These Highlights Do Not Include All The Information Needed To Use Tobramycin Inhalation Solution Pak Safely And Effectively. See Full Prescribing Information For Tobramycin Inhalation Solution Pak.

These Highlights Do Not Include All The Information Needed To Use Tobramycin Inhalation Solution Pak Safely And Effectively. See Full Prescribing Information For Tobramycin Inhalation Solution Pak.
SPL v9
SPL
SPL Set ID dad13445-f591-4829-96f9-1598ba03dff8
Route
RESPIRATORY (INHALATION)
Published
Effective Date 2025-01-02
Document Type 34391-3 HUMAN PRESCRIPTION DRUG LABEL

Drug Facts

Composition & Product

Active Ingredients
Tobramycin (300 mg)
Inactive Ingredients
Sodium Chloride Sulfuric Acid Water

Identifiers & Packaging

Marketing Status
NDA AUTHORIZED GENERIC Active Since 2016-07-11

Description

Warnings and Precautions, Ototoxicity (5.2)  08/2023

Indications and Usage

TOBRAMYCIN INHALATION SOLUTION PAK (co-packaging of tobramycin inhalation solution and PARI LC PLUS Reusable Nebulizer) is indicated for the management of cystic fibrosis in adults and pediatric patients 6 years of age and older with P. aeruginosa . Safety and efficacy have not been demonstrated in patients under the age of 6 years, patients with FEV 1 < 25% or > 75% predicted, or patients colonized with Burkholderia cepacia [see Clinical Studies ( 14 )].

Dosage and Administration

TOBRAMYCIN INHALATION SOLUTION PAK is a co-packaging of tobramycin inhalation solution with a PARI LC PLUS ® Reusable Nebulizer ( 2.1 ). Administer tobramycin inhalation solution as one single–use ampule (300 mg/5 mL) twice a day by oral inhalation in alternating periods of 28 days on drug, followed by 28 days off drug ( 2.1 ). Dosage is not adjusted by weight ( 2.1 ). Take doses as close to 12 hours apart as possible; but not less than 6 hours apart ( 2.1 ). Administer each 300 mg dose using the PARI LC PLUS Reusable Nebulizer and DeVilbiss ® Pulmo-Aide ® compressor ( 2.2 ).

Warnings and Precautions

Bronchospasm: Can occur with inhalation of tobramycin inhalation solution. Treat as medically appropriate, if it occurs ( 5.1 ). Ototoxicity: Tinnitus and hearing loss have been reported in patients receiving tobramycin inhalation solution. If noted, manage as medically appropriate, including potentially discontinuing tobramycin inhalation solution ( 5.2 ). Nephrotoxicity: Has been associated with aminoglycosides as a class. If nephrotoxicity develops, manage the patient as medically appropriate, including potentially discontinuing tobramycin inhalation solution ( 5.3 ). Neuromuscular Disorders: Aminoglycosides may aggravate muscle weakness because of a potential curare-like effect on neuromuscular function. If neuromuscular blockade occurs, it may be reversed by the administration of calcium salts but mechanical assistance may be necessary ( 5.4 ). Embryo-Fetal Toxicity: Aminoglycosides can cause fetal harm ( 5.5 , 8.1 )

Contraindications

Tobramycin inhalation solution is contraindicated in patients with a known hypersensitivity to any aminoglycoside.

Adverse Reactions

The following serious adverse reactions are described below and elsewhere in the labeling: Bronchospasm [ see Warnings and Precautions ( 5.1 )] Ototoxicity [ see Warnings and Precautions ( 5.2 )]

Drug Interactions

Concurrent and/or sequential use with other drugs with neurotoxic, nephrotoxic or ototoxic potential should be avoided ( 7.1 ). Concomitant administration with ethacrynic acid, furosemide, urea, or intravenous mannitol is not recommended due to possible enhancement of aminoglycoside toxicity ( 7.2 ).

How Supplied

TOBRAMYCIN INHALATION SOLUTION PAK co-packaged kit (NDC 70644-899-99) is available in cartons containing one reusable PARI LC PLUS nebulizer (Model No.: 022B81-T) and 14 tobramycin inhalation solution pouches. Each pouch contains four 300 mg/5 ml ampules of tobramycin inhalation solution for a total of 56 ampules in each carton. Each carton constitutes a 28 day supply.


Medication Information

Warnings and Precautions

Bronchospasm: Can occur with inhalation of tobramycin inhalation solution. Treat as medically appropriate, if it occurs ( 5.1 ). Ototoxicity: Tinnitus and hearing loss have been reported in patients receiving tobramycin inhalation solution. If noted, manage as medically appropriate, including potentially discontinuing tobramycin inhalation solution ( 5.2 ). Nephrotoxicity: Has been associated with aminoglycosides as a class. If nephrotoxicity develops, manage the patient as medically appropriate, including potentially discontinuing tobramycin inhalation solution ( 5.3 ). Neuromuscular Disorders: Aminoglycosides may aggravate muscle weakness because of a potential curare-like effect on neuromuscular function. If neuromuscular blockade occurs, it may be reversed by the administration of calcium salts but mechanical assistance may be necessary ( 5.4 ). Embryo-Fetal Toxicity: Aminoglycosides can cause fetal harm ( 5.5 , 8.1 )

Indications and Usage

TOBRAMYCIN INHALATION SOLUTION PAK (co-packaging of tobramycin inhalation solution and PARI LC PLUS Reusable Nebulizer) is indicated for the management of cystic fibrosis in adults and pediatric patients 6 years of age and older with P. aeruginosa . Safety and efficacy have not been demonstrated in patients under the age of 6 years, patients with FEV 1 < 25% or > 75% predicted, or patients colonized with Burkholderia cepacia [see Clinical Studies ( 14 )].

Dosage and Administration

TOBRAMYCIN INHALATION SOLUTION PAK is a co-packaging of tobramycin inhalation solution with a PARI LC PLUS ® Reusable Nebulizer ( 2.1 ). Administer tobramycin inhalation solution as one single–use ampule (300 mg/5 mL) twice a day by oral inhalation in alternating periods of 28 days on drug, followed by 28 days off drug ( 2.1 ). Dosage is not adjusted by weight ( 2.1 ). Take doses as close to 12 hours apart as possible; but not less than 6 hours apart ( 2.1 ). Administer each 300 mg dose using the PARI LC PLUS Reusable Nebulizer and DeVilbiss ® Pulmo-Aide ® compressor ( 2.2 ).

Contraindications

Tobramycin inhalation solution is contraindicated in patients with a known hypersensitivity to any aminoglycoside.

Adverse Reactions

The following serious adverse reactions are described below and elsewhere in the labeling: Bronchospasm [ see Warnings and Precautions ( 5.1 )] Ototoxicity [ see Warnings and Precautions ( 5.2 )]

Drug Interactions

Concurrent and/or sequential use with other drugs with neurotoxic, nephrotoxic or ototoxic potential should be avoided ( 7.1 ). Concomitant administration with ethacrynic acid, furosemide, urea, or intravenous mannitol is not recommended due to possible enhancement of aminoglycoside toxicity ( 7.2 ).

How Supplied

TOBRAMYCIN INHALATION SOLUTION PAK co-packaged kit (NDC 70644-899-99) is available in cartons containing one reusable PARI LC PLUS nebulizer (Model No.: 022B81-T) and 14 tobramycin inhalation solution pouches. Each pouch contains four 300 mg/5 ml ampules of tobramycin inhalation solution for a total of 56 ampules in each carton. Each carton constitutes a 28 day supply.

Description

Warnings and Precautions, Ototoxicity (5.2)  08/2023

Section 42229-5

Risk Summary

Aminoglycosides can cause fetal harm. Published literature reports that use of streptomycin, an aminoglycoside, can cause total, irreversible, bilateral congenital deafness when administered to a pregnant woman [Warnings and Precautions (5.5)]. Although there are no available data on TOBRAMYCIN INHALATION SOLUTION PAK use in pregnant women to inform a drug-associated risk of major birth defects, miscarriage, or adverse maternal or fetal outcomes, systemic absorption of tobramycin following inhaled administration is expected to be minimal [see Clinical Pharmacology (12.3)]. There are risks to the mother associated with cystic fibrosis in pregnancy (see Clinical Considerations).

In animal reproduction studies with subcutaneous administration of tobramycin in pregnant rats and rabbits during organogenesis there were no adverse developmental outcomes; however, ototoxicity was not evaluated in the offspring from these studies (see Data ). Advise pregnant women of the potential risk to a fetus.

The estimated background risk of major birth defects and miscarriage for the indicated populations are unknown. All pregnancies have a background risk of birth defect, loss, or other adverse outcomes. In the U.S. general population, the estimated background risk of major birth defects and miscarriage in clinically recognized pregnancies is 2 to 4% and 15 to 20%, respectively.

Section 42230-3
PATIENT INFORMATION

TOBRAMYCIN INHALATION SOLUTION PAK

(tobramycin inhalation solution) for oral inhalation
Read this Patient Information before you start using TOBRAMYCIN INHALATION SOLUTION PAK and each time you get a refill. There may be new information. This information does not take the place of talking with your healthcare provider about your medical condition or your treatment.

What is TOBRAMYCIN INHALATION SOLUTION PAK?

TOBRAMYCIN INHALATION SOLUTION PAK contains a prescription medicine and a PARI LC PLUS Reusable Nebulizer used to treat adults and children 6 years of age and older with cystic fibrosis who have a bacterial infection called Pseudomonas aeruginosa.

TOBRAMYCIN INHALATION SOLUTION PAK contains an antibacterial medicine called tobramycin (an aminoglycoside).

It is not known if tobramycin inhalation solution is safe and effective:

  • in children under 6 years of age.
  • in people who have an FEV1 less than 25% or greater than 75% predicted.
  • in people who are colonized with a bacterium called Burkholderia cepacia.
  • when used for more than 3 cycles.
Who should not use TOBRAMYCIN INHALATION SOLUTION PAK?

Do not use TOBRAMYCIN INHALATION SOLUTION PAK if you are allergic to tobramycin, any of the ingredients in TOBRAMYCIN INHALATION SOLUTION PAK, or to any other aminoglycoside antibacterial medicine.
What should I tell my healthcare provider before using TOBRAMYCIN INHALATION SOLUTION PAK?

Before using TOBRAMYCIN INHALATION SOLUTION PAK, tell your healthcare provider about all of your medical conditions, including if you:


  • have or have had breathing problems such as wheezing, coughing, or chest tightness.
  • have or have had hearing problems (including noises in your ears such as ringing or hissing), hearing loss, or your mother has had hearing problems after taking an aminoglycoside.
  • have been told you have certain gene variants (a change in the gene) related to hearing abnormalities inherited from your mother.
  • have dizziness.
  • have or have had kidney problems.
  • have or have had problems with muscle weakness such as myasthenia gravis or Parkinson's disease.
  • are pregnant or plan to become pregnant. TOBRAMYCIN INHALATION SOLUTION PAK contains a medicine that may cause harm to your unborn baby. See "What are the possible side effects of TOBRAMYCIN INHALATION SOLUTION PAK?" below for more information.
  • are breastfeeding or plan to breastfeed. It is not known if the medicine in TOBRAMYCIN INHALATION SOLUTION PAK (tobramycin inhalation solution) passes into your breast milk.
Tell your healthcare provider about all the medicines you take, including prescription and over-the-counter, vitamins, and herbal supplements.



Using TOBRAMYCIN INHALATION SOLUTION PAK with certain other medicines can cause serious side effects. Ask your healthcare provider or pharmacist for a list of these medicines, if you are not sure. Know the medicines you take. Keep a list of them and show it to your healthcare provider and pharmacist when you get a new medicine.



If you are using TOBRAMYCIN INHALATION SOLUTION PAK, you should discuss with your healthcare provider if you should take:

  • other medicines that may harm your nervous system, kidneys, or hearing
  • “water pills” (diuretics) such as Edecrin (ethacrynic acid), Lasix (furosemide), or mannitol
  • urea
How should I use TOBRAMYCIN INHALATION SOLUTION PAK?

  • See the step-by-step Instructions for Use at the end of this Patient Information leaflet about the right way to use TOBRAMYCIN INHALATION SOLUTION PAK.
  • Use TOBRAMYCIN INHALATION SOLUTION PAK exactly as your healthcare provider tells you to. Ask your healthcare provider or pharmacist if you are not sure.
  • The usual dose of TOBRAMYCIN INHALATION SOLUTION PAK for adults and children 6 years of age and over is:
    • 1 ampule of tobramycin inhalation solution inhaled by mouth in the morning and 1 ampule of tobramycin inhalation solution inhaled by mouth in the evening using your PARI LC PLUS Reusable Nebulizer with a DeVilbiss® Pulmo-Aide air compressor.
  • Each dose of TOBRAMYCIN INHALATION SOLUTION PAK should take about 15 minutes to finish.
  • Each dose of TOBRAMYCIN INHALATION SOLUTION PAK should be used as close to 12 hours apart as possible.
  • Do not use your dose of TOBRAMYCIN INHALATION SOLUTION PAK less than 6 hours apart.
  • After using TOBRAMYCIN INHALATION SOLUTION PAK for 28 days, you should stop using it for 28 days. After you have stopped using TOBRAMYCIN INHALATION SOLUTION PAK for 28 days, you should start using TOBRAMYCIN INHALATION SOLUTION PAK again for 28 days. It is important that you keep to the 28-day on, 28-day off cycle.
  • Do not mix the medicine in TOBRAMYCIN INHALATION SOLUTION PAK with other medicines including dornase alfa in your nebulizer.
  • If you are taking other medicines inhaled through your mouth (bronchodilators), your healthcare provider will tell you how to take your medicine the right way.
  • If you inhale too much of the medicine in TOBRAMYCIN INHALATION SOLUTION PAK, tell your healthcare provider right away.

What are the possible side effects of TOBRAMYCIN INHALATION SOLUTION PAK?

TOBRAMYCIN INHALATION SOLUTION PAK can cause serious side effects, including:

  • severe breathing problems (bronchospasm).Tell your healthcare provider right away if you get any of these symptoms of bronchospasm while using TOBRAMYCIN INHALATION SOLUTION PAK:
    • shortness of breath with wheezing
    • coughing and chest tightness
  • hearing loss or ringing in the ears (ototoxicity). Tell your healthcare provider right away if you have hearing loss or hear noises in your ears (such as ringing or hissing), or if you develop vertigo, dizziness, or difficulty with balance.
  • worsening kidney problems (nephrotoxicity). Your healthcare provider may do a blood test and urine test to check how your kidneys are working while you are using TOBRAMYCIN INHALATION SOLUTION PAK.
  • worsening muscle weakness. The medicine in TOBRAMYCIN INHALATION SOLUTION PAK (tobramycin inhalation solution) is in a class of medicines that can cause muscle weakness to get worse in people who already have problems with muscle weakness (myasthenia gravis or Parkinson's disease).
  • The medicine in TOBRAMYCIN INHALATION SOLUTION PAK (tobramycin inhalation solution) is in a class of medicines which may cause harm to an unborn baby.
The most common side effects of TOBRAMYCIN INHALATION SOLUTION PAK include:
  • cough
  • sore throat
  • productive cough
  • shortness of breath
  • coughing up blood
  • worsening of lung problems or cystic fibrosis
  • changes in your voice (hoarseness)
  • altered taste
  • rash
These are not all of the possible side effects of TOBRAMYCIN INHALATION SOLUTION PAK. Call your doctor for medical advice about side effects. You may report side effects to FDA at 1-800-FDA-1088.
General information about the safe and effective use of TOBRAMYCIN INHALATION SOLUTION PAK.

Medicines are sometimes prescribed for purposes other than those listed in a patient information leaflet. Do not use TOBRAMYCIN INHALATION SOLUTION PAK for a condition for which it was not prescribed. Do not give TOBRAMYCIN INHALATION SOLUTION PAK to other people, even if they have the same symptoms that you have. It may harm them.

You can ask your healthcare provider or pharmacist for information about TOBRAMYCIN INHALATION SOLUTION PAK that is written for health professionals.
What are the ingredients in TOBRAMYCIN INHALATION SOLUTION PAK?

Active ingredient: tobramycin

Inactive ingredients: sodium chloride in sterile water, sulfuric acid, and sodium hydroxide (for pH adjustment)

Section 43683-2

Section 59845-8

INSTRUCTIONS FOR USE

TOBRAMYCIN INHALATION SOLUTION PAK

(tobramycin inhalation solution), for oral inhalation

Follow the instructions below for using TOBRAMYCIN INHALATION SOLUTION PAK which contains tobramycin inhalation solution and the PARI LC PLUS Reusable Nebulizer (PARI LC PLUS). If you have any questions, ask your healthcare provider or pharmacist.

Each TOBRAMYCIN INHALATION SOLUTION PAK carton (28-day supply) contains 56 tobramycin inhalation solution ampules packed in 14 foil pouches that each contain 4 single- use tobramycin inhalation solution ampules.

You will need the following supplies (See Figure A):

  • 1 tobramycin inhalation solution ampule
  • PARI LC PLUS Reusable Nebulizer
  • DeVilbiss Pulmo-Aide (Pulmo-Aide) air compressor
  • tubing to connect the nebulizer and compressor
  • clean, lint-free towel
  • nose clip (optional, not pictured)

Note: Read the Instructions for Use that come with your PARI LC PLUS Reusable Nebulizer and DeVilbiss Pulmo-Aide air compressor for detailed instructions on how to use and care for your nebulizer and air compressor before you use it.

Do not mix the medicine in TOBRAMYCIN INHALATION SOLUTION PAK with other medicines in your nebulizer.

The medicine in TOBRAMYCIN INHALATION SOLUTION PAK (tobramycin inhalation solution) comes in a sealed foil pouch. Do not open a sealed pouch until you are ready to use a dose. After opening the pouch, unopened ampules should be returned to and stored in the pouch.

Getting ready:

  • Open the PARI LC PLUS package. Place the PARI LC PLUS parts including Top and Bottom (Nebulizer Cup) Assembly, Inspiratory Valve Cap, Mouthpiece with Valve, and Tubing on a clean, dry surface or towel (See Figure B).

Preparing your TOBRAMYCIN INHALATION SOLUTION PAK dose:

Step 1: Wash your hands with soap and water (See Figure C).

Step 2: Open the foil pouch (See Figure D).

Step 3: Separate 1 ampule by gently pulling apart starting at the top of the ampules and continue down to the bottom tabs (See Figure E) and use it right away.

Step 4: Hold the bottom tab on the TOBRAMYCIN INHALATION SOLUTION PAK ampule with 1 hand (See Figure F). With your other hand, hold the top of the ampule and twist off the top of the ampule (See Figure F).

  • Do not squeeze the ampule until you are ready to squeeze all of the medicine into the Nebulizer Cup.

Step 5: Hold the Nebulizer Cup and twist off the Nebulizer Insert or Top in a counter-clockwise direction (See Figure G). Set the Top aside on a clean, dry, surface.

Step 6: Squeeze all the medicine from the ampule into the Nebulizer Cup (See Figure H).

Step 7: Replace the Nebulizer Insert. Line up the semi-circle on the Nebulizer Insert with the Nebulizer Outlet and twist on the Nebulizer Insert in a clockwise direction until it is tight and the alignment rings are lined up (See Figure I).

Step 8: Push the Mouthpiece straight onto the Nebulizer Cup (See Figure J).

Step 9: Firmly push the Inspiratory Valve Cap straight down onto the Nebulizer Cup Top (See Figure K). The Inspiratory Valve Cap should fit tightly.

Step 10: Connect 1 end of the tubing to the compressor air outlet (See Figure L). The tubing should fit tightly.

Step 11: Plug your compressor into an electrical outlet (See Figure M).

Step 12: Hold the Nebulizer Cup upright and firmly push the free end of the tubing straight up onto the Air Intake on the bottom of the Nebulizer Cup (See Figure N). Make sure to keep the Nebulizer Cup upright.

Giving your TOBRAMYCIN INHALATION SOLUTION PAK dose:

Step 13: Turn on the compressor (See Figure O). You should see a steady mist coming from the Mouthpiece (See Figure P).

Step 14: Sit or stand in a comfortable, upright position that will allow you to breathe normally. Place the Mouthpiece between your teeth and on top of your tongue and breathe normally only through your mouth (See Figure Q).

  • Nose clips may help you breathe only through your mouth and not through your nose.

Step 15: Keep breathing in your TOBRAMYCIN INHALATION SOLUTION PAK dose for at least 15 minutes. You will know that you have received your full dose of medicine when you hear a “sputtering noise” coming from the Mouthpiece for at least 1 minute and the Nebulizer Cup is empty.

After your TOBRAMYCIN INHALATION SOLUTION PAK dose:

Step 16: Clean and disinfect your nebulizer (see manufacturer's Instructions for Use).

Care and Use of your DeVilbiss Pulmo-Aide compressor:

Follow the manufacturer's instructions for care and use of your compressor.

How should I store TOBRAMYCIN INHALATION SOLUTION PAK?

  • Store tobramycin inhalation solution in the refrigerator between 36°F to 46°F (2°C to 8°C) until needed.
  • You may store the tobramycin inhalation solution in the foil pouches (opened or unopened) at room temperature between 68°F to 77°F (20°C to 25°C) for up to 28 days.
  • Do not use tobramycin inhalation solution after the expiration date stamped on the ampule.
  • Keep tobramycin inhalation solution in the foil pouch and out of the light.
  • Tobramycin inhalation solution is normally slightly yellow, but may get darker with age if unrefrigerated. The color change does not change how the medicine works.
  • Do not use tobramycin inhalation solution if it is cloudy, has particles in the solution, or if it has been stored at room temperature for more than 28 days. Throw the applicable ampule(s) away in your household trash and get a new ampule.

Keep TOBRAMYCIN INHALATION SOLUTION PAK and all medicines out of the reach of children.

This Patient Information and Instructions for Use have been approved by the U.S. Food and Drug Administration.

Revised: 08/2023

Additional Information

PARI LC PLUS® Reusable Nebulizer: 1-800-327-8632

DeVilbiss® Pulmo-Aide® Air Compressor: 1-800-338-1988

TOBRAMYCIN INHALATION SOLUTION PAK: 1-877-236-7239

Manufactured by:

Woodstock Sterile Solutions, Inc.

Woodstock, IL 60098

Distributed by:

Genericus, Inc.,

Glen Allen, 23060 VA

899D9999 Rev. F 08/2023

© 2023 PulmoFlow, Inc. All rights reserved.

16.2 Storage
  • Tobramycin inhalation solution should be stored under refrigeration at 2-8°C/36-46°F. Upon removal from the refrigerator, or if refrigeration is unavailable, tobramycin inhalation solution pouches (opened or unopened) may be stored at room temperature (up to 25°C/77°F) for up to 28 days. Tobramycin inhalation solution should not be used beyond the expiration date stamped on the ampule when stored under refrigeration (2-8°C/36-46°F) or beyond 28 days when stored at room temperature (25°C/77°F).
  • Tobramycin inhalation solution ampules should not be exposed to intense light. The solution in the ampule is slightly yellow, but may darken with age if not stored in the refrigerator; however, the color change does not indicate any change in the quality of the product as long as it is stored within the recommended storage conditions.
10 Overdosage

Signs and symptoms of acute toxicity from overdosage of IV tobramycin might include dizziness, tinnitus, vertigo, loss of high-tone hearing acuity, respiratory failure, and neuromuscular blockade. Administration by inhalation results in low systemic bioavailability of tobramycin. Tobramycin is not significantly absorbed following oral administration. Tobramycin serum concentrations may be helpful in monitoring overdosage.

15 References
  • Neu HC. Tobramycin: an overview. [Review]. J Infect Dis 1976; Suppl 134:S3-19.
  • Weber A, Smith A, Williams-Warren J et al. Nebulizer delivery of tobramycin to the lower respiratory tract. Pediatr Pulmonol 1994; 17 (5):331-9.
  • Bryan LE. Aminoglycoside resistance. Bryan LE, Ed. Antimicrobial drug resistance. Orlando, FL: Academic Press, 1984: 241-77.
  • Clinical and Laboratory Standards Institute (CLSI). Methods for Dilution Antimicrobial Susceptibility Tests for Bacteria that Grow Aerobically; Approved Standard - Ninth Edition. CLSI document M07-A9, Clinical and Laboratory Standards Institute, 950 West Valley Road, Suite 2500, Wayne, Pennsylvania 19087, USA, 2012.
  • Clinical and Laboratory Standards Institute (CLSI). Performance Standards for Antimicrobial Disk Diffusion Susceptibility Tests; Approved Standard – Eleventh Edition. CLSI document M02-A11, Clinical and Laboratory Standards Institute, 950 West Valley Road, Suite 2500, Wayne, Pennsylvania 19087, USA, 2012.
  • Clinical and Laboratory Standards Institute (CLSI). Performance Standards for Antimicrobial Susceptibility Testing; Twenty-fourth Informational Supplement, CLSI document M100-S24, Clinical and Laboratory Standards Institute, 950 West Valley Road, Suite 2500, Wayne, Pennsylvania 19087, USA, 2014.
7.2 Diuretics

Some diuretics can enhance aminoglycoside toxicity by altering aminoglycoside concentrations in serum and tissue. Tobramycin inhalation solution should not be administered concomitantly with ethacrynic acid, furosemide, urea, or intravenous mannitol.

11 Description

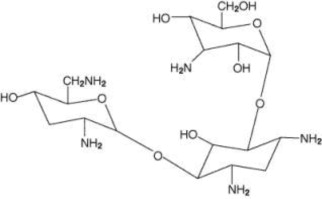
TOBRAMYCIN INHALATION SOLUTION PAK contains tobramycin inhalation solution, USP and the PARI LC PLUS Reusable Nebulizer (PARI LC PLUS). Tobramycin inhalation solution is a sterile, clear, slightly yellow, non-pyrogenic, aqueous solution with the pH and salinity adjusted specifically for administration by a compressed air driven PARI LC PLUS Reusable Nebulizer. The chemical formula for tobramycin is C18H37N5O9 and the molecular weight is 467.52. Tobramycin is O-3-amino-3-deoxy-α-D-glucopyranosyl-(1→4)-O-[2,6-diamino-2,3,6-trideoxy-a-D-ribo - hexopyranosyl-(1→6)]-2-deoxy-L-streptamine. The structural formula for tobramycin is:

Each single-use 5 mL ampule contains 300 mg tobramycin and 11.25 mg sodium chloride in sterile water for injection. Sulfuric acid and sodium hydroxide are added to adjust the pH to 6.0. Nitrogen is used for sparging. The formulation contains no preservatives. The inhalation solution has an osmolality in the range 135 to 200 mOsmol/kg.

The PARI LC PLUS Reusable Nebulizer has the following performance characteristics with tobramycin inhalation solution [measured using Next Generation Impactor (NGI) at 15 L/min continuous flow, standard conditions (50%RH, 23°C)]: (1) Delivered Dose: 174 mg; (2) Fine Particle Dose (< 5μm): 97 mg; (3) Nebulization Time: 13 min.; (4) Mass Median Aerodynamic Diameter: 4.3 μm; (5) Geometric Standard Deviation (GSD): 2.2 μm.

5.2 Ototoxicity

Ototoxicity with use of Tobramycin Inhalation Solution

Transient tinnitus occurred in eight tobramycin inhalation solution treated patients versus no placebo patients in the clinical studies. Tinnitus may be a sentinel symptom of ototoxicity, and therefore the onset of this symptom warrants further clinical investigation. In postmarketing experience, patients receiving tobramycin inhalation solution have reported hearing loss. Ototoxicity, manifested as both auditory and vestibular toxicity, has been reported with parenteral aminoglycosides. Vestibular toxicity may be manifested by vertigo, ataxia or dizziness. Patients with known or suspected auditory or vestibular dysfunction should be closely monitored when taking tobramycin inhalation solution. Monitoring might include obtaining audiometric evaluations and serum tobramycin levels. If ototoxicity is noted, the patient should be managed as medically appropriate, including potentially discontinuing tobramycin inhalation solution [see Adverse Reactions (6.2)].

Risk of Ototoxicity Due to Mitochondrial DNA Variants

Cases of ototoxicity with aminoglycosides have been observed in patients with certain variants in the mitochondrially encoded 12S rRNA gene  (MT-RNR1), particularly the m.1555A>G variant. Ototoxicity occurred in some patients even when their aminoglycoside serum levels were within  the recommended range. Mitochondrial DNA variants are present in less than 1% of the general US population, and the proportion of the variant carriers who may develop ototoxicity as well as the severity of ototoxicity is unknown. In case of known maternal history of ototoxicity due to  aminoglycoside use or a known mitochondrial DNA variant in the patient, consider alternative treatments other than aminoglycosides unless the increased risk of permanent hearing loss is outweighed by the severity of infection and lack of safe and effective alternative therapies.

5.1 Bronchospasm

Bronchospasm can occur with inhalation of tobramycin inhalation solution. In clinical studies with tobramycin inhalation solution, changes in FEV1 measured after the inhaled dose were similar in tobramycin inhalation solution and placebo groups. Bronchospasm that occurs during the use of tobramycin inhalation solution should be treated as medically appropriate.

16.1 How Supplied

TOBRAMYCIN INHALATION SOLUTION PAK co-packaged kit (NDC 70644-899-99) is available in cartons containing one reusable PARI LC PLUS nebulizer (Model No.: 022B81-T) and 14 tobramycin inhalation solution pouches. Each pouch contains four 300 mg/5 ml ampules of tobramycin inhalation solution for a total of 56 ampules in each carton. Each carton constitutes a 28 day supply.

8.4 Pediatric Use

The safety and efficacy of tobramycin inhalation solution have not been studied in pediatric patients under 6 years of age.

8.5 Geriatric Use

Clinical studies of tobramycin inhalation solution did not include patients aged 65 years and over. Tobramycin is known to be substantially excreted by the kidney, and the risk of adverse reactions to this drug may be greater in patients with impaired renal function. Because elderly patients are more likely to have decreased renal function, it may be useful to monitor renal function [see Warnings and Precautions (5.3)].

5.3 Nephrotoxicity

Nephrotoxicity was not seen during clinical studies with tobramycin inhalation solution but has been associated with aminoglycosides as a class. Patients with known or suspected renal dysfunction or taking concomitant nephrotoxic drugs along with tobramycin inhalation solution should have serum concentrations of tobramycin and laboratory measurements of renal function obtained at the discretion of the treating physician. If nephrotoxicity develops, the patient should be managed as medically appropriate, including potentially discontinuing tobramycin inhalation solution.

14 Clinical Studies

Two identically designed, double-blind, randomized, placebo-controlled, parallel group, 24-week clinical studies (Study 1 and Study 2) at a total of 69 cystic fibrosis centers in the United States were conducted in cystic fibrosis patients with P. aeruginosa with tobramycin inhalation solution. Subjects who were less than 6 years of age, had a baseline creatinine of > 2 mg/dL, or had B. cepacia isolated from sputum were excluded. All subjects had baseline FEV1% predicted between 25% and 75%. In these clinical studies, 258 patients received tobramycin inhalation solution therapy on an outpatient basis (see Table 2) using a PARI LC PLUS nebulizer along with a DeVilbiss Pulmo-Aide compressor.

Table 2: Dosing Regimens in Clinical Studies
Cycle 1 Cycle 2 Cycle 3
28 days 28 days 28 days 28 days 28 days 28 days
TOBRAMYCIN

Inhalation Solution regimen

n=258
TOBRAMYCIN Inhalation

Solution 300 mg twice daily
No drug TOBRAMYCIN Inhalation

Solution 300 mg twice daily
No drug TOBRAMYCIN Inhalation

Solution 300 mg twice daily
No drug
Placebo regimen

n=262
Placebo twice daily Placebo twice daily Placebo twice daily

All patients received either tobramycin inhalation solution or placebo (saline with 1.25 mg quinine for flavoring) in addition to standard treatment recommended for cystic fibrosis patients, which included oral and parenteral anti-pseudomonal therapy, Beta 2-agonists, cromolyn, inhaled steroids, and airway clearance techniques. In addition, approximately 77% of patients were concurrently treated with dornase alfa.

In each study, tobramycin inhalation solution-treated patients experienced significant improvement in pulmonary function. Improvement was demonstrated in the tobramycin inhalation solution group in Study 1 by an average increase in FEV1% predicted of about 11% relative to baseline (Week 0) during 24 weeks compared to no average change in placebo patients. In Study 2, tobramycin inhalation solution-treated patients had an average increase of about 7% compared to an average decrease of about 1% in placebo patients. Figure 1 shows the average relative change in FEV1% predicted over 24 weeks for both studies.

Figure 1: Relative Change From Baseline in FEV 1 % Predicted

In each study, tobramycin inhalation solution therapy resulted in a significant reduction in the number of P. aeruginosa colony forming units (CFUs) in sputum during the on-drug periods. Sputum bacterial density returned to baseline during the off-drug periods. Reductions in sputum bacterial density were smaller in each successive cycle. (see Figure 2).

Figure 2: Absolute Change From Baseline in Log 10 CFUs

Patients treated with tobramycin inhalation solution were hospitalized for an average of 5.1 days compared to 8.1 days for placebo patients. Patients treated with tobramycin inhalation solution required an average of 9.6 days of parenteral anti-pseudomonal antibiotic treatment compared to 14.1 days for placebo patients. During the 6 months of treatment, 40% of tobramycin inhalation solution patients and 53% of placebo patients were treated with parenteral anti-pseudomonal antibiotics.

The relationship between in vitro susceptibility test results and clinical outcome with tobramycin inhalation solution therapy is not clear. However, 4 tobramycin inhalation solution patients who began the clinical trial with P. aeruginosa isolates having MIC values ≥ 128 μg/mL did not experience an improvement in FEV1 or a decrease in sputum bacterial density.

4 Contraindications

Tobramycin inhalation solution is contraindicated in patients with a known hypersensitivity to any aminoglycoside.

6 Adverse Reactions

The following serious adverse reactions are described below and elsewhere in the labeling:

  • Bronchospasm [see Warnings and Precautions (5.1)]
  • Ototoxicity [see Warnings and Precautions (5.2)]
7 Drug Interactions
  • Concurrent and/or sequential use with other drugs with neurotoxic, nephrotoxic or ototoxic potential should be avoided (7.1).
  • Concomitant administration with ethacrynic acid, furosemide, urea, or intravenous mannitol is not recommended due to possible enhancement of aminoglycoside toxicity (7.2).
2.1 Dosing Information
  • TOBRAMYCIN INHALATION SOLUTION PAK is a co-packaging of tobramycin inhalation solution ampules with a PARI LC PLUS Reusable Nebulizer. Administer as follows: One single-use ampule (300 mg/5 mL) of tobramycin inhalation solution twice a day by oral inhalation in alternating periods of 28 days on drug, followed by 28 days off drug.
  • The 300 mg/5 mL dose of tobramycin inhalation solution is the same for all patients regardless of age or weight.
  • The doses should be taken as close to 12 hours apart as possible; they should not be taken less than 6 hours apart.
1 Indications and Usage

TOBRAMYCIN INHALATION SOLUTION PAK (co-packaging of tobramycin inhalation solution and PARI LC PLUS Reusable Nebulizer) is indicated for the management of cystic fibrosis in adults and pediatric patients 6 years of age and older with P. aeruginosa. Safety and efficacy have not been demonstrated in patients under the age of 6 years, patients with FEV1 < 25% or > 75% predicted, or patients colonized with Burkholderia cepacia [see Clinical Studies (14)].

12.1 Mechanism of Action

Tobramycin is an aminoglycoside antibacterial [see Microbiology (12.4)].

5.5 Embryo Fetal Toxicity

Aminoglycosides can cause fetal harm when administered to a pregnant woman. Aminoglycosides cross the placenta, and streptomycin has been associated with several reports of total, irreversible, bilateral congenital deafness in pediatric patients exposed in utero. However, systemic absorption of tobramycin following inhaled administration is expected to be minimal [see Clinical Pharmacology (12.3)]. Patients who use TOBRAMYCIN INHALATION SOLUTION PAK during pregnancy, or become pregnant while taking tobramycin inhalation solution should be apprised of the potential hazard to the fetus [see Use in Specific Populations (8.1)].

5 Warnings and Precautions
  • Bronchospasm: Can occur with inhalation of tobramycin inhalation solution. Treat as medically appropriate, if it occurs (5.1).
  • Ototoxicity: Tinnitus and hearing loss have been reported in patients receiving tobramycin inhalation solution. If noted, manage as medically appropriate, including potentially discontinuing tobramycin inhalation solution (5.2).
  • Nephrotoxicity: Has been associated with aminoglycosides as a class. If nephrotoxicity develops, manage the patient as medically appropriate, including potentially discontinuing tobramycin inhalation solution (5.3).
  • Neuromuscular Disorders: Aminoglycosides may aggravate muscle weakness because of a potential curare-like effect on neuromuscular function. If neuromuscular blockade occurs, it may be reversed by the administration of calcium salts but mechanical assistance may be necessary (5.4).
  • Embryo-Fetal Toxicity: Aminoglycosides can cause fetal harm (5.5, 8.1)
2 Dosage and Administration
  • TOBRAMYCIN INHALATION SOLUTION PAK is a co-packaging of tobramycin inhalation solution with a PARI LC PLUS® Reusable Nebulizer (2.1).
  • Administer tobramycin inhalation solution as one single–use ampule (300 mg/5 mL) twice a day by oral inhalation in alternating periods of 28 days on drug, followed by 28 days off drug (2.1).
  • Dosage is not adjusted by weight (2.1).
  • Take doses as close to 12 hours apart as possible; but not less than 6 hours apart (2.1).
  • Administer each 300 mg dose using the PARI LC PLUS Reusable Nebulizer and DeVilbiss® Pulmo-Aide® compressor (2.2).
3 Dosage Forms and Strength

Inhalation solution: 300 mg/5 mL in a single-use ampule.

5.4 Neuromuscular Disorders

Aminoglycosides, including tobramycin, may aggravate muscle weakness because of a potential curare-like effect on neuromuscular function. Neuromuscular blockade, respiratory failure, and prolonged respiratory paralysis may occur more commonly in patients with underlying neuromuscular disorders, such as myasthenia gravis or Parkinson's disease. Prolonged respiratory paralysis may also occur in patients receiving neuromuscular blocking agents. If neuromuscular blockade occurs, it may be reversed by the administration of calcium salts but mechanical assistance may be necessary.

6.2 Postmarketing Experience

The following adverse reactions have been identified during post approval use of tobramycin inhalation solution. Because these reactions are reported voluntarily from a population of uncertain size, it is not always possible to reliably estimate their frequency or establish a causal relationship to drug exposure.

Ear and labyrinth disorders

Hearing loss: Some of these reports occurred in patients with previous or concomitant treatment with systemic aminoglycosides. Patients with hearing loss frequently reported tinnitus. [see Warnings and Precautions (5.2)]

Skin and subcutaneous tissue disorders

Hypersensitivity, pruritus, urticaria, rash

Nervous system disorders

Aphonia, dysgeusia

Respiratory, thoracic, and mediastinal disorders

Bronchospasm [see Warnings and Precautions (5.1)], oropharyngeal pain

6.1 Clinical Trials Experience

Because clinical trials are conducted under widely varying conditions, adverse reaction rates observed in the clinical trials of a drug cannot be directly compared to rates in the clinical trials of another drug and may not reflect the rates observed in practice.

Tobramycin inhalation solution was studied in two clinical studies in 258 cystic fibrosis patients ranging in age from 6 to 48 years. Patients received tobramycin inhalation solution in alternating periods of 28 days on and 28 days off drug in addition to their standard cystic fibrosis therapy for a total of 24 weeks. Adverse reactions reported in these studies are described below:

  • The most frequent adverse reactions in the tobramycin inhalation arm were cough, pharyngitis, and increased sputum (see Table 1).
  • Thirty-three patients (13%) treated with tobramycin inhalation solution complained of voice alteration compared to 17 (7%) placebo patients. Voice alteration was more common in the on-drug periods.
  • Eight patients from the tobramycin inhalation solution group (3%) reported tinnitus compared to no placebo patients. All episodes were transient, resolved without discontinuation of the tobramycin inhalation solution treatment regimen, and were not associated with loss of hearing in audiograms.

Table 1 lists the percent of patients with selected adverse reactions that occurred in > 5% of tobramycin inhalation solution patients during the two Phase III studies.

Table 1: Percent of Patients with Selected Adverse Reactions Occurring in > 5% of Tobramycin Inhalation Solution Patients

1 Includes reported decreases in pulmonary function tests or decreased lung volume on chest radiograph associated with intercurrent illness or study drug administration.

Adverse Reaction Tobramycin Inhalation Solution (n=258)

%
Placebo (n=262)

%
Cough Increased 46.1 47.3
Pharyngitis 38.0 39.3
Sputum Increased 37.6 39.7
Dyspnea 33.7 38.5
Hemoptysis 19.4 23.7
Lung Function Decrease1 16.3 15.3
Voice Alteration 12.8 6.5
Taste Perversion 6.6 6.9
Rash 5.4 6.1

Selected adverse reactions that occurred in less than or equal to 5% of patients treated with tobramycin inhalation solution:

Ear and labyrinth disorders

Tinnitus

Musculoskeletal and connective tissue disorders

Myalgia

Infections and infestations

Laryngitis

17 Patient Counseling Information

Advise the patient to read the FDA-approved patient labeling (Patient Information and Instructions for Use).

Instructions for Administration

Instruct patients to read the Instructions for Use before starting TOBRAMYCIN INHALATION SOLUTION PAK. Instruct patients to use the tobramycin inhalation solution in TOBRAMYCIN INHALATION SOLUTION PAK only with the PARI LC PLUS Reusable Nebulizer included in the TOBRAMYCIN INHALATION SOLUTION PAK.

5.6 Concomitant Use of Systemic Aminoglycosides

Patients receiving concomitant tobramycin inhalation solution and parenteral aminoglycoside therapy should be monitored as clinically appropriate for toxicities associated with aminoglycosides as a class. Serum tobramycin levels should be monitored.

2.2 Administration of Tobramycin Inhalation Solution

Each dose of tobramycin inhalation solution is administered by oral inhalation using only the co-packaged PARI LC PLUS Reusable Nebulizer (Model No. 022B81-TA) included in the TOBRAMYCIN INHALATION SOLUTION PAK, along with a DeVilbiss Pulmo-Aide air compressor (Model No. 5650D).

Tobramycin inhalation solution is not for subcutaneous, intravenous or intrathecal administration.

Prior to administration, read the Patient Information/Instructions for Use for TOBRAMYCIN INHALATION SOLUTION PAK for detailed information on how to use TOBRAMYCIN INHALATION SOLUTION PAK and follow the manufacturer's instructions for use and care of the DeVilbiss Pulmo-Aide air compressor.

The entire tobramycin inhalation solution treatment should take approximately 15 minutes to complete. Continue treatment until all the tobramycin inhalation solution has been delivered, and there is no longer any mist being produced.

Tobramycin inhalation solution should not be diluted or mixed with other drugs including dornase alfa in the nebulizer. Instruct patients on multiple therapies to take their medications prior to inhaling the tobramycin inhalation solution, or as directed by their physician. Tobramycin inhalation solution should not be used if it is cloudy, if there are particles in the solution, or if it has been stored at room temperature for more than 28 days.

13.1 Carcinogenesis, Mutagenesis, Impairment of Fertility

A two-year rat inhalation toxicology study to assess carcinogenic potential of tobramycin inhalation solution has been completed. Rats were exposed to tobramycin inhalation solution for up to 1.5 hours per day for 95 weeks. The clinical formulation of the drug was used for this carcinogenicity study. Serum levels of tobramycin of up to 35 mcg/mL were measured in rats, in contrast to the average 1 mcg/mL levels observed in cystic fibrosis patients in clinical trials. There was no drug-related increase in the incidence of any variety of tumor.

Additionally, tobramycin has been evaluated for genotoxicity in a battery of in vitro and in vivo tests. The Ames bacterial reversion test, conducted with 5 tester strains, failed to show a significant increase in revertants with or without metabolic activation in all strains. Tobramycin was negative in the mouse lymphoma forward mutation assay, did not induce chromosomal aberrations in Chinese hamster ovary cells, and was negative in the mouse micronucleus test.

Subcutaneous administration of up to 100 mg/kg of tobramycin did not affect mating behavior or cause impairment of fertility in male or female rats.

7.1 Drugs With Neurotoxic, Nephrotoxic Or Ototoxic Potential

Concurrent and/or sequential use of tobramycin inhalation solution with other drugs with neurotoxic, nephrotoxic, or ototoxic potential should be avoided if possible.

Principal Display Panel  tobramycin Inhalation Solution Pak

NDC 70644-899-99

Genericus

Tobramycin Inhalation Solution Pak

300 mg/5 mL Ampules

56 Single-Use Ampules of Tobramycin Inhalation Solution, USP

co-packaged with 1 PARI LC PLUS® Reusable Nebulizer Set

For more information, call 1-877-236-7239

Store in Refrigerator

Includes One PARI LC PLUS Nebulizer Set

Rx only


Structured Label Content

Section 42229-5 (42229-5)

Risk Summary

Aminoglycosides can cause fetal harm. Published literature reports that use of streptomycin, an aminoglycoside, can cause total, irreversible, bilateral congenital deafness when administered to a pregnant woman [Warnings and Precautions (5.5)]. Although there are no available data on TOBRAMYCIN INHALATION SOLUTION PAK use in pregnant women to inform a drug-associated risk of major birth defects, miscarriage, or adverse maternal or fetal outcomes, systemic absorption of tobramycin following inhaled administration is expected to be minimal [see Clinical Pharmacology (12.3)]. There are risks to the mother associated with cystic fibrosis in pregnancy (see Clinical Considerations).

In animal reproduction studies with subcutaneous administration of tobramycin in pregnant rats and rabbits during organogenesis there were no adverse developmental outcomes; however, ototoxicity was not evaluated in the offspring from these studies (see Data ). Advise pregnant women of the potential risk to a fetus.

The estimated background risk of major birth defects and miscarriage for the indicated populations are unknown. All pregnancies have a background risk of birth defect, loss, or other adverse outcomes. In the U.S. general population, the estimated background risk of major birth defects and miscarriage in clinically recognized pregnancies is 2 to 4% and 15 to 20%, respectively.

Section 42230-3 (42230-3)
PATIENT INFORMATION

TOBRAMYCIN INHALATION SOLUTION PAK

(tobramycin inhalation solution) for oral inhalation
Read this Patient Information before you start using TOBRAMYCIN INHALATION SOLUTION PAK and each time you get a refill. There may be new information. This information does not take the place of talking with your healthcare provider about your medical condition or your treatment.

What is TOBRAMYCIN INHALATION SOLUTION PAK?

TOBRAMYCIN INHALATION SOLUTION PAK contains a prescription medicine and a PARI LC PLUS Reusable Nebulizer used to treat adults and children 6 years of age and older with cystic fibrosis who have a bacterial infection called Pseudomonas aeruginosa.

TOBRAMYCIN INHALATION SOLUTION PAK contains an antibacterial medicine called tobramycin (an aminoglycoside).

It is not known if tobramycin inhalation solution is safe and effective:

  • in children under 6 years of age.
  • in people who have an FEV1 less than 25% or greater than 75% predicted.
  • in people who are colonized with a bacterium called Burkholderia cepacia.
  • when used for more than 3 cycles.
Who should not use TOBRAMYCIN INHALATION SOLUTION PAK?

Do not use TOBRAMYCIN INHALATION SOLUTION PAK if you are allergic to tobramycin, any of the ingredients in TOBRAMYCIN INHALATION SOLUTION PAK, or to any other aminoglycoside antibacterial medicine.
What should I tell my healthcare provider before using TOBRAMYCIN INHALATION SOLUTION PAK?

Before using TOBRAMYCIN INHALATION SOLUTION PAK, tell your healthcare provider about all of your medical conditions, including if you:


  • have or have had breathing problems such as wheezing, coughing, or chest tightness.
  • have or have had hearing problems (including noises in your ears such as ringing or hissing), hearing loss, or your mother has had hearing problems after taking an aminoglycoside.
  • have been told you have certain gene variants (a change in the gene) related to hearing abnormalities inherited from your mother.
  • have dizziness.
  • have or have had kidney problems.
  • have or have had problems with muscle weakness such as myasthenia gravis or Parkinson's disease.
  • are pregnant or plan to become pregnant. TOBRAMYCIN INHALATION SOLUTION PAK contains a medicine that may cause harm to your unborn baby. See "What are the possible side effects of TOBRAMYCIN INHALATION SOLUTION PAK?" below for more information.
  • are breastfeeding or plan to breastfeed. It is not known if the medicine in TOBRAMYCIN INHALATION SOLUTION PAK (tobramycin inhalation solution) passes into your breast milk.
Tell your healthcare provider about all the medicines you take, including prescription and over-the-counter, vitamins, and herbal supplements.



Using TOBRAMYCIN INHALATION SOLUTION PAK with certain other medicines can cause serious side effects. Ask your healthcare provider or pharmacist for a list of these medicines, if you are not sure. Know the medicines you take. Keep a list of them and show it to your healthcare provider and pharmacist when you get a new medicine.



If you are using TOBRAMYCIN INHALATION SOLUTION PAK, you should discuss with your healthcare provider if you should take:

  • other medicines that may harm your nervous system, kidneys, or hearing
  • “water pills” (diuretics) such as Edecrin (ethacrynic acid), Lasix (furosemide), or mannitol
  • urea
How should I use TOBRAMYCIN INHALATION SOLUTION PAK?

  • See the step-by-step Instructions for Use at the end of this Patient Information leaflet about the right way to use TOBRAMYCIN INHALATION SOLUTION PAK.
  • Use TOBRAMYCIN INHALATION SOLUTION PAK exactly as your healthcare provider tells you to. Ask your healthcare provider or pharmacist if you are not sure.
  • The usual dose of TOBRAMYCIN INHALATION SOLUTION PAK for adults and children 6 years of age and over is:
    • 1 ampule of tobramycin inhalation solution inhaled by mouth in the morning and 1 ampule of tobramycin inhalation solution inhaled by mouth in the evening using your PARI LC PLUS Reusable Nebulizer with a DeVilbiss® Pulmo-Aide air compressor.
  • Each dose of TOBRAMYCIN INHALATION SOLUTION PAK should take about 15 minutes to finish.
  • Each dose of TOBRAMYCIN INHALATION SOLUTION PAK should be used as close to 12 hours apart as possible.
  • Do not use your dose of TOBRAMYCIN INHALATION SOLUTION PAK less than 6 hours apart.
  • After using TOBRAMYCIN INHALATION SOLUTION PAK for 28 days, you should stop using it for 28 days. After you have stopped using TOBRAMYCIN INHALATION SOLUTION PAK for 28 days, you should start using TOBRAMYCIN INHALATION SOLUTION PAK again for 28 days. It is important that you keep to the 28-day on, 28-day off cycle.
  • Do not mix the medicine in TOBRAMYCIN INHALATION SOLUTION PAK with other medicines including dornase alfa in your nebulizer.
  • If you are taking other medicines inhaled through your mouth (bronchodilators), your healthcare provider will tell you how to take your medicine the right way.
  • If you inhale too much of the medicine in TOBRAMYCIN INHALATION SOLUTION PAK, tell your healthcare provider right away.

What are the possible side effects of TOBRAMYCIN INHALATION SOLUTION PAK?

TOBRAMYCIN INHALATION SOLUTION PAK can cause serious side effects, including:

  • severe breathing problems (bronchospasm).Tell your healthcare provider right away if you get any of these symptoms of bronchospasm while using TOBRAMYCIN INHALATION SOLUTION PAK:
    • shortness of breath with wheezing
    • coughing and chest tightness
  • hearing loss or ringing in the ears (ototoxicity). Tell your healthcare provider right away if you have hearing loss or hear noises in your ears (such as ringing or hissing), or if you develop vertigo, dizziness, or difficulty with balance.
  • worsening kidney problems (nephrotoxicity). Your healthcare provider may do a blood test and urine test to check how your kidneys are working while you are using TOBRAMYCIN INHALATION SOLUTION PAK.
  • worsening muscle weakness. The medicine in TOBRAMYCIN INHALATION SOLUTION PAK (tobramycin inhalation solution) is in a class of medicines that can cause muscle weakness to get worse in people who already have problems with muscle weakness (myasthenia gravis or Parkinson's disease).
  • The medicine in TOBRAMYCIN INHALATION SOLUTION PAK (tobramycin inhalation solution) is in a class of medicines which may cause harm to an unborn baby.
The most common side effects of TOBRAMYCIN INHALATION SOLUTION PAK include:
  • cough
  • sore throat
  • productive cough
  • shortness of breath
  • coughing up blood
  • worsening of lung problems or cystic fibrosis
  • changes in your voice (hoarseness)
  • altered taste
  • rash
These are not all of the possible side effects of TOBRAMYCIN INHALATION SOLUTION PAK. Call your doctor for medical advice about side effects. You may report side effects to FDA at 1-800-FDA-1088.
General information about the safe and effective use of TOBRAMYCIN INHALATION SOLUTION PAK.

Medicines are sometimes prescribed for purposes other than those listed in a patient information leaflet. Do not use TOBRAMYCIN INHALATION SOLUTION PAK for a condition for which it was not prescribed. Do not give TOBRAMYCIN INHALATION SOLUTION PAK to other people, even if they have the same symptoms that you have. It may harm them.

You can ask your healthcare provider or pharmacist for information about TOBRAMYCIN INHALATION SOLUTION PAK that is written for health professionals.
What are the ingredients in TOBRAMYCIN INHALATION SOLUTION PAK?

Active ingredient: tobramycin

Inactive ingredients: sodium chloride in sterile water, sulfuric acid, and sodium hydroxide (for pH adjustment)

Section 43683-2 (43683-2)

Section 59845-8 (59845-8)

INSTRUCTIONS FOR USE

TOBRAMYCIN INHALATION SOLUTION PAK

(tobramycin inhalation solution), for oral inhalation

Follow the instructions below for using TOBRAMYCIN INHALATION SOLUTION PAK which contains tobramycin inhalation solution and the PARI LC PLUS Reusable Nebulizer (PARI LC PLUS). If you have any questions, ask your healthcare provider or pharmacist.

Each TOBRAMYCIN INHALATION SOLUTION PAK carton (28-day supply) contains 56 tobramycin inhalation solution ampules packed in 14 foil pouches that each contain 4 single- use tobramycin inhalation solution ampules.

You will need the following supplies (See Figure A):

  • 1 tobramycin inhalation solution ampule
  • PARI LC PLUS Reusable Nebulizer
  • DeVilbiss Pulmo-Aide (Pulmo-Aide) air compressor
  • tubing to connect the nebulizer and compressor
  • clean, lint-free towel
  • nose clip (optional, not pictured)

Note: Read the Instructions for Use that come with your PARI LC PLUS Reusable Nebulizer and DeVilbiss Pulmo-Aide air compressor for detailed instructions on how to use and care for your nebulizer and air compressor before you use it.

Do not mix the medicine in TOBRAMYCIN INHALATION SOLUTION PAK with other medicines in your nebulizer.

The medicine in TOBRAMYCIN INHALATION SOLUTION PAK (tobramycin inhalation solution) comes in a sealed foil pouch. Do not open a sealed pouch until you are ready to use a dose. After opening the pouch, unopened ampules should be returned to and stored in the pouch.

Getting ready:

  • Open the PARI LC PLUS package. Place the PARI LC PLUS parts including Top and Bottom (Nebulizer Cup) Assembly, Inspiratory Valve Cap, Mouthpiece with Valve, and Tubing on a clean, dry surface or towel (See Figure B).

Preparing your TOBRAMYCIN INHALATION SOLUTION PAK dose:

Step 1: Wash your hands with soap and water (See Figure C).

Step 2: Open the foil pouch (See Figure D).

Step 3: Separate 1 ampule by gently pulling apart starting at the top of the ampules and continue down to the bottom tabs (See Figure E) and use it right away.

Step 4: Hold the bottom tab on the TOBRAMYCIN INHALATION SOLUTION PAK ampule with 1 hand (See Figure F). With your other hand, hold the top of the ampule and twist off the top of the ampule (See Figure F).

  • Do not squeeze the ampule until you are ready to squeeze all of the medicine into the Nebulizer Cup.

Step 5: Hold the Nebulizer Cup and twist off the Nebulizer Insert or Top in a counter-clockwise direction (See Figure G). Set the Top aside on a clean, dry, surface.

Step 6: Squeeze all the medicine from the ampule into the Nebulizer Cup (See Figure H).

Step 7: Replace the Nebulizer Insert. Line up the semi-circle on the Nebulizer Insert with the Nebulizer Outlet and twist on the Nebulizer Insert in a clockwise direction until it is tight and the alignment rings are lined up (See Figure I).

Step 8: Push the Mouthpiece straight onto the Nebulizer Cup (See Figure J).

Step 9: Firmly push the Inspiratory Valve Cap straight down onto the Nebulizer Cup Top (See Figure K). The Inspiratory Valve Cap should fit tightly.

Step 10: Connect 1 end of the tubing to the compressor air outlet (See Figure L). The tubing should fit tightly.

Step 11: Plug your compressor into an electrical outlet (See Figure M).

Step 12: Hold the Nebulizer Cup upright and firmly push the free end of the tubing straight up onto the Air Intake on the bottom of the Nebulizer Cup (See Figure N). Make sure to keep the Nebulizer Cup upright.

Giving your TOBRAMYCIN INHALATION SOLUTION PAK dose:

Step 13: Turn on the compressor (See Figure O). You should see a steady mist coming from the Mouthpiece (See Figure P).

Step 14: Sit or stand in a comfortable, upright position that will allow you to breathe normally. Place the Mouthpiece between your teeth and on top of your tongue and breathe normally only through your mouth (See Figure Q).

  • Nose clips may help you breathe only through your mouth and not through your nose.

Step 15: Keep breathing in your TOBRAMYCIN INHALATION SOLUTION PAK dose for at least 15 minutes. You will know that you have received your full dose of medicine when you hear a “sputtering noise” coming from the Mouthpiece for at least 1 minute and the Nebulizer Cup is empty.

After your TOBRAMYCIN INHALATION SOLUTION PAK dose:

Step 16: Clean and disinfect your nebulizer (see manufacturer's Instructions for Use).

Care and Use of your DeVilbiss Pulmo-Aide compressor:

Follow the manufacturer's instructions for care and use of your compressor.

How should I store TOBRAMYCIN INHALATION SOLUTION PAK?

  • Store tobramycin inhalation solution in the refrigerator between 36°F to 46°F (2°C to 8°C) until needed.
  • You may store the tobramycin inhalation solution in the foil pouches (opened or unopened) at room temperature between 68°F to 77°F (20°C to 25°C) for up to 28 days.
  • Do not use tobramycin inhalation solution after the expiration date stamped on the ampule.
  • Keep tobramycin inhalation solution in the foil pouch and out of the light.
  • Tobramycin inhalation solution is normally slightly yellow, but may get darker with age if unrefrigerated. The color change does not change how the medicine works.
  • Do not use tobramycin inhalation solution if it is cloudy, has particles in the solution, or if it has been stored at room temperature for more than 28 days. Throw the applicable ampule(s) away in your household trash and get a new ampule.

Keep TOBRAMYCIN INHALATION SOLUTION PAK and all medicines out of the reach of children.

This Patient Information and Instructions for Use have been approved by the U.S. Food and Drug Administration.

Revised: 08/2023

Additional Information

PARI LC PLUS® Reusable Nebulizer: 1-800-327-8632

DeVilbiss® Pulmo-Aide® Air Compressor: 1-800-338-1988

TOBRAMYCIN INHALATION SOLUTION PAK: 1-877-236-7239

Manufactured by:

Woodstock Sterile Solutions, Inc.

Woodstock, IL 60098

Distributed by:

Genericus, Inc.,

Glen Allen, 23060 VA

899D9999 Rev. F 08/2023

© 2023 PulmoFlow, Inc. All rights reserved.

16.2 Storage
  • Tobramycin inhalation solution should be stored under refrigeration at 2-8°C/36-46°F. Upon removal from the refrigerator, or if refrigeration is unavailable, tobramycin inhalation solution pouches (opened or unopened) may be stored at room temperature (up to 25°C/77°F) for up to 28 days. Tobramycin inhalation solution should not be used beyond the expiration date stamped on the ampule when stored under refrigeration (2-8°C/36-46°F) or beyond 28 days when stored at room temperature (25°C/77°F).
  • Tobramycin inhalation solution ampules should not be exposed to intense light. The solution in the ampule is slightly yellow, but may darken with age if not stored in the refrigerator; however, the color change does not indicate any change in the quality of the product as long as it is stored within the recommended storage conditions.
10 Overdosage (10 OVERDOSAGE)

Signs and symptoms of acute toxicity from overdosage of IV tobramycin might include dizziness, tinnitus, vertigo, loss of high-tone hearing acuity, respiratory failure, and neuromuscular blockade. Administration by inhalation results in low systemic bioavailability of tobramycin. Tobramycin is not significantly absorbed following oral administration. Tobramycin serum concentrations may be helpful in monitoring overdosage.

15 References (15 REFERENCES)
  • Neu HC. Tobramycin: an overview. [Review]. J Infect Dis 1976; Suppl 134:S3-19.
  • Weber A, Smith A, Williams-Warren J et al. Nebulizer delivery of tobramycin to the lower respiratory tract. Pediatr Pulmonol 1994; 17 (5):331-9.
  • Bryan LE. Aminoglycoside resistance. Bryan LE, Ed. Antimicrobial drug resistance. Orlando, FL: Academic Press, 1984: 241-77.
  • Clinical and Laboratory Standards Institute (CLSI). Methods for Dilution Antimicrobial Susceptibility Tests for Bacteria that Grow Aerobically; Approved Standard - Ninth Edition. CLSI document M07-A9, Clinical and Laboratory Standards Institute, 950 West Valley Road, Suite 2500, Wayne, Pennsylvania 19087, USA, 2012.
  • Clinical and Laboratory Standards Institute (CLSI). Performance Standards for Antimicrobial Disk Diffusion Susceptibility Tests; Approved Standard – Eleventh Edition. CLSI document M02-A11, Clinical and Laboratory Standards Institute, 950 West Valley Road, Suite 2500, Wayne, Pennsylvania 19087, USA, 2012.
  • Clinical and Laboratory Standards Institute (CLSI). Performance Standards for Antimicrobial Susceptibility Testing; Twenty-fourth Informational Supplement, CLSI document M100-S24, Clinical and Laboratory Standards Institute, 950 West Valley Road, Suite 2500, Wayne, Pennsylvania 19087, USA, 2014.
7.2 Diuretics

Some diuretics can enhance aminoglycoside toxicity by altering aminoglycoside concentrations in serum and tissue. Tobramycin inhalation solution should not be administered concomitantly with ethacrynic acid, furosemide, urea, or intravenous mannitol.

11 Description (11 DESCRIPTION)

TOBRAMYCIN INHALATION SOLUTION PAK contains tobramycin inhalation solution, USP and the PARI LC PLUS Reusable Nebulizer (PARI LC PLUS). Tobramycin inhalation solution is a sterile, clear, slightly yellow, non-pyrogenic, aqueous solution with the pH and salinity adjusted specifically for administration by a compressed air driven PARI LC PLUS Reusable Nebulizer. The chemical formula for tobramycin is C18H37N5O9 and the molecular weight is 467.52. Tobramycin is O-3-amino-3-deoxy-α-D-glucopyranosyl-(1→4)-O-[2,6-diamino-2,3,6-trideoxy-a-D-ribo - hexopyranosyl-(1→6)]-2-deoxy-L-streptamine. The structural formula for tobramycin is:

Each single-use 5 mL ampule contains 300 mg tobramycin and 11.25 mg sodium chloride in sterile water for injection. Sulfuric acid and sodium hydroxide are added to adjust the pH to 6.0. Nitrogen is used for sparging. The formulation contains no preservatives. The inhalation solution has an osmolality in the range 135 to 200 mOsmol/kg.

The PARI LC PLUS Reusable Nebulizer has the following performance characteristics with tobramycin inhalation solution [measured using Next Generation Impactor (NGI) at 15 L/min continuous flow, standard conditions (50%RH, 23°C)]: (1) Delivered Dose: 174 mg; (2) Fine Particle Dose (< 5μm): 97 mg; (3) Nebulization Time: 13 min.; (4) Mass Median Aerodynamic Diameter: 4.3 μm; (5) Geometric Standard Deviation (GSD): 2.2 μm.

5.2 Ototoxicity

Ototoxicity with use of Tobramycin Inhalation Solution

Transient tinnitus occurred in eight tobramycin inhalation solution treated patients versus no placebo patients in the clinical studies. Tinnitus may be a sentinel symptom of ototoxicity, and therefore the onset of this symptom warrants further clinical investigation. In postmarketing experience, patients receiving tobramycin inhalation solution have reported hearing loss. Ototoxicity, manifested as both auditory and vestibular toxicity, has been reported with parenteral aminoglycosides. Vestibular toxicity may be manifested by vertigo, ataxia or dizziness. Patients with known or suspected auditory or vestibular dysfunction should be closely monitored when taking tobramycin inhalation solution. Monitoring might include obtaining audiometric evaluations and serum tobramycin levels. If ototoxicity is noted, the patient should be managed as medically appropriate, including potentially discontinuing tobramycin inhalation solution [see Adverse Reactions (6.2)].

Risk of Ototoxicity Due to Mitochondrial DNA Variants

Cases of ototoxicity with aminoglycosides have been observed in patients with certain variants in the mitochondrially encoded 12S rRNA gene  (MT-RNR1), particularly the m.1555A>G variant. Ototoxicity occurred in some patients even when their aminoglycoside serum levels were within  the recommended range. Mitochondrial DNA variants are present in less than 1% of the general US population, and the proportion of the variant carriers who may develop ototoxicity as well as the severity of ototoxicity is unknown. In case of known maternal history of ototoxicity due to  aminoglycoside use or a known mitochondrial DNA variant in the patient, consider alternative treatments other than aminoglycosides unless the increased risk of permanent hearing loss is outweighed by the severity of infection and lack of safe and effective alternative therapies.

5.1 Bronchospasm

Bronchospasm can occur with inhalation of tobramycin inhalation solution. In clinical studies with tobramycin inhalation solution, changes in FEV1 measured after the inhaled dose were similar in tobramycin inhalation solution and placebo groups. Bronchospasm that occurs during the use of tobramycin inhalation solution should be treated as medically appropriate.

16.1 How Supplied

TOBRAMYCIN INHALATION SOLUTION PAK co-packaged kit (NDC 70644-899-99) is available in cartons containing one reusable PARI LC PLUS nebulizer (Model No.: 022B81-T) and 14 tobramycin inhalation solution pouches. Each pouch contains four 300 mg/5 ml ampules of tobramycin inhalation solution for a total of 56 ampules in each carton. Each carton constitutes a 28 day supply.

8.4 Pediatric Use

The safety and efficacy of tobramycin inhalation solution have not been studied in pediatric patients under 6 years of age.

8.5 Geriatric Use

Clinical studies of tobramycin inhalation solution did not include patients aged 65 years and over. Tobramycin is known to be substantially excreted by the kidney, and the risk of adverse reactions to this drug may be greater in patients with impaired renal function. Because elderly patients are more likely to have decreased renal function, it may be useful to monitor renal function [see Warnings and Precautions (5.3)].

5.3 Nephrotoxicity

Nephrotoxicity was not seen during clinical studies with tobramycin inhalation solution but has been associated with aminoglycosides as a class. Patients with known or suspected renal dysfunction or taking concomitant nephrotoxic drugs along with tobramycin inhalation solution should have serum concentrations of tobramycin and laboratory measurements of renal function obtained at the discretion of the treating physician. If nephrotoxicity develops, the patient should be managed as medically appropriate, including potentially discontinuing tobramycin inhalation solution.

14 Clinical Studies (14 CLINICAL STUDIES)

Two identically designed, double-blind, randomized, placebo-controlled, parallel group, 24-week clinical studies (Study 1 and Study 2) at a total of 69 cystic fibrosis centers in the United States were conducted in cystic fibrosis patients with P. aeruginosa with tobramycin inhalation solution. Subjects who were less than 6 years of age, had a baseline creatinine of > 2 mg/dL, or had B. cepacia isolated from sputum were excluded. All subjects had baseline FEV1% predicted between 25% and 75%. In these clinical studies, 258 patients received tobramycin inhalation solution therapy on an outpatient basis (see Table 2) using a PARI LC PLUS nebulizer along with a DeVilbiss Pulmo-Aide compressor.

Table 2: Dosing Regimens in Clinical Studies
Cycle 1 Cycle 2 Cycle 3
28 days 28 days 28 days 28 days 28 days 28 days
TOBRAMYCIN

Inhalation Solution regimen

n=258
TOBRAMYCIN Inhalation

Solution 300 mg twice daily
No drug TOBRAMYCIN Inhalation

Solution 300 mg twice daily
No drug TOBRAMYCIN Inhalation

Solution 300 mg twice daily
No drug
Placebo regimen

n=262
Placebo twice daily Placebo twice daily Placebo twice daily

All patients received either tobramycin inhalation solution or placebo (saline with 1.25 mg quinine for flavoring) in addition to standard treatment recommended for cystic fibrosis patients, which included oral and parenteral anti-pseudomonal therapy, Beta 2-agonists, cromolyn, inhaled steroids, and airway clearance techniques. In addition, approximately 77% of patients were concurrently treated with dornase alfa.

In each study, tobramycin inhalation solution-treated patients experienced significant improvement in pulmonary function. Improvement was demonstrated in the tobramycin inhalation solution group in Study 1 by an average increase in FEV1% predicted of about 11% relative to baseline (Week 0) during 24 weeks compared to no average change in placebo patients. In Study 2, tobramycin inhalation solution-treated patients had an average increase of about 7% compared to an average decrease of about 1% in placebo patients. Figure 1 shows the average relative change in FEV1% predicted over 24 weeks for both studies.

Figure 1: Relative Change From Baseline in FEV 1 % Predicted

In each study, tobramycin inhalation solution therapy resulted in a significant reduction in the number of P. aeruginosa colony forming units (CFUs) in sputum during the on-drug periods. Sputum bacterial density returned to baseline during the off-drug periods. Reductions in sputum bacterial density were smaller in each successive cycle. (see Figure 2).

Figure 2: Absolute Change From Baseline in Log 10 CFUs

Patients treated with tobramycin inhalation solution were hospitalized for an average of 5.1 days compared to 8.1 days for placebo patients. Patients treated with tobramycin inhalation solution required an average of 9.6 days of parenteral anti-pseudomonal antibiotic treatment compared to 14.1 days for placebo patients. During the 6 months of treatment, 40% of tobramycin inhalation solution patients and 53% of placebo patients were treated with parenteral anti-pseudomonal antibiotics.

The relationship between in vitro susceptibility test results and clinical outcome with tobramycin inhalation solution therapy is not clear. However, 4 tobramycin inhalation solution patients who began the clinical trial with P. aeruginosa isolates having MIC values ≥ 128 μg/mL did not experience an improvement in FEV1 or a decrease in sputum bacterial density.

4 Contraindications (4 CONTRAINDICATIONS)

Tobramycin inhalation solution is contraindicated in patients with a known hypersensitivity to any aminoglycoside.

6 Adverse Reactions (6 ADVERSE REACTIONS)

The following serious adverse reactions are described below and elsewhere in the labeling:

  • Bronchospasm [see Warnings and Precautions (5.1)]
  • Ototoxicity [see Warnings and Precautions (5.2)]
7 Drug Interactions (7 DRUG INTERACTIONS)
  • Concurrent and/or sequential use with other drugs with neurotoxic, nephrotoxic or ototoxic potential should be avoided (7.1).
  • Concomitant administration with ethacrynic acid, furosemide, urea, or intravenous mannitol is not recommended due to possible enhancement of aminoglycoside toxicity (7.2).
2.1 Dosing Information
  • TOBRAMYCIN INHALATION SOLUTION PAK is a co-packaging of tobramycin inhalation solution ampules with a PARI LC PLUS Reusable Nebulizer. Administer as follows: One single-use ampule (300 mg/5 mL) of tobramycin inhalation solution twice a day by oral inhalation in alternating periods of 28 days on drug, followed by 28 days off drug.
  • The 300 mg/5 mL dose of tobramycin inhalation solution is the same for all patients regardless of age or weight.
  • The doses should be taken as close to 12 hours apart as possible; they should not be taken less than 6 hours apart.
1 Indications and Usage (1 INDICATIONS AND USAGE)

TOBRAMYCIN INHALATION SOLUTION PAK (co-packaging of tobramycin inhalation solution and PARI LC PLUS Reusable Nebulizer) is indicated for the management of cystic fibrosis in adults and pediatric patients 6 years of age and older with P. aeruginosa. Safety and efficacy have not been demonstrated in patients under the age of 6 years, patients with FEV1 < 25% or > 75% predicted, or patients colonized with Burkholderia cepacia [see Clinical Studies (14)].

12.1 Mechanism of Action

Tobramycin is an aminoglycoside antibacterial [see Microbiology (12.4)].

5.5 Embryo Fetal Toxicity (5.5 Embryo-Fetal Toxicity)

Aminoglycosides can cause fetal harm when administered to a pregnant woman. Aminoglycosides cross the placenta, and streptomycin has been associated with several reports of total, irreversible, bilateral congenital deafness in pediatric patients exposed in utero. However, systemic absorption of tobramycin following inhaled administration is expected to be minimal [see Clinical Pharmacology (12.3)]. Patients who use TOBRAMYCIN INHALATION SOLUTION PAK during pregnancy, or become pregnant while taking tobramycin inhalation solution should be apprised of the potential hazard to the fetus [see Use in Specific Populations (8.1)].

5 Warnings and Precautions (5 WARNINGS AND PRECAUTIONS)
  • Bronchospasm: Can occur with inhalation of tobramycin inhalation solution. Treat as medically appropriate, if it occurs (5.1).
  • Ototoxicity: Tinnitus and hearing loss have been reported in patients receiving tobramycin inhalation solution. If noted, manage as medically appropriate, including potentially discontinuing tobramycin inhalation solution (5.2).
  • Nephrotoxicity: Has been associated with aminoglycosides as a class. If nephrotoxicity develops, manage the patient as medically appropriate, including potentially discontinuing tobramycin inhalation solution (5.3).
  • Neuromuscular Disorders: Aminoglycosides may aggravate muscle weakness because of a potential curare-like effect on neuromuscular function. If neuromuscular blockade occurs, it may be reversed by the administration of calcium salts but mechanical assistance may be necessary (5.4).
  • Embryo-Fetal Toxicity: Aminoglycosides can cause fetal harm (5.5, 8.1)
2 Dosage and Administration (2 DOSAGE AND ADMINISTRATION)
  • TOBRAMYCIN INHALATION SOLUTION PAK is a co-packaging of tobramycin inhalation solution with a PARI LC PLUS® Reusable Nebulizer (2.1).
  • Administer tobramycin inhalation solution as one single–use ampule (300 mg/5 mL) twice a day by oral inhalation in alternating periods of 28 days on drug, followed by 28 days off drug (2.1).
  • Dosage is not adjusted by weight (2.1).
  • Take doses as close to 12 hours apart as possible; but not less than 6 hours apart (2.1).
  • Administer each 300 mg dose using the PARI LC PLUS Reusable Nebulizer and DeVilbiss® Pulmo-Aide® compressor (2.2).
3 Dosage Forms and Strength (3 DOSAGE FORMS AND STRENGTH)

Inhalation solution: 300 mg/5 mL in a single-use ampule.

5.4 Neuromuscular Disorders

Aminoglycosides, including tobramycin, may aggravate muscle weakness because of a potential curare-like effect on neuromuscular function. Neuromuscular blockade, respiratory failure, and prolonged respiratory paralysis may occur more commonly in patients with underlying neuromuscular disorders, such as myasthenia gravis or Parkinson's disease. Prolonged respiratory paralysis may also occur in patients receiving neuromuscular blocking agents. If neuromuscular blockade occurs, it may be reversed by the administration of calcium salts but mechanical assistance may be necessary.

6.2 Postmarketing Experience

The following adverse reactions have been identified during post approval use of tobramycin inhalation solution. Because these reactions are reported voluntarily from a population of uncertain size, it is not always possible to reliably estimate their frequency or establish a causal relationship to drug exposure.

Ear and labyrinth disorders

Hearing loss: Some of these reports occurred in patients with previous or concomitant treatment with systemic aminoglycosides. Patients with hearing loss frequently reported tinnitus. [see Warnings and Precautions (5.2)]

Skin and subcutaneous tissue disorders

Hypersensitivity, pruritus, urticaria, rash

Nervous system disorders

Aphonia, dysgeusia

Respiratory, thoracic, and mediastinal disorders

Bronchospasm [see Warnings and Precautions (5.1)], oropharyngeal pain

6.1 Clinical Trials Experience

Because clinical trials are conducted under widely varying conditions, adverse reaction rates observed in the clinical trials of a drug cannot be directly compared to rates in the clinical trials of another drug and may not reflect the rates observed in practice.

Tobramycin inhalation solution was studied in two clinical studies in 258 cystic fibrosis patients ranging in age from 6 to 48 years. Patients received tobramycin inhalation solution in alternating periods of 28 days on and 28 days off drug in addition to their standard cystic fibrosis therapy for a total of 24 weeks. Adverse reactions reported in these studies are described below:

  • The most frequent adverse reactions in the tobramycin inhalation arm were cough, pharyngitis, and increased sputum (see Table 1).
  • Thirty-three patients (13%) treated with tobramycin inhalation solution complained of voice alteration compared to 17 (7%) placebo patients. Voice alteration was more common in the on-drug periods.
  • Eight patients from the tobramycin inhalation solution group (3%) reported tinnitus compared to no placebo patients. All episodes were transient, resolved without discontinuation of the tobramycin inhalation solution treatment regimen, and were not associated with loss of hearing in audiograms.

Table 1 lists the percent of patients with selected adverse reactions that occurred in > 5% of tobramycin inhalation solution patients during the two Phase III studies.

Table 1: Percent of Patients with Selected Adverse Reactions Occurring in > 5% of Tobramycin Inhalation Solution Patients

1 Includes reported decreases in pulmonary function tests or decreased lung volume on chest radiograph associated with intercurrent illness or study drug administration.

Adverse Reaction Tobramycin Inhalation Solution (n=258)

%
Placebo (n=262)

%
Cough Increased 46.1 47.3
Pharyngitis 38.0 39.3
Sputum Increased 37.6 39.7
Dyspnea 33.7 38.5
Hemoptysis 19.4 23.7
Lung Function Decrease1 16.3 15.3
Voice Alteration 12.8 6.5
Taste Perversion 6.6 6.9
Rash 5.4 6.1

Selected adverse reactions that occurred in less than or equal to 5% of patients treated with tobramycin inhalation solution:

Ear and labyrinth disorders

Tinnitus

Musculoskeletal and connective tissue disorders

Myalgia

Infections and infestations

Laryngitis

17 Patient Counseling Information (17 PATIENT COUNSELING INFORMATION)

Advise the patient to read the FDA-approved patient labeling (Patient Information and Instructions for Use).

Instructions for Administration

Instruct patients to read the Instructions for Use before starting TOBRAMYCIN INHALATION SOLUTION PAK. Instruct patients to use the tobramycin inhalation solution in TOBRAMYCIN INHALATION SOLUTION PAK only with the PARI LC PLUS Reusable Nebulizer included in the TOBRAMYCIN INHALATION SOLUTION PAK.

5.6 Concomitant Use of Systemic Aminoglycosides

Patients receiving concomitant tobramycin inhalation solution and parenteral aminoglycoside therapy should be monitored as clinically appropriate for toxicities associated with aminoglycosides as a class. Serum tobramycin levels should be monitored.

2.2 Administration of Tobramycin Inhalation Solution

Each dose of tobramycin inhalation solution is administered by oral inhalation using only the co-packaged PARI LC PLUS Reusable Nebulizer (Model No. 022B81-TA) included in the TOBRAMYCIN INHALATION SOLUTION PAK, along with a DeVilbiss Pulmo-Aide air compressor (Model No. 5650D).

Tobramycin inhalation solution is not for subcutaneous, intravenous or intrathecal administration.

Prior to administration, read the Patient Information/Instructions for Use for TOBRAMYCIN INHALATION SOLUTION PAK for detailed information on how to use TOBRAMYCIN INHALATION SOLUTION PAK and follow the manufacturer's instructions for use and care of the DeVilbiss Pulmo-Aide air compressor.

The entire tobramycin inhalation solution treatment should take approximately 15 minutes to complete. Continue treatment until all the tobramycin inhalation solution has been delivered, and there is no longer any mist being produced.

Tobramycin inhalation solution should not be diluted or mixed with other drugs including dornase alfa in the nebulizer. Instruct patients on multiple therapies to take their medications prior to inhaling the tobramycin inhalation solution, or as directed by their physician. Tobramycin inhalation solution should not be used if it is cloudy, if there are particles in the solution, or if it has been stored at room temperature for more than 28 days.

13.1 Carcinogenesis, Mutagenesis, Impairment of Fertility

A two-year rat inhalation toxicology study to assess carcinogenic potential of tobramycin inhalation solution has been completed. Rats were exposed to tobramycin inhalation solution for up to 1.5 hours per day for 95 weeks. The clinical formulation of the drug was used for this carcinogenicity study. Serum levels of tobramycin of up to 35 mcg/mL were measured in rats, in contrast to the average 1 mcg/mL levels observed in cystic fibrosis patients in clinical trials. There was no drug-related increase in the incidence of any variety of tumor.

Additionally, tobramycin has been evaluated for genotoxicity in a battery of in vitro and in vivo tests. The Ames bacterial reversion test, conducted with 5 tester strains, failed to show a significant increase in revertants with or without metabolic activation in all strains. Tobramycin was negative in the mouse lymphoma forward mutation assay, did not induce chromosomal aberrations in Chinese hamster ovary cells, and was negative in the mouse micronucleus test.

Subcutaneous administration of up to 100 mg/kg of tobramycin did not affect mating behavior or cause impairment of fertility in male or female rats.

7.1 Drugs With Neurotoxic, Nephrotoxic Or Ototoxic Potential (7.1 Drugs with Neurotoxic, Nephrotoxic or Ototoxic Potential)

Concurrent and/or sequential use of tobramycin inhalation solution with other drugs with neurotoxic, nephrotoxic, or ototoxic potential should be avoided if possible.

Principal Display Panel  tobramycin Inhalation Solution Pak (Principal Display Panel - TOBRAMYCIN INHALATION SOLUTION PAK)

NDC 70644-899-99

Genericus

Tobramycin Inhalation Solution Pak

300 mg/5 mL Ampules

56 Single-Use Ampules of Tobramycin Inhalation Solution, USP

co-packaged with 1 PARI LC PLUS® Reusable Nebulizer Set

For more information, call 1-877-236-7239

Store in Refrigerator

Includes One PARI LC PLUS Nebulizer Set

Rx only


Advanced Ingredient Data


Raw Label Data

All Sections (JSON)