravasation has taken place, the area should be infiltrated as soon as possible with 10 mL to 15 mL of saline solution containing from 5 mg to 10 mg of an adrenergic blocking agent. (5.1)
  • Hypotension After Abrupt Discontinuation: Sudden cessation of the infusion rate may result in marked hypotension. Reduce the Norepinephrine Bitartrate Injection infusion rate gradually. (5.2)
  • Cardiac Arrhythmias: Norepinephrine Bitartrate Injection may cause arrhythmias. Monitor cardiac function in patients with underlying heart disease. (5.3)
  • Allergic Reactions with Sulfite: Norepinephrine Bitartrate Injection contains sodium metabisulfite. Sulfite may cause allergic-type-reactions. (5.4)
2 Dosage and Administration
  • Initial dose of 0.25 mL to 0.375 mL (from 8 mcg to 12 mcg of base) per minute, adjust the rate of flow to establish and maintain a low to normal blood pressure (usually 80 mm Hg to 100 mm Hg systolic) sufficient to maintain the circulation of vital organs. (2.2)
  • The average maintenance dose ranges from 0.0625 mL to 0.125 mL per minute (from 2 mcg to 4 mcg of base). (2.2)
7.4 Halogenated Anesthetics

Concomitant use of Norepinephrine Bitartrate Injection with halogenated anesthetics (e.g., cyclopropane, desflurane, enflurane, isoflurane, and sevoflurane) may lead to ventricular tachycardia or ventricular fibrillation. Monitor cardiac rhythm in patients receiving concomitant halogenated anesthetics.

3 Dosage Forms and Strengths

Injection: 4 mg per 4 mL (1 mg per mL norepinephrine base) sterile, clear colorless to slightly yellow color solution in a single-dose amber glass vial.

7.2 Tricyclic Antidepressants

Co-administration of Norepinephrine Bitartrate Injection with tricyclic antidepressants (including amitriptyline, nortriptyline, protriptyline, clomipramine, desipramine, imipramine) can cause severe, prolonged hypertension. If administration of Norepinephrine Bitartrate Injection cannot be avoided in these patients, monitor for hypertension.

8 Use in Specific Populations
  • Elderly patients may be at greater risk of developing adverse reactions. (8.5)
2.3 Preparation of Diluted Solution

Visually inspect norepinephrine bitartrate injection for particulate matter and discoloration prior to administration (the solution is colorless). Do not use the solution if its color is pinkish or darker than slightly yellow or if it contains a precipitate.

Add the content of one norepinephrine bitartrate injection vial (4 mg in 4 mL) to 1,000 mL of 5% Dextrose Injection, USP or Sodium Chloride Injection solutions that contain 5% dextrose to produce a 4 mcg per mL dilution. Dextrose reduces loss of potency due to oxidation. Administration in saline solution alone is not recommended.

Use higher concentration solutions in patients requiring fluid restriction. Prior to use, store the diluted norepinephrine bitartrate injection solution for up to 24 hours at room temperature [20°C to 25°C (68°F to 77°F)] and protect from light.

16 How Supplied/storage and Handling

Norepinephrine Bitartrate Injection, USP, is a sterile, clear colorless to slightly yellow color solution for injection intended for intravenous use. It contains the equivalent of 1 mg of norepinephrine base per 1 mL (4 mg per 4 mL). It is available as 4 mg per 4 mL in single-dose amber glass vials supplied as follows:

Norepinephrine Bitartrate Injection, USP
NDC (1 mg per mL) Package Factor
83634-307-04 4 mg per 4 mL Single-Dose Vial 10 vials per carton
5.2 Hypotension After Abrupt Discontinuation

Sudden cessation of the infusion rate may result in marked hypotension. When discontinuing the infusion, gradually reduce the Norepinephrine Bitartrate Injection infusion rate while expanding blood volume with intravenous fluids.

5.4 Allergic Reactions Associated With Sulfite

Norepinephrine Bitartrate Injection contains sodium metabisulfite, a sulfite that may cause allergic-type reactions including anaphylactic symptoms and life-threatening or less severe asthmatic episodes in certain susceptible people. The overall prevalence of sulfite sensitivity in the general population is unknown. Sulfite sensitivity is seen more frequently in asthmatic than in non-asthmatic people.

13.1 Carcinogenesis, Mutagenesis, Impairment of Fertility

Carcinogenesis, mutagenesis, and fertility studies have not been performed.


Structured Label Content

Section 42229-5 (42229-5)

Correct Hypovolemia

Address hypovolemia before initiation of norepinephrine bitartrate injection therapy. If the patient does not respond to therapy, suspect occult hypovolemia [see Warnings and Precautions (5.1)].

Section 44425-7 (44425-7)

Storage Conditions

Store at 20° to 25°C (68° to 77°F); excursions permitted between 15° and 30°C (59° and 86°F). [See USP Controlled Room Temperature.]

Protect from light. Retain in carton until time of use.

Discard unused portion.

Sterile, Nonpyrogenic.

The container closure is not made with natural rubber latex.

Section 51945-4 (51945-4)

PACKAGE LABEL - PRINCIPAL DISPLAY PANEL – Vial Label

NDC 83634-307-41

Norepinephrine Bitartrate Injection, USP

4 mg per 4 mL (1 mg per mL)

FOR INTRAVENOUS INFUSION ONLY

Warning: Contains Sulfites

4 mL Single-Dose Vial

Rx only

2.2 Dosage

After an initial dosage of 8 to 12 mcg per minute via intravenous infusion, assess patient response and adjust dosage to maintain desired hemodynamic effect. Monitor blood pressure every two minutes until the desired hemodynamic effect is achieved, and then monitor blood pressure every five minutes for the duration of the infusion.

Typical maintenance intravenous dosage is 2 to 4 mcg per minute.

10 Overdosage (10 OVERDOSAGE)

Overdosage with Norepinephrine Bitartrate Injection may result in headache, severe hypertension, reflex bradycardia, marked increase in peripheral resistance, and decreased cardiac output.

In case of overdosage, discontinue Norepinephrine Bitartrate Injection until the condition of the patient stabilizes.

11 Description (11 DESCRIPTION)

Norepinephrine (sometimes referred to as l-arterenol/Levarterenol or l-norepinephrine) is a sympathomimetic amine which differs from epinephrine by the absence of a methyl group on the nitrogen atom.

Norepinephrine Bitartrate is (-)-α-(aminomethyl)-3,4-dihydroxybenzyl alcohol tartrate (1:1) (salt) monohydrate (molecular weight 337.3 g/mol) and has the following structural formula:

Norepinephrine Bitartrate Injection, USP is supplied in a sterile aqueous solution in the form of the bitartrate salt to be administered by intravenous infusion. Norepinephrine is freely soluble in water, slightly soluble in alcohol, practically insoluble in chloroform and ether. Each mL contains 1 mg of norepinephrine base (equivalent to 1.89 mg of norepinephrine bitartrate, anhydrous basis), sodium chloride for isotonicity, not more than 0.2 mg (vials) of sodium metabisulfite as an antioxidant. It has a pH of 3.0 to 4.5. The air in the containers has been displaced by nitrogen gas.

7.3 Antidiabetics

Norepinephrine Bitartrate Injection can decrease insulin sensitivity and raise blood glucose. Monitor glucose and consider dosage adjustment of antidiabetic drugs.

8.4 Pediatric Use

Safety and effectiveness in pediatric patients have not been established.

8.5 Geriatric Use

Clinical studies of Norepinephrine Bitartrate Injection did not include sufficient numbers of subjects aged 65 and over to determine whether they respond differently from younger subjects. Other reported clinical experience has not identified differences in responses between the elderly and younger patients. In general, dose selection for an elderly patient should be cautious, usually starting at the low end of the dosing range, reflecting the greater frequency of decreased hepatic, renal, or cardiac function, and of concomitant disease or other drug therapy.

Avoid administration of Norepinephrine Bitartrate Injection into the veins in the leg in elderly patients [see Warnings and Precautions (5.1)].

4 Contraindications (4 CONTRAINDICATIONS)

None.

5.1 Tissue Ischemia

Administration of Norepinephrine Bitartrate Injection to patients who are hypotensive from hypovolemia can result in severe peripheral and visceral vasoconstriction, decreased renal perfusion and reduced urine output, tissue hypoxia, lactic acidosis, and reduced systemic blood flow despite “normal” blood pressure. Address hypovolemia prior to initiating Norepinephrine Bitartrate Injection [see Dosage and Administration (2.1)]. Avoid Norepinephrine Bitartrate Injection in patients with mesenteric or peripheral vascular thrombosis, as this may increase ischemia and extend the area of infarction.

Gangrene of the extremities has occurred in patients with occlusive or thrombotic vascular disease or who received prolonged or high dose infusions. Monitor for changes to the skin of the extremities in susceptible patients.

Extravasation of Norepinephrine Bitartrate Injection may cause necrosis and sloughing of surrounding tissue. To reduce the risk of extravasation, infuse into a large vein, check the infusion site frequently for free flow, and monitor for signs of extravasation [see Dosage and Administration (2.1)].

6 Adverse Reactions (6 ADVERSE REACTIONS)

The following adverse reactions are described in greater detail in other sections:

  • Tissue Ischemia [see Warnings and Precautions (5.1)]
  • Hypotension [see Warnings and Precautions (5.2)]
  • Cardiac Arrhythmias [see Warnings and Precautions (5.3)]

The most common adverse reactions are hypertension and bradycardia.

The following adverse reactions can occur:

Nervous system disorders: Anxiety, headache

Respiratory disorders: Respiratory difficulty, pulmonary edema

7 Drug Interactions (7 DRUG INTERACTIONS)
  • Monoamine oxidase inhibitors (MAOI) or antidepressants of the triptyline or imipramine types may result in hypertension. (7.1)
  • Cyclopropane and halothane anesthetics increase cardiac autonomic irritability. (7.4)
12.2 Pharmacodynamics

The primary pharmacodynamic effects of norepinephrine are cardiac stimulation and vasoconstriction. Cardiac output is generally unaffected, although it can be decreased, and total peripheral resistance is also elevated. The elevation in resistance and pressure result in reflex vagal activity, which slows the heart rate and increases stroke volume. The elevation in vascular tone or resistance reduces blood flow to the major abdominal organs as well as to skeletal muscle. Coronary blood flow is substantially increased secondary to the indirect effects of alpha stimulation. After intravenous administration, a pressor response occurs rapidly and reaches steady state within 5 minutes. The pharmacologic actions of norepinephrine are terminated primarily by uptake and metabolism in sympathetic nerve endings. The pressor action stops within 1 to 2 minutes after the infusion is discontinued.

1 Indications and Usage (1 INDICATIONS AND USAGE)

Norepinephrine Bitartrate Injection is indicated to raise blood pressure in adult patients with severe, acute hypotension.

5.3 Cardiac Arrhythmias

Norepinephrine Bitartrate Injection elevates intracellular calcium concentrations and may cause arrhythmias, particularly in the setting of hypoxia or hypercarbia. Perform continuous cardiac monitoring of patients with arrhythmias.

12.1 Mechanism of Action

Norepinephrine is a peripheral vasoconstrictor (alpha-adrenergic action) and an inotropic stimulator of the heart and dilator of coronary arteries (beta-adrenergic action).

7.1 Mao Inhibiting Drugs (7.1 MAO-Inhibiting Drugs)

Co-administration of Norepinephrine Bitartrate Injection with monoamine oxidase (MAO) inhibitors or other drugs with MAO-inhibiting properties (e.g., linezolid) can cause severe, prolonged hypertension.

If administration of Norepinephrine Bitartrate Injection cannot be avoided in patients who recently have received any of these drugs and in whom, after discontinuation, MAO activity has not yet sufficiently recovered, monitor for hypertension.

2.4 Drug Incompatibilities

Avoid contact with iron salts, alkalis, or oxidizing agents.

Whole blood or plasma, if indicated to increase blood volume, should be administered separately.

5 Warnings and Precautions (5 WARNINGS AND PRECAUTIONS)
  • Tissue Ischemia: Avoid extravasation of Norepinephrine Bitartrate Injection into the tissues, as local necrosis might ensue due to the vasoconstrictive action of the drug. Infuse Norepinephrine Bitartrate Injection into a large vein. To prevent sloughing and necrosis in areas in which extravasation has taken place, the area should be infiltrated as soon as possible with 10 mL to 15 mL of saline solution containing from 5 mg to 10 mg of an adrenergic blocking agent. (5.1)
  • Hypotension After Abrupt Discontinuation: Sudden cessation of the infusion rate may result in marked hypotension. Reduce the Norepinephrine Bitartrate Injection infusion rate gradually. (5.2)
  • Cardiac Arrhythmias: Norepinephrine Bitartrate Injection may cause arrhythmias. Monitor cardiac function in patients with underlying heart disease. (5.3)
  • Allergic Reactions with Sulfite: Norepinephrine Bitartrate Injection contains sodium metabisulfite. Sulfite may cause allergic-type-reactions. (5.4)
2 Dosage and Administration (2 DOSAGE AND ADMINISTRATION)
  • Initial dose of 0.25 mL to 0.375 mL (from 8 mcg to 12 mcg of base) per minute, adjust the rate of flow to establish and maintain a low to normal blood pressure (usually 80 mm Hg to 100 mm Hg systolic) sufficient to maintain the circulation of vital organs. (2.2)
  • The average maintenance dose ranges from 0.0625 mL to 0.125 mL per minute (from 2 mcg to 4 mcg of base). (2.2)
7.4 Halogenated Anesthetics

Concomitant use of Norepinephrine Bitartrate Injection with halogenated anesthetics (e.g., cyclopropane, desflurane, enflurane, isoflurane, and sevoflurane) may lead to ventricular tachycardia or ventricular fibrillation. Monitor cardiac rhythm in patients receiving concomitant halogenated anesthetics.

3 Dosage Forms and Strengths (3 DOSAGE FORMS AND STRENGTHS)

Injection: 4 mg per 4 mL (1 mg per mL norepinephrine base) sterile, clear colorless to slightly yellow color solution in a single-dose amber glass vial.

7.2 Tricyclic Antidepressants

Co-administration of Norepinephrine Bitartrate Injection with tricyclic antidepressants (including amitriptyline, nortriptyline, protriptyline, clomipramine, desipramine, imipramine) can cause severe, prolonged hypertension. If administration of Norepinephrine Bitartrate Injection cannot be avoided in these patients, monitor for hypertension.

8 Use in Specific Populations (8 USE IN SPECIFIC POPULATIONS)
  • Elderly patients may be at greater risk of developing adverse reactions. (8.5)
2.3 Preparation of Diluted Solution

Visually inspect norepinephrine bitartrate injection for particulate matter and discoloration prior to administration (the solution is colorless). Do not use the solution if its color is pinkish or darker than slightly yellow or if it contains a precipitate.

Add the content of one norepinephrine bitartrate injection vial (4 mg in 4 mL) to 1,000 mL of 5% Dextrose Injection, USP or Sodium Chloride Injection solutions that contain 5% dextrose to produce a 4 mcg per mL dilution. Dextrose reduces loss of potency due to oxidation. Administration in saline solution alone is not recommended.

Use higher concentration solutions in patients requiring fluid restriction. Prior to use, store the diluted norepinephrine bitartrate injection solution for up to 24 hours at room temperature [20°C to 25°C (68°F to 77°F)] and protect from light.

16 How Supplied/storage and Handling (16 HOW SUPPLIED/STORAGE AND HANDLING)

Norepinephrine Bitartrate Injection, USP, is a sterile, clear colorless to slightly yellow color solution for injection intended for intravenous use. It contains the equivalent of 1 mg of norepinephrine base per 1 mL (4 mg per 4 mL). It is available as 4 mg per 4 mL in single-dose amber glass vials supplied as follows:

Norepinephrine Bitartrate Injection, USP
NDC (1 mg per mL) Package Factor
83634-307-04 4 mg per 4 mL Single-Dose Vial 10 vials per carton
5.2 Hypotension After Abrupt Discontinuation (5.2 Hypotension after Abrupt Discontinuation)

Sudden cessation of the infusion rate may result in marked hypotension. When discontinuing the infusion, gradually reduce the Norepinephrine Bitartrate Injection infusion rate while expanding blood volume with intravenous fluids.

5.4 Allergic Reactions Associated With Sulfite (5.4 Allergic Reactions Associated with Sulfite)

Norepinephrine Bitartrate Injection contains sodium metabisulfite, a sulfite that may cause allergic-type reactions including anaphylactic symptoms and life-threatening or less severe asthmatic episodes in certain susceptible people. The overall prevalence of sulfite sensitivity in the general population is unknown. Sulfite sensitivity is seen more frequently in asthmatic than in non-asthmatic people.

13.1 Carcinogenesis, Mutagenesis, Impairment of Fertility

Carcinogenesis, mutagenesis, and fertility studies have not been performed.


Advanced Ingredient Data


Raw Label Data

All Sections (JSON)