These Highlights Do Not Include All The Information Needed To Use Benicar Safely And Effectively. See Full Prescribing Information For Benicar.

These Highlights Do Not Include All The Information Needed To Use Benicar Safely And Effectively. See Full Prescribing Information For Benicar.
SPL v1
SPL
SPL Set ID dc3f1fd4-5578-4c5d-be7b-12e3f8f3e7df
Route
ORAL
Published
Effective Date 2024-12-08
Document Type 34391-3 HUMAN PRESCRIPTION DRUG LABEL

Drug Facts

Composition & Product

Active Ingredients
Olmesartan (5 mg)
Inactive Ingredients
Hydroxypropyl Cellulose (1600000 Wamw) Hypromellose, Unspecified Lactose Monohydrate Low-substituted Hydroxypropyl Cellulose, Unspecified Magnesium Stearate Microcrystalline Cellulose Talc Titanium Dioxide Ferric Oxide Yellow

Identifiers & Packaging

Pill Appearance
Imprint: C15 Shape: round Shape: oval Color: yellow Color: white Size: 7 mm Size: 9 mm Size: 15 mm Score: 1
Marketing Status
NDA Active Since 2025-08-01

Description

When pregnancy is detected, discontinue Benicar as soon as possible ( 5.1 , 8.1 ). Drugs that act directly on the renin-angiotensin system can cause injury and death to the developing fetus ( 5.1 , 8.1 ).

Indications and Usage

Benicar is indicated for the treatment of hypertension in adults and children six years of age and older, to lower blood pressure. Lowering blood pressure reduces the risk of fatal and nonfatal cardiovascular events, primarily strokes and myocardial infarctions. These benefits have been seen in controlled trials of antihypertensive drugs from a wide variety of pharmacologic classes including the class to which this drug principally belongs. There are no controlled trials demonstrating risk reduction with Benicar. Control of high blood pressure should be part of comprehensive cardiovascular risk management, including, as appropriate, lipid control, diabetes management, antithrombotic therapy, smoking cessation, exercise, and limited sodium intake. Many patients will require more than one drug to achieve blood pressure goals. For specific advice on goals and management, see published guidelines, such as those of the National High Blood Pressure Education Program's Joint National Committee on Prevention, Detection, Evaluation, and Treatment of High Blood Pressure (JNC). Numerous antihypertensive drugs, from a variety of pharmacologic classes and with different mechanisms of action, have been shown in randomized controlled trials to reduce cardiovascular morbidity and mortality, and it can be concluded that it is blood pressure reduction, and not some other pharmacologic property of the drugs, that is largely responsible for those benefits. The largest and most consistent cardiovascular outcome benefit has been a reduction in the risk of stroke, but reductions in myocardial infarction and cardiovascular mortality also have been seen regularly. Elevated systolic or diastolic pressure causes increased cardiovascular risk, and the absolute risk increase per mmHg is greater at higher blood pressures, so that even modest reductions of severe hypertension can provide substantial benefit. Relative risk reduction from blood pressure reduction is similar across populations with varying absolute risk, so the absolute benefit is greater in patients who are at higher risk independent of their hypertension (for example, patients with diabetes or hyperlipidemia), and such patients would be expected to benefit from more aggressive treatment to a lower blood pressure goal. Some antihypertensive drugs have smaller blood pressure effects (as monotherapy) in black patients, and many antihypertensive drugs have additional approved indications and effects (e.g., on angina, heart failure, or diabetic kidney disease). These considerations may guide selection of therapy. It may be used alone or in combination with other antihypertensive agents.

Dosage and Administration

Indication Starting Dose Dose Range Adult Hypertension ( 2.1 ) 20 mg once daily 20 - 40 mg once daily Pediatric Hypertension (6 years of age and older) ( 2.2 ) 20 to <35 kg 20 to <35 kg 10 mg once daily 10 - 20 mg once daily ≥ 35 kg ≥ 35 kg 20 mg once daily 20 - 40 mg once daily

Warnings and Precautions

Avoid fetal (in utero) exposure ( 5.1 ). Use of Benicar in children <1 year of age is not recommended ( 5.2 ). Observe for signs and symptoms of hypotension in volume- or salt-depleted patients with treatment initiation ( 5.3 ). Monitor for worsening renal function in patients with renal impairment ( 5.4 ). Sprue-like enteropathy has been reported. Consider alternative antihypertensive therapy in cases where no other etiology is found ( 5.5 ).

Contraindications

Do not co-administer aliskiren with Benicar in patients with diabetes [see Drug Interactions (7.3) ].

Adverse Reactions

The most common adverse reaction in adults was dizziness (3%) ( 6.1 ). To report SUSPECTED ADVERSE REACTIONS, contact Cosette Pharmaceuticals, Inc. at 1-800-922-1038 or FDA at 1-800-FDA-1088 or www.fda.gov/medwatch.

Drug Interactions

Agents increasing potassium levels may lead to increase in serum potassium ( 7.1 ). NSAID use may lead to increased risk of renal impairment and loss of antihypertensive effect ( 7.2 ). Dual inhibition of the renin-angiotensin system: Increased risk of renal impairment, hypotension, and hyperkalemia ( 7.3 ). Lithium: Increases in serum lithium concentrations and lithium toxicity ( 7.4 ). Colesevelam hydrochloride: Consider administering olmesartan at least 4 hours before colesevelam hydrochloride dose ( 7.5 ).

Storage and Handling

Benicar is supplied as yellow, round, film-coated, non-scored tablets containing 5 mg of olmesartan medoxomil, as white, round, film-coated, non-scored tablets containing 20 mg of olmesartan medoxomil, and as white, oval-shaped, film-coated, non-scored tablets containing 40 mg of olmesartan medoxomil. Tablets are debossed with C12, C14, or C15 on one side and plain on the other side of the 5, 20, and 40 mg tablets, respectively. Tablets are supplied as follows: 5 mg 20 mg 40 mg Bottle of 30 NDC 0713-0940-30 NDC 0713-0941-30 NDC 0713-0942-30 Bottle of 90 Not available Not available Not available Blister 10 cards × 10 Not available Not available Not available Blister 1 card × 30 Not available Not available Not available Carton of 6 cards × 30 Not available Not available Not available

How Supplied

Benicar is supplied as yellow, round, film-coated, non-scored tablets containing 5 mg of olmesartan medoxomil, as white, round, film-coated, non-scored tablets containing 20 mg of olmesartan medoxomil, and as white, oval-shaped, film-coated, non-scored tablets containing 40 mg of olmesartan medoxomil. Tablets are debossed with C12, C14, or C15 on one side and plain on the other side of the 5, 20, and 40 mg tablets, respectively. Tablets are supplied as follows: 5 mg 20 mg 40 mg Bottle of 30 NDC 0713-0940-30 NDC 0713-0941-30 NDC 0713-0942-30 Bottle of 90 Not available Not available Not available Blister 10 cards × 10 Not available Not available Not available Blister 1 card × 30 Not available Not available Not available Carton of 6 cards × 30 Not available Not available Not available


Medication Information

Warnings and Precautions

Avoid fetal (in utero) exposure ( 5.1 ). Use of Benicar in children <1 year of age is not recommended ( 5.2 ). Observe for signs and symptoms of hypotension in volume- or salt-depleted patients with treatment initiation ( 5.3 ). Monitor for worsening renal function in patients with renal impairment ( 5.4 ). Sprue-like enteropathy has been reported. Consider alternative antihypertensive therapy in cases where no other etiology is found ( 5.5 ).

Indications and Usage

Benicar is indicated for the treatment of hypertension in adults and children six years of age and older, to lower blood pressure. Lowering blood pressure reduces the risk of fatal and nonfatal cardiovascular events, primarily strokes and myocardial infarctions. These benefits have been seen in controlled trials of antihypertensive drugs from a wide variety of pharmacologic classes including the class to which this drug principally belongs. There are no controlled trials demonstrating risk reduction with Benicar. Control of high blood pressure should be part of comprehensive cardiovascular risk management, including, as appropriate, lipid control, diabetes management, antithrombotic therapy, smoking cessation, exercise, and limited sodium intake. Many patients will require more than one drug to achieve blood pressure goals. For specific advice on goals and management, see published guidelines, such as those of the National High Blood Pressure Education Program's Joint National Committee on Prevention, Detection, Evaluation, and Treatment of High Blood Pressure (JNC). Numerous antihypertensive drugs, from a variety of pharmacologic classes and with different mechanisms of action, have been shown in randomized controlled trials to reduce cardiovascular morbidity and mortality, and it can be concluded that it is blood pressure reduction, and not some other pharmacologic property of the drugs, that is largely responsible for those benefits. The largest and most consistent cardiovascular outcome benefit has been a reduction in the risk of stroke, but reductions in myocardial infarction and cardiovascular mortality also have been seen regularly. Elevated systolic or diastolic pressure causes increased cardiovascular risk, and the absolute risk increase per mmHg is greater at higher blood pressures, so that even modest reductions of severe hypertension can provide substantial benefit. Relative risk reduction from blood pressure reduction is similar across populations with varying absolute risk, so the absolute benefit is greater in patients who are at higher risk independent of their hypertension (for example, patients with diabetes or hyperlipidemia), and such patients would be expected to benefit from more aggressive treatment to a lower blood pressure goal. Some antihypertensive drugs have smaller blood pressure effects (as monotherapy) in black patients, and many antihypertensive drugs have additional approved indications and effects (e.g., on angina, heart failure, or diabetic kidney disease). These considerations may guide selection of therapy. It may be used alone or in combination with other antihypertensive agents.

Dosage and Administration

Indication Starting Dose Dose Range Adult Hypertension ( 2.1 ) 20 mg once daily 20 - 40 mg once daily Pediatric Hypertension (6 years of age and older) ( 2.2 ) 20 to <35 kg 20 to <35 kg 10 mg once daily 10 - 20 mg once daily ≥ 35 kg ≥ 35 kg 20 mg once daily 20 - 40 mg once daily

Contraindications

Do not co-administer aliskiren with Benicar in patients with diabetes [see Drug Interactions (7.3) ].

Adverse Reactions

The most common adverse reaction in adults was dizziness (3%) ( 6.1 ). To report SUSPECTED ADVERSE REACTIONS, contact Cosette Pharmaceuticals, Inc. at 1-800-922-1038 or FDA at 1-800-FDA-1088 or www.fda.gov/medwatch.

Drug Interactions

Agents increasing potassium levels may lead to increase in serum potassium ( 7.1 ). NSAID use may lead to increased risk of renal impairment and loss of antihypertensive effect ( 7.2 ). Dual inhibition of the renin-angiotensin system: Increased risk of renal impairment, hypotension, and hyperkalemia ( 7.3 ). Lithium: Increases in serum lithium concentrations and lithium toxicity ( 7.4 ). Colesevelam hydrochloride: Consider administering olmesartan at least 4 hours before colesevelam hydrochloride dose ( 7.5 ).

Storage and Handling

Benicar is supplied as yellow, round, film-coated, non-scored tablets containing 5 mg of olmesartan medoxomil, as white, round, film-coated, non-scored tablets containing 20 mg of olmesartan medoxomil, and as white, oval-shaped, film-coated, non-scored tablets containing 40 mg of olmesartan medoxomil. Tablets are debossed with C12, C14, or C15 on one side and plain on the other side of the 5, 20, and 40 mg tablets, respectively. Tablets are supplied as follows: 5 mg 20 mg 40 mg Bottle of 30 NDC 0713-0940-30 NDC 0713-0941-30 NDC 0713-0942-30 Bottle of 90 Not available Not available Not available Blister 10 cards × 10 Not available Not available Not available Blister 1 card × 30 Not available Not available Not available Carton of 6 cards × 30 Not available Not available Not available

How Supplied

Benicar is supplied as yellow, round, film-coated, non-scored tablets containing 5 mg of olmesartan medoxomil, as white, round, film-coated, non-scored tablets containing 20 mg of olmesartan medoxomil, and as white, oval-shaped, film-coated, non-scored tablets containing 40 mg of olmesartan medoxomil. Tablets are debossed with C12, C14, or C15 on one side and plain on the other side of the 5, 20, and 40 mg tablets, respectively. Tablets are supplied as follows: 5 mg 20 mg 40 mg Bottle of 30 NDC 0713-0940-30 NDC 0713-0941-30 NDC 0713-0942-30 Bottle of 90 Not available Not available Not available Blister 10 cards × 10 Not available Not available Not available Blister 1 card × 30 Not available Not available Not available Carton of 6 cards × 30 Not available Not available Not available

Description

When pregnancy is detected, discontinue Benicar as soon as possible ( 5.1 , 8.1 ). Drugs that act directly on the renin-angiotensin system can cause injury and death to the developing fetus ( 5.1 , 8.1 ).

Section 42229-5

Preparation of Suspension (for 200 mL of a 2 mg/mL suspension)

Add 50 mL of Purified Water to an amber polyethylene terephthalate (PET) bottle containing twenty Benicar 20 mg tablets and allow to stand for a minimum of 5 minutes. Shake the container for at least 1 minute and allow the suspension to stand for at least 1 minute. Repeat 1-minute shaking and 1-minute standing for four additional times. Add 100 mL of ORA-Sweet ® and 50 mL of ORA-Plus ®* to the suspension and shake well for at least 1 minute. The suspension should be refrigerated at 2-8°C (36-46°F) and can be stored for up to 4 weeks. Shake the suspension well before each use and return promptly to the refrigerator.

   * ORA-Sweet ®and ORA-Plus ®are registered trademarks of Paddock Laboratories, Inc.

Section 44425-7

Storage

Store at 20-25°C (68-77°F) [see USP Controlled Room Temperature].

7.4 Lithium

Increases in serum lithium concentrations and lithium toxicity have been reported during concomitant administration of lithium with angiotensin II receptor antagonists, including BENICAR. Monitor serum lithium levels during concomitant use.

10 Overdosage

Limited data are available related to overdosage in humans. The most likely manifestations of overdosage would be hypotension and tachycardia; bradycardia could be encountered if parasympathetic (vagal) stimulation occurs. If symptomatic hypotension occurs, initiate supportive treatment. The dialyzability of olmesartan is unknown.

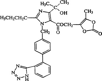
11 Description

Olmesartan medoxomil, a prodrug, is hydrolyzed to olmesartan during absorption from the gastrointestinal tract. Olmesartan is a selective AT subtype angiotensin II receptor antagonist.

Olmesartan medoxomil is described chemically as 2,3-dihydroxy-2-butenyl 4-(1-hydroxy-1-methylethyl)-2-propyl-1-[ p-( o-1 H-tetrazol-5-ylphenyl)benzyl]imidazole-5-carboxylate, cyclic 2,3-carbonate.

Its empirical formula is C 29H 30N 6O and its structural formula is:

Olmesartan medoxomil is a white to light yellowish-white powder or crystalline powder with a molecular weight of 558.59. It is practically insoluble in water and sparingly soluble in methanol. Benicar is available for oral use as film-coated tablets containing 5 mg, 20 mg, or 40 mg of olmesartan medoxomil and the following inactive ingredients: hydroxypropyl cellulose, hypromellose, lactose monohydrate, low-substituted hydroxypropyl cellulose, magnesium stearate, microcrystalline cellulose, talc, titanium dioxide, and (5 mg only) yellow iron oxide.

5.6 Hyperkalemia

Serum potassium should be monitored in patients receiving Benicar. Drugs that inhibit the renin angiotensin system can cause hyperkalemia. Risk factors for the development of hyperkalemia include renal insufficiency, diabetes mellitus, and the concomitant use of potassium-sparing diuretics, potassium supplements and/or potassium-containing salt substitutes [see Drug Interactions (7.3)] .

8.4 Pediatric Use

The antihypertensive effects of Benicar were evaluated in one randomized, double-blind clinical study in pediatric patients 1 to 16 years of age [see Clinical Studies (14.2)] . The pharmacokinetics of Benicar were evaluated in pediatric patients 1 to 16 years of age [see Clinical Pharmacology (12.3)] . Benicar was generally well tolerated in pediatric patients, and the adverse experience profile was similar to that described for adults.

Benicar has not been shown to be effective for hypertension in children <6 years of age.

Use of Benicar in children <1 year of age is not recommended [see Warnings and Precautions (5.2)] . The renin-angiotensin-aldosterone system (RAAS) plays a critical role in kidney development. RAAS blockade has been shown to lead to abnormal kidney development in very young mice. Administering drugs that act directly on the renin- angiotensin aldosterone system (RAAS) can alter normal renal development.

8.5 Geriatric Use

Of the total number of hypertensive patients receiving Benicar in clinical studies, more than 20% were 65 years of age and over, while more than 5% were 75 years of age and older. No overall differences in effectiveness or safety were observed between elderly patients and younger patients. Other reported clinical experience has not identified differences in responses between the elderly and younger patients, but greater sensitivity of some older individuals cannot be ruled out [see Clinical Pharmacology (12.3)] .

5.1 Fetal Toxicity

Benicar can cause fetal harm when administered to a pregnant woman. Use of drugs that act on the renin-angiotensin system (RAS) during the second and third trimesters of pregnancy reduces fetal renal function and increases fetal and neonatal morbidity and death. Resulting oligohydramnios can be associated with fetal lung hypoplasia and skeletal deformations. Potential neonatal adverse effects include skull hypoplasia, anuria, hypotension, renal failure, and death. When pregnancy is detected, discontinue Benicar as soon as possible [see Use in Specific Populations (8.1)].

8.8 Black Patients

The antihypertensive effect of Benicar was smaller in black patients (usually a low-renin population), as has been seen with ACE inhibitors, beta-blockers and other angiotensin receptor blockers.

4 Contraindications

Do not co-administer aliskiren with Benicar in patients with diabetes [see Drug Interactions (7.3)].

6 Adverse Reactions

The most common adverse reaction in adults was dizziness (3%) ( 6.1).

To report SUSPECTED ADVERSE REACTIONS, contact Cosette Pharmaceuticals, Inc. at 1-800-922-1038 or FDA at 1-800-FDA-1088 or www.fda.gov/medwatch.

7 Drug Interactions
  • Agents increasing potassium levels may lead to increase in serum potassium ( 7.1).
  • NSAID use may lead to increased risk of renal impairment and loss of antihypertensive effect ( 7.2).
  • Dual inhibition of the renin-angiotensin system: Increased risk of renal impairment, hypotension, and hyperkalemia ( 7.3).
  • Lithium: Increases in serum lithium concentrations and lithium toxicity ( 7.4).
  • Colesevelam hydrochloride: Consider administering olmesartan at least 4 hours before colesevelam hydrochloride dose ( 7.5).
8.7 Renal Impairment

Patients with renal insufficiency have elevated serum concentrations of olmesartan compared to subjects with normal renal function. After repeated dosing, the AUC was approximately tripled in patients with severe renal impairment (creatinine clearance <20 mL/min). No initial dosage adjustment is recommended for patients with moderate to marked renal impairment (creatinine clearance <40 mL/min) [see Dosage and Administration (2.1), Warnings and Precautions (5.4) and Clinical Pharmacology (12.3)] .

12.2 Pharmacodynamics

Benicar doses of 2.5 mg to 40 mg inhibit the pressor effects of angiotensin I infusion. The duration of the inhibitory effect was related to dose, with doses of Benicar >40 mg giving >90% inhibition at 24 hours.

Plasma concentrations of angiotensin I and angiotensin II and plasma renin activity (PRA) increase after single and repeated administration of Benicar to healthy subjects and hypertensive patients. Repeated administration of up to 80 mg Benicar had minimal influence on aldosterone levels and no effect on serum potassium.

2.1 Adult Hypertension

Dosage must be individualized. The usual recommended starting dose of Benicar is 20 mg once daily when used as monotherapy in patients who are not volume-contracted. For patients requiring further reduction in blood pressure after 2 weeks of therapy, the dose of Benicar may be increased to 40 mg. Doses above 40 mg do not appear to have greater effect. Twice-daily dosing offers no advantage over the same total dose given once daily.

For patients with possible depletion of intravascular volume (e.g., patients treated with diuretics, particularly those with impaired renal function), initiate Benicar under close medical supervision and give consideration to use of a lower starting dose [see Warnings and Precautions (5.3)] .

8.6 Hepatic Impairment

Increases in AUC 0-∞ and C max were observed in patients with moderate hepatic impairment compared to those in matched controls, with an increase in AUC of about 60%. No initial dosage adjustment is recommended for patients with moderate to marked hepatic dysfunction [see Clinical Pharmacology (12.3)] .

1 Indications and Usage

Benicar is indicated for the treatment of hypertension in adults and children six years of age and older, to lower blood pressure. Lowering blood pressure reduces the risk of fatal and nonfatal cardiovascular events, primarily strokes and myocardial infarctions. These benefits have been seen in controlled trials of antihypertensive drugs from a wide variety of pharmacologic classes including the class to which this drug principally belongs. There are no controlled trials demonstrating risk reduction with Benicar.

Control of high blood pressure should be part of comprehensive cardiovascular risk management, including, as appropriate, lipid control, diabetes management, antithrombotic therapy, smoking cessation, exercise, and limited sodium intake. Many patients will require more than one drug to achieve blood pressure goals. For specific advice on goals and management, see published guidelines, such as those of the National High Blood Pressure Education Program's Joint National Committee on Prevention, Detection, Evaluation, and Treatment of High Blood Pressure (JNC).

Numerous antihypertensive drugs, from a variety of pharmacologic classes and with different mechanisms of action, have been shown in randomized controlled trials to reduce cardiovascular morbidity and mortality, and it can be concluded that it is blood pressure reduction, and not some other pharmacologic property of the drugs, that is largely responsible for those benefits. The largest and most consistent cardiovascular outcome benefit has been a reduction in the risk of stroke, but reductions in myocardial infarction and cardiovascular mortality also have been seen regularly.

Elevated systolic or diastolic pressure causes increased cardiovascular risk, and the absolute risk increase per mmHg is greater at higher blood pressures, so that even modest reductions of severe hypertension can provide substantial benefit. Relative risk reduction from blood pressure reduction is similar across populations with varying absolute risk, so the absolute benefit is greater in patients who are at higher risk independent of their hypertension (for example, patients with diabetes or hyperlipidemia), and such patients would be expected to benefit from more aggressive treatment to a lower blood pressure goal.

Some antihypertensive drugs have smaller blood pressure effects (as monotherapy) in black patients, and many antihypertensive drugs have additional approved indications and effects (e.g., on angina, heart failure, or diabetic kidney disease). These considerations may guide selection of therapy.

It may be used alone or in combination with other antihypertensive agents.

14.1 Adult Hypertension

The antihypertensive effects of Benicar have been demonstrated in seven placebo-controlled studies at doses ranging from 2.5 mg to 80 mg for 6 to 12 weeks, each showing statistically significant reductions in peak and trough blood pressure. A total of 2693 patients (2145 Benicar; 548 placebo) with essential hypertension were studied. Benicar once daily lowered diastolic and systolic blood pressure. The response was dose related, as shown in the following graph. A Benicar dose of 20 mg daily produces a trough sitting blood pressure (BP) reduction over placebo of about 10/6 mmHg and a dose of 40 mg daily produces a trough sitting BP reduction over placebo of about 12/7 mmHg. Benicar doses greater than 40 mg had little additional effect. The onset of the antihypertensive effect occurred within 1 week and was largely manifest after 2 weeks.

Data above are from seven placebo-controlled studies (2145 Benicar patients, 548 placebo patients). The blood pressure lowering effect was maintained throughout the 24-hour period with Benicar once daily, with trough-to-peak ratios for systolic and diastolic response between 60 and 80%.

The blood pressure lowering effect of Benicar, with and without hydrochlorothiazide, was maintained in patients treated for up to 1 year. There was no evidence of tachyphylaxis during long-term treatment with Benicar or rebound effect following abrupt withdrawal of olmesartan medoxomil after 1 year of treatment.

The antihypertensive effect of Benicar was similar in men and women and in patients older and younger than 65 years. The effect was smaller in black patients (usually a low-renin population), as has been seen with ACE inhibitors, beta-blockers and other angiotensin receptor blockers. Benicar had an additional blood pressure lowering effect when added to hydrochlorothiazide.

There are no trials of Benicar demonstrating reductions in cardiovascular risk in patients with hypertension, but at least one pharmacologically similar drug has demonstrated such benefits.

Principal Display Panel

NDC 0713-0940-30

TABLETS

Benicar

(olmesartan medoxomil)

5 mg

30 TABLETS

Rx only

Warning: Fetal Toxicity
  • When pregnancy is detected, discontinue Benicar as soon as possible ( 5.1, 8.1).
  • Drugs that act directly on the renin-angiotensin system can cause injury and death to the developing fetus ( 5.1, 8.1).
12.1 Mechanism of Action

Angiotensin II is formed from angiotensin I in a reaction catalyzed by angiotensin converting enzyme (ACE, kininase II). Angiotensin II is the principal pressor agent of the renin-angiotensin system, with effects that include vasoconstriction, stimulation of synthesis and release of aldosterone, cardiac stimulation and renal reabsorption of sodium. Olmesartan blocks the vasoconstrictor effects of angiotensin II by selectively blocking the binding of angiotensin II to the AT receptor in vascular smooth muscle. Its action is, therefore, independent of the pathways for angiotensin II synthesis.

An AT receptor is found also in many tissues, but this receptor is not known to be associated with cardiovascular homeostasis. Olmesartan has more than a 12,500-fold greater affinity for the AT receptor than for the AT receptor.

Blockade of the renin-angiotensin system with ACE inhibitors, which inhibit the biosynthesis of angiotensin II from angiotensin I, is a mechanism of many drugs used to treat hypertension. ACE inhibitors also inhibit the degradation of bradykinin, a reaction also catalyzed by ACE. Because olmesartan medoxomil does not inhibit ACE (kininase II), it does not affect the response to bradykinin. Whether this difference has clinical relevance is not yet known.

Blockade of the angiotensin II receptor inhibits the negative regulatory feedback of angiotensin II on renin secretion, but the resulting increased plasma renin activity and circulating angiotensin II levels do not overcome the effect of olmesartan on blood pressure.

5.2 Morbidity in Infants

Use of Benicar in children <1 year of age is not recommended. Drugs that act directly on the renin-angiotensin-aldosterone system (RAAS) can have effects on the development of immature kidneys [see Use in Specific Populations (8.4)].

5 Warnings and Precautions
  • Avoid fetal (in utero) exposure ( 5.1).
  • Use of Benicar in children <1 year of age is not recommended ( 5.2).
  • Observe for signs and symptoms of hypotension in volume- or salt-depleted patients with treatment initiation ( 5.3).
  • Monitor for worsening renal function in patients with renal impairment ( 5.4).
  • Sprue-like enteropathy has been reported. Consider alternative antihypertensive therapy in cases where no other etiology is found ( 5.5).
5.5 Sprue Like Enteropathy

Severe, chronic diarrhea with substantial weight loss has been reported in patients taking olmesartan months to years after drug initiation. Intestinal biopsies of patients often demonstrated villous atrophy. If a patient develops these symptoms during treatment with olmesartan, exclude other etiologies. Consider alternative antihypertensive therapy in cases where no other etiology is identified.

14.2 Pediatric Hypertension

The antihypertensive effects of Benicar in the pediatric population were evaluated in a randomized, double-blind study involving 302 hypertensive patients aged 6 to 16 years. The study population consisted of an all-black cohort of 112 patients and a mixed racial cohort of 190 patients, including 38 black patients. The etiology of the hypertension was predominantly essential hypertension (87% of the black cohort and 67% of the mixed cohort). Patients who weighed 20 to <35 kg were randomized to 2.5 or 20 mg of Benicar once daily and patients who weighed ≥35 kg were randomized to 5 or 40 mg of Benicar once daily. At the end of 3 weeks, patients were re-randomized to continuing Benicar or to taking placebo for up to 2 weeks. During the initial dose-response phase, Benicar significantly reduced both systolic and diastolic blood pressure in a weight-adjusted, dose-dependent manner. Overall, the two dose levels of Benicar (low and high) significantly reduced systolic blood pressure by 6.6 and 11.9 mmHg from the baseline, respectively. These reductions in systolic blood pressure included both drug and placebo effect. During the randomized withdrawal to placebo phase, mean systolic blood pressure at trough was 3.2 mmHg lower and mean diastolic blood pressure at trough was 2.8 mmHg lower in patients continuing Benicar than in patients withdrawn to placebo. These differences were statistically different. As observed in adult populations, the blood pressure reductions were smaller in black patients.

In the same study, 59 patients aged 1 to 5 years who weighed ≥5 kg received 0.3 mg/kg of Benicar once daily for three weeks in an open-label phase and then were randomized to receiving Benicar or placebo in a double-blind phase. At the end of the second week of withdrawal, the mean systolic/diastolic blood pressure at trough was 3/3 mmHg lower in the group randomized to Benicar; this difference in blood pressure was not statistically significant (95% C.I. -2 to 7/-1 to 7).

2 Dosage and Administration
Indication Starting Dose Dose Range
Adult Hypertension ( 2.1) 20 mg once daily 20 - 40 mg once daily
Pediatric Hypertension (6 years of age and older) ( 2.2) 20 to <35 kg 20 to <35 kg
10 mg once daily 10 - 20 mg once daily
35 kg 35 kg
20 mg once daily 20 - 40 mg once daily

5.4 Impaired Renal Function

As a consequence of inhibiting the renin-angiotensin-aldosterone system, changes in renal function may be anticipated in susceptible individuals treated with Benicar. In patients whose renal function may depend upon the activity of the renin-angiotensin-aldosterone system (e.g., patients with severe congestive heart failure), treatment with angiotensin converting enzyme (ACE) inhibitors and angiotensin receptor antagonists has been associated with oliguria and/or progressive azotemia and rarely with acute renal failure and/or death. Similar results may be anticipated in patients treated with Benicar [see Dosage and Administration (2.1), Drug Interactions (7.3), Use in Specific Populations (8.7) and Clinical Pharmacology (12.3)] .

In studies of ACE inhibitors in patients with unilateral or bilateral renal artery stenosis, increases in serum creatinine or blood urea nitrogen (BUN) have been reported. There has been no long-term use of Benicar in patients with unilateral or bilateral renal artery stenosis, but similar results may be expected.

3 Dosage Forms and Strengths
  • 5 mg yellow, round, film-coated, non-scored tablets debossed with C12 on one side and plain on the other side
  • 20 mg white, round, film-coated, non-scored tablets debossed with C14 on one side and plain on the other side
  • 40 mg white, oval-shaped, film-coated, non-scored tablets debossed with C15 on one side and plain on the other side
6.2 Post Marketing Experience

The following adverse reactions have been reported in post-marketing experience. Because these reactions are reported voluntarily from a population of uncertain size, it is not always possible to reliably estimate their frequency or establish a causal relationship to drug exposure.

Body as a Whole: Asthenia, angioedema, anaphylactic reactions

Gastrointestinal: Vomiting, sprue-like enteropathy [see Warnings and Precautions (5.5)]

Metabolic and Nutritional Disorders: Hyperkalemia

Musculoskeletal: Rhabdomyolysis

Urogenital System: Acute renal failure, increased blood creatinine levels

Skin and Appendages: Alopecia, pruritus, urticaria

Data from one controlled trial and an epidemiologic study have suggested that high-dose olmesartan may increase cardiovascular (CV) risk in diabetic patients, but the overall data are not conclusive. The randomized, placebo-controlled, double-blind ROADMAP trial (Randomized Olmesartan And Diabetes MicroAlbuminuria Prevention trial, n=4447) examined the use of olmesartan, 40 mg daily, vs. placebo in patients with type 2 diabetes mellitus, normoalbuminuria, and at least one additional risk factor for CV disease. The trial met its primary endpoint, delayed onset of microalbuminuria, but olmesartan had no beneficial effect on decline in glomerular filtration rate (GFR). There was a finding of increased CV mortality (adjudicated sudden cardiac death, fatal myocardial infarction, fatal stroke, revascularization death) in the olmesartan group compared to the placebo group (15 olmesartan vs. 3 placebo, HR 4.9, 95% confidence interval [CI], 1.4, 17), but the risk of non-fatal myocardial infarction was lower with olmesartan (HR 0.64, 95% CI 0.35, 1.18).

The epidemiologic study included patients 65 years and older with overall exposure of > 300,000 patient-years. In the sub-group of diabetic patients receiving high-dose olmesartan (40 mg/d) for > 6 months, there appeared to be an increased risk of death (HR 2.0, 95% CI 1.1, 3.8) compared to similar patients taking other angiotensin receptor blockers. In contrast, high-dose olmesartan use in non-diabetic patients appeared to be associated with a decreased risk of death (HR 0.46, 95% CI 0.24, 0.86) compared to similar patients taking other angiotensin receptor blockers. No differences were observed between the groups receiving lower doses of olmesartan compared to other angiotensin blockers or those receiving therapy for < 6 months.

Overall, these data raise a concern of a possible increased CV risk associated with the use of high-dose olmesartan in diabetic patients. There are, however, concerns with the credibility of the finding of increased CV risk, notably the observation in the large epidemiologic study for a survival benefit in non-diabetics of a magnitude similar to the adverse finding in diabetics.

7.5 Colesevelam Hydrochloride

Concurrent administration of bile acid sequestering agent colesevelam hydrochloride reduces the systemic exposure and peak plasma concentration of olmesartan. Administration of olmesartan at least 4 hours prior to colesevelam hydrochloride decreased the drug interaction effect. Consider administering olmesartan at least 4 hours before the colesevelam hydrochloride dose [see Clinical Pharmacology (12.3)] .

8 Use in Specific Populations
  • Lactation: Choose to discontinue nursing or drug ( 8.2).
6.1 Clinical Trials Experience

Because clinical studies are conducted under widely varying conditions, adverse reaction rates observed in the clinical studies of a drug cannot be directly compared to rates in the clinical studies of another drug and may not reflect the rates observed in practice.

16 How Supplied/storage and Handling

Benicar is supplied as yellow, round, film-coated, non-scored tablets containing 5 mg of olmesartan medoxomil, as white, round, film-coated, non-scored tablets containing 20 mg of olmesartan medoxomil, and as white, oval-shaped, film-coated, non-scored tablets containing 40 mg of olmesartan medoxomil. Tablets are debossed with C12, C14, or C15 on one side and plain on the other side of the 5, 20, and 40 mg tablets, respectively.

Tablets are supplied as follows:

5 mg 20 mg 40 mg
Bottle of 30 NDC 0713-0940-30 NDC 0713-0941-30 NDC 0713-0942-30
Bottle of 90 Not available Not available Not available
Blister 10 cards × 10 Not available Not available Not available
Blister 1 card × 30 Not available Not available Not available
Carton of 6 cards × 30 Not available Not available Not available

7.1 Agents Increasing Serum Potassium

Concomitant use of olmesartan with other agents that block the renin-angiotensin system, potassium-sparing diuretics (e.g., spironolactone, triamterene, amiloride), potassium supplements, salt substitutes containing potassium or other drugs that may increase potassium levels (e.g., heparin) may lead to increases in serum potassium. If co-medication is considered necessary, monitoring of serum potassium is advisable.

5.3 Hypotension in Volume Or Salt Depleted Patients

In patients with an activated renin-angiotensin-aldosterone system, such as volume- and/or salt-depleted patients (e.g., those being treated with high doses of diuretics), symptomatic hypotension may be anticipated after initiation of treatment with Benicar. Initiate treatment under close medical supervision and consider starting at a lower dose. If hypotension does occur, place the patient in the supine position and, if necessary, give an intravenous infusion of normal saline [see Dosage and Administration (2.1)] . A transient hypotensive response is not a contraindication to further treatment, which usually can be continued without difficulty once the blood pressure has stabilized.

2.2 Pediatric Hypertension (6 Years of Age and Older)

Dosage must be individualized. For children who can swallow tablets, the usual recommended starting dose of Benicar is 10 mg once daily for patients who weigh 20 to <35 kg (44 to 77 lb), or 20 mg once daily for patients who weigh ≥35 kg. For patients requiring further reduction in blood pressure after 2 weeks of therapy, the dose of Benicar may be increased to a maximum of 20 mg once daily for patients who weigh <35 kg or 40 mg once daily for patients who weigh ≥35 kg.

Use of Benicar in children <1 year of age is not recommended [see Warnings and Precautions (5.2) and Use in Specific Populations (8.4)] .

For children who cannot swallow tablets, the same dose can be given using an extemporaneous suspension as described below [see Clinical Pharmacology (12.3)] .

Follow the suspension preparation instructions below to administer Benicar as a suspension.

7.3 Dual Blockade of the Renin Angiotensin System (ras)

Dual blockade of the RAS with angiotensin receptor blockers, ACE inhibitors, or aliskiren is associated with increased risks of hypotension, hyperkalemia, and changes in renal function (including acute renal failure) compared to monotherapy. Most patients receiving the combination of two RAS inhibitors do not obtain any additional benefit compared to monotherapy. In general, avoid combined use of RAS inhibitors. Closely monitor blood pressure, renal function and electrolytes in patients on Benicar and other agents that affect the RAS.

Do not co-administer aliskiren with Benicar in patients with diabetes [see Contraindications (4)]. Avoid use of aliskiren with Benicar in patients with renal impairment (GFR <60 ml/min).

13.1 Carcinogenesis, Mutagenesis, Impairment of Fertility

Olmesartan medoxomil was not carcinogenic when administered by dietary administration to rats for up to 2 years. The highest dose tested (2000 mg/kg/day) was, on a mg/m basis, about 480 times the maximum recommended human dose (MRHD) of 40 mg/day. Two carcinogenicity studies conducted in mice, a 6-month gavage study in the p53 knockout mouse and a 6-month dietary administration study in the Hras2 transgenic mouse, at doses of up to 1000 mg/kg/day (about 120 times the MRHD), revealed no evidence of a carcinogenic effect of olmesartan medoxomil.

Both olmesartan medoxomil and olmesartan tested negative in the in vitro Syrian hamster embryo cell transformation assay and showed no evidence of genetic toxicity in the Ames (bacterial mutagenicity) test. However, both were shown to induce chromosomal aberrations in cultured cells in vitro (Chinese hamster lung) and tested positive for thymidine kinase mutations in the in vitro mouse lymphoma assay. Olmesartan medoxomil tested negative in vivo for mutations in the MutaMouse intestine and kidney and for clastogenicity in mouse bone marrow (micronucleus test) at oral doses of up to 2000 mg/kg (olmesartan not tested).

Fertility of rats was unaffected by administration of olmesartan medoxomil at dose levels as high as 1000 mg/kg/day (240 times the MRHD) in a study in which dosing was begun 2 (female) or 9 (male) weeks prior to mating.

7.2 Non Steroidal Anti Inflammatory Agents Including Selective Cyclooxygenase 2 Inhibitors (cox 2 Inhibitors)

In patients who are elderly, volume-depleted (including those on diuretic therapy), or with compromised renal function, co-administration of NSAIDs, including selective COX-2 inhibitors, with angiotensin II receptor antagonists, including olmesartan medoxomil, may result in deterioration of renal function, including possible acute renal failure. These effects are usually reversible. Monitor renal function periodically in patients receiving olmesartan medoxomil and NSAID therapy.

The antihypertensive effect of angiotensin II receptor antagonists, including olmesartan medoxomil, may be attenuated by NSAIDs including selective COX-2 inhibitors.


Structured Label Content

Section 42229-5 (42229-5)

Preparation of Suspension (for 200 mL of a 2 mg/mL suspension)

Add 50 mL of Purified Water to an amber polyethylene terephthalate (PET) bottle containing twenty Benicar 20 mg tablets and allow to stand for a minimum of 5 minutes. Shake the container for at least 1 minute and allow the suspension to stand for at least 1 minute. Repeat 1-minute shaking and 1-minute standing for four additional times. Add 100 mL of ORA-Sweet ® and 50 mL of ORA-Plus ®* to the suspension and shake well for at least 1 minute. The suspension should be refrigerated at 2-8°C (36-46°F) and can be stored for up to 4 weeks. Shake the suspension well before each use and return promptly to the refrigerator.

   * ORA-Sweet ®and ORA-Plus ®are registered trademarks of Paddock Laboratories, Inc.

Section 44425-7 (44425-7)

Storage

Store at 20-25°C (68-77°F) [see USP Controlled Room Temperature].

7.4 Lithium

Increases in serum lithium concentrations and lithium toxicity have been reported during concomitant administration of lithium with angiotensin II receptor antagonists, including BENICAR. Monitor serum lithium levels during concomitant use.

10 Overdosage (10 OVERDOSAGE)

Limited data are available related to overdosage in humans. The most likely manifestations of overdosage would be hypotension and tachycardia; bradycardia could be encountered if parasympathetic (vagal) stimulation occurs. If symptomatic hypotension occurs, initiate supportive treatment. The dialyzability of olmesartan is unknown.

11 Description (11 DESCRIPTION)

Olmesartan medoxomil, a prodrug, is hydrolyzed to olmesartan during absorption from the gastrointestinal tract. Olmesartan is a selective AT subtype angiotensin II receptor antagonist.

Olmesartan medoxomil is described chemically as 2,3-dihydroxy-2-butenyl 4-(1-hydroxy-1-methylethyl)-2-propyl-1-[ p-( o-1 H-tetrazol-5-ylphenyl)benzyl]imidazole-5-carboxylate, cyclic 2,3-carbonate.

Its empirical formula is C 29H 30N 6O and its structural formula is:

Olmesartan medoxomil is a white to light yellowish-white powder or crystalline powder with a molecular weight of 558.59. It is practically insoluble in water and sparingly soluble in methanol. Benicar is available for oral use as film-coated tablets containing 5 mg, 20 mg, or 40 mg of olmesartan medoxomil and the following inactive ingredients: hydroxypropyl cellulose, hypromellose, lactose monohydrate, low-substituted hydroxypropyl cellulose, magnesium stearate, microcrystalline cellulose, talc, titanium dioxide, and (5 mg only) yellow iron oxide.

5.6 Hyperkalemia

Serum potassium should be monitored in patients receiving Benicar. Drugs that inhibit the renin angiotensin system can cause hyperkalemia. Risk factors for the development of hyperkalemia include renal insufficiency, diabetes mellitus, and the concomitant use of potassium-sparing diuretics, potassium supplements and/or potassium-containing salt substitutes [see Drug Interactions (7.3)] .

8.4 Pediatric Use

The antihypertensive effects of Benicar were evaluated in one randomized, double-blind clinical study in pediatric patients 1 to 16 years of age [see Clinical Studies (14.2)] . The pharmacokinetics of Benicar were evaluated in pediatric patients 1 to 16 years of age [see Clinical Pharmacology (12.3)] . Benicar was generally well tolerated in pediatric patients, and the adverse experience profile was similar to that described for adults.

Benicar has not been shown to be effective for hypertension in children <6 years of age.

Use of Benicar in children <1 year of age is not recommended [see Warnings and Precautions (5.2)] . The renin-angiotensin-aldosterone system (RAAS) plays a critical role in kidney development. RAAS blockade has been shown to lead to abnormal kidney development in very young mice. Administering drugs that act directly on the renin- angiotensin aldosterone system (RAAS) can alter normal renal development.

8.5 Geriatric Use

Of the total number of hypertensive patients receiving Benicar in clinical studies, more than 20% were 65 years of age and over, while more than 5% were 75 years of age and older. No overall differences in effectiveness or safety were observed between elderly patients and younger patients. Other reported clinical experience has not identified differences in responses between the elderly and younger patients, but greater sensitivity of some older individuals cannot be ruled out [see Clinical Pharmacology (12.3)] .

5.1 Fetal Toxicity

Benicar can cause fetal harm when administered to a pregnant woman. Use of drugs that act on the renin-angiotensin system (RAS) during the second and third trimesters of pregnancy reduces fetal renal function and increases fetal and neonatal morbidity and death. Resulting oligohydramnios can be associated with fetal lung hypoplasia and skeletal deformations. Potential neonatal adverse effects include skull hypoplasia, anuria, hypotension, renal failure, and death. When pregnancy is detected, discontinue Benicar as soon as possible [see Use in Specific Populations (8.1)].

8.8 Black Patients

The antihypertensive effect of Benicar was smaller in black patients (usually a low-renin population), as has been seen with ACE inhibitors, beta-blockers and other angiotensin receptor blockers.

4 Contraindications (4 CONTRAINDICATIONS)

Do not co-administer aliskiren with Benicar in patients with diabetes [see Drug Interactions (7.3)].

6 Adverse Reactions (6 ADVERSE REACTIONS)

The most common adverse reaction in adults was dizziness (3%) ( 6.1).

To report SUSPECTED ADVERSE REACTIONS, contact Cosette Pharmaceuticals, Inc. at 1-800-922-1038 or FDA at 1-800-FDA-1088 or www.fda.gov/medwatch.

7 Drug Interactions (7 DRUG INTERACTIONS)
  • Agents increasing potassium levels may lead to increase in serum potassium ( 7.1).
  • NSAID use may lead to increased risk of renal impairment and loss of antihypertensive effect ( 7.2).
  • Dual inhibition of the renin-angiotensin system: Increased risk of renal impairment, hypotension, and hyperkalemia ( 7.3).
  • Lithium: Increases in serum lithium concentrations and lithium toxicity ( 7.4).
  • Colesevelam hydrochloride: Consider administering olmesartan at least 4 hours before colesevelam hydrochloride dose ( 7.5).
8.7 Renal Impairment

Patients with renal insufficiency have elevated serum concentrations of olmesartan compared to subjects with normal renal function. After repeated dosing, the AUC was approximately tripled in patients with severe renal impairment (creatinine clearance <20 mL/min). No initial dosage adjustment is recommended for patients with moderate to marked renal impairment (creatinine clearance <40 mL/min) [see Dosage and Administration (2.1), Warnings and Precautions (5.4) and Clinical Pharmacology (12.3)] .

12.2 Pharmacodynamics

Benicar doses of 2.5 mg to 40 mg inhibit the pressor effects of angiotensin I infusion. The duration of the inhibitory effect was related to dose, with doses of Benicar >40 mg giving >90% inhibition at 24 hours.

Plasma concentrations of angiotensin I and angiotensin II and plasma renin activity (PRA) increase after single and repeated administration of Benicar to healthy subjects and hypertensive patients. Repeated administration of up to 80 mg Benicar had minimal influence on aldosterone levels and no effect on serum potassium.

2.1 Adult Hypertension

Dosage must be individualized. The usual recommended starting dose of Benicar is 20 mg once daily when used as monotherapy in patients who are not volume-contracted. For patients requiring further reduction in blood pressure after 2 weeks of therapy, the dose of Benicar may be increased to 40 mg. Doses above 40 mg do not appear to have greater effect. Twice-daily dosing offers no advantage over the same total dose given once daily.

For patients with possible depletion of intravascular volume (e.g., patients treated with diuretics, particularly those with impaired renal function), initiate Benicar under close medical supervision and give consideration to use of a lower starting dose [see Warnings and Precautions (5.3)] .

8.6 Hepatic Impairment

Increases in AUC 0-∞ and C max were observed in patients with moderate hepatic impairment compared to those in matched controls, with an increase in AUC of about 60%. No initial dosage adjustment is recommended for patients with moderate to marked hepatic dysfunction [see Clinical Pharmacology (12.3)] .

1 Indications and Usage (1 INDICATIONS AND USAGE)

Benicar is indicated for the treatment of hypertension in adults and children six years of age and older, to lower blood pressure. Lowering blood pressure reduces the risk of fatal and nonfatal cardiovascular events, primarily strokes and myocardial infarctions. These benefits have been seen in controlled trials of antihypertensive drugs from a wide variety of pharmacologic classes including the class to which this drug principally belongs. There are no controlled trials demonstrating risk reduction with Benicar.

Control of high blood pressure should be part of comprehensive cardiovascular risk management, including, as appropriate, lipid control, diabetes management, antithrombotic therapy, smoking cessation, exercise, and limited sodium intake. Many patients will require more than one drug to achieve blood pressure goals. For specific advice on goals and management, see published guidelines, such as those of the National High Blood Pressure Education Program's Joint National Committee on Prevention, Detection, Evaluation, and Treatment of High Blood Pressure (JNC).

Numerous antihypertensive drugs, from a variety of pharmacologic classes and with different mechanisms of action, have been shown in randomized controlled trials to reduce cardiovascular morbidity and mortality, and it can be concluded that it is blood pressure reduction, and not some other pharmacologic property of the drugs, that is largely responsible for those benefits. The largest and most consistent cardiovascular outcome benefit has been a reduction in the risk of stroke, but reductions in myocardial infarction and cardiovascular mortality also have been seen regularly.

Elevated systolic or diastolic pressure causes increased cardiovascular risk, and the absolute risk increase per mmHg is greater at higher blood pressures, so that even modest reductions of severe hypertension can provide substantial benefit. Relative risk reduction from blood pressure reduction is similar across populations with varying absolute risk, so the absolute benefit is greater in patients who are at higher risk independent of their hypertension (for example, patients with diabetes or hyperlipidemia), and such patients would be expected to benefit from more aggressive treatment to a lower blood pressure goal.

Some antihypertensive drugs have smaller blood pressure effects (as monotherapy) in black patients, and many antihypertensive drugs have additional approved indications and effects (e.g., on angina, heart failure, or diabetic kidney disease). These considerations may guide selection of therapy.

It may be used alone or in combination with other antihypertensive agents.

14.1 Adult Hypertension

The antihypertensive effects of Benicar have been demonstrated in seven placebo-controlled studies at doses ranging from 2.5 mg to 80 mg for 6 to 12 weeks, each showing statistically significant reductions in peak and trough blood pressure. A total of 2693 patients (2145 Benicar; 548 placebo) with essential hypertension were studied. Benicar once daily lowered diastolic and systolic blood pressure. The response was dose related, as shown in the following graph. A Benicar dose of 20 mg daily produces a trough sitting blood pressure (BP) reduction over placebo of about 10/6 mmHg and a dose of 40 mg daily produces a trough sitting BP reduction over placebo of about 12/7 mmHg. Benicar doses greater than 40 mg had little additional effect. The onset of the antihypertensive effect occurred within 1 week and was largely manifest after 2 weeks.

Data above are from seven placebo-controlled studies (2145 Benicar patients, 548 placebo patients). The blood pressure lowering effect was maintained throughout the 24-hour period with Benicar once daily, with trough-to-peak ratios for systolic and diastolic response between 60 and 80%.

The blood pressure lowering effect of Benicar, with and without hydrochlorothiazide, was maintained in patients treated for up to 1 year. There was no evidence of tachyphylaxis during long-term treatment with Benicar or rebound effect following abrupt withdrawal of olmesartan medoxomil after 1 year of treatment.

The antihypertensive effect of Benicar was similar in men and women and in patients older and younger than 65 years. The effect was smaller in black patients (usually a low-renin population), as has been seen with ACE inhibitors, beta-blockers and other angiotensin receptor blockers. Benicar had an additional blood pressure lowering effect when added to hydrochlorothiazide.

There are no trials of Benicar demonstrating reductions in cardiovascular risk in patients with hypertension, but at least one pharmacologically similar drug has demonstrated such benefits.

Principal Display Panel (PRINCIPAL DISPLAY PANEL)

NDC 0713-0940-30

TABLETS

Benicar

(olmesartan medoxomil)

5 mg

30 TABLETS

Rx only

Warning: Fetal Toxicity (WARNING: FETAL TOXICITY)
  • When pregnancy is detected, discontinue Benicar as soon as possible ( 5.1, 8.1).
  • Drugs that act directly on the renin-angiotensin system can cause injury and death to the developing fetus ( 5.1, 8.1).
12.1 Mechanism of Action

Angiotensin II is formed from angiotensin I in a reaction catalyzed by angiotensin converting enzyme (ACE, kininase II). Angiotensin II is the principal pressor agent of the renin-angiotensin system, with effects that include vasoconstriction, stimulation of synthesis and release of aldosterone, cardiac stimulation and renal reabsorption of sodium. Olmesartan blocks the vasoconstrictor effects of angiotensin II by selectively blocking the binding of angiotensin II to the AT receptor in vascular smooth muscle. Its action is, therefore, independent of the pathways for angiotensin II synthesis.

An AT receptor is found also in many tissues, but this receptor is not known to be associated with cardiovascular homeostasis. Olmesartan has more than a 12,500-fold greater affinity for the AT receptor than for the AT receptor.

Blockade of the renin-angiotensin system with ACE inhibitors, which inhibit the biosynthesis of angiotensin II from angiotensin I, is a mechanism of many drugs used to treat hypertension. ACE inhibitors also inhibit the degradation of bradykinin, a reaction also catalyzed by ACE. Because olmesartan medoxomil does not inhibit ACE (kininase II), it does not affect the response to bradykinin. Whether this difference has clinical relevance is not yet known.

Blockade of the angiotensin II receptor inhibits the negative regulatory feedback of angiotensin II on renin secretion, but the resulting increased plasma renin activity and circulating angiotensin II levels do not overcome the effect of olmesartan on blood pressure.

5.2 Morbidity in Infants

Use of Benicar in children <1 year of age is not recommended. Drugs that act directly on the renin-angiotensin-aldosterone system (RAAS) can have effects on the development of immature kidneys [see Use in Specific Populations (8.4)].

5 Warnings and Precautions (5 WARNINGS AND PRECAUTIONS)
  • Avoid fetal (in utero) exposure ( 5.1).
  • Use of Benicar in children <1 year of age is not recommended ( 5.2).
  • Observe for signs and symptoms of hypotension in volume- or salt-depleted patients with treatment initiation ( 5.3).
  • Monitor for worsening renal function in patients with renal impairment ( 5.4).
  • Sprue-like enteropathy has been reported. Consider alternative antihypertensive therapy in cases where no other etiology is found ( 5.5).
5.5 Sprue Like Enteropathy (5.5 Sprue-like Enteropathy)

Severe, chronic diarrhea with substantial weight loss has been reported in patients taking olmesartan months to years after drug initiation. Intestinal biopsies of patients often demonstrated villous atrophy. If a patient develops these symptoms during treatment with olmesartan, exclude other etiologies. Consider alternative antihypertensive therapy in cases where no other etiology is identified.

14.2 Pediatric Hypertension

The antihypertensive effects of Benicar in the pediatric population were evaluated in a randomized, double-blind study involving 302 hypertensive patients aged 6 to 16 years. The study population consisted of an all-black cohort of 112 patients and a mixed racial cohort of 190 patients, including 38 black patients. The etiology of the hypertension was predominantly essential hypertension (87% of the black cohort and 67% of the mixed cohort). Patients who weighed 20 to <35 kg were randomized to 2.5 or 20 mg of Benicar once daily and patients who weighed ≥35 kg were randomized to 5 or 40 mg of Benicar once daily. At the end of 3 weeks, patients were re-randomized to continuing Benicar or to taking placebo for up to 2 weeks. During the initial dose-response phase, Benicar significantly reduced both systolic and diastolic blood pressure in a weight-adjusted, dose-dependent manner. Overall, the two dose levels of Benicar (low and high) significantly reduced systolic blood pressure by 6.6 and 11.9 mmHg from the baseline, respectively. These reductions in systolic blood pressure included both drug and placebo effect. During the randomized withdrawal to placebo phase, mean systolic blood pressure at trough was 3.2 mmHg lower and mean diastolic blood pressure at trough was 2.8 mmHg lower in patients continuing Benicar than in patients withdrawn to placebo. These differences were statistically different. As observed in adult populations, the blood pressure reductions were smaller in black patients.

In the same study, 59 patients aged 1 to 5 years who weighed ≥5 kg received 0.3 mg/kg of Benicar once daily for three weeks in an open-label phase and then were randomized to receiving Benicar or placebo in a double-blind phase. At the end of the second week of withdrawal, the mean systolic/diastolic blood pressure at trough was 3/3 mmHg lower in the group randomized to Benicar; this difference in blood pressure was not statistically significant (95% C.I. -2 to 7/-1 to 7).

2 Dosage and Administration (2 DOSAGE AND ADMINISTRATION)
Indication Starting Dose Dose Range
Adult Hypertension ( 2.1) 20 mg once daily 20 - 40 mg once daily
Pediatric Hypertension (6 years of age and older) ( 2.2) 20 to <35 kg 20 to <35 kg
10 mg once daily 10 - 20 mg once daily
35 kg 35 kg
20 mg once daily 20 - 40 mg once daily

5.4 Impaired Renal Function

As a consequence of inhibiting the renin-angiotensin-aldosterone system, changes in renal function may be anticipated in susceptible individuals treated with Benicar. In patients whose renal function may depend upon the activity of the renin-angiotensin-aldosterone system (e.g., patients with severe congestive heart failure), treatment with angiotensin converting enzyme (ACE) inhibitors and angiotensin receptor antagonists has been associated with oliguria and/or progressive azotemia and rarely with acute renal failure and/or death. Similar results may be anticipated in patients treated with Benicar [see Dosage and Administration (2.1), Drug Interactions (7.3), Use in Specific Populations (8.7) and Clinical Pharmacology (12.3)] .

In studies of ACE inhibitors in patients with unilateral or bilateral renal artery stenosis, increases in serum creatinine or blood urea nitrogen (BUN) have been reported. There has been no long-term use of Benicar in patients with unilateral or bilateral renal artery stenosis, but similar results may be expected.

3 Dosage Forms and Strengths (3 DOSAGE FORMS AND STRENGTHS)
  • 5 mg yellow, round, film-coated, non-scored tablets debossed with C12 on one side and plain on the other side
  • 20 mg white, round, film-coated, non-scored tablets debossed with C14 on one side and plain on the other side
  • 40 mg white, oval-shaped, film-coated, non-scored tablets debossed with C15 on one side and plain on the other side
6.2 Post Marketing Experience (6.2 Post-Marketing Experience)

The following adverse reactions have been reported in post-marketing experience. Because these reactions are reported voluntarily from a population of uncertain size, it is not always possible to reliably estimate their frequency or establish a causal relationship to drug exposure.

Body as a Whole: Asthenia, angioedema, anaphylactic reactions

Gastrointestinal: Vomiting, sprue-like enteropathy [see Warnings and Precautions (5.5)]

Metabolic and Nutritional Disorders: Hyperkalemia

Musculoskeletal: Rhabdomyolysis

Urogenital System: Acute renal failure, increased blood creatinine levels

Skin and Appendages: Alopecia, pruritus, urticaria

Data from one controlled trial and an epidemiologic study have suggested that high-dose olmesartan may increase cardiovascular (CV) risk in diabetic patients, but the overall data are not conclusive. The randomized, placebo-controlled, double-blind ROADMAP trial (Randomized Olmesartan And Diabetes MicroAlbuminuria Prevention trial, n=4447) examined the use of olmesartan, 40 mg daily, vs. placebo in patients with type 2 diabetes mellitus, normoalbuminuria, and at least one additional risk factor for CV disease. The trial met its primary endpoint, delayed onset of microalbuminuria, but olmesartan had no beneficial effect on decline in glomerular filtration rate (GFR). There was a finding of increased CV mortality (adjudicated sudden cardiac death, fatal myocardial infarction, fatal stroke, revascularization death) in the olmesartan group compared to the placebo group (15 olmesartan vs. 3 placebo, HR 4.9, 95% confidence interval [CI], 1.4, 17), but the risk of non-fatal myocardial infarction was lower with olmesartan (HR 0.64, 95% CI 0.35, 1.18).

The epidemiologic study included patients 65 years and older with overall exposure of > 300,000 patient-years. In the sub-group of diabetic patients receiving high-dose olmesartan (40 mg/d) for > 6 months, there appeared to be an increased risk of death (HR 2.0, 95% CI 1.1, 3.8) compared to similar patients taking other angiotensin receptor blockers. In contrast, high-dose olmesartan use in non-diabetic patients appeared to be associated with a decreased risk of death (HR 0.46, 95% CI 0.24, 0.86) compared to similar patients taking other angiotensin receptor blockers. No differences were observed between the groups receiving lower doses of olmesartan compared to other angiotensin blockers or those receiving therapy for < 6 months.

Overall, these data raise a concern of a possible increased CV risk associated with the use of high-dose olmesartan in diabetic patients. There are, however, concerns with the credibility of the finding of increased CV risk, notably the observation in the large epidemiologic study for a survival benefit in non-diabetics of a magnitude similar to the adverse finding in diabetics.

7.5 Colesevelam Hydrochloride

Concurrent administration of bile acid sequestering agent colesevelam hydrochloride reduces the systemic exposure and peak plasma concentration of olmesartan. Administration of olmesartan at least 4 hours prior to colesevelam hydrochloride decreased the drug interaction effect. Consider administering olmesartan at least 4 hours before the colesevelam hydrochloride dose [see Clinical Pharmacology (12.3)] .

8 Use in Specific Populations (8 USE IN SPECIFIC POPULATIONS)
  • Lactation: Choose to discontinue nursing or drug ( 8.2).
6.1 Clinical Trials Experience

Because clinical studies are conducted under widely varying conditions, adverse reaction rates observed in the clinical studies of a drug cannot be directly compared to rates in the clinical studies of another drug and may not reflect the rates observed in practice.

16 How Supplied/storage and Handling (16 HOW SUPPLIED/STORAGE AND HANDLING)

Benicar is supplied as yellow, round, film-coated, non-scored tablets containing 5 mg of olmesartan medoxomil, as white, round, film-coated, non-scored tablets containing 20 mg of olmesartan medoxomil, and as white, oval-shaped, film-coated, non-scored tablets containing 40 mg of olmesartan medoxomil. Tablets are debossed with C12, C14, or C15 on one side and plain on the other side of the 5, 20, and 40 mg tablets, respectively.

Tablets are supplied as follows:

5 mg 20 mg 40 mg
Bottle of 30 NDC 0713-0940-30 NDC 0713-0941-30 NDC 0713-0942-30
Bottle of 90 Not available Not available Not available
Blister 10 cards × 10 Not available Not available Not available
Blister 1 card × 30 Not available Not available Not available
Carton of 6 cards × 30 Not available Not available Not available

7.1 Agents Increasing Serum Potassium

Concomitant use of olmesartan with other agents that block the renin-angiotensin system, potassium-sparing diuretics (e.g., spironolactone, triamterene, amiloride), potassium supplements, salt substitutes containing potassium or other drugs that may increase potassium levels (e.g., heparin) may lead to increases in serum potassium. If co-medication is considered necessary, monitoring of serum potassium is advisable.

5.3 Hypotension in Volume Or Salt Depleted Patients (5.3 Hypotension in Volume- or Salt-Depleted Patients)

In patients with an activated renin-angiotensin-aldosterone system, such as volume- and/or salt-depleted patients (e.g., those being treated with high doses of diuretics), symptomatic hypotension may be anticipated after initiation of treatment with Benicar. Initiate treatment under close medical supervision and consider starting at a lower dose. If hypotension does occur, place the patient in the supine position and, if necessary, give an intravenous infusion of normal saline [see Dosage and Administration (2.1)] . A transient hypotensive response is not a contraindication to further treatment, which usually can be continued without difficulty once the blood pressure has stabilized.

2.2 Pediatric Hypertension (6 Years of Age and Older)

Dosage must be individualized. For children who can swallow tablets, the usual recommended starting dose of Benicar is 10 mg once daily for patients who weigh 20 to <35 kg (44 to 77 lb), or 20 mg once daily for patients who weigh ≥35 kg. For patients requiring further reduction in blood pressure after 2 weeks of therapy, the dose of Benicar may be increased to a maximum of 20 mg once daily for patients who weigh <35 kg or 40 mg once daily for patients who weigh ≥35 kg.

Use of Benicar in children <1 year of age is not recommended [see Warnings and Precautions (5.2) and Use in Specific Populations (8.4)] .

For children who cannot swallow tablets, the same dose can be given using an extemporaneous suspension as described below [see Clinical Pharmacology (12.3)] .

Follow the suspension preparation instructions below to administer Benicar as a suspension.

7.3 Dual Blockade of the Renin Angiotensin System (ras) (7.3 Dual Blockade of the Renin-Angiotensin System (RAS))

Dual blockade of the RAS with angiotensin receptor blockers, ACE inhibitors, or aliskiren is associated with increased risks of hypotension, hyperkalemia, and changes in renal function (including acute renal failure) compared to monotherapy. Most patients receiving the combination of two RAS inhibitors do not obtain any additional benefit compared to monotherapy. In general, avoid combined use of RAS inhibitors. Closely monitor blood pressure, renal function and electrolytes in patients on Benicar and other agents that affect the RAS.

Do not co-administer aliskiren with Benicar in patients with diabetes [see Contraindications (4)]. Avoid use of aliskiren with Benicar in patients with renal impairment (GFR <60 ml/min).

13.1 Carcinogenesis, Mutagenesis, Impairment of Fertility

Olmesartan medoxomil was not carcinogenic when administered by dietary administration to rats for up to 2 years. The highest dose tested (2000 mg/kg/day) was, on a mg/m basis, about 480 times the maximum recommended human dose (MRHD) of 40 mg/day. Two carcinogenicity studies conducted in mice, a 6-month gavage study in the p53 knockout mouse and a 6-month dietary administration study in the Hras2 transgenic mouse, at doses of up to 1000 mg/kg/day (about 120 times the MRHD), revealed no evidence of a carcinogenic effect of olmesartan medoxomil.

Both olmesartan medoxomil and olmesartan tested negative in the in vitro Syrian hamster embryo cell transformation assay and showed no evidence of genetic toxicity in the Ames (bacterial mutagenicity) test. However, both were shown to induce chromosomal aberrations in cultured cells in vitro (Chinese hamster lung) and tested positive for thymidine kinase mutations in the in vitro mouse lymphoma assay. Olmesartan medoxomil tested negative in vivo for mutations in the MutaMouse intestine and kidney and for clastogenicity in mouse bone marrow (micronucleus test) at oral doses of up to 2000 mg/kg (olmesartan not tested).

Fertility of rats was unaffected by administration of olmesartan medoxomil at dose levels as high as 1000 mg/kg/day (240 times the MRHD) in a study in which dosing was begun 2 (female) or 9 (male) weeks prior to mating.

7.2 Non Steroidal Anti Inflammatory Agents Including Selective Cyclooxygenase 2 Inhibitors (cox 2 Inhibitors) (7.2 Non-Steroidal Anti-Inflammatory Agents Including Selective Cyclooxygenase-2 Inhibitors (COX-2 Inhibitors))

In patients who are elderly, volume-depleted (including those on diuretic therapy), or with compromised renal function, co-administration of NSAIDs, including selective COX-2 inhibitors, with angiotensin II receptor antagonists, including olmesartan medoxomil, may result in deterioration of renal function, including possible acute renal failure. These effects are usually reversible. Monitor renal function periodically in patients receiving olmesartan medoxomil and NSAID therapy.

The antihypertensive effect of angiotensin II receptor antagonists, including olmesartan medoxomil, may be attenuated by NSAIDs including selective COX-2 inhibitors.


Advanced Ingredient Data


Raw Label Data

All Sections (JSON)