These Highlights Do Not Include All The Information Needed To Use Sovuna Safely And Effectively. See Full Prescribing Information For Sovuna.

These Highlights Do Not Include All The Information Needed To Use Sovuna Safely And Effectively. See Full Prescribing Information For Sovuna.
SPL v4
SPL
SPL Set ID dd441154-b196-4d4c-bc56-2e37f345ef8d
Route
ORAL
Published
Effective Date 2024-10-10
Document Type 34391-3 Human Prescription Drug Label

Drug Facts

Composition & Product

Active Ingredients
Hydroxychloroquine (200 mg)
Inactive Ingredients
Lactose Monohydrate Starch, Corn Croscarmellose Sodium Sucralose Hypromellose, Unspecified Talc Magnesium Stearate Polysorbate 80 Titanium Dioxide Polyethylene Glycol, Unspecified Triacetin Water

Identifiers & Packaging

Pill Appearance
Imprint: 171 Shape: capsule Color: white Size: 13 mm Size: 15 mm Score: 2
Marketing Status
NDA Active Since 2023-09-15

Description

SOVUNA is an antimalarial and antirheumatic indicated for the: Treatment of uncomplicated malaria due to Plasmodium falciparum, Plasmodium malariae, Plasmodium ovale, and Plasmodium vivax in adult and pediatric patients. (1.1) Prophylaxis of malaria in geographic areas where chloroquine resistance is not reported in adult and pediatric patients. (1.1) Treatment of rheumatoid arthritis in adults. (1.2) Treatment of systemic lupus erythematosus in adults. (1.3) Treatment of chronic discoid lupus erythematosus in adults. (1.4) Limitations of Use (1.1): SOVUNA is not recommended for the: Treatment of complicated malaria. Treatment of chloroquine or hydroxychloroquine-resistant strains of Plasmodium species. Treatment of malaria acquired in geographic areas where chloroquine resistance occurs or when the Plasmodium species has not been identified. Prophylaxis of malaria in geographic areas where chloroquine resistance occurs. Prevention of relapses of P. vivax or P. ovale because it is not active against the hypnozoite liver stage forms of these parasites. For radical cure of P. vivax and P. ovale infections, concomitant therapy with an 8-aminoquinoline drug is necessary.

Warnings and Precautions

Cardiomyopathy and Ventricular Arrhythmias : Fatal or life-threatening cardiomyopathy and ventricular arrhythmias were reported. (5.1) Retinal Toxicity : Irreversible retinal damage is related to cumulative dosage and treatment duration. Baseline retinal exam and exams during treatment are recommended. (5.2) Serious Skin Reactions: Stevens Johnson syndrome, toxic epidermal necrolysis, drug reaction with eosinophilia and systemic symptoms, acute generalized exanthematous pustulosis have been reported. (5.3) Worsening of Psoriasis: Avoid in patients with psoriasis. (5.4) Risks Associated with Use in Porphyria: Avoid in patients with porphyria. Hepatotoxicity was reported in patients with porphyria cutanea tarda (5.5) Hematologic Toxicity : Discontinue if myelosuppression occurs. (5.6) Renal Toxicity: Consider phospholipidosis as a possible cause of renal injury in patients with underlying connective tissue disorders. Discontinue SOVUNA if renal toxicity is suspected or demonstrated by tissue biopsy in any organ system. (5.1, 5.8, 5.11)

Contraindications

SOVUNA is contraindicated in patients with known hypersensitivity to 4-aminoquinoline compounds.

Adverse Reactions

The following adverse reactions are described in greater detail in other sections: Cardiomyopathy and Ventricular Arrhythmias [see Warnings and Precautions (5.1)] Retinal Toxicity [see Warnings and Precautions (5.2)] Serious Skin Reactions [see Warnings and Precautions (5.3)] Worsening of Psoriasis [see Warnings and Precautions (5.4)] Risks Associated with Use in Porphyria [see Warnings and Precautions (5.5)] Hematologic Toxicity [see Warnings and Precautions (5.6)] Hemolytic Anemia Associated with G6PD [see Warnings and Precautions (5.7)] Skeletal Muscle Myopathy or Neuropathy [see Warnings and Precautions (5.8)] Neuropsychiatric Reactions Including Suicidality [see Warnings and Precautions (5.9)] Hypoglycemia [see Warnings and Precautions (5.10)]   Renal Toxicity [see Warnings and Precautions (5.11)]   The following adverse reactions have been identified during post-approval use of 4­ aminoquinoline drugs, including SOVUNA. Because these reactions are reported voluntarily from a population of uncertain size, it is not always possible to reliably estimate their frequency or establish a causal relationship to drug exposure: Blood and lymphatic system disorders : Bone marrow depression, anemia, aplastic anemia, agranulocytosis, leukopenia, thrombocytopenia Cardiac disorders: Cardiomyopathy, cardiac failure, QT-interval prolongation, ventricular tachycardia, torsades de pointes, atrioventricular block, bundle branch block, sick sinus syndrome, pulmonary hypertension Ear and labyrinth disorders : Vertigo, tinnitus, nystagmus, sensorineural hearing loss Eye disorders: Retinopathy, retinal pigmentation changes (typically bull’s eye appearance), visual field defects (paracentral scotomas), macular degeneration, corneal edema, corneal opacities, decreased dark adaptation Gastrointestinal disorders: Nausea, vomiting, diarrhea, abdominal pain General disorders : Fatigue Hepatobiliary disorders : Abnormal liver function tests, fulminant hepatic failure Immune system disorders : Urticaria, angioedema, bronchospasm Metabolism and nutrition disorders : Anorexia, hypoglycemia, weight loss Musculoskeletal and connective tissue disorders: Proximal myopathy, depressed tendon reflexes, abnormal nerve conduction Nervous system disorders: Ataxia, dizziness, headache, seizure, extrapyramidal disorders (dystonia, dyskinesia, tremor) Neuropsychiatric disorders: Affect/emotional lability, irritability, nervousness, psychosis, suicidal ideation, suicidal behavior, depression, hallucinations, anxiety, agitation, confusion, delusions, paranoia, mania and sleep disorders (insomnia, night terrors, nightmares) Skin and subcutaneous tissue disorders: Alopecia, hair color changes, rash, pruritus, photosensitivity, psoriasis exacerbation, hyperpigmentation, exfoliative dermatitis, erythema multiforme, acute generalized exanthematous pustulosis, Drug Rash with Eosinophilia and Systemic Symptoms (DRESS syndrome), Stevens-Johnson syndrome (SJS), toxic epidermal necrolysis (TEN)

Drug Interactions

Drugs Prolonging QT Interval and Other Arrhythmogenic Drugs. (7.1) See FPI for more important drug interactions. (7)

How Supplied

SOVUNA (hydroxychloroquine sulfate) Tablets are available in the following strengths and packing configurations: 200 mg of hydroxychloroquine sulfate: white to off-white, capsule-shaped, film-coated tablets, debossed with "172" on one side and plain on the other side.          Bottles of 30 tablets with child resistant closure (NDC 70954-804-10)          Bottles of 100 tablets with child resistant closure (NDC 70954-804-20) 300 mg of hydroxychloroquine sulfate: white to off-white, functionally scored, capsule-shaped, film-coated tablets, debossed with "1" on left side of the score and "71" on right side of the score and plain on the other side.          Bottles of 100 tablets with child resistant closure (NDC 70954-805-10)


Medication Information

Warnings and Precautions

Cardiomyopathy and Ventricular Arrhythmias : Fatal or life-threatening cardiomyopathy and ventricular arrhythmias were reported. (5.1) Retinal Toxicity : Irreversible retinal damage is related to cumulative dosage and treatment duration. Baseline retinal exam and exams during treatment are recommended. (5.2) Serious Skin Reactions: Stevens Johnson syndrome, toxic epidermal necrolysis, drug reaction with eosinophilia and systemic symptoms, acute generalized exanthematous pustulosis have been reported. (5.3) Worsening of Psoriasis: Avoid in patients with psoriasis. (5.4) Risks Associated with Use in Porphyria: Avoid in patients with porphyria. Hepatotoxicity was reported in patients with porphyria cutanea tarda (5.5) Hematologic Toxicity : Discontinue if myelosuppression occurs. (5.6) Renal Toxicity: Consider phospholipidosis as a possible cause of renal injury in patients with underlying connective tissue disorders. Discontinue SOVUNA if renal toxicity is suspected or demonstrated by tissue biopsy in any organ system. (5.1, 5.8, 5.11)

Contraindications

SOVUNA is contraindicated in patients with known hypersensitivity to 4-aminoquinoline compounds.

Adverse Reactions

The following adverse reactions are described in greater detail in other sections: Cardiomyopathy and Ventricular Arrhythmias [see Warnings and Precautions (5.1)] Retinal Toxicity [see Warnings and Precautions (5.2)] Serious Skin Reactions [see Warnings and Precautions (5.3)] Worsening of Psoriasis [see Warnings and Precautions (5.4)] Risks Associated with Use in Porphyria [see Warnings and Precautions (5.5)] Hematologic Toxicity [see Warnings and Precautions (5.6)] Hemolytic Anemia Associated with G6PD [see Warnings and Precautions (5.7)] Skeletal Muscle Myopathy or Neuropathy [see Warnings and Precautions (5.8)] Neuropsychiatric Reactions Including Suicidality [see Warnings and Precautions (5.9)] Hypoglycemia [see Warnings and Precautions (5.10)]   Renal Toxicity [see Warnings and Precautions (5.11)]   The following adverse reactions have been identified during post-approval use of 4­ aminoquinoline drugs, including SOVUNA. Because these reactions are reported voluntarily from a population of uncertain size, it is not always possible to reliably estimate their frequency or establish a causal relationship to drug exposure: Blood and lymphatic system disorders : Bone marrow depression, anemia, aplastic anemia, agranulocytosis, leukopenia, thrombocytopenia Cardiac disorders: Cardiomyopathy, cardiac failure, QT-interval prolongation, ventricular tachycardia, torsades de pointes, atrioventricular block, bundle branch block, sick sinus syndrome, pulmonary hypertension Ear and labyrinth disorders : Vertigo, tinnitus, nystagmus, sensorineural hearing loss Eye disorders: Retinopathy, retinal pigmentation changes (typically bull’s eye appearance), visual field defects (paracentral scotomas), macular degeneration, corneal edema, corneal opacities, decreased dark adaptation Gastrointestinal disorders: Nausea, vomiting, diarrhea, abdominal pain General disorders : Fatigue Hepatobiliary disorders : Abnormal liver function tests, fulminant hepatic failure Immune system disorders : Urticaria, angioedema, bronchospasm Metabolism and nutrition disorders : Anorexia, hypoglycemia, weight loss Musculoskeletal and connective tissue disorders: Proximal myopathy, depressed tendon reflexes, abnormal nerve conduction Nervous system disorders: Ataxia, dizziness, headache, seizure, extrapyramidal disorders (dystonia, dyskinesia, tremor) Neuropsychiatric disorders: Affect/emotional lability, irritability, nervousness, psychosis, suicidal ideation, suicidal behavior, depression, hallucinations, anxiety, agitation, confusion, delusions, paranoia, mania and sleep disorders (insomnia, night terrors, nightmares) Skin and subcutaneous tissue disorders: Alopecia, hair color changes, rash, pruritus, photosensitivity, psoriasis exacerbation, hyperpigmentation, exfoliative dermatitis, erythema multiforme, acute generalized exanthematous pustulosis, Drug Rash with Eosinophilia and Systemic Symptoms (DRESS syndrome), Stevens-Johnson syndrome (SJS), toxic epidermal necrolysis (TEN)

Drug Interactions

Drugs Prolonging QT Interval and Other Arrhythmogenic Drugs. (7.1) See FPI for more important drug interactions. (7)

How Supplied

SOVUNA (hydroxychloroquine sulfate) Tablets are available in the following strengths and packing configurations: 200 mg of hydroxychloroquine sulfate: white to off-white, capsule-shaped, film-coated tablets, debossed with "172" on one side and plain on the other side.          Bottles of 30 tablets with child resistant closure (NDC 70954-804-10)          Bottles of 100 tablets with child resistant closure (NDC 70954-804-20) 300 mg of hydroxychloroquine sulfate: white to off-white, functionally scored, capsule-shaped, film-coated tablets, debossed with "1" on left side of the score and "71" on right side of the score and plain on the other side.          Bottles of 100 tablets with child resistant closure (NDC 70954-805-10)

Description

SOVUNA is an antimalarial and antirheumatic indicated for the: Treatment of uncomplicated malaria due to Plasmodium falciparum, Plasmodium malariae, Plasmodium ovale, and Plasmodium vivax in adult and pediatric patients. (1.1) Prophylaxis of malaria in geographic areas where chloroquine resistance is not reported in adult and pediatric patients. (1.1) Treatment of rheumatoid arthritis in adults. (1.2) Treatment of systemic lupus erythematosus in adults. (1.3) Treatment of chronic discoid lupus erythematosus in adults. (1.4) Limitations of Use (1.1): SOVUNA is not recommended for the: Treatment of complicated malaria. Treatment of chloroquine or hydroxychloroquine-resistant strains of Plasmodium species. Treatment of malaria acquired in geographic areas where chloroquine resistance occurs or when the Plasmodium species has not been identified. Prophylaxis of malaria in geographic areas where chloroquine resistance occurs. Prevention of relapses of P. vivax or P. ovale because it is not active against the hypnozoite liver stage forms of these parasites. For radical cure of P. vivax and P. ovale infections, concomitant therapy with an 8-aminoquinoline drug is necessary.

1.1 Malaria

SOVUNA is indicated in adult and pediatric patients for the:

  • Treatment of uncomplicated malaria due to Plasmodium falciparum, Plasmodium malariae, Plasmodium vivax, and Plasmodium ovale.
  • Prophylaxis of malaria in geographic areas where chloroquine resistance is not reported.


Limitations of Use:

SOVUNA is not recommended for:

  • Treatment of complicated malaria.
  • Treatment of malaria by chloroquine or hydroxychloroquine-resistant strains of Plasmodium species [see Microbiology (12.4)].
  • Treatment of malaria acquired in geographic areas where chloroquine resistance occurs or when the Plasmodium species has not been identified.
  • Prophylaxis of malaria in geographic areas where chloroquine resistance occurs.
  • Prevention of relapses of P. vivax or P. ovale because it is not active against the hypnozoite liver stage forms of these parasites. For radical cure of P. vivax and P. ovale infections, concomitant therapy with an 8-aminoquinoline drug is necessary [see Microbiology (12.4)].


For the most current information about drug resistance, refer to the latest recommendations from the Center for Disease Control and Prevention.1

7.7 Digoxin

Concomitant SOVUNA and digoxin therapy may result in increased serum digoxin levels. Monitor serum digoxin levels closely in patients receiving combined therapy.

16.2 Storage

Dispense in a tight, light-resistant container as defined in the USP/NF. Keep out of the reach of children.



Store at room temperature between 20°C and 25°C (68°F and 77°F), allow excursions between 15°C and 30°C (59°F and 86°F).

10 Overdosage

SOVUNA overdosage symptoms have an onset within 1–3 hours of ingestion. The following have been reported with SOVUNA overdosage:

  • Cardiovascular toxicity, including QRS or QTc prolongation, ventricular tachycardia, ventricular fibrillation, torsade de pointes, atrioventricular block, cardiac arrest and death.
  • Life-threatening hypotension is common.
  • Severe hypokalemia secondary to an intracellular shift is common in severe toxicity.
  • Central nervous system (CNS) depression, seizures, visual disturbances, transient blindness, and coma may occur.


Gastrointestinal decontamination procedures warrant consideration in patients that present within the first hour post-ingestion. If the level of consciousness rapidly deteriorates in severe poisoning, consider intubation before gastrointestinal decontamination procedures. Monitor plasma potassium levels and manage accordingly. Hemofiltration, hemodialysis, and hemoperfusion are not of benefit.



Consider contacting a poison center (1-800-221-2222) or a medical toxicologist for overdosage management recommendations.

15 References

1Center for Disease Control and Prevention. Malaria.

https://www.cdc.gov/parasites/malaria/index.html

8.1 Pregnancy

Pregnancy Exposure Registry

There is a pregnancy exposure registry that monitors pregnancy outcomes in women exposed to SOVUNA during pregnancy. Encourage patients to register by contacting 1-877-311-8972.



Risk Summary

Prolonged clinical experience over decades of use and available data from published epidemiologic and clinical studies with hydroxychloroquine use in pregnant women have not identified a drug-associated risk of major birth defects, miscarriage, or adverse maternal, or fetal outcomes (see Data). There are risks to the mother and fetus associated with untreated or increased disease activity from malaria, rheumatoid arthritis, and systemic lupus erythematosus in pregnancy (see Clinical Considerations). Animal reproduction studies were not conducted with hydroxychloroquine.



The estimated background risk of major birth defects and miscarriage for the indicated populations is unknown. All pregnancies have a background risk of birth defect, loss, or other adverse outcomes.  In the US general population, the estimated background risk of major birth defects and miscarriage in clinically recognized pregnancies is 2-4% and 15-20%, respectively.



Clinical Considerations

Disease-Associated Maternal and/or Embryo-Fetal Risk

 

Malaria: Malaria during pregnancy increases the risk for adverse pregnancy outcomes, including maternal anemia, prematurity, spontaneous abortion, and stillbirth.



Rheumatoid Arthritis: Published data suggest that increased disease activity is associated with the risk of developing adverse pregnancy outcomes in women with rheumatoid arthritis Adverse pregnancy outcomes include preterm delivery (before 37 weeks of gestation), low birth weight (less than 2500 g) infants, and small for gestational age at birth.



Systemic Lupus Erythematosus: Pregnant women with systemic lupus erythematosus, especially those with increased disease activity, are at increased risk of adverse pregnancy outcomes, including spontaneous abortion, fetal death, preeclampsia, preterm birth, and intrauterine growth restriction. Passage of maternal auto-antibodies across the placenta may result in neonatal illness, including neonatal lupus and congenital heart block.



Data

Human Data

Data from published epidemiologic and clinical studies have not established an association with SOVUNA use during pregnancy and major birth defects, miscarriage, or adverse maternal or fetal outcomes.  Hydroxychloroquine readily crosses the placenta with cord blood levels corresponding to maternal plasma levels. No retinal toxicity, ototoxicity, cardiotoxicity, or growth and developmental abnormalities have been observed in children who were exposed to hydroxychloroquine in utero.  Available epidemiologic and clinical studies have methodological limitations including small sample size and study design.

8.2 Lactation

Risk Summary

Published lactation data report that hydroxychloroquine is present in human milk at low levels. No adverse reactions have been reported in breastfed infants.  No retinal toxicity, ototoxicity, cardiotoxicity, or growth and developmental abnormalities have been observed in children who were exposed to hydroxychloroquine through breastmilk. There is no information on the effect of hydroxychloroquine on milk production. The developmental and health benefits of breastfeeding should be considered along with the mother’s clinical need for SOVUNA and any potential adverse effects on the breastfed child from SOVUNA or from the underlying maternal condition.

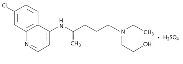
11 Description

SOVUNA contains hydroxychloroquine sulfate, an antimalarial and antirheumatic drug, chemically described as 2-[[4-[(7-Chloro-4- quinolyl)amino]pentyl]ethylamino] ethanol sulfate (1:1) with the molecular formula C18H26ClN3O•H2SO4. The molecular weight of hydroxychloroquine sulfate is 433.95. Its structural formula is:



Hydroxychloroquine sulfate is a white or off-white crystalline powder, freely soluble in water; practically soluble in alcohol, chloroform, and ether.



Each SOVUNA (hydroxychloroquine sulfate) Tablet, 200 mg for oral administration contains 200 mg hydroxychloroquine sulfate, equivalent to 155 mg base.



Each SOVUNA (hydroxychloroquine sulfate) Tablet, 300 mg for oral administration contains 300 mg hydroxychloroquine sulfate, equivalent to 232 mg base.



Inactive Ingredients: Corn starch, croscarmellose sodium,hypromellose, lactose monohydrate, magnesium stearate, polyethylene glycol, polysorbate 80, sucralose, talc, titanium dioxide, triacetin and water.



FDA approved dissolution test and acceptance criterion differ from USP.

7.8 Cimetidine

Concomitant use of cimetidine resulted in a 2-fold increase of exposure of chloroquine, which is structurally related to hydroxychloroquine. Interaction of cimetidine with hydroxychloroquine cannot be ruled out. Avoid concomitant use of cimetidine.

7.9 Rifampicin

Lack of efficacy of hydroxychloroquine was reported when rifampicin was concomitantly administered. Avoid concomitant use of rifampicin.

7.12 Ampicillin

In a study of healthy volunteers, chloroquine significantly reduced the bioavailability of ampicillin. Interaction of ampicillin with hydroxychloroquine cannot be ruled out.

7.5 Methotrexate

Concomitant use of SOVUNA and methotrexate may increase the incidence of adverse reactions.

7.6 Cyclosporine

An increased plasma cyclosporin level was reported when cyclosporin and SOVUNA were co-administered. Monitor serum cyclosporine levels closely in patients receiving combined therapy.

12.4 Microbiology

Mechanism of Action in Malaria

The precise mechanism by which hydroxychloroquine exhibits activity against Plasmodium is not known. Hydroxychloroquine is a weak base and may exert its effect by concentrating in the acid vesicles of the parasite and inhibiting polymerization of heme.  It can also inhibit certain enzymes by its interaction with DNA.



Antimicrobial Activity

Hydroxychloroquine is active against the erythrocytic forms of chloroquine sensitive strains of P. falciparum, P. malariae, P. vivax, and P. ovale. Hydroxychloroquine is not active against the gametocytes and exoerythrocytic forms including the hypnozoite liver stage forms of P. vivax and P. ovale.



Drug Resistance

P. falciparum strains exhibiting reduced susceptibility to chloroquine also show reduced susceptibility to hydroxychloroquine.  Resistance of Plasmodium parasites to chloroquine is widespread [see Indications and Usage (1.1)].

16.1 How Supplied

SOVUNA (hydroxychloroquine sulfate) Tablets are available in the following strengths and packing configurations:



  • 200 mg of hydroxychloroquine sulfate: white to off-white, capsule-shaped, film-coated tablets, debossed with "172" on one side and plain on the other side.


         Bottles of 30 tablets with child resistant closure (NDC 70954-804-10)

         Bottles of 100 tablets with child resistant closure (NDC 70954-804-20)



  • 300 mg of hydroxychloroquine sulfate: white to off-white, functionally scored, capsule-shaped, film-coated tablets, debossed with "1" on left side of the score and "71" on right side of the score and plain on the other side.


         Bottles of 100 tablets with child resistant closure (NDC 70954-805-10)

5.10 Hypoglycemia

SOVUNA can cause severe and potentially life-threatening hypoglycemia, in the presence or absence of antidiabetic agents [see Drug Interactions (7)].  Measure blood glucose in patients presenting with clinical symptoms suggestive of hypoglycemia and as adjust the antidiabetic treatment as necessary. Warn SOVUNA-treated patients about the risk of hypoglycemia and educate them on the signs and symptoms of hypoglycemia; diabetic patients should monitor their blood sugar levels. Advise patients to seek medical attention if they develop any signs and symptoms of hypoglycemia.

7.10 Praziquantel

Chloroquine has been reported to reduce the bioavailability of praziquantel. Interaction of praziquantel with hydroxychloroquine cannot be ruled out.

8.4 Pediatric Use

The safety and effectiveness of SOVUNA have been established in pediatric patients for the treatment of uncomplicated malaria due to P. falciparum, P. malariae, P. vivax, and P. ovale, as well as for the prophylaxis of malaria in geographic areas where chloroquine resistance is not reported. However, this product cannot be directly administered to pediatric patients weighing less than 23 kg because the lowest possible dose of 150 mg (half of the scored 300 mg tablet) exceeds the recommended dose for these patients [see Dosage and Administration (2.2)].



The safety and effectiveness of SOVUNA have not been established in pediatric patients for the treatment of rheumatoid arthritis, chronic discoid lupus erythematosus, or systemic lupus erythematosus.

8.5 Geriatric Use

Clinical trials of SOVUNA did not include sufficient numbers of patients 65 years of age and older to determine whether they respond differently from younger adult patients.  Nevertheless, this drug is known to be substantially excreted by the kidney, and the risk of toxic reactions to this drug may be greater in patients with impaired renal function. In general, dose selection in geriatric patients should start with the lowest recommended dose, taking into consideration the greater frequency of decreased hepatic, renal or cardiac function, and of concomitant disease or other drug therapy.

7.4 Antiepileptics

The activity of antiepileptic drugs might be impaired if co-administered with SOVUNA.

4 Contraindications

SOVUNA is contraindicated in patients with known hypersensitivity to 4-aminoquinoline compounds.

5.11 Renal Toxicity

Proteinuria with or without moderate reduction in glomerular filtration rate have been reported with the use of SOVUNA.



Renal biopsy showed phospholipidosis without immune deposits, inflammation, and/or increased cellularity. Physicians should consider phospholipidosis as a possible cause of renal injury in patients with underlying connective tissue disorders who are receiving SOVUNA. Drug-induced phospholipidosis may occur in other organ systems [see Warnings and Precautions (5.1, 5.8)]. Discontinue SOVUNA if renal toxicity is suspected or demonstrated by tissue biopsy.

6 Adverse Reactions

The following adverse reactions are described in greater detail in other sections:

  • Cardiomyopathy and Ventricular Arrhythmias [see Warnings and Precautions (5.1)]
  • Retinal Toxicity [see Warnings and Precautions (5.2)]
  • Serious Skin Reactions [see Warnings and Precautions (5.3)]
  • Worsening of Psoriasis [see Warnings and Precautions (5.4)]
  • Risks Associated with Use in Porphyria [see Warnings and Precautions (5.5)]
  • Hematologic Toxicity [see Warnings and Precautions (5.6)]
  • Hemolytic Anemia Associated with G6PD [see Warnings and Precautions (5.7)]
  • Skeletal Muscle Myopathy or Neuropathy [see Warnings and Precautions (5.8)]
  • Neuropsychiatric Reactions Including Suicidality [see Warnings and Precautions (5.9)]
  • Hypoglycemia [see Warnings and Precautions (5.10)] 
  • Renal Toxicity [see Warnings and Precautions (5.11)]

 

The following adverse reactions have been identified during post-approval use of 4­ aminoquinoline drugs, including SOVUNA. Because these reactions are reported voluntarily from a population of uncertain size, it is not always possible to reliably estimate their frequency or establish a causal relationship to drug exposure:



  • Blood and lymphatic system disorders: Bone marrow depression, anemia, aplastic anemia, agranulocytosis, leukopenia, thrombocytopenia
  • Cardiac disorders: Cardiomyopathy, cardiac failure, QT-interval prolongation, ventricular tachycardia, torsades de pointes, atrioventricular block, bundle branch block, sick sinus syndrome, pulmonary hypertension
  • Ear and labyrinth disorders: Vertigo, tinnitus, nystagmus, sensorineural hearing loss
  • Eye disorders: Retinopathy, retinal pigmentation changes (typically bull’s eye appearance), visual field defects (paracentral scotomas), macular degeneration, corneal edema, corneal opacities, decreased dark adaptation
  • Gastrointestinal disorders: Nausea, vomiting, diarrhea, abdominal pain
  • General disorders: Fatigue
  • Hepatobiliary disorders: Abnormal liver function tests, fulminant hepatic failure
  • Immune system disorders: Urticaria, angioedema, bronchospasm
  • Metabolism and nutrition disorders: Anorexia, hypoglycemia, weight loss
  • Musculoskeletal and connective tissue disorders: Proximal myopathy, depressed tendon reflexes, abnormal nerve conduction
  • Nervous system disorders: Ataxia, dizziness, headache, seizure, extrapyramidal disorders (dystonia, dyskinesia, tremor)
  • Neuropsychiatric disorders: Affect/emotional lability, irritability, nervousness, psychosis, suicidal ideation, suicidal behavior, depression, hallucinations, anxiety, agitation, confusion, delusions, paranoia, mania and sleep disorders (insomnia, night terrors, nightmares)
  • Skin and subcutaneous tissue disorders: Alopecia, hair color changes, rash, pruritus, photosensitivity, psoriasis exacerbation, hyperpigmentation, exfoliative dermatitis, erythema multiforme, acute generalized exanthematous pustulosis, Drug Rash with Eosinophilia and Systemic Symptoms (DRESS syndrome), Stevens-Johnson syndrome (SJS), toxic epidermal necrolysis (TEN)
7 Drug Interactions
  • Drugs Prolonging QT Interval and Other Arrhythmogenic Drugs. (7.1)
  • See FPI for more important drug interactions. (7)
5.2 Retinal Toxicity

Irreversible retinal damage was observed in some patients treated with hydroxychloroquine sulfate and it is related to cumulative dosage and treatment duration.  In patients of Asian descent, retinal toxicity may first be noticed outside the macula.



Risk factors for retinal damage include daily hydroxychloroquine sulfate dosages ≥5 mg/kg of actual body weight, durations of use greater than five years, renal impairment, use of concomitant drug products such as tamoxifen citrate, and concurrent macular disease.



Within the first year of starting SOVUNA, a baseline ocular examination is recommended including best corrected distance visual acuity (BCVA), an automated threshold visual field (VF) of the central 10 degrees (with retesting if an abnormality is noted), and spectral domain ocular coherence tomography (SD-OCT).  For patients at higher risk of retinal damage, monitoring should include annual examinations which include BCVA, VF and SD-OCT. For patients without significant risk factors, annual retinal exams can usually be deferred until five years of treatment.  In patients of Asian descent, it is recommended that visual field testing be performed in the central 24 degrees instead of the central 10 degrees.



If ocular toxicity is suspected, discontinue SOVUNA and monitor the patient closely given that retinal changes and visual disturbances may progress even after cessation of therapy.

1 Indications & Usage

SOVUNA is an antimalarial and antirheumatic indicated for the:

  • Treatment of uncomplicated malaria due to Plasmodium falciparum, Plasmodium malariae, Plasmodium ovale, and Plasmodium vivax in adult and pediatric patients. (1.1)
  • Prophylaxis of malaria in geographic areas where chloroquine resistance is not reported in adult and pediatric patients. (1.1)
  • Treatment of rheumatoid arthritis in adults. (1.2)
  • Treatment of systemic lupus erythematosus in adults. (1.3)
  • Treatment of chronic discoid lupus erythematosus in adults. (1.4)


Limitations of Use (1.1):

SOVUNA is not recommended for the:

  • Treatment of complicated malaria.
  • Treatment of chloroquine or hydroxychloroquine-resistant strains of Plasmodium species.
  • Treatment of malaria acquired in geographic areas where chloroquine resistance occurs or when the Plasmodium species has not been identified.
  • Prophylaxis of malaria in geographic areas where chloroquine resistance occurs.
  • Prevention of relapses of P. vivax or P. ovale because it is not active against the hypnozoite liver stage forms of these parasites. For radical cure of P. vivax and P. ovale infections, concomitant therapy with an 8-aminoquinoline drug is necessary.
12.2 Pharmacodynamics

The exposure-response relationship and time course of pharmacodynamic response for the safety and effectiveness of hydroxychloroquine have not been fully characterized.

12.3 Pharmacokinetics

Following oral administration, the whole blood concentration of hydroxychloroquine at steady state is dose proportional over a dose range from 200 mg daily to 400 mg daily of hydroxychloroquine in rheumatoid arthritis and lupus patients.

 

Absorption

Following a single 200 mg oral dose of hydroxychloroquine to healthy male volunteers, whole blood hydroxychloroquine Cmax was 129.6 ng/mL (plasma Cmax was 50.3 ng/mL) with Tmax of 3.3 hours (plasma Tmax 3.7 hours). Peak blood concentrations of metabolites were observed at the same time as peak levels of hydroxychloroquine. Mean absolute oral bioavailability is 79% (SD: 12%) in fasting conditions.



Peak blood concentrations ranged from 1161 ng/mL to 2436 ng/mL (mean 1918 ng/mL) following a single dose of 155 mg intravenous infusion and from 2290 ng/mL to 4211 ng/mL (mean 3312 ng/mL) following a single dose of 310 mg intravenous infusion in healthy subjects. Pharmacokinetic parameters were not significantly different over the therapeutic dose range of 155 mg and 310 mg indicating linear kinetics.



In patients with rheumatoid arthritis, there was large variability as to the fraction of the dose absorbed (i.e., 30 to 100%), and mean hydroxychloroquine levels were significantly higher in patients with less disease activity.



Distribution

Hydroxychloroquine is extensively distributed to tissues and has a large volume of distribution. Approximately 50% of hydroxychloroquine is bound to plasma proteins.



Metabolism

Significant levels of three metabolites, desethylhydroxychloroquine (DHCQ), desethylchloroquine (DCQ), and bidesethylhydroxychloroquine (BDCQ) were found in plasma and blood, with DHCQ being the major metabolite. In vitro, hydroxychloroquine is metabolized mainly by CYP2C8, CYP3A4 and CYP2D6 as well as by FMO-1 and MAO-A.



Elimination / Excretion

Renal clearance in patients with rheumatoid arthritis treated with hydroxychloroquine for at least 6 months was similar to that in single dose studies in healthy volunteers, suggesting that no change in clearance occurred with chronic dosing. Renal clearance of unchanged hydroxychloroquine was approximately 16% to 30% of the dose after oral and IV administration. Results following a single oral dose of a 200 mg tablet demonstrated a half-life of hydroxychloroquine about 40 days in whole blood. Following chronic oral administration of hydroxychloroquine, the absorption half-life of hydroxychloroquine was approximately 3 to 4 hours and the terminal half-life ranged from 40 to 50 days in whole blood. The effective half-life of hydroxychloroquine is likely to be shorter and steady state is achieved by 6 weeks following 400 mg daily oral administration in rheumatoid arthritis patients.

 

Drug Interaction Studies

In vitro study suggested that hydroxychloroquine has a potential to inhibit CYP2D6, CYP3A4, P-glycoproteins (P-gp), MATE1 and MATE2-K.



In vitro study suggested that hydroxychloroquine has no significant potential to inhibit CYP1A2, CYP2B6, CYP2C8, CYP2C9, CYP2C19, and the main transporters OATP1B1, OATP1B3, OAT1, OAT3, OCT1, and OCT2. In vitro, hydroxychloroquine has no significant potential to induce CYP1A2, CYP2B6 and CYP3A4.

1.2 Rheumatoid Arthritis

SOVUNA is indicated for the treatment of acute and chronic rheumatoid arthritis in adults.

12.1 Mechanism of Action

Malaria

Hydroxychloroquine is a 4-aminoquinoline antimalarial [see Microbiology (12.4)] and antirheumatic agent.



Rheumatoid Arthritis, Systemic Lupus Erythematosus and Chronic Discoid Lupus Erythematosus

The mechanisms underlying the anti-inflammatory and immunomodulatory effects of SOVUNA in the treatment of rheumatoid arthritis, chronic discoid lupus erythematosus and systemic lupus erythematosus are not fully known.

5.6 Hematologic Toxicity

SOVUNA may cause myelosuppression including aplastic anemia, agranulocytosis, leukopenia, or thrombocytopenia. Monitor blood cell counts periodically in patients on prolonged SOVUNA therapy. If the patient develops myelosuppression which cannot be attributable to the disease, discontinue the drug.

7.11 Antacids and Kaolin

Antacids and kaolin can reduce absorption of chloroquine; an interval of at least 4 hours between intake of these agents and chloroquine should be observed. Interaction of antacids and kaolin with hydroxychloroquine cannot be ruled out.

2 Dosage & Administration

Malaria in Adult and Pediatric Patients (2.2):

  • Prophylaxis: Begin weekly doses 2 weeks prior to travel to the endemic area, continue weekly doses while in the endemic area, and continue the weekly doses for 4 weeks after leaving the endemic area:

         Adults:  400 mg once a week

         Pediatric patients weighing greater than or equal to 23 kg: 6.5 mg/kg actual body weight up to 400 mg, once a week

  • Treatment of Uncomplicated Malaria: See Full Prescribing Information (FPI) for complete dosing information.

 

Rheumatoid Arthritis in Adults (2.3):

  • Initial dosage: 400 mg to 600 mg daily
  • Chronic dosage: 200 mg, 300 mg or 400 mg once daily (or in two divided doses)

 

Systemic Lupus Erythematosus in Adults (2.4):

  • 200 mg, 300 mg or 400 mg once daily (or in two divided doses)


Chronic Discoid Lupus Erythematosus in Adults (2.5):

200 mg or 400 mg once daily (or in two divided doses)

3 Dosage Forms & Strengths

SOVUNA tablets are available in the following strengths:

  • 200 mg of hydroxychloroquine sulfate: white to off-white, capsule-shaped, film-coated tablets, debossed with "172" on one side and plain on the other side.
  • 300 mg of hydroxychloroquine sulfate: white to off-white, functionally scored, capsule-shaped, film-coated tablets, debossed with "1" on left side of the score and "71" on right side of the score and plain on the other side. The scoring allows the tablet to be divided into two equal halves containing 150 mg each.
5 Warnings and Precautions
  • Cardiomyopathy and Ventricular Arrhythmias: Fatal or life-threatening cardiomyopathy and ventricular arrhythmias were reported. (5.1)
  • Retinal Toxicity: Irreversible retinal damage is related to cumulative dosage and treatment duration. Baseline retinal exam and exams during treatment are recommended. (5.2)
  • Serious Skin Reactions: Stevens Johnson syndrome, toxic epidermal necrolysis, drug reaction with eosinophilia and systemic symptoms, acute generalized exanthematous pustulosis have been reported. (5.3)
  • Worsening of Psoriasis: Avoid in patients with psoriasis. (5.4)
  • Risks Associated with Use in Porphyria: Avoid in patients with porphyria. Hepatotoxicity was reported in patients with porphyria cutanea tarda (5.5)
  • Hematologic Toxicity: Discontinue if myelosuppression occurs. (5.6)
  • Renal Toxicity: Consider phospholipidosis as a possible cause of renal injury in patients with underlying connective tissue disorders. Discontinue SOVUNA if renal toxicity is suspected or demonstrated by tissue biopsy in any organ system. (5.1, 5.8, 5.11)
5.3 Serious Skin Reactions

Serious adverse reactions have been reported with the use of SOVUNA including Stevens-Johnson syndrome (SJS), toxic epidermal necrolysis (TEN), drug reaction with eosinophilia and systemic symptoms (DRESS syndrome), acute generalized exanthematous pustulosis (AGEP). Monitor for serious skin reactions, especially in patients receiving a drug that may also induce dermatitis. Advise patients to seek medical attention promptly if they experience signs and symptoms of serious skin reactions such as blisters on the skin, eyes, lips or in the mouth, itching or burning, with or without fever [see Warnings and Precautions (5.4,5.5), Adverse Reactions (6)]. Discontinue SOVUNA if these severe reactions occur.

5.4 Worsening of Psoriasis

Administration of SOVUNA to patients with psoriasis may precipitate a severe flare-up of psoriasis. Avoid SOVUNA in patients with psoriasis, unless the benefit to the patient outweighs the possible risk.

1.3 Systemic Lupus Erythematosus

SOVUNA is indicated for the treatment of systemic lupus erythematosus in adults.

17 Patient Counseling Information

Important Administration Instructions

Advise the patient to take SOVUNA with food or milk and not to crush the tablet.



Cardiomyopathy and Ventricular Arrhythmias

Inform the patient that serious cardiac effects, life-threatening and fatal cases have been reported with use of SOVUNA. Advise patients to seek medical attention immediately if they experience any symptoms of heart rhythm changes including fast or irregular heartbeat, lightheadedness, dizziness, or syncope [see Warnings and Precautions (5.1)].

 

Retinal Toxicity

Inform the patient that irreversible retinal damage has been observed in some patients with the use of SOVUNA. Advise patients of the importance of the ophthalmology visits for monitoring their eyes. Instruct patients to seek medical attention promptly if they experience decreased vision or decreased dark adaptation [see Warnings and Precautions (5.2)].

 

Serious Skin Reactions

Inform the patient that severe, life-threatening skin reactions have been reported with the use of SOVUNA. Advise the patient to seek medical attention immediately if experiencing any of the following signs and symptoms: blisters on the skin, eyes, lips or in the mouth, itching or burning, with or without fever [see Warnings and Precautions (5.3)].

 

Hepatotoxicity Associated with Porphyria Cutanea Tarda

Inform the patient that liver toxicity has been reported when SOVUNA was used in patients with porphyria cutanea tarda. In some cases, PCT was diagnosed only after the occurrence of liver injury, when SOVUNA was prescribed for an approved indication. Advise the patient to seek medical attention if experiencing fatigue, rash, nausea, dark urine, or jaundice [see Warnings and Precautions (5.5)].



Skeletal Muscle Myopathy or Neuropathy

Inform the patient that muscle weakness and atrophy has been reported with SOVUNA use. Advise patients to report to the physician symptoms of muscle weakness [see Warnings and Precautions (5.8)].



Neuropsychiatric Reactions Including Suicidality

Alert patients to seek medical attention immediately if they experience new or worsening depression, suicidal thoughts, or other mood changes [see Warnings and Precautions (5.9)].

 

Hypoglycemia

Inform the patient that SOVUNA has been associated with severe hypoglycemia. Advise the patient to monitor blood sugar levels if possible and to seek medical attention if experiencing any of the signs and symptoms of hypoglycemia such as sweating, shakiness, weakness, dizziness, tachycardia, nausea, blurred vision, confusion, fainting, or loss of consciousness [see Warnings and Precautions (5.10)].

 

Pregnancy

Inform the patient that there is a pregnancy registry that monitors pregnancy outcomes in women exposed to SOVUNA during pregnancy. Encourage patients to register by contacting 1-877­311-8972 [see Use in Specific Populations (8.1)].



SOVUNA® is a registered trademark of ANI Pharmaceuticals, Inc.



Distributed by:

ANI Pharmaceuticals, Inc.

Baudette, MN 56623



LB4637-03

Package Label.principal Display Panel

SOVUNA (hydroxychloroquine sulfate) Tablets, 200 mg

NDC 70954-804-10 - Bottles of 30 tablets



SOVUNA (hydroxychloroquine sulfate) Tablets, 200 mg

NDC 70954-804-20 - Bottles of 100 tablets



SOVUNA (hydroxychloroquine sulfate) Tablets, 300 mg

NDC 70954-805-10 - Bottles of 100 tablets

1.4 Chronic Discoid Lupus Erythematosus

SOVUNA is indicated for the treatment of chronic discoid lupus erythematosus in adults.

7.2 Insulin Or Other Antidiabetic Drugs

SOVUNA may enhance the effects of insulin and antidiabetic drugs, and consequently increase the hypoglycemic risk. Therefore, a decrease in dosage of insulin and other antidiabetic drugs may be necessary [see Warnings and Precautions (5.10)].

2.1 Important Administration Instructions

Administer SOVUNA orally with food or milk. Do not crush the tablets.

5.5 Risks Associated With Use in Porphyria

Administration of SOVUNA to patients with porphyria may exacerbate porphyria. Avoid SOVUNA in patients with porphyria.



Hepatotoxicity Associated with Porphyria Cutanea Tarda

Cases of hepatotoxicity have been reported when hydroxychloroquine was used in patients with porphyria cutanea tarda (PCT). Patients received dosages ranging from 200 mg twice weekly to 400 mg daily. Most of the PCT-related cases presented with marked elevations in transaminases (>20 times upper limit of the reference range) within days to a month of hydroxychloroquine initiation. In some cases, PCT was diagnosed only after the occurrence of treatment-induced liver injury, when hydroxychloroquine was prescribed for an approved indication. Some of the cases were associated with other risk factors for hepatic injury (e.g., alcohol use, concomitant hepatotoxic medications).



Measure liver tests promptly in patients who report symptoms that may indicate liver injury, such as fatigue, rash, nausea, dark urine, or jaundice. In this clinical context, if the patient is found to have abnormal serum liver tests (e.g., ALT level greater than three times the upper limit of the reference range, total bilirubin greater than two times the upper limit of the reference range), interrupt treatment with SOVUNA, and investigate further to establish the probable cause.



The safety and effectiveness of SOVUNA for the treatment of PCT have not been established and SOVUNA is not approved for this use.

5.8 Skeletal Muscle Myopathy Or Neuropathy

Skeletal muscle myopathy or neuropathy leading to progressive weakness and atrophy of proximal muscle groups, depressed tendon reflexes, and abnormal nerve conduction, have been reported. Muscle and nerve biopsies have shown associated phospholipidosis. Drug-induced phospholipidosis may occur in other organ systems [see Warnings and Precautions

(5.1, 5.11)].



Assess muscle strength and deep tendon reflexes periodically in patients on long-term therapy with SOVUNA. Discontinue SOVUNA if muscle or nerve toxicity is suspected or demonstrated by tissue biopsy.

7.3 Drugs That Lower the Seizure Threshold

SOVUNA can lower the seizure threshold. Co-administration of SOVUNA with other antimalarials known to lower the seizure threshold (e.g., mefloquine) may increase the risk of seizures.

8.6 Patients With Renal Or Hepatic Disease

A reduction in the dosage of SOVUNA may be necessary in patients with hepatic or renal disease.

2.3 Dosage for Rheumatoid Arthritis in Adults

The recommended dosage is:

  • Initial dosage: 400 mg to 600 mg daily as a single daily dose or two divided doses. The action of hydroxychloroquine is cumulative and may require weeks to months for maximum therapeutic effect.  Daily doses exceeding 5 mg/kg (actual weight) of hydroxychloroquine sulfate increase the incidence of retinopathy [see Warnings and Precautions (5.2)].
  • Chronic dosage: 200 mg, 300 mg or 400 mg daily, as a single dose or two divided doses.


Corticosteroids, salicylates, and other antirheumatic agents may be used concomitantly with SOVUNA.

5.1 Cardiomyopathy and Ventricular Arrhythmias

Fatal and life-threatening cases of cardiotoxicity, including cardiomyopathy, have been reported in patients treated with SOVUNA. Signs and symptoms of cardiac compromise have occurred during acute and chronic SOVUNA treatment. In multiple cases, endomyocardial biopsy showed association of the cardiomyopathy with phospholipidosis in the absence of inflammation, infiltration, or necrosis. Drug-induced phospholipidosis may occur in other organ systems [see Warnings and Precautions (5.8, 5.11)].



Patients may present with ventricular hypertrophy, pulmonary hypertension and conduction disorders including sick sinus syndrome. ECG findings include atrioventricular, right or left bundle branch block.



SOVUNA has a potential to prolong the QT interval. Ventricular arrhythmias (including torsades de pointes) have been reported in SOVUNA-treated patients. The magnitude of QT prolongation may increase with increasing concentrations of the drug. Therefore, the recommended dose should not be exceeded [see Adverse Reactions (6), Overdosage (10)]. Avoid SOVUNA administration in patients with congenital or documented acquired QT prolongation and/or known risk factors for prolongation of the QT interval such as:

  • Cardiac disease, e.g., heart failure, myocardial infarction.
  • Proarrhythmic conditions, e.g., bradycardia (< 50 bpm).
  • History of ventricular dysrhythmias.
  • Uncorrected hypokalemia and/or hypomagnesemia.
  • Concomitant administration with QT interval prolonging agents  as this may lead to an increased risk for ventricular arrhythmias [see Drug Interactions (7.1)].

 

Therefore, SOVUNA is not recommended in patients taking other drugs that have the potential to prolong the QT interval. Correct electrolyte imbalances prior to use. Monitor cardiac function as clinically indicated during SOVUNA therapy. Discontinue SOVUNA if cardiotoxicity is suspected or demonstrated by tissue biopsy.

5.7 Hemolytic Anemia Associated With G6pd Deficiency

Hemolysis has been reported in patients with glucose-6-phosphate dehydrogenase (G6PD) deficiency. Monitor for hemolytic anemia as this can occur, particularly in association with other drugs that cause hemolysis.

5.9 Neuropsychiatric Reactions Including Suicidality

Suicidal behavior, suicidal ideation, and other neuropsychiatric adverse reactions have been reported in patients treated with SOVUNA [see Adverse Reactions (6)].



Neuropsychiatric adverse reactions typically occurred within the first month after the start of treatment with hydroxychloroquine and have been reported in patients with and without a prior history of psychiatric disorders.



The risks and benefits of continued treatment with SOVUNA should be assessed for patients who develop these symptoms. Given the long half-life of the drug, some patients may require several weeks off drug for symptoms to partially or fully abate.



Advise patients to contact their healthcare provider promptly if they experience new or worsening neuropsychiatric symptoms such as depression, suicidal thoughts or behavior, or mood changes.

2.4 Dosage for Systemic Lupus Erythematosus in Adults

The recommended dosage is 200 mg, 300 mg or 400 mg daily, as a single dose or two divided doses

2.2 Dosage for Malaria in Adult and Pediatric Patients

SOVUNA is not recommended in pediatric patients less than 23 kg because the lowest possible dose of 150 mg (half of the scored 300 mg tablet) exceeds the recommended dose for these patients.



Prophylaxis

Treatment must start 2 weeks before travel to an endemic area. Advise the patient to take the prophylaxis dosage once a week, staring 2 weeks prior to travel to the endemic area, on the same day every week, continuing the same weekly dose while in the endemic area, and for 4 weeks after leaving the endemic area. The recommended prophylaxis dosage is:

  • Adult patients: 400 mg once a week
  • Pediatric patients weighing greater than or equal to 23 kg: 6.5 mg/kg actual body weight (up to 400 mg) once a week


Treatment of Uncomplicated Malaria

The dosages for the treatment of uncomplicated malaria are:

  • Adult patients: Administer 800 mg initially; subsequently administer 400 mg at 6 hours, 24 hours, and 48 hours after the initial dose (total dosage = 2,000 mg).
  • Pediatric patients weighing greater than or equal to 23 kg: Administer 13 mg/kg (up to 800 mg) initially; subsequently administer 6.5 mg/kg (up to 400 mg) at 6 hours, 24 hours, and 48 hours after the initial dose (total dosage = 31 mg/kg - up to 2,000 mg).


For radical cure of P. vivax and P. ovale infections, concomitant therapy with an 8­aminoquinoline drug is necessary [see Microbiology (12.4)].

13.1 Carcinogenesis & Mutagenesis & Impairment of Fertility

No carcinogenicity or genotoxicity studies have been conducted with hydroxychloroquine. No animal studies have been performed to evaluate the potential effects of hydroxychloroquine on reproduction or development, or to determine potential effects on fertility in males or females.

2.5 Dosage for Chronic Discoid Lupus Erythematosus in Adults

The recommended dosage is 200 mg or 400 mg daily, as a single dose or two divided doses.

7.1 Drugs Prolonging Qt Interval and Other Arrhythmogenic Drugs

SOVUNA prolongs the QT interval. There may be an increased risk of inducing ventricular arrhythmias if SOVUNA is used concomitantly with other arrhythmogenic drugs. Therefore, SOVUNA is not recommended in patients taking other drugs that have the potential to prolong the QT interval or are arrhythmogenic [see Warnings and Precautions (5.1)].


Structured Label Content

1.1 Malaria

SOVUNA is indicated in adult and pediatric patients for the:

  • Treatment of uncomplicated malaria due to Plasmodium falciparum, Plasmodium malariae, Plasmodium vivax, and Plasmodium ovale.
  • Prophylaxis of malaria in geographic areas where chloroquine resistance is not reported.


Limitations of Use:

SOVUNA is not recommended for:

  • Treatment of complicated malaria.
  • Treatment of malaria by chloroquine or hydroxychloroquine-resistant strains of Plasmodium species [see Microbiology (12.4)].
  • Treatment of malaria acquired in geographic areas where chloroquine resistance occurs or when the Plasmodium species has not been identified.
  • Prophylaxis of malaria in geographic areas where chloroquine resistance occurs.
  • Prevention of relapses of P. vivax or P. ovale because it is not active against the hypnozoite liver stage forms of these parasites. For radical cure of P. vivax and P. ovale infections, concomitant therapy with an 8-aminoquinoline drug is necessary [see Microbiology (12.4)].


For the most current information about drug resistance, refer to the latest recommendations from the Center for Disease Control and Prevention.1

7.7 Digoxin

Concomitant SOVUNA and digoxin therapy may result in increased serum digoxin levels. Monitor serum digoxin levels closely in patients receiving combined therapy.

16.2 Storage

Dispense in a tight, light-resistant container as defined in the USP/NF. Keep out of the reach of children.



Store at room temperature between 20°C and 25°C (68°F and 77°F), allow excursions between 15°C and 30°C (59°F and 86°F).

10 Overdosage (10 OVERDOSAGE)

SOVUNA overdosage symptoms have an onset within 1–3 hours of ingestion. The following have been reported with SOVUNA overdosage:

  • Cardiovascular toxicity, including QRS or QTc prolongation, ventricular tachycardia, ventricular fibrillation, torsade de pointes, atrioventricular block, cardiac arrest and death.
  • Life-threatening hypotension is common.
  • Severe hypokalemia secondary to an intracellular shift is common in severe toxicity.
  • Central nervous system (CNS) depression, seizures, visual disturbances, transient blindness, and coma may occur.


Gastrointestinal decontamination procedures warrant consideration in patients that present within the first hour post-ingestion. If the level of consciousness rapidly deteriorates in severe poisoning, consider intubation before gastrointestinal decontamination procedures. Monitor plasma potassium levels and manage accordingly. Hemofiltration, hemodialysis, and hemoperfusion are not of benefit.



Consider contacting a poison center (1-800-221-2222) or a medical toxicologist for overdosage management recommendations.

15 References (15 REFERENCES)

1Center for Disease Control and Prevention. Malaria.

https://www.cdc.gov/parasites/malaria/index.html

8.1 Pregnancy

Pregnancy Exposure Registry

There is a pregnancy exposure registry that monitors pregnancy outcomes in women exposed to SOVUNA during pregnancy. Encourage patients to register by contacting 1-877-311-8972.



Risk Summary

Prolonged clinical experience over decades of use and available data from published epidemiologic and clinical studies with hydroxychloroquine use in pregnant women have not identified a drug-associated risk of major birth defects, miscarriage, or adverse maternal, or fetal outcomes (see Data). There are risks to the mother and fetus associated with untreated or increased disease activity from malaria, rheumatoid arthritis, and systemic lupus erythematosus in pregnancy (see Clinical Considerations). Animal reproduction studies were not conducted with hydroxychloroquine.



The estimated background risk of major birth defects and miscarriage for the indicated populations is unknown. All pregnancies have a background risk of birth defect, loss, or other adverse outcomes.  In the US general population, the estimated background risk of major birth defects and miscarriage in clinically recognized pregnancies is 2-4% and 15-20%, respectively.



Clinical Considerations

Disease-Associated Maternal and/or Embryo-Fetal Risk

 

Malaria: Malaria during pregnancy increases the risk for adverse pregnancy outcomes, including maternal anemia, prematurity, spontaneous abortion, and stillbirth.



Rheumatoid Arthritis: Published data suggest that increased disease activity is associated with the risk of developing adverse pregnancy outcomes in women with rheumatoid arthritis Adverse pregnancy outcomes include preterm delivery (before 37 weeks of gestation), low birth weight (less than 2500 g) infants, and small for gestational age at birth.



Systemic Lupus Erythematosus: Pregnant women with systemic lupus erythematosus, especially those with increased disease activity, are at increased risk of adverse pregnancy outcomes, including spontaneous abortion, fetal death, preeclampsia, preterm birth, and intrauterine growth restriction. Passage of maternal auto-antibodies across the placenta may result in neonatal illness, including neonatal lupus and congenital heart block.



Data

Human Data

Data from published epidemiologic and clinical studies have not established an association with SOVUNA use during pregnancy and major birth defects, miscarriage, or adverse maternal or fetal outcomes.  Hydroxychloroquine readily crosses the placenta with cord blood levels corresponding to maternal plasma levels. No retinal toxicity, ototoxicity, cardiotoxicity, or growth and developmental abnormalities have been observed in children who were exposed to hydroxychloroquine in utero.  Available epidemiologic and clinical studies have methodological limitations including small sample size and study design.

8.2 Lactation

Risk Summary

Published lactation data report that hydroxychloroquine is present in human milk at low levels. No adverse reactions have been reported in breastfed infants.  No retinal toxicity, ototoxicity, cardiotoxicity, or growth and developmental abnormalities have been observed in children who were exposed to hydroxychloroquine through breastmilk. There is no information on the effect of hydroxychloroquine on milk production. The developmental and health benefits of breastfeeding should be considered along with the mother’s clinical need for SOVUNA and any potential adverse effects on the breastfed child from SOVUNA or from the underlying maternal condition.

11 Description (11 DESCRIPTION)

SOVUNA contains hydroxychloroquine sulfate, an antimalarial and antirheumatic drug, chemically described as 2-[[4-[(7-Chloro-4- quinolyl)amino]pentyl]ethylamino] ethanol sulfate (1:1) with the molecular formula C18H26ClN3O•H2SO4. The molecular weight of hydroxychloroquine sulfate is 433.95. Its structural formula is:



Hydroxychloroquine sulfate is a white or off-white crystalline powder, freely soluble in water; practically soluble in alcohol, chloroform, and ether.



Each SOVUNA (hydroxychloroquine sulfate) Tablet, 200 mg for oral administration contains 200 mg hydroxychloroquine sulfate, equivalent to 155 mg base.



Each SOVUNA (hydroxychloroquine sulfate) Tablet, 300 mg for oral administration contains 300 mg hydroxychloroquine sulfate, equivalent to 232 mg base.



Inactive Ingredients: Corn starch, croscarmellose sodium,hypromellose, lactose monohydrate, magnesium stearate, polyethylene glycol, polysorbate 80, sucralose, talc, titanium dioxide, triacetin and water.



FDA approved dissolution test and acceptance criterion differ from USP.

7.8 Cimetidine

Concomitant use of cimetidine resulted in a 2-fold increase of exposure of chloroquine, which is structurally related to hydroxychloroquine. Interaction of cimetidine with hydroxychloroquine cannot be ruled out. Avoid concomitant use of cimetidine.

7.9 Rifampicin

Lack of efficacy of hydroxychloroquine was reported when rifampicin was concomitantly administered. Avoid concomitant use of rifampicin.

7.12 Ampicillin

In a study of healthy volunteers, chloroquine significantly reduced the bioavailability of ampicillin. Interaction of ampicillin with hydroxychloroquine cannot be ruled out.

7.5 Methotrexate

Concomitant use of SOVUNA and methotrexate may increase the incidence of adverse reactions.

7.6 Cyclosporine

An increased plasma cyclosporin level was reported when cyclosporin and SOVUNA were co-administered. Monitor serum cyclosporine levels closely in patients receiving combined therapy.

12.4 Microbiology

Mechanism of Action in Malaria

The precise mechanism by which hydroxychloroquine exhibits activity against Plasmodium is not known. Hydroxychloroquine is a weak base and may exert its effect by concentrating in the acid vesicles of the parasite and inhibiting polymerization of heme.  It can also inhibit certain enzymes by its interaction with DNA.



Antimicrobial Activity

Hydroxychloroquine is active against the erythrocytic forms of chloroquine sensitive strains of P. falciparum, P. malariae, P. vivax, and P. ovale. Hydroxychloroquine is not active against the gametocytes and exoerythrocytic forms including the hypnozoite liver stage forms of P. vivax and P. ovale.



Drug Resistance

P. falciparum strains exhibiting reduced susceptibility to chloroquine also show reduced susceptibility to hydroxychloroquine.  Resistance of Plasmodium parasites to chloroquine is widespread [see Indications and Usage (1.1)].

16.1 How Supplied

SOVUNA (hydroxychloroquine sulfate) Tablets are available in the following strengths and packing configurations:



  • 200 mg of hydroxychloroquine sulfate: white to off-white, capsule-shaped, film-coated tablets, debossed with "172" on one side and plain on the other side.


         Bottles of 30 tablets with child resistant closure (NDC 70954-804-10)

         Bottles of 100 tablets with child resistant closure (NDC 70954-804-20)



  • 300 mg of hydroxychloroquine sulfate: white to off-white, functionally scored, capsule-shaped, film-coated tablets, debossed with "1" on left side of the score and "71" on right side of the score and plain on the other side.


         Bottles of 100 tablets with child resistant closure (NDC 70954-805-10)

5.10 Hypoglycemia

SOVUNA can cause severe and potentially life-threatening hypoglycemia, in the presence or absence of antidiabetic agents [see Drug Interactions (7)].  Measure blood glucose in patients presenting with clinical symptoms suggestive of hypoglycemia and as adjust the antidiabetic treatment as necessary. Warn SOVUNA-treated patients about the risk of hypoglycemia and educate them on the signs and symptoms of hypoglycemia; diabetic patients should monitor their blood sugar levels. Advise patients to seek medical attention if they develop any signs and symptoms of hypoglycemia.

7.10 Praziquantel

Chloroquine has been reported to reduce the bioavailability of praziquantel. Interaction of praziquantel with hydroxychloroquine cannot be ruled out.

8.4 Pediatric Use

The safety and effectiveness of SOVUNA have been established in pediatric patients for the treatment of uncomplicated malaria due to P. falciparum, P. malariae, P. vivax, and P. ovale, as well as for the prophylaxis of malaria in geographic areas where chloroquine resistance is not reported. However, this product cannot be directly administered to pediatric patients weighing less than 23 kg because the lowest possible dose of 150 mg (half of the scored 300 mg tablet) exceeds the recommended dose for these patients [see Dosage and Administration (2.2)].



The safety and effectiveness of SOVUNA have not been established in pediatric patients for the treatment of rheumatoid arthritis, chronic discoid lupus erythematosus, or systemic lupus erythematosus.

8.5 Geriatric Use

Clinical trials of SOVUNA did not include sufficient numbers of patients 65 years of age and older to determine whether they respond differently from younger adult patients.  Nevertheless, this drug is known to be substantially excreted by the kidney, and the risk of toxic reactions to this drug may be greater in patients with impaired renal function. In general, dose selection in geriatric patients should start with the lowest recommended dose, taking into consideration the greater frequency of decreased hepatic, renal or cardiac function, and of concomitant disease or other drug therapy.

7.4 Antiepileptics

The activity of antiepileptic drugs might be impaired if co-administered with SOVUNA.

4 Contraindications (4 CONTRAINDICATIONS)

SOVUNA is contraindicated in patients with known hypersensitivity to 4-aminoquinoline compounds.

5.11 Renal Toxicity

Proteinuria with or without moderate reduction in glomerular filtration rate have been reported with the use of SOVUNA.



Renal biopsy showed phospholipidosis without immune deposits, inflammation, and/or increased cellularity. Physicians should consider phospholipidosis as a possible cause of renal injury in patients with underlying connective tissue disorders who are receiving SOVUNA. Drug-induced phospholipidosis may occur in other organ systems [see Warnings and Precautions (5.1, 5.8)]. Discontinue SOVUNA if renal toxicity is suspected or demonstrated by tissue biopsy.

6 Adverse Reactions (6 ADVERSE REACTIONS)

The following adverse reactions are described in greater detail in other sections:

  • Cardiomyopathy and Ventricular Arrhythmias [see Warnings and Precautions (5.1)]
  • Retinal Toxicity [see Warnings and Precautions (5.2)]
  • Serious Skin Reactions [see Warnings and Precautions (5.3)]
  • Worsening of Psoriasis [see Warnings and Precautions (5.4)]
  • Risks Associated with Use in Porphyria [see Warnings and Precautions (5.5)]
  • Hematologic Toxicity [see Warnings and Precautions (5.6)]
  • Hemolytic Anemia Associated with G6PD [see Warnings and Precautions (5.7)]
  • Skeletal Muscle Myopathy or Neuropathy [see Warnings and Precautions (5.8)]
  • Neuropsychiatric Reactions Including Suicidality [see Warnings and Precautions (5.9)]
  • Hypoglycemia [see Warnings and Precautions (5.10)] 
  • Renal Toxicity [see Warnings and Precautions (5.11)]

 

The following adverse reactions have been identified during post-approval use of 4­ aminoquinoline drugs, including SOVUNA. Because these reactions are reported voluntarily from a population of uncertain size, it is not always possible to reliably estimate their frequency or establish a causal relationship to drug exposure:



  • Blood and lymphatic system disorders: Bone marrow depression, anemia, aplastic anemia, agranulocytosis, leukopenia, thrombocytopenia
  • Cardiac disorders: Cardiomyopathy, cardiac failure, QT-interval prolongation, ventricular tachycardia, torsades de pointes, atrioventricular block, bundle branch block, sick sinus syndrome, pulmonary hypertension
  • Ear and labyrinth disorders: Vertigo, tinnitus, nystagmus, sensorineural hearing loss
  • Eye disorders: Retinopathy, retinal pigmentation changes (typically bull’s eye appearance), visual field defects (paracentral scotomas), macular degeneration, corneal edema, corneal opacities, decreased dark adaptation
  • Gastrointestinal disorders: Nausea, vomiting, diarrhea, abdominal pain
  • General disorders: Fatigue
  • Hepatobiliary disorders: Abnormal liver function tests, fulminant hepatic failure
  • Immune system disorders: Urticaria, angioedema, bronchospasm
  • Metabolism and nutrition disorders: Anorexia, hypoglycemia, weight loss
  • Musculoskeletal and connective tissue disorders: Proximal myopathy, depressed tendon reflexes, abnormal nerve conduction
  • Nervous system disorders: Ataxia, dizziness, headache, seizure, extrapyramidal disorders (dystonia, dyskinesia, tremor)
  • Neuropsychiatric disorders: Affect/emotional lability, irritability, nervousness, psychosis, suicidal ideation, suicidal behavior, depression, hallucinations, anxiety, agitation, confusion, delusions, paranoia, mania and sleep disorders (insomnia, night terrors, nightmares)
  • Skin and subcutaneous tissue disorders: Alopecia, hair color changes, rash, pruritus, photosensitivity, psoriasis exacerbation, hyperpigmentation, exfoliative dermatitis, erythema multiforme, acute generalized exanthematous pustulosis, Drug Rash with Eosinophilia and Systemic Symptoms (DRESS syndrome), Stevens-Johnson syndrome (SJS), toxic epidermal necrolysis (TEN)
7 Drug Interactions (7 DRUG INTERACTIONS)
  • Drugs Prolonging QT Interval and Other Arrhythmogenic Drugs. (7.1)
  • See FPI for more important drug interactions. (7)
5.2 Retinal Toxicity

Irreversible retinal damage was observed in some patients treated with hydroxychloroquine sulfate and it is related to cumulative dosage and treatment duration.  In patients of Asian descent, retinal toxicity may first be noticed outside the macula.



Risk factors for retinal damage include daily hydroxychloroquine sulfate dosages ≥5 mg/kg of actual body weight, durations of use greater than five years, renal impairment, use of concomitant drug products such as tamoxifen citrate, and concurrent macular disease.



Within the first year of starting SOVUNA, a baseline ocular examination is recommended including best corrected distance visual acuity (BCVA), an automated threshold visual field (VF) of the central 10 degrees (with retesting if an abnormality is noted), and spectral domain ocular coherence tomography (SD-OCT).  For patients at higher risk of retinal damage, monitoring should include annual examinations which include BCVA, VF and SD-OCT. For patients without significant risk factors, annual retinal exams can usually be deferred until five years of treatment.  In patients of Asian descent, it is recommended that visual field testing be performed in the central 24 degrees instead of the central 10 degrees.



If ocular toxicity is suspected, discontinue SOVUNA and monitor the patient closely given that retinal changes and visual disturbances may progress even after cessation of therapy.

1 Indications & Usage (1 INDICATIONS & USAGE)

SOVUNA is an antimalarial and antirheumatic indicated for the:

  • Treatment of uncomplicated malaria due to Plasmodium falciparum, Plasmodium malariae, Plasmodium ovale, and Plasmodium vivax in adult and pediatric patients. (1.1)
  • Prophylaxis of malaria in geographic areas where chloroquine resistance is not reported in adult and pediatric patients. (1.1)
  • Treatment of rheumatoid arthritis in adults. (1.2)
  • Treatment of systemic lupus erythematosus in adults. (1.3)
  • Treatment of chronic discoid lupus erythematosus in adults. (1.4)


Limitations of Use (1.1):

SOVUNA is not recommended for the:

  • Treatment of complicated malaria.
  • Treatment of chloroquine or hydroxychloroquine-resistant strains of Plasmodium species.
  • Treatment of malaria acquired in geographic areas where chloroquine resistance occurs or when the Plasmodium species has not been identified.
  • Prophylaxis of malaria in geographic areas where chloroquine resistance occurs.
  • Prevention of relapses of P. vivax or P. ovale because it is not active against the hypnozoite liver stage forms of these parasites. For radical cure of P. vivax and P. ovale infections, concomitant therapy with an 8-aminoquinoline drug is necessary.
12.2 Pharmacodynamics

The exposure-response relationship and time course of pharmacodynamic response for the safety and effectiveness of hydroxychloroquine have not been fully characterized.

12.3 Pharmacokinetics

Following oral administration, the whole blood concentration of hydroxychloroquine at steady state is dose proportional over a dose range from 200 mg daily to 400 mg daily of hydroxychloroquine in rheumatoid arthritis and lupus patients.

 

Absorption

Following a single 200 mg oral dose of hydroxychloroquine to healthy male volunteers, whole blood hydroxychloroquine Cmax was 129.6 ng/mL (plasma Cmax was 50.3 ng/mL) with Tmax of 3.3 hours (plasma Tmax 3.7 hours). Peak blood concentrations of metabolites were observed at the same time as peak levels of hydroxychloroquine. Mean absolute oral bioavailability is 79% (SD: 12%) in fasting conditions.



Peak blood concentrations ranged from 1161 ng/mL to 2436 ng/mL (mean 1918 ng/mL) following a single dose of 155 mg intravenous infusion and from 2290 ng/mL to 4211 ng/mL (mean 3312 ng/mL) following a single dose of 310 mg intravenous infusion in healthy subjects. Pharmacokinetic parameters were not significantly different over the therapeutic dose range of 155 mg and 310 mg indicating linear kinetics.



In patients with rheumatoid arthritis, there was large variability as to the fraction of the dose absorbed (i.e., 30 to 100%), and mean hydroxychloroquine levels were significantly higher in patients with less disease activity.



Distribution

Hydroxychloroquine is extensively distributed to tissues and has a large volume of distribution. Approximately 50% of hydroxychloroquine is bound to plasma proteins.



Metabolism

Significant levels of three metabolites, desethylhydroxychloroquine (DHCQ), desethylchloroquine (DCQ), and bidesethylhydroxychloroquine (BDCQ) were found in plasma and blood, with DHCQ being the major metabolite. In vitro, hydroxychloroquine is metabolized mainly by CYP2C8, CYP3A4 and CYP2D6 as well as by FMO-1 and MAO-A.



Elimination / Excretion

Renal clearance in patients with rheumatoid arthritis treated with hydroxychloroquine for at least 6 months was similar to that in single dose studies in healthy volunteers, suggesting that no change in clearance occurred with chronic dosing. Renal clearance of unchanged hydroxychloroquine was approximately 16% to 30% of the dose after oral and IV administration. Results following a single oral dose of a 200 mg tablet demonstrated a half-life of hydroxychloroquine about 40 days in whole blood. Following chronic oral administration of hydroxychloroquine, the absorption half-life of hydroxychloroquine was approximately 3 to 4 hours and the terminal half-life ranged from 40 to 50 days in whole blood. The effective half-life of hydroxychloroquine is likely to be shorter and steady state is achieved by 6 weeks following 400 mg daily oral administration in rheumatoid arthritis patients.

 

Drug Interaction Studies

In vitro study suggested that hydroxychloroquine has a potential to inhibit CYP2D6, CYP3A4, P-glycoproteins (P-gp), MATE1 and MATE2-K.



In vitro study suggested that hydroxychloroquine has no significant potential to inhibit CYP1A2, CYP2B6, CYP2C8, CYP2C9, CYP2C19, and the main transporters OATP1B1, OATP1B3, OAT1, OAT3, OCT1, and OCT2. In vitro, hydroxychloroquine has no significant potential to induce CYP1A2, CYP2B6 and CYP3A4.

1.2 Rheumatoid Arthritis

SOVUNA is indicated for the treatment of acute and chronic rheumatoid arthritis in adults.

12.1 Mechanism of Action

Malaria

Hydroxychloroquine is a 4-aminoquinoline antimalarial [see Microbiology (12.4)] and antirheumatic agent.



Rheumatoid Arthritis, Systemic Lupus Erythematosus and Chronic Discoid Lupus Erythematosus

The mechanisms underlying the anti-inflammatory and immunomodulatory effects of SOVUNA in the treatment of rheumatoid arthritis, chronic discoid lupus erythematosus and systemic lupus erythematosus are not fully known.

5.6 Hematologic Toxicity

SOVUNA may cause myelosuppression including aplastic anemia, agranulocytosis, leukopenia, or thrombocytopenia. Monitor blood cell counts periodically in patients on prolonged SOVUNA therapy. If the patient develops myelosuppression which cannot be attributable to the disease, discontinue the drug.

7.11 Antacids and Kaolin (7.11 Antacids and kaolin)

Antacids and kaolin can reduce absorption of chloroquine; an interval of at least 4 hours between intake of these agents and chloroquine should be observed. Interaction of antacids and kaolin with hydroxychloroquine cannot be ruled out.

2 Dosage & Administration (2 DOSAGE & ADMINISTRATION)

Malaria in Adult and Pediatric Patients (2.2):

  • Prophylaxis: Begin weekly doses 2 weeks prior to travel to the endemic area, continue weekly doses while in the endemic area, and continue the weekly doses for 4 weeks after leaving the endemic area:

         Adults:  400 mg once a week

         Pediatric patients weighing greater than or equal to 23 kg: 6.5 mg/kg actual body weight up to 400 mg, once a week

  • Treatment of Uncomplicated Malaria: See Full Prescribing Information (FPI) for complete dosing information.

 

Rheumatoid Arthritis in Adults (2.3):

  • Initial dosage: 400 mg to 600 mg daily
  • Chronic dosage: 200 mg, 300 mg or 400 mg once daily (or in two divided doses)

 

Systemic Lupus Erythematosus in Adults (2.4):

  • 200 mg, 300 mg or 400 mg once daily (or in two divided doses)


Chronic Discoid Lupus Erythematosus in Adults (2.5):

200 mg or 400 mg once daily (or in two divided doses)

3 Dosage Forms & Strengths (3 DOSAGE FORMS & STRENGTHS)

SOVUNA tablets are available in the following strengths:

  • 200 mg of hydroxychloroquine sulfate: white to off-white, capsule-shaped, film-coated tablets, debossed with "172" on one side and plain on the other side.
  • 300 mg of hydroxychloroquine sulfate: white to off-white, functionally scored, capsule-shaped, film-coated tablets, debossed with "1" on left side of the score and "71" on right side of the score and plain on the other side. The scoring allows the tablet to be divided into two equal halves containing 150 mg each.
5 Warnings and Precautions (5 WARNINGS AND PRECAUTIONS)
  • Cardiomyopathy and Ventricular Arrhythmias: Fatal or life-threatening cardiomyopathy and ventricular arrhythmias were reported. (5.1)
  • Retinal Toxicity: Irreversible retinal damage is related to cumulative dosage and treatment duration. Baseline retinal exam and exams during treatment are recommended. (5.2)
  • Serious Skin Reactions: Stevens Johnson syndrome, toxic epidermal necrolysis, drug reaction with eosinophilia and systemic symptoms, acute generalized exanthematous pustulosis have been reported. (5.3)
  • Worsening of Psoriasis: Avoid in patients with psoriasis. (5.4)
  • Risks Associated with Use in Porphyria: Avoid in patients with porphyria. Hepatotoxicity was reported in patients with porphyria cutanea tarda (5.5)
  • Hematologic Toxicity: Discontinue if myelosuppression occurs. (5.6)
  • Renal Toxicity: Consider phospholipidosis as a possible cause of renal injury in patients with underlying connective tissue disorders. Discontinue SOVUNA if renal toxicity is suspected or demonstrated by tissue biopsy in any organ system. (5.1, 5.8, 5.11)
5.3 Serious Skin Reactions

Serious adverse reactions have been reported with the use of SOVUNA including Stevens-Johnson syndrome (SJS), toxic epidermal necrolysis (TEN), drug reaction with eosinophilia and systemic symptoms (DRESS syndrome), acute generalized exanthematous pustulosis (AGEP). Monitor for serious skin reactions, especially in patients receiving a drug that may also induce dermatitis. Advise patients to seek medical attention promptly if they experience signs and symptoms of serious skin reactions such as blisters on the skin, eyes, lips or in the mouth, itching or burning, with or without fever [see Warnings and Precautions (5.4,5.5), Adverse Reactions (6)]. Discontinue SOVUNA if these severe reactions occur.

5.4 Worsening of Psoriasis

Administration of SOVUNA to patients with psoriasis may precipitate a severe flare-up of psoriasis. Avoid SOVUNA in patients with psoriasis, unless the benefit to the patient outweighs the possible risk.

1.3 Systemic Lupus Erythematosus

SOVUNA is indicated for the treatment of systemic lupus erythematosus in adults.

17 Patient Counseling Information (17 PATIENT COUNSELING INFORMATION)

Important Administration Instructions

Advise the patient to take SOVUNA with food or milk and not to crush the tablet.



Cardiomyopathy and Ventricular Arrhythmias

Inform the patient that serious cardiac effects, life-threatening and fatal cases have been reported with use of SOVUNA. Advise patients to seek medical attention immediately if they experience any symptoms of heart rhythm changes including fast or irregular heartbeat, lightheadedness, dizziness, or syncope [see Warnings and Precautions (5.1)].

 

Retinal Toxicity

Inform the patient that irreversible retinal damage has been observed in some patients with the use of SOVUNA. Advise patients of the importance of the ophthalmology visits for monitoring their eyes. Instruct patients to seek medical attention promptly if they experience decreased vision or decreased dark adaptation [see Warnings and Precautions (5.2)].

 

Serious Skin Reactions

Inform the patient that severe, life-threatening skin reactions have been reported with the use of SOVUNA. Advise the patient to seek medical attention immediately if experiencing any of the following signs and symptoms: blisters on the skin, eyes, lips or in the mouth, itching or burning, with or without fever [see Warnings and Precautions (5.3)].

 

Hepatotoxicity Associated with Porphyria Cutanea Tarda

Inform the patient that liver toxicity has been reported when SOVUNA was used in patients with porphyria cutanea tarda. In some cases, PCT was diagnosed only after the occurrence of liver injury, when SOVUNA was prescribed for an approved indication. Advise the patient to seek medical attention if experiencing fatigue, rash, nausea, dark urine, or jaundice [see Warnings and Precautions (5.5)].



Skeletal Muscle Myopathy or Neuropathy

Inform the patient that muscle weakness and atrophy has been reported with SOVUNA use. Advise patients to report to the physician symptoms of muscle weakness [see Warnings and Precautions (5.8)].



Neuropsychiatric Reactions Including Suicidality

Alert patients to seek medical attention immediately if they experience new or worsening depression, suicidal thoughts, or other mood changes [see Warnings and Precautions (5.9)].

 

Hypoglycemia

Inform the patient that SOVUNA has been associated with severe hypoglycemia. Advise the patient to monitor blood sugar levels if possible and to seek medical attention if experiencing any of the signs and symptoms of hypoglycemia such as sweating, shakiness, weakness, dizziness, tachycardia, nausea, blurred vision, confusion, fainting, or loss of consciousness [see Warnings and Precautions (5.10)].

 

Pregnancy

Inform the patient that there is a pregnancy registry that monitors pregnancy outcomes in women exposed to SOVUNA during pregnancy. Encourage patients to register by contacting 1-877­311-8972 [see Use in Specific Populations (8.1)].



SOVUNA® is a registered trademark of ANI Pharmaceuticals, Inc.



Distributed by:

ANI Pharmaceuticals, Inc.

Baudette, MN 56623



LB4637-03

Package Label.principal Display Panel (PACKAGE LABEL.PRINCIPAL DISPLAY PANEL)

SOVUNA (hydroxychloroquine sulfate) Tablets, 200 mg

NDC 70954-804-10 - Bottles of 30 tablets



SOVUNA (hydroxychloroquine sulfate) Tablets, 200 mg

NDC 70954-804-20 - Bottles of 100 tablets



SOVUNA (hydroxychloroquine sulfate) Tablets, 300 mg

NDC 70954-805-10 - Bottles of 100 tablets

1.4 Chronic Discoid Lupus Erythematosus

SOVUNA is indicated for the treatment of chronic discoid lupus erythematosus in adults.

7.2 Insulin Or Other Antidiabetic Drugs (7.2 Insulin or Other Antidiabetic Drugs)

SOVUNA may enhance the effects of insulin and antidiabetic drugs, and consequently increase the hypoglycemic risk. Therefore, a decrease in dosage of insulin and other antidiabetic drugs may be necessary [see Warnings and Precautions (5.10)].

2.1 Important Administration Instructions

Administer SOVUNA orally with food or milk. Do not crush the tablets.

5.5 Risks Associated With Use in Porphyria (5.5 Risks Associated with Use in Porphyria)

Administration of SOVUNA to patients with porphyria may exacerbate porphyria. Avoid SOVUNA in patients with porphyria.



Hepatotoxicity Associated with Porphyria Cutanea Tarda

Cases of hepatotoxicity have been reported when hydroxychloroquine was used in patients with porphyria cutanea tarda (PCT). Patients received dosages ranging from 200 mg twice weekly to 400 mg daily. Most of the PCT-related cases presented with marked elevations in transaminases (>20 times upper limit of the reference range) within days to a month of hydroxychloroquine initiation. In some cases, PCT was diagnosed only after the occurrence of treatment-induced liver injury, when hydroxychloroquine was prescribed for an approved indication. Some of the cases were associated with other risk factors for hepatic injury (e.g., alcohol use, concomitant hepatotoxic medications).



Measure liver tests promptly in patients who report symptoms that may indicate liver injury, such as fatigue, rash, nausea, dark urine, or jaundice. In this clinical context, if the patient is found to have abnormal serum liver tests (e.g., ALT level greater than three times the upper limit of the reference range, total bilirubin greater than two times the upper limit of the reference range), interrupt treatment with SOVUNA, and investigate further to establish the probable cause.



The safety and effectiveness of SOVUNA for the treatment of PCT have not been established and SOVUNA is not approved for this use.

5.8 Skeletal Muscle Myopathy Or Neuropathy (5.8 Skeletal Muscle Myopathy or Neuropathy)

Skeletal muscle myopathy or neuropathy leading to progressive weakness and atrophy of proximal muscle groups, depressed tendon reflexes, and abnormal nerve conduction, have been reported. Muscle and nerve biopsies have shown associated phospholipidosis. Drug-induced phospholipidosis may occur in other organ systems [see Warnings and Precautions

(5.1, 5.11)].



Assess muscle strength and deep tendon reflexes periodically in patients on long-term therapy with SOVUNA. Discontinue SOVUNA if muscle or nerve toxicity is suspected or demonstrated by tissue biopsy.

7.3 Drugs That Lower the Seizure Threshold (7.3 Drugs that Lower the Seizure Threshold)

SOVUNA can lower the seizure threshold. Co-administration of SOVUNA with other antimalarials known to lower the seizure threshold (e.g., mefloquine) may increase the risk of seizures.

8.6 Patients With Renal Or Hepatic Disease (8.6 Patients with Renal or Hepatic Disease)

A reduction in the dosage of SOVUNA may be necessary in patients with hepatic or renal disease.

2.3 Dosage for Rheumatoid Arthritis in Adults

The recommended dosage is:

  • Initial dosage: 400 mg to 600 mg daily as a single daily dose or two divided doses. The action of hydroxychloroquine is cumulative and may require weeks to months for maximum therapeutic effect.  Daily doses exceeding 5 mg/kg (actual weight) of hydroxychloroquine sulfate increase the incidence of retinopathy [see Warnings and Precautions (5.2)].
  • Chronic dosage: 200 mg, 300 mg or 400 mg daily, as a single dose or two divided doses.


Corticosteroids, salicylates, and other antirheumatic agents may be used concomitantly with SOVUNA.

5.1 Cardiomyopathy and Ventricular Arrhythmias

Fatal and life-threatening cases of cardiotoxicity, including cardiomyopathy, have been reported in patients treated with SOVUNA. Signs and symptoms of cardiac compromise have occurred during acute and chronic SOVUNA treatment. In multiple cases, endomyocardial biopsy showed association of the cardiomyopathy with phospholipidosis in the absence of inflammation, infiltration, or necrosis. Drug-induced phospholipidosis may occur in other organ systems [see Warnings and Precautions (5.8, 5.11)].



Patients may present with ventricular hypertrophy, pulmonary hypertension and conduction disorders including sick sinus syndrome. ECG findings include atrioventricular, right or left bundle branch block.



SOVUNA has a potential to prolong the QT interval. Ventricular arrhythmias (including torsades de pointes) have been reported in SOVUNA-treated patients. The magnitude of QT prolongation may increase with increasing concentrations of the drug. Therefore, the recommended dose should not be exceeded [see Adverse Reactions (6), Overdosage (10)]. Avoid SOVUNA administration in patients with congenital or documented acquired QT prolongation and/or known risk factors for prolongation of the QT interval such as:

  • Cardiac disease, e.g., heart failure, myocardial infarction.
  • Proarrhythmic conditions, e.g., bradycardia (< 50 bpm).
  • History of ventricular dysrhythmias.
  • Uncorrected hypokalemia and/or hypomagnesemia.
  • Concomitant administration with QT interval prolonging agents  as this may lead to an increased risk for ventricular arrhythmias [see Drug Interactions (7.1)].

 

Therefore, SOVUNA is not recommended in patients taking other drugs that have the potential to prolong the QT interval. Correct electrolyte imbalances prior to use. Monitor cardiac function as clinically indicated during SOVUNA therapy. Discontinue SOVUNA if cardiotoxicity is suspected or demonstrated by tissue biopsy.

5.7 Hemolytic Anemia Associated With G6pd Deficiency (5.7 Hemolytic Anemia Associated with G6PD Deficiency)

Hemolysis has been reported in patients with glucose-6-phosphate dehydrogenase (G6PD) deficiency. Monitor for hemolytic anemia as this can occur, particularly in association with other drugs that cause hemolysis.

5.9 Neuropsychiatric Reactions Including Suicidality

Suicidal behavior, suicidal ideation, and other neuropsychiatric adverse reactions have been reported in patients treated with SOVUNA [see Adverse Reactions (6)].



Neuropsychiatric adverse reactions typically occurred within the first month after the start of treatment with hydroxychloroquine and have been reported in patients with and without a prior history of psychiatric disorders.



The risks and benefits of continued treatment with SOVUNA should be assessed for patients who develop these symptoms. Given the long half-life of the drug, some patients may require several weeks off drug for symptoms to partially or fully abate.



Advise patients to contact their healthcare provider promptly if they experience new or worsening neuropsychiatric symptoms such as depression, suicidal thoughts or behavior, or mood changes.

2.4 Dosage for Systemic Lupus Erythematosus in Adults

The recommended dosage is 200 mg, 300 mg or 400 mg daily, as a single dose or two divided doses

2.2 Dosage for Malaria in Adult and Pediatric Patients

SOVUNA is not recommended in pediatric patients less than 23 kg because the lowest possible dose of 150 mg (half of the scored 300 mg tablet) exceeds the recommended dose for these patients.



Prophylaxis

Treatment must start 2 weeks before travel to an endemic area. Advise the patient to take the prophylaxis dosage once a week, staring 2 weeks prior to travel to the endemic area, on the same day every week, continuing the same weekly dose while in the endemic area, and for 4 weeks after leaving the endemic area. The recommended prophylaxis dosage is:

  • Adult patients: 400 mg once a week
  • Pediatric patients weighing greater than or equal to 23 kg: 6.5 mg/kg actual body weight (up to 400 mg) once a week


Treatment of Uncomplicated Malaria

The dosages for the treatment of uncomplicated malaria are:

  • Adult patients: Administer 800 mg initially; subsequently administer 400 mg at 6 hours, 24 hours, and 48 hours after the initial dose (total dosage = 2,000 mg).
  • Pediatric patients weighing greater than or equal to 23 kg: Administer 13 mg/kg (up to 800 mg) initially; subsequently administer 6.5 mg/kg (up to 400 mg) at 6 hours, 24 hours, and 48 hours after the initial dose (total dosage = 31 mg/kg - up to 2,000 mg).


For radical cure of P. vivax and P. ovale infections, concomitant therapy with an 8­aminoquinoline drug is necessary [see Microbiology (12.4)].

13.1 Carcinogenesis & Mutagenesis & Impairment of Fertility (13.1 Carcinogenesis & Mutagenesis & Impairment Of Fertility)

No carcinogenicity or genotoxicity studies have been conducted with hydroxychloroquine. No animal studies have been performed to evaluate the potential effects of hydroxychloroquine on reproduction or development, or to determine potential effects on fertility in males or females.

2.5 Dosage for Chronic Discoid Lupus Erythematosus in Adults

The recommended dosage is 200 mg or 400 mg daily, as a single dose or two divided doses.

7.1 Drugs Prolonging Qt Interval and Other Arrhythmogenic Drugs (7.1 Drugs Prolonging QT Interval and Other Arrhythmogenic Drugs)

SOVUNA prolongs the QT interval. There may be an increased risk of inducing ventricular arrhythmias if SOVUNA is used concomitantly with other arrhythmogenic drugs. Therefore, SOVUNA is not recommended in patients taking other drugs that have the potential to prolong the QT interval or are arrhythmogenic [see Warnings and Precautions (5.1)].


Advanced Ingredient Data


Raw Label Data

All Sections (JSON)