Feirzatm

Feirzatm
SPL v1
SPL
SPL Set ID dd18e808-bb80-8182-bf7b-8e6d5763570d
Route
ORAL
Published
Effective Date 2024-07-11
Document Type 34391-3 HUMAN PRESCRIPTION DRUG LABEL

Drug Facts

Composition & Product

Active Ingredients
Ethinyl Estradiol (0.03 mg) Norethindrone (1.5 mg)
Inactive Ingredients
Anhydrous Lactose .alpha.-tocopherol, Dl- Sucrose Croscarmellose Sodium Lactose Monohydrate Magnesium Stearate Fd&c Blue No. 1 Povidone K25 Sodium Lauryl Sulfate Silicon Dioxide Ferrous Fumarate Microcrystalline Cellulose Povidone K90

Identifiers & Packaging

Marketing Status
ANDA Active Since 2025-01-29

Description

Cigarette smoking increases the risk of serious cardiovascular events from combination oral contraceptive (COC) use. This risk increases with age, particularly in women over 35 years of age, and with the number of cigarettes smoked. For this reason, COCs, including norethindrone acetate and ethinyl estradiol tablets, are contraindicated in women who are over 35 years of age and smoke (see CONTRAINDICATIONS and WARNINGS ).

Indications and Usage

Feirza 1.5/30 is indicated for the prevention of pregnancy in women who elect to use oral contraceptives as a method of contraception. Oral contraceptives are highly effective. Table I lists the typical accidental pregnancy rates for users of combination oral contraceptives and other methods of contraception. The efficacy of these contraceptive methods, except sterilization, depends upon the reliability with which they are used. Correct and consistent use of methods can result in lower failure rates. TABLE I LOWEST EXPECTED AND TYPICAL FAILURE RATES DURING THE FIRST YEAR OF CONTINUOUS USE OF A METHOD Adapted from RA Hatcher et al, Reference 7. % Of Women Experiencing an Unintended Pregnancy in the First Year of Continuous Use Method Lowest Expected The authors’ best guess of the percentage of women expected to experience an accidental pregnancy among couples who initiate a method (not necessarily for the first time) and who use it consistently and correctly during the first year if they do not stop for any other reason. Typical ** (No contraception)  (85) (85) Oral contraceptives 3       combined  0.1 N/A***       progestin only  0.5 N/A*** Diaphragm with spermicidal cream or jelly  6 20 Spermicides alone (foam, creams, gels, vaginal suppositories, and vaginal film)  6 26 Vaginal Sponge       nulliparous  9 20       parous 20 40 Implant  0.05 0.05 Injection: depot medroxyprogesterone acetate  0.3 0.3 IUD       progesterone T  1.5 2       copper T 380A  0.6 0.8       LNg 20  0.1 0.1 Condom without spermicides       female  5 21       male  3 14 Cervical Cap with spermicidal cream or jelly       nulliparous  9 20       parous  26 40 Periodic abstinence (all methods)  1 to 9 25 Withdrawal  4 19 Female sterilization  0.5 0.5 Male sterilization  0.10 0.15  ** This term represents “typical” couples who initiate use of a method (not necessarily for the first time), who experience an accidental pregnancy during the first year if they do not stop use for any other reason. *** N/A - Data not available.

Dosage and Administration

The tablet blister pack has been designed to make oral contraceptive dosing as easy and as convenient as possible. The tablets are arranged in four rows of seven tablets each, with the days of the week appearing on the tablet blister above the first row of tablets. Note: Each blister card has been preprinted with the days of the week, starting with Sunday, to facilitate a Sunday-Start regimen. Six different day label strips have been provided with the Detailed Patient & Brief Summary Patient Package Insert in order to accommodate a Day-1 Start regimen. If the patient is using the Day-1 Start regimen, she should place the self-adhesive day label strip that corresponds to her starting day over the preprinted days. Important: The patient should be instructed to use an additional method of protection until after the first week of administration in the initial cycle when utilizing the Sunday-Start regimen. The possibility of ovulation and conception prior to initiation of use should be considered. Dosage and Administration for 28-Day Dosage Regimen To achieve maximum contraceptive effectiveness, Feirza 1.5/30 should be taken exactly as directed and at intervals not exceeding 24 hours. Feirza 1.5/30 provides a continuous administration regimen consisting of 21 blue tablets of norethindrone acetate and ethinyl estradiol and 7 brown non-hormone containing tablets of ferrous fumarate. The ferrous fumarate tablets are present to facilitate ease of drug administration via a 28-day regimen and do not serve any therapeutic purpose. There is no need for the patient to count days between cycles because there are no “off-tablet days.” A. Sunday-Start Regimen: The patient begins taking the first blue tablet from the top row of the blister (labeled Sunday) on the first Sunday after menstrual flow begins. When the menstrual flow begins on Sunday, the first blue tablet is taken on the same day. The patient takes one blue tablet daily for 21 days. The last blue tablet in the blister pack will be taken on a Saturday. Upon completion of all 21 blue tablets, and without interruption, the patient takes one brown tablet daily for seven days. Upon completion of this first course of tablets, the patient begins a second course of 28-day tablets, without interruption, the next day (Sunday), starting with the Sunday blue tablet in the top row. Adhering to this regimen of one blue tablet daily for 21 days, followed without interruption by one brown tablet daily for seven days, the patient will start all subsequent cycles on a Sunday. B. Day-1 Start Regimen: The first day of menstrual flow is Day 1. The patient places the self-adhesive day label strip that corresponds to her starting day over the preprinted days on the blister card. She starts taking one blue tablet daily, beginning with the first blue tablet in the top row. After the last blue tablet (at the end of the third row) has been taken, the patient will then take the brown tablets for a week (7 days). For all subsequent cycles, the patient begins a new 28 tablet regimen on the eighth day after taking her last blue tablet, again starting with the first tablet in the top row after placing the appropriate day label strip over the preprinted days on the tablet blister. Following this regimen of 21 blue tablets and 7 brown tablets, the patient will start all subsequent cycles on the same day of the week as the first course. Tablets should be taken regularly with a meal or at bedtime. It should be stressed that efficacy of medication depends on strict adherence to the dosage schedule. Special Notes on Administration Menstruation usually begins two or three days, but may begin as late as the fourth or fifth day, after the brown tablets have been started. In any event, the next course of tablets should be started without interruption. If spotting occurs while the patient is taking blue tablets, continue medication without interruption. If the patient forgets to take one or more blue tablets, the following is suggested: One tablet is missed take tablet as soon as remembered take next tablet at the regular time Two consecutive tablets are missed (week 1 or week 2) take two tablets as soon as remembered take two tablets the next day use another birth control method for seven days following the missed tablets Two consecutive tablets are missed (week 3) Sunday-Start Regimen: take one tablet daily until Sunday discard remaining tablets start new pack of tablets immediately (Sunday) use another birth control method for seven days following the missed tablets Day-1 Start Regimen: discard remaining tablets start new pack of tablets that same day use another birth control method for seven days following the missed tablets Three (or more) consecutive tablets are missed Sunday-Start Regimen: take one tablet daily until Sunday discard remaining tablets start new pack of tablets immediately (Sunday) use another birth control method for seven days following the missed tablets Day-1 Start Regimen: discard remaining tablets start new pack of tablets that same day use another birth control method for seven days following the missed tablets The possibility of ovulation occurring increases with each successive day that scheduled blue tablets are missed. While there is little likelihood of ovulation occurring if only one blue tablet is missed, the possibility of spotting or bleeding is increased. This is particularly likely to occur if two or more consecutive blue tablets are missed. If the patient forgets to take any of the seven brown tablets in week four, those brown tablets that were missed are discarded and one brown tablet is taken each day until the pack is empty. A back-up birth control method is not required during this time. A new pack of tablets should be started no later than the eighth day after the last blue tablet was taken. In the rare case of bleeding which resembles menstruation, the patient should be advised to discontinue medication and then begin taking tablets from a new tablet blister pack on the next Sunday or the first day (Day-1), depending on her regimen. Persistent bleeding which is not controlled by this method indicates the need for reexamination of the patient, at which time nonfunctional causes should be considered. Use of Oral Contraceptives in the Event of a Missed Menstrual Period If the patient has not adhered to the prescribed dosage regimen, the possibility of pregnancy should be considered after the first missed period and oral contraceptives should be withheld until pregnancy has been ruled out. If the patient has adhered to the prescribed regimen and misses two consecutive periods, pregnancy should be ruled out before continuing the contraceptive regimen. After several months on treatment, bleeding may be reduced to a point of virtual absence. This reduced flow may occur as a result of medication, in which event it is not indicative of pregnancy.

Contraindications

Oral contraceptives are contraindicated in women who currently have the following conditions: Thrombophlebitis or thromboembolic disorders A past history of deep vein thrombophlebitis or thromboembolic disorders Cerebral vascular or coronary artery disease Current diagnosis of, or history of, breast cancer, which may be hormone sensitive Carcinoma of the endometrium or other known or suspected estrogen-dependent neoplasia Undiagnosed abnormal genital bleeding Cholestatic jaundice of pregnancy or jaundice with prior pill use Hepatic adenomas or carcinomas Are receiving Hepatitis C drug combinations containing ombitasvir/paritaprevir/ritonavir, with or without dasabuvir, due to the potential for ALT elevations (see Warnings, RISK OF LIVER ENZYME ELEVATIONS WITH CONCOMITANT HEPATITIS C TREATMENT ).

Adverse Reactions

An increased risk of the following serious adverse reactions has been associated with the use of oral contraceptives (see WARNINGS section): Thrombophlebitis Arterial thromboembolism Pulmonary embolism Myocardial infarction Cerebral hemorrhage Cerebral thrombosis Hypertension Gallbladder disease Hepatic adenomas or benign liver tumors Post Marketing Experience Five studies that compared breast cancer risk between ever-users (current or past use) of COCs and never-users of COCs reported no association between ever use of COCs and breast cancer risk, with effect estimates ranging from 0.90 - 1.12 (Figure 1) (70-74). Three studies compared breast cancer risk between current or recent COC users (<6 months since last use) and never users of COCs (Figure 1) (70, 73, 75). One of these studies reported no association between breast cancer risk and COC use. The other two studies found an increased relative risk of 1.19 - 1.33 with current or recent use. Both of these studies found an increased risk of breast cancer with current use of longer duration, with relative risks ranging from 1.03 with less than one year of COC use to approximately 1.4 with more than 8-10 years of COC use. FIGURE 1: RELEVANT STUDIES OF RISK OF BREAST CANCER WITH COMBINED ORAL CONTRACEPTIVES RR = relative risk; OR = odds ratio; HR = hazard ratio. “ever COC” are females with current or past COC use; “never COC use” are females that never used COCs. There is evidence of an association between the following conditions and the use of oral contraceptives, although additional confirmatory studies are needed: Mesenteric thrombosis Retinal thrombosis The following adverse reactions have been reported in patients receiving oral contraceptives and are believed to be drug-related: Nausea Vomiting Gastrointestinal symptoms (such as abdominal cramps and bloating) Breakthrough bleeding Spotting Change in menstrual flow Amenorrhea Temporary infertility after discontinuation of treatment Edema Melasma which may persist Breast changes: tenderness, enlargement, secretion Change in weight (increase or decrease) Change in cervical erosion and secretion Diminution in lactation when given immediately postpartum Cholestatic jaundice Migraine Rash (allergic) Depression Reduced tolerance to carbohydrates Vaginal candidiasis Change in corneal curvature (steepening) Intolerance to contact lenses The following adverse reactions have been reported in users of oral contraceptives and the association has been neither confirmed nor refuted: Pre-menstrual syndrome Cataracts Changes in appetite Cystitis-like syndrome Headache Nervousness Dizziness Hirsutism Loss of scalp hair Erythema multiforme Erythema nodosum Hemorrhagic eruption Vaginitis Porphyria Impaired renal function Hemolytic uremic syndrome Budd-Chiari syndrome Acne Changes in libido Colitis To report SUSPECTED ADVERSE REACTIONS, contact Xiromed, LLC at 844-XIROMED (844-947-6633) or FDA at 1-800-FDA-1088 or www.fda.gov/medwatch.

How Supplied

Feirza 1.5/30 (Norethindrone Acetate and Ethinyl Estradiol Tablets USP, 1.5 mg/30 mcg and Ferrous Fumarate Tablets, 75 mg) is packaged in cartons of 3 pouches (NDC 70700-309-85); each pouch (NDC 70700-309-84) contains a blister pack of 28 tablets. Each blister pack contains 21 blue, round, flat-faced, unscored tablet debossed with 237 on one side and plain on the other side and 7 brown, round, flat-faced, unscored tablets debossed with 291 on one side and plain on the other side. Each brown tablet contains 75 mg ferrous fumarate. Store at 20° to 25°C (68° to 77°F). [See USP Controlled Room Temperature.]


Medication Information

Indications and Usage

Feirza 1.5/30 is indicated for the prevention of pregnancy in women who elect to use oral contraceptives as a method of contraception.

Oral contraceptives are highly effective. Table I lists the typical accidental pregnancy rates for users of combination oral contraceptives and other methods of contraception. The efficacy of these contraceptive methods, except sterilization, depends upon the reliability with which they are used. Correct and consistent use of methods can result in lower failure rates.

TABLE I LOWEST EXPECTED AND TYPICAL FAILURE RATES DURING THE FIRST YEAR OF CONTINUOUS USE OF A METHOD
Adapted from RA Hatcher et al, Reference 7.

% Of Women Experiencing an Unintended Pregnancy

in the First Year of Continuous Use

Method

Lowest Expected

The authors’ best guess of the percentage of women expected to experience an accidental pregnancy among couples who initiate a method (not necessarily for the first time) and who use it consistently and correctly during the first year if they do not stop for any other reason.

Typical**

(No contraception) 

(85)

(85)

Oral contraceptives

3

      combined 

0.1

N/A***

      progestin only 

0.5

N/A***

Diaphragm with spermicidal cream or jelly 

6

20

Spermicides alone (foam, creams, gels, vaginal suppositories, and vaginal film) 

6

26

Vaginal Sponge

      nulliparous 

9

20

      parous

20

40

Implant 

0.05

0.05

Injection: depot medroxyprogesterone acetate 

0.3

0.3

IUD

      progesterone T 

1.5

2

      copper T 380A 

0.6

0.8

      LNg 20 

0.1

0.1

Condom without spermicides

      female 

5

21

      male 

3

14

Cervical Cap with spermicidal cream or jelly

      nulliparous 

9

20

      parous 

26

40

Periodic abstinence (all methods) 

1 to 9

25

Withdrawal 

4

19

Female sterilization 

0.5

0.5

Male sterilization 

0.10

0.15

 ** This term represents “typical” couples who initiate use of a method (not necessarily for the first time), who experience an accidental pregnancy during the first year if they do not stop use for any other reason.

*** N/A - Data not available.

Dosage and Administration

The tablet blister pack has been designed to make oral contraceptive dosing as easy and as convenient as possible. The tablets are arranged in four rows of seven tablets each, with the days of the week appearing on the tablet blister above the first row of tablets.

Note: Each blister card has been preprinted with the days of the week, starting with Sunday, to facilitate a Sunday-Start regimen. Six different day label strips have been provided with the Detailed Patient & Brief Summary Patient Package Insert in order to accommodate a Day-1 Start regimen. If the patient is using the Day-1 Start regimen, she should place the self-adhesive day label strip that corresponds to her starting day over the preprinted days.

Important: The patient should be instructed to use an additional method of protection until after the first week of administration in the initial cycle when utilizing the Sunday-Start regimen.

The possibility of ovulation and conception prior to initiation of use should be considered.

Dosage and Administration for 28-Day Dosage Regimen

To achieve maximum contraceptive effectiveness, Feirza 1.5/30 should be taken exactly as directed and at intervals not exceeding 24 hours.

Feirza 1.5/30 provides a continuous administration regimen consisting of 21 blue tablets of norethindrone acetate and ethinyl estradiol and 7 brown non-hormone containing tablets of ferrous fumarate. The ferrous fumarate tablets are present to facilitate ease of drug administration via a 28-day regimen and do not serve any therapeutic purpose. There is no need for the patient to count days between cycles because there are no “off-tablet days.”

A. Sunday-Start Regimen: The patient begins taking the first blue tablet from the top row of the blister (labeled Sunday) on the first Sunday after menstrual flow begins. When the menstrual flow begins on Sunday, the first blue tablet is taken on the same day. The patient takes one blue tablet daily for 21 days. The last blue tablet in the blister pack will be taken on a Saturday. Upon completion of all 21 blue tablets, and without interruption, the patient takes one brown tablet daily for seven days. Upon completion of this first course of tablets, the patient begins a second course of 28-day tablets, without interruption, the next day (Sunday), starting with the Sunday blue tablet in the top row. Adhering to this regimen of one blue tablet daily for 21 days, followed without interruption by one brown tablet daily for seven days, the patient will start all subsequent cycles on a Sunday.

B. Day-1 Start Regimen: The first day of menstrual flow is Day 1. The patient places the self-adhesive day label strip that corresponds to her starting day over the preprinted days on the blister card. She starts taking one blue tablet daily, beginning with the first blue tablet in the top row. After the last blue tablet (at the end of the third row) has been taken, the patient will then take the brown tablets for a week (7 days). For all subsequent cycles, the patient begins a new 28 tablet regimen on the eighth day after taking her last blue tablet, again starting with the first tablet in the top row after placing the appropriate day label strip over the preprinted days on the tablet blister. Following this regimen of 21 blue tablets and 7 brown tablets, the patient will start all subsequent cycles on the same day of the week as the first course.

Tablets should be taken regularly with a meal or at bedtime. It should be stressed that efficacy of medication depends on strict adherence to the dosage schedule.

Special Notes on Administration

Menstruation usually begins two or three days, but may begin as late as the fourth or fifth day, after the brown tablets have been started. In any event, the next course of tablets should be started without interruption. If spotting occurs while the patient is taking blue tablets, continue medication without interruption.

If the patient forgets to take one or more blue tablets, the following is suggested:

One tablet is missed

  • take tablet as soon as remembered

  • take next tablet at the regular time

Two consecutive tablets are missed (week 1 or week 2)

  • take two tablets as soon as remembered

  • take two tablets the next day

  • use another birth control method for seven days following the missed tablets

Two consecutive tablets are missed (week 3)

Sunday-Start Regimen:

  • take one tablet daily until Sunday

  • discard remaining tablets

  • start new pack of tablets immediately (Sunday)

  • use another birth control method for seven days following the missed tablets

Day-1 Start Regimen:

  • discard remaining tablets

  • start new pack of tablets that same day

  • use another birth control method for seven days following the missed tablets

Three (or more) consecutive tablets are missed

Sunday-Start Regimen:

  • take one tablet daily until Sunday

  • discard remaining tablets

  • start new pack of tablets immediately (Sunday)

  • use another birth control method for seven days following the missed tablets

Day-1 Start Regimen:

  • discard remaining tablets

  • start new pack of tablets that same day

  • use another birth control method for seven days following the missed tablets

The possibility of ovulation occurring increases with each successive day that scheduled blue tablets are missed. While there is little likelihood of ovulation occurring if only one blue tablet is missed, the possibility of spotting or bleeding is increased. This is particularly likely to occur if two or more consecutive blue tablets are missed.

If the patient forgets to take any of the seven brown tablets in week four, those brown tablets that were missed are discarded and one brown tablet is taken each day until the pack is empty. A back-up birth control method is not required during this time. A new pack of tablets should be started no later than the eighth day after the last blue tablet was taken.

In the rare case of bleeding which resembles menstruation, the patient should be advised to discontinue medication and then begin taking tablets from a new tablet blister pack on the next Sunday or the first day (Day-1), depending on her regimen. Persistent bleeding which is not controlled by this method indicates the need for reexamination of the patient, at which time nonfunctional causes should be considered.

Use of Oral Contraceptives in the Event of a Missed Menstrual Period

  • If the patient has not adhered to the prescribed dosage regimen, the possibility of pregnancy should be considered after the first missed period and oral contraceptives should be withheld until pregnancy has been ruled out.

  • If the patient has adhered to the prescribed regimen and misses two consecutive periods, pregnancy should be ruled out before continuing the contraceptive regimen.

After several months on treatment, bleeding may be reduced to a point of virtual absence. This reduced flow may occur as a result of medication, in which event it is not indicative of pregnancy.

Contraindications

Oral contraceptives are contraindicated in women who currently have the following conditions:

  • Thrombophlebitis or thromboembolic disorders

  • A past history of deep vein thrombophlebitis or thromboembolic disorders

  • Cerebral vascular or coronary artery disease

  • Current diagnosis of, or history of, breast cancer, which may be hormone sensitive

  • Carcinoma of the endometrium or other known or suspected estrogen-dependent neoplasia

  • Undiagnosed abnormal genital bleeding

  • Cholestatic jaundice of pregnancy or jaundice with prior pill use

  • Hepatic adenomas or carcinomas

  • Are receiving Hepatitis C drug combinations containing ombitasvir/paritaprevir/ritonavir, with or without dasabuvir, due to the potential for ALT elevations (see Warnings, RISK OF LIVER ENZYME ELEVATIONS WITH CONCOMITANT HEPATITIS C TREATMENT ).

Adverse Reactions

An increased risk of the following serious adverse reactions has been associated with the use of oral contraceptives (see WARNINGS section):

  • Thrombophlebitis

  • Arterial thromboembolism

  • Pulmonary embolism

  • Myocardial infarction

  • Cerebral hemorrhage

  • Cerebral thrombosis

  • Hypertension

  • Gallbladder disease

  • Hepatic adenomas or benign liver tumors

Post Marketing Experience

Five studies that compared breast cancer risk between ever-users (current or past use) of COCs and never-users of COCs reported no association between ever use of COCs and breast cancer risk, with effect estimates ranging from 0.90 - 1.12 (Figure 1) (70-74).

Three studies compared breast cancer risk between current or recent COC users (<6 months since last use) and never users of COCs (Figure 1) (70, 73, 75). One of these studies reported no association between breast cancer risk and COC use. The other two studies found an increased relative risk of 1.19 - 1.33 with current or recent use. Both of these studies found an increased risk of breast cancer with current use of longer duration, with relative risks ranging from 1.03 with less than one year of COC use to approximately 1.4 with more than 8-10 years of COC use.

FIGURE 1: RELEVANT STUDIES OF RISK OF BREAST CANCER WITH COMBINED ORAL CONTRACEPTIVES

RR = relative risk; OR = odds ratio; HR = hazard ratio. “ever COC” are females with current or past COC use; “never COC use” are females that never used COCs.

There is evidence of an association between the following conditions and the use of oral contraceptives, although additional confirmatory studies are needed:

  • Mesenteric thrombosis

  • Retinal thrombosis

The following adverse reactions have been reported in patients receiving oral contraceptives and are believed to be drug-related:

  • Nausea

  • Vomiting

  • Gastrointestinal symptoms (such as abdominal cramps and bloating)

  • Breakthrough bleeding

  • Spotting

  • Change in menstrual flow

  • Amenorrhea

  • Temporary infertility after discontinuation of treatment

  • Edema

  • Melasma which may persist

  • Breast changes: tenderness, enlargement, secretion

  • Change in weight (increase or decrease)

  • Change in cervical erosion and secretion

  • Diminution in lactation when given immediately postpartum

  • Cholestatic jaundice

  • Migraine

  • Rash (allergic)

  • Depression

  • Reduced tolerance to carbohydrates

  • Vaginal candidiasis

  • Change in corneal curvature (steepening)

  • Intolerance to contact lenses

The following adverse reactions have been reported in users of oral contraceptives and the association has been neither confirmed nor refuted:

  • Pre-menstrual syndrome

  • Cataracts

  • Changes in appetite

  • Cystitis-like syndrome

  • Headache

  • Nervousness

  • Dizziness

  • Hirsutism

  • Loss of scalp hair

  • Erythema multiforme

  • Erythema nodosum

  • Hemorrhagic eruption

  • Vaginitis

  • Porphyria

  • Impaired renal function

  • Hemolytic uremic syndrome

  • Budd-Chiari syndrome

  • Acne

  • Changes in libido

  • Colitis

To report SUSPECTED ADVERSE REACTIONS, contact Xiromed, LLC at 844-XIROMED (844-947-6633) or FDA at 1-800-FDA-1088 or www.fda.gov/medwatch.

How Supplied

Feirza 1.5/30 (Norethindrone Acetate and Ethinyl Estradiol Tablets USP, 1.5 mg/30 mcg and Ferrous Fumarate Tablets, 75 mg) is packaged in cartons of 3 pouches (NDC 70700-309-85); each pouch (NDC 70700-309-84) contains a blister pack of 28 tablets. Each blister pack contains 21 blue, round, flat-faced, unscored tablet debossed with 237 on one side and plain on the other side and 7 brown, round, flat-faced, unscored tablets debossed with 291 on one side and plain on the other side. Each brown tablet contains 75 mg ferrous fumarate.

Store at 20° to 25°C (68° to 77°F). [See USP Controlled Room Temperature.]

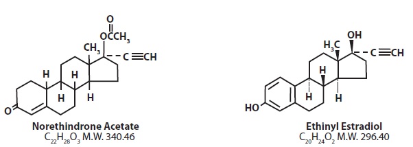
Description

Feirza 1.5/30 (Norethindrone Acetate and Ethinyl Estradiol Tablets, USP and Ferrous Fumarate Tablets) is a progestogen-estrogen combination.

Feirza 1.5/30 provides a continuous dosage regimen consisting of 21 oral contraceptive tablets and seven ferrous fumarate tablets. The ferrous fumarate tablets are present to facilitate ease of drug administration via a 28-day regimen, are non-hormonal, and do not serve any therapeutic purpose.

Each blue tablet contains norethindrone acetate (19-Norpregn-4-en-20-yn-3-one, 17-(acetyloxy)-, (17α)), 1.5 mg; ethinyl estradiol (19-Norpregna-1,3,5(10)-trien-20-yne-3, 17-diol, (17α)-), 30 mcg. Also contains compressible sugar, croscarmellose sodium, dl-α-tocopherol, FD & C Blue No. 1 Aluminum Lake, lactose anhydrous, lactose monohydrate, magnesium stearate, povidone K-25, sodium lauryl sulphate.

The structural formulas are as follows:

Each brown placebo tablet contains colloidal silicon dioxide, croscarmellose sodium, ferrous fumarate, lactose monohydrate, magnesium stearate, microcrystalline cellulose, povidone K-90. The ferrous fumarate tablets do not serve any therapeutic purpose.

Section 42229-5

The use of oral contraceptives is associated with increased risks of several serious conditions including myocardial infarction, thromboembolism, stroke, hepatic neoplasia, and gallbladder disease, although the risk of serious morbidity or mortality is very small in healthy women without underlying risk factors. The risk of morbidity and mortality increases significantly in the presence of other underlying risk factors such as hypertension, hyperlipidemias, obesity, and diabetes.

Practitioners prescribing oral contraceptives should be familiar with the following information relating to these risks.

The information contained in this package insert is principally based on studies carried out in patients who used oral contraceptives with higher formulations of estrogens and progestogens than those in common use today. The effect of long-term use of the oral contraceptives with lower formulations of both estrogens and progestogens remains to be determined.

Throughout this labeling, epidemiological studies reported are of two types: retrospective or case control studies and prospective or cohort studies. Case control studies provide a measure of the relative risk of a disease, namely, a ratio of the incidence of a disease among oral contraceptive users to that among nonusers. The relative risk does not provide information on the actual clinical occurrence of a disease. Cohort studies provide a measure of attributable risk, which is the difference in the incidence of disease between oral contraceptive users and nonusers. The attributable risk does provide information about the actual occurrence of a disease in the population (adapted from References 8 and 9 with the author’s permission). For further information, the reader is referred to a text on epidemiological methods.

Overdosage

Serious ill effects have not been reported following acute ingestion of large doses of oral contraceptives by young children. Overdosage may cause nausea, and withdrawal bleeding may occur in females.

NON-CONTRACEPTIVE HEALTH BENEFITS

The following non-contraceptive health benefits related to the use of oral contraceptives are supported by epidemiological studies which largely utilized oral contraceptive formulations containing estrogen doses exceeding 0.035 mg of ethinyl estradiol or 0.05 mg of mestranol (76-81).

Effects on menses:

  • Increased menstrual cycle regularity

  • Decreased blood loss and decreased incidence of iron deficiency anemia

  • Decreased incidence of dysmenorrhea

Effects related to inhibition of ovulation:

  • Decreased incidence of functional ovarian cysts

  • Decreased incidence of ectopic pregnancies

Effects from long-term use:

  • Decreased incidence of fibroadenomas and fibrocystic disease of the breast

  • Decreased incidence of acute pelvic inflammatory disease

  • Decreased incidence of endometrial cancer

  • Decreased incidence of ovarian cancer

References
  • Back DJ, Breckenridge AM, Crawford FE, Mclver M, Orme ML’E, Rowe PH and Smith E: Kinetics of norethindrone in women II. Single-dose kinetics. Clin Pharmacol Ther 1978; 24:448-453.

  • Hümpel M, Nieuwober B, Wendt H and Speck U: Investigations of pharmacokinetics of ethinyl estradiol to specific consideration of a possible first-pass effect in women. Contraception 1979;19:421-432.

  • Back DJ, Breckenridge AM, Crawford FE, Maclver M, Orme ML’E, Rowe PH and Watts MJ. An investigation of the pharmacokinetics of ethinyl estradiol in women using radioimmunoassay. Contraception 1979;20:263-273.

  • Hammond GL, Lähteenmäki PLA, Lähteenmäki P and Luukkainen T. Distribution and percentages of non-protein bound contraceptive steroids in human serum. J Steriod Biochem 1982;17:375-380.

  • Fotherby K. Pharmacokinetics and metabolism of progestins in humans, in Pharmacology of the contraceptive steroids, Goldzieher JW, Fotherby K (eds), Raven Press, Ltd., New York, 1994;99-126.

  • Goldzieher JW. Pharmacokinetics and metabolism of ethinyl estrogens, in Pharmacology of the contraceptive steroids, Goldzieher JW, Fotherby K (eds), Raven Press Ltd., New York, 1994;127-151.

  • Hatcher RA, et al. 1998. Contraceptive Technology, Seventeenth Edition. New York: Irvington Publishers.

  • Stadel, B.V.: Oral contraceptives and cardiovascular disease. (Pt. 1). New England Journal of Medicine, 305:612-618, 1981.

  • Stadel, B.V.: Oral contraceptives and cardiovascular disease. (Pt. 2). New England Journal of Medicine, 305:672-677, 1981.

  • Adam, S.A., and M. Thorogood: Oral contraception and myocardial infarction revisited: The effects of new preparations and prescribing patterns. Brit. J. Obstet. and Gynec., 88:838-845, 1981.

  • Mann, J.I., and W.H. Inman: Oral contraceptives and death from myocardial infarction. Brit. Med. J., 2(5965): 245-248, 1975.

  • Mann, J.I., M.P. Vessey, M. Thorogood, and R. Doll: Myocardial infarction in young women with special reference to oral contraceptive practice. Brit. Med. J., 2(5956):241-245, 1975.

  • Royal College of General Practitioners’ Oral Contraception Study: Further analyses of mortality in oral contraceptive users. Lancet, 1:541-546, 1981.

  • Slone, D., S. Shapiro, D.W. Kaufman, L. Rosenberg, O.S. Miettinen, and P.D. Stolley: Risk of myocardial infarction in relation to current and discontinued use of oral contraceptives. N.E.J.M., 305:420-424, 1981.

  • Vessey, M.P.: Female hormones and vascular disease: An epidemiological overview. Brit. J. Fam. Plann., 6:1-12, 1980.

  • Russell-Briefel, R.G., T.M. Ezzati, R. Fulwood, J.A. Perlman, and R.S. Murphy: Cardiovascular risk status and oral contraceptive use, United States, 1976-80. Preventive Medicine, 15:352-362, 1986.

  • Goldbaum, G.M., J.S. Kendrick, G.C. Hogelin, and E.M. Gentry: The relative impact of smoking and oral contraceptive use on women in the United States. J.A.M.A., 258:1339-1342, 1987.

  • Layde, P.M., and V. Beral: Further analyses of mortality in oral contraceptive users: Royal College General Practitioners’ Oral Contraception Study. (Table 5) Lancet, 1:541-546, 1981.

  • Knopp, R.H.: Arteriosclerosis risk: The roles of oral contraceptives and postmenopausal estrogens. J. of Reprod. Med., 31(9)(Supplement): 913-921, 1986.

  • Krauss, R.M., S. Roy, D.R. Mishell, J. Casagrande, and M.C. Pike: Effects of two low-dose oral contraceptives on serum lipids and lipoproteins: Differential changes in high-density lipoproteins subclasses. Am. J. Obstet. Gyn., 145:446-452, 1983.

  • Wahl, P., C. Walden, R. Knopp, J. Hoover, R. Wallace, G. Heiss, and B. Rifkind: Effect of estrogen/progestin potency on lipid/lipoprotein cholesterol. N.E.J.M., 308:862-867, 1983.

  • Wynn, V., and R. Niththyananthan: The effect of progestin in combined oral contraceptives on serum lipids with special reference to high-density lipoproteins. Am. J. Obstet. and Gyn., 142:766-771, 1982.

  • Wynn, V., and I. Godsland: Effects of oral contraceptives on carbohydrate metabolism. J. Reprod. Medicine, 31 (9)(Supplement): 892-897, 1986.

  • LaRosa, J.C.: Atherosclerotic risk factors in cardiovascular disease. J. Reprod. Med., 31(9)(Supplement): 906-912, 1986.

  • Inman, W.H., and M.P. Vessey: Investigations of death from pulmonary, coronary, and cerebral thrombosis and embolism in women of child-bearing age. Brit. Med. J., 2(5599): 193-199, 1968.

  • Maguire, M.G., J. Tonascia, P.E. Sartwell, P.D. Stolley, and M.S. Tockman: Increased risk of thrombosis due to oral contraceptives: A further report. Am. J. Epidemiology, 110(2): 188-195, 1979.

  • Pettiti, D.B., J. Wingerd, F. Pellegrin, and S. Ramacharan: Risk of vascular disease in women: Smoking, oral contraceptives, noncontraceptive estrogens, and other factors. J.A.M.A., 242:1150-1154, 1979.

  • Vessey, M.P., and R. Doll: Investigation of relation between use of oral contraceptives and thromboembolic disease. Brit. Med. J., 2(5599): 199-205, 1968.

  • Vessey, M.P., and R. Doll: Investigation of relation between use of oral contraceptives and thromboembolic disease: A further report. Brit. Med. J., 2(5658): 651-657, 1969.

  • Porter, J.B., J.R. Hunter, D.A. Danielson, H. Jick, and A. Stergachis: Oral contraceptives and non-fatal vascular disease: Recent experience. Obstet. and Gyn., 59(3):299-302, 1982.

  • Vessey, M., R. Doll, R. Peto, B. Johnson, and P. Wiggins: A long-term follow-up study of women using different methods of contraception: An interim report. J. Biosocial. Sci., 8:375-427, 1976.

  • Royal College of General Practitioners: Oral contraceptives, venous thrombosis, and varicose veins. J. of Royal College of General Practitioners, 28:393-399, 1978.

  • Collaborative Group for the study of stroke in young women: Oral contraception and increased risk of cerebral ischemia or thrombosis. N.E.J.M., 288:871-878, 1973.

  • Petitti, D.B., and J. Wingerd: Use of oral contraceptives, cigarette smoking, and risk of subarachnoid hemorrhage. Lancet, 2:234-236, 1978.

  • Inman, W.H.: Oral contraceptives and fatal subarachnoid hemorrhage. Brit. Med. J., 2(6203): 1468-70, 1979.

  • Collaborative Group for the study of stroke in young women: Oral contraceptives and stroke in young women: Associated risk factors. J.A.M.A., 231:718-722, 1975.

  • Inman, W.H., M.P. Vessey, B. Westerholm, and A. Engelund: Thromboembolic disease and the steroidal content of oral contraceptives. A report to the Committee on Safety of Drugs. Brit. Med. J., 2:203-209, 1970.

  • Meade, T.W., G. Greenberg, and S.G. Thompson: Progestogens and cardiovascular reactions associated with oral contraceptives and a comparison of the safety of 50- and 35-mcg estrogen preparations. Brit. Med. J., 280(6224): 1157-1161, 1980.

  • Kay, C.R.: Progestogens and arterial disease: Evidence from the Royal College of General Practitioners’ study. Amer. J. Obstet. Gyn., 142:762-765, 1982.

  • Royal College of General Practitioners: Incidence of arterial disease among oral contraceptive users. J. Coll. Gen. Pract., 33:75-82, 1983.

  • Ory, H.W: Mortality associated with fertility and fertility control:1983. Family Planning Perspectives, 15:50-56, 1983.

  • Ory, H., Z. Naib, S.B. Conger, R.A. Hatcher, and C.W. Tyler: Contraceptive choice and prevalence of cervical dysplasia and carcinoma in situ. Am. J. Obstet. Gynec., 124:573-577, 1976.

  • Vessey, M.P., M. Lawless, K. McPherson, D. Yeates: Neoplasia of the cervix uteri and contraception: A possible adverse effect of the pill. Lancet, 2:930, 1983.

  • Brinton, L.A., G.R. Huggins, H.F. Lehman, K. Malli, D.A. Savitz, E. Trapido, J. Rosenthal, and R. Hoover: Long-term use of oral contraceptives and risk of invasive cervical cancer. Int. J. Cancer, 38:339-344, 1986.

  • WHO Collaborative Study of Neoplasia and Steroid Contraceptives: Invasive cervical cancer and combined oral contraceptives. Brit. Med. J., 290:961-965, 1985.

  • Rooks, J.B., H.W. Ory, K.G. Ishak, L.T. Strauss, J.R. Greenspan, A.P. Hill, and C.W. Tyler: Epidemiology of hepatocellular adenoma: The role of oral contraceptive use. J.A.M.A., 242:644-648, 1979.

  • Bein, N.N., and H.S. Goldsmith: Recurrent massive hemorrhage from benign hepatic tumors secondary to oral contraceptives. Brit. J. Surg., 64:433-435, 1977.

  • Klatskin, G.: Hepatic tumors: Possible relationship to use of oral contraceptives. Gastroenterology, 73:386-394, 1977.

  • Henderson, B.E., S. Preston-Martin, H.A. Edmondson, R.L. Peters, and M.C. Pike: Hepatocellular carcinoma and oral contraceptives. Brit. J. Cancer, 48:437-440, 1983.

  • Neuberger, J., D. Forman, R. Doll, and R. Williams: Oral contraceptives and hepatocellular carcinoma. Brit. Med. J., 292:1355-1357, 1986.

  • Forman, D., T.J. Vincent, and R. Doll: Cancer of the liver and oral contraceptives. Brit. Med. J., 292:1357-1361, 1986.

  • Harlap, S., and J. Eldor: Births following oral contraceptive failures. Obstet. Gynec., 55:447-452, 1980.

  • Savolainen, E., E. Saksela, and L. Saxen: Teratogenic hazards of oral contraceptives analyzed in a national malformation register. Amer. J. Obstet. Gynec., 140:521-524, 1981.

  • Janerich, D.T., J.M. Piper, and D.M. Glebatis: Oral contraceptives and birth defects. Am. J. Epidemiology, 112:73-79, 1980.

  • Ferencz, C., G.M. Matanoski, P.D. Wilson, J.D. Rubin, C.A. Neill, and R. Gutberlet: Maternal hormone therapy and congenital heart disease. Teratology, 21:225-239, 1980.

  • Rothman, K.J., D.C. Fyler, A. Goldbatt, and M.B. Kreidberg: Exogenous hormones and other drug exposures of children with congenital heart disease. Am. J. Epidemiology, 109:433-439, 1979.

  • Boston Collaborative Drug Surveillance Program: Oral contraceptives and venous thromboembolic disease, surgically confirmed gallbladder disease, and breast tumors. Lancet, 1:1399-1404, 1973.

  • Royal College of General Practitioners: Oral Contraceptives and Health. New York, Pittman, 1974, 100p.

  • Layde, P.M., M.P. Vessey, and D. Yeates: Risk of gallbladder disease: A cohort study of young women attending family planning clinics. J. of Epidemiol. and Comm. Health, 36:274-278, 1982.

  • Rome Group for the Epidemiology and Prevention of Cholelithiasis (GREPCO): Prevalence of gallstone disease in an Italian adult female population. Am. J. Epidemiol., 119:796-805, 1984.

  • Strom, B.L., R.T. Tamragouri, M.L. Morse, E.L. Lazar, S.L. West, P.D. Stolley, and J.K. Jones: Oral contraceptives and other risk factors for gallbladder disease. Clin. Pharmacol. Ther., 39:335-341, 1986.

  • Wynn, V., P.W. Adams, I.F. Godsland, J. Melrose, R. Niththyananthan, N.W. Oakley, and A. Seedj: Comparison of effects of different combined oral-contraceptive formulations on carbohydrate and lipid metabolism. Lancet, 1:1045-1049, 1979.

  • Wynn, V.: Effect of progesterone and progestins on carbohydrate metabolism. In Progesterone and Progestin. Edited by C.W. Bardin, E. Milgrom, P. Mauvis-Jarvis. New York, Raven Press, pp. 395-410, 1983.

  • Perlman, J.A., R. G. Roussell-Briefel, T.M. Ezzati, and G. Lieberknecht: Oral glucose tolerance and the potency of oral contraceptive progestogens. J. Chronic Dis., 38:857-864, 1985.

  • Royal College of General Practitioners’ Oral Contraception Study: Effect on hypertension and benign breast disease of progestogen component in combined oral contraceptives. Lancet, 1:624, 1977.

  • Fisch, I.R., and J. Frank: Oral contraceptives and blood pressure. J.A.M.A., 237:2499-2503, 1977.

  • Laragh, A.J.: Oral contraceptive induced hypertension: Nine years later. Amer. J. Obstet. Gynecol., 126:141-147, 1976.

  • Ramcharan, S., E. Peritz, F.A. Pellegrin, and W.T. Williams: Incidence of hypertension in the Walnut Creek Contraceptive Drug Study cohort. In Pharmacology of Steroid Contraceptive Drugs. Edited by S. Garattini and H.W. Berendes. New York, Raven Press, pp. 277-288, 1977. (Monographs of the Mario Negri Institute for Pharmacological Research, Milan.)

  • Back DJ, Orme ML’E. Drug interactions, in Pharmacology of the contraceptive steroids. Goldzieher JW, Fotherby K (eds), Raven Press, Ltd., New York, 1994, 407-425.

  • Marchbanks PA, McDonald JA, Wilson HG, et al. Oral contraceptives and the risk of breast cancer. N Engl J Med. 2002;346(26):2025-2032.

  • Dumeaux V, Fournier A, Lund E, Clavel-Chapelon F. Previous oral contraceptive use and breast cancer risk according to hormone replacement therapy use among postmenopausal women. Cancer Causes Control. 2005;16(5):537-544.

  • Dorjgochoo T, Shu XO, Li HL, et al. Use of oral contraceptives, intrauterine devices and tubal sterilization and cancer risk in a large prospective study, from 1996 to 2006. Int J Cancer. 2009;124(10):2442-2449.

  • Hunter DJ, Colditz GA, Hankinson SE, et al. Oral contraceptive use and breast cancer: a prospective study of young women. Cancer epidemiology, biomarkers & prevention: a publication of the American Association for Cancer Research, cosponsored by the American Society of Preventive Oncology.

    2010;19(10):2496-2502.

  • Vessey M, Yeates D. Oral contraceptive use and cancer. Final report from the Oxford-Family Planning Association contraceptive study. Contraception. 2013; 88(6): 678-683.

  • Morch LS, Skovlund CW, Hannaford PC, Iversen L, Fielding S, Lidegaard O. Contemporary Hormonal Contraception and the Risk of Breast Cancer. N Engl J Med. 2017;377(23):2228-2239.

  • The Cancer and Steroid Hormone Study of the Centers for Disease Control and the National Institute of Child Health and Human Development: Oral contraceptive use and the risk of ovarian cancer. J.A.M.A., 249:1596-1599, 1983.

  • The Cancer and Steroid Hormone Study of the Centers for Disease Control and the National Institute of Child Health and Human Development: Combination oral contraceptive use and the risk of endometrial cancer. J.A.M.A., 257:796-800, 1987.

  • Ory, H.W.: Functional ovarian cysts and oral contraceptives: Negative association confirmed surgically. J.A.M.A., 228:68-69, 1974.

  • Ory, H.W., P. Cole, B. Macmahon, and R. Hoover: Oral contraceptives and reduced risk of benign breast disease. N.E.J.M., 294:41-422, 1976.

  • Ory, H.W.: The noncontraceptive health benefits from oral contraceptive use. Fam. Plann. Perspectives, 14:182-184, 1982.

  • Ory, H.W., J.D. Forrest, and R. Lincoln: Making Choices: Evaluating the health risks and benefits of birth control methods. New York, The Alan Guttmacher Institute, p.1, 1983.

11. Headache

The onset or exacerbation of migraine or development of headache with a new pattern which is recurrent, persistent, or severe requires discontinuation of oral contraceptives and evaluation of the cause.

10. Pregnancy

Discontinue norethindrone acetate and ethinyl estradiol tablets and ferrous fumarate tablets if pregnancy occurs because there is no reason to use COCs in pregnancy. See WARNINGS section.

11. Lactation

Small amounts of oral contraceptive steroids have been identified in human milk, and a few adverse effects on the child have been reported, including jaundice and breast enlargement. In addition, oral contraceptives given in the postpartum period may interfere with lactation by decreasing the quantity and quality of breast milk. If possible, the nursing mother should be advised not to use oral contraceptives but to use other forms of contraception until she has completely weaned her child.

14. Depression

Carefully observe women with a history of depression and discontinue norethindrone acetate and ethinyl estradiol tablets and ferrous fumarate tablets if depression recurs to a serious degree.

12. Pediatric Use

Safety and efficacy of norethindrone acetate and ethinyl estradiol tablets and ferrous fumarate tablets have been established in women of reproductive age. Safety and efficacy are expected to be the same for postpubertal adolescents under the age of 16 and for users 16 years and older. Use of this product before menarche is not indicated.

4. Liver Function

If jaundice develops in any woman receiving such drugs, the medication should be discontinued. Steroid hormones may be poorly metabolized in patients with impaired liver function.

6. Contact Lenses

Contact lens wearers who develop visual changes or changes in lens tolerance should be assessed by an ophthalmologist.

6. Ocular Lesions

There have been clinical case reports of retinal thrombosis associated with the use of oral contraceptives. Oral contraceptives should be discontinued if there is unexplained partial or complete loss of vision; onset of proptosis or diplopia; papilledema; or retinal vascular lesions. Appropriate diagnostic and therapeutic measures should be undertaken immediately.

9. Carcinogenesis

See WARNINGS section.

3. Lipid Disorders

Women who are being treated for hyperlipidemia should be followed closely if they elect to use oral contraceptives. Some progestogens may elevate LDL levels and may render the control of hyperlipidemias more difficult.

5. Fluid Retention

Oral contraceptives may cause some degree of fluid retention. They should be prescribed with caution, and only with careful monitoring, in patients with conditions which might be aggravated by fluid retention.

B. Thromboembolism

An increased risk of thromboembolic and thrombotic disease associated with the use of oral contraceptives is well established. Case control studies have found the relative risk of users compared to non-users to be 3 for the first episode of superficial venous thrombosis, 4 to 11 for deep vein thrombosis or pulmonary embolism, and 1.5 to 6 for women with predisposing conditions for venous thromboembolic disease (9, 10, 25-30). Cohort studies have shown the relative risk to be somewhat lower, about 3 for new cases and about 4.5 for new cases requiring hospitalization (31). The risk of thromboembolic disease due to oral contraceptives is not related to length of use and disappears after pill use is stopped (8).

A two- to four-fold increase in relative risk of postoperative thromboembolic complications has been reported with the use of oral contraceptives (15,32). The relative risk of venous thrombosis in women who have predisposing conditions is twice that of women without such medical conditions (15,32). If feasible, oral contraceptives should be discontinued at least four weeks prior to and for two weeks after elective surgery of a type associated with an increase in risk of thromboembolism and during and following prolonged immobilization. Since the immediate postpartum period is also associated with an increased risk of thromboembolism, oral contraceptives should be started no earlier than four to six weeks after delivery in women who elect not to breastfeed.

4. Hepatic Neoplasia

Benign hepatic adenomas are associated with oral contraceptive use, although the incidence of benign tumors is rare in the United States. Indirect calculations have estimated the attributable risk to be in the range of 3.3 cases/100,000 for users, a risk that increases after four or more years of use (46). Rupture of rare, benign, hepatic adenomas may cause death through intra-abdominal hemorrhage (47, 48).

Studies from Britain have shown an increased risk of developing hepatocellular carcinoma (49-51) in long-term (greater than 8 years) oral contraceptive users. However, these cancers are extremely rare in the U.S., and the attributable risk (the excess incidence) of liver cancers in oral contraceptive users approaches less than one per million users.

Clinical Pharmacology

Combination oral contraceptives act by suppression of gonadotropins. Although the primary mechanism of this action is inhibition of ovulation, other alterations include changes in the cervical mucus (which increase the difficulty of sperm entry into the uterus) and the endometrium (which reduce the likelihood of implantation).

Pharmacokinetics

The pharmacokinetics of norethindrone acetate and ethinyl estradiol tablets have not been characterized; however, the following pharmacokinetic information regarding norethindrone acetate and ethinyl estradiol is taken from the literature.

Absorption

Norethindrone acetate appears to be completely and rapidly deacetylated to norethindrone after oral administration, since the disposition of norethindrone acetate is indistinguishable from that of orally administered norethindrone (1). Norethindrone acetate and ethinyl estradiol are subject to first-pass metabolism after oral dosing, resulting in an absolute bioavailability of approximately 64% for norethindrone and 43% for ethinyl estradiol (1-3).

Distribution

Volume of distribution of norethindrone and ethinyl estradiol ranges from 2 to 4 L/kg (1 to 3). Plasma protein binding of both steroids is extensive (greater than 95%); norethindrone binds to both albumin and sex hormone binding globulin, whereas ethinyl estradiol binds only to albumin (4).

Metabolism

Norethindrone undergoes extensive biotransformation, primarily via reduction, followed by sulfate and glucuronide conjugation. The majority of metabolites in the circulation are sulfates, with glucuronides accounting for most of the urinary metabolites (5). A small amount of norethindrone acetate is metabolically converted to ethinyl estradiol. Ethinyl estradiol is also extensively metabolized, both by oxidation and by conjugation with sulfate and glucuronide. Sulfates are the major circulating conjugates of ethinyl estradiol and glucuronides predominate in urine. The primary oxidative metabolite is 2-hydroxy ethinyl estradiol, formed by the CYP3A4 isoform of cytochrome P450. Part of the first-pass metabolism of ethinyl estradiol is believed to occur in gastrointestinal mucosa. Ethinyl estradiol may undergo enterohepatic circulation (6).

Excretion

Norethindrone and ethinyl estradiol are excreted in both urine and feces, primarily as metabolites (5, 6). Plasma clearance values for norethindrone and ethinyl estradiol are similar (approximately 0.4 L/hr/kg) (1-3).

Special Population

Race:

The effect of race on the disposition of norethindrone acetate and ethinyl estradiol tablets has not been evaluated.

Renal Insufficiency

The effect of renal disease on the disposition of norethindrone acetate and ethinyl estradiol tablets has not been evaluated. In premenopausal women with chronic renal failure undergoing peritoneal dialysis who received multiple doses of an oral contraceptive containing ethinyl estradiol and norethindrone, plasma ethinyl estradiol concentrations were higher and norethindrone concentrations were unchanged compared to concentrations in premenopausal women with normal renal function.

Hepatic Insufficiency

The effect of hepatic disease on the disposition of norethindrone acetate and ethinyl estradiol tablets has not been evaluated. However, ethinyl estradiol and norethindrone may be poorly metabolized in patients with impaired liver function.

Drug-Drug Interactions

Numerous drug-drug interactions have been reported for oral contraceptives. A summary of these is found under PRECAUTIONS, Drug Interactions.

3. Malignant Neoplasms

Breast Cancer

Norethindrone acetate and ethinyl estradiol tablets and ferrous fumarate tablets are contraindicated in females who currently have or have had breast cancer because breast cancer may be hormonally sensitive (see CONTRAINDICATIONS ).

Epidemiology studies have not found a consistent association between use of combined oral contraceptives (COCs) and breast cancer risk. Studies do not show an association between ever (current or past) use of COCs and risk of breast cancer. However, some studies report a small increase in the risk of breast cancer among current or recent users (<6 months since last use) and current users with longer duration of COC use (see ADVERSE REACTIONS , Postmarketing Experience).

Cervical Cancer

Some studies suggest that oral contraceptive use has been associated with an increase in the risk of cervical intraepithelial neoplasia in some populations of women (42-45). However, there continues to be controversy about the extent to which such findings may be due to differences in sexual behavior and other factors.

8. Gallbladder Disease

Earlier studies have reported an increased lifetime relative risk of gallbladder surgery in users of oral contraceptives and estrogens (57, 58). More recent studies, however, have shown that the relative risk of developing gallbladder disease among oral contraceptive users may be minimal (59-61). The recent findings of minimal risk may be related to the use of oral contraceptive formulations containing lower hormonal doses of estrogens and progestogens.

A. Myocardial Infarction

An increased risk of myocardial infarction has been attributed to oral contraceptive use. This risk is primarily in smokers or women with other underlying risk factors for coronary artery disease such as hypertension, hypercholesterolemia, morbid obesity, and diabetes. The relative risk of heart attack for current oral contraceptive users has been estimated to be two to six (10-16). The risk is very low under the age of 30.

Smoking in combination with oral contraceptive use has been shown to contribute substantially to the incidence of myocardial infarctions in women in their mid-thirties or older with smoking accounting for the majority of excess cases (17). Mortality rates associated with circulatory disease have been shown to increase substantially in smokers over the age of 35 and non-smokers over the age of 40 (Table II) among women who use oral contraceptives.

TABLE II CIRCULATORY DISEASE MORTALITY RATES PER 100,000 WOMAN YEARS BY AGE, SMOKING STATUS AND ORAL CONTRACEPTIVE USE

Adapted from P.M. Layde and V. Beral, Reference 18.

Oral contraceptives may compound the effects of well-known risk factors, such as hypertension, diabetes, hyperlipidemias, age and obesity (19). In particular, some progestogens are known to decrease HDL cholesterol and cause glucose intolerance, while estrogens may create a state of hyperinsulinism (20-24). Oral contraceptives have been shown to increase blood pressure among users (see section 9 in WARNINGS ). Similar effects on risk factors have been associated with an increased risk of heart disease. Oral contraceptives must be used with caution in women with cardiovascular disease risk factors.

13. Hereditary Angioedema

In women with hereditary angioedema, exogenous estrogens may induce or exacerbate symptoms of angioedema.

C. Cerebrovascular Disease

Oral contraceptives have been shown to increase both the relative and attributable risks of cerebrovascular events (thrombotic and hemorrhagic strokes), although, in general, the risk is greatest among older (greater than 35 years), hypertensive women who also smoke. Hypertension was found to be a risk factor for both users and nonusers, for both types of strokes, while smoking interacted to increase the risk for hemorrhagic strokes (33-35).

In a large study, the relative risk of thrombotic strokes has been shown to range from 3 for normotensive users to 14 for users with severe hypertension (36). The relative risk of hemorrhagic stroke is reported to be 1.2 for non-smokers who used oral contraceptives, 2.6 for smokers who did not use oral contraceptives, 7.6 for smokers who used oral contraceptives, 1.8 for normotensive users, and 25.7 for users with severe hypertension (36). The attributable risk is also greater in older women (9).

10. Elevated Blood Pressure

An increase in blood pressure has been reported in women taking oral contraceptives (65) and this increase is more likely in older oral contraceptive users (66) and with continued use (65). Data from the Royal College of General Practitioners (18) and subsequent randomized trials have shown that the incidence of hypertension increases with increasing concentrations of progestogens.

Women with a history of hypertension or hypertension-related diseases or renal disease (67) should be encouraged to use another method of contraception. If women elect to use oral contraceptives, they should be monitored closely, and if significant elevation of blood pressure occurs, oral contraceptives should be discontinued. For most women, elevated blood pressure will return to normal after stopping oral contraceptives (66), and there is no difference in the occurrence of hypertension among ever and never users (65, 67, 68).

12. Bleeding Irregularities

Breakthrough bleeding and spotting are sometimes encountered in patients on oral contraceptives, especially during the first three months of use. Non-hormonal causes should be considered, and adequate diagnostic measures taken to rule out malignancy or pregnancy in the event of breakthrough bleeding, as in the case of any abnormal vaginal bleeding. If pathology has been excluded, time or a change to another formulation may solve the problem. In the event of amenorrhea, pregnancy should be ruled out.

Some women may encounter post-pill amenorrhea or oligomenorrhea, especially when such a condition was preexistent.

Patient Counseling Information

Advise the patient to read the FDA-approved patient labeling (PATIENT PACKAGE INSERT BRIEF SUMMARY and DETAILED PATIENT PACKAGE INSERT).

  • Counsel patients that cigarette smoking increases the risk of serious cardiovascular events from COC use, and that women who are over 35 years old and smoke should not use COCs (see BOXED WARNING and CONTRAINDICATIONS ).

  • Counsel patients that the increased risk of venous thromboembolism compared to non-users of CHCs is greatest after initially starting a CHC or restarting (following a 4-week or greater interruption in intake) the same or a different CHC (see WARNINGS ).

  • Counsel patients that this product does not protect against HIV-infection (AIDS) and other sexually transmitted infections.

  • Counsel patients to take one tablet daily by mouth at the same time every day. Instruct patients what to do in the event pills are missed (see DOSAGE AND ADMINISTRATION ).

  • Counsel patients to use a back-up or alternative method of contraception when enzyme inducers are used with COCs (see PRECAUTIONS ).

  • Counsel patients who are breastfeeding or who desire to breastfeed that COCs may reduce breast milk production. This is less likely to occur if breastfeeding is well established (see PRECAUTIONS ).

  • Counsel any patient who starts Feirza 1.5/30 postpartum, and who has not yet had a period, to use an additional method of contraception until she has taken a blue tablet for 7 consecutive days (see DOSAGE AND ADMINISTRATION ).

  • Counsel patients that amenorrhea may occur. Pregnancy should be considered in the event of amenorrhea, and should be ruled out if amenorrhea is associated with symptoms of pregnancy, such as morning sickness or unusual breast tenderness (see WARNINGS ).

  • Counsel patients with a history of depression that depression may reoccur. Women should contact their healthcare provider if depression occurs (see WARNINGS ).

2. Physical Examination and Follow Up

It is good medical practice for all women to have annual history and physical examinations, including women using oral contraceptives. The physical examination, however, may be deferred until after initiation of oral contraceptives if requested by the woman and judged appropriate by the clinician. The physical examination should include special reference to blood pressure, breasts, abdomen and pelvic organs, including cervical cytology, and relevant laboratory tests. In case of undiagnosed, persistent or recurrent abnormal vaginal bleeding, appropriate measures should be conducted to rule out malignancy. Women with a strong family history of breast cancer or who have breast nodules should be monitored with particular care.

8. Interactions With Laboratory Tests

Certain endocrine and liver function tests and blood components may be affected by oral contraceptives:

  • a.
    Increased prothrombin and factors VII, VIII, IX, and X; decreased antithrombin 3; increased norepinephrine-induced platelet aggregability.
  • b.
    Increased thyroid binding globulin (TBG) leading to increased circulating total thyroid hormone, as measured by protein-bound iodine (PBI), T4 by column or by radioimmunoassay. Free T3 resin uptake is decreased, reflecting the elevated TBG; free T4 concentration is unaltered.
  • c.
    Other binding proteins may be elevated in serum.
  • d.
    Sex-binding globulins are increased and result in elevated levels of total circulating sex steroids and corticoids; however, free or biologically active levels remain unchanged.
  • e.
    Triglycerides may be increased.
  • f.
    Glucose tolerance may be decreased.
  • g.
    Serum folate levels may be depressed by oral contraceptive therapy. This may be of clinical significance if a woman becomes pregnant shortly after discontinuing oral contraceptives.
Package Label.principal Display Panel
Brief Summary Patient Package Insert  

This product (like all oral contraceptives) is intended to prevent pregnancy. It does not protect against HIV infection (AIDS) and other sexually transmitted infections.

Cigarette smoking increases the risk of serious cardiovascular side effects from oral contraceptive use. This risk increases with age and with heavy smoking (15 or more cigarettes per day) and is quite marked in women over 35 years of age. Women who use oral contraceptives are strongly advised not to smoke.

Oral contraceptives, also known as “birth control pills” or “the pill,” are taken to prevent pregnancy and, when taken correctly, have a failure rate of about 1% per year when used without missing any pills. The typical failure rate of large numbers of pill users is less than 3% per year when women who miss pills are included. For most women oral contraceptives are also free of serious or unpleasant side effects. However, forgetting to take pills considerably increases the chances of pregnancy.

For the majority of women, oral contraceptives can be taken safely. But there are some women who are at high risk of developing certain serious diseases that can be life-threatening or may cause temporary or permanent disability. The risks associated with taking oral contraceptives increase significantly if you:

  • Smoke

  • Have high blood pressure, diabetes, high cholesterol

  • Have or have had clotting disorders, heart attack, stroke, angina pectoris, cancer of the breast, jaundice, or malignant or benign liver tumors.

You should not take the pill if you suspect you are pregnant or have unexplained vaginal bleeding.

Most side effects of the pill are not serious. The most common side effects are nausea, vomiting, bleeding between menstrual periods, weight gain, breast tenderness, and difficulty wearing contact lenses. These side effects, especially nausea, vomiting, and breakthrough bleeding may subside within the first three months of use.

The serious side effects of the pill occur very infrequently, especially if you are in good health and are young. However, you should know that the following medical conditions have been associated with or made worse by the pill:

  • Blood clots in the legs (thrombophlebitis), lungs (pulmonary embolism), stoppage or rupture of a blood vessel in the brain (stroke), blockage of blood vessels in the heart (heart attack or angina pectoris) or other organs of the body. As mentioned above, smoking increases the risk of heart attacks and strokes and subsequent serious medical consequences.

  • Liver tumors, which may rupture and cause severe bleeding. A possible but not definite association has been found with the pill and liver cancer. However, liver cancers are extremely rare. The chance of developing liver cancer from using the pill is thus even rarer.

  • High blood pressure, although blood pressure usually returns to normal when the pill is stopped.

The symptoms associated with these serious side effects are discussed in the detailed leaflet given to you with your supply of pills. Notify your doctor or healthcare provider if you notice any unusual physical disturbances while taking the pill. In addition, drugs such as rifampin, as well as some anticonvulsants and some antibiotics, may decrease oral contraceptive effectiveness.

There may be slight increases in the risk of breast cancer among current users of hormonal birth control pills with longer duration of use of 8 years or more. Some studies have found an increase in the risk of developing cancer of the cervix in women taking the pill, but this finding may be related to differences in sexual behavior or other factors not related to use of the pill.

Taking the pill provides some important non-contraceptive benefits. These include less painful menstruation, less menstrual blood loss and anemia, fewer pelvic infections, and fewer cancers of the ovary and the lining of the uterus.

Be sure to discuss any medical condition you may have with your healthcare provider. Your healthcare provider will take a medical and family history and examine you before prescribing oral contraceptives. The physical examination may be delayed to another time if you request it and your healthcare provider believes that it is a good medical practice to postpone it. You should be reexamined at least once a year while taking oral contraceptives. The detailed patient information leaflet gives you further information which you should read and discuss with your healthcare provider.

This product (like all oral contraceptives) is intended to prevent pregnancy. It does not protect against transmission of HIV (AIDS) and other sexually transmitted infections such as Chlamydia, genital herpes, genital warts, gonorrhea, hepatitis B and syphilis.

E. Persistence of Risk of Vascular Disease

There are two studies which have shown persistence of risk of vascular disease for ever-users of oral contraceptives. In a study in the United States, the risk of developing myocardial infarction after discontinuing oral contraceptives persists for at least 9 years for women 40 to 49 years who had used oral contraceptives for 5 or more years, but this increased risk was not demonstrated in other age groups (14). In another study in Great Britain, the risk of developing cerebrovascular disease persisted for at least 6 years after discontinuation of oral contraceptives, although excess risk was very small (40). However, both studies were performed with oral contraceptive formulations containing 50 mcg or higher of estrogens.

9. Carbohydrate and Lipid Metabolic Effects

Oral contraceptives have been shown to cause glucose intolerance in a significant percentage of users (23). Oral contraceptives containing greater than 75 mcg of estrogens cause hyperinsulinism, while lower doses of estrogen cause less glucose intolerance (62). Progestogens increase insulin secretion and create insulin resistance, this effect varying with different progestational agents (23, 63). However, in the non-diabetic woman, oral contraceptives appear to have no effect on fasting blood glucose (64). Because of these demonstrated effects, prediabetic and diabetic women should be carefully observed while taking oral contraceptives.

A small proportion of women will have persistent hypertriglyceridemia while on the pill. As discussed earlier (see WARNINGS 1a . and 1d .), changes in serum triglycerides and lipoprotein levels have been reported in oral contraceptive users.

Effects of Oral Contraceptives On Other Drugs

Oral contraceptive combinations containing ethinyl estradiol may inhibit the metabolism of other compounds. Increased plasma concentrations of cyclosporine, prednisolone, and theophylline have been reported with concomitant administration of oral contraceptives. In addition, oral contraceptives may induce the conjugation of other compounds. Decreased plasma concentrations of acetaminophen and increased clearance of temazepam, salicylic acid, morphine, and clofibric acid have been noted when these drugs were administered with oral contraceptives.

2. Estimates of Mortality From Contraceptive Use

One study gathered data from a variety of sources which have estimated the mortality rate associated with different methods of contraception at different ages (Table III). These estimates include the combined risk of death associated with contraceptive methods plus the risk attributable to pregnancy in the event of method failure. Each method of contraception has its specific benefits and risks. The study concluded that with the exception of oral contraceptive users 35 and older who smoke and 40 and older who do not smoke, mortality associated with all methods of birth control is low and below that associated with childbirth. The observation of a possible increase in risk of mortality with age for oral contraceptive users is based on data gathered in the 1970’s but not reported until 1983 (41). However, current clinical practice involves the use of lower estrogen dose formulations combined with careful restriction of oral contraceptive use to women who do not have the various risk factors listed in this labeling.

Because of these changes in practice and, also, because of some limited new data which suggest that the risk of cardiovascular disease with the use of oral contraceptives may now be less than previously observed (Porter JB, Hunter J, Jick H, et al. Oral contraceptives and nonfatal vascular disease. Obstet Gynecol 1985;66:1-4; and Porter JB, Hershel J, Walker AM. Mortality among oral contraceptive users. Obstet Gynecol 1987;70:29-32), the Fertility and Maternal Health Drugs Advisory Committee was asked to review the topic in 1989. The Committee concluded that although cardiovascular disease risks may be increased with oral contraceptive use after age 40 in healthy non-smoking women (even with the newer low-dose formulations), there are greater potential health risks associated with pregnancy in older women and with the alternative surgical and medical procedures which may be necessary if such women do not have access to effective and acceptable means of contraception.

Therefore, the Committee recommended that the benefits of oral contraceptive use by healthy non-smoking women over 40 may outweigh the possible risks. Of course, older women, as all women who take oral contraceptives, should take the lowest possible dose formulation that is effective.

TABLE III ANNUAL NUMBER OF BIRTH-RELATED OR METHOD-RELATED DEATHS ASSOCIATED WITH CONTROL OF FERTILITY PER 100,000 NONSTERILE WOMEN BY FERTILITY CONTROL METHOD ACCORDING TO AGE

Method of control and outcome

15 to 19

20 to 24

25 to 29

30 to 34

35 to 39

40 to 44

No fertility control methods

7.0

7.4

9.1

14.8

25.7

28.2

Oral contraceptives non-smoker**

0.3

0.5

0.9

1.9

13.8

31.6

Oral contraceptives smoker**

2.2

3.4

6.6

13.5

51.1

117.2

IUD**

0.8

0.8

1.0

1.0

1.4

1.4

Condom*

1.1

1.6

0.7

0.2

0.3

0.4

Diaphragm/spermicide*

1.9

1.2

1.2

1.3

2.2

2.8

Periodic abstinence*

2.5

1.6

1.6

1.7

2.9

3.6

*Deaths are birth related.

**Deaths are method related.

Adapted from H.W. Ory, Reference 41.

Effects of Other Drugs On Oral Contraceptives (69)

Rifampin:

Metabolism of both norethindrone and ethinyl estradiol is increased by rifampin. A reduction in contraceptive effectiveness and increased incidence of breakthrough bleeding and menstrual irregularities have been associated with concomitant use of rifampin.

Anticonvulsants:

Anticonvulsants such as phenobarbital, phenytoin, and carbamazepine, have been shown to increase the metabolism of ethinyl estradiol and/or norethindrone, which could result in a reduction in contraceptive effectiveness.

Troglitazone:

Administration of troglitazone with an oral contraceptive containing ethinyl estradiol and norethindrone reduced the plasma concentrations of both by approximately 30%, which could result in a reduction in contraceptive effectiveness.

Antibiotics:

Pregnancy while taking oral contraceptives has been reported when the oral contraceptives were administered with antimicrobials such as ampicillin, tetracycline, and griseofulvin. However, clinical pharmacokinetic studies have not demonstrated any consistent effect of antibiotics (other than rifampin) on plasma concentrations of synthetic steroids.

Atorvastatin:

Coadministration of atorvastatin and an oral contraceptive increased AUC values for norethindrone and ethinyl estradiol by approximately 30% and 20%, respectively.

Concomitant Use with HCV Combination Therapy – Liver Enzyme Elevation

Co-administration of norethindrone acetate and ethinyl estradiol tablets and ferrous fumarate tablets with HCV drug combinations containing ombitasvir/paritaprevir/ritonavir, with or without dasabuvir is contraindicated due to potential for ALT elevations (see Warnings, RISK OF LIVER ENZYME ELEVATIONS WITH CONCOMITANT HEPATITIS C TREATMENT ). Co-administration of norethindrone acetate and ethinyl estradiol tablets and ferrous fumarate tablets and glecaprevir/pibrentasvir is not recommended due to potential for ALT elevations.

Other:

Ascorbic acid and acetaminophen may increase plasma ethinyl estradiol concentrations, possibly by inhibition of conjugation. A reduction in contraceptive effectiveness and increased incidence of breakthrough bleeding has been suggested with phenylbutazone.

7. Oral Contraceptive Use Before and During Early Pregnancy

Extensive epidemiological studies have revealed no increased risk of birth defects in women who have used oral contraceptives prior to pregnancy (52-54). Studies also do not suggest a teratogenic effect, particularly insofar as cardiac anomalies and limb reduction defects are concerned (52, 53, 55, 56), when taken inadvertently during early pregnancy.

The administration of oral contraceptives to induce withdrawal bleeding should not be used as a test for pregnancy. Oral contraceptives should not be used during pregnancy to treat threatened or habitual abortion.

It is recommended that for any patient who has missed two consecutive periods, pregnancy should be ruled out before continuing oral contraceptive use. If the patient has not adhered to the prescribed schedule, the possibility of pregnancy should be considered at the time of the first missed period. Oral contraceptive use should be discontinued if pregnancy is confirmed.

Warning: Cigarette Smoking and Serious Cardiovascular Events

Cigarette smoking increases the risk of serious cardiovascular events from combination oral contraceptive (COC) use. This risk increases with age, particularly in women over 35 years of age, and with the number of cigarettes smoked. For this reason, COCs, including norethindrone acetate and ethinyl estradiol tablets, are contraindicated in women who are over 35 years of age and smoke (see CONTRAINDICATIONS and WARNINGS ).

D. Dose Related Risk of Vascular Disease From Oral Contraceptives

A positive association has been observed between the amount of estrogen and progestogen in oral contraceptives and the risk of vascular disease (37-39). A decline in serum high-density lipoproteins (HDL) has been reported with many progestational agents (20-22). A decline in serum high-density lipoproteins has been associated with an increased incidence of ischemic heart disease. Because estrogens increase HDL cholesterol, the net effect of an oral contraceptive depends on a balance achieved between doses of estrogen and progestin and the nature of the progestin used in the contraceptives. The amount and activity of both hormones should be considered in the choice of an oral contraceptive.

Minimizing exposure to estrogen and progestogen is in keeping with good principles of therapeutics. For any particular oral contraceptive, the dosage regimen prescribed should be one which contains the least amount of estrogen and progestogen that is compatible with the needs of the individual patient. New acceptors of oral contraceptive agents should be started on preparations containing the lowest dose of estrogen which produces satisfactory results for the patient.

5. Risk of Liver Enzyme Elevations With Concomitant Hepatitis C Treatment

During clinical trials with the Hepatitis C combination drug regimen that contains ombitasvir/paritaprevir/ritonavir, with or without dasabuvir, ALT elevations greater than 5 times the upper limit of normal (ULN), including some cases greater than 20 times the ULN, were significantly more frequent in women using ethinyl estradiol-containing medications such as COCs. Discontinue norethindrone acetate and ethinyl estradiol tablets and ferrous fumarate tablets prior to starting therapy with the combination drug regimen ombitasvir/paritaprevir/ritonavir, with or without dasabuvir (see Contraindications). Norethindrone acetate and ethinyl estradiol tablets and ferrous fumarate tablets can be restarted approximately 2 weeks following completion of treatment with the combination drug regimen.

1. Patients Should Be Counseled That This Product Does Not Protect Against Hiv Infection (aids) and Other Sexually Transmitted Infections.

 


Structured Label Content

Section 42229-5 (42229-5)

The use of oral contraceptives is associated with increased risks of several serious conditions including myocardial infarction, thromboembolism, stroke, hepatic neoplasia, and gallbladder disease, although the risk of serious morbidity or mortality is very small in healthy women without underlying risk factors. The risk of morbidity and mortality increases significantly in the presence of other underlying risk factors such as hypertension, hyperlipidemias, obesity, and diabetes.

Practitioners prescribing oral contraceptives should be familiar with the following information relating to these risks.

The information contained in this package insert is principally based on studies carried out in patients who used oral contraceptives with higher formulations of estrogens and progestogens than those in common use today. The effect of long-term use of the oral contraceptives with lower formulations of both estrogens and progestogens remains to be determined.

Throughout this labeling, epidemiological studies reported are of two types: retrospective or case control studies and prospective or cohort studies. Case control studies provide a measure of the relative risk of a disease, namely, a ratio of the incidence of a disease among oral contraceptive users to that among nonusers. The relative risk does not provide information on the actual clinical occurrence of a disease. Cohort studies provide a measure of attributable risk, which is the difference in the incidence of disease between oral contraceptive users and nonusers. The attributable risk does provide information about the actual occurrence of a disease in the population (adapted from References 8 and 9 with the author’s permission). For further information, the reader is referred to a text on epidemiological methods.

Overdosage (OVERDOSAGE)

Serious ill effects have not been reported following acute ingestion of large doses of oral contraceptives by young children. Overdosage may cause nausea, and withdrawal bleeding may occur in females.

NON-CONTRACEPTIVE HEALTH BENEFITS

The following non-contraceptive health benefits related to the use of oral contraceptives are supported by epidemiological studies which largely utilized oral contraceptive formulations containing estrogen doses exceeding 0.035 mg of ethinyl estradiol or 0.05 mg of mestranol (76-81).

Effects on menses:

  • Increased menstrual cycle regularity

  • Decreased blood loss and decreased incidence of iron deficiency anemia

  • Decreased incidence of dysmenorrhea

Effects related to inhibition of ovulation:

  • Decreased incidence of functional ovarian cysts

  • Decreased incidence of ectopic pregnancies

Effects from long-term use:

  • Decreased incidence of fibroadenomas and fibrocystic disease of the breast

  • Decreased incidence of acute pelvic inflammatory disease

  • Decreased incidence of endometrial cancer

  • Decreased incidence of ovarian cancer

References (REFERENCES)
  • Back DJ, Breckenridge AM, Crawford FE, Mclver M, Orme ML’E, Rowe PH and Smith E: Kinetics of norethindrone in women II. Single-dose kinetics. Clin Pharmacol Ther 1978; 24:448-453.

  • Hümpel M, Nieuwober B, Wendt H and Speck U: Investigations of pharmacokinetics of ethinyl estradiol to specific consideration of a possible first-pass effect in women. Contraception 1979;19:421-432.

  • Back DJ, Breckenridge AM, Crawford FE, Maclver M, Orme ML’E, Rowe PH and Watts MJ. An investigation of the pharmacokinetics of ethinyl estradiol in women using radioimmunoassay. Contraception 1979;20:263-273.

  • Hammond GL, Lähteenmäki PLA, Lähteenmäki P and Luukkainen T. Distribution and percentages of non-protein bound contraceptive steroids in human serum. J Steriod Biochem 1982;17:375-380.

  • Fotherby K. Pharmacokinetics and metabolism of progestins in humans, in Pharmacology of the contraceptive steroids, Goldzieher JW, Fotherby K (eds), Raven Press, Ltd., New York, 1994;99-126.

  • Goldzieher JW. Pharmacokinetics and metabolism of ethinyl estrogens, in Pharmacology of the contraceptive steroids, Goldzieher JW, Fotherby K (eds), Raven Press Ltd., New York, 1994;127-151.

  • Hatcher RA, et al. 1998. Contraceptive Technology, Seventeenth Edition. New York: Irvington Publishers.

  • Stadel, B.V.: Oral contraceptives and cardiovascular disease. (Pt. 1). New England Journal of Medicine, 305:612-618, 1981.

  • Stadel, B.V.: Oral contraceptives and cardiovascular disease. (Pt. 2). New England Journal of Medicine, 305:672-677, 1981.

  • Adam, S.A., and M. Thorogood: Oral contraception and myocardial infarction revisited: The effects of new preparations and prescribing patterns. Brit. J. Obstet. and Gynec., 88:838-845, 1981.

  • Mann, J.I., and W.H. Inman: Oral contraceptives and death from myocardial infarction. Brit. Med. J., 2(5965): 245-248, 1975.

  • Mann, J.I., M.P. Vessey, M. Thorogood, and R. Doll: Myocardial infarction in young women with special reference to oral contraceptive practice. Brit. Med. J., 2(5956):241-245, 1975.

  • Royal College of General Practitioners’ Oral Contraception Study: Further analyses of mortality in oral contraceptive users. Lancet, 1:541-546, 1981.

  • Slone, D., S. Shapiro, D.W. Kaufman, L. Rosenberg, O.S. Miettinen, and P.D. Stolley: Risk of myocardial infarction in relation to current and discontinued use of oral contraceptives. N.E.J.M., 305:420-424, 1981.

  • Vessey, M.P.: Female hormones and vascular disease: An epidemiological overview. Brit. J. Fam. Plann., 6:1-12, 1980.

  • Russell-Briefel, R.G., T.M. Ezzati, R. Fulwood, J.A. Perlman, and R.S. Murphy: Cardiovascular risk status and oral contraceptive use, United States, 1976-80. Preventive Medicine, 15:352-362, 1986.

  • Goldbaum, G.M., J.S. Kendrick, G.C. Hogelin, and E.M. Gentry: The relative impact of smoking and oral contraceptive use on women in the United States. J.A.M.A., 258:1339-1342, 1987.

  • Layde, P.M., and V. Beral: Further analyses of mortality in oral contraceptive users: Royal College General Practitioners’ Oral Contraception Study. (Table 5) Lancet, 1:541-546, 1981.

  • Knopp, R.H.: Arteriosclerosis risk: The roles of oral contraceptives and postmenopausal estrogens. J. of Reprod. Med., 31(9)(Supplement): 913-921, 1986.

  • Krauss, R.M., S. Roy, D.R. Mishell, J. Casagrande, and M.C. Pike: Effects of two low-dose oral contraceptives on serum lipids and lipoproteins: Differential changes in high-density lipoproteins subclasses. Am. J. Obstet. Gyn., 145:446-452, 1983.

  • Wahl, P., C. Walden, R. Knopp, J. Hoover, R. Wallace, G. Heiss, and B. Rifkind: Effect of estrogen/progestin potency on lipid/lipoprotein cholesterol. N.E.J.M., 308:862-867, 1983.

  • Wynn, V., and R. Niththyananthan: The effect of progestin in combined oral contraceptives on serum lipids with special reference to high-density lipoproteins. Am. J. Obstet. and Gyn., 142:766-771, 1982.

  • Wynn, V., and I. Godsland: Effects of oral contraceptives on carbohydrate metabolism. J. Reprod. Medicine, 31 (9)(Supplement): 892-897, 1986.

  • LaRosa, J.C.: Atherosclerotic risk factors in cardiovascular disease. J. Reprod. Med., 31(9)(Supplement): 906-912, 1986.

  • Inman, W.H., and M.P. Vessey: Investigations of death from pulmonary, coronary, and cerebral thrombosis and embolism in women of child-bearing age. Brit. Med. J., 2(5599): 193-199, 1968.

  • Maguire, M.G., J. Tonascia, P.E. Sartwell, P.D. Stolley, and M.S. Tockman: Increased risk of thrombosis due to oral contraceptives: A further report. Am. J. Epidemiology, 110(2): 188-195, 1979.

  • Pettiti, D.B., J. Wingerd, F. Pellegrin, and S. Ramacharan: Risk of vascular disease in women: Smoking, oral contraceptives, noncontraceptive estrogens, and other factors. J.A.M.A., 242:1150-1154, 1979.

  • Vessey, M.P., and R. Doll: Investigation of relation between use of oral contraceptives and thromboembolic disease. Brit. Med. J., 2(5599): 199-205, 1968.

  • Vessey, M.P., and R. Doll: Investigation of relation between use of oral contraceptives and thromboembolic disease: A further report. Brit. Med. J., 2(5658): 651-657, 1969.

  • Porter, J.B., J.R. Hunter, D.A. Danielson, H. Jick, and A. Stergachis: Oral contraceptives and non-fatal vascular disease: Recent experience. Obstet. and Gyn., 59(3):299-302, 1982.

  • Vessey, M., R. Doll, R. Peto, B. Johnson, and P. Wiggins: A long-term follow-up study of women using different methods of contraception: An interim report. J. Biosocial. Sci., 8:375-427, 1976.

  • Royal College of General Practitioners: Oral contraceptives, venous thrombosis, and varicose veins. J. of Royal College of General Practitioners, 28:393-399, 1978.

  • Collaborative Group for the study of stroke in young women: Oral contraception and increased risk of cerebral ischemia or thrombosis. N.E.J.M., 288:871-878, 1973.

  • Petitti, D.B., and J. Wingerd: Use of oral contraceptives, cigarette smoking, and risk of subarachnoid hemorrhage. Lancet, 2:234-236, 1978.

  • Inman, W.H.: Oral contraceptives and fatal subarachnoid hemorrhage. Brit. Med. J., 2(6203): 1468-70, 1979.

  • Collaborative Group for the study of stroke in young women: Oral contraceptives and stroke in young women: Associated risk factors. J.A.M.A., 231:718-722, 1975.

  • Inman, W.H., M.P. Vessey, B. Westerholm, and A. Engelund: Thromboembolic disease and the steroidal content of oral contraceptives. A report to the Committee on Safety of Drugs. Brit. Med. J., 2:203-209, 1970.

  • Meade, T.W., G. Greenberg, and S.G. Thompson: Progestogens and cardiovascular reactions associated with oral contraceptives and a comparison of the safety of 50- and 35-mcg estrogen preparations. Brit. Med. J., 280(6224): 1157-1161, 1980.

  • Kay, C.R.: Progestogens and arterial disease: Evidence from the Royal College of General Practitioners’ study. Amer. J. Obstet. Gyn., 142:762-765, 1982.

  • Royal College of General Practitioners: Incidence of arterial disease among oral contraceptive users. J. Coll. Gen. Pract., 33:75-82, 1983.

  • Ory, H.W: Mortality associated with fertility and fertility control:1983. Family Planning Perspectives, 15:50-56, 1983.

  • Ory, H., Z. Naib, S.B. Conger, R.A. Hatcher, and C.W. Tyler: Contraceptive choice and prevalence of cervical dysplasia and carcinoma in situ. Am. J. Obstet. Gynec., 124:573-577, 1976.

  • Vessey, M.P., M. Lawless, K. McPherson, D. Yeates: Neoplasia of the cervix uteri and contraception: A possible adverse effect of the pill. Lancet, 2:930, 1983.

  • Brinton, L.A., G.R. Huggins, H.F. Lehman, K. Malli, D.A. Savitz, E. Trapido, J. Rosenthal, and R. Hoover: Long-term use of oral contraceptives and risk of invasive cervical cancer. Int. J. Cancer, 38:339-344, 1986.

  • WHO Collaborative Study of Neoplasia and Steroid Contraceptives: Invasive cervical cancer and combined oral contraceptives. Brit. Med. J., 290:961-965, 1985.

  • Rooks, J.B., H.W. Ory, K.G. Ishak, L.T. Strauss, J.R. Greenspan, A.P. Hill, and C.W. Tyler: Epidemiology of hepatocellular adenoma: The role of oral contraceptive use. J.A.M.A., 242:644-648, 1979.

  • Bein, N.N., and H.S. Goldsmith: Recurrent massive hemorrhage from benign hepatic tumors secondary to oral contraceptives. Brit. J. Surg., 64:433-435, 1977.

  • Klatskin, G.: Hepatic tumors: Possible relationship to use of oral contraceptives. Gastroenterology, 73:386-394, 1977.

  • Henderson, B.E., S. Preston-Martin, H.A. Edmondson, R.L. Peters, and M.C. Pike: Hepatocellular carcinoma and oral contraceptives. Brit. J. Cancer, 48:437-440, 1983.

  • Neuberger, J., D. Forman, R. Doll, and R. Williams: Oral contraceptives and hepatocellular carcinoma. Brit. Med. J., 292:1355-1357, 1986.

  • Forman, D., T.J. Vincent, and R. Doll: Cancer of the liver and oral contraceptives. Brit. Med. J., 292:1357-1361, 1986.

  • Harlap, S., and J. Eldor: Births following oral contraceptive failures. Obstet. Gynec., 55:447-452, 1980.

  • Savolainen, E., E. Saksela, and L. Saxen: Teratogenic hazards of oral contraceptives analyzed in a national malformation register. Amer. J. Obstet. Gynec., 140:521-524, 1981.

  • Janerich, D.T., J.M. Piper, and D.M. Glebatis: Oral contraceptives and birth defects. Am. J. Epidemiology, 112:73-79, 1980.

  • Ferencz, C., G.M. Matanoski, P.D. Wilson, J.D. Rubin, C.A. Neill, and R. Gutberlet: Maternal hormone therapy and congenital heart disease. Teratology, 21:225-239, 1980.

  • Rothman, K.J., D.C. Fyler, A. Goldbatt, and M.B. Kreidberg: Exogenous hormones and other drug exposures of children with congenital heart disease. Am. J. Epidemiology, 109:433-439, 1979.

  • Boston Collaborative Drug Surveillance Program: Oral contraceptives and venous thromboembolic disease, surgically confirmed gallbladder disease, and breast tumors. Lancet, 1:1399-1404, 1973.

  • Royal College of General Practitioners: Oral Contraceptives and Health. New York, Pittman, 1974, 100p.

  • Layde, P.M., M.P. Vessey, and D. Yeates: Risk of gallbladder disease: A cohort study of young women attending family planning clinics. J. of Epidemiol. and Comm. Health, 36:274-278, 1982.

  • Rome Group for the Epidemiology and Prevention of Cholelithiasis (GREPCO): Prevalence of gallstone disease in an Italian adult female population. Am. J. Epidemiol., 119:796-805, 1984.

  • Strom, B.L., R.T. Tamragouri, M.L. Morse, E.L. Lazar, S.L. West, P.D. Stolley, and J.K. Jones: Oral contraceptives and other risk factors for gallbladder disease. Clin. Pharmacol. Ther., 39:335-341, 1986.

  • Wynn, V., P.W. Adams, I.F. Godsland, J. Melrose, R. Niththyananthan, N.W. Oakley, and A. Seedj: Comparison of effects of different combined oral-contraceptive formulations on carbohydrate and lipid metabolism. Lancet, 1:1045-1049, 1979.

  • Wynn, V.: Effect of progesterone and progestins on carbohydrate metabolism. In Progesterone and Progestin. Edited by C.W. Bardin, E. Milgrom, P. Mauvis-Jarvis. New York, Raven Press, pp. 395-410, 1983.

  • Perlman, J.A., R. G. Roussell-Briefel, T.M. Ezzati, and G. Lieberknecht: Oral glucose tolerance and the potency of oral contraceptive progestogens. J. Chronic Dis., 38:857-864, 1985.

  • Royal College of General Practitioners’ Oral Contraception Study: Effect on hypertension and benign breast disease of progestogen component in combined oral contraceptives. Lancet, 1:624, 1977.

  • Fisch, I.R., and J. Frank: Oral contraceptives and blood pressure. J.A.M.A., 237:2499-2503, 1977.

  • Laragh, A.J.: Oral contraceptive induced hypertension: Nine years later. Amer. J. Obstet. Gynecol., 126:141-147, 1976.

  • Ramcharan, S., E. Peritz, F.A. Pellegrin, and W.T. Williams: Incidence of hypertension in the Walnut Creek Contraceptive Drug Study cohort. In Pharmacology of Steroid Contraceptive Drugs. Edited by S. Garattini and H.W. Berendes. New York, Raven Press, pp. 277-288, 1977. (Monographs of the Mario Negri Institute for Pharmacological Research, Milan.)

  • Back DJ, Orme ML’E. Drug interactions, in Pharmacology of the contraceptive steroids. Goldzieher JW, Fotherby K (eds), Raven Press, Ltd., New York, 1994, 407-425.

  • Marchbanks PA, McDonald JA, Wilson HG, et al. Oral contraceptives and the risk of breast cancer. N Engl J Med. 2002;346(26):2025-2032.

  • Dumeaux V, Fournier A, Lund E, Clavel-Chapelon F. Previous oral contraceptive use and breast cancer risk according to hormone replacement therapy use among postmenopausal women. Cancer Causes Control. 2005;16(5):537-544.

  • Dorjgochoo T, Shu XO, Li HL, et al. Use of oral contraceptives, intrauterine devices and tubal sterilization and cancer risk in a large prospective study, from 1996 to 2006. Int J Cancer. 2009;124(10):2442-2449.

  • Hunter DJ, Colditz GA, Hankinson SE, et al. Oral contraceptive use and breast cancer: a prospective study of young women. Cancer epidemiology, biomarkers & prevention: a publication of the American Association for Cancer Research, cosponsored by the American Society of Preventive Oncology.

    2010;19(10):2496-2502.

  • Vessey M, Yeates D. Oral contraceptive use and cancer. Final report from the Oxford-Family Planning Association contraceptive study. Contraception. 2013; 88(6): 678-683.

  • Morch LS, Skovlund CW, Hannaford PC, Iversen L, Fielding S, Lidegaard O. Contemporary Hormonal Contraception and the Risk of Breast Cancer. N Engl J Med. 2017;377(23):2228-2239.

  • The Cancer and Steroid Hormone Study of the Centers for Disease Control and the National Institute of Child Health and Human Development: Oral contraceptive use and the risk of ovarian cancer. J.A.M.A., 249:1596-1599, 1983.

  • The Cancer and Steroid Hormone Study of the Centers for Disease Control and the National Institute of Child Health and Human Development: Combination oral contraceptive use and the risk of endometrial cancer. J.A.M.A., 257:796-800, 1987.

  • Ory, H.W.: Functional ovarian cysts and oral contraceptives: Negative association confirmed surgically. J.A.M.A., 228:68-69, 1974.

  • Ory, H.W., P. Cole, B. Macmahon, and R. Hoover: Oral contraceptives and reduced risk of benign breast disease. N.E.J.M., 294:41-422, 1976.

  • Ory, H.W.: The noncontraceptive health benefits from oral contraceptive use. Fam. Plann. Perspectives, 14:182-184, 1982.

  • Ory, H.W., J.D. Forrest, and R. Lincoln: Making Choices: Evaluating the health risks and benefits of birth control methods. New York, The Alan Guttmacher Institute, p.1, 1983.

Description (DESCRIPTION)

Feirza 1.5/30 (Norethindrone Acetate and Ethinyl Estradiol Tablets, USP and Ferrous Fumarate Tablets) is a progestogen-estrogen combination.

Feirza 1.5/30 provides a continuous dosage regimen consisting of 21 oral contraceptive tablets and seven ferrous fumarate tablets. The ferrous fumarate tablets are present to facilitate ease of drug administration via a 28-day regimen, are non-hormonal, and do not serve any therapeutic purpose.

Each blue tablet contains norethindrone acetate (19-Norpregn-4-en-20-yn-3-one, 17-(acetyloxy)-, (17α)), 1.5 mg; ethinyl estradiol (19-Norpregna-1,3,5(10)-trien-20-yne-3, 17-diol, (17α)-), 30 mcg. Also contains compressible sugar, croscarmellose sodium, dl-α-tocopherol, FD & C Blue No. 1 Aluminum Lake, lactose anhydrous, lactose monohydrate, magnesium stearate, povidone K-25, sodium lauryl sulphate.

The structural formulas are as follows:

Each brown placebo tablet contains colloidal silicon dioxide, croscarmellose sodium, ferrous fumarate, lactose monohydrate, magnesium stearate, microcrystalline cellulose, povidone K-90. The ferrous fumarate tablets do not serve any therapeutic purpose.

11. Headache

The onset or exacerbation of migraine or development of headache with a new pattern which is recurrent, persistent, or severe requires discontinuation of oral contraceptives and evaluation of the cause.

How Supplied (HOW SUPPLIED)

Feirza 1.5/30 (Norethindrone Acetate and Ethinyl Estradiol Tablets USP, 1.5 mg/30 mcg and Ferrous Fumarate Tablets, 75 mg) is packaged in cartons of 3 pouches (NDC 70700-309-85); each pouch (NDC 70700-309-84) contains a blister pack of 28 tablets. Each blister pack contains 21 blue, round, flat-faced, unscored tablet debossed with 237 on one side and plain on the other side and 7 brown, round, flat-faced, unscored tablets debossed with 291 on one side and plain on the other side. Each brown tablet contains 75 mg ferrous fumarate.

Store at 20° to 25°C (68° to 77°F). [See USP Controlled Room Temperature.]

10. Pregnancy

Discontinue norethindrone acetate and ethinyl estradiol tablets and ferrous fumarate tablets if pregnancy occurs because there is no reason to use COCs in pregnancy. See WARNINGS section.

11. Lactation

Small amounts of oral contraceptive steroids have been identified in human milk, and a few adverse effects on the child have been reported, including jaundice and breast enlargement. In addition, oral contraceptives given in the postpartum period may interfere with lactation by decreasing the quantity and quality of breast milk. If possible, the nursing mother should be advised not to use oral contraceptives but to use other forms of contraception until she has completely weaned her child.

14. Depression

Carefully observe women with a history of depression and discontinue norethindrone acetate and ethinyl estradiol tablets and ferrous fumarate tablets if depression recurs to a serious degree.

12. Pediatric Use

Safety and efficacy of norethindrone acetate and ethinyl estradiol tablets and ferrous fumarate tablets have been established in women of reproductive age. Safety and efficacy are expected to be the same for postpubertal adolescents under the age of 16 and for users 16 years and older. Use of this product before menarche is not indicated.

4. Liver Function

If jaundice develops in any woman receiving such drugs, the medication should be discontinued. Steroid hormones may be poorly metabolized in patients with impaired liver function.

6. Contact Lenses

Contact lens wearers who develop visual changes or changes in lens tolerance should be assessed by an ophthalmologist.

6. Ocular Lesions

There have been clinical case reports of retinal thrombosis associated with the use of oral contraceptives. Oral contraceptives should be discontinued if there is unexplained partial or complete loss of vision; onset of proptosis or diplopia; papilledema; or retinal vascular lesions. Appropriate diagnostic and therapeutic measures should be undertaken immediately.

9. Carcinogenesis

See WARNINGS section.

Adverse Reactions (ADVERSE REACTIONS)

An increased risk of the following serious adverse reactions has been associated with the use of oral contraceptives (see WARNINGS section):

  • Thrombophlebitis

  • Arterial thromboembolism

  • Pulmonary embolism

  • Myocardial infarction

  • Cerebral hemorrhage

  • Cerebral thrombosis

  • Hypertension

  • Gallbladder disease

  • Hepatic adenomas or benign liver tumors

Post Marketing Experience

Five studies that compared breast cancer risk between ever-users (current or past use) of COCs and never-users of COCs reported no association between ever use of COCs and breast cancer risk, with effect estimates ranging from 0.90 - 1.12 (Figure 1) (70-74).

Three studies compared breast cancer risk between current or recent COC users (<6 months since last use) and never users of COCs (Figure 1) (70, 73, 75). One of these studies reported no association between breast cancer risk and COC use. The other two studies found an increased relative risk of 1.19 - 1.33 with current or recent use. Both of these studies found an increased risk of breast cancer with current use of longer duration, with relative risks ranging from 1.03 with less than one year of COC use to approximately 1.4 with more than 8-10 years of COC use.

FIGURE 1: RELEVANT STUDIES OF RISK OF BREAST CANCER WITH COMBINED ORAL CONTRACEPTIVES

RR = relative risk; OR = odds ratio; HR = hazard ratio. “ever COC” are females with current or past COC use; “never COC use” are females that never used COCs.

There is evidence of an association between the following conditions and the use of oral contraceptives, although additional confirmatory studies are needed:

  • Mesenteric thrombosis

  • Retinal thrombosis

The following adverse reactions have been reported in patients receiving oral contraceptives and are believed to be drug-related:

  • Nausea

  • Vomiting

  • Gastrointestinal symptoms (such as abdominal cramps and bloating)

  • Breakthrough bleeding

  • Spotting

  • Change in menstrual flow

  • Amenorrhea

  • Temporary infertility after discontinuation of treatment

  • Edema

  • Melasma which may persist

  • Breast changes: tenderness, enlargement, secretion

  • Change in weight (increase or decrease)

  • Change in cervical erosion and secretion

  • Diminution in lactation when given immediately postpartum

  • Cholestatic jaundice

  • Migraine

  • Rash (allergic)

  • Depression

  • Reduced tolerance to carbohydrates

  • Vaginal candidiasis

  • Change in corneal curvature (steepening)

  • Intolerance to contact lenses

The following adverse reactions have been reported in users of oral contraceptives and the association has been neither confirmed nor refuted:

  • Pre-menstrual syndrome

  • Cataracts

  • Changes in appetite

  • Cystitis-like syndrome

  • Headache

  • Nervousness

  • Dizziness

  • Hirsutism

  • Loss of scalp hair

  • Erythema multiforme

  • Erythema nodosum

  • Hemorrhagic eruption

  • Vaginitis

  • Porphyria

  • Impaired renal function

  • Hemolytic uremic syndrome

  • Budd-Chiari syndrome

  • Acne

  • Changes in libido

  • Colitis

To report SUSPECTED ADVERSE REACTIONS, contact Xiromed, LLC at 844-XIROMED (844-947-6633) or FDA at 1-800-FDA-1088 or www.fda.gov/medwatch.

Contraindications (CONTRAINDICATIONS)

Oral contraceptives are contraindicated in women who currently have the following conditions:

  • Thrombophlebitis or thromboembolic disorders

  • A past history of deep vein thrombophlebitis or thromboembolic disorders

  • Cerebral vascular or coronary artery disease

  • Current diagnosis of, or history of, breast cancer, which may be hormone sensitive

  • Carcinoma of the endometrium or other known or suspected estrogen-dependent neoplasia

  • Undiagnosed abnormal genital bleeding

  • Cholestatic jaundice of pregnancy or jaundice with prior pill use

  • Hepatic adenomas or carcinomas

  • Are receiving Hepatitis C drug combinations containing ombitasvir/paritaprevir/ritonavir, with or without dasabuvir, due to the potential for ALT elevations (see Warnings, RISK OF LIVER ENZYME ELEVATIONS WITH CONCOMITANT HEPATITIS C TREATMENT ).

3. Lipid Disorders

Women who are being treated for hyperlipidemia should be followed closely if they elect to use oral contraceptives. Some progestogens may elevate LDL levels and may render the control of hyperlipidemias more difficult.

5. Fluid Retention

Oral contraceptives may cause some degree of fluid retention. They should be prescribed with caution, and only with careful monitoring, in patients with conditions which might be aggravated by fluid retention.

B. Thromboembolism (b. Thromboembolism)

An increased risk of thromboembolic and thrombotic disease associated with the use of oral contraceptives is well established. Case control studies have found the relative risk of users compared to non-users to be 3 for the first episode of superficial venous thrombosis, 4 to 11 for deep vein thrombosis or pulmonary embolism, and 1.5 to 6 for women with predisposing conditions for venous thromboembolic disease (9, 10, 25-30). Cohort studies have shown the relative risk to be somewhat lower, about 3 for new cases and about 4.5 for new cases requiring hospitalization (31). The risk of thromboembolic disease due to oral contraceptives is not related to length of use and disappears after pill use is stopped (8).

A two- to four-fold increase in relative risk of postoperative thromboembolic complications has been reported with the use of oral contraceptives (15,32). The relative risk of venous thrombosis in women who have predisposing conditions is twice that of women without such medical conditions (15,32). If feasible, oral contraceptives should be discontinued at least four weeks prior to and for two weeks after elective surgery of a type associated with an increase in risk of thromboembolism and during and following prolonged immobilization. Since the immediate postpartum period is also associated with an increased risk of thromboembolism, oral contraceptives should be started no earlier than four to six weeks after delivery in women who elect not to breastfeed.

4. Hepatic Neoplasia

Benign hepatic adenomas are associated with oral contraceptive use, although the incidence of benign tumors is rare in the United States. Indirect calculations have estimated the attributable risk to be in the range of 3.3 cases/100,000 for users, a risk that increases after four or more years of use (46). Rupture of rare, benign, hepatic adenomas may cause death through intra-abdominal hemorrhage (47, 48).

Studies from Britain have shown an increased risk of developing hepatocellular carcinoma (49-51) in long-term (greater than 8 years) oral contraceptive users. However, these cancers are extremely rare in the U.S., and the attributable risk (the excess incidence) of liver cancers in oral contraceptive users approaches less than one per million users.

Clinical Pharmacology (CLINICAL PHARMACOLOGY)

Combination oral contraceptives act by suppression of gonadotropins. Although the primary mechanism of this action is inhibition of ovulation, other alterations include changes in the cervical mucus (which increase the difficulty of sperm entry into the uterus) and the endometrium (which reduce the likelihood of implantation).

Pharmacokinetics

The pharmacokinetics of norethindrone acetate and ethinyl estradiol tablets have not been characterized; however, the following pharmacokinetic information regarding norethindrone acetate and ethinyl estradiol is taken from the literature.

Absorption

Norethindrone acetate appears to be completely and rapidly deacetylated to norethindrone after oral administration, since the disposition of norethindrone acetate is indistinguishable from that of orally administered norethindrone (1). Norethindrone acetate and ethinyl estradiol are subject to first-pass metabolism after oral dosing, resulting in an absolute bioavailability of approximately 64% for norethindrone and 43% for ethinyl estradiol (1-3).

Distribution

Volume of distribution of norethindrone and ethinyl estradiol ranges from 2 to 4 L/kg (1 to 3). Plasma protein binding of both steroids is extensive (greater than 95%); norethindrone binds to both albumin and sex hormone binding globulin, whereas ethinyl estradiol binds only to albumin (4).

Metabolism

Norethindrone undergoes extensive biotransformation, primarily via reduction, followed by sulfate and glucuronide conjugation. The majority of metabolites in the circulation are sulfates, with glucuronides accounting for most of the urinary metabolites (5). A small amount of norethindrone acetate is metabolically converted to ethinyl estradiol. Ethinyl estradiol is also extensively metabolized, both by oxidation and by conjugation with sulfate and glucuronide. Sulfates are the major circulating conjugates of ethinyl estradiol and glucuronides predominate in urine. The primary oxidative metabolite is 2-hydroxy ethinyl estradiol, formed by the CYP3A4 isoform of cytochrome P450. Part of the first-pass metabolism of ethinyl estradiol is believed to occur in gastrointestinal mucosa. Ethinyl estradiol may undergo enterohepatic circulation (6).

Excretion

Norethindrone and ethinyl estradiol are excreted in both urine and feces, primarily as metabolites (5, 6). Plasma clearance values for norethindrone and ethinyl estradiol are similar (approximately 0.4 L/hr/kg) (1-3).

Special Population

Race:

The effect of race on the disposition of norethindrone acetate and ethinyl estradiol tablets has not been evaluated.

Renal Insufficiency

The effect of renal disease on the disposition of norethindrone acetate and ethinyl estradiol tablets has not been evaluated. In premenopausal women with chronic renal failure undergoing peritoneal dialysis who received multiple doses of an oral contraceptive containing ethinyl estradiol and norethindrone, plasma ethinyl estradiol concentrations were higher and norethindrone concentrations were unchanged compared to concentrations in premenopausal women with normal renal function.

Hepatic Insufficiency

The effect of hepatic disease on the disposition of norethindrone acetate and ethinyl estradiol tablets has not been evaluated. However, ethinyl estradiol and norethindrone may be poorly metabolized in patients with impaired liver function.

Drug-Drug Interactions

Numerous drug-drug interactions have been reported for oral contraceptives. A summary of these is found under PRECAUTIONS, Drug Interactions.

Indications and Usage (INDICATIONS AND USAGE)

Feirza 1.5/30 is indicated for the prevention of pregnancy in women who elect to use oral contraceptives as a method of contraception.

Oral contraceptives are highly effective. Table I lists the typical accidental pregnancy rates for users of combination oral contraceptives and other methods of contraception. The efficacy of these contraceptive methods, except sterilization, depends upon the reliability with which they are used. Correct and consistent use of methods can result in lower failure rates.

TABLE I LOWEST EXPECTED AND TYPICAL FAILURE RATES DURING THE FIRST YEAR OF CONTINUOUS USE OF A METHOD
Adapted from RA Hatcher et al, Reference 7.

% Of Women Experiencing an Unintended Pregnancy

in the First Year of Continuous Use

Method

Lowest Expected

The authors’ best guess of the percentage of women expected to experience an accidental pregnancy among couples who initiate a method (not necessarily for the first time) and who use it consistently and correctly during the first year if they do not stop for any other reason.

Typical**

(No contraception) 

(85)

(85)

Oral contraceptives

3

      combined 

0.1

N/A***

      progestin only 

0.5

N/A***

Diaphragm with spermicidal cream or jelly 

6

20

Spermicides alone (foam, creams, gels, vaginal suppositories, and vaginal film) 

6

26

Vaginal Sponge

      nulliparous 

9

20

      parous

20

40

Implant 

0.05

0.05

Injection: depot medroxyprogesterone acetate 

0.3

0.3

IUD

      progesterone T 

1.5

2

      copper T 380A 

0.6

0.8

      LNg 20 

0.1

0.1

Condom without spermicides

      female 

5

21

      male 

3

14

Cervical Cap with spermicidal cream or jelly

      nulliparous 

9

20

      parous 

26

40

Periodic abstinence (all methods) 

1 to 9

25

Withdrawal 

4

19

Female sterilization 

0.5

0.5

Male sterilization 

0.10

0.15

 ** This term represents “typical” couples who initiate use of a method (not necessarily for the first time), who experience an accidental pregnancy during the first year if they do not stop use for any other reason.

*** N/A - Data not available.

3. Malignant Neoplasms

Breast Cancer

Norethindrone acetate and ethinyl estradiol tablets and ferrous fumarate tablets are contraindicated in females who currently have or have had breast cancer because breast cancer may be hormonally sensitive (see CONTRAINDICATIONS ).

Epidemiology studies have not found a consistent association between use of combined oral contraceptives (COCs) and breast cancer risk. Studies do not show an association between ever (current or past) use of COCs and risk of breast cancer. However, some studies report a small increase in the risk of breast cancer among current or recent users (<6 months since last use) and current users with longer duration of COC use (see ADVERSE REACTIONS , Postmarketing Experience).

Cervical Cancer

Some studies suggest that oral contraceptive use has been associated with an increase in the risk of cervical intraepithelial neoplasia in some populations of women (42-45). However, there continues to be controversy about the extent to which such findings may be due to differences in sexual behavior and other factors.

8. Gallbladder Disease

Earlier studies have reported an increased lifetime relative risk of gallbladder surgery in users of oral contraceptives and estrogens (57, 58). More recent studies, however, have shown that the relative risk of developing gallbladder disease among oral contraceptive users may be minimal (59-61). The recent findings of minimal risk may be related to the use of oral contraceptive formulations containing lower hormonal doses of estrogens and progestogens.

A. Myocardial Infarction (a. Myocardial infarction)

An increased risk of myocardial infarction has been attributed to oral contraceptive use. This risk is primarily in smokers or women with other underlying risk factors for coronary artery disease such as hypertension, hypercholesterolemia, morbid obesity, and diabetes. The relative risk of heart attack for current oral contraceptive users has been estimated to be two to six (10-16). The risk is very low under the age of 30.

Smoking in combination with oral contraceptive use has been shown to contribute substantially to the incidence of myocardial infarctions in women in their mid-thirties or older with smoking accounting for the majority of excess cases (17). Mortality rates associated with circulatory disease have been shown to increase substantially in smokers over the age of 35 and non-smokers over the age of 40 (Table II) among women who use oral contraceptives.

TABLE II CIRCULATORY DISEASE MORTALITY RATES PER 100,000 WOMAN YEARS BY AGE, SMOKING STATUS AND ORAL CONTRACEPTIVE USE

Adapted from P.M. Layde and V. Beral, Reference 18.

Oral contraceptives may compound the effects of well-known risk factors, such as hypertension, diabetes, hyperlipidemias, age and obesity (19). In particular, some progestogens are known to decrease HDL cholesterol and cause glucose intolerance, while estrogens may create a state of hyperinsulinism (20-24). Oral contraceptives have been shown to increase blood pressure among users (see section 9 in WARNINGS ). Similar effects on risk factors have been associated with an increased risk of heart disease. Oral contraceptives must be used with caution in women with cardiovascular disease risk factors.

13. Hereditary Angioedema

In women with hereditary angioedema, exogenous estrogens may induce or exacerbate symptoms of angioedema.

Dosage and Administration (DOSAGE AND ADMINISTRATION)

The tablet blister pack has been designed to make oral contraceptive dosing as easy and as convenient as possible. The tablets are arranged in four rows of seven tablets each, with the days of the week appearing on the tablet blister above the first row of tablets.

Note: Each blister card has been preprinted with the days of the week, starting with Sunday, to facilitate a Sunday-Start regimen. Six different day label strips have been provided with the Detailed Patient & Brief Summary Patient Package Insert in order to accommodate a Day-1 Start regimen. If the patient is using the Day-1 Start regimen, she should place the self-adhesive day label strip that corresponds to her starting day over the preprinted days.

Important: The patient should be instructed to use an additional method of protection until after the first week of administration in the initial cycle when utilizing the Sunday-Start regimen.

The possibility of ovulation and conception prior to initiation of use should be considered.

Dosage and Administration for 28-Day Dosage Regimen

To achieve maximum contraceptive effectiveness, Feirza 1.5/30 should be taken exactly as directed and at intervals not exceeding 24 hours.

Feirza 1.5/30 provides a continuous administration regimen consisting of 21 blue tablets of norethindrone acetate and ethinyl estradiol and 7 brown non-hormone containing tablets of ferrous fumarate. The ferrous fumarate tablets are present to facilitate ease of drug administration via a 28-day regimen and do not serve any therapeutic purpose. There is no need for the patient to count days between cycles because there are no “off-tablet days.”

A. Sunday-Start Regimen: The patient begins taking the first blue tablet from the top row of the blister (labeled Sunday) on the first Sunday after menstrual flow begins. When the menstrual flow begins on Sunday, the first blue tablet is taken on the same day. The patient takes one blue tablet daily for 21 days. The last blue tablet in the blister pack will be taken on a Saturday. Upon completion of all 21 blue tablets, and without interruption, the patient takes one brown tablet daily for seven days. Upon completion of this first course of tablets, the patient begins a second course of 28-day tablets, without interruption, the next day (Sunday), starting with the Sunday blue tablet in the top row. Adhering to this regimen of one blue tablet daily for 21 days, followed without interruption by one brown tablet daily for seven days, the patient will start all subsequent cycles on a Sunday.

B. Day-1 Start Regimen: The first day of menstrual flow is Day 1. The patient places the self-adhesive day label strip that corresponds to her starting day over the preprinted days on the blister card. She starts taking one blue tablet daily, beginning with the first blue tablet in the top row. After the last blue tablet (at the end of the third row) has been taken, the patient will then take the brown tablets for a week (7 days). For all subsequent cycles, the patient begins a new 28 tablet regimen on the eighth day after taking her last blue tablet, again starting with the first tablet in the top row after placing the appropriate day label strip over the preprinted days on the tablet blister. Following this regimen of 21 blue tablets and 7 brown tablets, the patient will start all subsequent cycles on the same day of the week as the first course.

Tablets should be taken regularly with a meal or at bedtime. It should be stressed that efficacy of medication depends on strict adherence to the dosage schedule.

Special Notes on Administration

Menstruation usually begins two or three days, but may begin as late as the fourth or fifth day, after the brown tablets have been started. In any event, the next course of tablets should be started without interruption. If spotting occurs while the patient is taking blue tablets, continue medication without interruption.

If the patient forgets to take one or more blue tablets, the following is suggested:

One tablet is missed

  • take tablet as soon as remembered

  • take next tablet at the regular time

Two consecutive tablets are missed (week 1 or week 2)

  • take two tablets as soon as remembered

  • take two tablets the next day

  • use another birth control method for seven days following the missed tablets

Two consecutive tablets are missed (week 3)

Sunday-Start Regimen:

  • take one tablet daily until Sunday

  • discard remaining tablets

  • start new pack of tablets immediately (Sunday)

  • use another birth control method for seven days following the missed tablets

Day-1 Start Regimen:

  • discard remaining tablets

  • start new pack of tablets that same day

  • use another birth control method for seven days following the missed tablets

Three (or more) consecutive tablets are missed

Sunday-Start Regimen:

  • take one tablet daily until Sunday

  • discard remaining tablets

  • start new pack of tablets immediately (Sunday)

  • use another birth control method for seven days following the missed tablets

Day-1 Start Regimen:

  • discard remaining tablets

  • start new pack of tablets that same day

  • use another birth control method for seven days following the missed tablets

The possibility of ovulation occurring increases with each successive day that scheduled blue tablets are missed. While there is little likelihood of ovulation occurring if only one blue tablet is missed, the possibility of spotting or bleeding is increased. This is particularly likely to occur if two or more consecutive blue tablets are missed.

If the patient forgets to take any of the seven brown tablets in week four, those brown tablets that were missed are discarded and one brown tablet is taken each day until the pack is empty. A back-up birth control method is not required during this time. A new pack of tablets should be started no later than the eighth day after the last blue tablet was taken.

In the rare case of bleeding which resembles menstruation, the patient should be advised to discontinue medication and then begin taking tablets from a new tablet blister pack on the next Sunday or the first day (Day-1), depending on her regimen. Persistent bleeding which is not controlled by this method indicates the need for reexamination of the patient, at which time nonfunctional causes should be considered.

Use of Oral Contraceptives in the Event of a Missed Menstrual Period

  • If the patient has not adhered to the prescribed dosage regimen, the possibility of pregnancy should be considered after the first missed period and oral contraceptives should be withheld until pregnancy has been ruled out.

  • If the patient has adhered to the prescribed regimen and misses two consecutive periods, pregnancy should be ruled out before continuing the contraceptive regimen.

After several months on treatment, bleeding may be reduced to a point of virtual absence. This reduced flow may occur as a result of medication, in which event it is not indicative of pregnancy.

C. Cerebrovascular Disease (c. Cerebrovascular disease)

Oral contraceptives have been shown to increase both the relative and attributable risks of cerebrovascular events (thrombotic and hemorrhagic strokes), although, in general, the risk is greatest among older (greater than 35 years), hypertensive women who also smoke. Hypertension was found to be a risk factor for both users and nonusers, for both types of strokes, while smoking interacted to increase the risk for hemorrhagic strokes (33-35).

In a large study, the relative risk of thrombotic strokes has been shown to range from 3 for normotensive users to 14 for users with severe hypertension (36). The relative risk of hemorrhagic stroke is reported to be 1.2 for non-smokers who used oral contraceptives, 2.6 for smokers who did not use oral contraceptives, 7.6 for smokers who used oral contraceptives, 1.8 for normotensive users, and 25.7 for users with severe hypertension (36). The attributable risk is also greater in older women (9).

10. Elevated Blood Pressure

An increase in blood pressure has been reported in women taking oral contraceptives (65) and this increase is more likely in older oral contraceptive users (66) and with continued use (65). Data from the Royal College of General Practitioners (18) and subsequent randomized trials have shown that the incidence of hypertension increases with increasing concentrations of progestogens.

Women with a history of hypertension or hypertension-related diseases or renal disease (67) should be encouraged to use another method of contraception. If women elect to use oral contraceptives, they should be monitored closely, and if significant elevation of blood pressure occurs, oral contraceptives should be discontinued. For most women, elevated blood pressure will return to normal after stopping oral contraceptives (66), and there is no difference in the occurrence of hypertension among ever and never users (65, 67, 68).

12. Bleeding Irregularities

Breakthrough bleeding and spotting are sometimes encountered in patients on oral contraceptives, especially during the first three months of use. Non-hormonal causes should be considered, and adequate diagnostic measures taken to rule out malignancy or pregnancy in the event of breakthrough bleeding, as in the case of any abnormal vaginal bleeding. If pathology has been excluded, time or a change to another formulation may solve the problem. In the event of amenorrhea, pregnancy should be ruled out.

Some women may encounter post-pill amenorrhea or oligomenorrhea, especially when such a condition was preexistent.

Patient Counseling Information (PATIENT COUNSELING INFORMATION)

Advise the patient to read the FDA-approved patient labeling (PATIENT PACKAGE INSERT BRIEF SUMMARY and DETAILED PATIENT PACKAGE INSERT).

  • Counsel patients that cigarette smoking increases the risk of serious cardiovascular events from COC use, and that women who are over 35 years old and smoke should not use COCs (see BOXED WARNING and CONTRAINDICATIONS ).

  • Counsel patients that the increased risk of venous thromboembolism compared to non-users of CHCs is greatest after initially starting a CHC or restarting (following a 4-week or greater interruption in intake) the same or a different CHC (see WARNINGS ).

  • Counsel patients that this product does not protect against HIV-infection (AIDS) and other sexually transmitted infections.

  • Counsel patients to take one tablet daily by mouth at the same time every day. Instruct patients what to do in the event pills are missed (see DOSAGE AND ADMINISTRATION ).

  • Counsel patients to use a back-up or alternative method of contraception when enzyme inducers are used with COCs (see PRECAUTIONS ).

  • Counsel patients who are breastfeeding or who desire to breastfeed that COCs may reduce breast milk production. This is less likely to occur if breastfeeding is well established (see PRECAUTIONS ).

  • Counsel any patient who starts Feirza 1.5/30 postpartum, and who has not yet had a period, to use an additional method of contraception until she has taken a blue tablet for 7 consecutive days (see DOSAGE AND ADMINISTRATION ).

  • Counsel patients that amenorrhea may occur. Pregnancy should be considered in the event of amenorrhea, and should be ruled out if amenorrhea is associated with symptoms of pregnancy, such as morning sickness or unusual breast tenderness (see WARNINGS ).

  • Counsel patients with a history of depression that depression may reoccur. Women should contact their healthcare provider if depression occurs (see WARNINGS ).

2. Physical Examination and Follow Up (2. Physical Examination and Follow-Up)

It is good medical practice for all women to have annual history and physical examinations, including women using oral contraceptives. The physical examination, however, may be deferred until after initiation of oral contraceptives if requested by the woman and judged appropriate by the clinician. The physical examination should include special reference to blood pressure, breasts, abdomen and pelvic organs, including cervical cytology, and relevant laboratory tests. In case of undiagnosed, persistent or recurrent abnormal vaginal bleeding, appropriate measures should be conducted to rule out malignancy. Women with a strong family history of breast cancer or who have breast nodules should be monitored with particular care.

8. Interactions With Laboratory Tests (8. Interactions with Laboratory Tests)

Certain endocrine and liver function tests and blood components may be affected by oral contraceptives:

  • a.
    Increased prothrombin and factors VII, VIII, IX, and X; decreased antithrombin 3; increased norepinephrine-induced platelet aggregability.
  • b.
    Increased thyroid binding globulin (TBG) leading to increased circulating total thyroid hormone, as measured by protein-bound iodine (PBI), T4 by column or by radioimmunoassay. Free T3 resin uptake is decreased, reflecting the elevated TBG; free T4 concentration is unaltered.
  • c.
    Other binding proteins may be elevated in serum.
  • d.
    Sex-binding globulins are increased and result in elevated levels of total circulating sex steroids and corticoids; however, free or biologically active levels remain unchanged.
  • e.
    Triglycerides may be increased.
  • f.
    Glucose tolerance may be decreased.
  • g.
    Serum folate levels may be depressed by oral contraceptive therapy. This may be of clinical significance if a woman becomes pregnant shortly after discontinuing oral contraceptives.
Package Label.principal Display Panel (PACKAGE LABEL.PRINCIPAL DISPLAY PANEL)
Brief Summary Patient Package Insert   (BRIEF SUMMARY PATIENT PACKAGE INSERT  )

This product (like all oral contraceptives) is intended to prevent pregnancy. It does not protect against HIV infection (AIDS) and other sexually transmitted infections.

Cigarette smoking increases the risk of serious cardiovascular side effects from oral contraceptive use. This risk increases with age and with heavy smoking (15 or more cigarettes per day) and is quite marked in women over 35 years of age. Women who use oral contraceptives are strongly advised not to smoke.

Oral contraceptives, also known as “birth control pills” or “the pill,” are taken to prevent pregnancy and, when taken correctly, have a failure rate of about 1% per year when used without missing any pills. The typical failure rate of large numbers of pill users is less than 3% per year when women who miss pills are included. For most women oral contraceptives are also free of serious or unpleasant side effects. However, forgetting to take pills considerably increases the chances of pregnancy.

For the majority of women, oral contraceptives can be taken safely. But there are some women who are at high risk of developing certain serious diseases that can be life-threatening or may cause temporary or permanent disability. The risks associated with taking oral contraceptives increase significantly if you:

  • Smoke

  • Have high blood pressure, diabetes, high cholesterol

  • Have or have had clotting disorders, heart attack, stroke, angina pectoris, cancer of the breast, jaundice, or malignant or benign liver tumors.

You should not take the pill if you suspect you are pregnant or have unexplained vaginal bleeding.

Most side effects of the pill are not serious. The most common side effects are nausea, vomiting, bleeding between menstrual periods, weight gain, breast tenderness, and difficulty wearing contact lenses. These side effects, especially nausea, vomiting, and breakthrough bleeding may subside within the first three months of use.

The serious side effects of the pill occur very infrequently, especially if you are in good health and are young. However, you should know that the following medical conditions have been associated with or made worse by the pill:

  • Blood clots in the legs (thrombophlebitis), lungs (pulmonary embolism), stoppage or rupture of a blood vessel in the brain (stroke), blockage of blood vessels in the heart (heart attack or angina pectoris) or other organs of the body. As mentioned above, smoking increases the risk of heart attacks and strokes and subsequent serious medical consequences.

  • Liver tumors, which may rupture and cause severe bleeding. A possible but not definite association has been found with the pill and liver cancer. However, liver cancers are extremely rare. The chance of developing liver cancer from using the pill is thus even rarer.

  • High blood pressure, although blood pressure usually returns to normal when the pill is stopped.

The symptoms associated with these serious side effects are discussed in the detailed leaflet given to you with your supply of pills. Notify your doctor or healthcare provider if you notice any unusual physical disturbances while taking the pill. In addition, drugs such as rifampin, as well as some anticonvulsants and some antibiotics, may decrease oral contraceptive effectiveness.

There may be slight increases in the risk of breast cancer among current users of hormonal birth control pills with longer duration of use of 8 years or more. Some studies have found an increase in the risk of developing cancer of the cervix in women taking the pill, but this finding may be related to differences in sexual behavior or other factors not related to use of the pill.

Taking the pill provides some important non-contraceptive benefits. These include less painful menstruation, less menstrual blood loss and anemia, fewer pelvic infections, and fewer cancers of the ovary and the lining of the uterus.

Be sure to discuss any medical condition you may have with your healthcare provider. Your healthcare provider will take a medical and family history and examine you before prescribing oral contraceptives. The physical examination may be delayed to another time if you request it and your healthcare provider believes that it is a good medical practice to postpone it. You should be reexamined at least once a year while taking oral contraceptives. The detailed patient information leaflet gives you further information which you should read and discuss with your healthcare provider.

This product (like all oral contraceptives) is intended to prevent pregnancy. It does not protect against transmission of HIV (AIDS) and other sexually transmitted infections such as Chlamydia, genital herpes, genital warts, gonorrhea, hepatitis B and syphilis.

E. Persistence of Risk of Vascular Disease (e. Persistence of risk of vascular disease)

There are two studies which have shown persistence of risk of vascular disease for ever-users of oral contraceptives. In a study in the United States, the risk of developing myocardial infarction after discontinuing oral contraceptives persists for at least 9 years for women 40 to 49 years who had used oral contraceptives for 5 or more years, but this increased risk was not demonstrated in other age groups (14). In another study in Great Britain, the risk of developing cerebrovascular disease persisted for at least 6 years after discontinuation of oral contraceptives, although excess risk was very small (40). However, both studies were performed with oral contraceptive formulations containing 50 mcg or higher of estrogens.

9. Carbohydrate and Lipid Metabolic Effects

Oral contraceptives have been shown to cause glucose intolerance in a significant percentage of users (23). Oral contraceptives containing greater than 75 mcg of estrogens cause hyperinsulinism, while lower doses of estrogen cause less glucose intolerance (62). Progestogens increase insulin secretion and create insulin resistance, this effect varying with different progestational agents (23, 63). However, in the non-diabetic woman, oral contraceptives appear to have no effect on fasting blood glucose (64). Because of these demonstrated effects, prediabetic and diabetic women should be carefully observed while taking oral contraceptives.

A small proportion of women will have persistent hypertriglyceridemia while on the pill. As discussed earlier (see WARNINGS 1a . and 1d .), changes in serum triglycerides and lipoprotein levels have been reported in oral contraceptive users.

Effects of Oral Contraceptives On Other Drugs (Effects of Oral Contraceptives on Other Drugs)

Oral contraceptive combinations containing ethinyl estradiol may inhibit the metabolism of other compounds. Increased plasma concentrations of cyclosporine, prednisolone, and theophylline have been reported with concomitant administration of oral contraceptives. In addition, oral contraceptives may induce the conjugation of other compounds. Decreased plasma concentrations of acetaminophen and increased clearance of temazepam, salicylic acid, morphine, and clofibric acid have been noted when these drugs were administered with oral contraceptives.

2. Estimates of Mortality From Contraceptive Use (2. Estimates of Mortality from Contraceptive Use)

One study gathered data from a variety of sources which have estimated the mortality rate associated with different methods of contraception at different ages (Table III). These estimates include the combined risk of death associated with contraceptive methods plus the risk attributable to pregnancy in the event of method failure. Each method of contraception has its specific benefits and risks. The study concluded that with the exception of oral contraceptive users 35 and older who smoke and 40 and older who do not smoke, mortality associated with all methods of birth control is low and below that associated with childbirth. The observation of a possible increase in risk of mortality with age for oral contraceptive users is based on data gathered in the 1970’s but not reported until 1983 (41). However, current clinical practice involves the use of lower estrogen dose formulations combined with careful restriction of oral contraceptive use to women who do not have the various risk factors listed in this labeling.

Because of these changes in practice and, also, because of some limited new data which suggest that the risk of cardiovascular disease with the use of oral contraceptives may now be less than previously observed (Porter JB, Hunter J, Jick H, et al. Oral contraceptives and nonfatal vascular disease. Obstet Gynecol 1985;66:1-4; and Porter JB, Hershel J, Walker AM. Mortality among oral contraceptive users. Obstet Gynecol 1987;70:29-32), the Fertility and Maternal Health Drugs Advisory Committee was asked to review the topic in 1989. The Committee concluded that although cardiovascular disease risks may be increased with oral contraceptive use after age 40 in healthy non-smoking women (even with the newer low-dose formulations), there are greater potential health risks associated with pregnancy in older women and with the alternative surgical and medical procedures which may be necessary if such women do not have access to effective and acceptable means of contraception.

Therefore, the Committee recommended that the benefits of oral contraceptive use by healthy non-smoking women over 40 may outweigh the possible risks. Of course, older women, as all women who take oral contraceptives, should take the lowest possible dose formulation that is effective.

TABLE III ANNUAL NUMBER OF BIRTH-RELATED OR METHOD-RELATED DEATHS ASSOCIATED WITH CONTROL OF FERTILITY PER 100,000 NONSTERILE WOMEN BY FERTILITY CONTROL METHOD ACCORDING TO AGE

Method of control and outcome

15 to 19

20 to 24

25 to 29

30 to 34

35 to 39

40 to 44

No fertility control methods

7.0

7.4

9.1

14.8

25.7

28.2

Oral contraceptives non-smoker**

0.3

0.5

0.9

1.9

13.8

31.6

Oral contraceptives smoker**

2.2

3.4

6.6

13.5

51.1

117.2

IUD**

0.8

0.8

1.0

1.0

1.4

1.4

Condom*

1.1

1.6

0.7

0.2

0.3

0.4

Diaphragm/spermicide*

1.9

1.2

1.2

1.3

2.2

2.8

Periodic abstinence*

2.5

1.6

1.6

1.7

2.9

3.6

*Deaths are birth related.

**Deaths are method related.

Adapted from H.W. Ory, Reference 41.

Effects of Other Drugs On Oral Contraceptives (69) (Effects of Other Drugs on Oral Contraceptives (69))

Rifampin:

Metabolism of both norethindrone and ethinyl estradiol is increased by rifampin. A reduction in contraceptive effectiveness and increased incidence of breakthrough bleeding and menstrual irregularities have been associated with concomitant use of rifampin.

Anticonvulsants:

Anticonvulsants such as phenobarbital, phenytoin, and carbamazepine, have been shown to increase the metabolism of ethinyl estradiol and/or norethindrone, which could result in a reduction in contraceptive effectiveness.

Troglitazone:

Administration of troglitazone with an oral contraceptive containing ethinyl estradiol and norethindrone reduced the plasma concentrations of both by approximately 30%, which could result in a reduction in contraceptive effectiveness.

Antibiotics:

Pregnancy while taking oral contraceptives has been reported when the oral contraceptives were administered with antimicrobials such as ampicillin, tetracycline, and griseofulvin. However, clinical pharmacokinetic studies have not demonstrated any consistent effect of antibiotics (other than rifampin) on plasma concentrations of synthetic steroids.

Atorvastatin:

Coadministration of atorvastatin and an oral contraceptive increased AUC values for norethindrone and ethinyl estradiol by approximately 30% and 20%, respectively.

Concomitant Use with HCV Combination Therapy – Liver Enzyme Elevation

Co-administration of norethindrone acetate and ethinyl estradiol tablets and ferrous fumarate tablets with HCV drug combinations containing ombitasvir/paritaprevir/ritonavir, with or without dasabuvir is contraindicated due to potential for ALT elevations (see Warnings, RISK OF LIVER ENZYME ELEVATIONS WITH CONCOMITANT HEPATITIS C TREATMENT ). Co-administration of norethindrone acetate and ethinyl estradiol tablets and ferrous fumarate tablets and glecaprevir/pibrentasvir is not recommended due to potential for ALT elevations.

Other:

Ascorbic acid and acetaminophen may increase plasma ethinyl estradiol concentrations, possibly by inhibition of conjugation. A reduction in contraceptive effectiveness and increased incidence of breakthrough bleeding has been suggested with phenylbutazone.

7. Oral Contraceptive Use Before and During Early Pregnancy

Extensive epidemiological studies have revealed no increased risk of birth defects in women who have used oral contraceptives prior to pregnancy (52-54). Studies also do not suggest a teratogenic effect, particularly insofar as cardiac anomalies and limb reduction defects are concerned (52, 53, 55, 56), when taken inadvertently during early pregnancy.

The administration of oral contraceptives to induce withdrawal bleeding should not be used as a test for pregnancy. Oral contraceptives should not be used during pregnancy to treat threatened or habitual abortion.

It is recommended that for any patient who has missed two consecutive periods, pregnancy should be ruled out before continuing oral contraceptive use. If the patient has not adhered to the prescribed schedule, the possibility of pregnancy should be considered at the time of the first missed period. Oral contraceptive use should be discontinued if pregnancy is confirmed.

Warning: Cigarette Smoking and Serious Cardiovascular Events (WARNING: CIGARETTE SMOKING AND SERIOUS CARDIOVASCULAR EVENTS)

Cigarette smoking increases the risk of serious cardiovascular events from combination oral contraceptive (COC) use. This risk increases with age, particularly in women over 35 years of age, and with the number of cigarettes smoked. For this reason, COCs, including norethindrone acetate and ethinyl estradiol tablets, are contraindicated in women who are over 35 years of age and smoke (see CONTRAINDICATIONS and WARNINGS ).

D. Dose Related Risk of Vascular Disease From Oral Contraceptives (d. Dose-related risk of vascular disease from oral contraceptives)

A positive association has been observed between the amount of estrogen and progestogen in oral contraceptives and the risk of vascular disease (37-39). A decline in serum high-density lipoproteins (HDL) has been reported with many progestational agents (20-22). A decline in serum high-density lipoproteins has been associated with an increased incidence of ischemic heart disease. Because estrogens increase HDL cholesterol, the net effect of an oral contraceptive depends on a balance achieved between doses of estrogen and progestin and the nature of the progestin used in the contraceptives. The amount and activity of both hormones should be considered in the choice of an oral contraceptive.

Minimizing exposure to estrogen and progestogen is in keeping with good principles of therapeutics. For any particular oral contraceptive, the dosage regimen prescribed should be one which contains the least amount of estrogen and progestogen that is compatible with the needs of the individual patient. New acceptors of oral contraceptive agents should be started on preparations containing the lowest dose of estrogen which produces satisfactory results for the patient.

5. Risk of Liver Enzyme Elevations With Concomitant Hepatitis C Treatment (5. Risk of Liver Enzyme Elevations with Concomitant Hepatitis C Treatment)

During clinical trials with the Hepatitis C combination drug regimen that contains ombitasvir/paritaprevir/ritonavir, with or without dasabuvir, ALT elevations greater than 5 times the upper limit of normal (ULN), including some cases greater than 20 times the ULN, were significantly more frequent in women using ethinyl estradiol-containing medications such as COCs. Discontinue norethindrone acetate and ethinyl estradiol tablets and ferrous fumarate tablets prior to starting therapy with the combination drug regimen ombitasvir/paritaprevir/ritonavir, with or without dasabuvir (see Contraindications). Norethindrone acetate and ethinyl estradiol tablets and ferrous fumarate tablets can be restarted approximately 2 weeks following completion of treatment with the combination drug regimen.

1. Patients Should Be Counseled That This Product Does Not Protect Against Hiv Infection (aids) and Other Sexually Transmitted Infections. (1. Patients should be counseled that this product does not protect against HIV infection (AIDS) and other sexually transmitted infections.)

 


Advanced Ingredient Data


Raw Label Data

All Sections (JSON)