These Highlights Do Not Include All The Information Needed To Use Pacerone Safely And Effectively. See Full Prescribing Information For Pacerone.

These Highlights Do Not Include All The Information Needed To Use Pacerone Safely And Effectively. See Full Prescribing Information For Pacerone.
SPL v101
SPL
SPL Set ID dcadce9c-d0a0-4235-8ff8-dd93c09e03b3
Route
ORAL
Published
Effective Date 2025-11-05
Document Type 34391-3 HUMAN PRESCRIPTION DRUG LABEL

Drug Facts

Composition & Product

Active Ingredients
Amiodarone (100 mg)
Inactive Ingredients
Lactose Monohydrate Magnesium Stearate Povidone, Unspecified Starch, Corn Sodium Starch Glycolate Type A Potato Stearic Acid Fd&c Yellow No. 6

Identifiers & Packaging

Pill Appearance
Imprint: P;U;S;144 Shape: round Color: yellow Size: 7 mm Score: 1
Marketing Status
ANDA Active Since 2010-11-15

Description

Pacerone is intended for use only in patients with the indicated life-threatening arrhythmias because its use is accompanied by substantial toxicity [see Indications and Usage (1) ] . Pacerone can cause pulmonary toxicity (hypersensitivity pneumonitis or interstitial/alveolar pneumonitis) that has resulted in clinically manifest disease at rates as high as 17% in some series of patients. Pulmonary toxicity has been fatal about 10% of the time . Obtain a baseline chest X-ray and pulmonary-function tests, including diffusion capacity, when Pacerone therapy is initiated. Repeat history, physical exam, and chest X-ray every 3 to 6 months [see Warnings and Precautions 5.2) ] . Pacerone can cause hepatoxicity, which can be fatal. Obtain baseline and periodic liver transaminases and discontinue or reduce dose if the increase exceeds three times normal, or doubles in a patient with an elevated baseline. Discontinue Pacerone if the patient experiences signs or symptoms of clinical liver injury [see Warnings and Precautions (5.3) ] . Pacerone can exacerbate arrhythmias. Initiate amiodarone hydrochloride in a clinical setting where continuous electrocardiograms and cardiac resuscitation are available [see Warnings and Precautions (5.4) ] .

Indications and Usage

Pacerone is indicated for the treatment of documented, life-threatening recurrent ventricular fibrillation and life-threatening recurrent hemodynamically unstable tachycardia in adults who have not responded to adequate doses of other available antiarrhythmics or when alternative agents cannot be tolerated.

Dosage and Administration

Dosage must be individualized based on severity of arrhythmia and response. Use the lowest effective dose. Obtain baseline chest x-ray, pulmonary function tests, thyroid function tests, and liver aminotransferases. Correct hypokalemia, hypomagnesemia, and hypocalcemia before initiating treatment.

Warnings and Precautions

Persistence of Adverse Effects: Adverse reactions and drug interaction can persist for several weeks following discontinuation. ( 5.1 ) Impaired Vision: Corneal microdeposits (common; reversible), optic neuropathy/neuritis (rare; may lead to blindness). ( 5.5 ) Thyroid Abnormalities: Hyperthyroidism or hypothyroidism. ( 5.6 )

Contraindications

Cardiogenic shock. Sick sinus syndrome, second- or third-degree atrioventricular block, bradycardia leading to syncope without a functioning pacemaker. Known hypersensitivity to the drug or to any of its components, including iodine.

Adverse Reactions

The following serious adverse reactions are described in more detail in other sections of the prescribing information: Pulmonary Toxicity [see Warnings and Precautions (5.2) ] Hepatic Injury [see Warnings and Precautions (5.3) ] Worsened Arrhythmia [see Warnings and Precautions (5.4) ] Visual Impairment and Loss of Vision [see Warnings and Precautions (5.5) ] Thyroid Abnormalities [see Warnings and Precautions (5.6) ] Bradycardia [see Warnings and Precautions (5.7) ] Peripheral Neuropathy [see Warnings and Precautions (5.10) ] Photosensitivity and Skin Discoloration [see Warnings and Precautions (5.11) ]

Drug Interactions

Because of amiodarone's long half-life, expect drug interactions to persist for weeks to months after discontinuation of amiodarone. Drug interactions with amiodarone are described in Table 1 below. Table 1: Amiodarone Drug Interactions Concomitant Drug Class/Name Examples Clinical Comment Pharmacodynamic Interactions QT Prolonging Drugs class I and III antiarrhythmics, lithium, certain phenothiazines, tricyclic antidepressants, certain fluoroquinolone and macrolide antibiotics, azole antifungals, halogenated inhalation anesthetic agents Increased risk of Torsade de Pointes. Avoid concomitant use. Negative Chronotropes digoxin, beta blockers, verapamil, diltiazem, clonidine, ivabradine Potentiates the electrophysiologic and hemodynamic effects of amiodarone, resulting in bradycardia, sinus arrest, and AV block. Monitor heart rate. Pharmacokinetic Interactions CYP450 Inhibitors grapefruit juice, certain fluoroquinolone and macrolide antibiotics, azole antifungals, cimetidine, certain protease inhibitors Increased exposure of amiodarone. Avoid concomitant use. CYP450 Inducers St. John's Wort Reduced amiodarone serum levels. Cyclosporine Increased plasma levels of cyclosporine have been reported resulting in elevated creatinine, despite reduction of cyclosporine dose. Monitor cyclosporine drug levels and renal function with concomitant use. Cholestyramine Reduced amiodarone serum levels. Antiarrhythmics quinidine, procainamide, flecainide Reserve concomitant use for patients who are unresponsive to a single agent. Antiarrhythmic metabolism inhibited by amiodarone. Initiate antiarrhythmic at a lower than usual dose and monitor patient carefully. Reduce dose levels of previously administered antiarrhythmic by 30% to 50% for several days after transitioning to oral amiodarone. Evaluate continued need for antiarrhythmic. Digoxin Increased digoxin concentration. Reduce digoxin by half or discontinue. If continued, monitor for evidence of toxicity. HMG-CoA Reductase Inhibitors simvastatin, lovastatin, atorvastatin Increased plasma concentration of HMG-CoA reductase inhibitor. Limit the dose of lovastatin to 40 mg. Limit the coadministered dose of simvastatin to 20 mg. Lower starting dose of other CYP3A4 substrates may be required. Warfarin Potentiates anticoagulant response and can result in serious or fatal bleeding. Coadministration increases prothrombin time by 100% after 3 to 4 days. Reduce warfarin dose by one-third to one-half and monitor prothrombin times. Phenytoin Increased steady-state levels of phenytoin. Monitor phenytoin levels. Hepatitis C Direct Acting Antiviral sofosbuvir Cases of symptomatic bradyarrhythmia requiring pacemaker insertion have been reported in patients on oral maintenance amiodarone who initiated therapy with sofosbuvir. CYP3A Substrate lidocaine Sinus bradycardia has been reported with oral amiodarone in combination with lidocaine given for local anesthesia. Monitor heart rate. A lower starting dose of lidocaine may be required. CYP3A Substrate fentanyl Fentanyl in combination with amiodarone may cause hypotension, bradycardia, and decreased cardiac output.

Storage and Handling

Pacerone® (amiodarone hydrochloride tablets, USP) 100 mg are peach, round, flat-faced, uncoated tablets, debossed with "P" on one side, and "U-S" above "144" on the other side. They are supplied as follows: Bottles of 30 with child-resistant closure, NDC 72162-2148-3 Keep tightly closed. Store at 20° to 25°C (68° to 77°F); excursions permitted to 15° to 30°C (59° to 86°F) [See USP Controlled Room Temperature]. Protect from light. Dispense in a tight, light-resistant container with a child-resistant closure. Repackaged/Relabeled by: Bryant Ranch Prepack, Inc. Burbank, CA 91504

How Supplied

Pacerone® (amiodarone hydrochloride tablets, USP) 100 mg are peach, round, flat-faced, uncoated tablets, debossed with "P" on one side, and "U-S" above "144" on the other side. They are supplied as follows: Bottles of 30 with child-resistant closure, NDC 72162-2148-3 Keep tightly closed. Store at 20° to 25°C (68° to 77°F); excursions permitted to 15° to 30°C (59° to 86°F) [See USP Controlled Room Temperature]. Protect from light. Dispense in a tight, light-resistant container with a child-resistant closure. Repackaged/Relabeled by: Bryant Ranch Prepack, Inc. Burbank, CA 91504


Medication Information

Warnings and Precautions

Persistence of Adverse Effects: Adverse reactions and drug interaction can persist for several weeks following discontinuation. ( 5.1 ) Impaired Vision: Corneal microdeposits (common; reversible), optic neuropathy/neuritis (rare; may lead to blindness). ( 5.5 ) Thyroid Abnormalities: Hyperthyroidism or hypothyroidism. ( 5.6 )

Indications and Usage

Pacerone is indicated for the treatment of documented, life-threatening recurrent ventricular fibrillation and life-threatening recurrent hemodynamically unstable tachycardia in adults who have not responded to adequate doses of other available antiarrhythmics or when alternative agents cannot be tolerated.

Dosage and Administration

Dosage must be individualized based on severity of arrhythmia and response. Use the lowest effective dose. Obtain baseline chest x-ray, pulmonary function tests, thyroid function tests, and liver aminotransferases. Correct hypokalemia, hypomagnesemia, and hypocalcemia before initiating treatment.

Contraindications

Cardiogenic shock. Sick sinus syndrome, second- or third-degree atrioventricular block, bradycardia leading to syncope without a functioning pacemaker. Known hypersensitivity to the drug or to any of its components, including iodine.

Adverse Reactions

The following serious adverse reactions are described in more detail in other sections of the prescribing information: Pulmonary Toxicity [see Warnings and Precautions (5.2) ] Hepatic Injury [see Warnings and Precautions (5.3) ] Worsened Arrhythmia [see Warnings and Precautions (5.4) ] Visual Impairment and Loss of Vision [see Warnings and Precautions (5.5) ] Thyroid Abnormalities [see Warnings and Precautions (5.6) ] Bradycardia [see Warnings and Precautions (5.7) ] Peripheral Neuropathy [see Warnings and Precautions (5.10) ] Photosensitivity and Skin Discoloration [see Warnings and Precautions (5.11) ]

Drug Interactions

Because of amiodarone's long half-life, expect drug interactions to persist for weeks to months after discontinuation of amiodarone. Drug interactions with amiodarone are described in Table 1 below. Table 1: Amiodarone Drug Interactions Concomitant Drug Class/Name Examples Clinical Comment Pharmacodynamic Interactions QT Prolonging Drugs class I and III antiarrhythmics, lithium, certain phenothiazines, tricyclic antidepressants, certain fluoroquinolone and macrolide antibiotics, azole antifungals, halogenated inhalation anesthetic agents Increased risk of Torsade de Pointes. Avoid concomitant use. Negative Chronotropes digoxin, beta blockers, verapamil, diltiazem, clonidine, ivabradine Potentiates the electrophysiologic and hemodynamic effects of amiodarone, resulting in bradycardia, sinus arrest, and AV block. Monitor heart rate. Pharmacokinetic Interactions CYP450 Inhibitors grapefruit juice, certain fluoroquinolone and macrolide antibiotics, azole antifungals, cimetidine, certain protease inhibitors Increased exposure of amiodarone. Avoid concomitant use. CYP450 Inducers St. John's Wort Reduced amiodarone serum levels. Cyclosporine Increased plasma levels of cyclosporine have been reported resulting in elevated creatinine, despite reduction of cyclosporine dose. Monitor cyclosporine drug levels and renal function with concomitant use. Cholestyramine Reduced amiodarone serum levels. Antiarrhythmics quinidine, procainamide, flecainide Reserve concomitant use for patients who are unresponsive to a single agent. Antiarrhythmic metabolism inhibited by amiodarone. Initiate antiarrhythmic at a lower than usual dose and monitor patient carefully. Reduce dose levels of previously administered antiarrhythmic by 30% to 50% for several days after transitioning to oral amiodarone. Evaluate continued need for antiarrhythmic. Digoxin Increased digoxin concentration. Reduce digoxin by half or discontinue. If continued, monitor for evidence of toxicity. HMG-CoA Reductase Inhibitors simvastatin, lovastatin, atorvastatin Increased plasma concentration of HMG-CoA reductase inhibitor. Limit the dose of lovastatin to 40 mg. Limit the coadministered dose of simvastatin to 20 mg. Lower starting dose of other CYP3A4 substrates may be required. Warfarin Potentiates anticoagulant response and can result in serious or fatal bleeding. Coadministration increases prothrombin time by 100% after 3 to 4 days. Reduce warfarin dose by one-third to one-half and monitor prothrombin times. Phenytoin Increased steady-state levels of phenytoin. Monitor phenytoin levels. Hepatitis C Direct Acting Antiviral sofosbuvir Cases of symptomatic bradyarrhythmia requiring pacemaker insertion have been reported in patients on oral maintenance amiodarone who initiated therapy with sofosbuvir. CYP3A Substrate lidocaine Sinus bradycardia has been reported with oral amiodarone in combination with lidocaine given for local anesthesia. Monitor heart rate. A lower starting dose of lidocaine may be required. CYP3A Substrate fentanyl Fentanyl in combination with amiodarone may cause hypotension, bradycardia, and decreased cardiac output.

Storage and Handling

Pacerone® (amiodarone hydrochloride tablets, USP) 100 mg are peach, round, flat-faced, uncoated tablets, debossed with "P" on one side, and "U-S" above "144" on the other side. They are supplied as follows: Bottles of 30 with child-resistant closure, NDC 72162-2148-3 Keep tightly closed. Store at 20° to 25°C (68° to 77°F); excursions permitted to 15° to 30°C (59° to 86°F) [See USP Controlled Room Temperature]. Protect from light. Dispense in a tight, light-resistant container with a child-resistant closure. Repackaged/Relabeled by: Bryant Ranch Prepack, Inc. Burbank, CA 91504

How Supplied

Pacerone® (amiodarone hydrochloride tablets, USP) 100 mg are peach, round, flat-faced, uncoated tablets, debossed with "P" on one side, and "U-S" above "144" on the other side. They are supplied as follows: Bottles of 30 with child-resistant closure, NDC 72162-2148-3 Keep tightly closed. Store at 20° to 25°C (68° to 77°F); excursions permitted to 15° to 30°C (59° to 86°F) [See USP Controlled Room Temperature]. Protect from light. Dispense in a tight, light-resistant container with a child-resistant closure. Repackaged/Relabeled by: Bryant Ranch Prepack, Inc. Burbank, CA 91504

Description

Pacerone is intended for use only in patients with the indicated life-threatening arrhythmias because its use is accompanied by substantial toxicity [see Indications and Usage (1) ] . Pacerone can cause pulmonary toxicity (hypersensitivity pneumonitis or interstitial/alveolar pneumonitis) that has resulted in clinically manifest disease at rates as high as 17% in some series of patients. Pulmonary toxicity has been fatal about 10% of the time . Obtain a baseline chest X-ray and pulmonary-function tests, including diffusion capacity, when Pacerone therapy is initiated. Repeat history, physical exam, and chest X-ray every 3 to 6 months [see Warnings and Precautions 5.2) ] . Pacerone can cause hepatoxicity, which can be fatal. Obtain baseline and periodic liver transaminases and discontinue or reduce dose if the increase exceeds three times normal, or doubles in a patient with an elevated baseline. Discontinue Pacerone if the patient experiences signs or symptoms of clinical liver injury [see Warnings and Precautions (5.3) ] . Pacerone can exacerbate arrhythmias. Initiate amiodarone hydrochloride in a clinical setting where continuous electrocardiograms and cardiac resuscitation are available [see Warnings and Precautions (5.4) ] .

Section 42229-5

Recommended Dosage:

Initiate treatment with a loading dose of 800 to 1600 mg/day until initial therapeutic response occurs (usually 1 to 3 weeks). Once adequate arrhythmia control is achieved, or if side effects become prominent, reduce Pacerone tablet dose to 600 to 800 mg/day for one month and then to the maintenance dose, usually 400 mg/day.

Section 42231-1
MEDICATION GUIDE

Pacerone® (PĀS-ər-ōn) Tablets

(Amiodarone Hydrochloride)
What is the most important information I should know about Pacerone tablets?

Pacerone tablets can cause serious side effects that can lead to death, including:
  • lung problems
  • liver problems
  • worsening of heartbeat problems
Call your healthcare provider or get medical help right away if you have any of the following symptoms during treatment with Pacerone tablets:
  • trouble breathing, wheezing, shortness of breath, coughing chest pain, spitting up of blood, or fever
  • nausea or vomiting, brown or dark-colored urine, feel more tired than usual, yellowing of your skin or the whites of your eyes (jaundice), or right upper stomach-area pain
  • heart pounding, skipping a beat, beating fast or slowly, feel light-headed, or if you faint
  • vision problems, including blurred vision, see halos, or your eyes become sensitive to light. You should have regular eye exams before and during treatment with Pacerone tablets.
Pacerone tablets should be started in a hospital so that your medical condition can be carefully monitored.

Pacerone tablets should only be used to treat people who have been diagnosed with life-threatening heartbeat problems called ventricular arrhythmias, when other treatments did not work or you cannot tolerate them.

Pacerone tablets can cause other serious side effects. See "What are the possible side effects of Pacerone tablets?"

If you get serious side effects during treatment you may need to stop Pacerone tablets, have your dose changed, or get medical treatment. Talk with your healthcare provider before you stop taking Pacerone tablets.


You may still have side effects after stopping Pacerone tablets because the medicine stays in your body for months after treatment is stopped.

You should have regular check-ups, blood tests, chest x-rays before and during treatment with Pacerone tablets to check for serious side effects. You should also have lung function tests before starting treatment with Pacerone tablets.
What are Pacerone tablets?

Pacerone tablets are a prescription medicine used to treat people who have been diagnosed with life-threatening heartbeat problems called ventricular arrhythmias, when other treatments did not work or you cannot tolerate them. It is not known if Pacerone tablets are safe and effective in children.
Who should not take Pacerone tablets?

Do not take Pacerone tablets if you:
  • have a serious heart problem called cardiogenic shock
  • have certain types of the heart condition called heart block, with or without a slow heart rate
  • have a slow heart rate with dizziness or lightheadedness, and you do not have an implanted pacemaker
  • are allergic to amiodarone, iodine, or any of the other ingredients in Pacerone tablets. See the end of this Medication Guide for a complete list of ingredients in Pacerone tablets.
Before taking Pacerone tablets, tell your healthcare provider about all of your medical conditions, including if you:
  • have lung or breathing problems
  • have liver problems
  • have or had thyroid problems
  • have a slow heart rate or blood pressure problems
  • have diarrhea or have had diarrhea for a long period of time
  • have been told that you have low levels of potassium, magnesium, or calcium in your blood
  • have an implanted pacemaker or defibrillator
  • if you plan to have surgery with general anesthesia
  • are pregnant or plan to become pregnant. Pacerone tablets may harm your unborn baby. Tell your healthcare provider right away if you become pregnant during treatment with Pacerone tablets. Pacerone can stay in your body for months after treatment is stopped.
  • are breastfeeding or plan to breastfeed. Pacerone can pass into your breast milk and may harm your baby. You should not breast feed while taking Pacerone tablets. Pacerone can stay in your body for months after treatment is stopped. Talk to your healthcare provider about the best way to feed your baby during this time.
Tell your healthcare provider about all the medicines you take including prescription and over-the-counter medicines, vitamins, and herbal supplements. Pacerone tablets and certain other medicines can affect with each other and cause serious side effects. You can ask your pharmacist for a list of medicines that interact with Pacerone tablets.
How should I take Pacerone tablets?
  • When you are discharged from the hospital, take Pacerone tablets exactly as your doctor tells you to take it.
  • Your healthcare provider will tell you how much Pacerone to take and when to take it.
  • Your healthcare provider may change your dose of Pacerone as needed if your heart rhythm is controlled, or if you have certain side effects. Your healthcare provider should monitor you carefully when your dose of Pacerone is being changed.
  • Take your dose of Pacerone tablets the same way each time, either with or without food.
  • If you take too much Pacerone, call your healthcare provider or go to the nearest hospital emergency room right away. If you miss a dose, wait and take your next dose at your regular time. Do not take two doses at the same time. Continue with your next regularly scheduled dose.
What should I avoid while taking Pacerone tablets?
  • Avoid drinking grapefruit juice during treatment with Pacerone. Drinking grapefruit juice with Pacerone tablets may increase the amount of Pacerone in your blood, and this may lead to side effects.
  • Pacerone tablets can make your skin sensitive to sunlight. You could get severe sunburn. Use sunscreen and wear a hat and clothes that cover your skin to help protect you if you must be in sunlight. Talk to your healthcare if you get a sunburn. See "Skin problems" in the Medication Guide section "What are the possible side effects of Pacerone tablets?" below.
What are the possible side effects of Pacerone tablets?

Pacerone tablets can cause serious side effects, including:
  • See "What is the most important information I should know about Pacerone tablets?"
  • Nerve problems. Pacerone tablets can cause nerve problems. Call your healthcare provider if you develop symptoms of nerve problems, including: a feeling of "pins and needles" or numbness in your hands, legs, or feet, muscle weakness, uncontrolled movements, poor coordination, or trouble walking.
  • Skin problems. Pacerone tablets can cause your skin to be more sensitive to the sun or turn a bluish-gray color. People who have fair skin or people who have a lot of sun exposure may be more at risk for these skin problems. Some of the bluish-gray skin color may return to normal after stopping Pacerone tablets.
  • Thyroid problems. Pacerone tablets can cause you to have either decreased thyroid function (hypothyroidism), which can sometimes be severe, or an overactive thyroid (hyperthyroidism), which can be severe.
    • If you develop decreased thyroid function during treatment with Pacerone tablets, your healthcare provider may need to reduce your dose or stop your treatment with Pacerone tablets, and possibly prescribe medicine to replace your thyroid hormone.
    • An overactive thyroid can cause you to produce too much thyroid hormone. You can have abnormal heartbeats even while you are receiving Pacerone tablets. Your healthcare provider may prescribe certain medicines to treat your overactive thyroid. Call your healthcare provider if you get any abnormal heartbeats during treatment with Pacerone tablets. This may mean that you have an overactive thyroid.
    • Your healthcare provider should do tests to check your thyroid function before you start and during treatment with Pacerone tablets.
    • Call your healthcare provider if you develop any of the following symptoms of a thyroid problem during treatment with Pacerone tablets:
  • weakness
  • weight loss or weight gain
  • heat or cold intolerance
  • hair thinning
  • sweating
  • changes in your menstrual periods
  • swelling of your neck (goiter)
  • nervousness
  • irritability
  • restlessness
  • decreased concentration
  • feeling depressed (in the elderly)
  • tremor
The most common side effects of Pacerone tablets include:
  • lung problems
  • heartbeat problems
  • heart problems
  • liver problems
Pacerone tablets may affect fertility in males and females. It is not known if the effects are reversible. Talk to your healthcare provider if you have concerns about fertility.

These are not all the possible side effects of Pacerone tablets. For more information, ask your healthcare provider or pharmacist.

Call your doctor for medical advice about side effects. You may report side effects to FDA at 1-800-FDA-1088.
How should I store Pacerone tablets?
  • Store Pacerone tablets at room temperature between 20° to 25°C (68° to 77°F).
  • Keep Pacerone tablets in a tightly closed container and keep Pacerone tablets out of the light.
  • Pacerone comes in a child-resistant package.
Keep Pacerone tablets and all medicines out of the reach of children.
General information about the safe and effective use of Pacerone tablets

Medicines are sometimes prescribed for purposes other than those listed in a Medication Guide. Do not use Pacerone tablets for a condition for which it was not prescribed. Do not give Pacerone tablets to other people, even if they have the same symptoms that you have. It may harm them. You can ask your pharmacist or healthcare provider for information about Pacerone tablets that is written for health professionals.
What are the ingredients in Pacerone tablets?

Active Ingredient: amiodarone hydrochloride

Inactive Ingredients: lactose monohydrate, magnesium stearate, povidone, pregelatinized corn starch, sodium starch glycolate, stearic acid, FD&C Red No. 40 (200 mg) and FD&C Yellow No. 6 (100 mg and 200 mg).

For more information and the most current Medication Guide, please visit www.upsher-smith.com or call 1-888-650-3789.

This Medication Guide has been approved by the U.S. Food and Drug Administration.

Manufactured by

UPSHER-SMITH LABORATORIES, LLC

Maple Grove, MN 55369

Pacerone is a registered trademark of Upsher-Smith Laboratories, LLC.

Revised 5/2020

Section 51945-4

Amiodarone Hydrochloride 100mg Tablets

10 Overdosage

There have been cases, some fatal, of amiodarone hydrochloride overdose.

Monitor the patient's cardiac rhythm and blood pressure, and, if bradycardia ensues, a β-adrenergic agonist or a pacemaker may be used. Treat hypotension with inadequate tissue perfusion with positive inotropic and vasopressor agents. Neither Pacerone nor its metabolite is dialyzable.

11 Description

Pacerone (amiodarone hydrochloride tablets, USP) are an antiarrhythmic drug, available for oral administration as 100 mg; peach tablets, 200 mg; pink tablets and 400 mg; white tablets containing amiodarone hydrochloride, USP. All three strengths of Pacerone tablets contain the following inactive ingredients: lactose monohydrate, magnesium stearate, povidone, pregelatinized corn starch, sodium starch glycolate and stearic acid. The 200 mg tablets also contain FD&C Red No. 40 and FD&C Yellow No. 6. The 100 mg tablets also contain FD&C Yellow No. 6.

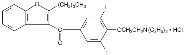
Amiodarone hydrochloride, USP is a benzofuran derivative: 2-butyl-3-benzofuranyl 4-[2-(diethylamino)-ethoxy]-3,5-diiodophenyl ketone hydrochloride.

The structural formula is as follows:

C25H29I2NO3 ∙ HCl                                              Molecular Weight: 681.8

C25H29I2NO3 ∙ HCl                                              Molecular Weight: 681.8

Amiodarone hydrochloride, USP is a white to cream-colored crystalline powder. It is slightly soluble in water, soluble in alcohol, and freely soluble in chloroform. It contains 37.3% iodine by weight.

Meets USP Dissolution Test 4.

5.7 Bradycardia

Pacerone causes symptomatic bradycardia or sinus arrest with suppression of escape foci in 2% to 4% of patients. The risk is increased by electrolytic disorders or use of concomitant antiarrhythmics or negative chronotropes [see Drug Interactions (7)]. Bradycardia may require a pacemaker for rate control.

Post-marketing cases of symptomatic bradycardia, some requiring pacemaker insertion and at least one fatal, have been reported when ledipasvir/sofosbuvir or sofosbuvir with simeprevir were initiated in patients on amiodarone. Bradycardia generally occurred within hours to days, but in some cases presented up to 2 weeks after initiating antiviral treatment. Bradycardia generally resolved after discontinuation of antiviral treatment. The mechanism for this effect is unknown. Monitor heart rate in patients taking or recently discontinuing amiodarone when starting antiviral treatment [see Drug Interactions (7)].

8.4 Pediatric Use

The safety and effectiveness of Pacerone in pediatric patients have not been established.

8.5 Geriatric Use

Normal subjects over 65 years of age show lower clearances and increased drug half-life than younger subjects [see Clinical Pharmacology (12.3)]. In general, dose selection for an elderly patient should be cautious, usually starting at the low end of the dosing range, reflecting the greater frequency of decreased hepatic, renal, or cardiac function, and of concomitant disease or other drug therapy.

5.3 Hepatic Injury

Asymptomatic elevations of hepatic enzyme levels are seen frequently, but Pacerone can cause life-threatening hepatic injury. Histology has resembled that of alcoholic hepatitis or cirrhosis. Obtain baseline and periodic liver transaminases. If transaminases exceed three times normal, or doubles in a patient with an elevated baseline, discontinue or reduce dose of Pacerone, obtain follow-up tests and treat appropriately.

5.9 Fetal Toxicity

Pacerone may cause fetal harm when administered to a pregnant woman. Fetal exposure may increase the potential for cardiac, thyroid, neurodevelopmental, neurological, and growth effects in neonate [see Use in Specific Populations (8.1)].

4 Contraindications
  • Cardiogenic shock.
  • Sick sinus syndrome, second- or third-degree atrioventricular block, bradycardia leading to syncope without a functioning pacemaker.
  • Known hypersensitivity to the drug or to any of its components, including iodine.
6 Adverse Reactions

The following serious adverse reactions are described in more detail in other sections of the prescribing information:

7 Drug Interactions

Because of amiodarone's long half-life, expect drug interactions to persist for weeks to months after discontinuation of amiodarone.

Drug interactions with amiodarone are described in Table 1 below.

Table 1: Amiodarone Drug Interactions
Concomitant Drug Class/Name Examples Clinical Comment
Pharmacodynamic Interactions
QT Prolonging Drugs class I and III antiarrhythmics, lithium, certain phenothiazines, tricyclic antidepressants, certain fluoroquinolone and macrolide antibiotics, azole antifungals, halogenated inhalation anesthetic agents Increased risk of Torsade de Pointes. Avoid concomitant use.
Negative Chronotropes digoxin, beta blockers, verapamil, diltiazem, clonidine, ivabradine Potentiates the electrophysiologic and hemodynamic effects of amiodarone, resulting in bradycardia, sinus arrest, and AV block. Monitor heart rate.
Pharmacokinetic Interactions
CYP450 Inhibitors grapefruit juice, certain fluoroquinolone and macrolide antibiotics, azole antifungals, cimetidine, certain protease inhibitors Increased exposure of amiodarone. Avoid concomitant use.
CYP450 Inducers St. John's Wort Reduced amiodarone serum levels.
Cyclosporine Increased plasma levels of cyclosporine have been reported resulting in elevated creatinine, despite reduction of cyclosporine dose. Monitor cyclosporine drug levels and renal function with concomitant use.
Cholestyramine Reduced amiodarone serum levels.
Antiarrhythmics quinidine, procainamide, flecainide Reserve concomitant use for patients who are unresponsive to a single agent. Antiarrhythmic metabolism inhibited by amiodarone. Initiate antiarrhythmic at a lower than usual dose and monitor patient carefully. Reduce dose levels of previously administered antiarrhythmic by 30% to 50% for several days after transitioning to oral amiodarone. Evaluate continued need for antiarrhythmic.
Digoxin Increased digoxin concentration. Reduce digoxin by half or discontinue. If continued, monitor for evidence of toxicity.
HMG-CoA Reductase Inhibitors simvastatin, lovastatin, atorvastatin Increased plasma concentration of HMG-CoA reductase inhibitor.

Limit the dose of lovastatin to 40 mg.

Limit the coadministered dose of simvastatin to 20 mg.

Lower starting dose of other CYP3A4 substrates may be required.
Warfarin Potentiates anticoagulant response and can result in serious or fatal bleeding. Coadministration increases prothrombin time by 100% after 3 to 4 days. Reduce warfarin dose by one-third to one-half and monitor prothrombin times.
Phenytoin Increased steady-state levels of phenytoin. Monitor phenytoin levels.
Hepatitis C Direct Acting Antiviral sofosbuvir Cases of symptomatic bradyarrhythmia requiring pacemaker insertion have been reported in patients on oral maintenance amiodarone who initiated therapy with sofosbuvir.
CYP3A Substrate lidocaine Sinus bradycardia has been reported with oral amiodarone in combination with lidocaine given for local anesthesia. Monitor heart rate. A lower starting dose of lidocaine may be required.
CYP3A Substrate fentanyl Fentanyl in combination with amiodarone may cause hypotension, bradycardia, and decreased cardiac output.
12.2 Pharmacodynamics

There is no well-established relationship between plasma concentration and effectiveness, but it does appear that concentrations much below 1 mg/L are often ineffective and that levels above 2.5 mg/L are generally not needed. Plasma-concentration measurements can be used to identify patients whose levels are unusually low, and who might benefit from a dose increase, or unusually high, and who might have dosage reduction in the hope of minimizing side effects.

Effects on abnormal rhythms are not seen before 2 to 3 days and usually require 1 to 3 weeks, even when a loading dose is used. There may be a continued increase in effect for longer periods still. There is evidence that the time to effect is shorter when a loading-dose regimen is used.

Consistent with the slow rate of elimination, antiarrhythmic effects persist for weeks or months after amiodarone hydrochloride is discontinued, but the time of recurrence is variable and unpredictable. In general, when the drug is resumed after recurrence of the arrhythmia, control is established relatively rapidly compared to the initial response, presumably because tissue stores were not wholly depleted.

5.2 Pulmonary Toxicity

Pacerone may cause a clinical syndrome of cough and progressive dyspnea accompanied by functional, radiographic, gallium-scan, and pathological data consistent with pulmonary toxicity. Pulmonary toxicity secondary to Pacerone may result from either indirect or direct toxicity as represented by hypersensitivity pneumonitis (including eosinophilic pneumonia) or interstitial/alveolar pneumonitis, respectively. Rates of pulmonary toxicity have been reported to be as high as 17% and is fatal in about 10% of cases. Obtain a baseline chest X-ray and pulmonary-function tests, including diffusion capacity, when Pacerone therapy is initiated. Repeat history, physical exam, and chest X-ray every 3 to 6 months or if symptoms occur. Consider alternative antiarrhythmic therapy if the patient experiences signs or symptoms of pulmonary toxicity. Prednisone 40 to 60 mg/day tapered over several weeks may be helpful in treating pulmonary toxicity.

1 Indications and Usage

Pacerone is indicated for the treatment of documented, life-threatening recurrent ventricular fibrillation and life-threatening recurrent hemodynamically unstable tachycardia in adults who have not responded to adequate doses of other available antiarrhythmics or when alternative agents cannot be tolerated.

5.4 Worsened Arrhythmia

Pacerone can exacerbate the presenting arrhythmia in about 2% to 5% of patients or cause new ventricular fibrillation, incessant ventricular tachycardia, increased resistance to cardioversion, and polymorphic ventricular tachycardia associated with QTc prolongation (Torsade de Pointes [TdP]).

Correct hypokalemia, hypomagnesemia, and hypocalcemia before initiating treatment with amiodarone hydrochloride, as these disorders can exaggerate the degree of QTc prolongation and increase the potential for TdP. Give special attention to electrolyte and acid-base balance in patients experiencing severe or prolonged diarrhea or receiving drugs affecting electrolyte levels, such as diuretics, laxatives, systemic corticosteroids, or amphotericin B.

12.1 Mechanism of Action

Amiodarone is considered a class III antiarrhythmic drug, but it possesses electrophysiologic characteristics of all four Vaughan Williams classes. Like class I drugs, amiodarone blocks sodium channels at rapid pacing frequencies, and like class II drugs, amiodarone exerts a noncompetitive antisympathetic action. One of its main effects, with prolonged administration, is to lengthen the cardiac action potential, a class III effect. The negative chronotropic effect of amiodarone in nodal tissues is similar to the effect of class IV drugs. In addition to blocking sodium channels, amiodarone blocks myocardial potassium channels, which contributes to slowing of conduction and prolongation of refractoriness. The antisympathetic action and the block of calcium and potassium channels are responsible for the negative dromotropic effects on the sinus node and for the slowing of conduction and prolongation of refractoriness in the atrioventricular (AV) node. Its vasodilatory action can decrease cardiac workload and consequently myocardial oxygen consumption.

Pacerone prolongs the duration of the action potential of all cardiac fibers while causing minimal reduction of dV/dt (maximal upstroke velocity of the action potential). The refractory period is prolonged in all cardiac tissues. Amiodarone hydrochloride increases the cardiac refractory period without influencing resting membrane potential, except in automatic cells where the slope of the prepotential is reduced, generally reducing automaticity. These electrophysiologic effects are reflected in a decreased sinus rate of 15% to 20%, increased PR and QT intervals of about 10%, the development of U-waves, and changes in T-wave contour. These changes should not require discontinuation of Pacerone as they are evidence of its pharmacological action, although Pacerone can cause marked sinus bradycardia or sinus arrest and heart block [see Warnings and Precautions (5.4)].

5.6 Thyroid Abnormalities

Amiodarone hydrochloride inhibits peripheral conversion of thyroxine (T4) to triiodothyronine (T3) and may cause increased thyroxine levels, decreased T3 levels, and increased levels of inactive reverse T3 (rT3) in clinically euthyroid patients. Amiodarone hydrochloride can cause either hypothyroidism (reported in up to 10% of patients) or hyperthyroidism (occurring in about 2% of patients). Monitor thyroid function prior to treatment and periodically thereafter, particularly in elderly patients, and in any patient with a history of thyroid nodules, goiter, or other thyroid dysfunction.

Hyperthyroidism may induce arrhythmia breakthrough. If any new signs of arrhythmia appear, the possibility of hyperthyroidism should be considered. Antithyroid drugs, β-adrenergic blockers, temporary corticosteroid therapy may be necessary to treat the symptoms of hyperthyroidism. The action of antithyroid drugs may be delayed in amiodarone-induced thyrotoxicosis because of substantial quantities of preformed thyroid hormones stored in the gland. Radioactive iodine therapy is contraindicated because of the low radioiodine uptake associated with amiodarone-induced hyperthyroidism. Pacerone-induced hyperthyroidism may be followed by a transient period of hypothyroidism.

Hypothyroidism may be primary or subsequent to resolution of preceding amiodarone-induced hyperthyroidism. Severe hypothyroidism and myxedema coma, sometimes fatal, have been reported in association with amiodarone therapy. In some clinically hypothyroid amiodarone-treated patients, free thyroxine index values may be normal. Manage hypothyroidism by reducing the dose of or discontinuing Pacerone and thyroid hormone supplementation.

5 Warnings and Precautions
  • Persistence of Adverse Effects: Adverse reactions and drug interaction can persist for several weeks following discontinuation. (5.1)
  • Impaired Vision: Corneal microdeposits (common; reversible), optic neuropathy/neuritis (rare; may lead to blindness). (5.5)
  • Thyroid Abnormalities: Hyperthyroidism or hypothyroidism. (5.6)
5.10 Peripheral Neuropathy

Chronic administration of Pacerone may lead to peripheral neuropathy, which may not resolve when Pacerone is discontinued.

2 Dosage and Administration

Dosage must be individualized based on severity of arrhythmia and response. Use the lowest effective dose. Obtain baseline chest x-ray, pulmonary function tests, thyroid function tests, and liver aminotransferases. Correct hypokalemia, hypomagnesemia, and hypocalcemia before initiating treatment.

3 Dosage Forms and Strengths

Pacerone tablets, 100 mg, are peach, round, flat-faced, uncoated tablets, debossed with "P" on one side, and "U-S" above "144" on the other side.

Pacerone tablets, 200 mg, are pink, round, flat-faced, scored, uncoated tablets, debossed with "P200" on the unscored side, and "U-S" above and "0147" below the score on the reverse side.

Pacerone tablets, 400 mg, are white to off-white, round, uncoated, scored tablets, debossed with "U-S' above and "1645' below the score on one side and "P400" on the unscored side.

6.2 Post Marketing Experience

The following adverse reactions have been identified during post-approval use of amiodarone hydrochloride. Because these reactions are reported voluntarily from a population of uncertain size, it is not always possible to reliably estimate their frequency or establish a causal relationship to drug exposure.

Hematologic: hemolytic anemia, aplastic anemia, pancytopenia, neutropenia, thrombocytopenia, agranulocytosis, granuloma.

Immune: anaphylactic/anaphylactoid reaction (including shock), angioedema.

Neurologic: pseudotumor cerebri, parkinsonian symptoms such as akinesia and bradykinesia (sometimes reversible with discontinuation of therapy), demyelinating polyneuropathy.

Psychiatric: hallucination, confusional state, disorientation, delirium.

Cardiac: hypotension (sometimes fatal), sinus arrest.

Respiratory: eosinophilic pneumonia, acute respiratory distress syndrome in the post-operative setting, bronchospasm, bronchiolitis obliterans organizing pneumonia, pulmonary alveolar hemorrhage, pleural effusion, pleuritis.

Gastrointestinal: pancreatitis, acute pancreatitis.

Hepatic: hepatitis, cholestatic hepatitis, cirrhosis.

Skin and Subcutaneous Tissue Disorders: urticaria, toxic epidermal necrolysis (sometimes fatal), erythema multiforme, Stevens-Johnson syndrome, exfoliative dermatitis, bullous dermatitis, drug rash with eosinophilia and systemic symptoms (DRESS), eczema, pruritus, skin cancer, lupus-like syndrome.

Musculoskeletal: myopathy, muscle weakness, rhabdomyolysis.

Renal: renal impairment, renal insufficiency, acute renal failure.

Reproductive: epididymitis, impotence.

Body as a whole: fever, dry mouth.

Endocrine and metabolic: thyroid nodules/ thyroid cancer, syndrome of inappropriate antidiuretic hormone secretion (SIADH).

Vascular: vasculitis.

8 Use in Specific Populations
  • Pregnancy: May cause fetal harm. (8.1)
  • Lactation: Breastfeeding not recommended. (8.2)
6.1 Clinical Trials Experience

Because clinical trials are conducted under widely varying conditions, adverse reaction rates observed in the clinical trials of a drug cannot be directly compared to rates in the clinical trials of another drug and may not reflect the rates observed in practice.

At the usual maintenance dose (400 mg/day) and above, amiodarone hydrochloride causes adverse reactions in about three-fourths of all patients, resulting in discontinuation in 7% to 18%.

In surveys of almost 5,000 patients treated in open U.S. studies and in published reports of treatment with amiodarone hydrochloride, the adverse reactions most frequently requiring discontinuation of amiodarone hydrochloride included pulmonary infiltrates or fibrosis, paroxysmal ventricular tachycardia, congestive heart failure, and elevation of liver enzymes. Other symptoms causing discontinuations less often included visual disturbances, photosensitivity, blue skin discoloration, hyperthyroidism, and hypothyroidism.

The following side-effect rates are based on a retrospective study of 241 patients treated for 2 to 1,515 days (mean 441.3 days):

Thyroid

Common: Hypothyroidism, hyperthyroidism.

Cardiovascular

Common: Congestive heart failure, cardiac arrhythmias, SA node dysfunction.

Gastrointestinal

Very common: Nausea, vomiting.

Common: Constipation, anorexia, abdominal pain.

Dermatologic

Common: Solar dermatitis/photosensitivity.

Neurologic

Common: Malaise and fatigue, tremor/abnormal involuntary movements, lack of coordination, abnormal gait/ataxia, dizziness, paresthesias, decreased libido, insomnia, headache, sleep disturbances.

Ophthalmic

Common: Visual disturbances.

Hepatic

Common: Abnormal liver-function tests, nonspecific hepatic disorders.

Respiratory

Common: Pulmonary inflammation or fibrosis.

Other

Common: Flushing, abnormal taste and smell, edema, abnormal salivation, coagulation abnormalities.

Uncommon: Blue skin discoloration, rash, spontaneous ecchymosis, alopecia, hypotension, and cardiac conduction abnormalities.

5.8 Implantable Cardiac Devices

In patients with implanted defibrillators or pacemakers, chronic administration of antiarrhythmic drugs may affect pacing or defibrillation thresholds. Therefore, at the inception of and during amiodarone treatment, pacing and defibrillation thresholds should be assessed.

17 Patient Counseling Information

Advise the patient to read the FDA-approved patient labeling (Medication Guide).

Advise pregnant women of the potential risk to a fetus. Advise females of reproductive potential to inform their prescriber of a known or suspected pregnancy [see Use in Specific Populations (8.1)].

Advise women that breastfeeding is not recommended during treatment with Pacerone [see Use in Specific Populations (8.2)].

Advise patients to avoid grapefruit juice and St. John's Wort.

Advise patients to seek medical attention if they experience the signs and symptoms of pulmonary toxicity, worsening arrhythmia, bradycardia, visual impairment, or hypo- and hyperthyroidism.

This product's label may have been updated. For full prescribing information, please visit www.upsher-smith.com.

5.1 Persistence of Adverse Effects

Because of the long half-life of amiodarone (15 to 142 days) and its active metabolite desethylamiodarone (14 to 75 days), adverse reactions and drug interactions can persist for several weeks following amiodarone discontinuation [see Clinical Pharmacology (12.3)].

16 How Supplied/storage and Handling

Pacerone® (amiodarone hydrochloride tablets, USP) 100 mg are peach, round, flat-faced, uncoated tablets, debossed with "P" on one side, and "U-S" above "144" on the other side. They are supplied as follows:

  • Bottles of 30 with child-resistant closure, NDC 72162-2148-3

Keep tightly closed.

Store at 20° to 25°C (68° to 77°F); excursions permitted to 15° to 30°C (59° to 86°F) [See USP Controlled Room Temperature]. Protect from light.

Dispense in a tight, light-resistant container with a child-resistant closure.

Repackaged/Relabeled by:

Bryant Ranch Prepack, Inc.

Burbank, CA 91504

5.11 Photosensitivity and Skin Discoloration

Pacerone induces photosensitization in about 10% of patients; some protection may be afforded sun-barrier creams or protective clothing. During long-term treatment, a blue-gray discoloration of the exposed skin may occur. The risk may be increased in patients of fair complexion or those with excessive sun exposure. Some reversal of discoloration may occur upon drug discontinuation.

Warning: Pulmonary, Hepatic and Cardiac Toxicity

Pacerone is intended for use only in patients with the indicated life-threatening arrhythmias because its use is accompanied by substantial toxicity [see Indications and Usage (1)].

Pacerone can cause pulmonary toxicity (hypersensitivity pneumonitis or interstitial/alveolar pneumonitis) that has resulted in clinically manifest disease at rates as high as 17% in some series of patients. Pulmonary toxicity has been fatal about 10% of the time. Obtain a baseline chest X-ray and pulmonary-function tests, including diffusion capacity, when Pacerone therapy is initiated. Repeat history, physical exam, and chest X-ray every 3 to 6 months [see Warnings and Precautions 5.2)].

Pacerone can cause hepatoxicity, which can be fatal. Obtain baseline and periodic liver transaminases and discontinue or reduce dose if the increase exceeds three times normal, or doubles in a patient with an elevated baseline. Discontinue Pacerone if the patient experiences signs or symptoms of clinical liver injury [see Warnings and Precautions (5.3)].

Pacerone can exacerbate arrhythmias. Initiate amiodarone hydrochloride in a clinical setting where continuous electrocardiograms and cardiac resuscitation are available [see Warnings and Precautions (5.4)].

13.1 Carcinogenesis, Mutagenesis, Impairment of Fertility

Amiodarone hydrochloride was associated with a statistically significant, dose-related increase in the incidence of thyroid tumors (follicular adenoma and/or carcinoma) in rats. The incidence of thyroid tumors was greater than control at the lowest dose level tested, i.e., 5 mg/kg/day (approximately 0.08 times the maximum recommended human maintenance dose

600 mg in a 60 kg patient (dose compared on a body surface area basis)
).

Mutagenicity studies (Ames, micronucleus, and lysogenic tests) with amiodarone hydrochloride were negative.

In a study in which amiodarone hydrochloride was administered to male and female rats, beginning 9 weeks prior to mating, reduced fertility was observed at a dose level of 90 mg/kg/day (approximately 1.4 times the maximum recommended human maintenance dose

).


Structured Label Content

Section 42229-5 (42229-5)

Recommended Dosage:

Initiate treatment with a loading dose of 800 to 1600 mg/day until initial therapeutic response occurs (usually 1 to 3 weeks). Once adequate arrhythmia control is achieved, or if side effects become prominent, reduce Pacerone tablet dose to 600 to 800 mg/day for one month and then to the maintenance dose, usually 400 mg/day.

Section 42231-1 (42231-1)
MEDICATION GUIDE

Pacerone® (PĀS-ər-ōn) Tablets

(Amiodarone Hydrochloride)
What is the most important information I should know about Pacerone tablets?

Pacerone tablets can cause serious side effects that can lead to death, including:
  • lung problems
  • liver problems
  • worsening of heartbeat problems
Call your healthcare provider or get medical help right away if you have any of the following symptoms during treatment with Pacerone tablets:
  • trouble breathing, wheezing, shortness of breath, coughing chest pain, spitting up of blood, or fever
  • nausea or vomiting, brown or dark-colored urine, feel more tired than usual, yellowing of your skin or the whites of your eyes (jaundice), or right upper stomach-area pain
  • heart pounding, skipping a beat, beating fast or slowly, feel light-headed, or if you faint
  • vision problems, including blurred vision, see halos, or your eyes become sensitive to light. You should have regular eye exams before and during treatment with Pacerone tablets.
Pacerone tablets should be started in a hospital so that your medical condition can be carefully monitored.

Pacerone tablets should only be used to treat people who have been diagnosed with life-threatening heartbeat problems called ventricular arrhythmias, when other treatments did not work or you cannot tolerate them.

Pacerone tablets can cause other serious side effects. See "What are the possible side effects of Pacerone tablets?"

If you get serious side effects during treatment you may need to stop Pacerone tablets, have your dose changed, or get medical treatment. Talk with your healthcare provider before you stop taking Pacerone tablets.


You may still have side effects after stopping Pacerone tablets because the medicine stays in your body for months after treatment is stopped.

You should have regular check-ups, blood tests, chest x-rays before and during treatment with Pacerone tablets to check for serious side effects. You should also have lung function tests before starting treatment with Pacerone tablets.
What are Pacerone tablets?

Pacerone tablets are a prescription medicine used to treat people who have been diagnosed with life-threatening heartbeat problems called ventricular arrhythmias, when other treatments did not work or you cannot tolerate them. It is not known if Pacerone tablets are safe and effective in children.
Who should not take Pacerone tablets?

Do not take Pacerone tablets if you:
  • have a serious heart problem called cardiogenic shock
  • have certain types of the heart condition called heart block, with or without a slow heart rate
  • have a slow heart rate with dizziness or lightheadedness, and you do not have an implanted pacemaker
  • are allergic to amiodarone, iodine, or any of the other ingredients in Pacerone tablets. See the end of this Medication Guide for a complete list of ingredients in Pacerone tablets.
Before taking Pacerone tablets, tell your healthcare provider about all of your medical conditions, including if you:
  • have lung or breathing problems
  • have liver problems
  • have or had thyroid problems
  • have a slow heart rate or blood pressure problems
  • have diarrhea or have had diarrhea for a long period of time
  • have been told that you have low levels of potassium, magnesium, or calcium in your blood
  • have an implanted pacemaker or defibrillator
  • if you plan to have surgery with general anesthesia
  • are pregnant or plan to become pregnant. Pacerone tablets may harm your unborn baby. Tell your healthcare provider right away if you become pregnant during treatment with Pacerone tablets. Pacerone can stay in your body for months after treatment is stopped.
  • are breastfeeding or plan to breastfeed. Pacerone can pass into your breast milk and may harm your baby. You should not breast feed while taking Pacerone tablets. Pacerone can stay in your body for months after treatment is stopped. Talk to your healthcare provider about the best way to feed your baby during this time.
Tell your healthcare provider about all the medicines you take including prescription and over-the-counter medicines, vitamins, and herbal supplements. Pacerone tablets and certain other medicines can affect with each other and cause serious side effects. You can ask your pharmacist for a list of medicines that interact with Pacerone tablets.
How should I take Pacerone tablets?
  • When you are discharged from the hospital, take Pacerone tablets exactly as your doctor tells you to take it.
  • Your healthcare provider will tell you how much Pacerone to take and when to take it.
  • Your healthcare provider may change your dose of Pacerone as needed if your heart rhythm is controlled, or if you have certain side effects. Your healthcare provider should monitor you carefully when your dose of Pacerone is being changed.
  • Take your dose of Pacerone tablets the same way each time, either with or without food.
  • If you take too much Pacerone, call your healthcare provider or go to the nearest hospital emergency room right away. If you miss a dose, wait and take your next dose at your regular time. Do not take two doses at the same time. Continue with your next regularly scheduled dose.
What should I avoid while taking Pacerone tablets?
  • Avoid drinking grapefruit juice during treatment with Pacerone. Drinking grapefruit juice with Pacerone tablets may increase the amount of Pacerone in your blood, and this may lead to side effects.
  • Pacerone tablets can make your skin sensitive to sunlight. You could get severe sunburn. Use sunscreen and wear a hat and clothes that cover your skin to help protect you if you must be in sunlight. Talk to your healthcare if you get a sunburn. See "Skin problems" in the Medication Guide section "What are the possible side effects of Pacerone tablets?" below.
What are the possible side effects of Pacerone tablets?

Pacerone tablets can cause serious side effects, including:
  • See "What is the most important information I should know about Pacerone tablets?"
  • Nerve problems. Pacerone tablets can cause nerve problems. Call your healthcare provider if you develop symptoms of nerve problems, including: a feeling of "pins and needles" or numbness in your hands, legs, or feet, muscle weakness, uncontrolled movements, poor coordination, or trouble walking.
  • Skin problems. Pacerone tablets can cause your skin to be more sensitive to the sun or turn a bluish-gray color. People who have fair skin or people who have a lot of sun exposure may be more at risk for these skin problems. Some of the bluish-gray skin color may return to normal after stopping Pacerone tablets.
  • Thyroid problems. Pacerone tablets can cause you to have either decreased thyroid function (hypothyroidism), which can sometimes be severe, or an overactive thyroid (hyperthyroidism), which can be severe.
    • If you develop decreased thyroid function during treatment with Pacerone tablets, your healthcare provider may need to reduce your dose or stop your treatment with Pacerone tablets, and possibly prescribe medicine to replace your thyroid hormone.
    • An overactive thyroid can cause you to produce too much thyroid hormone. You can have abnormal heartbeats even while you are receiving Pacerone tablets. Your healthcare provider may prescribe certain medicines to treat your overactive thyroid. Call your healthcare provider if you get any abnormal heartbeats during treatment with Pacerone tablets. This may mean that you have an overactive thyroid.
    • Your healthcare provider should do tests to check your thyroid function before you start and during treatment with Pacerone tablets.
    • Call your healthcare provider if you develop any of the following symptoms of a thyroid problem during treatment with Pacerone tablets:
  • weakness
  • weight loss or weight gain
  • heat or cold intolerance
  • hair thinning
  • sweating
  • changes in your menstrual periods
  • swelling of your neck (goiter)
  • nervousness
  • irritability
  • restlessness
  • decreased concentration
  • feeling depressed (in the elderly)
  • tremor
The most common side effects of Pacerone tablets include:
  • lung problems
  • heartbeat problems
  • heart problems
  • liver problems
Pacerone tablets may affect fertility in males and females. It is not known if the effects are reversible. Talk to your healthcare provider if you have concerns about fertility.

These are not all the possible side effects of Pacerone tablets. For more information, ask your healthcare provider or pharmacist.

Call your doctor for medical advice about side effects. You may report side effects to FDA at 1-800-FDA-1088.
How should I store Pacerone tablets?
  • Store Pacerone tablets at room temperature between 20° to 25°C (68° to 77°F).
  • Keep Pacerone tablets in a tightly closed container and keep Pacerone tablets out of the light.
  • Pacerone comes in a child-resistant package.
Keep Pacerone tablets and all medicines out of the reach of children.
General information about the safe and effective use of Pacerone tablets

Medicines are sometimes prescribed for purposes other than those listed in a Medication Guide. Do not use Pacerone tablets for a condition for which it was not prescribed. Do not give Pacerone tablets to other people, even if they have the same symptoms that you have. It may harm them. You can ask your pharmacist or healthcare provider for information about Pacerone tablets that is written for health professionals.
What are the ingredients in Pacerone tablets?

Active Ingredient: amiodarone hydrochloride

Inactive Ingredients: lactose monohydrate, magnesium stearate, povidone, pregelatinized corn starch, sodium starch glycolate, stearic acid, FD&C Red No. 40 (200 mg) and FD&C Yellow No. 6 (100 mg and 200 mg).

For more information and the most current Medication Guide, please visit www.upsher-smith.com or call 1-888-650-3789.

This Medication Guide has been approved by the U.S. Food and Drug Administration.

Manufactured by

UPSHER-SMITH LABORATORIES, LLC

Maple Grove, MN 55369

Pacerone is a registered trademark of Upsher-Smith Laboratories, LLC.

Revised 5/2020

Section 51945-4 (51945-4)

Amiodarone Hydrochloride 100mg Tablets

10 Overdosage (10 OVERDOSAGE)

There have been cases, some fatal, of amiodarone hydrochloride overdose.

Monitor the patient's cardiac rhythm and blood pressure, and, if bradycardia ensues, a β-adrenergic agonist or a pacemaker may be used. Treat hypotension with inadequate tissue perfusion with positive inotropic and vasopressor agents. Neither Pacerone nor its metabolite is dialyzable.

11 Description (11 DESCRIPTION)

Pacerone (amiodarone hydrochloride tablets, USP) are an antiarrhythmic drug, available for oral administration as 100 mg; peach tablets, 200 mg; pink tablets and 400 mg; white tablets containing amiodarone hydrochloride, USP. All three strengths of Pacerone tablets contain the following inactive ingredients: lactose monohydrate, magnesium stearate, povidone, pregelatinized corn starch, sodium starch glycolate and stearic acid. The 200 mg tablets also contain FD&C Red No. 40 and FD&C Yellow No. 6. The 100 mg tablets also contain FD&C Yellow No. 6.

Amiodarone hydrochloride, USP is a benzofuran derivative: 2-butyl-3-benzofuranyl 4-[2-(diethylamino)-ethoxy]-3,5-diiodophenyl ketone hydrochloride.

The structural formula is as follows:

C25H29I2NO3 ∙ HCl                                              Molecular Weight: 681.8

C25H29I2NO3 ∙ HCl                                              Molecular Weight: 681.8

Amiodarone hydrochloride, USP is a white to cream-colored crystalline powder. It is slightly soluble in water, soluble in alcohol, and freely soluble in chloroform. It contains 37.3% iodine by weight.

Meets USP Dissolution Test 4.

5.7 Bradycardia

Pacerone causes symptomatic bradycardia or sinus arrest with suppression of escape foci in 2% to 4% of patients. The risk is increased by electrolytic disorders or use of concomitant antiarrhythmics or negative chronotropes [see Drug Interactions (7)]. Bradycardia may require a pacemaker for rate control.

Post-marketing cases of symptomatic bradycardia, some requiring pacemaker insertion and at least one fatal, have been reported when ledipasvir/sofosbuvir or sofosbuvir with simeprevir were initiated in patients on amiodarone. Bradycardia generally occurred within hours to days, but in some cases presented up to 2 weeks after initiating antiviral treatment. Bradycardia generally resolved after discontinuation of antiviral treatment. The mechanism for this effect is unknown. Monitor heart rate in patients taking or recently discontinuing amiodarone when starting antiviral treatment [see Drug Interactions (7)].

8.4 Pediatric Use

The safety and effectiveness of Pacerone in pediatric patients have not been established.

8.5 Geriatric Use

Normal subjects over 65 years of age show lower clearances and increased drug half-life than younger subjects [see Clinical Pharmacology (12.3)]. In general, dose selection for an elderly patient should be cautious, usually starting at the low end of the dosing range, reflecting the greater frequency of decreased hepatic, renal, or cardiac function, and of concomitant disease or other drug therapy.

5.3 Hepatic Injury

Asymptomatic elevations of hepatic enzyme levels are seen frequently, but Pacerone can cause life-threatening hepatic injury. Histology has resembled that of alcoholic hepatitis or cirrhosis. Obtain baseline and periodic liver transaminases. If transaminases exceed three times normal, or doubles in a patient with an elevated baseline, discontinue or reduce dose of Pacerone, obtain follow-up tests and treat appropriately.

5.9 Fetal Toxicity

Pacerone may cause fetal harm when administered to a pregnant woman. Fetal exposure may increase the potential for cardiac, thyroid, neurodevelopmental, neurological, and growth effects in neonate [see Use in Specific Populations (8.1)].

4 Contraindications (4 CONTRAINDICATIONS)
  • Cardiogenic shock.
  • Sick sinus syndrome, second- or third-degree atrioventricular block, bradycardia leading to syncope without a functioning pacemaker.
  • Known hypersensitivity to the drug or to any of its components, including iodine.
6 Adverse Reactions (6 ADVERSE REACTIONS)

The following serious adverse reactions are described in more detail in other sections of the prescribing information:

7 Drug Interactions (7 DRUG INTERACTIONS)

Because of amiodarone's long half-life, expect drug interactions to persist for weeks to months after discontinuation of amiodarone.

Drug interactions with amiodarone are described in Table 1 below.

Table 1: Amiodarone Drug Interactions
Concomitant Drug Class/Name Examples Clinical Comment
Pharmacodynamic Interactions
QT Prolonging Drugs class I and III antiarrhythmics, lithium, certain phenothiazines, tricyclic antidepressants, certain fluoroquinolone and macrolide antibiotics, azole antifungals, halogenated inhalation anesthetic agents Increased risk of Torsade de Pointes. Avoid concomitant use.
Negative Chronotropes digoxin, beta blockers, verapamil, diltiazem, clonidine, ivabradine Potentiates the electrophysiologic and hemodynamic effects of amiodarone, resulting in bradycardia, sinus arrest, and AV block. Monitor heart rate.
Pharmacokinetic Interactions
CYP450 Inhibitors grapefruit juice, certain fluoroquinolone and macrolide antibiotics, azole antifungals, cimetidine, certain protease inhibitors Increased exposure of amiodarone. Avoid concomitant use.
CYP450 Inducers St. John's Wort Reduced amiodarone serum levels.
Cyclosporine Increased plasma levels of cyclosporine have been reported resulting in elevated creatinine, despite reduction of cyclosporine dose. Monitor cyclosporine drug levels and renal function with concomitant use.
Cholestyramine Reduced amiodarone serum levels.
Antiarrhythmics quinidine, procainamide, flecainide Reserve concomitant use for patients who are unresponsive to a single agent. Antiarrhythmic metabolism inhibited by amiodarone. Initiate antiarrhythmic at a lower than usual dose and monitor patient carefully. Reduce dose levels of previously administered antiarrhythmic by 30% to 50% for several days after transitioning to oral amiodarone. Evaluate continued need for antiarrhythmic.
Digoxin Increased digoxin concentration. Reduce digoxin by half or discontinue. If continued, monitor for evidence of toxicity.
HMG-CoA Reductase Inhibitors simvastatin, lovastatin, atorvastatin Increased plasma concentration of HMG-CoA reductase inhibitor.

Limit the dose of lovastatin to 40 mg.

Limit the coadministered dose of simvastatin to 20 mg.

Lower starting dose of other CYP3A4 substrates may be required.
Warfarin Potentiates anticoagulant response and can result in serious or fatal bleeding. Coadministration increases prothrombin time by 100% after 3 to 4 days. Reduce warfarin dose by one-third to one-half and monitor prothrombin times.
Phenytoin Increased steady-state levels of phenytoin. Monitor phenytoin levels.
Hepatitis C Direct Acting Antiviral sofosbuvir Cases of symptomatic bradyarrhythmia requiring pacemaker insertion have been reported in patients on oral maintenance amiodarone who initiated therapy with sofosbuvir.
CYP3A Substrate lidocaine Sinus bradycardia has been reported with oral amiodarone in combination with lidocaine given for local anesthesia. Monitor heart rate. A lower starting dose of lidocaine may be required.
CYP3A Substrate fentanyl Fentanyl in combination with amiodarone may cause hypotension, bradycardia, and decreased cardiac output.
12.2 Pharmacodynamics

There is no well-established relationship between plasma concentration and effectiveness, but it does appear that concentrations much below 1 mg/L are often ineffective and that levels above 2.5 mg/L are generally not needed. Plasma-concentration measurements can be used to identify patients whose levels are unusually low, and who might benefit from a dose increase, or unusually high, and who might have dosage reduction in the hope of minimizing side effects.

Effects on abnormal rhythms are not seen before 2 to 3 days and usually require 1 to 3 weeks, even when a loading dose is used. There may be a continued increase in effect for longer periods still. There is evidence that the time to effect is shorter when a loading-dose regimen is used.

Consistent with the slow rate of elimination, antiarrhythmic effects persist for weeks or months after amiodarone hydrochloride is discontinued, but the time of recurrence is variable and unpredictable. In general, when the drug is resumed after recurrence of the arrhythmia, control is established relatively rapidly compared to the initial response, presumably because tissue stores were not wholly depleted.

5.2 Pulmonary Toxicity

Pacerone may cause a clinical syndrome of cough and progressive dyspnea accompanied by functional, radiographic, gallium-scan, and pathological data consistent with pulmonary toxicity. Pulmonary toxicity secondary to Pacerone may result from either indirect or direct toxicity as represented by hypersensitivity pneumonitis (including eosinophilic pneumonia) or interstitial/alveolar pneumonitis, respectively. Rates of pulmonary toxicity have been reported to be as high as 17% and is fatal in about 10% of cases. Obtain a baseline chest X-ray and pulmonary-function tests, including diffusion capacity, when Pacerone therapy is initiated. Repeat history, physical exam, and chest X-ray every 3 to 6 months or if symptoms occur. Consider alternative antiarrhythmic therapy if the patient experiences signs or symptoms of pulmonary toxicity. Prednisone 40 to 60 mg/day tapered over several weeks may be helpful in treating pulmonary toxicity.

1 Indications and Usage (1 INDICATIONS AND USAGE)

Pacerone is indicated for the treatment of documented, life-threatening recurrent ventricular fibrillation and life-threatening recurrent hemodynamically unstable tachycardia in adults who have not responded to adequate doses of other available antiarrhythmics or when alternative agents cannot be tolerated.

5.4 Worsened Arrhythmia

Pacerone can exacerbate the presenting arrhythmia in about 2% to 5% of patients or cause new ventricular fibrillation, incessant ventricular tachycardia, increased resistance to cardioversion, and polymorphic ventricular tachycardia associated with QTc prolongation (Torsade de Pointes [TdP]).

Correct hypokalemia, hypomagnesemia, and hypocalcemia before initiating treatment with amiodarone hydrochloride, as these disorders can exaggerate the degree of QTc prolongation and increase the potential for TdP. Give special attention to electrolyte and acid-base balance in patients experiencing severe or prolonged diarrhea or receiving drugs affecting electrolyte levels, such as diuretics, laxatives, systemic corticosteroids, or amphotericin B.

12.1 Mechanism of Action

Amiodarone is considered a class III antiarrhythmic drug, but it possesses electrophysiologic characteristics of all four Vaughan Williams classes. Like class I drugs, amiodarone blocks sodium channels at rapid pacing frequencies, and like class II drugs, amiodarone exerts a noncompetitive antisympathetic action. One of its main effects, with prolonged administration, is to lengthen the cardiac action potential, a class III effect. The negative chronotropic effect of amiodarone in nodal tissues is similar to the effect of class IV drugs. In addition to blocking sodium channels, amiodarone blocks myocardial potassium channels, which contributes to slowing of conduction and prolongation of refractoriness. The antisympathetic action and the block of calcium and potassium channels are responsible for the negative dromotropic effects on the sinus node and for the slowing of conduction and prolongation of refractoriness in the atrioventricular (AV) node. Its vasodilatory action can decrease cardiac workload and consequently myocardial oxygen consumption.

Pacerone prolongs the duration of the action potential of all cardiac fibers while causing minimal reduction of dV/dt (maximal upstroke velocity of the action potential). The refractory period is prolonged in all cardiac tissues. Amiodarone hydrochloride increases the cardiac refractory period without influencing resting membrane potential, except in automatic cells where the slope of the prepotential is reduced, generally reducing automaticity. These electrophysiologic effects are reflected in a decreased sinus rate of 15% to 20%, increased PR and QT intervals of about 10%, the development of U-waves, and changes in T-wave contour. These changes should not require discontinuation of Pacerone as they are evidence of its pharmacological action, although Pacerone can cause marked sinus bradycardia or sinus arrest and heart block [see Warnings and Precautions (5.4)].

5.6 Thyroid Abnormalities

Amiodarone hydrochloride inhibits peripheral conversion of thyroxine (T4) to triiodothyronine (T3) and may cause increased thyroxine levels, decreased T3 levels, and increased levels of inactive reverse T3 (rT3) in clinically euthyroid patients. Amiodarone hydrochloride can cause either hypothyroidism (reported in up to 10% of patients) or hyperthyroidism (occurring in about 2% of patients). Monitor thyroid function prior to treatment and periodically thereafter, particularly in elderly patients, and in any patient with a history of thyroid nodules, goiter, or other thyroid dysfunction.

Hyperthyroidism may induce arrhythmia breakthrough. If any new signs of arrhythmia appear, the possibility of hyperthyroidism should be considered. Antithyroid drugs, β-adrenergic blockers, temporary corticosteroid therapy may be necessary to treat the symptoms of hyperthyroidism. The action of antithyroid drugs may be delayed in amiodarone-induced thyrotoxicosis because of substantial quantities of preformed thyroid hormones stored in the gland. Radioactive iodine therapy is contraindicated because of the low radioiodine uptake associated with amiodarone-induced hyperthyroidism. Pacerone-induced hyperthyroidism may be followed by a transient period of hypothyroidism.

Hypothyroidism may be primary or subsequent to resolution of preceding amiodarone-induced hyperthyroidism. Severe hypothyroidism and myxedema coma, sometimes fatal, have been reported in association with amiodarone therapy. In some clinically hypothyroid amiodarone-treated patients, free thyroxine index values may be normal. Manage hypothyroidism by reducing the dose of or discontinuing Pacerone and thyroid hormone supplementation.

5 Warnings and Precautions (5 WARNINGS AND PRECAUTIONS)
  • Persistence of Adverse Effects: Adverse reactions and drug interaction can persist for several weeks following discontinuation. (5.1)
  • Impaired Vision: Corneal microdeposits (common; reversible), optic neuropathy/neuritis (rare; may lead to blindness). (5.5)
  • Thyroid Abnormalities: Hyperthyroidism or hypothyroidism. (5.6)
5.10 Peripheral Neuropathy

Chronic administration of Pacerone may lead to peripheral neuropathy, which may not resolve when Pacerone is discontinued.

2 Dosage and Administration (2 DOSAGE AND ADMINISTRATION)

Dosage must be individualized based on severity of arrhythmia and response. Use the lowest effective dose. Obtain baseline chest x-ray, pulmonary function tests, thyroid function tests, and liver aminotransferases. Correct hypokalemia, hypomagnesemia, and hypocalcemia before initiating treatment.

3 Dosage Forms and Strengths (3 DOSAGE FORMS AND STRENGTHS)

Pacerone tablets, 100 mg, are peach, round, flat-faced, uncoated tablets, debossed with "P" on one side, and "U-S" above "144" on the other side.

Pacerone tablets, 200 mg, are pink, round, flat-faced, scored, uncoated tablets, debossed with "P200" on the unscored side, and "U-S" above and "0147" below the score on the reverse side.

Pacerone tablets, 400 mg, are white to off-white, round, uncoated, scored tablets, debossed with "U-S' above and "1645' below the score on one side and "P400" on the unscored side.

6.2 Post Marketing Experience (6.2 Post-marketing Experience)

The following adverse reactions have been identified during post-approval use of amiodarone hydrochloride. Because these reactions are reported voluntarily from a population of uncertain size, it is not always possible to reliably estimate their frequency or establish a causal relationship to drug exposure.

Hematologic: hemolytic anemia, aplastic anemia, pancytopenia, neutropenia, thrombocytopenia, agranulocytosis, granuloma.

Immune: anaphylactic/anaphylactoid reaction (including shock), angioedema.

Neurologic: pseudotumor cerebri, parkinsonian symptoms such as akinesia and bradykinesia (sometimes reversible with discontinuation of therapy), demyelinating polyneuropathy.

Psychiatric: hallucination, confusional state, disorientation, delirium.

Cardiac: hypotension (sometimes fatal), sinus arrest.

Respiratory: eosinophilic pneumonia, acute respiratory distress syndrome in the post-operative setting, bronchospasm, bronchiolitis obliterans organizing pneumonia, pulmonary alveolar hemorrhage, pleural effusion, pleuritis.

Gastrointestinal: pancreatitis, acute pancreatitis.

Hepatic: hepatitis, cholestatic hepatitis, cirrhosis.

Skin and Subcutaneous Tissue Disorders: urticaria, toxic epidermal necrolysis (sometimes fatal), erythema multiforme, Stevens-Johnson syndrome, exfoliative dermatitis, bullous dermatitis, drug rash with eosinophilia and systemic symptoms (DRESS), eczema, pruritus, skin cancer, lupus-like syndrome.

Musculoskeletal: myopathy, muscle weakness, rhabdomyolysis.

Renal: renal impairment, renal insufficiency, acute renal failure.

Reproductive: epididymitis, impotence.

Body as a whole: fever, dry mouth.

Endocrine and metabolic: thyroid nodules/ thyroid cancer, syndrome of inappropriate antidiuretic hormone secretion (SIADH).

Vascular: vasculitis.

8 Use in Specific Populations (8 USE IN SPECIFIC POPULATIONS)
  • Pregnancy: May cause fetal harm. (8.1)
  • Lactation: Breastfeeding not recommended. (8.2)
6.1 Clinical Trials Experience

Because clinical trials are conducted under widely varying conditions, adverse reaction rates observed in the clinical trials of a drug cannot be directly compared to rates in the clinical trials of another drug and may not reflect the rates observed in practice.

At the usual maintenance dose (400 mg/day) and above, amiodarone hydrochloride causes adverse reactions in about three-fourths of all patients, resulting in discontinuation in 7% to 18%.

In surveys of almost 5,000 patients treated in open U.S. studies and in published reports of treatment with amiodarone hydrochloride, the adverse reactions most frequently requiring discontinuation of amiodarone hydrochloride included pulmonary infiltrates or fibrosis, paroxysmal ventricular tachycardia, congestive heart failure, and elevation of liver enzymes. Other symptoms causing discontinuations less often included visual disturbances, photosensitivity, blue skin discoloration, hyperthyroidism, and hypothyroidism.

The following side-effect rates are based on a retrospective study of 241 patients treated for 2 to 1,515 days (mean 441.3 days):

Thyroid

Common: Hypothyroidism, hyperthyroidism.

Cardiovascular

Common: Congestive heart failure, cardiac arrhythmias, SA node dysfunction.

Gastrointestinal

Very common: Nausea, vomiting.

Common: Constipation, anorexia, abdominal pain.

Dermatologic

Common: Solar dermatitis/photosensitivity.

Neurologic

Common: Malaise and fatigue, tremor/abnormal involuntary movements, lack of coordination, abnormal gait/ataxia, dizziness, paresthesias, decreased libido, insomnia, headache, sleep disturbances.

Ophthalmic

Common: Visual disturbances.

Hepatic

Common: Abnormal liver-function tests, nonspecific hepatic disorders.

Respiratory

Common: Pulmonary inflammation or fibrosis.

Other

Common: Flushing, abnormal taste and smell, edema, abnormal salivation, coagulation abnormalities.

Uncommon: Blue skin discoloration, rash, spontaneous ecchymosis, alopecia, hypotension, and cardiac conduction abnormalities.

5.8 Implantable Cardiac Devices

In patients with implanted defibrillators or pacemakers, chronic administration of antiarrhythmic drugs may affect pacing or defibrillation thresholds. Therefore, at the inception of and during amiodarone treatment, pacing and defibrillation thresholds should be assessed.

17 Patient Counseling Information (17 PATIENT COUNSELING INFORMATION)

Advise the patient to read the FDA-approved patient labeling (Medication Guide).

Advise pregnant women of the potential risk to a fetus. Advise females of reproductive potential to inform their prescriber of a known or suspected pregnancy [see Use in Specific Populations (8.1)].

Advise women that breastfeeding is not recommended during treatment with Pacerone [see Use in Specific Populations (8.2)].

Advise patients to avoid grapefruit juice and St. John's Wort.

Advise patients to seek medical attention if they experience the signs and symptoms of pulmonary toxicity, worsening arrhythmia, bradycardia, visual impairment, or hypo- and hyperthyroidism.

This product's label may have been updated. For full prescribing information, please visit www.upsher-smith.com.

5.1 Persistence of Adverse Effects

Because of the long half-life of amiodarone (15 to 142 days) and its active metabolite desethylamiodarone (14 to 75 days), adverse reactions and drug interactions can persist for several weeks following amiodarone discontinuation [see Clinical Pharmacology (12.3)].

16 How Supplied/storage and Handling (16 HOW SUPPLIED/STORAGE AND HANDLING)

Pacerone® (amiodarone hydrochloride tablets, USP) 100 mg are peach, round, flat-faced, uncoated tablets, debossed with "P" on one side, and "U-S" above "144" on the other side. They are supplied as follows:

  • Bottles of 30 with child-resistant closure, NDC 72162-2148-3

Keep tightly closed.

Store at 20° to 25°C (68° to 77°F); excursions permitted to 15° to 30°C (59° to 86°F) [See USP Controlled Room Temperature]. Protect from light.

Dispense in a tight, light-resistant container with a child-resistant closure.

Repackaged/Relabeled by:

Bryant Ranch Prepack, Inc.

Burbank, CA 91504

5.11 Photosensitivity and Skin Discoloration

Pacerone induces photosensitization in about 10% of patients; some protection may be afforded sun-barrier creams or protective clothing. During long-term treatment, a blue-gray discoloration of the exposed skin may occur. The risk may be increased in patients of fair complexion or those with excessive sun exposure. Some reversal of discoloration may occur upon drug discontinuation.

Warning: Pulmonary, Hepatic and Cardiac Toxicity (WARNING: PULMONARY, HEPATIC and CARDIAC TOXICITY)

Pacerone is intended for use only in patients with the indicated life-threatening arrhythmias because its use is accompanied by substantial toxicity [see Indications and Usage (1)].

Pacerone can cause pulmonary toxicity (hypersensitivity pneumonitis or interstitial/alveolar pneumonitis) that has resulted in clinically manifest disease at rates as high as 17% in some series of patients. Pulmonary toxicity has been fatal about 10% of the time. Obtain a baseline chest X-ray and pulmonary-function tests, including diffusion capacity, when Pacerone therapy is initiated. Repeat history, physical exam, and chest X-ray every 3 to 6 months [see Warnings and Precautions 5.2)].

Pacerone can cause hepatoxicity, which can be fatal. Obtain baseline and periodic liver transaminases and discontinue or reduce dose if the increase exceeds three times normal, or doubles in a patient with an elevated baseline. Discontinue Pacerone if the patient experiences signs or symptoms of clinical liver injury [see Warnings and Precautions (5.3)].

Pacerone can exacerbate arrhythmias. Initiate amiodarone hydrochloride in a clinical setting where continuous electrocardiograms and cardiac resuscitation are available [see Warnings and Precautions (5.4)].

13.1 Carcinogenesis, Mutagenesis, Impairment of Fertility

Amiodarone hydrochloride was associated with a statistically significant, dose-related increase in the incidence of thyroid tumors (follicular adenoma and/or carcinoma) in rats. The incidence of thyroid tumors was greater than control at the lowest dose level tested, i.e., 5 mg/kg/day (approximately 0.08 times the maximum recommended human maintenance dose

600 mg in a 60 kg patient (dose compared on a body surface area basis)
).

Mutagenicity studies (Ames, micronucleus, and lysogenic tests) with amiodarone hydrochloride were negative.

In a study in which amiodarone hydrochloride was administered to male and female rats, beginning 9 weeks prior to mating, reduced fertility was observed at a dose level of 90 mg/kg/day (approximately 1.4 times the maximum recommended human maintenance dose

).


Advanced Ingredient Data


Raw Label Data

All Sections (JSON)