These Highlights Do Not Include All The Information Needed To Use Morphine Sulfate Extended-release Tablets Safely And Effectively. See Full Prescribing Information For Morphine Sulfate Extended-release Tablets.

These Highlights Do Not Include All The Information Needed To Use Morphine Sulfate Extended-release Tablets Safely And Effectively. See Full Prescribing Information For Morphine Sulfate Extended-release Tablets.
SPL v9
SPL
SPL Set ID dbb37dfd-0196-45f7-b9ca-393f56cf1d28
Route
ORAL
Published
Effective Date 2025-12-31
Document Type 34391-3 HUMAN PRESCRIPTION DRUG LABEL

Drug Facts

Composition & Product

Active Ingredients
Morphine (15 mg)
Inactive Ingredients
Cetostearyl Alcohol Hydroxyethyl Cellulose (140 Mpa.s At 5%) Hypromellose, Unspecified Magnesium Stearate Polyethylene Glycol, Unspecified Talc Titanium Dioxide Fd&c Blue No. 2 Lactose Monohydrate Polysorbate 80 D&c Red No. 7 Fd&c Blue No. 1 D&c Red No. 30 D&c Yellow No. 10 Hydroxypropyl Cellulose (1600000 Wamw) Ferrosoferric Oxide

Identifiers & Packaging

Pill Appearance
Imprint: ABG;100 Shape: round Color: blue Color: purple Color: orange Color: gray Size: 7 mm Score: 1
Marketing Status
ANDA Active Since 2011-01-14

Description

WARNING: SERIOUS AND LIFE-THREATENING RISKS FROM USE OF MORPHINE SULFATE EXTENDED-RELEASE TABLETS See full prescribing information for complete boxed warning. • Morphine sulfate extended-release tablets expose users to risks of addiction, abuse, and misuse, which can lead to overdose and death. Assess patient's risk before prescribing and reassess regularly for these behaviors and conditions. ( 5.1 ) • Serious, life-threatening, or fatal respiratory depression may occur, especially during initiation or following a dosage increase. To reduce the risk of respiratory depression, proper dosing and titration of morphine sulfate extended-release tablets are essential. Instruct patients to swallow morphine sulfate extended-release tablets whole to avoid exposure to a potentially fatal dose of morphine. ( 5.2 ) • Accidental ingestion of morphine sulfate extended-release tablets, especially by children, can result in a fatal overdose of morphine. ( 5.2 ) • Concomitant use of opioids with benzodiazepines or other central nervous system (CNS) depressants, including alcohol, may result in profound sedation, respiratory depression, coma, and death. Reserve concomitant prescribing for use in patients for whom alternative treatment options are inadequate. ( 5.3 , 7 ) • Advise pregnant women using opioids for an extended period of time of the risk of Neonatal Opioid Withdrawal Syndrome, which may be life-threatening if not recognized and treated. Ensure that management by neonatology experts will be available at delivery. ( 5.4 ) • Healthcare providers are strongly encouraged to complete a REMS compliant education program and to counsel patients and caregivers on serious risks, safe use, and the importance of reading the Medication Guide with each prescription. ( 5.5 )

Indications and Usage

Morphine sulfate extended-release tablets are indicated for the management of severe and persistent pain that requires an opioid analgesic and that cannot be adequately treated with alternative options, including immediate-release opioids.

Dosage and Administration

• Morphine sulfate extended-release tablets should be prescribed only by healthcare providers who are knowledgeable about the use of extended-release/long-acting opioids and how to mitigate the associated risks. ( 2.1 ) • Morphine sulfate extended-release tablets 100 mg and 200 mg tablets, a single dose greater than 60 mg, or a total daily dose greater than 120 mg, are only for use in patients in whom tolerance to an opioid of comparable potency has been established. ( 2.1 ) • Patients considered opioid-tolerant are those taking, for one week or longer, at least 60 mg of morphine per day, 25 mcg transdermal fentanyl per hour, 30 mg of oral oxycodone per day, 8 mg of oral hydromorphone per day, 25 mg oral oxymorphone per day, 60 mg oral hydrocodone per day, or an equianalgesic dose of another opioid. ( 2.1 ) • Use the lowest effective dosage for the shortest duration of time consistent with individual patient treatment goals. Reserve titration to higher doses of morphine sulfate extended-release tablets for patients in whom lower doses are insufficiently effective and in whom the expected benefits of using a higher dose opioid clearly outweigh the substantial risks. ( 2.1 , 5 ) • Initiate the dosing regimen for each patient individually, taking into account the patient's underlying cause and severity of pain, prior analgesic treatment and response, and risk factors for addiction, abuse, and misuse. ( 2.1 , 5.1 ) • Respiratory depression can occur at any time during opioid therapy, especially when initiating and following dosage increases with morphine sulfate extended-release tablets. Consider this risk when selecting an initial dose and when making dose adjustments. ( 2.1 , 5.2 ) • Instruct patients to swallow morphine sulfate extended-release tablets intact and not to cut, break, chew, crush, or dissolve morphine sulfate extended-release tablets (risk of potentially fatal dose). ( 2.1 , 5.1 ) • Discuss opioid overdose reversal agents and options for acquiring them with the patient and/or caregiver, both when initiating and renewing treatment with morphine sulfate extended-release tablets, especially if the patient has additional risk factors for overdose, or close contacts at risk for exposure and overdose. ( 2.2 , 5.1 , 5.2 , 5.3 ) • Morphine sulfate extended-release tablets are administered orally once every 8 or 12 hours. ( 2.3 ) • For patients who are not opioid tolerant, initiate with 15 mg tablets orally every 8 to 12 hours. ( 2.3 ) • Periodically reassess patients receiving morphine sulfate extended-release tablets to evaluate the continued need for opioid analgesics to maintain pain control, for the signs or symptoms of adverse reactions, and for the development of addiction, abuse, or misuse. ( 2.4 ) • Do not rapidly reduce or abruptly discontinue morphine sulfate extended-release tablets in a physically dependent patient because rapid reduction or abrupt discontinuation of opioid analgesics has resulted in serious withdrawal symptoms, uncontrolled pain, and suicide. ( 2.5 , 5.14 )

Warnings and Precautions

• Opioid-Induced Hyperalgesia and Allodynia: Opioid-Induced Hyperalgesia (OIH) occurs when an opioid analgesic paradoxically causes an increase in pain, or an increase in sensitivity to pain. If OIH is suspected, carefully consider appropriately decreasing the dose of the current opioid analgesic, or opioid rotation. ( 5.6 ) • Life-Threatening Respiratory Depression in Patients with Chronic Pulmonary Disease or in Elderly, Cachectic, or Debilitated Patients : Regularly evaluate, particularly during initiation and titration. ( 5.7 ) • Adrenal Insufficiency : If diagnosed, treat with physiologic replacement of corticosteroids, and wean patient off of the opioid. ( 5.9 ) • Severe Hypotension : Regularly evaluate during dosage initiation and titration. Avoid use in patients with circulatory shock. ( 5.10 ) • Risks of Use in Patients with Increased Intracranial Pressure, Brain Tumors, Head Injury, or Impaired Consciousness : Monitor for sedation and respiratory depression. Avoid use of morphine sulfate extended-release tablets in patients with impaired consciousness or coma. ( 5.11 )

Contraindications

Morphine sulfate extended-release tablets are contraindicated in patients with: • Significant respiratory depression [see Warnings and Precautions (5.2) ] • Acute or severe bronchial asthma in an unmonitored setting or in the absence of resuscitative equipment [see Warnings and Precautions (5.7) ] • Concurrent use of monoamine oxidase inhibitors (MAOIs) or use of MAOIs within the last 14 days [see Warnings and Precautions (5.8) , Drug Interactions (7) ] . • Known or suspected gastrointestinal obstruction, including paralytic ileus [see Warnings and Precautions (5.12) ] • Hypersensitivity (e.g., anaphylaxis) to morphine [see Adverse Reactions (6.2) ]

Adverse Reactions

The following serious adverse reactions are described, or described in greater detail, in other sections: • Addiction, Abuse, and Misuse [see Warnings and Precautions (5.1) ] • Life-Threatening Respiratory Depression [see Warnings and Precautions (5.2) ] • Interactions with Benzodiazepine or Other CNS Depressants [see Warnings and Precautions (5.3) ] • Neonatal Opioid Withdrawal Syndrome [see Warnings and Precautions (5.4) ] • Opioid-Induced Hyperalgesia and Allodynia [see Warnings and Precautions (5.6) ] • Adrenal Insufficiency [see Warnings and Precautions (5.9) ] • Severe Hypotension [see Warnings and Precautions (5.10) ] • Gastrointestinal Adverse Reactions [see Warnings and Precautions (5.12) ] • Seizures [see Warnings and Precautions (5.13) ] • Withdrawal [see Warnings and Precautions (5.14) ]

Drug Interactions

Table 1 includes clinically significant drug interactions with morphine sulfate extended-release tablets. Table 1: Clinically Significant Drug Interactions with Morphine Sulfate Extended-Release Tablets Benzodiazepines and Other Central Nervous System (CNS) Depressants Clinical Impact: Due to additive pharmacologic effect, the concomitant use of benzodiazepines or other CNS depressants, including alcohol, can increase the risk of hypotension, respiratory depression, profound sedation, coma, and death [see Warnings and Precautions (5.3) ] . Intervention: Reserve concomitant prescribing of these drugs for use in patients for whom alternative treatment options are inadequate. Limit dosages and durations to the minimum required. Inform patients and caregivers of this potential interaction and educate them on the signs and symptoms of respiratory depression (including sedation). If concomitant use is warranted, consider recommending or prescribing an opioid overdose reversal agent [see Dosage and Administration (2.2 , 2.5) , Warnings and Precautions (5.1 , 5.2 , 5.3) ] . Examples: Benzodiazepines and other sedative hypnotics, anxiolytics, tranquilizers, muscle relaxants, general anesthetics, antipsychotics, gabapentinoids (gabapentin or pregabalin), other opioids, alcohol. Serotonergic Drugs Clinical Impact: The concomitant use of opioids with other drugs that affect the serotonergic neurotransmitter system has resulted in serotonin syndrome. Intervention: If concomitant use is warranted, frequently evaluate the patient, particularly during treatment initiation and dose adjustment. Discontinue morphine sulfate extended-release tablets if serotonin syndrome is suspected. Examples: Selective serotonin reuptake inhibitors (SSRIs), serotonin and norepinephrine reuptake inhibitors (SNRIs), tricyclic antidepressants (TCAs), triptans, 5-HT3 receptor antagonists, drugs that effect the serotonin neurotransmitter system (e.g., mirtazapine, trazodone, tramadol), certain muscle relaxants (i.e., cyclobenzaprine, metaxalone), monoamine oxidase (MAO) inhibitors (those intended to treat psychiatric disorders and also others, such as linezolid and intravenous methylene blue). Monoamine Oxidase Inhibitors (MAOIs) Clinical Impact: MAOI interactions with opioids may manifest as serotonin syndrome or opioid toxicity (e.g., respiratory depression, coma) [see Warnings and Precautions (5.8) ]. Intervention: Do not use morphine sulfate extended-release tablets in patients taking MAOIs or within 14 days of stopping such treatment. Examples: phenelzine, tranylcypromine, linezolid Mixed Agonist/Antagonist and Partial Agonist Opioid Analgesics Clinical Impact: May reduce the analgesic effect of morphine sulfate extended-release tablets and/or precipitate withdrawal symptoms. Intervention: Avoid concomitant use. Examples: butorphanol, nalbuphine, pentazocine, buprenorphine Muscle Relaxants Clinical Impact: Morphine may enhance the neuromuscular blocking action of skeletal muscle relaxants and produce an increased degree of respiratory depression. Intervention: Because respiratory depression may be greater than otherwise expected, decrease the dosage of morphine sulfate extended-release tablets and/or the muscle relaxant as necessary. Due to the risk of respiratory depression with concomitant use of skeletal muscle relaxants and opioids, consider recommending or prescribing an opioid overdose reversal agent [see Dosage and Administration (2.2) , Warnings and Precautions (5.2 , 5.3) ]. Examples cyclobenzaprine, metaxalone Cimetidine Clinical Impact: The concomitant use of cimetidine can potentiate morphine effects and increase risk of hypotension, respiratory depression, profound sedation, coma, and death. Intervention: Evaluate patients for signs of respiratory depression that may be greater than otherwise expected and decrease the dosage of morphine sulfate extended-release tablets and/or cimetidine as necessary. Diuretics Clinical Impact: Opioids can reduce the efficacy of diuretics by inducing the release of antidiuretic hormone. Intervention: Evaluate patients for signs of diminished diuresis and/or effects on blood pressure and increase the dosage of the diuretic as needed. Anticholinergic Drugs Clinical Impact: The concomitant use of anticholinergic drugs may increase risk of urinary retention and/or severe constipation, which may lead to paralytic ileus. Intervention: Evaluate patients for signs of urinary retention or reduced gastric motility when morphine sulfate extended-release tablets are used concomitantly with anticholinergic drugs. P-Glycoprotein (P-gp) Inhibitors Clinical Impact: The concomitant use of PGP-inhibitors can increase the exposure to morphine by about two-fold and can increase risk of hypotension, respiratory depression, profound sedation, coma, and death. Intervention: Evaluate patients for signs of respiratory depression that may be greater than otherwise expected and decrease the dosage of morphine sulfate extended-release tablets and/or the PGP-inhibitor as necessary. Example: quinidine

Storage and Handling

Morphine Sulfate Extended-Release Tablets are supplied as follows: 15 mg – round, blue-colored, film-coated tablets bearing the symbol ABG on one side and 15 on the other. Cartons of 100 film-coated extended-release tablets (10 film-coated extended-release tablets each blister pack x 10), NDC 0904-6557-61  30 mg – round, lavender-colored, film-coated tablets bearing the symbol ABG on one side and 30 on the other. Cartons of 100 film-coated extended-release tablets (10 film-coated extended-release tablets each blister pack x 10), NDC 0904-6558-61 60 mg – round, orange-colored, film-coated tablets bearing the symbol ABG on one side and 60 on the other. Cartons of 100 film-coated extended-release tablets (10 film-coated extended-release tablets each blister pack x 10), NDC 0904-6559-61 100 mg – round, gray-colored, film-coated tablets bearing the symbol ABG on one side and 100 on the other. Cartons of 100 film-coated extended-release tablets (10 film-coated extended-release tablets each blister pack x 10), NDC 0904-6560-61 WARNING: These Unit Dose packages are not child resistant and are Intended for Institutional Use Only. Keep this and all drugs out of the reach of children.

How Supplied

Morphine Sulfate Extended-Release Tablets are supplied as follows: 15 mg – round, blue-colored, film-coated tablets bearing the symbol ABG on one side and 15 on the other. Cartons of 100 film-coated extended-release tablets (10 film-coated extended-release tablets each blister pack x 10), NDC 0904-6557-61  30 mg – round, lavender-colored, film-coated tablets bearing the symbol ABG on one side and 30 on the other. Cartons of 100 film-coated extended-release tablets (10 film-coated extended-release tablets each blister pack x 10), NDC 0904-6558-61 60 mg – round, orange-colored, film-coated tablets bearing the symbol ABG on one side and 60 on the other. Cartons of 100 film-coated extended-release tablets (10 film-coated extended-release tablets each blister pack x 10), NDC 0904-6559-61 100 mg – round, gray-colored, film-coated tablets bearing the symbol ABG on one side and 100 on the other. Cartons of 100 film-coated extended-release tablets (10 film-coated extended-release tablets each blister pack x 10), NDC 0904-6560-61 WARNING: These Unit Dose packages are not child resistant and are Intended for Institutional Use Only. Keep this and all drugs out of the reach of children.


Medication Information

Warnings and Precautions

• Opioid-Induced Hyperalgesia and Allodynia: Opioid-Induced Hyperalgesia (OIH) occurs when an opioid analgesic paradoxically causes an increase in pain, or an increase in sensitivity to pain. If OIH is suspected, carefully consider appropriately decreasing the dose of the current opioid analgesic, or opioid rotation. ( 5.6 ) • Life-Threatening Respiratory Depression in Patients with Chronic Pulmonary Disease or in Elderly, Cachectic, or Debilitated Patients : Regularly evaluate, particularly during initiation and titration. ( 5.7 ) • Adrenal Insufficiency : If diagnosed, treat with physiologic replacement of corticosteroids, and wean patient off of the opioid. ( 5.9 ) • Severe Hypotension : Regularly evaluate during dosage initiation and titration. Avoid use in patients with circulatory shock. ( 5.10 ) • Risks of Use in Patients with Increased Intracranial Pressure, Brain Tumors, Head Injury, or Impaired Consciousness : Monitor for sedation and respiratory depression. Avoid use of morphine sulfate extended-release tablets in patients with impaired consciousness or coma. ( 5.11 )

Indications and Usage

Morphine sulfate extended-release tablets are indicated for the management of severe and persistent pain that requires an opioid analgesic and that cannot be adequately treated with alternative options, including immediate-release opioids.

Dosage and Administration

• Morphine sulfate extended-release tablets should be prescribed only by healthcare providers who are knowledgeable about the use of extended-release/long-acting opioids and how to mitigate the associated risks. ( 2.1 ) • Morphine sulfate extended-release tablets 100 mg and 200 mg tablets, a single dose greater than 60 mg, or a total daily dose greater than 120 mg, are only for use in patients in whom tolerance to an opioid of comparable potency has been established. ( 2.1 ) • Patients considered opioid-tolerant are those taking, for one week or longer, at least 60 mg of morphine per day, 25 mcg transdermal fentanyl per hour, 30 mg of oral oxycodone per day, 8 mg of oral hydromorphone per day, 25 mg oral oxymorphone per day, 60 mg oral hydrocodone per day, or an equianalgesic dose of another opioid. ( 2.1 ) • Use the lowest effective dosage for the shortest duration of time consistent with individual patient treatment goals. Reserve titration to higher doses of morphine sulfate extended-release tablets for patients in whom lower doses are insufficiently effective and in whom the expected benefits of using a higher dose opioid clearly outweigh the substantial risks. ( 2.1 , 5 ) • Initiate the dosing regimen for each patient individually, taking into account the patient's underlying cause and severity of pain, prior analgesic treatment and response, and risk factors for addiction, abuse, and misuse. ( 2.1 , 5.1 ) • Respiratory depression can occur at any time during opioid therapy, especially when initiating and following dosage increases with morphine sulfate extended-release tablets. Consider this risk when selecting an initial dose and when making dose adjustments. ( 2.1 , 5.2 ) • Instruct patients to swallow morphine sulfate extended-release tablets intact and not to cut, break, chew, crush, or dissolve morphine sulfate extended-release tablets (risk of potentially fatal dose). ( 2.1 , 5.1 ) • Discuss opioid overdose reversal agents and options for acquiring them with the patient and/or caregiver, both when initiating and renewing treatment with morphine sulfate extended-release tablets, especially if the patient has additional risk factors for overdose, or close contacts at risk for exposure and overdose. ( 2.2 , 5.1 , 5.2 , 5.3 ) • Morphine sulfate extended-release tablets are administered orally once every 8 or 12 hours. ( 2.3 ) • For patients who are not opioid tolerant, initiate with 15 mg tablets orally every 8 to 12 hours. ( 2.3 ) • Periodically reassess patients receiving morphine sulfate extended-release tablets to evaluate the continued need for opioid analgesics to maintain pain control, for the signs or symptoms of adverse reactions, and for the development of addiction, abuse, or misuse. ( 2.4 ) • Do not rapidly reduce or abruptly discontinue morphine sulfate extended-release tablets in a physically dependent patient because rapid reduction or abrupt discontinuation of opioid analgesics has resulted in serious withdrawal symptoms, uncontrolled pain, and suicide. ( 2.5 , 5.14 )

Contraindications

Morphine sulfate extended-release tablets are contraindicated in patients with: • Significant respiratory depression [see Warnings and Precautions (5.2) ] • Acute or severe bronchial asthma in an unmonitored setting or in the absence of resuscitative equipment [see Warnings and Precautions (5.7) ] • Concurrent use of monoamine oxidase inhibitors (MAOIs) or use of MAOIs within the last 14 days [see Warnings and Precautions (5.8) , Drug Interactions (7) ] . • Known or suspected gastrointestinal obstruction, including paralytic ileus [see Warnings and Precautions (5.12) ] • Hypersensitivity (e.g., anaphylaxis) to morphine [see Adverse Reactions (6.2) ]

Adverse Reactions

The following serious adverse reactions are described, or described in greater detail, in other sections: • Addiction, Abuse, and Misuse [see Warnings and Precautions (5.1) ] • Life-Threatening Respiratory Depression [see Warnings and Precautions (5.2) ] • Interactions with Benzodiazepine or Other CNS Depressants [see Warnings and Precautions (5.3) ] • Neonatal Opioid Withdrawal Syndrome [see Warnings and Precautions (5.4) ] • Opioid-Induced Hyperalgesia and Allodynia [see Warnings and Precautions (5.6) ] • Adrenal Insufficiency [see Warnings and Precautions (5.9) ] • Severe Hypotension [see Warnings and Precautions (5.10) ] • Gastrointestinal Adverse Reactions [see Warnings and Precautions (5.12) ] • Seizures [see Warnings and Precautions (5.13) ] • Withdrawal [see Warnings and Precautions (5.14) ]

Drug Interactions

Table 1 includes clinically significant drug interactions with morphine sulfate extended-release tablets. Table 1: Clinically Significant Drug Interactions with Morphine Sulfate Extended-Release Tablets Benzodiazepines and Other Central Nervous System (CNS) Depressants Clinical Impact: Due to additive pharmacologic effect, the concomitant use of benzodiazepines or other CNS depressants, including alcohol, can increase the risk of hypotension, respiratory depression, profound sedation, coma, and death [see Warnings and Precautions (5.3) ] . Intervention: Reserve concomitant prescribing of these drugs for use in patients for whom alternative treatment options are inadequate. Limit dosages and durations to the minimum required. Inform patients and caregivers of this potential interaction and educate them on the signs and symptoms of respiratory depression (including sedation). If concomitant use is warranted, consider recommending or prescribing an opioid overdose reversal agent [see Dosage and Administration (2.2 , 2.5) , Warnings and Precautions (5.1 , 5.2 , 5.3) ] . Examples: Benzodiazepines and other sedative hypnotics, anxiolytics, tranquilizers, muscle relaxants, general anesthetics, antipsychotics, gabapentinoids (gabapentin or pregabalin), other opioids, alcohol. Serotonergic Drugs Clinical Impact: The concomitant use of opioids with other drugs that affect the serotonergic neurotransmitter system has resulted in serotonin syndrome. Intervention: If concomitant use is warranted, frequently evaluate the patient, particularly during treatment initiation and dose adjustment. Discontinue morphine sulfate extended-release tablets if serotonin syndrome is suspected. Examples: Selective serotonin reuptake inhibitors (SSRIs), serotonin and norepinephrine reuptake inhibitors (SNRIs), tricyclic antidepressants (TCAs), triptans, 5-HT3 receptor antagonists, drugs that effect the serotonin neurotransmitter system (e.g., mirtazapine, trazodone, tramadol), certain muscle relaxants (i.e., cyclobenzaprine, metaxalone), monoamine oxidase (MAO) inhibitors (those intended to treat psychiatric disorders and also others, such as linezolid and intravenous methylene blue). Monoamine Oxidase Inhibitors (MAOIs) Clinical Impact: MAOI interactions with opioids may manifest as serotonin syndrome or opioid toxicity (e.g., respiratory depression, coma) [see Warnings and Precautions (5.8) ]. Intervention: Do not use morphine sulfate extended-release tablets in patients taking MAOIs or within 14 days of stopping such treatment. Examples: phenelzine, tranylcypromine, linezolid Mixed Agonist/Antagonist and Partial Agonist Opioid Analgesics Clinical Impact: May reduce the analgesic effect of morphine sulfate extended-release tablets and/or precipitate withdrawal symptoms. Intervention: Avoid concomitant use. Examples: butorphanol, nalbuphine, pentazocine, buprenorphine Muscle Relaxants Clinical Impact: Morphine may enhance the neuromuscular blocking action of skeletal muscle relaxants and produce an increased degree of respiratory depression. Intervention: Because respiratory depression may be greater than otherwise expected, decrease the dosage of morphine sulfate extended-release tablets and/or the muscle relaxant as necessary. Due to the risk of respiratory depression with concomitant use of skeletal muscle relaxants and opioids, consider recommending or prescribing an opioid overdose reversal agent [see Dosage and Administration (2.2) , Warnings and Precautions (5.2 , 5.3) ]. Examples cyclobenzaprine, metaxalone Cimetidine Clinical Impact: The concomitant use of cimetidine can potentiate morphine effects and increase risk of hypotension, respiratory depression, profound sedation, coma, and death. Intervention: Evaluate patients for signs of respiratory depression that may be greater than otherwise expected and decrease the dosage of morphine sulfate extended-release tablets and/or cimetidine as necessary. Diuretics Clinical Impact: Opioids can reduce the efficacy of diuretics by inducing the release of antidiuretic hormone. Intervention: Evaluate patients for signs of diminished diuresis and/or effects on blood pressure and increase the dosage of the diuretic as needed. Anticholinergic Drugs Clinical Impact: The concomitant use of anticholinergic drugs may increase risk of urinary retention and/or severe constipation, which may lead to paralytic ileus. Intervention: Evaluate patients for signs of urinary retention or reduced gastric motility when morphine sulfate extended-release tablets are used concomitantly with anticholinergic drugs. P-Glycoprotein (P-gp) Inhibitors Clinical Impact: The concomitant use of PGP-inhibitors can increase the exposure to morphine by about two-fold and can increase risk of hypotension, respiratory depression, profound sedation, coma, and death. Intervention: Evaluate patients for signs of respiratory depression that may be greater than otherwise expected and decrease the dosage of morphine sulfate extended-release tablets and/or the PGP-inhibitor as necessary. Example: quinidine

Storage and Handling

Morphine Sulfate Extended-Release Tablets are supplied as follows: 15 mg – round, blue-colored, film-coated tablets bearing the symbol ABG on one side and 15 on the other. Cartons of 100 film-coated extended-release tablets (10 film-coated extended-release tablets each blister pack x 10), NDC 0904-6557-61  30 mg – round, lavender-colored, film-coated tablets bearing the symbol ABG on one side and 30 on the other. Cartons of 100 film-coated extended-release tablets (10 film-coated extended-release tablets each blister pack x 10), NDC 0904-6558-61 60 mg – round, orange-colored, film-coated tablets bearing the symbol ABG on one side and 60 on the other. Cartons of 100 film-coated extended-release tablets (10 film-coated extended-release tablets each blister pack x 10), NDC 0904-6559-61 100 mg – round, gray-colored, film-coated tablets bearing the symbol ABG on one side and 100 on the other. Cartons of 100 film-coated extended-release tablets (10 film-coated extended-release tablets each blister pack x 10), NDC 0904-6560-61 WARNING: These Unit Dose packages are not child resistant and are Intended for Institutional Use Only. Keep this and all drugs out of the reach of children.

How Supplied

Morphine Sulfate Extended-Release Tablets are supplied as follows: 15 mg – round, blue-colored, film-coated tablets bearing the symbol ABG on one side and 15 on the other. Cartons of 100 film-coated extended-release tablets (10 film-coated extended-release tablets each blister pack x 10), NDC 0904-6557-61  30 mg – round, lavender-colored, film-coated tablets bearing the symbol ABG on one side and 30 on the other. Cartons of 100 film-coated extended-release tablets (10 film-coated extended-release tablets each blister pack x 10), NDC 0904-6558-61 60 mg – round, orange-colored, film-coated tablets bearing the symbol ABG on one side and 60 on the other. Cartons of 100 film-coated extended-release tablets (10 film-coated extended-release tablets each blister pack x 10), NDC 0904-6559-61 100 mg – round, gray-colored, film-coated tablets bearing the symbol ABG on one side and 100 on the other. Cartons of 100 film-coated extended-release tablets (10 film-coated extended-release tablets each blister pack x 10), NDC 0904-6560-61 WARNING: These Unit Dose packages are not child resistant and are Intended for Institutional Use Only. Keep this and all drugs out of the reach of children.

Description

WARNING: SERIOUS AND LIFE-THREATENING RISKS FROM USE OF MORPHINE SULFATE EXTENDED-RELEASE TABLETS See full prescribing information for complete boxed warning. • Morphine sulfate extended-release tablets expose users to risks of addiction, abuse, and misuse, which can lead to overdose and death. Assess patient's risk before prescribing and reassess regularly for these behaviors and conditions. ( 5.1 ) • Serious, life-threatening, or fatal respiratory depression may occur, especially during initiation or following a dosage increase. To reduce the risk of respiratory depression, proper dosing and titration of morphine sulfate extended-release tablets are essential. Instruct patients to swallow morphine sulfate extended-release tablets whole to avoid exposure to a potentially fatal dose of morphine. ( 5.2 ) • Accidental ingestion of morphine sulfate extended-release tablets, especially by children, can result in a fatal overdose of morphine. ( 5.2 ) • Concomitant use of opioids with benzodiazepines or other central nervous system (CNS) depressants, including alcohol, may result in profound sedation, respiratory depression, coma, and death. Reserve concomitant prescribing for use in patients for whom alternative treatment options are inadequate. ( 5.3 , 7 ) • Advise pregnant women using opioids for an extended period of time of the risk of Neonatal Opioid Withdrawal Syndrome, which may be life-threatening if not recognized and treated. Ensure that management by neonatology experts will be available at delivery. ( 5.4 ) • Healthcare providers are strongly encouraged to complete a REMS compliant education program and to counsel patients and caregivers on serious risks, safe use, and the importance of reading the Medication Guide with each prescription. ( 5.5 )

Section 42229-5

Addiction, Abuse, and Misuse

Because the use of morphine sulfate extended-release tablets exposes patients and other users to the risks of opioid addiction, abuse, and misuse, which can lead to overdose and death, assess each patient's risk prior to prescribing and reassess all patients regularly for the development of these behaviors and conditions [see Warnings and Precautions (5.1)].

Section 43683-2

Boxed Warning

12/2025

Indications and Usage (1)

12/2025

Dosage and Administration (2.2, 2.3, 2.6)

12/2025

Warnings and Precautions (5.1, 5.2, 5.3, 5.12, 5.14)

12/2025

Section 44425-7

Store at 25°C (77°F); excursions permitted between 15° to 30°C (59° to 86°F) [see USP Controlled Room Temperature].

Store morphine sulfate extended-release tablets securely and dispose of properly [see Patient Counseling Information (17)].

Dispense in a tight, light-resistant container.

9.2 Abuse

Morphine sulfate extended-release tablets contains morphine, a substance with a high potential for misuse and abuse, which can lead to the development of substance use disorder, including addiction [see Warnings and Precautions (5.1)].

Misuse is the intentional use, for therapeutic purposes, of a drug by an individual in a way other than prescribed by a health care provider or for whom it was not prescribed.

Abuse is the intentional, non-therapeutic use of a drug, even once, for its desirable psychological or physiological effects.

Drug addiction is a cluster of behavioral, cognitive, and physiological phenomena that may include a strong desire to take the drug, difficulties in controlling drug use (e.g., continuing drug use despite harmful consequences, giving a higher priority to drug use than to other activities and obligations), and possible tolerance or physical dependence.

Misuse and abuse of morphine sulfate extended-release tablets increases risk of overdose, which may lead to central nervous system and respiratory depression, hypotension, seizures, and death. The risk is increased with concurrent abuse of morphine sulfate extended-release tablets with alcohol and/or other CNS depressants. Abuse of and addiction to opioids in some individuals may not be accompanied by concurrent tolerance and symptoms of physical dependence. In addition, abuse of opioids can occur in the absence of addiction.

All patients treated with opioids require careful and frequent reevaluation for signs of misuse, abuse, and addiction, because use of opioid analgesic products carries the risk of addiction even under appropriate medical use. Patients at high risk of morphine sulfate extended-release tablets abuse include those with a history of prolonged use of any opioid, including products containing morphine, those with a history of drug or alcohol abuse, or those who use morphine sulfate extended-release tablets in combination with other abused drugs.

"Drug-seeking" behavior is very common in persons with substance use disorders. Drug-seeking tactics include emergency calls or visits near the end of office hours, refusal to undergo appropriate examination, testing, or referral, repeated "loss" of prescriptions, tampering with prescriptions and reluctance to provide prior medical records or contact information for other healthcare provider(s). "Doctor shopping" (visiting multiple prescribers to obtain additional prescriptions) is common among people who abuse drugs and people with substance use disorder. Preoccupation with achieving adequate pain relief can be appropriate behavior in a patient with poor pain control.

Morphine sulfate extended-release tablets, like other opioids, can be diverted for nonmedical use into illicit channels of distribution. Careful record-keeping of prescribing information, including quantity, frequency, and renewal requests, as required by state and federal law, is strongly advised.

Proper assessment of the patient, proper prescribing practices, periodic reevaluation of therapy, and proper dispensing and storage are appropriate measures that help to limit abuse of opioid drugs.

11 Description

Morphine Sulfate Extended-Release Tablets are for oral use and contain morphine sulfate, an opioid agonist.

Each tablet contains the following inactive ingredients common to all strengths: cetostearyl alcohol, hydroxyethyl cellulose, hypromellose, magnesium stearate, polyethylene glycol, talc, and titanium dioxide.

The tablet strengths describe the amount of morphine per tablet as the pentahydrated sulfate salt (morphine sulfate).

The 15 mg tablets also contain: FD&C Blue No. 2, lactose monohydrate, polysorbate 80

The 30 mg tablets also contain: D&C Red No. 7, FD&C Blue No. 1, lactose monohydrate, polysorbate 80

The 60 mg tablets also contain: D&C Red No. 30, D&C Yellow No. 10, hydroxypropyl cellulose, lactose monohydrate

The 100 mg tablets also contain: black iron oxide

The 200 mg tablets also contain: D&C Yellow No. 10, FD&C Blue No. 1, hydroxypropyl cellulose

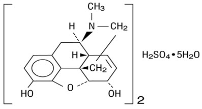
Morphine sulfate is an odorless, white, crystalline powder with a bitter taste. It has a solubility of 1 in 21 parts of water and 1 in 1000 parts of alcohol, but is practically insoluble in chloroform or ether. The octanol: water partition coefficient of morphine is 1.42 at physiologic pH and the pKb is 7.9 for the tertiary nitrogen (mostly ionized at pH 7.4). Its molecular weight is 758.83 and its structural formula is:

9.3 Dependence

Both tolerance and physical dependence can develop during use of opioid therapy.

Tolerance is a physiological state characterized by a reduced response to a drug after repeated administration (i.e., a higher dose of a drug is required to produce the same effect that was once obtained at a lower dose).

Physical dependence is a state that develops as a result of a physiological adaptation in response to repeated drug use, manifested by withdrawal signs and symptoms after abrupt discontinuation or a significant dose reduction of a drug.

Withdrawal may be precipitated through the administration of drugs with opioid antagonist activity, (e.g., naloxone, nalmefene), mixed agonist/antagonist analgesics (e.g., pentazocine, butorphanol, nalbuphine), or partial agonists (e.g., buprenorphine). Physical dependence may not occur to a clinically significant degree until after several days to weeks of continued use.

Do not rapidly reduce or abruptly discontinue morphine sulfate extended-release tablets in a patient physically dependent on opioids. Rapid tapering of morphine sulfate extended-release tablets in a patient physically dependent on opioids may lead to serious withdrawal symptoms, uncontrolled pain, and suicide. Rapid discontinuation has also been associated with attempts to find other sources of opioid analgesics, which may be confused with drug-seeking for abuse.

When discontinuing morphine sulfate extended-release tablets, gradually taper the dosage using a patient-specific plan that considers the following: the dose of morphine sulfate extended-release tablets the patient has been taking, the duration of treatment, and the physical and psychological attributes of the patient. To improve the likelihood of a successful taper and minimize withdrawal symptoms, it is important that the opioid tapering schedule is agreed upon by the patient. In patients taking opioids for an extended period of time at high doses, ensure that a multimodal approach to pain management, including mental health support (if needed), is in place prior to initiating an opioid analgesic taper [see Dosage and Administration (2.6), Warnings and Precautions (5.14)].

Infants born to mothers physically dependent on opioids will also be physically dependent and may exhibit respiratory difficulties and withdrawal signs [see Use in Specific Populations (8.1)].

5.14 Withdrawal

Do not rapidly reduce or abruptly discontinue morphine sulfate extended-release tablets in a patient physically dependent on opioids. When discontinuing morphine sulfate extended-release tablets in a physically dependent patient, gradually taper the dosage. Rapid tapering of morphine in a patient physically dependent on opioids may lead to a withdrawal syndrome and return of pain [see Dosage and Administration (2.6) , Drug Abuse and Dependence (9.3) ].

Additionally, avoid the use of mixed agonist/antagonist (e.g., pentazocine, nalbuphine, and butorphanol) or partial agonist (e.g., buprenorphine) analgesics in patients who have received or are receiving a course of therapy with a full opioid agonist analgesic, including morphine sulfate extended-release tablets. In these patients, mixed agonists/antagonist and partial agonist analgesics may reduce the analgesic effect and/or may precipitate withdrawal symptoms [see Drug Interactions (7)].

Medication Guide
Manufactured by: Purdue Pharma L.P., Stamford, CT 06901-3431, www.purduepharma.com or call 1-888-726-7535

Marketed by: Rhodes Pharmaceuticals, Wilson, NC 27893 US, http://rhodespharma.com, or call 1-888-827-0616.
Packaged and Distributed by:
MAJOR® PHARMACEUTICALS
Indianapolis, IN 46268 USA
Refer to package label for Distributor's NDC Number



This Medication Guide has been approved by the U.S. Food and Drug Administration.          Revised: 12/2025

Medication Guide

Morphine Sulfate (Mor-feen-SUL-fate) Extended-Release (ER) Tablets, CII

Morphine sulfate ER tablets are:

  • A strong prescription pain medicine that contains an opioid (narcotic) that is used to manage severe and persistent pain that required an extended treatment period with a daily opioid pain medicine, when other pain medicines do not treat your pain well enough or you cannot tolerate them.
  • A long-acting (extended-release) opioid pain medicine that can put you at risk for overdose and death. Even if you take your dose correctly as prescribed you are at risk for opioid addiction, abuse, and misuse that can lead to death.
  • Not to be taken on an "as needed" basis.

Important information about morphine sulfate ER tablets:

  • Get emergency help or call 911 right away if you take too much morphine sulfate ER tablets (overdose). When you first start taking morphine sulfate ER tablets, when your dose is changed, or if you take too much (overdose), serious or life-threatening breathing problems that can lead to death may occur. Ask your healthcare provider about medicines like naloxone or nalmefene that can be used in an emergency to reverse an opioid overdose.
  • Taking morphine sulfate ER tablets with other opioid medicines, benzodiazepines, gabapentinoids (gabapentin or pregabalin), alcohol, or other central nervous system depressants (including street drugs) can cause severe drowsiness, decreased awareness, breathing problems, coma, and death.
  • Never give anyone else your morphine sulfate ER tablets. They could die from taking it. Selling or giving away morphine sulfate ER tablets is against the law.
  • Store morphine sulfate ER tablets securely, out of sight and reach of children, and in a location not accessible by others, including visitors to the home.

Do not take morphine sulfate ER tablets if you have:

  • severe asthma, trouble breathing, or other lung problems.
  • a bowel blockage or have narrowing of the stomach or intestines.

Before taking morphine sulfate ER tablets, tell your healthcare provider if you have a history of:

  • head injury, seizures
  • problems urinating
  • liver, kidney, thyroid problems
  • pancreas or gallbladder problems
  • abuse of street or prescription drugs, alcohol addiction, opioid overdose, or mental health problems.

Tell your healthcare provider if you are:

  • Noticing your pain getting worse. If your pain gets worse after you take morphine sulfate extended-release tablets, do not take more of morphine sulfate ER tablets without first talking to your healthcare provider. Talk to your healthcare provider if the pain you have increases, if you feel more sensitive to pain, or if you have new pain after taking morphine sulfate extended-release tablets.
  • Pregnant or planning to become pregnant. Use of morphine sulfate ER tablets for an extended period of time during pregnancy can cause withdrawal symptoms in your newborn baby that could be life-threatening if not recognized and treated.
  • Breastfeeding. Not recommended during treatment with morphine sulfate ER tablets. It may harm your baby.
  • Living in a household where there are small children or someone who has abused street or prescription drugs.
  • Taking prescription or over-the-counter medicines, vitamins, or herbal supplements. Taking morphine sulfate ER tablets with certain other medicines can cause serious side effects.

When taking morphine sulfate ER tablets:

  • Do not change your dose. Take morphine sulfate ER tablets exactly as prescribed by your healthcare provider. Use the lowest dose possible for the shortest duration.
  • Take your prescribed dose every 8 to 12 hours, as directed by your healthcare provider. Do not take more than your prescribed dose. If you miss a dose, take your next dose at the usual time.
  • Swallow morphine sulfate ER tablets whole. Do not cut, break, chew, crush, dissolve, snort, or inject morphine sulfate ER tablets because this may cause you to overdose and die.
  • Call your healthcare provider if the dose you are taking does not control your pain.
  • Do not stop taking morphine sulfate ER tablets without talking to your healthcare provider.
  • Dispose of expired, unwanted, or unused morphine sulfate ER tablets by promptly flushing down the toilet, if a drug take-back option is not readily available. Visit www.fda.gov/drugdisposal for additional information on disposal of unused medicines.

While taking morphine sulfate ER tablets DO NOT:

  • Drive or operate heavy machinery, until you know how morphine sulfate ER tablets affect you. Morphine sulfate ER tablets can make you sleepy, dizzy, or lightheaded.
  • Drink alcohol or use prescription or over-the-counter medicines that contain alcohol. Using products containing alcohol during treatment with morphine sulfate ER tablets may cause you to overdose and die.

The possible side effects of morphine sulfate extended-release tablets are:

  • Constipation, nausea, sleepiness, vomiting, tiredness, headache, dizziness, abdominal pain. Call your healthcare provider if you have any of these symptoms and they are severe.

Get emergency medical help or call 911 right away if you have:

  • trouble breathing, shortness of breath, fast heartbeat, chest pain, swelling of your face, tongue, or throat, extreme drowsiness, light-headedness when changing positions, feeling faint, agitation, high body temperature, trouble walking, stiff muscles, or mental changes such as confusion.

These are not all the possible side effects of morphine sulfate ER tablets. Call your healthcare provider for medical advice about side effects. You may report side effects to FDA at 1-800-FDA-1088. For more information, go to dailymed.nlm.nih.gov.

8.4 Pediatric Use

The safety and effectiveness in pediatric patients below the age of 18 have not been established.

8.5 Geriatric Use

The pharmacokinetics of morphine sulfate extended-release tablets have not been studied in elderly patients. Clinical studies of morphine sulfate extended-release tablets did not include sufficient numbers of subjects aged 65 and over to determine whether they respond differently from younger subjects.

Elderly patients (aged 65 years or older) may have increased sensitivity to morphine. In general, use caution when selecting a dosage for an elderly patient, usually starting at the low end of the dosing range, reflecting the greater frequency of decreased hepatic, renal, or cardiac function and of concomitant disease or other drug therapy.

Respiratory depression is the chief risk for elderly patients treated with opioids, and has occurred after large initial doses were administered to patients who were not opioid-tolerant or when opioids were co-administered with other agents that depress respiration. Titrate the dosage of morphine sulfate extended-release tablets slowly in geriatric patients and frequently reevaluate the patient for signs of central nervous system and respiratory depression [see Warnings and Precautions (5.7)].

Morphine is known to be substantially excreted by the kidney, and the risk of adverse reactions to this drug may be greater in patients with impaired renal function. Because elderly patients are more likely to have decreased renal function, care should be taken in dose selection, and it may be useful to regularly evaluate renal function.

2.3 Initial Dosage

It is safer to underestimate a patient's 24-hour oral morphine dosage and provide rescue medication (e.g., immediate-release opioid) than to overestimate the 24-hour oral morphine dosage and manage an adverse reaction due to an overdose. While useful tables of opioid equivalents are readily available, there is inter-patient variability in the potency of opioid drugs and opioid formulations. Frequently reevaluate patients for signs and symptoms of opioid withdrawal and for signs of oversedation/toxicity after converting patients to morphine sulfate extended-release tablets.

4 Contraindications

Morphine sulfate extended-release tablets are contraindicated in patients with:

6 Adverse Reactions

The following serious adverse reactions are described, or described in greater detail, in other sections:

7 Drug Interactions

Table 1 includes clinically significant drug interactions with morphine sulfate extended-release tablets.

Table 1: Clinically Significant Drug Interactions with Morphine Sulfate Extended-Release Tablets

Benzodiazepines and Other Central Nervous System (CNS) Depressants

Clinical Impact:

Due to additive pharmacologic effect, the concomitant use of benzodiazepines or other CNS depressants, including alcohol, can increase the risk of hypotension, respiratory depression, profound sedation, coma, and death [see Warnings and Precautions (5.3)].

Intervention:

Reserve concomitant prescribing of these drugs for use in patients for whom alternative treatment options are inadequate. Limit dosages and durations to the minimum required. Inform patients and caregivers of this potential interaction and educate them on the signs and symptoms of respiratory depression (including sedation). If concomitant use is warranted, consider recommending or prescribing an opioid overdose reversal agent [see Dosage and Administration (2.2, 2.5), Warnings and Precautions (5.1, 5.2, 5.3)].

Examples:

Benzodiazepines and other sedative hypnotics, anxiolytics, tranquilizers, muscle relaxants, general anesthetics, antipsychotics, gabapentinoids (gabapentin or pregabalin), other opioids, alcohol.

Serotonergic Drugs

Clinical Impact:

The concomitant use of opioids with other drugs that affect the serotonergic neurotransmitter system has resulted in serotonin syndrome.

Intervention:

If concomitant use is warranted, frequently evaluate the patient, particularly during treatment initiation and dose adjustment. Discontinue morphine sulfate extended-release tablets if serotonin syndrome is suspected.

Examples:

Selective serotonin reuptake inhibitors (SSRIs), serotonin and norepinephrine reuptake inhibitors (SNRIs), tricyclic antidepressants (TCAs), triptans, 5-HT3 receptor antagonists, drugs that effect the serotonin neurotransmitter system (e.g., mirtazapine, trazodone, tramadol), certain muscle relaxants (i.e., cyclobenzaprine, metaxalone), monoamine oxidase (MAO) inhibitors (those intended to treat psychiatric disorders and also others, such as linezolid and intravenous methylene blue).

Monoamine Oxidase Inhibitors (MAOIs)

Clinical Impact:

MAOI interactions with opioids may manifest as serotonin syndrome or opioid toxicity (e.g., respiratory depression, coma) [see Warnings and Precautions (5.8)].

Intervention:

Do not use morphine sulfate extended-release tablets in patients taking MAOIs or within 14 days of stopping such treatment.

Examples:

phenelzine, tranylcypromine, linezolid

Mixed Agonist/Antagonist and Partial Agonist Opioid Analgesics

Clinical Impact:

May reduce the analgesic effect of morphine sulfate extended-release tablets and/or precipitate withdrawal symptoms.

Intervention:

Avoid concomitant use.

Examples:

butorphanol, nalbuphine, pentazocine, buprenorphine

Muscle Relaxants

Clinical Impact:

Morphine may enhance the neuromuscular blocking action of skeletal muscle relaxants and produce an increased degree of respiratory depression.

Intervention:

Because respiratory depression may be greater than otherwise expected, decrease the dosage of morphine sulfate extended-release tablets and/or the muscle relaxant as necessary. Due to the risk of respiratory depression with concomitant use of skeletal muscle relaxants and opioids, consider recommending or prescribing an opioid overdose reversal agent [see Dosage and Administration (2.2), Warnings and Precautions (5.2, 5.3)].

Examples

cyclobenzaprine, metaxalone

Cimetidine

Clinical Impact:

The concomitant use of cimetidine can potentiate morphine effects and increase risk of hypotension, respiratory depression, profound sedation, coma, and death.

Intervention:

Evaluate patients for signs of respiratory depression that may be greater than otherwise expected and decrease the dosage of morphine sulfate extended-release tablets and/or cimetidine as necessary.

Diuretics

Clinical Impact:

Opioids can reduce the efficacy of diuretics by inducing the release of antidiuretic hormone.

Intervention:

Evaluate patients for signs of diminished diuresis and/or effects on blood pressure and increase the dosage of the diuretic as needed.

Anticholinergic Drugs

Clinical Impact:

The concomitant use of anticholinergic drugs may increase risk of urinary retention and/or severe constipation, which may lead to paralytic ileus.

Intervention:

Evaluate patients for signs of urinary retention or reduced gastric motility when morphine sulfate extended-release tablets are used concomitantly with anticholinergic drugs.

P-Glycoprotein (P-gp) Inhibitors

Clinical Impact:

The concomitant use of PGP-inhibitors can increase the exposure to morphine by about two-fold and can increase risk of hypotension, respiratory depression, profound sedation, coma, and death.

Intervention:

Evaluate patients for signs of respiratory depression that may be greater than otherwise expected and decrease the dosage of morphine sulfate extended-release tablets and/or the PGP-inhibitor as necessary.

Example:

quinidine

8.7 Renal Impairment

Morphine pharmacokinetics are altered in patients with renal failure. Start these patients with a lower than usual dosage of morphine sulfate extended-release tablets and titrate slowly while regularly evaluating for signs of respiratory depression, sedation, and hypotension [see Clinical Pharmacology (12.3)].

8.6 Hepatic Impairment

Morphine pharmacokinetics have been reported to be significantly altered in patients with cirrhosis. Start these patients with a lower than usual dosage of morphine sulfate extended-release tablets and titrate slowly while regularly evaluating for signs of respiratory depression, sedation, and hypotension [see Clinical Pharmacology (12.3)].

1 Indications and Usage

Morphine sulfate extended-release tablets are indicated for the management of severe and persistent pain that requires an opioid analgesic and that cannot be adequately treated with alternative options, including immediate-release opioids.

5.10 Severe Hypotension

Morphine sulfate extended-release tablets may cause severe hypotension including orthostatic hypotension and syncope in ambulatory patients. There is increased risk in patients whose ability to maintain blood pressure has already been compromised by a reduced blood volume or concurrent administration of certain CNS depressant drugs (e.g., phenothiazines or general anesthetics) [see Drug Interactions (7)]. Regularly evaluate these patients for signs of hypotension after initiating or titrating the dosage of morphine sulfate extended-release tablets. In patients with circulatory shock, morphine sulfate extended-release tablets may cause vasodilation that can further reduce cardiac output and blood pressure. Avoid the use of morphine sulfate extended-release tablets in patients with circulatory shock.

12.1 Mechanism of Action

Morphine is a full opioid agonist and is relatively selective for the mu-opioid receptor, although it can bind to other opioid receptors at higher doses. The principal therapeutic action of morphine is analgesia. Like all full opioid agonists, there is no ceiling effect for analgesia with morphine. Clinically, dosage is titrated to provide adequate analgesia and may be limited by adverse reactions, including respiratory and CNS depression.

The precise mechanism of the analgesic action is unknown. However, specific CNS opioid receptors for endogenous compounds with opioid-like activity have been identified throughout the brain and spinal cord and are thought to play a role in the analgesic effects of this drug.

9.1 Controlled Substance

Morphine sulfate extended-release tablets contain morphine, a Schedule II controlled substance.

5.9 Adrenal Insufficiency

Cases of adrenal insufficiency have been reported with opioid use, more often following greater than one month of use. Presentation of adrenal insufficiency may include non-specific symptoms and signs including nausea, vomiting, anorexia, fatigue, weakness, dizziness, and low blood pressure. If adrenal insufficiency is suspected, confirm the diagnosis with diagnostic testing as soon as possible. If adrenal insufficiency is diagnosed, treat with physiologic replacement doses of corticosteroids. Wean the patient off of the opioid to allow adrenal function to recover and continue corticosteroid treatment until adrenal function recovers. Other opioids may be tried as some cases reported use of a different opioid without recurrence of adrenal insufficiency. The information available does not identify any particular opioids as being more likely to be associated with adrenal insufficiency.

5 Warnings and Precautions
  • Opioid-Induced Hyperalgesia and Allodynia: Opioid-Induced Hyperalgesia (OIH) occurs when an opioid analgesic paradoxically causes an increase in pain, or an increase in sensitivity to pain. If OIH is suspected, carefully consider appropriately decreasing the dose of the current opioid analgesic, or opioid rotation. (5.6)
  • Life-Threatening Respiratory Depression in Patients with Chronic Pulmonary Disease or in Elderly, Cachectic, or Debilitated Patients: Regularly evaluate, particularly during initiation and titration. (5.7)
  • Adrenal Insufficiency: If diagnosed, treat with physiologic replacement of corticosteroids, and wean patient off of the opioid. (5.9)
  • Severe Hypotension: Regularly evaluate during dosage initiation and titration. Avoid use in patients with circulatory shock. (5.10)
  • Risks of Use in Patients with Increased Intracranial Pressure, Brain Tumors, Head Injury, or Impaired Consciousness: Monitor for sedation and respiratory depression. Avoid use of morphine sulfate extended-release tablets in patients with impaired consciousness or coma. (5.11)
2 Dosage and Administration
  • Morphine sulfate extended-release tablets should be prescribed only by healthcare providers who are knowledgeable about the use of extended-release/long-acting opioids and how to mitigate the associated risks. (2.1)
  • Morphine sulfate extended-release tablets 100 mg and 200 mg tablets, a single dose greater than 60 mg, or a total daily dose greater than 120 mg, are only for use in patients in whom tolerance to an opioid of comparable potency has been established. (2.1)
  • Patients considered opioid-tolerant are those taking, for one week or longer, at least 60 mg of morphine per day, 25 mcg transdermal fentanyl per hour, 30 mg of oral oxycodone per day, 8 mg of oral hydromorphone per day, 25 mg oral oxymorphone per day, 60 mg oral hydrocodone per day, or an equianalgesic dose of another opioid. (2.1)
  • Use the lowest effective dosage for the shortest duration of time consistent with individual patient treatment goals. Reserve titration to higher doses of morphine sulfate extended-release tablets for patients in whom lower doses are insufficiently effective and in whom the expected benefits of using a higher dose opioid clearly outweigh the substantial risks. (2.1, 5)
  • Initiate the dosing regimen for each patient individually, taking into account the patient's underlying cause and severity of pain, prior analgesic treatment and response, and risk factors for addiction, abuse, and misuse. (2.1, 5.1)
  • Respiratory depression can occur at any time during opioid therapy, especially when initiating and following dosage increases with morphine sulfate extended-release tablets. Consider this risk when selecting an initial dose and when making dose adjustments. (2.1, 5.2)
  • Instruct patients to swallow morphine sulfate extended-release tablets intact and not to cut, break, chew, crush, or dissolve morphine sulfate extended-release tablets (risk of potentially fatal dose). (2.1, 5.1)
  • Discuss opioid overdose reversal agents and options for acquiring them with the patient and/or caregiver, both when initiating and renewing treatment with morphine sulfate extended-release tablets, especially if the patient has additional risk factors for overdose, or close contacts at risk for exposure and overdose. (2.2, 5.1, 5.2, 5.3)
  • Morphine sulfate extended-release tablets are administered orally once every 8 or 12 hours. (2.3)
  • For patients who are not opioid tolerant, initiate with 15 mg tablets orally every 8 to 12 hours. (2.3)
  • Periodically reassess patients receiving morphine sulfate extended-release tablets to evaluate the continued need for opioid analgesics to maintain pain control, for the signs or symptoms of adverse reactions, and for the development of addiction, abuse, or misuse. (2.4)
  • Do not rapidly reduce or abruptly discontinue morphine sulfate extended-release tablets in a physically dependent patient because rapid reduction or abrupt discontinuation of opioid analgesics has resulted in serious withdrawal symptoms, uncontrolled pain, and suicide. (2.5, 5.14)
Package/label Display Panel

MAJOR®

NDC 0904-6557-61

Unit Dose

CII

Morphine Sulfate

Extended-Release

Tablets

15 mg

Attention Dispenser: Accompanying

Medication Guide must be provided

to the patient upon Dispensing.

100 TABLETS (10 x 10)

Rx only

3 Dosage Forms and Strengths
  • Morphine sulfate extended-release tablets 15 mg

    Round, blue-colored, film-coated tablets bearing the symbol ABG on one side and 15 on the other
  • Morphine sulfate extended-release tablets 30 mg

    Round, lavender-colored, film-coated tablets bearing the symbol ABG on one side and 30 on the other
  • Morphine sulfate extended-release tablets 60 mg

    Round, orange-colored, film-coated tablets bearing the symbol ABG on one side and 60 on the other
  • Morphine sulfate extended-release tablets 100 mg

    Round, gray-colored, film-coated tablets bearing the symbol ABG on one side and 100 on the other
  • Morphine sulfate extended-release tablets 200 mg

    Capsule-shaped, green-colored, film-coated tablets bearing the symbol ABG on one side and 200 on the other
6.1 Clinical Trial Experience

Because clinical trials are conducted under widely varying conditions, adverse reaction rates observed in the clinical trials of a drug cannot be directly compared to rates in the clinical trials of another drug and may not reflect the rates observed in practice.

Morphine sulfate extended-release tablets may increase the risk of serious adverse reactions such as those observed with other opioid analgesics, including respiratory depression, apnea, respiratory arrest, circulatory depression, hypotension, or shock [see Overdosage (10)].

6.2 Post Marketing Experience

The following adverse reactions have been identified during post-approval use of morphine sulfate extended-release tablets. Because these reactions are reported voluntarily from a population of uncertain size, it is not always possible to reliably estimate their frequency or establish a causal relationship to drug exposure.

Amenorrhea, asthenia, bronchospasm, confusional state, drug hypersensitivity, fatigue, hyperalgesia, hypertonia, ileus, increased hepatic enzymes, intestinal obstruction, lethargy, malaise, pulmonary edema, thinking disturbances, somnolence, and vertigo.

Serotonin syndrome: Cases of serotonin syndrome, a potentially life-threatening condition, have been reported during concomitant use of opioids with serotonergic drugs.

Adrenal insufficiency: Cases of adrenal insufficiency have been reported with opioid use, more often following greater than one month of use.

Anaphylaxis: Anaphylaxis has been reported with ingredients contained in morphine sulfate extended-release tablets.

Androgen deficiency: Cases of androgen deficiency have occurred with use of opioids for an extended period of time [see Clinical Pharmacology (12.2)].

Hyperalgesia and Allodynia: Cases of hyperalgesia and allodynia have been reported with opioid therapy of any duration [see Warnings and Precautions (5.6)].

Hypoglycemia: Cases of hypoglycemia have been reported in patients taking opioids. Most reports were in patients with at least one predisposing risk factor (e.g., diabetes).

Opioid-induced esophageal dysfunction (OIED): Cases of OIED have been reported in patients taking opioids and may occur more frequently in patients taking higher doses of opioids, and/or in patients taking opioids longer term [see Warnings and Precautions (5.12)].

8 Use in Specific Populations
  • Pregnancy: May cause fetal harm. (8.1)
  • Lactation: Not recommended. (8.2)
5.1 Addiction, Abuse, and Misuse

Morphine sulfate extended-release tablets contain morphine, a Schedule II controlled substance. As an opioid, morphine sulfate extended-release tablets expose its users to the risks of addiction, abuse, and misuse.

Although the risk of addiction in any individual is unknown, it can occur in patients appropriately prescribed morphine sulfate extended-release tablets. Addiction can occur at recommended doses and if the drug is misused or abused. The risk of opioid-related overdose or overdose-related death is increased with higher opioid doses, and this risk persists over the course of therapy. In postmarketing studies, addiction, abuse, misuse, and fatal and non-fatal opioid overdose were observed in patients with long-term opioid use [see Adverse Reactions (6.2)].

Assess each patient's risk for opioid addiction, abuse, or misuse prior to prescribing morphine sulfate extended-release tablets, and reassess all patients receiving morphine sulfate extended-release tablets for development of these behaviors and conditions. Risks are increased in patients with a personal or family history of substance abuse (including drug or alcohol abuse or addiction) or mental illness (e.g., major depression). The potential for these risks should not, however, prevent the proper management of pain in any given patient. Patients at increased risk may be prescribed opioids such as morphine sulfate extended-release tablets, but use in such patients necessitates intensive counseling about the risks of proper use of morphine sulfate extended-release tablets along with frequent reevaluation for signs of addiction, abuse, and misuse. Consider recommending or prescribing an opioid overdose reversal agent [see Dosage and Administration (2.2), Warnings and Precautions (5.2)].

Abuse or misuse of morphine sulfate extended-release tablets by crushing, chewing, snorting, or injecting the dissolved product will result in the uncontrolled delivery of morphine and can result in overdose and death [see Overdosage (10)].

Opioids are sought for nonmedical use and are subject to diversion from legitimate prescribed use. Consider these risks when prescribing or dispensing morphine sulfate extended-release tablets. Strategies to reduce these risks include prescribing the drug in the smallest appropriate quantity and advising the patient on careful storage of the drug during the course of treatment and proper disposal of unused drug. Contact local state professional licensing board or state-controlled substances authority for information on how to prevent and detect abuse or diversion of this product.

17 Patient Counseling Information

Advise the patient to read the FDA-approved patient labeling (Medication Guide).

16 How Supplied/storage and Handling

Morphine Sulfate Extended-Release Tablets are supplied as follows:

15 mg – round, blue-colored, film-coated tablets bearing the symbol ABG on one side and 15 on the other.

Cartons of 100 film-coated extended-release tablets (10 film-coated extended-release tablets each blister pack x 10), NDC 0904-6557-61 

30 mg – round, lavender-colored, film-coated tablets bearing the symbol ABG on one side and 30 on the other.

Cartons of 100 film-coated extended-release tablets (10 film-coated extended-release tablets each blister pack x 10), NDC 0904-6558-61

60 mg – round, orange-colored, film-coated tablets bearing the symbol ABG on one side and 60 on the other.

Cartons of 100 film-coated extended-release tablets (10 film-coated extended-release tablets each blister pack x 10), NDC 0904-6559-61

100 mg – round, gray-colored, film-coated tablets bearing the symbol ABG on one side and 100 on the other.

Cartons of 100 film-coated extended-release tablets (10 film-coated extended-release tablets each blister pack x 10), NDC 0904-6560-61

WARNING: These Unit Dose packages are not child resistant and are Intended for Institutional Use Only. Keep this and all drugs out of the reach of children.

5.4 Neonatal Opioid Withdrawal Syndrome

Use of morphine sulfate extended-release tablets for an extended period of time during pregnancy can result in withdrawal in the neonate. Neonatal opioid withdrawal syndrome, unlike opioid withdrawal syndrome in adults, may be life-threatening if not recognized and treated, and requires management according to protocols developed by neonatology experts. Observe newborns for signs of neonatal opioid withdrawal syndrome and manage accordingly. Advise pregnant women using opioids for an extended period of time of the risk of neonatal opioid withdrawal syndrome and ensure that appropriate treatment will be available [see Use in Specific Populations (8.1)].

2.4 Titration and Maintenance of Therapy

Individually titrate morphine sulfate extended-release tablets to a dose that provides adequate analgesia and minimizes adverse reactions. Continually reevaluate patients receiving morphine sulfate extended-release tablets to assess the maintenance of pain control, signs and symptoms of opioid withdrawal, and other adverse reactions, as well as to reassess for the development of addiction, abuse, or misuse [see Warnings and Precautions (5.1, 5.14)]. Frequent communication is important among the prescriber, other members of the healthcare team, the patient, and the caregiver/family during periods of changing analgesic requirements, including initial titration. During use of opioid therapy for an extended period of time, periodically reassess the continued need for the use of opioid analgesics.

Patients who experience breakthrough pain may require a dosage adjustment of morphine sulfate extended-release tablets, or may need rescue medication with an appropriate dose of an immediate-release analgesic.

If the level of pain increases after dose stabilization, attempt to identify the source of increased pain before increasing the morphine sulfate extended-release tablets dosage. If after increasing the dosage, unacceptable opioid-related adverse reactions are observed (including an increase in pain after a dosage increase), consider reducing the dosage [see Warnings and Precautions (5)]. Adjust the dosage to obtain an appropriate balance between management of pain and opioid-related adverse reactions.

Because steady-state plasma concentrations are approximated in 1 day, morphine sulfate extended-release tablets dosage adjustments may be done every 1 to 2 days.

5.2 Life Threatening Respiratory Depression

Serious, life-threatening, or fatal respiratory depression has been reported with the use of opioids, even when used as recommended. Respiratory depression, if not immediately recognized and treated, may lead to respiratory arrest and death. Management of respiratory depression may include close observation, supportive measures, and use of opioid overdose reversal agent, depending on the patient's clinical status [see Overdosage (10) ] . Carbon dioxide (CO2) retention from opioid-induced respiratory depression can exacerbate the sedating effects of opioids.

While serious, life-threatening, or fatal respiratory depression can occur at any time during the use of morphine sulfate extended-release tablets, the risk is greatest during the initiation of therapy or following a dosage increase.

To reduce the risk of respiratory depression, proper dosing and titration of morphine sulfate extended-release tablets are essential [see Dosage and Administration (2)]. Overestimating the morphine sulfate extended-release tablets dosage when converting patients from another opioid product can result in a fatal overdose with the first dose.

Accidental ingestion of even one dose of morphine sulfate extended-release tablets, especially by children, can result in respiratory depression and death due to an overdose of morphine.

Educate patients and caregivers on how to recognize respiratory depression and emphasize the importance of calling 911 or getting emergency medical help right away in the event of a known or suspected overdose.

Opioids can cause sleep-related breathing disorders including central sleep apnea (CSA) and sleep-related hypoxemia. Opioid use increases the risk of CSA in a dose-dependent fashion. In patients who present with CSA, consider decreasing the opioid dosage using best practices for opioid taper [see Dosage and Administration (2.6)].

5.12 Risks of Gastrointestinal Complications

Morphine sulfate extended-release tablets are contraindicated in patients with known or suspected gastrointestinal obstruction, including paralytic ileus.

The morphine in morphine sulfate extended-release tablets may cause spasm of the sphincter of Oddi. Opioids may cause increases in serum amylase. Regularly evaluate patients with biliary tract disease, including acute pancreatitis, for worsening symptoms.

Cases of opioid-induced esophageal dysfunction (OIED) have been reported in patients taking opioids. The risk of OIED may increase as the dose and/or duration of opioids increases. Regularly evaluate patients for signs and symptoms of OIED (e.g., dysphagia, regurgitation, non-cardiac chest pain) and, if necessary, adjust opioid therapy as clinically appropriate [see Clinical Pharmacology (12.2)].

5.15 Risks of Driving and Operating Machinery

Morphine sulfate extended-release tablets may impair the mental or physical abilities needed to perform potentially hazardous activities such as driving a car or operating machinery. Warn patients not to drive or operate dangerous machinery unless they are tolerant to the effects of morphine sulfate extended-release tablets and know how they will react to the medication.

5.6 Opioid Induced Hyperalgesia and Allodynia

Opioid-Induced Hyperalgesia (OIH) occurs when an opioid analgesic paradoxically causes an increase in pain, or an increase in sensitivity to pain. This condition differs from tolerance, which is the need for increasing doses of opioids to maintain a defined effect [see Drug Abuse and Dependence (9.3)].

Symptoms of OIH include (but may not be limited to) increased levels of pain upon opioid dosage increase, decreased levels of pain upon opioid dosage decrease, or pain from ordinarily non-painful stimuli (allodynia). These symptoms may suggest OIH only if there is no evidence of underlying disease progression, opioid tolerance, opioid withdrawal, or addictive behavior.

Cases of OIH have been reported, both with short-term and longer-term use of opioid analgesics. Though the mechanism of OIH is not fully understood, multiple biochemical pathways have been implicated. Medical literature suggests a strong biologic plausibility between opioid analgesics and OIH and allodynia. If a patient is suspected to be experiencing OIH, carefully consider appropriately decreasing the dose of the current opioid analgesic or opioid rotation (safely switching the patient to a different opioid moiety) [see Dosage and Administration (2.6), Warnings and Precautions (5.14)].

5.8 Interaction With Monoamine Oxidase Inhibitors

Monoamine oxidase inhibitors (MAOIs) may potentiate the effects of morphine, including respiratory depression, coma, and confusion. Morphine sulfate extended-release tablets should not be used in patients taking MAOIs or within 14 days of stopping such treatment.

2.1 Important Dosage and Administration Instructions
  • Morphine sulfate extended-release tablets should be prescribed by healthcare professionals who are knowledgeable about the use of extended-release/long-acting opioids and how to mitigate the associated risks.
  • Morphine sulfate extended-release 100 mg and 200 mg tablets, a single dose greater than 60 mg, or a total daily dose greater than 120 mg, are only for use in patients in whom tolerance to an opioid of comparable potency has been established. Patients considered opioid-tolerant are those taking, for one week or longer, at least 60 mg morphine per day, 25 mcg transdermal fentanyl per hour, 30 mg oral oxycodone per day, 8 mg oral hydromorphone daily, 25 mg oral oxymorphone per day, 60 mg oral hydrocodone per day, or an equianalgesic dose of another opioid.
  • Use the lowest effective dosage for the shortest duration of time consistent with individual patient treatment goals [see Warnings and Precautions (5)]. Because the risk of overdose increases as opioid doses increase, reserve titration to higher doses of morphine sulfate extended-release tablets for patients in whom lower doses are insufficiently effective and in whom the expected benefits of using a higher dose opioid clearly outweigh the substantial risks.
  • Initiate the dosing regimen for each patient individually, taking into account the patient's underlying cause and severity of pain, prior analgesic treatment and response, and risk factors for addiction, abuse, and misuse [see Warnings and Precautions (5.1)].
  • Respiratory depression can occur at any time during opioid therapy, especially when initiating and following dosage increases with morphine sulfate extended-release tablets. Consider this risk when selecting an initial dose and when making dose adjustments [see Warnings and Precautions (5.2)].
  • Morphine sulfate extended-release tablets are administered orally once every 8 or 12 hours.
  • Instruct patients to swallow morphine sulfate extended-release tablets whole. Crushing, chewing, or dissolving morphine sulfate extended-release tablets will result in uncontrolled delivery of morphine and can lead to overdose or death [see Warnings and Precautions (5.1)].
5.13 Increased Risk of Seizures in Patients With Seizure Disorders

The morphine in morphine sulfate extended-release tablets may increase the frequency of seizures in patients with seizure disorders, and may increase the risk of seizures occurring in other clinical settings associated with seizures. Regularly evaluate patients with a history of seizure disorders for worsened seizure control during morphine sulfate extended-release tablets therapy.

5.5 Opioid Analgesic Risk Evaluation and Mitigation Strategy (rems)

To ensure that the benefits of opioid analgesics outweigh the risks of addiction, abuse, and misuse, the Food and Drug Administration (FDA) has required a Risk Evaluation and Mitigation Strategy (REMS) for these products. Under the requirements of the REMS, drug companies with approved opioid analgesic products must make REMS-compliant education programs available to healthcare providers. Healthcare providers are strongly encouraged to do all of the following:

  • Complete a REMS-compliant education program offered by an accredited provider of continuing education (CE) or another education program that includes all the elements of the FDA Education Blueprint for Health Care Providers Involved in the Management or Support of Patients with Pain.
  • Discuss the safe use, serious risks, and proper storage and disposal of opioid analgesics with patients and/or their caregivers every time these medicines are prescribed. The Patient Counseling Guide (PCG) can be obtained at this link: www.fda.gov/OpioidAnalgesicREMSPCG.
  • Emphasize to patients and their caregivers the importance of reading the Medication Guide that they will receive from their pharmacist every time an opioid analgesic is dispensed to them.
  • Consider using other tools to improve patient, household, and community safety, such as patient- prescriber agreements that reinforce patient-prescriber responsibilities.
  • To obtain further information on the opioid analgesic REMS and for a list of accredited REMS CME/CE, call 1-800-503-0784, or log on to www.opioidanalgesicrems.com. The FDA Blueprint can be found at www.fda.gov/OpioidAnalgesicREMSBlueprint.
5.3 Risks From Concomitant Use With Benzodiazepines Or Other Cns Depressants

Profound sedation, respiratory depression, coma, and death may result from the concomitant use of morphine sulfate extended-release tablets with benzodiazepines and/or other CNS depressants, including alcohol (e.g., non-benzodiazepine sedatives/hypnotics, anxiolytics, tranquilizers, muscle relaxants, general anesthetics, antipsychotics, gabapentinoids [gabapentin or pregabalin], and other opioids). Because of these risks, reserve concomitant prescribing of these drugs for use in patients for whom alternative treatment options are inadequate.

Observational studies have demonstrated that concomitant use of opioid analgesics and benzodiazepines increases the risk of drug-related mortality compared to use of opioid analgesics alone. Because of similar pharmacological properties, it is reasonable to expect similar risk with the concomitant use of other CNS depressant drugs with opioid analgesics [see Drug Interactions (7)].

If the decision is made to prescribe a benzodiazepine or other CNS depressant concomitantly with an opioid analgesic, prescribe the lowest effective dosages and minimum durations of concomitant use. In patients already receiving an opioid analgesic, prescribe a lower initial dose of the benzodiazepine or other CNS depressant than indicated in the absence of an opioid, and titrate based on clinical response. If an opioid analgesic is initiated in a patient already taking a benzodiazepine or other CNS depressant, prescribe a lower initial dose of the opioid analgesic, and titrate based on clinical response. Inform patients and caregivers of this potential interaction and educate them on the signs and symptoms of respiratory depression (including sedation).

If concomitant use is warranted, consider recommending or prescribing an opioid overdose reversal agent [see Dosage and Administration (2.2), Warnings and Precautions (5.2), Overdosage (10)].

Advise both patients and caregivers about the risks of respiratory depression and sedation when morphine sulfate extended-release tablets are used with benzodiazepines or other CNS depressants (including alcohol and illicit drugs). Advise patients not to drive or operate heavy machinery until the effects of concomitant use of the benzodiazepine or other CNS depressant have been determined. Screen patients for risk of substance use disorders, including opioid abuse and misuse, and warn them of the risk for overdose and death associated with the use of additional CNS depressants including alcohol and illicit drugs [see Drug Interactions (7)].

2.6 Safe Reduction Or Discontinuation of Morphine Sulfate Extended Release Tablets

Do not rapidly reduce or abruptly discontinue morphine sulfate extended-release tablets in patients who may be physically dependent on opioids. Rapid reduction or abrupt discontinuation of opioid analgesics in patients who are physically dependent on opioids has resulted in serious withdrawal symptoms, uncontrolled pain, and suicide. Rapid reduction or abrupt discontinuation has also been associated with attempts to find other sources of opioid analgesics, which may be confused with drug-seeking for abuse. Patients may also attempt to treat their pain or withdrawal symptoms with illicit opioids, such as heroin, and other substances.

When a decision has been made to decrease the dose or discontinue therapy in an opioid dependent patient taking morphine sulfate extended-release tablets, there are a variety of factors that should be considered, including the total daily dose of opioid (including morphine sulfate extended-release tablets) the patient has been taking, the duration of treatment, the type of pain being treated, and the physical and psychological attributes of the patient. It is important to ensure ongoing care of the patient and to agree on an appropriate tapering schedule and follow-up plan so that patient and provider goals and expectations are clear and realistic. When opioid analgesics are being discontinued due to a suspected substance use disorder, evaluate, and treat the patient, or refer for evaluation and treatment of the substance use disorder. Treatment should include evidence-based approaches, such as medication assisted treatment of opioid use disorder. Complex patients with co-morbid pain and substance use disorders may benefit from referral to a specialist.

There are no standard opioid tapering schedules that are suitable for all patients. Good clinical practice dictates a patient-specific plan to taper the dose of the opioid gradually. For patients on morphine sulfate extended-release tablets who are physically opioid-dependent, initiate the taper by a small enough increment (e.g., no greater than 10% to 25% of the total daily dose) to avoid withdrawal symptoms, and proceed with dose-lowering at an interval of every 2 to 4 weeks. Patients who have been taking opioids for briefer periods of time may tolerate a more rapid taper.

It may be necessary to provide the patient with lower dosage strengths to accomplish a successful taper. Reassess the patient frequently to manage pain and withdrawal symptoms, should they emerge. Common withdrawal symptoms include restlessness, lacrimation, rhinorrhea, yawning, perspiration, chills, myalgia, and mydriasis. Other signs and symptoms also may develop, including irritability, anxiety, backache, joint pain, weakness, abdominal cramps, insomnia, nausea, anorexia, vomiting, diarrhea, or increased blood pressure, respiratory rate, or heart rate. If withdrawal symptoms arise, it may be necessary to pause the taper for a period of time or raise the dose of the opioid analgesic to the previous dose, and then proceed with a slower taper. In addition, evaluate patients for any changes in mood, emergence of suicidal thoughts, or use of other substances.

When managing patients taking opioid analgesics, particularly those who have been treated for an extended period of time and/or with high doses for chronic pain, ensure that a multimodal approach to pain management, including mental health support (if needed), is in place prior to initiating an opioid analgesic taper. A multimodal approach to pain management may optimize the treatment of chronic pain, as well as assist with the successful tapering of the opioid analgesic [see Warnings and Precautions (5.14), Drug Abuse and Dependence (9.3)].

2.5 Dosage Modifications With Concomitant Use of Central Nervous System Depressants

If the patient is currently taking a central nervous system (CNS) depressant and the decision is made to begin morphine sulfate extended-release tablets, start with the lowest possible dose, 15 mg every 12 hours, monitor patients for signs of respiratory depression, sedation, and hypotension, and consider using a lower dosage of the concomitant CNS depressant [see Warnings and Precautions (5.3), Drug Interactions (7)].

Warning: Serious and Life Threatening Risks From Use of Morphine Sulfate Extended Release Tablets

WARNING: SERIOUS AND LIFE-THREATENING RISKS FROM USE OF MORPHINE SULFATE EXTENDED-RELEASE TABLETS

See full prescribing information for complete boxed warning.

  • Morphine sulfate extended-release tablets expose users to risks of addiction, abuse, and misuse, which can lead to overdose and death. Assess patient's risk before prescribing and reassess regularly for these behaviors and conditions. (5.1)
  • Serious, life-threatening, or fatal respiratory depression may occur, especially during initiation or following a dosage increase. To reduce the risk of respiratory depression, proper dosing and titration of morphine sulfate extended-release tablets are essential. Instruct patients to swallow morphine sulfate extended-release tablets whole to avoid exposure to a potentially fatal dose of morphine. (5.2)
  • Accidental ingestion of morphine sulfate extended-release tablets, especially by children, can result in a fatal overdose of morphine. (5.2)
  • Concomitant use of opioids with benzodiazepines or other central nervous system (CNS) depressants, including alcohol, may result in profound sedation, respiratory depression, coma, and death. Reserve concomitant prescribing for use in patients for whom alternative treatment options are inadequate. (5.3, 7)
  • Advise pregnant women using opioids for an extended period of time of the risk of Neonatal Opioid Withdrawal Syndrome, which may be life-threatening if not recognized and treated. Ensure that management by neonatology experts will be available at delivery. (5.4)
  • Healthcare providers are strongly encouraged to complete a REMS compliant education program and to counsel patients and caregivers on serious risks, safe use, and the importance of reading the Medication Guide with each prescription. (5.5)
2.2 Patient Access to An Opioid Overdose Reversal Agent for the Emergency Treatment of Opioid Overdose

Inform patients and caregivers about opioid overdose reversal agents (e.g., naloxone, nalmefene). Discuss the importance of having access to an opioid overdose reversal agent, especially if the patient has risk factors for overdose (e.g., concomitant use of CNS depressants, a history of opioid use disorder, or prior opioid overdose) or if there are household members (including children) or other close contacts at risk for accidental ingestion or opioid overdose. The presence of risk factors for overdose should not prevent the management of pain in any patient [see Warnings and Precautions (5.1 , 5.2 , 5.3) ] .

Discuss the options for obtaining an opioid overdose reversal agent (e.g., prescription, over-the-counter, or as part of a community-based program) [see Warnings and Precautions (5.2)].

There are important differences among the opioid overdose reversal agents, such as route of administration, product strength, approved patient age range, and pharmacokinetics. Be familiar with these differences, as outlined in the approved labeling for those products, prior to recommending or prescribing such an agent.

5.11 Risks of Use in Patients With Increased Intracranial Pressure, Brain Tumors, Head Injury, Or Impaired Consciousness

In patients who may be susceptible to the intracranial effects of CO2 retention (e.g., those with evidence of increased intracranial pressure or brain tumors), morphine sulfate extended-release tablets may reduce respiratory drive, and the resultant CO2 retention can further increase intracranial pressure. Regularly evaluate such patients for signs of sedation and respiratory depression, particularly when initiating therapy with morphine sulfate extended-release tablets.

Opioids may also obscure the clinical course in a patient with a head injury. Avoid the use of morphine sulfate extended-release tablets in patients with impaired consciousness or coma.

5.7 Risk of Life Threatening Respiratory Depression in Patients With Chronic Pulmonary Disease Or in Elderly, Cachectic, Or Debilitated Patients

The use of morphine sulfate extended-release tablets in patients with acute or severe bronchial asthma in an unmonitored setting or in the absence of resuscitative equipment is contraindicated.


Structured Label Content

Section 42229-5 (42229-5)

Addiction, Abuse, and Misuse

Because the use of morphine sulfate extended-release tablets exposes patients and other users to the risks of opioid addiction, abuse, and misuse, which can lead to overdose and death, assess each patient's risk prior to prescribing and reassess all patients regularly for the development of these behaviors and conditions [see Warnings and Precautions (5.1)].

Section 43683-2 (43683-2)

Boxed Warning

12/2025

Indications and Usage (1)

12/2025

Dosage and Administration (2.2, 2.3, 2.6)

12/2025

Warnings and Precautions (5.1, 5.2, 5.3, 5.12, 5.14)

12/2025

Section 44425-7 (44425-7)

Store at 25°C (77°F); excursions permitted between 15° to 30°C (59° to 86°F) [see USP Controlled Room Temperature].

Store morphine sulfate extended-release tablets securely and dispose of properly [see Patient Counseling Information (17)].

Dispense in a tight, light-resistant container.

9.2 Abuse

Morphine sulfate extended-release tablets contains morphine, a substance with a high potential for misuse and abuse, which can lead to the development of substance use disorder, including addiction [see Warnings and Precautions (5.1)].

Misuse is the intentional use, for therapeutic purposes, of a drug by an individual in a way other than prescribed by a health care provider or for whom it was not prescribed.

Abuse is the intentional, non-therapeutic use of a drug, even once, for its desirable psychological or physiological effects.

Drug addiction is a cluster of behavioral, cognitive, and physiological phenomena that may include a strong desire to take the drug, difficulties in controlling drug use (e.g., continuing drug use despite harmful consequences, giving a higher priority to drug use than to other activities and obligations), and possible tolerance or physical dependence.

Misuse and abuse of morphine sulfate extended-release tablets increases risk of overdose, which may lead to central nervous system and respiratory depression, hypotension, seizures, and death. The risk is increased with concurrent abuse of morphine sulfate extended-release tablets with alcohol and/or other CNS depressants. Abuse of and addiction to opioids in some individuals may not be accompanied by concurrent tolerance and symptoms of physical dependence. In addition, abuse of opioids can occur in the absence of addiction.

All patients treated with opioids require careful and frequent reevaluation for signs of misuse, abuse, and addiction, because use of opioid analgesic products carries the risk of addiction even under appropriate medical use. Patients at high risk of morphine sulfate extended-release tablets abuse include those with a history of prolonged use of any opioid, including products containing morphine, those with a history of drug or alcohol abuse, or those who use morphine sulfate extended-release tablets in combination with other abused drugs.

"Drug-seeking" behavior is very common in persons with substance use disorders. Drug-seeking tactics include emergency calls or visits near the end of office hours, refusal to undergo appropriate examination, testing, or referral, repeated "loss" of prescriptions, tampering with prescriptions and reluctance to provide prior medical records or contact information for other healthcare provider(s). "Doctor shopping" (visiting multiple prescribers to obtain additional prescriptions) is common among people who abuse drugs and people with substance use disorder. Preoccupation with achieving adequate pain relief can be appropriate behavior in a patient with poor pain control.

Morphine sulfate extended-release tablets, like other opioids, can be diverted for nonmedical use into illicit channels of distribution. Careful record-keeping of prescribing information, including quantity, frequency, and renewal requests, as required by state and federal law, is strongly advised.

Proper assessment of the patient, proper prescribing practices, periodic reevaluation of therapy, and proper dispensing and storage are appropriate measures that help to limit abuse of opioid drugs.

11 Description (11 DESCRIPTION)

Morphine Sulfate Extended-Release Tablets are for oral use and contain morphine sulfate, an opioid agonist.

Each tablet contains the following inactive ingredients common to all strengths: cetostearyl alcohol, hydroxyethyl cellulose, hypromellose, magnesium stearate, polyethylene glycol, talc, and titanium dioxide.

The tablet strengths describe the amount of morphine per tablet as the pentahydrated sulfate salt (morphine sulfate).

The 15 mg tablets also contain: FD&C Blue No. 2, lactose monohydrate, polysorbate 80

The 30 mg tablets also contain: D&C Red No. 7, FD&C Blue No. 1, lactose monohydrate, polysorbate 80

The 60 mg tablets also contain: D&C Red No. 30, D&C Yellow No. 10, hydroxypropyl cellulose, lactose monohydrate

The 100 mg tablets also contain: black iron oxide

The 200 mg tablets also contain: D&C Yellow No. 10, FD&C Blue No. 1, hydroxypropyl cellulose

Morphine sulfate is an odorless, white, crystalline powder with a bitter taste. It has a solubility of 1 in 21 parts of water and 1 in 1000 parts of alcohol, but is practically insoluble in chloroform or ether. The octanol: water partition coefficient of morphine is 1.42 at physiologic pH and the pKb is 7.9 for the tertiary nitrogen (mostly ionized at pH 7.4). Its molecular weight is 758.83 and its structural formula is:

9.3 Dependence

Both tolerance and physical dependence can develop during use of opioid therapy.

Tolerance is a physiological state characterized by a reduced response to a drug after repeated administration (i.e., a higher dose of a drug is required to produce the same effect that was once obtained at a lower dose).

Physical dependence is a state that develops as a result of a physiological adaptation in response to repeated drug use, manifested by withdrawal signs and symptoms after abrupt discontinuation or a significant dose reduction of a drug.

Withdrawal may be precipitated through the administration of drugs with opioid antagonist activity, (e.g., naloxone, nalmefene), mixed agonist/antagonist analgesics (e.g., pentazocine, butorphanol, nalbuphine), or partial agonists (e.g., buprenorphine). Physical dependence may not occur to a clinically significant degree until after several days to weeks of continued use.

Do not rapidly reduce or abruptly discontinue morphine sulfate extended-release tablets in a patient physically dependent on opioids. Rapid tapering of morphine sulfate extended-release tablets in a patient physically dependent on opioids may lead to serious withdrawal symptoms, uncontrolled pain, and suicide. Rapid discontinuation has also been associated with attempts to find other sources of opioid analgesics, which may be confused with drug-seeking for abuse.

When discontinuing morphine sulfate extended-release tablets, gradually taper the dosage using a patient-specific plan that considers the following: the dose of morphine sulfate extended-release tablets the patient has been taking, the duration of treatment, and the physical and psychological attributes of the patient. To improve the likelihood of a successful taper and minimize withdrawal symptoms, it is important that the opioid tapering schedule is agreed upon by the patient. In patients taking opioids for an extended period of time at high doses, ensure that a multimodal approach to pain management, including mental health support (if needed), is in place prior to initiating an opioid analgesic taper [see Dosage and Administration (2.6), Warnings and Precautions (5.14)].

Infants born to mothers physically dependent on opioids will also be physically dependent and may exhibit respiratory difficulties and withdrawal signs [see Use in Specific Populations (8.1)].

5.14 Withdrawal

Do not rapidly reduce or abruptly discontinue morphine sulfate extended-release tablets in a patient physically dependent on opioids. When discontinuing morphine sulfate extended-release tablets in a physically dependent patient, gradually taper the dosage. Rapid tapering of morphine in a patient physically dependent on opioids may lead to a withdrawal syndrome and return of pain [see Dosage and Administration (2.6) , Drug Abuse and Dependence (9.3) ].

Additionally, avoid the use of mixed agonist/antagonist (e.g., pentazocine, nalbuphine, and butorphanol) or partial agonist (e.g., buprenorphine) analgesics in patients who have received or are receiving a course of therapy with a full opioid agonist analgesic, including morphine sulfate extended-release tablets. In these patients, mixed agonists/antagonist and partial agonist analgesics may reduce the analgesic effect and/or may precipitate withdrawal symptoms [see Drug Interactions (7)].

Medication Guide
Manufactured by: Purdue Pharma L.P., Stamford, CT 06901-3431, www.purduepharma.com or call 1-888-726-7535

Marketed by: Rhodes Pharmaceuticals, Wilson, NC 27893 US, http://rhodespharma.com, or call 1-888-827-0616.
Packaged and Distributed by:
MAJOR® PHARMACEUTICALS
Indianapolis, IN 46268 USA
Refer to package label for Distributor's NDC Number



This Medication Guide has been approved by the U.S. Food and Drug Administration.          Revised: 12/2025

Medication Guide

Morphine Sulfate (Mor-feen-SUL-fate) Extended-Release (ER) Tablets, CII

Morphine sulfate ER tablets are:

  • A strong prescription pain medicine that contains an opioid (narcotic) that is used to manage severe and persistent pain that required an extended treatment period with a daily opioid pain medicine, when other pain medicines do not treat your pain well enough or you cannot tolerate them.
  • A long-acting (extended-release) opioid pain medicine that can put you at risk for overdose and death. Even if you take your dose correctly as prescribed you are at risk for opioid addiction, abuse, and misuse that can lead to death.
  • Not to be taken on an "as needed" basis.

Important information about morphine sulfate ER tablets:

  • Get emergency help or call 911 right away if you take too much morphine sulfate ER tablets (overdose). When you first start taking morphine sulfate ER tablets, when your dose is changed, or if you take too much (overdose), serious or life-threatening breathing problems that can lead to death may occur. Ask your healthcare provider about medicines like naloxone or nalmefene that can be used in an emergency to reverse an opioid overdose.
  • Taking morphine sulfate ER tablets with other opioid medicines, benzodiazepines, gabapentinoids (gabapentin or pregabalin), alcohol, or other central nervous system depressants (including street drugs) can cause severe drowsiness, decreased awareness, breathing problems, coma, and death.
  • Never give anyone else your morphine sulfate ER tablets. They could die from taking it. Selling or giving away morphine sulfate ER tablets is against the law.
  • Store morphine sulfate ER tablets securely, out of sight and reach of children, and in a location not accessible by others, including visitors to the home.

Do not take morphine sulfate ER tablets if you have:

  • severe asthma, trouble breathing, or other lung problems.
  • a bowel blockage or have narrowing of the stomach or intestines.

Before taking morphine sulfate ER tablets, tell your healthcare provider if you have a history of:

  • head injury, seizures
  • problems urinating
  • liver, kidney, thyroid problems
  • pancreas or gallbladder problems
  • abuse of street or prescription drugs, alcohol addiction, opioid overdose, or mental health problems.

Tell your healthcare provider if you are:

  • Noticing your pain getting worse. If your pain gets worse after you take morphine sulfate extended-release tablets, do not take more of morphine sulfate ER tablets without first talking to your healthcare provider. Talk to your healthcare provider if the pain you have increases, if you feel more sensitive to pain, or if you have new pain after taking morphine sulfate extended-release tablets.
  • Pregnant or planning to become pregnant. Use of morphine sulfate ER tablets for an extended period of time during pregnancy can cause withdrawal symptoms in your newborn baby that could be life-threatening if not recognized and treated.
  • Breastfeeding. Not recommended during treatment with morphine sulfate ER tablets. It may harm your baby.
  • Living in a household where there are small children or someone who has abused street or prescription drugs.
  • Taking prescription or over-the-counter medicines, vitamins, or herbal supplements. Taking morphine sulfate ER tablets with certain other medicines can cause serious side effects.

When taking morphine sulfate ER tablets:

  • Do not change your dose. Take morphine sulfate ER tablets exactly as prescribed by your healthcare provider. Use the lowest dose possible for the shortest duration.
  • Take your prescribed dose every 8 to 12 hours, as directed by your healthcare provider. Do not take more than your prescribed dose. If you miss a dose, take your next dose at the usual time.
  • Swallow morphine sulfate ER tablets whole. Do not cut, break, chew, crush, dissolve, snort, or inject morphine sulfate ER tablets because this may cause you to overdose and die.
  • Call your healthcare provider if the dose you are taking does not control your pain.
  • Do not stop taking morphine sulfate ER tablets without talking to your healthcare provider.
  • Dispose of expired, unwanted, or unused morphine sulfate ER tablets by promptly flushing down the toilet, if a drug take-back option is not readily available. Visit www.fda.gov/drugdisposal for additional information on disposal of unused medicines.

While taking morphine sulfate ER tablets DO NOT:

  • Drive or operate heavy machinery, until you know how morphine sulfate ER tablets affect you. Morphine sulfate ER tablets can make you sleepy, dizzy, or lightheaded.
  • Drink alcohol or use prescription or over-the-counter medicines that contain alcohol. Using products containing alcohol during treatment with morphine sulfate ER tablets may cause you to overdose and die.

The possible side effects of morphine sulfate extended-release tablets are:

  • Constipation, nausea, sleepiness, vomiting, tiredness, headache, dizziness, abdominal pain. Call your healthcare provider if you have any of these symptoms and they are severe.

Get emergency medical help or call 911 right away if you have:

  • trouble breathing, shortness of breath, fast heartbeat, chest pain, swelling of your face, tongue, or throat, extreme drowsiness, light-headedness when changing positions, feeling faint, agitation, high body temperature, trouble walking, stiff muscles, or mental changes such as confusion.

These are not all the possible side effects of morphine sulfate ER tablets. Call your healthcare provider for medical advice about side effects. You may report side effects to FDA at 1-800-FDA-1088. For more information, go to dailymed.nlm.nih.gov.

8.4 Pediatric Use

The safety and effectiveness in pediatric patients below the age of 18 have not been established.

8.5 Geriatric Use

The pharmacokinetics of morphine sulfate extended-release tablets have not been studied in elderly patients. Clinical studies of morphine sulfate extended-release tablets did not include sufficient numbers of subjects aged 65 and over to determine whether they respond differently from younger subjects.

Elderly patients (aged 65 years or older) may have increased sensitivity to morphine. In general, use caution when selecting a dosage for an elderly patient, usually starting at the low end of the dosing range, reflecting the greater frequency of decreased hepatic, renal, or cardiac function and of concomitant disease or other drug therapy.

Respiratory depression is the chief risk for elderly patients treated with opioids, and has occurred after large initial doses were administered to patients who were not opioid-tolerant or when opioids were co-administered with other agents that depress respiration. Titrate the dosage of morphine sulfate extended-release tablets slowly in geriatric patients and frequently reevaluate the patient for signs of central nervous system and respiratory depression [see Warnings and Precautions (5.7)].

Morphine is known to be substantially excreted by the kidney, and the risk of adverse reactions to this drug may be greater in patients with impaired renal function. Because elderly patients are more likely to have decreased renal function, care should be taken in dose selection, and it may be useful to regularly evaluate renal function.

2.3 Initial Dosage

It is safer to underestimate a patient's 24-hour oral morphine dosage and provide rescue medication (e.g., immediate-release opioid) than to overestimate the 24-hour oral morphine dosage and manage an adverse reaction due to an overdose. While useful tables of opioid equivalents are readily available, there is inter-patient variability in the potency of opioid drugs and opioid formulations. Frequently reevaluate patients for signs and symptoms of opioid withdrawal and for signs of oversedation/toxicity after converting patients to morphine sulfate extended-release tablets.

4 Contraindications (4 CONTRAINDICATIONS)

Morphine sulfate extended-release tablets are contraindicated in patients with:

6 Adverse Reactions (6 ADVERSE REACTIONS)

The following serious adverse reactions are described, or described in greater detail, in other sections:

7 Drug Interactions (7 DRUG INTERACTIONS)

Table 1 includes clinically significant drug interactions with morphine sulfate extended-release tablets.

Table 1: Clinically Significant Drug Interactions with Morphine Sulfate Extended-Release Tablets

Benzodiazepines and Other Central Nervous System (CNS) Depressants

Clinical Impact:

Due to additive pharmacologic effect, the concomitant use of benzodiazepines or other CNS depressants, including alcohol, can increase the risk of hypotension, respiratory depression, profound sedation, coma, and death [see Warnings and Precautions (5.3)].

Intervention:

Reserve concomitant prescribing of these drugs for use in patients for whom alternative treatment options are inadequate. Limit dosages and durations to the minimum required. Inform patients and caregivers of this potential interaction and educate them on the signs and symptoms of respiratory depression (including sedation). If concomitant use is warranted, consider recommending or prescribing an opioid overdose reversal agent [see Dosage and Administration (2.2, 2.5), Warnings and Precautions (5.1, 5.2, 5.3)].

Examples:

Benzodiazepines and other sedative hypnotics, anxiolytics, tranquilizers, muscle relaxants, general anesthetics, antipsychotics, gabapentinoids (gabapentin or pregabalin), other opioids, alcohol.

Serotonergic Drugs

Clinical Impact:

The concomitant use of opioids with other drugs that affect the serotonergic neurotransmitter system has resulted in serotonin syndrome.

Intervention:

If concomitant use is warranted, frequently evaluate the patient, particularly during treatment initiation and dose adjustment. Discontinue morphine sulfate extended-release tablets if serotonin syndrome is suspected.

Examples:

Selective serotonin reuptake inhibitors (SSRIs), serotonin and norepinephrine reuptake inhibitors (SNRIs), tricyclic antidepressants (TCAs), triptans, 5-HT3 receptor antagonists, drugs that effect the serotonin neurotransmitter system (e.g., mirtazapine, trazodone, tramadol), certain muscle relaxants (i.e., cyclobenzaprine, metaxalone), monoamine oxidase (MAO) inhibitors (those intended to treat psychiatric disorders and also others, such as linezolid and intravenous methylene blue).

Monoamine Oxidase Inhibitors (MAOIs)

Clinical Impact:

MAOI interactions with opioids may manifest as serotonin syndrome or opioid toxicity (e.g., respiratory depression, coma) [see Warnings and Precautions (5.8)].

Intervention:

Do not use morphine sulfate extended-release tablets in patients taking MAOIs or within 14 days of stopping such treatment.

Examples:

phenelzine, tranylcypromine, linezolid

Mixed Agonist/Antagonist and Partial Agonist Opioid Analgesics

Clinical Impact:

May reduce the analgesic effect of morphine sulfate extended-release tablets and/or precipitate withdrawal symptoms.

Intervention:

Avoid concomitant use.

Examples:

butorphanol, nalbuphine, pentazocine, buprenorphine

Muscle Relaxants

Clinical Impact:

Morphine may enhance the neuromuscular blocking action of skeletal muscle relaxants and produce an increased degree of respiratory depression.

Intervention:

Because respiratory depression may be greater than otherwise expected, decrease the dosage of morphine sulfate extended-release tablets and/or the muscle relaxant as necessary. Due to the risk of respiratory depression with concomitant use of skeletal muscle relaxants and opioids, consider recommending or prescribing an opioid overdose reversal agent [see Dosage and Administration (2.2), Warnings and Precautions (5.2, 5.3)].

Examples

cyclobenzaprine, metaxalone

Cimetidine

Clinical Impact:

The concomitant use of cimetidine can potentiate morphine effects and increase risk of hypotension, respiratory depression, profound sedation, coma, and death.

Intervention:

Evaluate patients for signs of respiratory depression that may be greater than otherwise expected and decrease the dosage of morphine sulfate extended-release tablets and/or cimetidine as necessary.

Diuretics

Clinical Impact:

Opioids can reduce the efficacy of diuretics by inducing the release of antidiuretic hormone.

Intervention:

Evaluate patients for signs of diminished diuresis and/or effects on blood pressure and increase the dosage of the diuretic as needed.

Anticholinergic Drugs

Clinical Impact:

The concomitant use of anticholinergic drugs may increase risk of urinary retention and/or severe constipation, which may lead to paralytic ileus.

Intervention:

Evaluate patients for signs of urinary retention or reduced gastric motility when morphine sulfate extended-release tablets are used concomitantly with anticholinergic drugs.

P-Glycoprotein (P-gp) Inhibitors

Clinical Impact:

The concomitant use of PGP-inhibitors can increase the exposure to morphine by about two-fold and can increase risk of hypotension, respiratory depression, profound sedation, coma, and death.

Intervention:

Evaluate patients for signs of respiratory depression that may be greater than otherwise expected and decrease the dosage of morphine sulfate extended-release tablets and/or the PGP-inhibitor as necessary.

Example:

quinidine

8.7 Renal Impairment

Morphine pharmacokinetics are altered in patients with renal failure. Start these patients with a lower than usual dosage of morphine sulfate extended-release tablets and titrate slowly while regularly evaluating for signs of respiratory depression, sedation, and hypotension [see Clinical Pharmacology (12.3)].

8.6 Hepatic Impairment

Morphine pharmacokinetics have been reported to be significantly altered in patients with cirrhosis. Start these patients with a lower than usual dosage of morphine sulfate extended-release tablets and titrate slowly while regularly evaluating for signs of respiratory depression, sedation, and hypotension [see Clinical Pharmacology (12.3)].

1 Indications and Usage (1 INDICATIONS AND USAGE)

Morphine sulfate extended-release tablets are indicated for the management of severe and persistent pain that requires an opioid analgesic and that cannot be adequately treated with alternative options, including immediate-release opioids.

5.10 Severe Hypotension

Morphine sulfate extended-release tablets may cause severe hypotension including orthostatic hypotension and syncope in ambulatory patients. There is increased risk in patients whose ability to maintain blood pressure has already been compromised by a reduced blood volume or concurrent administration of certain CNS depressant drugs (e.g., phenothiazines or general anesthetics) [see Drug Interactions (7)]. Regularly evaluate these patients for signs of hypotension after initiating or titrating the dosage of morphine sulfate extended-release tablets. In patients with circulatory shock, morphine sulfate extended-release tablets may cause vasodilation that can further reduce cardiac output and blood pressure. Avoid the use of morphine sulfate extended-release tablets in patients with circulatory shock.

12.1 Mechanism of Action

Morphine is a full opioid agonist and is relatively selective for the mu-opioid receptor, although it can bind to other opioid receptors at higher doses. The principal therapeutic action of morphine is analgesia. Like all full opioid agonists, there is no ceiling effect for analgesia with morphine. Clinically, dosage is titrated to provide adequate analgesia and may be limited by adverse reactions, including respiratory and CNS depression.

The precise mechanism of the analgesic action is unknown. However, specific CNS opioid receptors for endogenous compounds with opioid-like activity have been identified throughout the brain and spinal cord and are thought to play a role in the analgesic effects of this drug.

9.1 Controlled Substance

Morphine sulfate extended-release tablets contain morphine, a Schedule II controlled substance.

5.9 Adrenal Insufficiency

Cases of adrenal insufficiency have been reported with opioid use, more often following greater than one month of use. Presentation of adrenal insufficiency may include non-specific symptoms and signs including nausea, vomiting, anorexia, fatigue, weakness, dizziness, and low blood pressure. If adrenal insufficiency is suspected, confirm the diagnosis with diagnostic testing as soon as possible. If adrenal insufficiency is diagnosed, treat with physiologic replacement doses of corticosteroids. Wean the patient off of the opioid to allow adrenal function to recover and continue corticosteroid treatment until adrenal function recovers. Other opioids may be tried as some cases reported use of a different opioid without recurrence of adrenal insufficiency. The information available does not identify any particular opioids as being more likely to be associated with adrenal insufficiency.

5 Warnings and Precautions (5 WARNINGS AND PRECAUTIONS)
  • Opioid-Induced Hyperalgesia and Allodynia: Opioid-Induced Hyperalgesia (OIH) occurs when an opioid analgesic paradoxically causes an increase in pain, or an increase in sensitivity to pain. If OIH is suspected, carefully consider appropriately decreasing the dose of the current opioid analgesic, or opioid rotation. (5.6)
  • Life-Threatening Respiratory Depression in Patients with Chronic Pulmonary Disease or in Elderly, Cachectic, or Debilitated Patients: Regularly evaluate, particularly during initiation and titration. (5.7)
  • Adrenal Insufficiency: If diagnosed, treat with physiologic replacement of corticosteroids, and wean patient off of the opioid. (5.9)
  • Severe Hypotension: Regularly evaluate during dosage initiation and titration. Avoid use in patients with circulatory shock. (5.10)
  • Risks of Use in Patients with Increased Intracranial Pressure, Brain Tumors, Head Injury, or Impaired Consciousness: Monitor for sedation and respiratory depression. Avoid use of morphine sulfate extended-release tablets in patients with impaired consciousness or coma. (5.11)
2 Dosage and Administration (2 DOSAGE AND ADMINISTRATION)
  • Morphine sulfate extended-release tablets should be prescribed only by healthcare providers who are knowledgeable about the use of extended-release/long-acting opioids and how to mitigate the associated risks. (2.1)
  • Morphine sulfate extended-release tablets 100 mg and 200 mg tablets, a single dose greater than 60 mg, or a total daily dose greater than 120 mg, are only for use in patients in whom tolerance to an opioid of comparable potency has been established. (2.1)
  • Patients considered opioid-tolerant are those taking, for one week or longer, at least 60 mg of morphine per day, 25 mcg transdermal fentanyl per hour, 30 mg of oral oxycodone per day, 8 mg of oral hydromorphone per day, 25 mg oral oxymorphone per day, 60 mg oral hydrocodone per day, or an equianalgesic dose of another opioid. (2.1)
  • Use the lowest effective dosage for the shortest duration of time consistent with individual patient treatment goals. Reserve titration to higher doses of morphine sulfate extended-release tablets for patients in whom lower doses are insufficiently effective and in whom the expected benefits of using a higher dose opioid clearly outweigh the substantial risks. (2.1, 5)
  • Initiate the dosing regimen for each patient individually, taking into account the patient's underlying cause and severity of pain, prior analgesic treatment and response, and risk factors for addiction, abuse, and misuse. (2.1, 5.1)
  • Respiratory depression can occur at any time during opioid therapy, especially when initiating and following dosage increases with morphine sulfate extended-release tablets. Consider this risk when selecting an initial dose and when making dose adjustments. (2.1, 5.2)
  • Instruct patients to swallow morphine sulfate extended-release tablets intact and not to cut, break, chew, crush, or dissolve morphine sulfate extended-release tablets (risk of potentially fatal dose). (2.1, 5.1)
  • Discuss opioid overdose reversal agents and options for acquiring them with the patient and/or caregiver, both when initiating and renewing treatment with morphine sulfate extended-release tablets, especially if the patient has additional risk factors for overdose, or close contacts at risk for exposure and overdose. (2.2, 5.1, 5.2, 5.3)
  • Morphine sulfate extended-release tablets are administered orally once every 8 or 12 hours. (2.3)
  • For patients who are not opioid tolerant, initiate with 15 mg tablets orally every 8 to 12 hours. (2.3)
  • Periodically reassess patients receiving morphine sulfate extended-release tablets to evaluate the continued need for opioid analgesics to maintain pain control, for the signs or symptoms of adverse reactions, and for the development of addiction, abuse, or misuse. (2.4)
  • Do not rapidly reduce or abruptly discontinue morphine sulfate extended-release tablets in a physically dependent patient because rapid reduction or abrupt discontinuation of opioid analgesics has resulted in serious withdrawal symptoms, uncontrolled pain, and suicide. (2.5, 5.14)
Package/label Display Panel (Package/Label Display Panel)

MAJOR®

NDC 0904-6557-61

Unit Dose

CII

Morphine Sulfate

Extended-Release

Tablets

15 mg

Attention Dispenser: Accompanying

Medication Guide must be provided

to the patient upon Dispensing.

100 TABLETS (10 x 10)

Rx only

3 Dosage Forms and Strengths (3 DOSAGE FORMS AND STRENGTHS)
  • Morphine sulfate extended-release tablets 15 mg

    Round, blue-colored, film-coated tablets bearing the symbol ABG on one side and 15 on the other
  • Morphine sulfate extended-release tablets 30 mg

    Round, lavender-colored, film-coated tablets bearing the symbol ABG on one side and 30 on the other
  • Morphine sulfate extended-release tablets 60 mg

    Round, orange-colored, film-coated tablets bearing the symbol ABG on one side and 60 on the other
  • Morphine sulfate extended-release tablets 100 mg

    Round, gray-colored, film-coated tablets bearing the symbol ABG on one side and 100 on the other
  • Morphine sulfate extended-release tablets 200 mg

    Capsule-shaped, green-colored, film-coated tablets bearing the symbol ABG on one side and 200 on the other
6.1 Clinical Trial Experience

Because clinical trials are conducted under widely varying conditions, adverse reaction rates observed in the clinical trials of a drug cannot be directly compared to rates in the clinical trials of another drug and may not reflect the rates observed in practice.

Morphine sulfate extended-release tablets may increase the risk of serious adverse reactions such as those observed with other opioid analgesics, including respiratory depression, apnea, respiratory arrest, circulatory depression, hypotension, or shock [see Overdosage (10)].

6.2 Post Marketing Experience (6.2 Post-Marketing Experience)

The following adverse reactions have been identified during post-approval use of morphine sulfate extended-release tablets. Because these reactions are reported voluntarily from a population of uncertain size, it is not always possible to reliably estimate their frequency or establish a causal relationship to drug exposure.

Amenorrhea, asthenia, bronchospasm, confusional state, drug hypersensitivity, fatigue, hyperalgesia, hypertonia, ileus, increased hepatic enzymes, intestinal obstruction, lethargy, malaise, pulmonary edema, thinking disturbances, somnolence, and vertigo.

Serotonin syndrome: Cases of serotonin syndrome, a potentially life-threatening condition, have been reported during concomitant use of opioids with serotonergic drugs.

Adrenal insufficiency: Cases of adrenal insufficiency have been reported with opioid use, more often following greater than one month of use.

Anaphylaxis: Anaphylaxis has been reported with ingredients contained in morphine sulfate extended-release tablets.

Androgen deficiency: Cases of androgen deficiency have occurred with use of opioids for an extended period of time [see Clinical Pharmacology (12.2)].

Hyperalgesia and Allodynia: Cases of hyperalgesia and allodynia have been reported with opioid therapy of any duration [see Warnings and Precautions (5.6)].

Hypoglycemia: Cases of hypoglycemia have been reported in patients taking opioids. Most reports were in patients with at least one predisposing risk factor (e.g., diabetes).

Opioid-induced esophageal dysfunction (OIED): Cases of OIED have been reported in patients taking opioids and may occur more frequently in patients taking higher doses of opioids, and/or in patients taking opioids longer term [see Warnings and Precautions (5.12)].

8 Use in Specific Populations (8 USE IN SPECIFIC POPULATIONS)
  • Pregnancy: May cause fetal harm. (8.1)
  • Lactation: Not recommended. (8.2)
5.1 Addiction, Abuse, and Misuse

Morphine sulfate extended-release tablets contain morphine, a Schedule II controlled substance. As an opioid, morphine sulfate extended-release tablets expose its users to the risks of addiction, abuse, and misuse.

Although the risk of addiction in any individual is unknown, it can occur in patients appropriately prescribed morphine sulfate extended-release tablets. Addiction can occur at recommended doses and if the drug is misused or abused. The risk of opioid-related overdose or overdose-related death is increased with higher opioid doses, and this risk persists over the course of therapy. In postmarketing studies, addiction, abuse, misuse, and fatal and non-fatal opioid overdose were observed in patients with long-term opioid use [see Adverse Reactions (6.2)].

Assess each patient's risk for opioid addiction, abuse, or misuse prior to prescribing morphine sulfate extended-release tablets, and reassess all patients receiving morphine sulfate extended-release tablets for development of these behaviors and conditions. Risks are increased in patients with a personal or family history of substance abuse (including drug or alcohol abuse or addiction) or mental illness (e.g., major depression). The potential for these risks should not, however, prevent the proper management of pain in any given patient. Patients at increased risk may be prescribed opioids such as morphine sulfate extended-release tablets, but use in such patients necessitates intensive counseling about the risks of proper use of morphine sulfate extended-release tablets along with frequent reevaluation for signs of addiction, abuse, and misuse. Consider recommending or prescribing an opioid overdose reversal agent [see Dosage and Administration (2.2), Warnings and Precautions (5.2)].

Abuse or misuse of morphine sulfate extended-release tablets by crushing, chewing, snorting, or injecting the dissolved product will result in the uncontrolled delivery of morphine and can result in overdose and death [see Overdosage (10)].

Opioids are sought for nonmedical use and are subject to diversion from legitimate prescribed use. Consider these risks when prescribing or dispensing morphine sulfate extended-release tablets. Strategies to reduce these risks include prescribing the drug in the smallest appropriate quantity and advising the patient on careful storage of the drug during the course of treatment and proper disposal of unused drug. Contact local state professional licensing board or state-controlled substances authority for information on how to prevent and detect abuse or diversion of this product.

17 Patient Counseling Information (17 PATIENT COUNSELING INFORMATION)

Advise the patient to read the FDA-approved patient labeling (Medication Guide).

16 How Supplied/storage and Handling (16 HOW SUPPLIED/STORAGE AND HANDLING)

Morphine Sulfate Extended-Release Tablets are supplied as follows:

15 mg – round, blue-colored, film-coated tablets bearing the symbol ABG on one side and 15 on the other.

Cartons of 100 film-coated extended-release tablets (10 film-coated extended-release tablets each blister pack x 10), NDC 0904-6557-61 

30 mg – round, lavender-colored, film-coated tablets bearing the symbol ABG on one side and 30 on the other.

Cartons of 100 film-coated extended-release tablets (10 film-coated extended-release tablets each blister pack x 10), NDC 0904-6558-61

60 mg – round, orange-colored, film-coated tablets bearing the symbol ABG on one side and 60 on the other.

Cartons of 100 film-coated extended-release tablets (10 film-coated extended-release tablets each blister pack x 10), NDC 0904-6559-61

100 mg – round, gray-colored, film-coated tablets bearing the symbol ABG on one side and 100 on the other.

Cartons of 100 film-coated extended-release tablets (10 film-coated extended-release tablets each blister pack x 10), NDC 0904-6560-61

WARNING: These Unit Dose packages are not child resistant and are Intended for Institutional Use Only. Keep this and all drugs out of the reach of children.

5.4 Neonatal Opioid Withdrawal Syndrome

Use of morphine sulfate extended-release tablets for an extended period of time during pregnancy can result in withdrawal in the neonate. Neonatal opioid withdrawal syndrome, unlike opioid withdrawal syndrome in adults, may be life-threatening if not recognized and treated, and requires management according to protocols developed by neonatology experts. Observe newborns for signs of neonatal opioid withdrawal syndrome and manage accordingly. Advise pregnant women using opioids for an extended period of time of the risk of neonatal opioid withdrawal syndrome and ensure that appropriate treatment will be available [see Use in Specific Populations (8.1)].

2.4 Titration and Maintenance of Therapy

Individually titrate morphine sulfate extended-release tablets to a dose that provides adequate analgesia and minimizes adverse reactions. Continually reevaluate patients receiving morphine sulfate extended-release tablets to assess the maintenance of pain control, signs and symptoms of opioid withdrawal, and other adverse reactions, as well as to reassess for the development of addiction, abuse, or misuse [see Warnings and Precautions (5.1, 5.14)]. Frequent communication is important among the prescriber, other members of the healthcare team, the patient, and the caregiver/family during periods of changing analgesic requirements, including initial titration. During use of opioid therapy for an extended period of time, periodically reassess the continued need for the use of opioid analgesics.

Patients who experience breakthrough pain may require a dosage adjustment of morphine sulfate extended-release tablets, or may need rescue medication with an appropriate dose of an immediate-release analgesic.

If the level of pain increases after dose stabilization, attempt to identify the source of increased pain before increasing the morphine sulfate extended-release tablets dosage. If after increasing the dosage, unacceptable opioid-related adverse reactions are observed (including an increase in pain after a dosage increase), consider reducing the dosage [see Warnings and Precautions (5)]. Adjust the dosage to obtain an appropriate balance between management of pain and opioid-related adverse reactions.

Because steady-state plasma concentrations are approximated in 1 day, morphine sulfate extended-release tablets dosage adjustments may be done every 1 to 2 days.

5.2 Life Threatening Respiratory Depression (5.2 Life-Threatening Respiratory Depression)

Serious, life-threatening, or fatal respiratory depression has been reported with the use of opioids, even when used as recommended. Respiratory depression, if not immediately recognized and treated, may lead to respiratory arrest and death. Management of respiratory depression may include close observation, supportive measures, and use of opioid overdose reversal agent, depending on the patient's clinical status [see Overdosage (10) ] . Carbon dioxide (CO2) retention from opioid-induced respiratory depression can exacerbate the sedating effects of opioids.

While serious, life-threatening, or fatal respiratory depression can occur at any time during the use of morphine sulfate extended-release tablets, the risk is greatest during the initiation of therapy or following a dosage increase.

To reduce the risk of respiratory depression, proper dosing and titration of morphine sulfate extended-release tablets are essential [see Dosage and Administration (2)]. Overestimating the morphine sulfate extended-release tablets dosage when converting patients from another opioid product can result in a fatal overdose with the first dose.

Accidental ingestion of even one dose of morphine sulfate extended-release tablets, especially by children, can result in respiratory depression and death due to an overdose of morphine.

Educate patients and caregivers on how to recognize respiratory depression and emphasize the importance of calling 911 or getting emergency medical help right away in the event of a known or suspected overdose.

Opioids can cause sleep-related breathing disorders including central sleep apnea (CSA) and sleep-related hypoxemia. Opioid use increases the risk of CSA in a dose-dependent fashion. In patients who present with CSA, consider decreasing the opioid dosage using best practices for opioid taper [see Dosage and Administration (2.6)].

5.12 Risks of Gastrointestinal Complications

Morphine sulfate extended-release tablets are contraindicated in patients with known or suspected gastrointestinal obstruction, including paralytic ileus.

The morphine in morphine sulfate extended-release tablets may cause spasm of the sphincter of Oddi. Opioids may cause increases in serum amylase. Regularly evaluate patients with biliary tract disease, including acute pancreatitis, for worsening symptoms.

Cases of opioid-induced esophageal dysfunction (OIED) have been reported in patients taking opioids. The risk of OIED may increase as the dose and/or duration of opioids increases. Regularly evaluate patients for signs and symptoms of OIED (e.g., dysphagia, regurgitation, non-cardiac chest pain) and, if necessary, adjust opioid therapy as clinically appropriate [see Clinical Pharmacology (12.2)].

5.15 Risks of Driving and Operating Machinery

Morphine sulfate extended-release tablets may impair the mental or physical abilities needed to perform potentially hazardous activities such as driving a car or operating machinery. Warn patients not to drive or operate dangerous machinery unless they are tolerant to the effects of morphine sulfate extended-release tablets and know how they will react to the medication.

5.6 Opioid Induced Hyperalgesia and Allodynia (5.6 Opioid-Induced Hyperalgesia and Allodynia)

Opioid-Induced Hyperalgesia (OIH) occurs when an opioid analgesic paradoxically causes an increase in pain, or an increase in sensitivity to pain. This condition differs from tolerance, which is the need for increasing doses of opioids to maintain a defined effect [see Drug Abuse and Dependence (9.3)].

Symptoms of OIH include (but may not be limited to) increased levels of pain upon opioid dosage increase, decreased levels of pain upon opioid dosage decrease, or pain from ordinarily non-painful stimuli (allodynia). These symptoms may suggest OIH only if there is no evidence of underlying disease progression, opioid tolerance, opioid withdrawal, or addictive behavior.

Cases of OIH have been reported, both with short-term and longer-term use of opioid analgesics. Though the mechanism of OIH is not fully understood, multiple biochemical pathways have been implicated. Medical literature suggests a strong biologic plausibility between opioid analgesics and OIH and allodynia. If a patient is suspected to be experiencing OIH, carefully consider appropriately decreasing the dose of the current opioid analgesic or opioid rotation (safely switching the patient to a different opioid moiety) [see Dosage and Administration (2.6), Warnings and Precautions (5.14)].

5.8 Interaction With Monoamine Oxidase Inhibitors (5.8 Interaction with Monoamine Oxidase Inhibitors)

Monoamine oxidase inhibitors (MAOIs) may potentiate the effects of morphine, including respiratory depression, coma, and confusion. Morphine sulfate extended-release tablets should not be used in patients taking MAOIs or within 14 days of stopping such treatment.

2.1 Important Dosage and Administration Instructions
  • Morphine sulfate extended-release tablets should be prescribed by healthcare professionals who are knowledgeable about the use of extended-release/long-acting opioids and how to mitigate the associated risks.
  • Morphine sulfate extended-release 100 mg and 200 mg tablets, a single dose greater than 60 mg, or a total daily dose greater than 120 mg, are only for use in patients in whom tolerance to an opioid of comparable potency has been established. Patients considered opioid-tolerant are those taking, for one week or longer, at least 60 mg morphine per day, 25 mcg transdermal fentanyl per hour, 30 mg oral oxycodone per day, 8 mg oral hydromorphone daily, 25 mg oral oxymorphone per day, 60 mg oral hydrocodone per day, or an equianalgesic dose of another opioid.
  • Use the lowest effective dosage for the shortest duration of time consistent with individual patient treatment goals [see Warnings and Precautions (5)]. Because the risk of overdose increases as opioid doses increase, reserve titration to higher doses of morphine sulfate extended-release tablets for patients in whom lower doses are insufficiently effective and in whom the expected benefits of using a higher dose opioid clearly outweigh the substantial risks.
  • Initiate the dosing regimen for each patient individually, taking into account the patient's underlying cause and severity of pain, prior analgesic treatment and response, and risk factors for addiction, abuse, and misuse [see Warnings and Precautions (5.1)].
  • Respiratory depression can occur at any time during opioid therapy, especially when initiating and following dosage increases with morphine sulfate extended-release tablets. Consider this risk when selecting an initial dose and when making dose adjustments [see Warnings and Precautions (5.2)].
  • Morphine sulfate extended-release tablets are administered orally once every 8 or 12 hours.
  • Instruct patients to swallow morphine sulfate extended-release tablets whole. Crushing, chewing, or dissolving morphine sulfate extended-release tablets will result in uncontrolled delivery of morphine and can lead to overdose or death [see Warnings and Precautions (5.1)].
5.13 Increased Risk of Seizures in Patients With Seizure Disorders (5.13 Increased Risk of Seizures in Patients with Seizure Disorders)

The morphine in morphine sulfate extended-release tablets may increase the frequency of seizures in patients with seizure disorders, and may increase the risk of seizures occurring in other clinical settings associated with seizures. Regularly evaluate patients with a history of seizure disorders for worsened seizure control during morphine sulfate extended-release tablets therapy.

5.5 Opioid Analgesic Risk Evaluation and Mitigation Strategy (rems) (5.5 Opioid Analgesic Risk Evaluation and Mitigation Strategy (REMS))

To ensure that the benefits of opioid analgesics outweigh the risks of addiction, abuse, and misuse, the Food and Drug Administration (FDA) has required a Risk Evaluation and Mitigation Strategy (REMS) for these products. Under the requirements of the REMS, drug companies with approved opioid analgesic products must make REMS-compliant education programs available to healthcare providers. Healthcare providers are strongly encouraged to do all of the following:

  • Complete a REMS-compliant education program offered by an accredited provider of continuing education (CE) or another education program that includes all the elements of the FDA Education Blueprint for Health Care Providers Involved in the Management or Support of Patients with Pain.
  • Discuss the safe use, serious risks, and proper storage and disposal of opioid analgesics with patients and/or their caregivers every time these medicines are prescribed. The Patient Counseling Guide (PCG) can be obtained at this link: www.fda.gov/OpioidAnalgesicREMSPCG.
  • Emphasize to patients and their caregivers the importance of reading the Medication Guide that they will receive from their pharmacist every time an opioid analgesic is dispensed to them.
  • Consider using other tools to improve patient, household, and community safety, such as patient- prescriber agreements that reinforce patient-prescriber responsibilities.
  • To obtain further information on the opioid analgesic REMS and for a list of accredited REMS CME/CE, call 1-800-503-0784, or log on to www.opioidanalgesicrems.com. The FDA Blueprint can be found at www.fda.gov/OpioidAnalgesicREMSBlueprint.
5.3 Risks From Concomitant Use With Benzodiazepines Or Other Cns Depressants (5.3 Risks from Concomitant Use with Benzodiazepines or Other CNS Depressants)

Profound sedation, respiratory depression, coma, and death may result from the concomitant use of morphine sulfate extended-release tablets with benzodiazepines and/or other CNS depressants, including alcohol (e.g., non-benzodiazepine sedatives/hypnotics, anxiolytics, tranquilizers, muscle relaxants, general anesthetics, antipsychotics, gabapentinoids [gabapentin or pregabalin], and other opioids). Because of these risks, reserve concomitant prescribing of these drugs for use in patients for whom alternative treatment options are inadequate.

Observational studies have demonstrated that concomitant use of opioid analgesics and benzodiazepines increases the risk of drug-related mortality compared to use of opioid analgesics alone. Because of similar pharmacological properties, it is reasonable to expect similar risk with the concomitant use of other CNS depressant drugs with opioid analgesics [see Drug Interactions (7)].

If the decision is made to prescribe a benzodiazepine or other CNS depressant concomitantly with an opioid analgesic, prescribe the lowest effective dosages and minimum durations of concomitant use. In patients already receiving an opioid analgesic, prescribe a lower initial dose of the benzodiazepine or other CNS depressant than indicated in the absence of an opioid, and titrate based on clinical response. If an opioid analgesic is initiated in a patient already taking a benzodiazepine or other CNS depressant, prescribe a lower initial dose of the opioid analgesic, and titrate based on clinical response. Inform patients and caregivers of this potential interaction and educate them on the signs and symptoms of respiratory depression (including sedation).

If concomitant use is warranted, consider recommending or prescribing an opioid overdose reversal agent [see Dosage and Administration (2.2), Warnings and Precautions (5.2), Overdosage (10)].

Advise both patients and caregivers about the risks of respiratory depression and sedation when morphine sulfate extended-release tablets are used with benzodiazepines or other CNS depressants (including alcohol and illicit drugs). Advise patients not to drive or operate heavy machinery until the effects of concomitant use of the benzodiazepine or other CNS depressant have been determined. Screen patients for risk of substance use disorders, including opioid abuse and misuse, and warn them of the risk for overdose and death associated with the use of additional CNS depressants including alcohol and illicit drugs [see Drug Interactions (7)].

2.6 Safe Reduction Or Discontinuation of Morphine Sulfate Extended Release Tablets (2.6 Safe Reduction or Discontinuation of Morphine Sulfate Extended-Release Tablets)

Do not rapidly reduce or abruptly discontinue morphine sulfate extended-release tablets in patients who may be physically dependent on opioids. Rapid reduction or abrupt discontinuation of opioid analgesics in patients who are physically dependent on opioids has resulted in serious withdrawal symptoms, uncontrolled pain, and suicide. Rapid reduction or abrupt discontinuation has also been associated with attempts to find other sources of opioid analgesics, which may be confused with drug-seeking for abuse. Patients may also attempt to treat their pain or withdrawal symptoms with illicit opioids, such as heroin, and other substances.

When a decision has been made to decrease the dose or discontinue therapy in an opioid dependent patient taking morphine sulfate extended-release tablets, there are a variety of factors that should be considered, including the total daily dose of opioid (including morphine sulfate extended-release tablets) the patient has been taking, the duration of treatment, the type of pain being treated, and the physical and psychological attributes of the patient. It is important to ensure ongoing care of the patient and to agree on an appropriate tapering schedule and follow-up plan so that patient and provider goals and expectations are clear and realistic. When opioid analgesics are being discontinued due to a suspected substance use disorder, evaluate, and treat the patient, or refer for evaluation and treatment of the substance use disorder. Treatment should include evidence-based approaches, such as medication assisted treatment of opioid use disorder. Complex patients with co-morbid pain and substance use disorders may benefit from referral to a specialist.

There are no standard opioid tapering schedules that are suitable for all patients. Good clinical practice dictates a patient-specific plan to taper the dose of the opioid gradually. For patients on morphine sulfate extended-release tablets who are physically opioid-dependent, initiate the taper by a small enough increment (e.g., no greater than 10% to 25% of the total daily dose) to avoid withdrawal symptoms, and proceed with dose-lowering at an interval of every 2 to 4 weeks. Patients who have been taking opioids for briefer periods of time may tolerate a more rapid taper.

It may be necessary to provide the patient with lower dosage strengths to accomplish a successful taper. Reassess the patient frequently to manage pain and withdrawal symptoms, should they emerge. Common withdrawal symptoms include restlessness, lacrimation, rhinorrhea, yawning, perspiration, chills, myalgia, and mydriasis. Other signs and symptoms also may develop, including irritability, anxiety, backache, joint pain, weakness, abdominal cramps, insomnia, nausea, anorexia, vomiting, diarrhea, or increased blood pressure, respiratory rate, or heart rate. If withdrawal symptoms arise, it may be necessary to pause the taper for a period of time or raise the dose of the opioid analgesic to the previous dose, and then proceed with a slower taper. In addition, evaluate patients for any changes in mood, emergence of suicidal thoughts, or use of other substances.

When managing patients taking opioid analgesics, particularly those who have been treated for an extended period of time and/or with high doses for chronic pain, ensure that a multimodal approach to pain management, including mental health support (if needed), is in place prior to initiating an opioid analgesic taper. A multimodal approach to pain management may optimize the treatment of chronic pain, as well as assist with the successful tapering of the opioid analgesic [see Warnings and Precautions (5.14), Drug Abuse and Dependence (9.3)].

2.5 Dosage Modifications With Concomitant Use of Central Nervous System Depressants (2.5 Dosage Modifications with Concomitant Use of Central Nervous System Depressants)

If the patient is currently taking a central nervous system (CNS) depressant and the decision is made to begin morphine sulfate extended-release tablets, start with the lowest possible dose, 15 mg every 12 hours, monitor patients for signs of respiratory depression, sedation, and hypotension, and consider using a lower dosage of the concomitant CNS depressant [see Warnings and Precautions (5.3), Drug Interactions (7)].

Warning: Serious and Life Threatening Risks From Use of Morphine Sulfate Extended Release Tablets (WARNING: SERIOUS AND LIFE-THREATENING RISKS FROM USE OF MORPHINE SULFATE EXTENDED-RELEASE TABLETS)

WARNING: SERIOUS AND LIFE-THREATENING RISKS FROM USE OF MORPHINE SULFATE EXTENDED-RELEASE TABLETS

See full prescribing information for complete boxed warning.

  • Morphine sulfate extended-release tablets expose users to risks of addiction, abuse, and misuse, which can lead to overdose and death. Assess patient's risk before prescribing and reassess regularly for these behaviors and conditions. (5.1)
  • Serious, life-threatening, or fatal respiratory depression may occur, especially during initiation or following a dosage increase. To reduce the risk of respiratory depression, proper dosing and titration of morphine sulfate extended-release tablets are essential. Instruct patients to swallow morphine sulfate extended-release tablets whole to avoid exposure to a potentially fatal dose of morphine. (5.2)
  • Accidental ingestion of morphine sulfate extended-release tablets, especially by children, can result in a fatal overdose of morphine. (5.2)
  • Concomitant use of opioids with benzodiazepines or other central nervous system (CNS) depressants, including alcohol, may result in profound sedation, respiratory depression, coma, and death. Reserve concomitant prescribing for use in patients for whom alternative treatment options are inadequate. (5.3, 7)
  • Advise pregnant women using opioids for an extended period of time of the risk of Neonatal Opioid Withdrawal Syndrome, which may be life-threatening if not recognized and treated. Ensure that management by neonatology experts will be available at delivery. (5.4)
  • Healthcare providers are strongly encouraged to complete a REMS compliant education program and to counsel patients and caregivers on serious risks, safe use, and the importance of reading the Medication Guide with each prescription. (5.5)
2.2 Patient Access to An Opioid Overdose Reversal Agent for the Emergency Treatment of Opioid Overdose (2.2 Patient Access to an Opioid Overdose Reversal Agent for the Emergency Treatment of Opioid Overdose)

Inform patients and caregivers about opioid overdose reversal agents (e.g., naloxone, nalmefene). Discuss the importance of having access to an opioid overdose reversal agent, especially if the patient has risk factors for overdose (e.g., concomitant use of CNS depressants, a history of opioid use disorder, or prior opioid overdose) or if there are household members (including children) or other close contacts at risk for accidental ingestion or opioid overdose. The presence of risk factors for overdose should not prevent the management of pain in any patient [see Warnings and Precautions (5.1 , 5.2 , 5.3) ] .

Discuss the options for obtaining an opioid overdose reversal agent (e.g., prescription, over-the-counter, or as part of a community-based program) [see Warnings and Precautions (5.2)].

There are important differences among the opioid overdose reversal agents, such as route of administration, product strength, approved patient age range, and pharmacokinetics. Be familiar with these differences, as outlined in the approved labeling for those products, prior to recommending or prescribing such an agent.

5.11 Risks of Use in Patients With Increased Intracranial Pressure, Brain Tumors, Head Injury, Or Impaired Consciousness (5.11 Risks of Use in Patients with Increased Intracranial Pressure, Brain Tumors, Head Injury, or Impaired Consciousness)

In patients who may be susceptible to the intracranial effects of CO2 retention (e.g., those with evidence of increased intracranial pressure or brain tumors), morphine sulfate extended-release tablets may reduce respiratory drive, and the resultant CO2 retention can further increase intracranial pressure. Regularly evaluate such patients for signs of sedation and respiratory depression, particularly when initiating therapy with morphine sulfate extended-release tablets.

Opioids may also obscure the clinical course in a patient with a head injury. Avoid the use of morphine sulfate extended-release tablets in patients with impaired consciousness or coma.

5.7 Risk of Life Threatening Respiratory Depression in Patients With Chronic Pulmonary Disease Or in Elderly, Cachectic, Or Debilitated Patients (5.7 Risk of Life-Threatening Respiratory Depression in Patients with Chronic Pulmonary Disease or in Elderly, Cachectic, or Debilitated Patients)

The use of morphine sulfate extended-release tablets in patients with acute or severe bronchial asthma in an unmonitored setting or in the absence of resuscitative equipment is contraindicated.


Advanced Ingredient Data


Raw Label Data

All Sections (JSON)