These Highlights Do Not Include All The Information Needed To Use Bupivacaine Hydrochloride Injection Safely And Effectively. See Full Prescribing Information For Bupivacaine Hydrochloride Injection.
daec9ee4-b666-485e-a153-4b5e5acc48a1
34391-3
HUMAN PRESCRIPTION DRUG LABEL
Drug Facts
Composition & Product
Identifiers & Packaging
Description
There have been reports of cardiac arrest with difficult resuscitation or death during use of bupivacaine hydrochloride for epidural anesthesia in obstetrical patients. In most cases, this has followed use of the 0.75% (7.5 mg per mL) concentration. Resuscitation has been difficult or impossible despite apparently adequate preparation and appropriate management. Cardiac arrest has occurred after convulsions resulting from systemic toxicity, presumably following unintentional intravascular injection. The 0.75% (7.5 mg per mL) concentration of bupivacaine hydrochloride is not recommended for obstetrical anesthesia and should be reserved for surgical procedures where a high degree of muscle relaxation and prolonged effect are necessary [see Warnings and Precautions (5.1) ].
Indications and Usage
Bupivacaine Hydrochloride Injection is indicated in adults for the production of local or regional anesthesia or analgesia for surgery and oral surgery procedures, diagnostic and therapeutic procedures, and for obstetrical procedures. Specific concentrations and presentations of Bupivacaine Hydrochloride Injection are recommended for each type of block indicated to produce local or regional anesthesia or analgesia [see Dosage and Administration (2.2) ]. Limitations of Use Not all blocks are indicated for use with Bupivacaine Hydrochloride Injection given clinically significant risks associated with use [see Dosage and Administration (2.2) , Contraindications (4) , Warnings and Precautions (5.1 , 5.4 , 5.5 , 5.7 , 5.9 )] .
Dosage and Administration
Bupivacaine hydrochloride injection is not for intrathecal use. Avoid use of bupivacaine hydrochloride injection solutions containing antimicrobial preservatives (i.e., multiple dose vials) for epidural or caudal anesthesia [see Warnings and Precautions (5.4) ] . Discard unused portions of solution not containing preservatives, i.e., those supplied in single-dose vials, following initial use. Visually inspect this product for particulate matter and discoloration prior to administration whenever solution and container permit. Bupivacaine hydrochloride injection is a clear, colorless solution. Do not administer solutions which are discolored or contain particulate matter. Mixing or the prior or intercurrent use of any other local anesthetic with bupivacaine hydrochloride injection is not recommended because of insufficient data on the clinical use of such mixtures. Administration Precautions Bupivacaine hydrochloride injection is to be administered in carefully adjusted dosages by or under the supervision of experienced clinicians who are well versed in the diagnosis and management of dose-related toxicity and other acute emergencies which might arise from the block to be employed. Use bupivacaine hydrochloride injection only if the following are immediately available: oxygen, cardiopulmonary resuscitative equipment and drugs, and the personnel resources needed for proper management of toxic reactions and related emergencies [see Warnings and Precautions (5.2) , Adverse Reactions (6) , Overdosage (10) ]. The toxic effects of local anesthetics are additive. Monitor for neurologic and cardiovascular effects related to local anesthetic systemic toxicity when additional local anesthetics are administered with bupivacaine hydrochloride injection [see Warnings and Precautions (5.2) , Drug Interactions (7.1) , Overdosage (10) ]. Aspirate for blood or cerebrospinal fluid (where applicable) prior to injecting bupivacaine hydrochloride injection, both the initial dose and all subsequent doses, to avoid intravascular or intrathecal injection. However, a negative aspiration for blood or cerebrospinal fluid does not ensure against an intravascular or intrathecal injection [see Warnings and Precautions (5.9) ] . Avoid rapid injection of a large volume of bupivacaine hydrochloride injection and use fractional (incremental) doses when feasible. During major regional nerve blocks, such as those of the brachial plexus or lower extremity, the patient should have an indwelling intravenous catheter to assure adequate intravenous access. The lowest dosage of bupivacaine hydrochloride injection that results in effective anesthesia should be used to avoid high plasma levels and serious adverse reactions. Perform careful and constant monitoring of cardiovascular and respiratory (adequacy of oxygenation and ventilation) vital signs and the patient’s level of consciousness after each local anesthetic injection.
Warnings and Precautions
Dose-Related Toxicity : Monitor cardiovascular and respiratory vital signs and patient’s state of consciousness after injection of bupivacaine hydrochloride. ( 5.2 ) Methemoglobinemia : Cases of methemoglobinemia have been reported in association with local anesthetic use. See full prescribing information for more detail on managing these risks. ( 5.3 ) Chondrolysis with Intra-Articular Infusion : Intra-articular infusions of local anesthetics including bupivacaine hydrochloride following arthroscopic and other surgical procedures is an unapproved use, and there have been post-marketing reports of chondrolysis in patients receiving such infusions. ( 5.5 ) Risk of Cardiac Arrest with Intravenous Regional Anesthesia Use (Bier Block) : There have been reports of cardiac arrest and death during the use of bupivacaine hydrochloride for intravenous regional anesthesia (Bier Block). ( 5.7 ) Risk of Systemic Toxicities with Unintended Intravascular or Intrathecal Injection : Unintended intravascular or intrathecal injection may be associated with systemic toxicities, including CNS or cardiorespiratory depression and coma, progressing ultimately to respiratory arrest. Aspirate for blood or cerebrospinal fluid (where applicable) prior to each dose. ( 5.9 )
Contraindications
Bupivacaine hydrochloride is contraindicated in: obstetrical paracervical block anesthesia. Its use in this technique has resulted in fetal bradycardia and death. intravenous regional anesthesia (Bier Block) [see Warnings and Precautions (5.7) ] . patients with a known hypersensitivity to bupivacaine hydrochloride or to any local anesthetic agent of the amide-type or to other components of bupivacaine hydrochloride injection.
Adverse Reactions
Small doses of local anesthetics (e.g., bupivacaine hydrochloride) injected into the head and neck area, including retrobulbar, dental, and stellate ganglion blocks, may produce adverse reactions similar to systemic toxicity seen with unintentional intravascular injections of larger doses. The injection procedures require the utmost care. Confusion, convulsions, respiratory depression, and/or respiratory arrest, and cardiovascular stimulation or depression have been reported. These reactions may be due to intra-arterial injection of the local anesthetic with retrograde flow to the cerebral circulation. They may also be due to puncture of the dural sheath of the optic nerve during retrobulbar block with diffusion of any local anesthetic along the subdural space to the midbrain. Monitor circulation and respiration and constantly observe patients receiving bupivacaine hydrochloride blocks. Resuscitative equipment and drugs, and personnel for treating adverse reactions should be immediately available. Dosage recommendations should not be exceeded [see Dosage and Administration (2.2) ].
Drug Interactions
Local Anesthetics : The toxic effects of local anesthetics are additive. Monitor for neurologic and cardiovascular effects when additional local anesthetics are administered. ( 7.1 ) Drugs Associated with Methemoglobinemia : Patients are at increased risk of developing methemoglobinemia when concurrently exposed to nitrates, nitrites, local anesthetics, antineoplastic agents, antibiotics, antimalarials, anticonvulsants, and other drugs. ( 7.5 ) Potent Inhalation Anesthetics : Serious dose-related cardiac arrhythmias may occur if preparations containing a vasoconstrictor such as epinephrine are used in patients during or following the administration of potent inhalation anesthetics. ( 7.6 )
Medication Information
Warnings and Precautions
Dose-Related Toxicity : Monitor cardiovascular and respiratory vital signs and patient’s state of consciousness after injection of bupivacaine hydrochloride. ( 5.2 ) Methemoglobinemia : Cases of methemoglobinemia have been reported in association with local anesthetic use. See full prescribing information for more detail on managing these risks. ( 5.3 ) Chondrolysis with Intra-Articular Infusion : Intra-articular infusions of local anesthetics including bupivacaine hydrochloride following arthroscopic and other surgical procedures is an unapproved use, and there have been post-marketing reports of chondrolysis in patients receiving such infusions. ( 5.5 ) Risk of Cardiac Arrest with Intravenous Regional Anesthesia Use (Bier Block) : There have been reports of cardiac arrest and death during the use of bupivacaine hydrochloride for intravenous regional anesthesia (Bier Block). ( 5.7 ) Risk of Systemic Toxicities with Unintended Intravascular or Intrathecal Injection : Unintended intravascular or intrathecal injection may be associated with systemic toxicities, including CNS or cardiorespiratory depression and coma, progressing ultimately to respiratory arrest. Aspirate for blood or cerebrospinal fluid (where applicable) prior to each dose. ( 5.9 )
Indications and Usage
Bupivacaine Hydrochloride Injection is indicated in adults for the production of local or regional anesthesia or analgesia for surgery and oral surgery procedures, diagnostic and therapeutic procedures, and for obstetrical procedures. Specific concentrations and presentations of Bupivacaine Hydrochloride Injection are recommended for each type of block indicated to produce local or regional anesthesia or analgesia [see Dosage and Administration (2.2) ]. Limitations of Use Not all blocks are indicated for use with Bupivacaine Hydrochloride Injection given clinically significant risks associated with use [see Dosage and Administration (2.2) , Contraindications (4) , Warnings and Precautions (5.1 , 5.4 , 5.5 , 5.7 , 5.9 )] .
Dosage and Administration
Bupivacaine hydrochloride injection is not for intrathecal use. Avoid use of bupivacaine hydrochloride injection solutions containing antimicrobial preservatives (i.e., multiple dose vials) for epidural or caudal anesthesia [see Warnings and Precautions (5.4) ] . Discard unused portions of solution not containing preservatives, i.e., those supplied in single-dose vials, following initial use. Visually inspect this product for particulate matter and discoloration prior to administration whenever solution and container permit. Bupivacaine hydrochloride injection is a clear, colorless solution. Do not administer solutions which are discolored or contain particulate matter. Mixing or the prior or intercurrent use of any other local anesthetic with bupivacaine hydrochloride injection is not recommended because of insufficient data on the clinical use of such mixtures. Administration Precautions Bupivacaine hydrochloride injection is to be administered in carefully adjusted dosages by or under the supervision of experienced clinicians who are well versed in the diagnosis and management of dose-related toxicity and other acute emergencies which might arise from the block to be employed. Use bupivacaine hydrochloride injection only if the following are immediately available: oxygen, cardiopulmonary resuscitative equipment and drugs, and the personnel resources needed for proper management of toxic reactions and related emergencies [see Warnings and Precautions (5.2) , Adverse Reactions (6) , Overdosage (10) ]. The toxic effects of local anesthetics are additive. Monitor for neurologic and cardiovascular effects related to local anesthetic systemic toxicity when additional local anesthetics are administered with bupivacaine hydrochloride injection [see Warnings and Precautions (5.2) , Drug Interactions (7.1) , Overdosage (10) ]. Aspirate for blood or cerebrospinal fluid (where applicable) prior to injecting bupivacaine hydrochloride injection, both the initial dose and all subsequent doses, to avoid intravascular or intrathecal injection. However, a negative aspiration for blood or cerebrospinal fluid does not ensure against an intravascular or intrathecal injection [see Warnings and Precautions (5.9) ] . Avoid rapid injection of a large volume of bupivacaine hydrochloride injection and use fractional (incremental) doses when feasible. During major regional nerve blocks, such as those of the brachial plexus or lower extremity, the patient should have an indwelling intravenous catheter to assure adequate intravenous access. The lowest dosage of bupivacaine hydrochloride injection that results in effective anesthesia should be used to avoid high plasma levels and serious adverse reactions. Perform careful and constant monitoring of cardiovascular and respiratory (adequacy of oxygenation and ventilation) vital signs and the patient’s level of consciousness after each local anesthetic injection.
Contraindications
Bupivacaine hydrochloride is contraindicated in: obstetrical paracervical block anesthesia. Its use in this technique has resulted in fetal bradycardia and death. intravenous regional anesthesia (Bier Block) [see Warnings and Precautions (5.7) ] . patients with a known hypersensitivity to bupivacaine hydrochloride or to any local anesthetic agent of the amide-type or to other components of bupivacaine hydrochloride injection.
Adverse Reactions
Small doses of local anesthetics (e.g., bupivacaine hydrochloride) injected into the head and neck area, including retrobulbar, dental, and stellate ganglion blocks, may produce adverse reactions similar to systemic toxicity seen with unintentional intravascular injections of larger doses. The injection procedures require the utmost care. Confusion, convulsions, respiratory depression, and/or respiratory arrest, and cardiovascular stimulation or depression have been reported. These reactions may be due to intra-arterial injection of the local anesthetic with retrograde flow to the cerebral circulation. They may also be due to puncture of the dural sheath of the optic nerve during retrobulbar block with diffusion of any local anesthetic along the subdural space to the midbrain. Monitor circulation and respiration and constantly observe patients receiving bupivacaine hydrochloride blocks. Resuscitative equipment and drugs, and personnel for treating adverse reactions should be immediately available. Dosage recommendations should not be exceeded [see Dosage and Administration (2.2) ].
Drug Interactions
Local Anesthetics : The toxic effects of local anesthetics are additive. Monitor for neurologic and cardiovascular effects when additional local anesthetics are administered. ( 7.1 ) Drugs Associated with Methemoglobinemia : Patients are at increased risk of developing methemoglobinemia when concurrently exposed to nitrates, nitrites, local anesthetics, antineoplastic agents, antibiotics, antimalarials, anticonvulsants, and other drugs. ( 7.5 ) Potent Inhalation Anesthetics : Serious dose-related cardiac arrhythmias may occur if preparations containing a vasoconstrictor such as epinephrine are used in patients during or following the administration of potent inhalation anesthetics. ( 7.6 )
Description
There have been reports of cardiac arrest with difficult resuscitation or death during use of bupivacaine hydrochloride for epidural anesthesia in obstetrical patients. In most cases, this has followed use of the 0.75% (7.5 mg per mL) concentration. Resuscitation has been difficult or impossible despite apparently adequate preparation and appropriate management. Cardiac arrest has occurred after convulsions resulting from systemic toxicity, presumably following unintentional intravascular injection. The 0.75% (7.5 mg per mL) concentration of bupivacaine hydrochloride is not recommended for obstetrical anesthesia and should be reserved for surgical procedures where a high degree of muscle relaxation and prolonged effect are necessary [see Warnings and Precautions (5.1) ].
Data
Animal Data
Bupivacaine hydrochloride produced developmental toxicity when administered subcutaneously to pregnant rats and rabbits at clinically relevant doses.
Bupivacaine hydrochloride was administered subcutaneously to rats at doses of 4.4, 13.3, & 40 mg/kg and to rabbits at doses of 1.3, 5.8, & 22.2 mg/kg during the period of organogenesis (implantation to closure of the hard palate). The high doses are comparable to the daily MRHD of 400 mg/day on a mg/m2 BSA basis. No embryo-fetal effects were observed in rats at the high dose which caused increased maternal lethality. An increase in embryo-fetal deaths was observed in rabbits at the high dose in the absence of maternal toxicity with the fetal No Observed Adverse Effect Level representing approximately 0.3 times the MRHD on a BSA basis.
In a rat pre- and post-natal developmental study (dosing from implantation through weaning) conducted at subcutaneous doses of 4.4, 13.3, & 40 mg/kg, decreased pup survival was observed at the high dose. The high dose is comparable to the daily MRHD of 400 mg/day on a BSA basis.
Section 42229-5
|
* Bupivacaine hydrochloride injection 0.75% (7.5 mg per mL) is not recommended for nonobstetrical surgical procedures in pregnant patients. |
|||
|
** Avoid use of multiple dose vials of bupivacaine hydrochloride injection for caudal or epidural anesthesia [see Warnings and Precautions (5.4)]. |
|||
|
✓= indicated use [see Warnings and Precautions (5.1)]. |
|||
| Type of Block | Bupivacaine Hydrochloride Injection | ||
|
0.25%
(2.5 mg per mL) |
0.5%
(5 mg per mL) |
0.75%
(7.5 mg per mL)* |
|
| Local infiltration | ✓ | ||
| Peripheral nerve block | ✓ | ✓ | |
| Retrobulbar block | ✓ | ||
| Sympathetic block | ✓ | ||
| Caudal block** | ✓ | ✓ | |
| Lumbar epidural block** | ✓ | ✓ | ✓ (not for obstetrical anesthesia) |
| Epidural test dose | |||
| Dental block |
At recommended dosages, bupivacaine hydrochloride injection produces complete sensory block, but the effect on motor function differs among the three concentrations. Table 2 provides information on the expected effect on motor function for the three concentrations.
10 Overdosage
Clinical Presentation
Acute emergencies from use of bupivacaine hydrochloride are generally related to high plasma levels encountered during therapeutic use or to unintended intrathecal injection [see Warnings and Precautions (5.2, 5.9), Adverse Reactions (6)].
If not treated immediately, convulsions with simultaneous hypoxia, hypercarbia, and acidosis plus myocardial depression from the direct effects of bupivacaine hydrochloride may result in cardiac arrhythmias, bradycardia, asystole, ventricular fibrillation, or cardiac arrest. Respiratory abnormalities, including apnea, may occur. Hypoventilation or apnea due to unintentional intrathecal injection of bupivacaine hydrochloride may produce these same signs and also lead to cardiac arrest if ventilatory support is not instituted. If cardiac arrest should occur, successful outcome may require prolonged resuscitative efforts.
Management
The first step in the management of systemic toxic reactions, as well as hypoventilation or apnea due to unintentional intrathecal injection of bupivacaine hydrochloride, consists of immediate attention to the establishment and maintenance of a patent airway and effective assisted or controlled ventilation with 100% oxygen with a delivery system capable of permitting immediate positive airway pressure by mask. Endotracheal intubation, using drugs and techniques familiar to the clinician, may be indicated after initial administration of oxygen by mask if difficulty is encountered in the maintenance of a patent airway, or if prolonged ventilatory support (assisted or controlled) is indicated.
If necessary, use drugs to manage the convulsions. A bolus intravenous dose of a benzodiazepine will counteract CNS stimulation related to bupivacaine hydrochloride. Immediately after the institution of ventilatory measures, evaluate the adequacy of the circulation. Supportive treatment of circulatory depression may require Advance Cardiac Life Support measures.
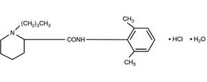
11 Description
Bupivacaine Hydrochloride Injection, USP contains bupivacaine hydrochloride, an amide local anesthetic, as the active pharmaceutical ingredient. The route of administration for Bupivacaine Hydrochloride Injection, USP is by injection, for infiltration, perineural, caudal, epidural, or retrobulbar use.
Bupivacaine hydrochloride is 2-piperidinecarboxamide, 1-butyl-N-(2,6-dimethylphenyl)-, monohydrochloride, monohydrate. It is a white crystalline powder that is freely soluble in 95 percent ethanol, soluble in water, and slightly soluble in chloroform or acetone. It has the following structural formula:
Bupivacaine Hydrochloride Injection, USP is a clear and colorless sterile isotonic solution. Each mL of single-dose vial contains 2.5 mg, 5 mg or 7.5 mg of bupivacaine hydrochloride (equivalent to 2.22 mg, 4.44 mg or 6.66 mg of bupivacaine, respectively), sodium chloride for isotonicity, sodium hydroxide or hydrochloric acid to adjust the pH between 4.0 and 6.5, in water for injection.
8.5 Geriatric Use
Patients 65 years and over, particularly those with hypertension, may be at increased risk for developing hypotension while undergoing anesthesia with bupivacaine hydrochloride.
In clinical studies of bupivacaine hydrochloride, elderly patients reached the maximal spread of analgesia and maximal motor blockade more rapidly than younger adult patients.
Differences in various pharmacokinetic parameters have been observed between elderly and younger adult patients [see Clinical Pharmacology (12.3)].
This product is known to be substantially excreted by the kidney, and the risk of adverse reactions to this drug may be greater in patients with impaired renal function. Because elderly patients are more likely to have decreased renal function, care should be taken in dose selection, and it may be useful to monitor renal function. Elderly patients may require lower doses of bupivacaine hydrochloride.
4 Contraindications
Bupivacaine hydrochloride is contraindicated in:
- obstetrical paracervical block anesthesia. Its use in this technique has resulted in fetal bradycardia and death.
- intravenous regional anesthesia (Bier Block) [see Warnings and Precautions (5.7)].
- patients with a known hypersensitivity to bupivacaine hydrochloride or to any local anesthetic agent of the amide-type or to other components of bupivacaine hydrochloride injection.
6 Adverse Reactions
The following clinically significant adverse reactions have been reported and described in the Warnings and Precautions section of the labeling:
- Cardiac Arrest in Obstetrical Anesthesia [see Warnings and Precautions (5.1)]
- Dose-Related Toxicity [see Warnings and Precautions (5.2)]
- Methemoglobinemia [see Warnings and Precautions (5.3)]
- Chondrolysis with Intra-Articular Infusion [see Warnings and Precautions (5.5)]
- Cardiac Arrest with Intravenous Regional Anesthesia Use [see Contraindications (4), Warnings and Precautions (5.7)]
- Systemic Toxicities with Unintended Intravascular or Intrathecal Injection [see Warnings and Precautions (5.9)]
- Respiratory Arrest Following Retrobulbar Block [see Warnings and Precautions (5.15)]
The following adverse reactions from voluntary reports or clinical studies have been reported with bupivacaine hydrochloride. Because many of these reactions were reported voluntarily from a population of uncertain size, it is not always possible to reliably estimate their frequency or establish a causal relationship to drug exposure.
Adverse reactions to bupivacaine hydrochloride are characteristic of those associated with other amide-type local anesthetics. A major cause of adverse reactions to this group of drugs is excessive plasma levels, which may be due to overdosage, unintentional intravascular injection, or slow metabolic degradation.
The most commonly encountered acute adverse reactions that demand immediate counter-measures were related to the CNS and the cardiovascular system. These adverse reactions were generally dose-related and due to high plasma levels which may have resulted from overdosage, rapid absorption from the injection site, diminished tolerance, or from unintentional intravascular injection of the local anesthetic solution. In addition to systemic dose-related toxicity, unintentional intrathecal injection of drug during the intended performance of caudal or lumbar epidural block or nerve blocks near the vertebral column (especially in the head and neck region) has resulted in underventilation or apnea (“Total or High Spinal”). Also, hypotension due to loss of sympathetic tone and respiratory paralysis or underventilation due to cephalad extension of the motor level of anesthesia have occurred. This has led to secondary cardiac arrest when untreated.
Nervous System Disorders
Adverse reactions were characterized by excitation and/or depression of the central nervous system and included restlessness, anxiety, dizziness, tinnitus, blurred vision, tremors, convulsions, drowsiness, unconsciousness, respiratory arrest, nausea, vomiting, chills, pupillary constriction.
In the practice of caudal or lumbar epidural block, unintentional penetration of the subarachnoid space by the catheter or needle has occurred. Subsequent adverse effects may have depended partially on the amount of drug administered intrathecally and the physiological and physical effects of a dural puncture. A high spinal has been characterized by paralysis of the legs, loss of consciousness, respiratory paralysis, and bradycardia.
Neurologic effects following epidural or caudal anesthesia have included spinal block of varying magnitude (including high or total spinal block); hypotension secondary to spinal block; urinary retention; fecal and urinary incontinence; loss of perineal sensation and sexual function; persistent anesthesia, paresthesia, weakness, paralysis of the lower extremities and loss of sphincter control, all of which had slow, incomplete, or no recovery; headache; backache; septic meningitis; meningismus; slowing of labor; increased incidence of forceps delivery; and cranial nerve palsies due to traction on nerves from loss of cerebrospinal fluid.
Neurologic effects following other procedures or routes of administration have included persistent anesthesia, paresthesia, weakness, paralysis, all with slow, incomplete, or no recovery.
Convulsions: Incidence varied with the procedure used and the total dose administered. In a survey of studies of epidural anesthesia, overt toxicity progressing to convulsions occurred in approximately 0.1% of local anesthetic administrations. The incidences of adverse neurologic reactions associated with the use of local anesthetics may be related to the total dose of local anesthetic administered and are also dependent upon the particular drug used, the route of administration, and the physical status of the patient.
Cardiac Disorders
High doses or unintentional intravascular injection have led to high plasma levels and related depression of the myocardium, decreased cardiac output, heartblock, hypotension, bradycardia, ventricular arrhythmias, including ventricular tachycardia and ventricular fibrillation, and cardiac arrest [see Warnings and Precautions (5.9)].
Immune System Disorders
Allergic-type reactions have occurred as a result of sensitivity to bupivacaine hydrochloride or to other formulation ingredients, such as the antimicrobial preservative methylparaben contained in multiple dose vials or sulfites in epinephrine-containing solutions. These reactions were characterized by signs such as urticaria, pruritus, erythema, angioneurotic edema (including laryngeal edema), tachycardia, sneezing, nausea, vomiting, dizziness, syncope, excessive sweating, elevated temperature, and severe hypotension.
7 Drug Interactions
- Local Anesthetics: The toxic effects of local anesthetics are additive. Monitor for neurologic and cardiovascular effects when additional local anesthetics are administered. (7.1)
- Drugs Associated with Methemoglobinemia: Patients are at increased risk of developing methemoglobinemia when concurrently exposed to nitrates, nitrites, local anesthetics, antineoplastic agents, antibiotics, antimalarials, anticonvulsants, and other drugs. (7.5)
- Potent Inhalation Anesthetics: Serious dose-related cardiac arrhythmias may occur if preparations containing a vasoconstrictor such as epinephrine are used in patients during or following the administration of potent inhalation anesthetics. (7.6)
8.7 Renal Impairment
Bupivacaine is known to be substantially excreted by the kidney, and the risk of adverse reactions to this drug may be greater in patients with renal impairment. This should be considered when selecting the bupivacaine hydrochloride injection dosage [see Use in Specific Populations (8.5)].
12.2 Pharmacodynamics
Systemic absorption of bupivacaine hydrochloride produces effects on the cardiovascular system and CNS. At blood concentrations achieved with normal therapeutic doses, changes in cardiac conduction, excitability, refractoriness, contractility, and peripheral vascular resistance are minimal. However, toxic blood concentrations depress cardiac conduction and excitability, which may lead to atrioventricular block, ventricular arrhythmias, and cardiac arrest, sometimes resulting in fatalities. In addition, myocardial contractility is depressed and peripheral vasodilation occurs, leading to decreased cardiac output and arterial blood pressure. These cardiovascular changes are more likely to occur after unintended intravascular injection of bupivacaine hydrochloride [see Warnings and Precautions (5.9)].
Following systemic absorption, bupivacaine can produce CNS stimulation, CNS depression, or both. Apparent central stimulation is manifested as restlessness, tremors, and shivering, progressing to convulsions, followed by CNS depression and coma progressing ultimately to respiratory arrest. However, bupivacaine has a primary depressant effect on the medulla and on higher centers. The depressed stage may occur without a prior excited state.
The duration of local anesthesia after administration of bupivacaine hydrochloride is longer than that observed after administration of other commonly used short-acting local anesthetics. There appears to be period of analgesia that persists after the resolution of the block and return of sensation.
The onset of action following dental injections is usually 2 to 10 minutes and may last up to 7 hours.
12.3 Pharmacokinetics
Systemic plasma levels of bupivacaine following administration of bupivacaine hydrochloride do not correlate with local efficacy.
Absorption
The rate of systemic absorption of bupivacaine hydrochloride is dependent upon the total dose and concentration of drug administered, the route of administration, the vascularity of the administration site, and the presence or absence of epinephrine in the anesthetic solution. A dilute concentration of epinephrine (1:200,000) usually reduces the rate of absorption and peak plasma concentration of bupivacaine, permitting the use of moderately larger total doses and sometimes prolonging the duration of action [see Dosage and Administration (2)].
After injection of bupivacaine hydrochloride for caudal, epidural, or peripheral nerve block, peak levels of bupivacaine in the blood are reached in 30 to 45 minutes, followed by a decline to insignificant levels during the next three to six hours.
Distribution
Bupivacaine appears to cross the placenta by passive diffusion. The rate and degree of diffusion is governed by (1) the degree of plasma protein binding, (2) the degree of ionization, and (3) the degree of lipid solubility. Fetal/ maternal ratios of bupivacaine appear to be inversely related to the degree of plasma protein binding, because only the free, unbound drug is available for placental transfer. Bupivacaine with a high protein binding capacity (95%) has a low fetal/maternal ratio (0.2 to 0.4). The extent of placental transfer is also determined by the degree of ionization and lipid solubility of the drug. Lipid soluble, nonionized drugs readily enter the fetal blood from the maternal circulation.
Depending upon the route of administration, bupivacaine is distributed to some extent to all body tissues, with high concentrations found in highly perfused organs such as the liver, lungs, heart, and brain.
Pharmacokinetic studies on the plasma profile of bupivacaine after direct intravenous injection (bupivacaine hydrochloride injection is not approved for intravenous use) suggest a three-compartment open model. The first compartment is represented by the rapid intravascular distribution of the drug. The second compartment represents the equilibration of the drug throughout the highly perfused organs such as the brain, myocardium, lungs, kidneys, and liver. The third compartment represents an equilibration of the drug with poorly perfused tissues, such as muscle and fat.
Elimination
The half-life of bupivacaine in adults is 2.7 hours.
Metabolism
Amide-type local anesthetics such as bupivacaine hydrochloride are metabolized primarily in the liver via conjugation with glucuronic acid. Pipecoloxylidine is the major metabolite of bupivacaine. The elimination of drug from tissue distribution depends largely upon the availability of binding sites in the circulation to carry it to the liver where it is metabolized.
Excretion
The kidney is the main excretory organ for most local anesthetics and their metabolites. Urinary excretion is affected by urinary perfusion and factors affecting urinary pH. Only 6% of bupivacaine is excreted unchanged in the urine.
Specific Populations
Geriatric Patients
Elderly patients exhibited higher peak plasma concentrations than younger patients following administration of bupivacaine hydrochloride. The total plasma clearance was decreased in these patients [see Use in Specific Populations (8.5)].
Patients with Hepatic Impairment
Various pharmacokinetic parameters of the local anesthetics can be significantly altered by the presence of hepatic disease. Patients with hepatic disease, especially those with severe hepatic disease, may be more susceptible to the potential toxicities of the amide-type local anesthetics [see Use in Specific Populations (8.6)].
Patients with Renal Impairment
Various pharmacokinetic parameters of the local anesthetics can be significantly altered by the presence of renal disease, factors affecting urinary pH, and renal blood flow [see Use in Specific Populations (8.5, 8.7)].
5.3 Methemoglobinemia
Cases of methemoglobinemia have been reported in association with local anesthetic use. Although all patients are at risk for methemoglobinemia, patients with glucose-6-phosphate dehydrogenase deficiency, congenital or idiopathic methemoglobinemia, cardiac or pulmonary compromise, infants under 6 months of age, and concurrent exposure to oxidizing agents or their metabolites are more susceptible to developing clinical manifestations of the condition [see Drug Interactions (7.5)]. If local anesthetics must be used in these patients, close monitoring for symptoms and signs of methemoglobinemia is recommended.
Signs of methemoglobinemia may occur immediately or may be delayed some hours after exposure, and are characterized by a cyanotic skin discoloration and/or abnormal coloration of the blood. Methemoglobin levels may continue to rise; therefore, immediate treatment is required to avert more serious CNS and cardiovascular adverse effects, including seizures, coma, arrhythmias, and death. Discontinue bupivacaine hydrochloride and any other oxidizing agents. Depending on the severity of the signs and symptoms, patients may respond to supportive care, i.e., oxygen therapy, hydration. A more severe clinical presentation may require treatment with methylene blue, exchange transfusion, or hyperbaric oxygen.
7.1 Local Anesthetics
The toxic effects of local anesthetics are additive. If coadministration of other local anesthetics with bupivacaine hydrochloride cannot be avoided, monitor patients for neurologic and cardiovascular effects related to local anesthetic systemic toxicity [see Dosage and Administration (2.1), Warnings and Precautions (5.2)].
8.6 Hepatic Impairment
Amide-type local anesthetics, such as bupivacaine hydrochloride, are metabolized by the liver. Patients with severe hepatic impairment, because of their inability to metabolize local anesthetics normally, are at a greater risk of developing toxic plasma concentrations, and potentially local anesthetic systemic toxicity. Therefore, consider reduced dosing and increased monitoring for local anesthetic systemic toxicity in patients with moderate to severe hepatic impairment treated with bupivacaine hydrochloride, especially with repeat doses [see Warnings and Precautions (5.10)].
1 Indications and Usage
Bupivacaine Hydrochloride Injection is indicated in adults for the production of local or regional anesthesia or analgesia for surgery and oral surgery procedures, diagnostic and therapeutic procedures, and for obstetrical procedures. Specific concentrations and presentations of Bupivacaine Hydrochloride Injection are recommended for each type of block indicated to produce local or regional anesthesia or analgesia [see Dosage and Administration (2.2)].
Limitations of Use
Not all blocks are indicated for use with Bupivacaine Hydrochloride Injection given clinically significant risks associated with use [see Dosage and Administration (2.2), Contraindications (4), Warnings and Precautions (5.1, 5.4, 5.5, 5.7, 5.9)].
12.1 Mechanism of Action
Bupivacaine hydrochloride blocks the generation and the conduction of nerve impulses, presumably by increasing the threshold for electrical excitation in the nerve, by slowing the propagation of the nerve impulse, and by reducing the rate of rise of the action potential. In general, the progression of anesthesia is related to the diameter, myelination, and conduction velocity of affected nerve fibers. Clinically, the order of loss of nerve function is as follows: (1) pain, (2) temperature, (3) touch, (4) proprioception, and (5) skeletal muscle tone.
Epinephrine is a vasoconstrictor added to bupivacaine to slow absorption into the general circulation and thus prolong maintenance of an active tissue concentration.
5.2 Dose Related Toxicity
The safety and effectiveness of bupivacaine hydrochloride depend on proper dosage, correct technique, adequate precautions, and readiness for emergencies. Careful and constant monitoring of cardiovascular and respiratory (adequacy of ventilation) vital signs and the patient’s state of consciousness should be performed after injection of bupivacaine hydrochloride solutions.
Possible early warning signs of central nervous system (CNS) toxicity are restlessness, anxiety, incoherent speech, lightheadedness, numbness and tingling of the mouth and lips, metallic taste, tinnitus, dizziness, blurred vision, tremors, twitching, CNS depression, or drowsiness. Delay in proper management of dose-related toxicity, underventilation from any cause, and/or altered sensitivity may lead to the development of acidosis, cardiac arrest, and, possibly, death.
During major regional nerve blocks, such as those of the brachial plexus or lower extremity, the patient should have an indwelling intravenous catheter to assure adequate intravenous access. Use the lowest dosage of bupivacaine hydrochloride that results in effective anesthesia to avoid high plasma levels and serious adverse effects. Avoid rapid injection of a large volume of bupivacaine hydrochloride solution and administer fractional (incremental) doses when feasible.
Injection of repeated doses of bupivacaine hydrochloride may cause significant increases in plasma levels with each repeated dose due to slow accumulation of the drug or its metabolites, or to slow metabolic degradation. Tolerance to elevated blood levels varies with the status of the patient. Debilitated, elderly patients and acutely ill patients should be given reduced doses commensurate with their age and physical status.
5 Warnings and Precautions
- Dose-Related Toxicity: Monitor cardiovascular and respiratory vital signs and patient’s state of consciousness after injection of bupivacaine hydrochloride. (5.2)
- Methemoglobinemia: Cases of methemoglobinemia have been reported in association with local anesthetic use. See full prescribing information for more detail on managing these risks. (5.3)
- Chondrolysis with Intra-Articular Infusion: Intra-articular infusions of local anesthetics including bupivacaine hydrochloride following arthroscopic and other surgical procedures is an unapproved use, and there have been post-marketing reports of chondrolysis in patients receiving such infusions. (5.5)
- Risk of Cardiac Arrest with Intravenous Regional Anesthesia Use (Bier Block): There have been reports of cardiac arrest and death during the use of bupivacaine hydrochloride for intravenous regional anesthesia (Bier Block). (5.7)
- Risk of Systemic Toxicities with Unintended Intravascular or Intrathecal Injection: Unintended intravascular or intrathecal injection may be associated with systemic toxicities, including CNS or cardiorespiratory depression and coma, progressing ultimately to respiratory arrest. Aspirate for blood or cerebrospinal fluid (where applicable) prior to each dose. (5.9)
2 Dosage and Administration
3 Dosage Forms and Strengths
Bupivacaine Hydrochloride Injection, USP is a clear, colorless solution available as:
- 0.25% (25 mg per 10 mL) (2.5 mg per mL) in single-dose vials.
- 0.25% (75 mg per 30 mL) (2.5 mg per mL) in single-dose vials.
- 0.5% (50 mg per 10 mL) (5 mg per mL) in single-dose vials.
- 0.5% (150 mg per 30 mL) (5 mg per mL) in single-dose vials.
- 0.75% (75 mg per 10 mL) (7.5 mg per mL) in single-dose vials.
- 0.75% (225 mg per 30 mL) (7.5 mg per mL) in single-dose vials.
2.6 Use in Ophthalmic Surgery
When bupivacaine hydrochloride injection 0.75% (7.5 mg per mL) is used for retrobulbar block, complete corneal anesthesia usually precedes onset of clinically acceptable external ocular muscle akinesia. Therefore, presence of akinesia rather than anesthesia alone should determine readiness of the patient for surgery [see Warnings and Precautions (5.15)].
8 Use in Specific Populations
- Pediatric Use: Administration of bupivacaine hydrochloride in pediatric patients younger than 12 years is not recommended. (8.4)
- Geriatric Use: Patients 65 years and over, particularly those with hypertension, may be at increased risk for developing hypotension while undergoing anesthesia with bupivacaine hydrochloride. (8.5)
- Moderate to Severe Hepatic Impairment: Consider increased monitoring for bupivacaine systemic toxicity. (8.6)
2.3 use in Epidural Anesthesia
During epidural administration, administer bupivacaine hydrochloride injection, 0.5% (5 mg per mL) and 0.75% (7.5 mg per mL) solutions in incremental doses of 3 mL to 5 mL with sufficient time between doses to detect toxic manifestations of unintentional intravascular or intrathecal injection. Administer injections slowly, with frequent aspirations before and during the injection to avoid intravascular injection. Perform syringe aspirations before and during each supplemental injection in continuous (intermittent) catheter techniques. In obstetrics, use ONLY the 0.5% (5 mg per mL) and 0.25% (2.5 mg per mL) concentrations of bupivacaine hydrochloride injection [see Warnings and Precautions (5.1)]; incremental doses of 3 mL to 5 mL of the 0.5% (5 mg per mL) solution not exceeding 50 mg to 100 mg at any dosing interval are recommended. Repeat doses should be preceded by a test dose containing epinephrine if not clinically contraindicated. Use only the single-dose vials for caudal or epidural anesthesia; avoid use of the multiple dose vials for these procedures, which contain a preservative [see Dosage and Administration (2.1), Warnings and Precautions (5.4, 5.9)].
17 Patient Counseling Information
Allergic-Type Reactions
Assess if the patient has had allergic-type reactions to amide-type local anesthetics [see Contraindications (4)].
Temporary Loss of Sensation and Motor Activity After Caudal or Epidural Anesthesia
When appropriate, patients should be informed in advance that they may experience temporary loss of sensation and motor activity, usually in the lower half of the body, following proper administration of caudal or epidural anesthesia.
Instructions After Dental Injection of Bupivacaine Hydrochloride Injection
Advise patients receiving dental injections of bupivacaine hydrochloride injection not to chew solid foods or to test the anesthetized area by biting or probing until anesthesia has worn off (up to 7 hours) [see Warnings and Precautions (5.16)].
Methemoglobinemia
Inform patients that use of local anesthetics may cause methemoglobinemia, a serious condition that must be treated promptly. Advise patients or caregivers to seek immediate medical attention if they or someone in their care experience the following signs or symptoms: pale, gray, or blue colored skin (cyanosis); headache; rapid heart rate; shortness of breath; lightheadedness; or fatigue [see Warnings and Precautions (5.3)].
This product’s labeling may have been updated. For the most recent prescribing information, please visit www.meithealpharma.com.
meitheal®
Mfd. for Meitheal Pharmaceuticals
Chicago, IL 60631 (USA)
©2023 Meitheal Pharmaceuticals Inc.
Mfd. by Kindos Pharmaceuticals Co., Ltd.
Chengdu, China 611731
July 2023
LB-642-V1
7.6 Potent Inhalation Anesthetics
Serious dose-related cardiac arrhythmias may occur if preparations containing a vasoconstrictor such as epinephrine are used in patients during or following the administration of potent inhalation anesthetics.
7.5 Drugs Associated With Methemoglobinemia
Patients who are administered bupivacaine hydrochloride are at increased risk of developing methemoglobinemia when concurrently exposed to following drugs, which could include other local anesthetics [see Warnings and Precautions (5.3)].
Examples of Drugs Associated with Methemoglobinemia:
| Class | Examples |
| Nitrates/Nitrites | nitric oxide, nitroglycerin, nitroprusside, nitrous oxide |
| Local anesthetics | articaine, benzocaine, bupivacaine, lidocaine, mepivacaine, prilocaine, procaine, ropivacaine, tetracaine |
| Antineoplastic agents | cyclophosphamide, flutamide, hydroxyurea, isofamide, rasburicase |
| Antibiotics | dapsone, nitrofurantoin, para-aminosalicylic acid, sulfonamides |
| Antimalarials | chloroquine, primaquine |
| Anticonvulsants | phenobarbital, phenytoin, sodium valproate |
| Other drugs | acetaminophen, metoclopramide, quinine, sulfasalazine |
5.5 Chondrolysis With Intra Articular Infusion
Intra-articular infusions of local anesthetics including bupivacaine hydrochloride following arthroscopic and other surgical procedures is an unapproved use, and there have been post-marketing reports of chondrolysis in patients receiving such infusions. The majority of reported cases of chondrolysis have involved the shoulder joint; cases of gleno-humeral chondrolysis have been described in pediatric and adult patients following intra-articular infusions of local anesthetics with and without epinephrine for periods of 48 to 72 hours. There is insufficient information to determine whether shorter infusion periods are associated with chondrolysis. The time of onset of symptoms, such as joint pain, stiffness and loss of motion can be variable, but may begin as early as the 2nd month after surgery. Currently, there is no effective treatment for chondrolysis; patients who experienced chondrolysis have required additional diagnostic and therapeutic procedures and some required arthroplasty or shoulder replacement.
2.1 important Dosage and Administration Information
- Bupivacaine hydrochloride injection is not for intrathecal use.
- Avoid use of bupivacaine hydrochloride injection solutions containing antimicrobial preservatives (i.e., multiple dose vials) for epidural or caudal anesthesia [see Warnings and Precautions (5.4)].
- Discard unused portions of solution not containing preservatives, i.e., those supplied in single-dose vials, following initial use.
- Visually inspect this product for particulate matter and discoloration prior to administration whenever solution and container permit. Bupivacaine hydrochloride injection is a clear, colorless solution. Do not administer solutions which are discolored or contain particulate matter.
- Mixing or the prior or intercurrent use of any other local anesthetic with bupivacaine hydrochloride injection is not recommended because of insufficient data on the clinical use of such mixtures.
Administration Precautions
- Bupivacaine hydrochloride injection is to be administered in carefully adjusted dosages by or under the supervision of experienced clinicians who are well versed in the diagnosis and management of dose-related toxicity and other acute emergencies which might arise from the block to be employed.
- Use bupivacaine hydrochloride injection only if the following are immediately available: oxygen, cardiopulmonary resuscitative equipment and drugs, and the personnel resources needed for proper management of toxic reactions and related emergencies [see Warnings and Precautions (5.2), Adverse Reactions (6), Overdosage (10)].
- The toxic effects of local anesthetics are additive. Monitor for neurologic and cardiovascular effects related to local anesthetic systemic toxicity when additional local anesthetics are administered with bupivacaine hydrochloride injection [see Warnings and Precautions (5.2), Drug Interactions (7.1), Overdosage (10)].
- Aspirate for blood or cerebrospinal fluid (where applicable) prior to injecting bupivacaine hydrochloride injection, both the initial dose and all subsequent doses, to avoid intravascular or intrathecal injection. However, a negative aspiration for blood or cerebrospinal fluid does not ensure against an intravascular or intrathecal injection [see Warnings and Precautions (5.9)].
- Avoid rapid injection of a large volume of bupivacaine hydrochloride injection and use fractional (incremental) doses when feasible.
- During major regional nerve blocks, such as those of the brachial plexus or lower extremity, the patient should have an indwelling intravenous catheter to assure adequate intravenous access. The lowest dosage of bupivacaine hydrochloride injection that results in effective anesthesia should be used to avoid high plasma levels and serious adverse reactions.
- Perform careful and constant monitoring of cardiovascular and respiratory (adequacy of oxygenation and ventilation) vital signs and the patient’s level of consciousness after each local anesthetic injection.
5.4 Antimicrobial Preservatives in Multiple Dose Vials
Avoid use of bupivacaine hydrochloride solutions containing antimicrobial preservatives, i.e., those supplied in multiple dose vials, for epidural or caudal anesthesia because safety has not been established with such use.
13.1 Carcinogenesis, Mutagenesis, Impairment of Fertility
Carcinogenesis
Long-term studies in animals to evaluate the carcinogenic potential of bupivacaine hydrochloride have not been conducted.
Mutagenesis
The mutagenic potential of bupivacaine hydrochloride has not been determined.
Impairment of Fertility
The effect of bupivacaine hydrochloride on fertility has not been determined.
5.10 Risk of Toxicity in Patients With Hepatic Impairment
Because amide local anesthetics such as bupivacaine hydrochloride are metabolized by the liver, consider reduced dosing and increased monitoring for bupivacaine systemic toxicity in patients with moderate to severe hepatic impairment who are treated with bupivacaine hydrochloride, especially with repeat doses [see Use in Specific Populations (8.6)].
5.14 Risk of Adverse Reactions With Use in Head and Neck Area
Small doses of local anesthetics (e.g., bupivacaine hydrochloride) injected into the head and neck area, including retrobulbar, dental, and stellate ganglion blocks, may produce adverse reactions similar to systemic toxicity seen with unintentional intravascular injections of larger doses. The injection procedures require the utmost care. Confusion, convulsions, respiratory depression, and/or respiratory arrest, and cardiovascular stimulation or depression have been reported. These reactions may be due to intra-arterial injection of the local anesthetic with retrograde flow to the cerebral circulation. They may also be due to puncture of the dural sheath of the optic nerve during retrobulbar block with diffusion of any local anesthetic along the subdural space to the midbrain. Monitor circulation and respiration and constantly observe patients receiving bupivacaine hydrochloride blocks. Resuscitative equipment and drugs, and personnel for treating adverse reactions should be immediately available. Dosage recommendations should not be exceeded [see Dosage and Administration (2.2)].
5.15 Risk of Respiratory Arrest With Use in Ophthalmic Surgery
Clinicians who perform retrobulbar blocks should be aware that there have been reports of respiratory arrest following local anesthetic injection. Prior to retrobulbar block (e.g., with bupivacaine hydrochloride), as with all other regional procedures, resuscitative equipment and drugs, and personnel to manage respiratory arrest or depression, convulsions, and cardiac stimulation or depression should be immediately available [see Warnings and Precautions (5.14)]. As with other anesthetic procedures, patients should be constantly monitored following ophthalmic blocks for signs of these adverse reactions, which may occur following relatively low total doses.
A concentration of 0.75% bupivacaine hydrochloride is indicated for retrobulbar block; however, this concentration is not indicated for any other peripheral nerve block, including the facial nerve, and not indicated for local infiltration, including the conjunctiva [see Indications and Usage (1)].
5.11 Risk of Use in Patients With Impaired Cardiovascular Function
Bupivacaine hydrochloride should be given in reduced doses in patients with impaired cardiovascular function (e.g., hypotension, heartblock) because they may be less able to compensate for functional changes associated with the prolongation of AV conduction produced by bupivacaine hydrochloride. Monitor patients closely for blood pressure, heart rate, and ECG changes.
5.7 risk of Cardiac Arrest With Intravenous Regional Anesthesia Use (bier Block)
There have been reports of cardiac arrest and death during the use of bupivacaine hydrochloride for intravenous regional anesthesia (Bier Block). Information on safe dosages and techniques of administration of bupivacaine hydrochloride in this procedure is lacking. Therefore, bupivacaine hydrochloride is contraindicated for use with this technique [see Contraindications (4)].
2.2 recommended Concentrations and Dosages of Bupivacaine Hydrochloride Injection
The dosage of bupivacaine hydrochloride injection administered varies with the anesthetic procedure, the area to be anesthetized, the vascularity of the tissues, the number of neuronal segments to be blocked, the depth of anesthesia and degree of muscle relaxation required, the duration of anesthesia desired, individual tolerance, and the physical condition of the patient. Administer the smallest dosage and concentration required to produce the desired result.
The types of block and recommended bupivacaine hydrochloride injection concentrations are shown in Table 1.
5.9 Risk of Systemic Toxicities With Unintended Intravascular Or Intrathecal Injection
Unintended intravascular or intrathecal injection of bupivacaine hydrochloride may be associated with systemic toxicities, including CNS or cardiorespiratory depression and coma, progressing ultimately to respiratory arrest. Unintentional intrathecal injection during the intended performance of caudal or lumbar epidural block or nerve blocks near the vertebral column has resulted in underventilation or apnea (“Total or High Spinal”). A high spinal has been characterized by paralysis of the legs, loss of consciousness, respiratory paralysis, and bradycardia [see Adverse Reactions (6)].
Aspirate for blood or cerebrospinal fluid (where applicable) before injecting bupivacaine hydrochloride, both the initial dose and all subsequent doses, to avoid intravascular or intrathecal injection. However, a negative aspiration for blood or cerebrospinal fluid does not ensure against an intravascular or intrathecal injection.
Principal Display Panel – 0.5% Bupivacaine Hydrochloride Injection, Usp 10 Ml Carton
NDC 71288-724-11
Rx Only
Bupivacaine Hydrochloride Injection, USP 0.5%
50 mg per 10 mL
(5 mg per mL)
For NERVE BLOCK, CAUDAL, AND EPIDURAL ANESTHESIA
NOT FOR SPINAL ANESTHESIA
1 x 10 mL Single-Dose Vial
Preservative-Free
Principal Display Panel – 0.5% Bupivacaine Hydrochloride Injection, Usp 30 Ml Carton
NDC 71288-725-32
Rx Only
Bupivacaine Hydrochloride Injection, USP 0.5%
150 mg per 30 mL
(5 mg per mL)
For NERVE BLOCK, CAUDAL, AND EPIDURAL ANESTHESIA
NOT FOR SPINAL ANESTHESIA
1 x 30 mL SINGLE-DOSE VIAL-
PRESERVATIVE-FREE
Principal Display Panel – 0.25% Bupivacaine Hydrochloride Injection, Usp 10 Ml Carton
NDC 71288-721-11
Rx Only
Bupivacaine Hydrochloride Injection, USP 0.25%
25 mg per 10 mL
(2.5 mg per mL)
For INFILTRATION, NERVE BLOCK, CAUDAL, and EPIDURAL ANESTHESIA
NOT FOR SPINAL ANESTHESIA
1 x 10 mL Single-Dose Vial
Preservative-Free
Principal Display Panel – 0.25% Bupivacaine Hydrochloride Injection, Usp 30 Ml Carton
NDC 71288-722-32
Rx Only
Bupivacaine Hydrochloride Injection, USP 0.25%
75 mg per 30 mL
(2.5 mg per mL)
For INFILTRATION, NERVE BLOCK, CAUDAL, and EPIDURAL ANESTHESIA
NOT FOR SPINAL ANESTHESIA
1 x 30 mL SINGLE-DOSE VIAL-
PRESERVATIVE-FREE
Principal Display Panel – 0.75% Bupivacaine Hydrochloride Injection, Usp 10 Ml Carton
NDC 71288-727-11
Rx Only
Bupivacaine Hydrochloride Injection, USP 0.75%
75 mg per 10 mL
(7.5 mg per mL)
EPIDURAL and RETROBULBAR ANESTHESIA USE
NOT FOR OBSTETRIC OR SPINAL ANESTHESIA
1 x 10 mL Single-Dose Vial
Preservative-Free
Principal Display Panel – 0.75% Bupivacaine Hydrochloride Injection, Usp 30 Ml Carton
NDC 71288-728-32
Rx Only
Bupivacaine Hydrochloride Injection, USP 0.75%
225 mg per 30 mL
(7.5 mg per mL)
For EPIDURAL and RETROBULBAR ANESTHESIA
NOT FOR OBSTETRIC OR SPINAL ANESTHESIA
1 x 30 mL SINGLE-DOSE VIAL-
PRESERVATIVE-FREE
5.16 Risk of Inadvertent Trauma to Tongue, Lips, and Buccal Mucosa in Dental Applications
Because of the long duration of anesthesia, when bupivacaine hydrochloride with epinephrine [0.5% (5 mg/mL) of bupivacaine] is used for dental injections, warn patients about the possibility of inadvertent trauma to tongue, lips, and buccal mucosa and advise them not to chew solid foods until sensation returns [see Patient Counseling Information (17)].
5.1 Risk of Cardiac Arrest With Use of Bupivacaine Hydrochloride in Obstetrical Anesthesia
There have been reports of cardiac arrest with difficult resuscitation or death during use of bupivacaine hydrochloride for epidural anesthesia in obstetrical patients. In most cases, this has followed use of the 0.75% (7.5 mg per mL) concentration. Resuscitation has been difficult or impossible despite apparently adequate preparation and appropriate management. Cardiac arrest has occurred after convulsions resulting from systemic toxicity, presumably following unintentional intravascular injection. The 0.75% (7.5 mg per mL) concentration of bupivacaine hydrochloride is not recommended for obstetrical anesthesia and should be reserved for surgical procedures where a high degree of muscle relaxation and prolonged effect are necessary.
Principal Display Panel – 0.25% Bupivacaine Hydrochloride Injection, Usp 10 Ml Vial Label
NDC 71288-721-11
Rx Only
Bupivacaine Hydrochloride Injection, USP 0.25%
25 mg per 10 mL
(2.5 mg per mL)
For INFILTRATION, NERVE BLOCK, CAUDAL, and EPIDURAL ANESTHESIA
NOT FOR SPINAL ANESTHESIA
10 mL Single-Dose Vial
Preservative-Free
Principal Display Panel – 0.5% Bupivacaine Hydrochloride Injection, Usp 10 Ml Vial Label
NDC 71288-724-11
Rx Only
Bupivacaine Hydrochloride Injection, USP 0.5%
50 mg per 10 mL
(5 mg per mL)
For NERVE BLOCK, CAUDAL, AND EPIDURAL ANESTHESIA
NOT FOR SPINAL ANESTHESIA
10 mL Single-Dose Vial
Preservative-Free
Principal Display Panel – 0.5% Bupivacaine Hydrochloride Injection, Usp 30 Ml Vial Label
NDC 71288-725-32
Rx Only
Bupivacaine Hydrochloride Injection, USP 0.5%
150 mg per 30 mL
(5 mg per mL)
For NERVE BLOCK, CAUDAL, AND EPIDURAL ANESTHESIA
NOT FOR SPINAL ANESTHESIA
30 mL SINGLE-DOSE VIAL-PRESERVATIVE-FREE
Principal Display Panel – 0.25% Bupivacaine Hydrochloride Injection, Usp 30 Ml Vial Label
NDC 71288-722-32
Rx Only
Bupivacaine Hydrochloride Injection, USP 0.25%
75 mg per 30 mL
(2.5 mg per mL)
For INFILTRATION, NERVE BLOCK, CAUDAL, and EPIDURAL ANESTHESIA
NOT FOR SPINAL ANESTHESIA
30 mL SINGLE-DOSE VIAL-PRESERVATIVE-FREE
Principal Display Panel – 0.75% Bupivacaine Hydrochloride Injection, Usp 10 Ml Vial Label
NDC 71288-727-11
Rx Only
Bupivacaine Hydrochloride Injection, USP 0.75%
75 mg per 10 mL
(7.5 mg per mL)
EPIDURAL and RETROBULBAR ANESTHESIA USE
NOT FOR OBSTETRIC OR SPINAL ANESTHESIA
10 mL Single-Dose Vial
Preservative-Free
Principal Display Panel – 0.75% Bupivacaine Hydrochloride Injection, Usp 30 Ml Vial Label
NDC 71288-728-32
Rx Only
Bupivacaine Hydrochloride Injection, USP 0.75%
225 mg per 30 mL
(7.5 mg per mL)
For EPIDURAL and RETROBULBAR ANESTHESIA
NOT FOR OBSTETRIC OR SPINAL ANESTHESIA
30 mL SINGLE-DOSE VIAL-PRESERVATIVE-FREE
Warning: Risk of Cardiac Arrest With Use of Bupivacaine Hydrochloride in Obstetrical Anesthesia
There have been reports of cardiac arrest with difficult resuscitation or death during use of bupivacaine hydrochloride for epidural anesthesia in obstetrical patients. In most cases, this has followed use of the 0.75% (7.5 mg per mL) concentration. Resuscitation has been difficult or impossible despite apparently adequate preparation and appropriate management. Cardiac arrest has occurred after convulsions resulting from systemic toxicity, presumably following unintentional intravascular injection. The 0.75% (7.5 mg per mL) concentration of bupivacaine hydrochloride is not recommended for obstetrical anesthesia and should be reserved for surgical procedures where a high degree of muscle relaxation and prolonged effect are necessary [see Warnings and Precautions (5.1)].
Structured Label Content
Data
Animal Data
Bupivacaine hydrochloride produced developmental toxicity when administered subcutaneously to pregnant rats and rabbits at clinically relevant doses.
Bupivacaine hydrochloride was administered subcutaneously to rats at doses of 4.4, 13.3, & 40 mg/kg and to rabbits at doses of 1.3, 5.8, & 22.2 mg/kg during the period of organogenesis (implantation to closure of the hard palate). The high doses are comparable to the daily MRHD of 400 mg/day on a mg/m2 BSA basis. No embryo-fetal effects were observed in rats at the high dose which caused increased maternal lethality. An increase in embryo-fetal deaths was observed in rabbits at the high dose in the absence of maternal toxicity with the fetal No Observed Adverse Effect Level representing approximately 0.3 times the MRHD on a BSA basis.
In a rat pre- and post-natal developmental study (dosing from implantation through weaning) conducted at subcutaneous doses of 4.4, 13.3, & 40 mg/kg, decreased pup survival was observed at the high dose. The high dose is comparable to the daily MRHD of 400 mg/day on a BSA basis.
Section 42229-5 (42229-5)
|
* Bupivacaine hydrochloride injection 0.75% (7.5 mg per mL) is not recommended for nonobstetrical surgical procedures in pregnant patients. |
|||
|
** Avoid use of multiple dose vials of bupivacaine hydrochloride injection for caudal or epidural anesthesia [see Warnings and Precautions (5.4)]. |
|||
|
✓= indicated use [see Warnings and Precautions (5.1)]. |
|||
| Type of Block | Bupivacaine Hydrochloride Injection | ||
|
0.25%
(2.5 mg per mL) |
0.5%
(5 mg per mL) |
0.75%
(7.5 mg per mL)* |
|
| Local infiltration | ✓ | ||
| Peripheral nerve block | ✓ | ✓ | |
| Retrobulbar block | ✓ | ||
| Sympathetic block | ✓ | ||
| Caudal block** | ✓ | ✓ | |
| Lumbar epidural block** | ✓ | ✓ | ✓ (not for obstetrical anesthesia) |
| Epidural test dose | |||
| Dental block |
At recommended dosages, bupivacaine hydrochloride injection produces complete sensory block, but the effect on motor function differs among the three concentrations. Table 2 provides information on the expected effect on motor function for the three concentrations.
10 Overdosage (10 OVERDOSAGE)
Clinical Presentation
Acute emergencies from use of bupivacaine hydrochloride are generally related to high plasma levels encountered during therapeutic use or to unintended intrathecal injection [see Warnings and Precautions (5.2, 5.9), Adverse Reactions (6)].
If not treated immediately, convulsions with simultaneous hypoxia, hypercarbia, and acidosis plus myocardial depression from the direct effects of bupivacaine hydrochloride may result in cardiac arrhythmias, bradycardia, asystole, ventricular fibrillation, or cardiac arrest. Respiratory abnormalities, including apnea, may occur. Hypoventilation or apnea due to unintentional intrathecal injection of bupivacaine hydrochloride may produce these same signs and also lead to cardiac arrest if ventilatory support is not instituted. If cardiac arrest should occur, successful outcome may require prolonged resuscitative efforts.
Management
The first step in the management of systemic toxic reactions, as well as hypoventilation or apnea due to unintentional intrathecal injection of bupivacaine hydrochloride, consists of immediate attention to the establishment and maintenance of a patent airway and effective assisted or controlled ventilation with 100% oxygen with a delivery system capable of permitting immediate positive airway pressure by mask. Endotracheal intubation, using drugs and techniques familiar to the clinician, may be indicated after initial administration of oxygen by mask if difficulty is encountered in the maintenance of a patent airway, or if prolonged ventilatory support (assisted or controlled) is indicated.
If necessary, use drugs to manage the convulsions. A bolus intravenous dose of a benzodiazepine will counteract CNS stimulation related to bupivacaine hydrochloride. Immediately after the institution of ventilatory measures, evaluate the adequacy of the circulation. Supportive treatment of circulatory depression may require Advance Cardiac Life Support measures.
11 Description (11 DESCRIPTION)
Bupivacaine Hydrochloride Injection, USP contains bupivacaine hydrochloride, an amide local anesthetic, as the active pharmaceutical ingredient. The route of administration for Bupivacaine Hydrochloride Injection, USP is by injection, for infiltration, perineural, caudal, epidural, or retrobulbar use.
Bupivacaine hydrochloride is 2-piperidinecarboxamide, 1-butyl-N-(2,6-dimethylphenyl)-, monohydrochloride, monohydrate. It is a white crystalline powder that is freely soluble in 95 percent ethanol, soluble in water, and slightly soluble in chloroform or acetone. It has the following structural formula:
Bupivacaine Hydrochloride Injection, USP is a clear and colorless sterile isotonic solution. Each mL of single-dose vial contains 2.5 mg, 5 mg or 7.5 mg of bupivacaine hydrochloride (equivalent to 2.22 mg, 4.44 mg or 6.66 mg of bupivacaine, respectively), sodium chloride for isotonicity, sodium hydroxide or hydrochloric acid to adjust the pH between 4.0 and 6.5, in water for injection.
8.5 Geriatric Use
Patients 65 years and over, particularly those with hypertension, may be at increased risk for developing hypotension while undergoing anesthesia with bupivacaine hydrochloride.
In clinical studies of bupivacaine hydrochloride, elderly patients reached the maximal spread of analgesia and maximal motor blockade more rapidly than younger adult patients.
Differences in various pharmacokinetic parameters have been observed between elderly and younger adult patients [see Clinical Pharmacology (12.3)].
This product is known to be substantially excreted by the kidney, and the risk of adverse reactions to this drug may be greater in patients with impaired renal function. Because elderly patients are more likely to have decreased renal function, care should be taken in dose selection, and it may be useful to monitor renal function. Elderly patients may require lower doses of bupivacaine hydrochloride.
4 Contraindications (4 CONTRAINDICATIONS)
Bupivacaine hydrochloride is contraindicated in:
- obstetrical paracervical block anesthesia. Its use in this technique has resulted in fetal bradycardia and death.
- intravenous regional anesthesia (Bier Block) [see Warnings and Precautions (5.7)].
- patients with a known hypersensitivity to bupivacaine hydrochloride or to any local anesthetic agent of the amide-type or to other components of bupivacaine hydrochloride injection.
6 Adverse Reactions (6 ADVERSE REACTIONS)
The following clinically significant adverse reactions have been reported and described in the Warnings and Precautions section of the labeling:
- Cardiac Arrest in Obstetrical Anesthesia [see Warnings and Precautions (5.1)]
- Dose-Related Toxicity [see Warnings and Precautions (5.2)]
- Methemoglobinemia [see Warnings and Precautions (5.3)]
- Chondrolysis with Intra-Articular Infusion [see Warnings and Precautions (5.5)]
- Cardiac Arrest with Intravenous Regional Anesthesia Use [see Contraindications (4), Warnings and Precautions (5.7)]
- Systemic Toxicities with Unintended Intravascular or Intrathecal Injection [see Warnings and Precautions (5.9)]
- Respiratory Arrest Following Retrobulbar Block [see Warnings and Precautions (5.15)]
The following adverse reactions from voluntary reports or clinical studies have been reported with bupivacaine hydrochloride. Because many of these reactions were reported voluntarily from a population of uncertain size, it is not always possible to reliably estimate their frequency or establish a causal relationship to drug exposure.
Adverse reactions to bupivacaine hydrochloride are characteristic of those associated with other amide-type local anesthetics. A major cause of adverse reactions to this group of drugs is excessive plasma levels, which may be due to overdosage, unintentional intravascular injection, or slow metabolic degradation.
The most commonly encountered acute adverse reactions that demand immediate counter-measures were related to the CNS and the cardiovascular system. These adverse reactions were generally dose-related and due to high plasma levels which may have resulted from overdosage, rapid absorption from the injection site, diminished tolerance, or from unintentional intravascular injection of the local anesthetic solution. In addition to systemic dose-related toxicity, unintentional intrathecal injection of drug during the intended performance of caudal or lumbar epidural block or nerve blocks near the vertebral column (especially in the head and neck region) has resulted in underventilation or apnea (“Total or High Spinal”). Also, hypotension due to loss of sympathetic tone and respiratory paralysis or underventilation due to cephalad extension of the motor level of anesthesia have occurred. This has led to secondary cardiac arrest when untreated.
Nervous System Disorders
Adverse reactions were characterized by excitation and/or depression of the central nervous system and included restlessness, anxiety, dizziness, tinnitus, blurred vision, tremors, convulsions, drowsiness, unconsciousness, respiratory arrest, nausea, vomiting, chills, pupillary constriction.
In the practice of caudal or lumbar epidural block, unintentional penetration of the subarachnoid space by the catheter or needle has occurred. Subsequent adverse effects may have depended partially on the amount of drug administered intrathecally and the physiological and physical effects of a dural puncture. A high spinal has been characterized by paralysis of the legs, loss of consciousness, respiratory paralysis, and bradycardia.
Neurologic effects following epidural or caudal anesthesia have included spinal block of varying magnitude (including high or total spinal block); hypotension secondary to spinal block; urinary retention; fecal and urinary incontinence; loss of perineal sensation and sexual function; persistent anesthesia, paresthesia, weakness, paralysis of the lower extremities and loss of sphincter control, all of which had slow, incomplete, or no recovery; headache; backache; septic meningitis; meningismus; slowing of labor; increased incidence of forceps delivery; and cranial nerve palsies due to traction on nerves from loss of cerebrospinal fluid.
Neurologic effects following other procedures or routes of administration have included persistent anesthesia, paresthesia, weakness, paralysis, all with slow, incomplete, or no recovery.
Convulsions: Incidence varied with the procedure used and the total dose administered. In a survey of studies of epidural anesthesia, overt toxicity progressing to convulsions occurred in approximately 0.1% of local anesthetic administrations. The incidences of adverse neurologic reactions associated with the use of local anesthetics may be related to the total dose of local anesthetic administered and are also dependent upon the particular drug used, the route of administration, and the physical status of the patient.
Cardiac Disorders
High doses or unintentional intravascular injection have led to high plasma levels and related depression of the myocardium, decreased cardiac output, heartblock, hypotension, bradycardia, ventricular arrhythmias, including ventricular tachycardia and ventricular fibrillation, and cardiac arrest [see Warnings and Precautions (5.9)].
Immune System Disorders
Allergic-type reactions have occurred as a result of sensitivity to bupivacaine hydrochloride or to other formulation ingredients, such as the antimicrobial preservative methylparaben contained in multiple dose vials or sulfites in epinephrine-containing solutions. These reactions were characterized by signs such as urticaria, pruritus, erythema, angioneurotic edema (including laryngeal edema), tachycardia, sneezing, nausea, vomiting, dizziness, syncope, excessive sweating, elevated temperature, and severe hypotension.
7 Drug Interactions (7 DRUG INTERACTIONS)
- Local Anesthetics: The toxic effects of local anesthetics are additive. Monitor for neurologic and cardiovascular effects when additional local anesthetics are administered. (7.1)
- Drugs Associated with Methemoglobinemia: Patients are at increased risk of developing methemoglobinemia when concurrently exposed to nitrates, nitrites, local anesthetics, antineoplastic agents, antibiotics, antimalarials, anticonvulsants, and other drugs. (7.5)
- Potent Inhalation Anesthetics: Serious dose-related cardiac arrhythmias may occur if preparations containing a vasoconstrictor such as epinephrine are used in patients during or following the administration of potent inhalation anesthetics. (7.6)
8.7 Renal Impairment
Bupivacaine is known to be substantially excreted by the kidney, and the risk of adverse reactions to this drug may be greater in patients with renal impairment. This should be considered when selecting the bupivacaine hydrochloride injection dosage [see Use in Specific Populations (8.5)].
12.2 Pharmacodynamics
Systemic absorption of bupivacaine hydrochloride produces effects on the cardiovascular system and CNS. At blood concentrations achieved with normal therapeutic doses, changes in cardiac conduction, excitability, refractoriness, contractility, and peripheral vascular resistance are minimal. However, toxic blood concentrations depress cardiac conduction and excitability, which may lead to atrioventricular block, ventricular arrhythmias, and cardiac arrest, sometimes resulting in fatalities. In addition, myocardial contractility is depressed and peripheral vasodilation occurs, leading to decreased cardiac output and arterial blood pressure. These cardiovascular changes are more likely to occur after unintended intravascular injection of bupivacaine hydrochloride [see Warnings and Precautions (5.9)].
Following systemic absorption, bupivacaine can produce CNS stimulation, CNS depression, or both. Apparent central stimulation is manifested as restlessness, tremors, and shivering, progressing to convulsions, followed by CNS depression and coma progressing ultimately to respiratory arrest. However, bupivacaine has a primary depressant effect on the medulla and on higher centers. The depressed stage may occur without a prior excited state.
The duration of local anesthesia after administration of bupivacaine hydrochloride is longer than that observed after administration of other commonly used short-acting local anesthetics. There appears to be period of analgesia that persists after the resolution of the block and return of sensation.
The onset of action following dental injections is usually 2 to 10 minutes and may last up to 7 hours.
12.3 Pharmacokinetics
Systemic plasma levels of bupivacaine following administration of bupivacaine hydrochloride do not correlate with local efficacy.
Absorption
The rate of systemic absorption of bupivacaine hydrochloride is dependent upon the total dose and concentration of drug administered, the route of administration, the vascularity of the administration site, and the presence or absence of epinephrine in the anesthetic solution. A dilute concentration of epinephrine (1:200,000) usually reduces the rate of absorption and peak plasma concentration of bupivacaine, permitting the use of moderately larger total doses and sometimes prolonging the duration of action [see Dosage and Administration (2)].
After injection of bupivacaine hydrochloride for caudal, epidural, or peripheral nerve block, peak levels of bupivacaine in the blood are reached in 30 to 45 minutes, followed by a decline to insignificant levels during the next three to six hours.
Distribution
Bupivacaine appears to cross the placenta by passive diffusion. The rate and degree of diffusion is governed by (1) the degree of plasma protein binding, (2) the degree of ionization, and (3) the degree of lipid solubility. Fetal/ maternal ratios of bupivacaine appear to be inversely related to the degree of plasma protein binding, because only the free, unbound drug is available for placental transfer. Bupivacaine with a high protein binding capacity (95%) has a low fetal/maternal ratio (0.2 to 0.4). The extent of placental transfer is also determined by the degree of ionization and lipid solubility of the drug. Lipid soluble, nonionized drugs readily enter the fetal blood from the maternal circulation.
Depending upon the route of administration, bupivacaine is distributed to some extent to all body tissues, with high concentrations found in highly perfused organs such as the liver, lungs, heart, and brain.
Pharmacokinetic studies on the plasma profile of bupivacaine after direct intravenous injection (bupivacaine hydrochloride injection is not approved for intravenous use) suggest a three-compartment open model. The first compartment is represented by the rapid intravascular distribution of the drug. The second compartment represents the equilibration of the drug throughout the highly perfused organs such as the brain, myocardium, lungs, kidneys, and liver. The third compartment represents an equilibration of the drug with poorly perfused tissues, such as muscle and fat.
Elimination
The half-life of bupivacaine in adults is 2.7 hours.
Metabolism
Amide-type local anesthetics such as bupivacaine hydrochloride are metabolized primarily in the liver via conjugation with glucuronic acid. Pipecoloxylidine is the major metabolite of bupivacaine. The elimination of drug from tissue distribution depends largely upon the availability of binding sites in the circulation to carry it to the liver where it is metabolized.
Excretion
The kidney is the main excretory organ for most local anesthetics and their metabolites. Urinary excretion is affected by urinary perfusion and factors affecting urinary pH. Only 6% of bupivacaine is excreted unchanged in the urine.
Specific Populations
Geriatric Patients
Elderly patients exhibited higher peak plasma concentrations than younger patients following administration of bupivacaine hydrochloride. The total plasma clearance was decreased in these patients [see Use in Specific Populations (8.5)].
Patients with Hepatic Impairment
Various pharmacokinetic parameters of the local anesthetics can be significantly altered by the presence of hepatic disease. Patients with hepatic disease, especially those with severe hepatic disease, may be more susceptible to the potential toxicities of the amide-type local anesthetics [see Use in Specific Populations (8.6)].
Patients with Renal Impairment
Various pharmacokinetic parameters of the local anesthetics can be significantly altered by the presence of renal disease, factors affecting urinary pH, and renal blood flow [see Use in Specific Populations (8.5, 8.7)].
5.3 Methemoglobinemia
Cases of methemoglobinemia have been reported in association with local anesthetic use. Although all patients are at risk for methemoglobinemia, patients with glucose-6-phosphate dehydrogenase deficiency, congenital or idiopathic methemoglobinemia, cardiac or pulmonary compromise, infants under 6 months of age, and concurrent exposure to oxidizing agents or their metabolites are more susceptible to developing clinical manifestations of the condition [see Drug Interactions (7.5)]. If local anesthetics must be used in these patients, close monitoring for symptoms and signs of methemoglobinemia is recommended.
Signs of methemoglobinemia may occur immediately or may be delayed some hours after exposure, and are characterized by a cyanotic skin discoloration and/or abnormal coloration of the blood. Methemoglobin levels may continue to rise; therefore, immediate treatment is required to avert more serious CNS and cardiovascular adverse effects, including seizures, coma, arrhythmias, and death. Discontinue bupivacaine hydrochloride and any other oxidizing agents. Depending on the severity of the signs and symptoms, patients may respond to supportive care, i.e., oxygen therapy, hydration. A more severe clinical presentation may require treatment with methylene blue, exchange transfusion, or hyperbaric oxygen.
7.1 Local Anesthetics
The toxic effects of local anesthetics are additive. If coadministration of other local anesthetics with bupivacaine hydrochloride cannot be avoided, monitor patients for neurologic and cardiovascular effects related to local anesthetic systemic toxicity [see Dosage and Administration (2.1), Warnings and Precautions (5.2)].
8.6 Hepatic Impairment
Amide-type local anesthetics, such as bupivacaine hydrochloride, are metabolized by the liver. Patients with severe hepatic impairment, because of their inability to metabolize local anesthetics normally, are at a greater risk of developing toxic plasma concentrations, and potentially local anesthetic systemic toxicity. Therefore, consider reduced dosing and increased monitoring for local anesthetic systemic toxicity in patients with moderate to severe hepatic impairment treated with bupivacaine hydrochloride, especially with repeat doses [see Warnings and Precautions (5.10)].
1 Indications and Usage (1 INDICATIONS AND USAGE)
Bupivacaine Hydrochloride Injection is indicated in adults for the production of local or regional anesthesia or analgesia for surgery and oral surgery procedures, diagnostic and therapeutic procedures, and for obstetrical procedures. Specific concentrations and presentations of Bupivacaine Hydrochloride Injection are recommended for each type of block indicated to produce local or regional anesthesia or analgesia [see Dosage and Administration (2.2)].
Limitations of Use
Not all blocks are indicated for use with Bupivacaine Hydrochloride Injection given clinically significant risks associated with use [see Dosage and Administration (2.2), Contraindications (4), Warnings and Precautions (5.1, 5.4, 5.5, 5.7, 5.9)].
12.1 Mechanism of Action
Bupivacaine hydrochloride blocks the generation and the conduction of nerve impulses, presumably by increasing the threshold for electrical excitation in the nerve, by slowing the propagation of the nerve impulse, and by reducing the rate of rise of the action potential. In general, the progression of anesthesia is related to the diameter, myelination, and conduction velocity of affected nerve fibers. Clinically, the order of loss of nerve function is as follows: (1) pain, (2) temperature, (3) touch, (4) proprioception, and (5) skeletal muscle tone.
Epinephrine is a vasoconstrictor added to bupivacaine to slow absorption into the general circulation and thus prolong maintenance of an active tissue concentration.
5.2 Dose Related Toxicity (5.2 Dose-Related Toxicity)
The safety and effectiveness of bupivacaine hydrochloride depend on proper dosage, correct technique, adequate precautions, and readiness for emergencies. Careful and constant monitoring of cardiovascular and respiratory (adequacy of ventilation) vital signs and the patient’s state of consciousness should be performed after injection of bupivacaine hydrochloride solutions.
Possible early warning signs of central nervous system (CNS) toxicity are restlessness, anxiety, incoherent speech, lightheadedness, numbness and tingling of the mouth and lips, metallic taste, tinnitus, dizziness, blurred vision, tremors, twitching, CNS depression, or drowsiness. Delay in proper management of dose-related toxicity, underventilation from any cause, and/or altered sensitivity may lead to the development of acidosis, cardiac arrest, and, possibly, death.
During major regional nerve blocks, such as those of the brachial plexus or lower extremity, the patient should have an indwelling intravenous catheter to assure adequate intravenous access. Use the lowest dosage of bupivacaine hydrochloride that results in effective anesthesia to avoid high plasma levels and serious adverse effects. Avoid rapid injection of a large volume of bupivacaine hydrochloride solution and administer fractional (incremental) doses when feasible.
Injection of repeated doses of bupivacaine hydrochloride may cause significant increases in plasma levels with each repeated dose due to slow accumulation of the drug or its metabolites, or to slow metabolic degradation. Tolerance to elevated blood levels varies with the status of the patient. Debilitated, elderly patients and acutely ill patients should be given reduced doses commensurate with their age and physical status.
5 Warnings and Precautions (5 WARNINGS AND PRECAUTIONS)
- Dose-Related Toxicity: Monitor cardiovascular and respiratory vital signs and patient’s state of consciousness after injection of bupivacaine hydrochloride. (5.2)
- Methemoglobinemia: Cases of methemoglobinemia have been reported in association with local anesthetic use. See full prescribing information for more detail on managing these risks. (5.3)
- Chondrolysis with Intra-Articular Infusion: Intra-articular infusions of local anesthetics including bupivacaine hydrochloride following arthroscopic and other surgical procedures is an unapproved use, and there have been post-marketing reports of chondrolysis in patients receiving such infusions. (5.5)
- Risk of Cardiac Arrest with Intravenous Regional Anesthesia Use (Bier Block): There have been reports of cardiac arrest and death during the use of bupivacaine hydrochloride for intravenous regional anesthesia (Bier Block). (5.7)
- Risk of Systemic Toxicities with Unintended Intravascular or Intrathecal Injection: Unintended intravascular or intrathecal injection may be associated with systemic toxicities, including CNS or cardiorespiratory depression and coma, progressing ultimately to respiratory arrest. Aspirate for blood or cerebrospinal fluid (where applicable) prior to each dose. (5.9)
2 Dosage and Administration (2 DOSAGE AND ADMINISTRATION)
3 Dosage Forms and Strengths (3 DOSAGE FORMS AND STRENGTHS)
Bupivacaine Hydrochloride Injection, USP is a clear, colorless solution available as:
- 0.25% (25 mg per 10 mL) (2.5 mg per mL) in single-dose vials.
- 0.25% (75 mg per 30 mL) (2.5 mg per mL) in single-dose vials.
- 0.5% (50 mg per 10 mL) (5 mg per mL) in single-dose vials.
- 0.5% (150 mg per 30 mL) (5 mg per mL) in single-dose vials.
- 0.75% (75 mg per 10 mL) (7.5 mg per mL) in single-dose vials.
- 0.75% (225 mg per 30 mL) (7.5 mg per mL) in single-dose vials.
2.6 Use in Ophthalmic Surgery
When bupivacaine hydrochloride injection 0.75% (7.5 mg per mL) is used for retrobulbar block, complete corneal anesthesia usually precedes onset of clinically acceptable external ocular muscle akinesia. Therefore, presence of akinesia rather than anesthesia alone should determine readiness of the patient for surgery [see Warnings and Precautions (5.15)].
8 Use in Specific Populations (8 USE IN SPECIFIC POPULATIONS)
- Pediatric Use: Administration of bupivacaine hydrochloride in pediatric patients younger than 12 years is not recommended. (8.4)
- Geriatric Use: Patients 65 years and over, particularly those with hypertension, may be at increased risk for developing hypotension while undergoing anesthesia with bupivacaine hydrochloride. (8.5)
- Moderate to Severe Hepatic Impairment: Consider increased monitoring for bupivacaine systemic toxicity. (8.6)
2.3 use in Epidural Anesthesia (2.3 Use in Epidural Anesthesia)
During epidural administration, administer bupivacaine hydrochloride injection, 0.5% (5 mg per mL) and 0.75% (7.5 mg per mL) solutions in incremental doses of 3 mL to 5 mL with sufficient time between doses to detect toxic manifestations of unintentional intravascular or intrathecal injection. Administer injections slowly, with frequent aspirations before and during the injection to avoid intravascular injection. Perform syringe aspirations before and during each supplemental injection in continuous (intermittent) catheter techniques. In obstetrics, use ONLY the 0.5% (5 mg per mL) and 0.25% (2.5 mg per mL) concentrations of bupivacaine hydrochloride injection [see Warnings and Precautions (5.1)]; incremental doses of 3 mL to 5 mL of the 0.5% (5 mg per mL) solution not exceeding 50 mg to 100 mg at any dosing interval are recommended. Repeat doses should be preceded by a test dose containing epinephrine if not clinically contraindicated. Use only the single-dose vials for caudal or epidural anesthesia; avoid use of the multiple dose vials for these procedures, which contain a preservative [see Dosage and Administration (2.1), Warnings and Precautions (5.4, 5.9)].
17 Patient Counseling Information (17 PATIENT COUNSELING INFORMATION)
Allergic-Type Reactions
Assess if the patient has had allergic-type reactions to amide-type local anesthetics [see Contraindications (4)].
Temporary Loss of Sensation and Motor Activity After Caudal or Epidural Anesthesia
When appropriate, patients should be informed in advance that they may experience temporary loss of sensation and motor activity, usually in the lower half of the body, following proper administration of caudal or epidural anesthesia.
Instructions After Dental Injection of Bupivacaine Hydrochloride Injection
Advise patients receiving dental injections of bupivacaine hydrochloride injection not to chew solid foods or to test the anesthetized area by biting or probing until anesthesia has worn off (up to 7 hours) [see Warnings and Precautions (5.16)].
Methemoglobinemia
Inform patients that use of local anesthetics may cause methemoglobinemia, a serious condition that must be treated promptly. Advise patients or caregivers to seek immediate medical attention if they or someone in their care experience the following signs or symptoms: pale, gray, or blue colored skin (cyanosis); headache; rapid heart rate; shortness of breath; lightheadedness; or fatigue [see Warnings and Precautions (5.3)].
This product’s labeling may have been updated. For the most recent prescribing information, please visit www.meithealpharma.com.
meitheal®
Mfd. for Meitheal Pharmaceuticals
Chicago, IL 60631 (USA)
©2023 Meitheal Pharmaceuticals Inc.
Mfd. by Kindos Pharmaceuticals Co., Ltd.
Chengdu, China 611731
July 2023
LB-642-V1
7.6 Potent Inhalation Anesthetics
Serious dose-related cardiac arrhythmias may occur if preparations containing a vasoconstrictor such as epinephrine are used in patients during or following the administration of potent inhalation anesthetics.
7.5 Drugs Associated With Methemoglobinemia (7.5 Drugs Associated with Methemoglobinemia)
Patients who are administered bupivacaine hydrochloride are at increased risk of developing methemoglobinemia when concurrently exposed to following drugs, which could include other local anesthetics [see Warnings and Precautions (5.3)].
Examples of Drugs Associated with Methemoglobinemia:
| Class | Examples |
| Nitrates/Nitrites | nitric oxide, nitroglycerin, nitroprusside, nitrous oxide |
| Local anesthetics | articaine, benzocaine, bupivacaine, lidocaine, mepivacaine, prilocaine, procaine, ropivacaine, tetracaine |
| Antineoplastic agents | cyclophosphamide, flutamide, hydroxyurea, isofamide, rasburicase |
| Antibiotics | dapsone, nitrofurantoin, para-aminosalicylic acid, sulfonamides |
| Antimalarials | chloroquine, primaquine |
| Anticonvulsants | phenobarbital, phenytoin, sodium valproate |
| Other drugs | acetaminophen, metoclopramide, quinine, sulfasalazine |
5.5 Chondrolysis With Intra Articular Infusion (5.5 Chondrolysis with Intra-Articular Infusion)
Intra-articular infusions of local anesthetics including bupivacaine hydrochloride following arthroscopic and other surgical procedures is an unapproved use, and there have been post-marketing reports of chondrolysis in patients receiving such infusions. The majority of reported cases of chondrolysis have involved the shoulder joint; cases of gleno-humeral chondrolysis have been described in pediatric and adult patients following intra-articular infusions of local anesthetics with and without epinephrine for periods of 48 to 72 hours. There is insufficient information to determine whether shorter infusion periods are associated with chondrolysis. The time of onset of symptoms, such as joint pain, stiffness and loss of motion can be variable, but may begin as early as the 2nd month after surgery. Currently, there is no effective treatment for chondrolysis; patients who experienced chondrolysis have required additional diagnostic and therapeutic procedures and some required arthroplasty or shoulder replacement.
2.1 important Dosage and Administration Information (2.1 Important Dosage and Administration Information)
- Bupivacaine hydrochloride injection is not for intrathecal use.
- Avoid use of bupivacaine hydrochloride injection solutions containing antimicrobial preservatives (i.e., multiple dose vials) for epidural or caudal anesthesia [see Warnings and Precautions (5.4)].
- Discard unused portions of solution not containing preservatives, i.e., those supplied in single-dose vials, following initial use.
- Visually inspect this product for particulate matter and discoloration prior to administration whenever solution and container permit. Bupivacaine hydrochloride injection is a clear, colorless solution. Do not administer solutions which are discolored or contain particulate matter.
- Mixing or the prior or intercurrent use of any other local anesthetic with bupivacaine hydrochloride injection is not recommended because of insufficient data on the clinical use of such mixtures.
Administration Precautions
- Bupivacaine hydrochloride injection is to be administered in carefully adjusted dosages by or under the supervision of experienced clinicians who are well versed in the diagnosis and management of dose-related toxicity and other acute emergencies which might arise from the block to be employed.
- Use bupivacaine hydrochloride injection only if the following are immediately available: oxygen, cardiopulmonary resuscitative equipment and drugs, and the personnel resources needed for proper management of toxic reactions and related emergencies [see Warnings and Precautions (5.2), Adverse Reactions (6), Overdosage (10)].
- The toxic effects of local anesthetics are additive. Monitor for neurologic and cardiovascular effects related to local anesthetic systemic toxicity when additional local anesthetics are administered with bupivacaine hydrochloride injection [see Warnings and Precautions (5.2), Drug Interactions (7.1), Overdosage (10)].
- Aspirate for blood or cerebrospinal fluid (where applicable) prior to injecting bupivacaine hydrochloride injection, both the initial dose and all subsequent doses, to avoid intravascular or intrathecal injection. However, a negative aspiration for blood or cerebrospinal fluid does not ensure against an intravascular or intrathecal injection [see Warnings and Precautions (5.9)].
- Avoid rapid injection of a large volume of bupivacaine hydrochloride injection and use fractional (incremental) doses when feasible.
- During major regional nerve blocks, such as those of the brachial plexus or lower extremity, the patient should have an indwelling intravenous catheter to assure adequate intravenous access. The lowest dosage of bupivacaine hydrochloride injection that results in effective anesthesia should be used to avoid high plasma levels and serious adverse reactions.
- Perform careful and constant monitoring of cardiovascular and respiratory (adequacy of oxygenation and ventilation) vital signs and the patient’s level of consciousness after each local anesthetic injection.
5.4 Antimicrobial Preservatives in Multiple Dose Vials
Avoid use of bupivacaine hydrochloride solutions containing antimicrobial preservatives, i.e., those supplied in multiple dose vials, for epidural or caudal anesthesia because safety has not been established with such use.
13.1 Carcinogenesis, Mutagenesis, Impairment of Fertility
Carcinogenesis
Long-term studies in animals to evaluate the carcinogenic potential of bupivacaine hydrochloride have not been conducted.
Mutagenesis
The mutagenic potential of bupivacaine hydrochloride has not been determined.
Impairment of Fertility
The effect of bupivacaine hydrochloride on fertility has not been determined.
5.10 Risk of Toxicity in Patients With Hepatic Impairment (5.10 Risk of Toxicity in Patients with Hepatic Impairment)
Because amide local anesthetics such as bupivacaine hydrochloride are metabolized by the liver, consider reduced dosing and increased monitoring for bupivacaine systemic toxicity in patients with moderate to severe hepatic impairment who are treated with bupivacaine hydrochloride, especially with repeat doses [see Use in Specific Populations (8.6)].
5.14 Risk of Adverse Reactions With Use in Head and Neck Area (5.14 Risk of Adverse Reactions with Use in Head and Neck Area)
Small doses of local anesthetics (e.g., bupivacaine hydrochloride) injected into the head and neck area, including retrobulbar, dental, and stellate ganglion blocks, may produce adverse reactions similar to systemic toxicity seen with unintentional intravascular injections of larger doses. The injection procedures require the utmost care. Confusion, convulsions, respiratory depression, and/or respiratory arrest, and cardiovascular stimulation or depression have been reported. These reactions may be due to intra-arterial injection of the local anesthetic with retrograde flow to the cerebral circulation. They may also be due to puncture of the dural sheath of the optic nerve during retrobulbar block with diffusion of any local anesthetic along the subdural space to the midbrain. Monitor circulation and respiration and constantly observe patients receiving bupivacaine hydrochloride blocks. Resuscitative equipment and drugs, and personnel for treating adverse reactions should be immediately available. Dosage recommendations should not be exceeded [see Dosage and Administration (2.2)].
5.15 Risk of Respiratory Arrest With Use in Ophthalmic Surgery (5.15 Risk of Respiratory Arrest with Use in Ophthalmic Surgery)
Clinicians who perform retrobulbar blocks should be aware that there have been reports of respiratory arrest following local anesthetic injection. Prior to retrobulbar block (e.g., with bupivacaine hydrochloride), as with all other regional procedures, resuscitative equipment and drugs, and personnel to manage respiratory arrest or depression, convulsions, and cardiac stimulation or depression should be immediately available [see Warnings and Precautions (5.14)]. As with other anesthetic procedures, patients should be constantly monitored following ophthalmic blocks for signs of these adverse reactions, which may occur following relatively low total doses.
A concentration of 0.75% bupivacaine hydrochloride is indicated for retrobulbar block; however, this concentration is not indicated for any other peripheral nerve block, including the facial nerve, and not indicated for local infiltration, including the conjunctiva [see Indications and Usage (1)].
5.11 Risk of Use in Patients With Impaired Cardiovascular Function (5.11 Risk of Use in Patients with Impaired Cardiovascular Function)
Bupivacaine hydrochloride should be given in reduced doses in patients with impaired cardiovascular function (e.g., hypotension, heartblock) because they may be less able to compensate for functional changes associated with the prolongation of AV conduction produced by bupivacaine hydrochloride. Monitor patients closely for blood pressure, heart rate, and ECG changes.
5.7 risk of Cardiac Arrest With Intravenous Regional Anesthesia Use (bier Block) (5.7 Risk of Cardiac Arrest with Intravenous Regional Anesthesia Use (Bier Block))
There have been reports of cardiac arrest and death during the use of bupivacaine hydrochloride for intravenous regional anesthesia (Bier Block). Information on safe dosages and techniques of administration of bupivacaine hydrochloride in this procedure is lacking. Therefore, bupivacaine hydrochloride is contraindicated for use with this technique [see Contraindications (4)].
2.2 recommended Concentrations and Dosages of Bupivacaine Hydrochloride Injection (2.2 Recommended Concentrations and Dosages of Bupivacaine Hydrochloride Injection)
The dosage of bupivacaine hydrochloride injection administered varies with the anesthetic procedure, the area to be anesthetized, the vascularity of the tissues, the number of neuronal segments to be blocked, the depth of anesthesia and degree of muscle relaxation required, the duration of anesthesia desired, individual tolerance, and the physical condition of the patient. Administer the smallest dosage and concentration required to produce the desired result.
The types of block and recommended bupivacaine hydrochloride injection concentrations are shown in Table 1.
5.9 Risk of Systemic Toxicities With Unintended Intravascular Or Intrathecal Injection (5.9 Risk of Systemic Toxicities with Unintended Intravascular or Intrathecal Injection)
Unintended intravascular or intrathecal injection of bupivacaine hydrochloride may be associated with systemic toxicities, including CNS or cardiorespiratory depression and coma, progressing ultimately to respiratory arrest. Unintentional intrathecal injection during the intended performance of caudal or lumbar epidural block or nerve blocks near the vertebral column has resulted in underventilation or apnea (“Total or High Spinal”). A high spinal has been characterized by paralysis of the legs, loss of consciousness, respiratory paralysis, and bradycardia [see Adverse Reactions (6)].
Aspirate for blood or cerebrospinal fluid (where applicable) before injecting bupivacaine hydrochloride, both the initial dose and all subsequent doses, to avoid intravascular or intrathecal injection. However, a negative aspiration for blood or cerebrospinal fluid does not ensure against an intravascular or intrathecal injection.
Principal Display Panel – 0.5% Bupivacaine Hydrochloride Injection, Usp 10 Ml Carton (PRINCIPAL DISPLAY PANEL – 0.5% Bupivacaine Hydrochloride Injection, USP 10 mL Carton)
NDC 71288-724-11
Rx Only
Bupivacaine Hydrochloride Injection, USP 0.5%
50 mg per 10 mL
(5 mg per mL)
For NERVE BLOCK, CAUDAL, AND EPIDURAL ANESTHESIA
NOT FOR SPINAL ANESTHESIA
1 x 10 mL Single-Dose Vial
Preservative-Free
Principal Display Panel – 0.5% Bupivacaine Hydrochloride Injection, Usp 30 Ml Carton (PRINCIPAL DISPLAY PANEL – 0.5% Bupivacaine Hydrochloride Injection, USP 30 mL Carton)
NDC 71288-725-32
Rx Only
Bupivacaine Hydrochloride Injection, USP 0.5%
150 mg per 30 mL
(5 mg per mL)
For NERVE BLOCK, CAUDAL, AND EPIDURAL ANESTHESIA
NOT FOR SPINAL ANESTHESIA
1 x 30 mL SINGLE-DOSE VIAL-
PRESERVATIVE-FREE
Principal Display Panel – 0.25% Bupivacaine Hydrochloride Injection, Usp 10 Ml Carton (PRINCIPAL DISPLAY PANEL – 0.25% Bupivacaine Hydrochloride Injection, USP 10 mL Carton)
NDC 71288-721-11
Rx Only
Bupivacaine Hydrochloride Injection, USP 0.25%
25 mg per 10 mL
(2.5 mg per mL)
For INFILTRATION, NERVE BLOCK, CAUDAL, and EPIDURAL ANESTHESIA
NOT FOR SPINAL ANESTHESIA
1 x 10 mL Single-Dose Vial
Preservative-Free
Principal Display Panel – 0.25% Bupivacaine Hydrochloride Injection, Usp 30 Ml Carton (PRINCIPAL DISPLAY PANEL – 0.25% Bupivacaine Hydrochloride Injection, USP 30 mL Carton)
NDC 71288-722-32
Rx Only
Bupivacaine Hydrochloride Injection, USP 0.25%
75 mg per 30 mL
(2.5 mg per mL)
For INFILTRATION, NERVE BLOCK, CAUDAL, and EPIDURAL ANESTHESIA
NOT FOR SPINAL ANESTHESIA
1 x 30 mL SINGLE-DOSE VIAL-
PRESERVATIVE-FREE
Principal Display Panel – 0.75% Bupivacaine Hydrochloride Injection, Usp 10 Ml Carton (PRINCIPAL DISPLAY PANEL – 0.75% Bupivacaine Hydrochloride Injection, USP 10 mL Carton)
NDC 71288-727-11
Rx Only
Bupivacaine Hydrochloride Injection, USP 0.75%
75 mg per 10 mL
(7.5 mg per mL)
EPIDURAL and RETROBULBAR ANESTHESIA USE
NOT FOR OBSTETRIC OR SPINAL ANESTHESIA
1 x 10 mL Single-Dose Vial
Preservative-Free
Principal Display Panel – 0.75% Bupivacaine Hydrochloride Injection, Usp 30 Ml Carton (PRINCIPAL DISPLAY PANEL – 0.75% Bupivacaine Hydrochloride Injection, USP 30 mL Carton)
NDC 71288-728-32
Rx Only
Bupivacaine Hydrochloride Injection, USP 0.75%
225 mg per 30 mL
(7.5 mg per mL)
For EPIDURAL and RETROBULBAR ANESTHESIA
NOT FOR OBSTETRIC OR SPINAL ANESTHESIA
1 x 30 mL SINGLE-DOSE VIAL-
PRESERVATIVE-FREE
5.16 Risk of Inadvertent Trauma to Tongue, Lips, and Buccal Mucosa in Dental Applications
Because of the long duration of anesthesia, when bupivacaine hydrochloride with epinephrine [0.5% (5 mg/mL) of bupivacaine] is used for dental injections, warn patients about the possibility of inadvertent trauma to tongue, lips, and buccal mucosa and advise them not to chew solid foods until sensation returns [see Patient Counseling Information (17)].
5.1 Risk of Cardiac Arrest With Use of Bupivacaine Hydrochloride in Obstetrical Anesthesia (5.1 Risk of Cardiac Arrest with Use of Bupivacaine Hydrochloride in Obstetrical Anesthesia)
There have been reports of cardiac arrest with difficult resuscitation or death during use of bupivacaine hydrochloride for epidural anesthesia in obstetrical patients. In most cases, this has followed use of the 0.75% (7.5 mg per mL) concentration. Resuscitation has been difficult or impossible despite apparently adequate preparation and appropriate management. Cardiac arrest has occurred after convulsions resulting from systemic toxicity, presumably following unintentional intravascular injection. The 0.75% (7.5 mg per mL) concentration of bupivacaine hydrochloride is not recommended for obstetrical anesthesia and should be reserved for surgical procedures where a high degree of muscle relaxation and prolonged effect are necessary.
Principal Display Panel – 0.25% Bupivacaine Hydrochloride Injection, Usp 10 Ml Vial Label (PRINCIPAL DISPLAY PANEL – 0.25% Bupivacaine Hydrochloride Injection, USP 10 mL Vial Label)
NDC 71288-721-11
Rx Only
Bupivacaine Hydrochloride Injection, USP 0.25%
25 mg per 10 mL
(2.5 mg per mL)
For INFILTRATION, NERVE BLOCK, CAUDAL, and EPIDURAL ANESTHESIA
NOT FOR SPINAL ANESTHESIA
10 mL Single-Dose Vial
Preservative-Free
Principal Display Panel – 0.5% Bupivacaine Hydrochloride Injection, Usp 10 Ml Vial Label (PRINCIPAL DISPLAY PANEL – 0.5% Bupivacaine Hydrochloride Injection, USP 10 mL Vial Label)
NDC 71288-724-11
Rx Only
Bupivacaine Hydrochloride Injection, USP 0.5%
50 mg per 10 mL
(5 mg per mL)
For NERVE BLOCK, CAUDAL, AND EPIDURAL ANESTHESIA
NOT FOR SPINAL ANESTHESIA
10 mL Single-Dose Vial
Preservative-Free
Principal Display Panel – 0.5% Bupivacaine Hydrochloride Injection, Usp 30 Ml Vial Label (PRINCIPAL DISPLAY PANEL – 0.5% Bupivacaine Hydrochloride Injection, USP 30 mL Vial Label)
NDC 71288-725-32
Rx Only
Bupivacaine Hydrochloride Injection, USP 0.5%
150 mg per 30 mL
(5 mg per mL)
For NERVE BLOCK, CAUDAL, AND EPIDURAL ANESTHESIA
NOT FOR SPINAL ANESTHESIA
30 mL SINGLE-DOSE VIAL-PRESERVATIVE-FREE
Principal Display Panel – 0.25% Bupivacaine Hydrochloride Injection, Usp 30 Ml Vial Label (PRINCIPAL DISPLAY PANEL – 0.25% Bupivacaine Hydrochloride Injection, USP 30 mL Vial Label)
NDC 71288-722-32
Rx Only
Bupivacaine Hydrochloride Injection, USP 0.25%
75 mg per 30 mL
(2.5 mg per mL)
For INFILTRATION, NERVE BLOCK, CAUDAL, and EPIDURAL ANESTHESIA
NOT FOR SPINAL ANESTHESIA
30 mL SINGLE-DOSE VIAL-PRESERVATIVE-FREE
Principal Display Panel – 0.75% Bupivacaine Hydrochloride Injection, Usp 10 Ml Vial Label (PRINCIPAL DISPLAY PANEL – 0.75% Bupivacaine Hydrochloride Injection, USP 10 mL Vial Label)
NDC 71288-727-11
Rx Only
Bupivacaine Hydrochloride Injection, USP 0.75%
75 mg per 10 mL
(7.5 mg per mL)
EPIDURAL and RETROBULBAR ANESTHESIA USE
NOT FOR OBSTETRIC OR SPINAL ANESTHESIA
10 mL Single-Dose Vial
Preservative-Free
Principal Display Panel – 0.75% Bupivacaine Hydrochloride Injection, Usp 30 Ml Vial Label (PRINCIPAL DISPLAY PANEL – 0.75% Bupivacaine Hydrochloride Injection, USP 30 mL Vial Label)
NDC 71288-728-32
Rx Only
Bupivacaine Hydrochloride Injection, USP 0.75%
225 mg per 30 mL
(7.5 mg per mL)
For EPIDURAL and RETROBULBAR ANESTHESIA
NOT FOR OBSTETRIC OR SPINAL ANESTHESIA
30 mL SINGLE-DOSE VIAL-PRESERVATIVE-FREE
Warning: Risk of Cardiac Arrest With Use of Bupivacaine Hydrochloride in Obstetrical Anesthesia (WARNING: RISK OF CARDIAC ARREST WITH USE OF BUPIVACAINE HYDROCHLORIDE IN OBSTETRICAL ANESTHESIA)
There have been reports of cardiac arrest with difficult resuscitation or death during use of bupivacaine hydrochloride for epidural anesthesia in obstetrical patients. In most cases, this has followed use of the 0.75% (7.5 mg per mL) concentration. Resuscitation has been difficult or impossible despite apparently adequate preparation and appropriate management. Cardiac arrest has occurred after convulsions resulting from systemic toxicity, presumably following unintentional intravascular injection. The 0.75% (7.5 mg per mL) concentration of bupivacaine hydrochloride is not recommended for obstetrical anesthesia and should be reserved for surgical procedures where a high degree of muscle relaxation and prolonged effect are necessary [see Warnings and Precautions (5.1)].
Advanced Ingredient Data
Raw Label Data
All Sections (JSON)
Additional Information
Back to search View SPL set listing Open on DailyMed ↗
Source: dailymed · Ingested: 2026-02-15T11:40:06.108010 · Updated: 2026-03-14T22:00:48.312903