These Highlights Do Not Include All The Information Needed To Use Emtricitabine, Rilpivirine And Tenofovir Disoproxil Fumarate Tablets Safely And Effectively. See Full Prescribing Information For Emtricitabine, Rilpivirine And Tenofovir Disoproxil Fumarate Tablets.

These Highlights Do Not Include All The Information Needed To Use Emtricitabine, Rilpivirine And Tenofovir Disoproxil Fumarate Tablets Safely And Effectively. See Full Prescribing Information For Emtricitabine, Rilpivirine And Tenofovir Disoproxil Fumarate Tablets.
SPL v1
SPL
SPL Set ID d9a4185e-43fa-4aeb-9b0f-8db01b166038
Route
ORAL
Published
Effective Date 2024-12-14
Document Type 34391-3 HUMAN PRESCRIPTION DRUG LABEL

Drug Facts

Composition & Product

Active Ingredients
Emtricitabine (200 mg) Rilpivirine (25 mg) Tenofovir Anhydrous (300 mg)
Inactive Ingredients
Starch, Corn Croscarmellose Sodium Hypromellose 2910 (15000 Mpa.s) Lactose Monohydrate Magnesium Stearate Microcrystalline Cellulose 101 Microcrystalline Cellulose 112 Povidone K30 Ferric Oxide Red Talc Titanium Dioxide Triacetin Ferric Oxide Yellow

Identifiers & Packaging

Pill Appearance
Imprint: M;ERT Shape: oval Color: yellow Size: 19 mm Score: 1
Marketing Status
ANDA Active Since 2025-05-27

Description

Severe acute exacerbations of hepatitis B virus (HBV) have been reported in patients who are coinfected with HBV and HIV-1 and have discontinued products containing emtricitabine (FTC) and/or tenofovir disoproxil fumarate (TDF), two of the components of emtricitabine, rilpivirine and tenofovir disoproxil fumarate tablets.   Closely monitor hepatic function with both clinical and laboratory follow-up for at least several months in patients who are coinfected with HIV-1 and HBV and discontinue emtricitabine, rilpivirine and tenofovir disoproxil fumarate tablets. If appropriate, initiation of anti-hepatitis B therapy may be warranted [see Warnings and Precautions (5.1) ] .

Indications and Usage

Emtricitabine, rilpivirine and tenofovir disoproxil fumarate tablets are indicated as a complete regimen for the treatment of HIV-1 infection in adults and pediatric patients weighing at least 35 kg: • as initial therapy in those with no antiretroviral treatment history with HIV-1 RNA less than or equal to 100,000 copies/mL at the start of therapy or • to replace a stable antiretroviral regimen in those who are virologically suppressed (HIV-1 RNA less than 50 copies/mL) on a stable antiretroviral regimen for at least 6 months with no treatment failure and no known substitutions associated with resistance to the individual components of emtricitabine, rilpivirine and tenofovir disoproxil fumarate tablets [see Microbiology (12.4) and Clinical Studies (14) ] . Limitations of Use: • More rilpivirine-treated subjects with HIV-1 RNA greater than 100,000 copies/mL at the start of therapy experienced virologic failure (HIV-1 RNA ≥ 50 copies/mL) compared to rilpivirine-treated subjects with HIV-1 RNA less than or equal to 100,000 copies/mL [see Clinical Studies (14) ] .

Dosage and Administration

• Testing: Prior to or when initiating emtricitabine, rilpivirine and tenofovir disoproxil fumarate tablets, test for hepatitis B virus infection. Prior to initiation and during treatment with emtricitabine, rilpivirine and tenofovir disoproxil fumarate tablets, on a clinically appropriate schedule, assess serum creatinine, estimated creatinine clearance, urine glucose, and urine protein in all patients. In patients with chronic kidney disease, also assess serum phosphorus. ( 2.1 ) • Recommended dosage in adults and pediatric patients weighing at least 35 kg: One tablet taken orally once daily with food. ( 2.2 ) • For pregnant patients who are already on emtricitabine, rilpivirine and tenofovir disoproxil fumarate tablets prior to pregnancy and who are virologically suppressed (HIV-1 RNA less than 50 copies per mL), one tablet taken once daily may be continued. Lower exposures of rilpivirine were observed during pregnancy; therefore, viral load should be monitored closely. ( 2.3 ) • Renal impairment: Not recommended in patients with estimated creatinine clearance below 50 mL per minute. ( 2.4 ) • Recommended dosage with rifabutin coadministration: an additional 25 mg tablet of rilpivirine (Edurant ® ) once per day taken concomitantly with emtricitabine, rilpivirine and tenofovir disoproxil fumarate tablets and with a meal for the duration of the rifabutin coadministration. ( 2.5 , 7.6 , 12.3 )

Warnings and Precautions

• Skin and Hypersensitivity Reactions: Severe skin and hypersensitivity reactions have been reported during postmarketing experience, including cases of Drug Reaction with Eosinophilia and Systemic Symptoms (DRESS). Immediately discontinue treatment if hypersensitivity or rash with systemic symptoms or elevations in hepatic serum biochemistries develops and closely monitor clinical status, including hepatic serum biochemistries. ( 5.2 ) • Hepatotoxicity: Hepatic adverse events have been reported in patients receiving a rilpivirine-containing regimen. Monitor liver-associated tests before and during treatment with emtricitabine, rilpivirine and tenofovir disoproxil fumarate tablets in patients with underlying hepatic disease or marked elevations in liver-associated tests. Also consider monitoring liver-associated tests in patients without risk factors. ( 5.3 ) • Depressive disorders: Severe depressive disorders have been reported. Immediate medical evaluation is recommended for severe depressive disorders. ( 5.4 ) • New onset or worsening renal impairment: Can include acute renal failure and Fanconi syndrome. Avoid administering emtricitabine, rilpivirine and tenofovir disoproxil fumarate tablets with concurrent or recent use of nephrotoxic drugs. ( 5.5 ) • Decreases in bone mineral density (BMD): Consider monitoring BMD in patients with a history of pathologic fracture or other risk factors of osteoporosis or bone loss. ( 5.6 ) • Concomitant use of emtricitabine, rilpivirine and tenofovir disoproxil fumarate tablets with drugs with a known risk to prolong the QTc interval of the electrocardiogram may increase the risk of Torsade de Pointes. ( 5.7 ) • Lactic acidosis/severe hepatomegaly with steatosis: Discontinue treatment in patients who develop symptoms or laboratory findings suggestive of lactic acidosis or pronounced hepatotoxicity. ( 5.8 ) • Immune reconstitution syndrome: May necessitate further evaluation and treatment. ( 5.9 )

Contraindications

Emtricitabine, rilpivirine and tenofovir disoproxil fumarate tablets are contraindicated when coadministered with the following drugs; coadministration may result in loss of virologic response and possible resistance to emtricitabine, rilpivirine and tenofovir disoproxil fumarate tablets or to the class of NNRTIs [see Warnings and Precautions (5.7) , Drug Interactions (7) , and Clinical Pharmacology (12.3) ] : • Anticonvulsants: carbamazepine, oxcarbazepine, phenobarbital, phenytoin • Antimycobacterials: rifampin, rifapentine • Glucocorticoid (systemic): dexamethasone (more than a single-dose) • Herbal Products: St John’s wort ( Hypericum perforatum ) • Proton Pump Inhibitors: e.g., dexlansoprazole, esomeprazole, lansoprazole, omeprazole, pantoprazole, rabeprazole

Adverse Reactions

The following adverse reactions are discussed in other sections of the labeling: • Severe Acute Exacerbations of Hepatitis B in Patients Coinfected with HIV-1 and HBV [see Warnings and Precautions (5.1) ] . • Skin and Hypersensitivity Reactions [see Warnings and Precautions (5.2) ] . • Hepatotoxicity [see Warnings and Precautions (5.3) ] . • Depressive Disorders [see Warnings and Precautions (5.4) ] . • New Onset or Worsening Renal Impairment [see Warnings and Precautions (5.5) ] . • Bone Loss and Mineralization Defects [see Warnings and Precautions (5.6) ] . • Lactic Acidosis/Severe Hepatomegaly with Steatosis [see Warnings and Precautions (5.8) ] . • Immune Reconstitution Syndrome [see Warnings and Precautions (5.9) ] .

Drug Interactions

• Emtricitabine, rilpivirine and tenofovir disoproxil fumarate tablets are a complete regimen for the treatment of HIV-1 infection; therefore, coadministration with other antiretroviral medications for treatment of HIV-1 infection is not recommended. ( 7.1 ) • Consult the Full Prescribing Information prior to and during treatment for important drug interactions. ( 4 , 5.7 , 7 )

Storage and Handling

Emtricitabine, Rilpivirine and Tenofovir Disoproxil Fumarate Tablets are available containing 200 mg of emtricitabine, 27.5 mg of rilpivirine hydrochloride equivalent to 25 mg of rilpivirine, and 300 mg of tenofovir disoproxil fumarate equivalent to 245 mg of tenofovir disoproxil. The 200 mg/25 mg/300 mg tablets are yellow, film-coated, capsule shaped, unscored tablets debossed with M on one side of the tablet and ERT on the other side. They are available as follows: NDC 0378-5440-93 bottles of 30 tablets NDC 0378-5440-77 bottles of 90 tablets Store at 20° to 25°C (68° to 77°F). [See USP Controlled Room Temperature.] Keep container tightly closed. Dispense only in original container.

How Supplied

Emtricitabine, Rilpivirine and Tenofovir Disoproxil Fumarate Tablets are available containing 200 mg of emtricitabine, 27.5 mg of rilpivirine hydrochloride equivalent to 25 mg of rilpivirine, and 300 mg of tenofovir disoproxil fumarate equivalent to 245 mg of tenofovir disoproxil. The 200 mg/25 mg/300 mg tablets are yellow, film-coated, capsule shaped, unscored tablets debossed with M on one side of the tablet and ERT on the other side. They are available as follows: NDC 0378-5440-93 bottles of 30 tablets NDC 0378-5440-77 bottles of 90 tablets Store at 20° to 25°C (68° to 77°F). [See USP Controlled Room Temperature.] Keep container tightly closed. Dispense only in original container.


Medication Information

Warnings and Precautions

• Skin and Hypersensitivity Reactions: Severe skin and hypersensitivity reactions have been reported during postmarketing experience, including cases of Drug Reaction with Eosinophilia and Systemic Symptoms (DRESS). Immediately discontinue treatment if hypersensitivity or rash with systemic symptoms or elevations in hepatic serum biochemistries develops and closely monitor clinical status, including hepatic serum biochemistries. ( 5.2 ) • Hepatotoxicity: Hepatic adverse events have been reported in patients receiving a rilpivirine-containing regimen. Monitor liver-associated tests before and during treatment with emtricitabine, rilpivirine and tenofovir disoproxil fumarate tablets in patients with underlying hepatic disease or marked elevations in liver-associated tests. Also consider monitoring liver-associated tests in patients without risk factors. ( 5.3 ) • Depressive disorders: Severe depressive disorders have been reported. Immediate medical evaluation is recommended for severe depressive disorders. ( 5.4 ) • New onset or worsening renal impairment: Can include acute renal failure and Fanconi syndrome. Avoid administering emtricitabine, rilpivirine and tenofovir disoproxil fumarate tablets with concurrent or recent use of nephrotoxic drugs. ( 5.5 ) • Decreases in bone mineral density (BMD): Consider monitoring BMD in patients with a history of pathologic fracture or other risk factors of osteoporosis or bone loss. ( 5.6 ) • Concomitant use of emtricitabine, rilpivirine and tenofovir disoproxil fumarate tablets with drugs with a known risk to prolong the QTc interval of the electrocardiogram may increase the risk of Torsade de Pointes. ( 5.7 ) • Lactic acidosis/severe hepatomegaly with steatosis: Discontinue treatment in patients who develop symptoms or laboratory findings suggestive of lactic acidosis or pronounced hepatotoxicity. ( 5.8 ) • Immune reconstitution syndrome: May necessitate further evaluation and treatment. ( 5.9 )

Indications and Usage

Emtricitabine, rilpivirine and tenofovir disoproxil fumarate tablets are indicated as a complete regimen for the treatment of HIV-1 infection in adults and pediatric patients weighing at least 35 kg: • as initial therapy in those with no antiretroviral treatment history with HIV-1 RNA less than or equal to 100,000 copies/mL at the start of therapy or • to replace a stable antiretroviral regimen in those who are virologically suppressed (HIV-1 RNA less than 50 copies/mL) on a stable antiretroviral regimen for at least 6 months with no treatment failure and no known substitutions associated with resistance to the individual components of emtricitabine, rilpivirine and tenofovir disoproxil fumarate tablets [see Microbiology (12.4) and Clinical Studies (14) ] . Limitations of Use: • More rilpivirine-treated subjects with HIV-1 RNA greater than 100,000 copies/mL at the start of therapy experienced virologic failure (HIV-1 RNA ≥ 50 copies/mL) compared to rilpivirine-treated subjects with HIV-1 RNA less than or equal to 100,000 copies/mL [see Clinical Studies (14) ] .

Dosage and Administration

• Testing: Prior to or when initiating emtricitabine, rilpivirine and tenofovir disoproxil fumarate tablets, test for hepatitis B virus infection. Prior to initiation and during treatment with emtricitabine, rilpivirine and tenofovir disoproxil fumarate tablets, on a clinically appropriate schedule, assess serum creatinine, estimated creatinine clearance, urine glucose, and urine protein in all patients. In patients with chronic kidney disease, also assess serum phosphorus. ( 2.1 ) • Recommended dosage in adults and pediatric patients weighing at least 35 kg: One tablet taken orally once daily with food. ( 2.2 ) • For pregnant patients who are already on emtricitabine, rilpivirine and tenofovir disoproxil fumarate tablets prior to pregnancy and who are virologically suppressed (HIV-1 RNA less than 50 copies per mL), one tablet taken once daily may be continued. Lower exposures of rilpivirine were observed during pregnancy; therefore, viral load should be monitored closely. ( 2.3 ) • Renal impairment: Not recommended in patients with estimated creatinine clearance below 50 mL per minute. ( 2.4 ) • Recommended dosage with rifabutin coadministration: an additional 25 mg tablet of rilpivirine (Edurant ® ) once per day taken concomitantly with emtricitabine, rilpivirine and tenofovir disoproxil fumarate tablets and with a meal for the duration of the rifabutin coadministration. ( 2.5 , 7.6 , 12.3 )

Contraindications

Emtricitabine, rilpivirine and tenofovir disoproxil fumarate tablets are contraindicated when coadministered with the following drugs; coadministration may result in loss of virologic response and possible resistance to emtricitabine, rilpivirine and tenofovir disoproxil fumarate tablets or to the class of NNRTIs [see Warnings and Precautions (5.7) , Drug Interactions (7) , and Clinical Pharmacology (12.3) ] : • Anticonvulsants: carbamazepine, oxcarbazepine, phenobarbital, phenytoin • Antimycobacterials: rifampin, rifapentine • Glucocorticoid (systemic): dexamethasone (more than a single-dose) • Herbal Products: St John’s wort ( Hypericum perforatum ) • Proton Pump Inhibitors: e.g., dexlansoprazole, esomeprazole, lansoprazole, omeprazole, pantoprazole, rabeprazole

Adverse Reactions

The following adverse reactions are discussed in other sections of the labeling: • Severe Acute Exacerbations of Hepatitis B in Patients Coinfected with HIV-1 and HBV [see Warnings and Precautions (5.1) ] . • Skin and Hypersensitivity Reactions [see Warnings and Precautions (5.2) ] . • Hepatotoxicity [see Warnings and Precautions (5.3) ] . • Depressive Disorders [see Warnings and Precautions (5.4) ] . • New Onset or Worsening Renal Impairment [see Warnings and Precautions (5.5) ] . • Bone Loss and Mineralization Defects [see Warnings and Precautions (5.6) ] . • Lactic Acidosis/Severe Hepatomegaly with Steatosis [see Warnings and Precautions (5.8) ] . • Immune Reconstitution Syndrome [see Warnings and Precautions (5.9) ] .

Drug Interactions

• Emtricitabine, rilpivirine and tenofovir disoproxil fumarate tablets are a complete regimen for the treatment of HIV-1 infection; therefore, coadministration with other antiretroviral medications for treatment of HIV-1 infection is not recommended. ( 7.1 ) • Consult the Full Prescribing Information prior to and during treatment for important drug interactions. ( 4 , 5.7 , 7 )

Storage and Handling

Emtricitabine, Rilpivirine and Tenofovir Disoproxil Fumarate Tablets are available containing 200 mg of emtricitabine, 27.5 mg of rilpivirine hydrochloride equivalent to 25 mg of rilpivirine, and 300 mg of tenofovir disoproxil fumarate equivalent to 245 mg of tenofovir disoproxil. The 200 mg/25 mg/300 mg tablets are yellow, film-coated, capsule shaped, unscored tablets debossed with M on one side of the tablet and ERT on the other side. They are available as follows: NDC 0378-5440-93 bottles of 30 tablets NDC 0378-5440-77 bottles of 90 tablets Store at 20° to 25°C (68° to 77°F). [See USP Controlled Room Temperature.] Keep container tightly closed. Dispense only in original container.

How Supplied

Emtricitabine, Rilpivirine and Tenofovir Disoproxil Fumarate Tablets are available containing 200 mg of emtricitabine, 27.5 mg of rilpivirine hydrochloride equivalent to 25 mg of rilpivirine, and 300 mg of tenofovir disoproxil fumarate equivalent to 245 mg of tenofovir disoproxil. The 200 mg/25 mg/300 mg tablets are yellow, film-coated, capsule shaped, unscored tablets debossed with M on one side of the tablet and ERT on the other side. They are available as follows: NDC 0378-5440-93 bottles of 30 tablets NDC 0378-5440-77 bottles of 90 tablets Store at 20° to 25°C (68° to 77°F). [See USP Controlled Room Temperature.] Keep container tightly closed. Dispense only in original container.

Description

Severe acute exacerbations of hepatitis B virus (HBV) have been reported in patients who are coinfected with HBV and HIV-1 and have discontinued products containing emtricitabine (FTC) and/or tenofovir disoproxil fumarate (TDF), two of the components of emtricitabine, rilpivirine and tenofovir disoproxil fumarate tablets.   Closely monitor hepatic function with both clinical and laboratory follow-up for at least several months in patients who are coinfected with HIV-1 and HBV and discontinue emtricitabine, rilpivirine and tenofovir disoproxil fumarate tablets. If appropriate, initiation of anti-hepatitis B therapy may be warranted [see Warnings and Precautions (5.1) ] .

Data

Rilpivirine: In animals, no studies have been conducted to assess the excretion of RPV directly; however RPV was measured in rat pups which were exposed through the milk of treated dams (dosed up to 400 mg/kg/day).

Human Data

Prospective reports from the APR of overall major birth defects in pregnancies exposed to drug components of emtricitabine, rilpivirine and tenofovir disoproxil fumarate tablets are compared with a U.S. background major birth defect rate. Methodological limitations of the APR include the use of MACDP as the external comparator group. Limitations of using an external comparator include differences in methodology and populations, as well as confounding due to the underlying disease.

Emtricitabine: Based on prospective reports to the APR of exposures to FTC-containing regimens during pregnancy resulting in live births (including over 2,750 exposed in the first trimester and over 1,200 exposed in the second/third trimester), there was no increase in overall major birth defects with FTC compared with the background birth defect rate of 2.7% in the U.S. reference population of the MACDP. The prevalence of major birth defects in live births was 2.4% (95% CI: 1.9% to 3.1%) with first trimester exposure to FTC-containing regimens and 2.3% (95% CI: 1.5% to 3.3%) with the second/third trimester exposure to FTC-containing regimens.

Rilpivirine: RPV in combination with a background regimen was evaluated in a clinical trial of 19 HIV-1 infected pregnant subjects on an RPV-based regimen during the second and third trimesters and postpartum. Each of the subjects were on an RPV-based regimen at the time of enrollment. Twelve subjects completed the trial through the postpartum period (6-12 weeks after delivery) and pregnancy outcomes are missing for six subjects. The exposure (C0h and AUC) of total RPV was approximately 30 to 40% lower during pregnancy compared with postpartum (6 to 12 weeks). The protein binding of RPV was similar (>99%) during second trimester, third trimester, and postpartum period [see Clinical Pharmacology (12.3)]. One subject discontinued the trial following fetal death at 25 weeks gestation due to suspected premature rupture of membranes. Among the 12 subjects who were virologically suppressed at baseline (less than 50 copies/mL), virologic response was preserved in 10 subjects (83.3%) through the third trimester visit and in 9 subjects (75%) through the 6-12 week postpartum visit. Virologic outcomes during the third trimester visit were missing for two subjects who were withdrawn (one subject was nonadherent to the study drug and one subject withdrew consent). Among the 10 infants with available HIV test results, all were negative for HIV-1 at the time of delivery and up to 16 weeks postpartum (all 10 infants received prophylactic treatment with zidovudine). RPV was well tolerated during pregnancy and postpartum. There were no new safety findings compared with the known safety profile of RPV in HIV-1-infected adults.

Based on prospective reports to the APR of exposures to RPV-containing regimens during pregnancy (including over 290 exposed during first trimester and over 160 exposed in the second/third trimester), there was no significant increase in overall risk of major birth defects with RPV compared to the background birth defect rate of 2.7% in the U.S. reference population of the MACDP. The prevalence of major birth defects in live births was 1.0% (95% CI: 0.2% to 2.9%) and 1.2% (95% CI: 0.2% to 4.4%) following first and second/third trimester exposure, respectively, to RPV-containing regimens.

Tenofovir DF: Based on prospective reports to the APR of exposures to TDF-containing regimens during pregnancy resulting in live births (including over 3,500 exposed in the first trimester and over 1,500 exposed in the second/third trimester), there was no increase in overall risk of major birth defects compared with the background birth defect rate of 2.7% in the U.S. reference population of the MACDP. The prevalence of major birth defects in live births was 2.3% (95% CI: 1.8% to 2.9%) with first trimester exposure to TDF-containing regimens, and 2.2% (95% CI: 1.6% to 3.1%) with the second/third trimester exposure to TDF-containing regimens.

Animal Data

Emtricitabine: FTC was administered orally to pregnant mice (at 0, 250, 500, or 1,000 mg/kg/day), and rabbits (at 0, 100, 300, or 1,000 mg/kg/day) through organogenesis (on gestation days 6 through 15, and 7 through 19, respectively). No significant toxicological effects were observed in embryo-fetal toxicity studies performed with FTC in mice at exposures (AUC) approximately 60 times higher and in rabbits at approximately 120 times higher than human exposures at the recommended daily dose. In a pre/postnatal development study in mice, FTC was administered orally at doses up to 1,000 mg/kg/day; no significant adverse effects directly related to drug were observed in the offspring exposed daily from before birth (in utero) through sexual maturity at daily exposures (AUC) of approximately 60 times higher than human exposures at the recommended daily dose.

Rilpivirine: RPV was administered orally to pregnant rats (40, 120, or 400 mg/kg/day) and rabbits (5, 10, or 20 mg/kg/day) through organogenesis (on gestation days 6 through 17, and 6 through 19, respectively). No significant toxicological effects were observed in embryo-fetal toxicity studies performed with RPV in rats and rabbits at exposures 15 (rats) and 70 (rabbits) times higher than the exposure in humans at the recommended dose of 25 mg once daily. In a pre/postnatal development study with RPV, where rats were administered up to 400 mg/kg/day through lactation, no significant adverse effects directly related to drug were noted in the offspring.

Tenofovir DF: TDF was administered orally to pregnant rats (at 0, 50, 150, or 450 mg/kg/day) and rabbits (at 0, 30, 100, or 300 mg/kg/day) through organogenesis (on gestation days 7 through 17, and 6 through 18, respectively). No significant toxicological effects were observed in embryo-fetal toxicity studies performed with TDF in rats at doses up to 14 times the human dose based on body surface area comparisons and in rabbits at doses up to 19 times the human dose based on body surface area comparisons. In a pre/postnatal development study in rats, TDF was administered orally through lactation at doses up to 600 mg/kg/day; no adverse effects were observed in the offspring at tenofovir exposures of approximately 2.7 times higher than human exposures at the recommended daily dose of emtricitabine, rilpivirine and tenofovir disoproxil fumarate tablets.

Risk Summary

Available data from the APR show no increase in the overall risk of major birth defects with first trimester exposure for emtricitabine (FTC), rilpivirine (RPV), or tenofovir (TDF) compared with the background rate for major birth defects of 2.7% in a U.S. reference population of the Metropolitan Atlanta Congenital Defects Program (MACDP) (see Data). In a clinical trial, total rilpivirine exposures were generally lower during pregnancy compared to the postpartum period [see Clinical Pharmacology (12.3)]. The rate of miscarriage for individual drugs is not reported in the APR. The estimated background rate of miscarriage in clinically recognized pregnancies in the U.S. general population is 15-20%.

Based on the experience of HIV-1-infected pregnant individuals who completed a clinical trial through the postpartum period with an RPV-based regimen, no dose adjustments are required for pregnant patients who are already on a stable RPV-containing regimen prior to pregnancy and who are virologically suppressed (HIV-1 RNA less than 50 copies per mL). Lower exposures of RPV were observed during pregnancy, therefore viral load should be monitored closely [see Data and Clinical Pharmacology (12.3)].

In animal studies, no adverse developmental effects were observed when the components of emtricitabine, rilpivirine and tenofovir disoproxil fumarate tablets were administered separately during the period of organogenesis at exposures up to 60 and 120 times (mice and rabbits, respectively, FTC) and 15 and 70 times (rats and rabbits, respectively; RPV) the exposure of these components in emtricitabine, rilpivirine and tenofovir disoproxil fumarate tablets and at 14 and 19 times (rats and rabbits, respectively) the human dose of TDF based on body surface area comparisons (see Data). Likewise, no adverse developmental effects were seen when FTC was administered to mice and RPV was administered to rats through lactation at exposures up to approximately 60 and 63 times, respectively, the exposure at the recommended daily dose of these components in emtricitabine, rilpivirine and tenofovir disoproxil fumarate tablets. No adverse effects were observed in the offspring of rats when TDF was administered through lactation at tenofovir exposures of approximately 14 times the exposure at the recommended daily dosage of emtricitabine, rilpivirine and tenofovir disoproxil fumarate tablets.

10 Overdosage

If overdose occurs the patient must be monitored for evidence of toxicity. Treatment of overdose with emtricitabine, rilpivirine and tenofovir disoproxil fumarate tablets consists of general supportive measures, including monitoring of vital signs and ECG (QT interval) as well as observation of the clinical status of the patient.

Emtricitabine: Hemodialysis treatment removes approximately 30% of the FTC dose over a 3-hour dialysis period starting within 1.5 hours of FTC dosing (blood flow rate of 400 mL per minute and a dialysate flow rate of 600 mL per minute). It is not known whether FTC can be removed by peritoneal dialysis.

Rilpivirine: There is no specific antidote for overdose with RPV. Human experience of overdose with RPV is limited. Since RPV is highly bound to plasma protein, dialysis is unlikely to result in significant removal of RPV.

Tenofovir DF: Tenofovir is efficiently removed by hemodialysis with an extraction coefficient of approximately 54%. Following a single 300 mg dose of TDF, a 4-hour hemodialysis session removed approximately 10% of the administered tenofovir dose.

11 Description

Emtricitabine, rilpivirine and tenofovir disoproxil fumarate tablets are fixed-dose combination tablets containing FTC, rilpivirine hydrochloride, and TDF. Emtricitabine (FTC) is a synthetic nucleoside analog of cytidine. Rilpivirine (RPV) is a non-nucleoside reverse transcriptase inhibitor. Tenofovir disoproxil fumarate (TDF) is converted in vivo to tenofovir, an acyclic nucleoside phosphonate (nucleotide) analog of adenosine 5′-monophosphate.

Emtricitabine, rilpivirine and tenofovir disoproxil fumarate tablets are for oral administration. Each tablet contains 200 mg of FTC, 27.5 mg of rilpivirine hydrochloride (equivalent to 25 mg of RPV), and 300 mg of TDF (equivalent to 245 mg of tenofovir disoproxil) as active ingredients. The tablets include the following inactive ingredients: corn starch, croscarmellose sodium, hypromellose, lactose monohydrate, magnesium stearate, microcrystalline cellulose, povidone, red iron oxide, talc, titanium dioxide, triacetin and yellow iron oxide.

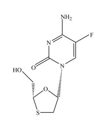
Emtricitabine: The chemical name of FTC is 4-Amino-5-fluoro-1-[(2R,5S)-2-(hydroxymethyl)-1,3-oxathiolan-5-yl]-2(1H)-pyrimidinone. Emtricitabine is the (-) enantiomer of a thio analog of cytidine, which differs from other cytidine analogs in that it has a fluorine in the 5-position.

It has a molecular formula of C8H10FN3O3S and a molecular weight of 247.25. It has the following structural formula:

FTC is a white to off-white powder with a solubility of approximately 112 mg per mL in water at 25°C.

Rilpivirine: RPV is available as the hydrochloride salt. The chemical name for rilpivirine hydrochloride is 4-{[4-({4-[(E)-2-Cyanoethenyl]-2, 6-dimethylphenyl} amino) pyrimidin-2-yl] amino}benzonitrile. Hydrochloride. Its molecular formula is C22H18N6 • HCl and its molecular weight is 402.9. Rilpivirine hydrochloride has the following structural formula:

Rilpivirine hydrochloride is an off-white to yellow colored powder. Rilpivirine hydrochloride is practically insoluble in water over a wide pH range.

Tenofovir DF: TDF is a fumaric acid salt of the bis-isopropoxycarbonyloxymethyl ester derivative of tenofovir. The chemical name of TDF is

9-[2-(R)-[[bis[[(isopropoxy carbonyl) oxy] methoxy]phosphinoyl]methoxy]propyl]-adenine fumaric acid (1:1). It has a molecular formula of C19H30N5O10P • C4H4O4 and a molecular weight of 635.51. It has the following structural formula:

TDF is a white to off-white powder with a solubility of 13.4 mg per mL in water at 25°C. All dosages are expressed in terms of TDF except where otherwise noted.

Adrenal Function

In trial TMC278-C213, at Week 48, the overall mean change from baseline in basal cortisol showed an increase of 1.59 (0.24, 2.93) micrograms/dL.

Six of 30 (20%) subjects with a normal 250 micrograms ACTH stimulation test at baseline developed an abnormal 250 micrograms ACTH stimulation test (peak cortisol level < 18.1 micrograms/dL) during the trial. Three of these subjects had an abnormal 250 micrograms ACTH stimulation test at Week 48. Overall, there were no serious adverse events, deaths, or treatment discontinuations that could clearly be attributed to adrenal insufficiency. The clinical significance of the abnormal 250 micrograms ACTH stimulation tests is not known.

Tenofovir DF: In a pediatric clinical trial conducted in subjects 12 to less than 18 years of age, the adverse reactions observed in pediatric subjects who received treatment with TDF were consistent with those observed in clinical trials of TDF in adults [see Warnings and Precautions (5.6)]. For additional information, including information on bone mineral density changes, please consult the VIREAD® prescribing information.

12.4 Microbiology

Mechanism of Action

Emtricitabine: FTC, a synthetic nucleoside analog of cytidine, is phosphorylated by cellular enzymes to form emtricitabine 5′-triphosphate. Emtricitabine 5′-triphosphate inhibits the activity of the HIV-1 RT by competing with the natural substrate deoxycytidine 5′-triphosphate and by being incorporated into nascent viral DNA, which results in chain termination. Emtricitabine 5′-triphosphate is a weak inhibitor of mammalian DNA polymerase α, β, ε, and mitochondrial DNA polymerase γ.

Rilpivirine: RPV is a diarylpyrimidine non-nucleoside reverse transcriptase inhibitor of HIV-1 and inhibits HIV-1 replication by non-competitive inhibition of HIV-1 RT. RPV does not inhibit the human cellular DNA polymerases α, β, and mitochondrial DNA polymerase γ.

Tenofovir DF: TDF is an acyclic nucleoside phosphonate diester analog of adenosine monophosphate. TDF requires initial diester hydrolysis for conversion to tenofovir and subsequent phosphorylations by cellular enzymes to form tenofovir diphosphate. Tenofovir diphosphate inhibits the activity of HIV-1 RT by competing with the natural substrate deoxyadenosine 5′-triphosphate and, after incorporation into DNA, by DNA chain termination. Tenofovir diphosphate is a weak inhibitor of mammalian DNA polymerases α, β, and mitochondrial DNA polymerase γ.

Antiviral Activity

Emtricitabine, Rilpivirine, and TDF: The triple combination of FTC, RPV, and TDF was not antagonistic in cell culture.

Emtricitabine: The antiviral activity of FTC against laboratory and clinical isolates of HIV-1 was assessed in lymphoblastoid cell lines, the MAGI-CCR5 cell line, and peripheral blood mononuclear cells. The 50% effective concentration (EC50) values for FTC were in the range of 0.0013–0.64 μM. FTC displayed antiviral activity in cell culture against HIV-1 clades A, B, C, D, E, F, and G (EC50 values ranged from 0.007–0.075 μM) and showed strain specific activity against HIV-2 (EC50 values ranged from 0.007–1.5 μM). In drug combination studies of FTC with nucleoside reverse transcriptase inhibitors (abacavir, lamivudine, stavudine, tenofovir, zidovudine), non-nucleoside reverse transcriptase inhibitors (delavirdine, EFV, nevirapine, and RPV), and protease inhibitors (amprenavir, nelfinavir, ritonavir, saquinavir), no antagonistic effects were observed.

Rilpivirine: RPV exhibited activity against laboratory strains of wild-type HIV-1 in an acutely infected T-cell line with a median EC50 value for HIV-1IIIB of 0.73 nM. RPV demonstrated limited activity in cell culture against HIV-2 with a median EC50 value of 5220 nM (range 2510–10,830 nM). RPV demonstrated antiviral activity against a broad panel of HIV-1 group M (subtype A, B, C, D, F, G, H) primary isolates with EC50 values ranging from 0.07–1.01 nM and was less active against group O primary isolates with EC50 values ranging from 2.88–8.45 nM. The antiviral activity of RPV was not antagonistic when combined with the NNRTIs EFV, etravirine, or nevirapine; the N(t)RTIs abacavir, didanosine, FTC, lamivudine, stavudine, tenofovir, or zidovudine; the PIs amprenavir, atazanavir, darunavir, indinavir, lopinavir, nelfinavir, ritonavir, saquinavir, or tipranavir; the gp41 fusion inhibitor enfuvirtide; the CCR5 co-receptor antagonist maraviroc; or the integrase strand transfer inhibitor raltegravir.

Tenofovir DF: The antiviral activity of tenofovir against laboratory and clinical isolates of HIV-1 was assessed in lymphoblastoid cell lines, primary monocyte/macrophage cells, and peripheral blood lymphocytes. The EC50 values for tenofovir were in the range of 0.04–8.5 μM. Tenofovir displayed antiviral activity in cell culture against HIV-1 clades A, B, C, D, E, F, G, and O (EC50 values ranged from 0.5–2.2 μM) and showed strain specific activity against HIV-2 (EC50 values ranged from 1.6 μM–5.5 μM). In drug combination studies of tenofovir with NRTIs (abacavir, didanosine, FTC, lamivudine, stavudine, and zidovudine), NNRTIs (delavirdine, EFV, nevirapine, and RPV), and PIs (amprenavir, indinavir, nelfinavir, ritonavir, saquinavir), no antagonistic effects were observed.

Resistance

In Cell Culture

Emtricitabine and Tenofovir DF: HIV-1 isolates with reduced susceptibility to FTC or tenofovir have been selected in cell culture. Reduced susceptibility to FTC was associated with M184V/I substitutions in HIV-1 RT. HIV-1 isolates selected by tenofovir expressed a K65R substitution in HIV-1 RT and showed a 2–4 fold reduction in susceptibility to tenofovir. In addition, a K70E substitution in HIV-1 RT has been selected by tenofovir and results in low-level reduced susceptibility to abacavir, FTC, lamivudine, and tenofovir.

Rilpivirine: RPV-resistant strains were selected in cell culture starting from wild-type HIV-1 of different origins and subtypes as well as NNRTI-resistant HIV-1. The frequently observed amino acid substitutions that emerged and conferred decreased phenotypic susceptibility to RPV included: L100I, K101E, V106I and A, V108I, E138K and G, Q, R, V179F and I, Y181C and I, V189I, G190E, H221Y, F227C, and M230I and L.

In HIV-1-Infected Adult Subjects With No Antiretroviral Treatment History

In the Week 96 pooled resistance analysis for adult subjects receiving RPV or EFV in combination with FTC/TDF in the Phase 3 clinical trials C209 and C215, the emergence of resistance was greater among subjects’ viruses in the RPV + FTC/TDF arm compared to the EFV + FTC/TDF arm and was dependent on baseline viral load. In the pooled resistance analysis, 61% (47/77) of the subjects who qualified for resistance analysis (resistance analysis subjects) in the RPV + FTC/TDF arm had virus with genotypic and/or phenotypic resistance to RPV compared to 42% (18/43) of the resistance analysis subjects in the EFV + FTC/TDF arm who had genotypic and/or phenotypic resistance to EFV. Moreover, genotypic and/or phenotypic resistance to FTC or tenofovir emerged in viruses from 57% (44/77) of the resistance analysis subjects in the RPV arm compared to 26% (11/43) in the EFV arm.

Emerging NNRTI substitutions in the RPV resistance analysis of subjects’ viruses included V90I, K101E/P/T, E138K/A/Q/G, V179I/L, Y181C/I, V189I, H221Y, F227C/L, and M230L, which were associated with an RPV phenotypic fold change range of 2.6–621. The E138K substitution emerged most frequently during RPV treatment, commonly in combination with the M184I substitution. The FTC and lamivudine resistance-associated substitutions M184I or V and NRTI resistance-associated substitutions (K65R/N, A62V, D67N/G, K70E, Y115F, K219E/R) emerged more frequently in the RPV resistance analysis subjects than in EFV resistance analysis subjects (See Table 15).

NNRTI- and NRTI-resistance substitutions emerged less frequently in the resistance analysis of viruses from subjects with baseline viral loads of ≤ 100,000 copies/mL compared to viruses from subjects with baseline viral loads of > 100,000 copies/mL: 23% (10/44) compared to 77% (34/44) of NNRTI-resistance substitutions and 20% (9/44) compared to 80% (35/44) of NRTI-resistance substitutions. This difference was also observed for the individual FTC/lamivudine and tenofovir resistance substitutions: 22% (9/41) compared to 78% (32/41) for M184I/V and 0% (0/8) compared to 100% (8/8) for K65R/N. Additionally, NNRTI and/or NRTI-resistance substitutions emerged less frequently in the resistance analysis of the viruses from subjects with baseline CD4+ cell counts ≥ 200 cells/mm3 compared to the viruses from subjects with baseline CD4+ cell counts < 200 cells/mm3: 32% (14/44) compared to 68% (30/44) of NNRTI-resistance substitutions and 27% (12/44) compared to 73% (32/44) of NRTI-resistance substitutions.

Table 15 Proportion of Frequently Emerging Reverse Transcriptase Substitutions in the HIV-1 Virus of Resistance Analysis Adult Subjects
Subjects who qualified for resistance analysis
Who Received RPV or EFV in Combination with FTC/TDF from Pooled Phase 3 TMC278-C209 and TMC278-C215 Trials in the Week 96 Analysis

C209 and C215

N=1096

RPV

+ FTC/TDF

EFV

+ FTC/TDF

N=550

N=546

Subjects who Qualified for Resistance Analysis

14% (77/550)

8% (43/546)

Subjects with Evaluable Postbaseline Resistance Data

70

31

Emergent NNRTI Substitutions

V90, L100, K101, K103, V106, V108, E138, V179, Y181, Y188, V189, G190, H221, P225, F227, and M230

Any

63% (44/70)

55% (17/31)

V90I

14% (10/70)

0

K101E/P/T/Q

19% (13/70)

10% (3/31)

K103N

1% (1/70)

39% (12/31)

E138K/A/Q/G

40% (28/70)

0

     E138K+M184I

This combination of NRTI and NNRTI substitutions is a subset of those with the E138K.

30% (21/70)

0

V179I/D

6% (4/70)

10% (3/31)

Y181C/I/S

13% (9/70)

3% (1/31)

V189I

9% (6/70)

0

H221Y

10% (7/70)

0

Emergent NRTI Substitutions

A62V, K65R/N, D67N/G, K70E, L74I, Y115F, M184V/I, L210F, K219E/R

Any

63% (44/70)

32% (10/31)

M184I/V

59% (41/70)

26% (8/31)

K65R/N

11% (8/70)

6% (2/31)

A62V, D67N/G, K70E, Y115F, or K219E/R

These substitutions emerged in addition to the primary substitutions M184V/I or K65R; A62V (n=2), D67N/G (n=3), K70E (n=4), Y115F (n=2), K219E/R (n=8) in RPV resistance analysis subjects.

20% (14/70)

3% (1/31)

 

In Virologically-Suppressed HIV-1-Infected Adult Subjects

Study 106: Through Week 48, 4 subjects who switched to emtricitabine, rilpivirine and tenofovir disoproxil fumarate tablets (4 of 469 subjects, 0.9%) and 1 subject who maintained their ritonavir-boosted protease inhibitor-based regimen (1 of 159 subjects, 0.6%) developed genotypic and/or phenotypic resistance to a study drug. All 4 of the subjects who had resistance emergence on emtricitabine, rilpivirine and tenofovir disoproxil fumarate tablets had evidence of FTC resistance and 3 of the subjects had evidence of RPV resistance.

Cross Resistance

Rilpivirine, Emtricitabine, and Tenofovir DF:

In Cell Culture

No significant cross-resistance has been demonstrated between RPV-resistant HIV-1 variants and FTC or tenofovir, or between FTC- or tenofovir-resistant variants and RPV.

Rilpivirine:

Site-Directed NNRTI Mutant Virus

Cross-resistance has been observed among NNRTIs. The single NNRTI substitutions K101P, Y181I, and Y181V conferred 52-fold, 15-fold, and 12-fold decreased susceptibility to RPV, respectively. The combination of E138K and M184I showed 6.7-fold reduced susceptibility to RPV compared to 2.8-fold for E138K alone. The K103N substitution did not show reduced susceptibility to RPV by itself. However, the combination of K103N and L100I resulted in a 7-fold reduced susceptibility to RPV. In another study, the Y188L substitution resulted in a reduced susceptibility to RPV of 9-fold for clinical isolates and 6-fold for site-directed mutants. Combinations of 2 or 3 NNRTI resistance-associated substitutions gave decreased susceptibility to RPV (fold change range of 3.7–554) in 38% and 66% of mutants, respectively.

In HIV-1-Infected Adult Subjects with No Antiretroviral Treatment History

Considering all available cell culture and clinical data, any of the following amino acid substitutions, when present at baseline, are likely to decrease the antiviral activity of RPV: K101E, K101P, E138A, E138G, E138K, E138R, E138Q, V179L, Y181C, Y181I, Y181V, Y188L, H221Y, F227C, M230I, M230L, and the combination of L100I+K103N.

Cross-resistance to EFV, etravirine, and/or nevirapine is likely after virologic failure and development of RPV resistance. In a pooled 96-week analysis for adult subjects receiving RPV in combination with FTC/TDF in the Phase 3 clinical trials TMC278-C209 and TMC278-C215, 43 of the 70 (61%) RPV resistance analysis subjects with postbaseline resistance data had virus with decreased susceptibility to RPV (≥2.5-fold change). Of these, 84% (n=36/43) were resistant to EFV (≥3.3-fold change), 88% (n=38/43) were resistant to etravirine (≥ 3.2-fold change), and 60% (n=26/43) were resistant to nevirapine (≥6-fold change). In the EFV arm, 3 of the 15 (20%) EFV resistance analysis subjects had viruses with resistance to etravirine and RPV, and 93% (14/15) had resistance to nevirapine. Virus from subjects experiencing virologic failure on RPV in combination with FTC/TDF developed more NNRTI resistance-associated substitutions conferring more cross-resistance to the NNRTI class and had a higher likelihood of cross-resistance to all NNRTIs in the class than subjects who failed on EFV.

Emtricitabine: FTC-resistant isolates (M184V/I) were cross-resistant to lamivudine but retained susceptibility in cell culture to didanosine, stavudine, tenofovir, zidovudine, and NNRTIs (delavirdine, EFV, nevirapine, and RPV). HIV-1 isolates containing the K65R substitution, selected in vivo by abacavir, didanosine, and tenofovir, demonstrated reduced susceptibility to inhibition by FTC. Viruses harboring substitutions conferring reduced susceptibility to stavudine and zidovudine (M41L, D67N, K70R, L210W, T215Y/F, K219Q/E), or didanosine (L74V), remained sensitive to FTC. HIV-1 containing the substitutions associated with NNRTI resistance K103N or RPV-associated substitutions were susceptible to FTC.

Tenofovir DF: The K65R and K70E substitutions selected by tenofovir are also selected in some HIV-1-infected patients treated with abacavir or didanosine. HIV-1 isolates with the K65R and K70E substitutions also showed reduced susceptibility to FTC and lamivudine. Therefore, cross-resistance among these NRTIs may occur in patients whose virus harbors the K65R substitution. HIV-1 isolates from patients (N=20) whose HIV-1 expressed a mean of 3 zidovudine-associated RT amino acid substitutions (M41L, D67N, K70R, L210W, T215Y/F, or K219Q/E/N) showed a 3.1-fold decrease in the susceptibility to tenofovir.

Subjects whose virus expressed an L74V substitution without zidovudine resistance-associated substitutions (N=8) had reduced response to TDF. Limited data are available for patients whose virus expressed a Y115F substitution (N=3), Q151M substitution (N=2), or T69 insertion (N=4), all of whom had a reduced response.

HIV-1 containing the substitutions associated with NNRTI resistance K103N and Y181C, or RPV-associated substitutions, were susceptible to tenofovir.

8.4 Pediatric Use

The safety and effectivness of emtricitabine, rilpivirine and tenofovir disoproxil fumarate tablets as a complete regimen for the treatment of HIV-1 infection was established in pediatric subjects 12 years of age and older with body weight greater than or equal to 35 kg [see Dosage and Administration (2.2)]. Use of emtricitabine, rilpivirine and tenofovir disoproxil fumarate tablets in this age group weighing at least 35 kg is supported by adequate and well-controlled studies of RPV + FTC + TDF in adults with HIV-1 infection as well as data from pediatric studies of the individual components of emtricitabine, rilpivirine and tenofovir disoproxil fumarate tablets (RPV, FTC, and TDF) [see Clinical Pharmacology (12.3) and Clinical Studies (14.2)].

Emtricitabine, rilpivirine and tenofovir disoproxil fumarate tablets should only be administered to pediatric patients with a body weight greater than or equal to 35 kg. Because emtricitabine, rilpivirine and tenofovir disoproxil fumarate is a fixed-dose combination tablet, the dose of emtricitabine, rilpivirine and tenofovir disoproxil fumarate tablets cannot be adjusted for patients of lower weight. Safety and effectiveness for emtricitabine, rilpivirine and tenofovir disoproxil fumarate tablets have not been established in pediatric patients weighing less than 35 kg [see Adverse Reactions (6.1) and Clinical Pharmacology (12.3)].

8.5 Geriatric Use

Clinical studies of FTC, RPV, or TDF did not include sufficient numbers of subjects aged 65 and over to determine whether they respond differently from younger subjects. In general, dose selection for elderly patients should be cautious, keeping in mind the greater frequency of decreased hepatic, renal, or cardiac function, and of concomitant disease or other drug therapy [see Clinical Pharmacology (12.3)].

5.3 Hepatotoxicity

Hepatic adverse events have been reported in patients receiving an RPV-containing regimen. Patients with underlying hepatitis B or C virus infection, or marked elevations in liver-associated tests prior to treatment, may be at increased risk for worsening or development of liver-associated test elevations with use of emtricitabine, rilpivirine and tenofovir disoproxil fumarate tablets. A few cases of hepatic toxicity have been reported in adult patients receiving an RPV-containing regimen who had no pre-existing hepatic disease or other identifiable risk factors. Appropriate laboratory testing prior to initiating therapy and monitoring for hepatotoxicity during therapy with emtricitabine, rilpivirine and tenofovir disoproxil fumarate tablets is recommended in patients with underlying hepatic disease such as hepatitis B or C, or in patients with marked elevations in liver-associated tests prior to treatment initiation. Liver-associated test monitoring should also be considered for patients without pre-existing hepatic dysfunction or other risk factors.

14.1 Adult Subjects

In HIV-1-Infected Adult Subjects With No Antiretroviral Treatment History

The efficacy of emtricitabine, rilpivirine and tenofovir disoproxil fumarate tablets is based on the analyses of 48-and 96-week data from two randomized, double-blind, controlled studies (Study C209 [ECHO] and TRUVADA® subset of Study C215 [THRIVE]) in treatment-naïve, HIV-1-infected subjects (N=1368). The studies are identical in design with the exception of the background regimen (BR). Subjects were randomized in a 1:1 ratio to receive either RPV 25 mg (N=686) once daily or EFV 600 mg (N=682) once daily in addition to a BR. In Study C209 (N=690), the BR was FTC/TDF. In Study C215 (N=678), the BR consisted of 2 NRTIs: FTC/TDF (60%, n=406), lamivudine/zidovudine (30%, n=204), or abacavir + lamivudine (10%, n=68).

For subjects who received FTC/TDF (N=1096) in studies C209 and C215, the mean age was 37 years (range 18–78), 78% were male, 62% were White, 24% were Black, and 11% were Asian. The mean baseline CD4+ cell count was 265 cells/mm3 (range 1–888) and 31% had CD4+ cell counts <200 cells/mm3. The median baseline plasma HIV-1 RNA was 5 log10 copies/mL (range 2–7). Subjects were stratified by baseline HIV-1 RNA. Fifty percent of subjects had baseline viral load ≤100,000 copies/mL, 39% of subjects had baseline viral load between 100,000 copies/mL to 500,000 copies/mL, and 11% of subjects had baseline viral load >500,000 copies/mL.

Treatment outcomes through 96 weeks for the subset of subjects receiving FTC/TDF in studies C209 and C215 (Table 16) are generally consistent with treatment outcomes for all participating subjects (presented in the prescribing information for Edurant). The incidence of virologic failure was higher in the RPV arm than the EFV arm at Week 96. Virologic failures and discontinuations due to adverse events mostly occurred in the first 48 weeks of treatment.

Table 16 Pooled Virologic Outcome of Randomized Treatment of Studies C209 and C215 at Week 96 in Adult Subjects With No Antiviral Treatment History in Combination with FTC/TDF) at Week 96
Analyses were based on the last observed viral load data within the Week 96 window (Week 90–103).

RPV

+ FTC/TDF

EFV

+ FTC/TDF

N=550

N=546

HIV-1 RNA <50 copies/mL

Predicted difference (95% CI) of response rate is 0.5% (–4.5% to 5.5%) at Week 96.

77%

77%

HIV-1 RNA ≥50 copies/mL

Includes subjects who had ≥50 copies/mL in the Week 96 window, subjects who discontinued early due to lack or loss of efficacy, subjects who discontinued for reasons other than an adverse event, death, or lack or loss of efficacy and at the time of discontinuation had a viral load value of ≥50 copies/mL, and subjects who had a switch in background regimen that was not permitted by the protocol.

14%

8%

No Virologic Data at Week 96 Window

Reasons

Discontinued study due to adverse event or death

Includes subjects who discontinued due to an adverse event or death if this resulted in no on-treatment virologic data in the Week 96 window.

4%

9%

Discontinued study for other reasons

Includes subjects who discontinued for reasons other than an adverse event, death, or lack or loss of efficacy, e.g., withdrew consent, loss to follow-up, etc.
and the last available HIV-1 RNA <50 copies/mL (or missing)

4%

6%

Missing data during window but on study

< 1%

< 1%

HIV-1 RNA <50 copies/mL by Baseline HIV-1 RNA (copies/mL)

≤100,000

83%

80%

>100,000

71%

74%

HIV-1 RNA ≥50 copies/mL

by Baseline HIV-1 RNA (copies/mL)

≤100,000

7%

5%

>100,000

22%

12%

HIV-1 RNA <50 copies/mL by Baseline CD4+ Cell Count (cells/mm3)

<200

68%

72%

≥200

82%

79%

HIV-1 RNA ≥ 50 copies/mL

by Baseline CD4+ Cell Count (cells/mm3)

<200

27%

12%

≥200

8%

7%

 

Based on the pooled data from studies C209 and C215, the mean CD4+ cell count increase from baseline at Week 96 was 226 cells/mm3 for RPV + FTC/TDF-treated subjects and 223 cells/mm3 for EFV + FTC/TDF-treated subjects.

In Virologically Suppressed HIV-1-Infected Adult Subjects

The efficacy and safety of switching from a ritonavir-boosted protease inhibitor in combination with two NRTIs to emtricitabine, rilpivirine and tenofovir disoproxil fumarate tablets was evaluated in Study 106, a randomized, open-label study in virologically suppressed HIV-1-infected adults. Subjects had to be on either their first or second antiretroviral regimen with no history of virologic failure, have no current or past history of resistance to any of the three components of emtricitabine, rilpivirine and tenofovir disoproxil fumarate tablets, and must have been suppressed (HIV-1 RNA <50 copies/mL) for at least 6 months prior to screening. Subjects were randomized in a 2:1 ratio to either switch to emtricitabine, rilpivirine and tenofovir disoproxil fumarate tablets at baseline (emtricitabine, rilpivirine and tenofovir disoproxil fumarate tablets arm, N=317), or stay on their baseline antiretroviral regimen for 24 weeks (SBR arm, N=159) and then switch to emtricitabine, rilpivirine and tenofovir disoproxil fumarate tablets for an additional 24 weeks (N=52). Subjects had a mean age of 42 years (range 19–73), 88% were male, 77% were White, 17% were Black, and 17% were Hispanic/Latino. The mean baseline CD4+ cell count was 584 cells/mm3 (range 42–1484). Randomization was stratified by use of TDF and/or lopinavir/ritonavir in the baseline regimen.

Treatment outcomes are presented in Table 17.

Table 17 Virologic Outcomes of Study GS-US-264-0106 in Virologically Suppressed Subjects

Emtricitabine, Rilpivirine and Tenofovir Disoproxil Fumarate Tablets

Week 48

Week 48 window is between Day 295 and 378 (inclusive).

Stayed on Baseline Regimen

(SBR)

Week 24

For subjects in the SBR arm who maintained their baseline regimen for 24 weeks and then switched to emtricitabine, rilpivirine and tenofovir disoproxil fumarate tablets, the Week 24 window is between Day 127 and first dose day on emtricitabine, rilpivirine and tenofovir disoproxil fumarate tablets.

N=317

N=159

HIV-1 RNA <50 copies/mL

Predicted difference (95% CI) of response rate for switching to emtricitabine, rilpivirine and tenofovir disoproxil fumarate tablets at Week 48 compared to staying on baseline regimen at Week 24 (in absence of Week 48 results from the SBR group by study design) is –0.7% (–6.4% to 5.1%).

89% (283/317)

90% (143/159)

HIV-1 RNA ≥50 copies/mL

Includes subjects who had HIV-1 RNA ≥50 copies/mL in the time window, subjects who discontinued early due to lack or loss of efficacy, and subjects who discontinued for reasons other than an adverse event or death and at the time of discontinuation had a viral load value of ≥50 copies/mL.

3% (8/317)

5% (8/159)

No Virologic Data at Week 24 Window

     Discontinued study drug due to AE or death

Includes subjects who discontinued due to adverse event or death at any time point from Day 1 through the time window if this resulted in no virologic data on treatment during the specified window.

2% (7/317)

0%

     Discontinued study drug due to other reasons and last available HIV-1 RNA <50 copies/mL

Includes subjects who discontinued for reasons other than an adverse event, death, or lack or loss of efficacy, e.g., withdrew consent, loss to follow-up, etc.

5% (16/317)

3% (5/159)

Missing data during window but on study drug

1% (3/317)

2% (3/159)

 

4 Contraindications

Emtricitabine, rilpivirine and tenofovir disoproxil fumarate tablets are contraindicated when coadministered with the following drugs; coadministration may result in loss of virologic response and possible resistance to emtricitabine, rilpivirine and tenofovir disoproxil fumarate tablets or to the class of NNRTIs [see Warnings and Precautions (5.7), Drug Interactions (7), and Clinical Pharmacology (12.3)]:

  • Anticonvulsants: carbamazepine, oxcarbazepine, phenobarbital, phenytoin
  • Antimycobacterials: rifampin, rifapentine
  • Glucocorticoid (systemic): dexamethasone (more than a single-dose)
  • Herbal Products: St John’s wort (Hypericum perforatum)
  • Proton Pump Inhibitors: e.g., dexlansoprazole, esomeprazole, lansoprazole, omeprazole, pantoprazole, rabeprazole
6 Adverse Reactions

The following adverse reactions are discussed in other sections of the labeling:

7 Drug Interactions
  • Emtricitabine, rilpivirine and tenofovir disoproxil fumarate tablets are a complete regimen for the treatment of HIV-1 infection; therefore, coadministration with other antiretroviral medications for treatment of HIV-1 infection is not recommended. (7.1)
  • Consult the Full Prescribing Information prior to and during treatment for important drug interactions. (4, 5.7, 7)
8.6 Renal Impairment

Because emtricitabine, rilpivirine and tenofovir disoproxil fumarate tablets are a fixed-dose combination, and cannot be dose adjusted, they are not recommended in patients with moderate, severe, or end-stage renal impairment (estimated creatinine clearance below 50 mL per minute) or that require dialysis [see Warnings and Precautions (5.5) and Clinical Pharmacology (12.3)].

Bone Mineral Density

In clinical trials in HIV-1-infected adults, TDF, a component of emtricitabine, rilpivirine and tenofovir disoproxil fumarate tablets, was associated with slightly greater decreases in bone mineral density (BMD) and increases in biochemical markers of bone metabolism, suggesting increased bone turnover relative to comparators. Serum parathyroid hormone levels and 1,25 Vitamin D levels were also higher in subjects receiving TDF.

Clinical trials evaluating TDF in pediatric and adolescent subjects were conducted. Under normal circumstances, BMD increases rapidly in pediatric patients. In HIV-1-infected subjects aged 2 years to less than 18 years, bone effects were similar to those observed in adult subjects and suggest increased bone turnover. Total body BMD gain was less in the TDF-treated HIV-1-infected pediatric subjects as compared to the control groups. Similar trends were observed in chronic hepatitis B-infected adolescent subjects aged 12 years to less than 18 years. In all pediatric trials, skeletal growth (height) appeared to be unaffected.

The effects of TDF-associated changes in BMD and biochemical markers on long-term bone health and future fracture risk are unknown. Assessment of BMD should be considered for adult and pediatric patients who have a history of pathologic bone fracture or other risk factors for osteoporosis or bone loss. Although the effect of supplementation with calcium and Vitamin D was not studied, such supplementation may be beneficial for all patients. If bone abnormalities are suspected, then appropriate consultation should be obtained.

12.3 Pharmacokinetics

Emtricitabine, Rilpivirine and Tenofovir Disoproxil Fumarate Tablets: Under fed conditions (total calorie content of the meal was approximately 400 kcal with approximately 13 grams of fat), RPV, FTC, and tenofovir exposures were similar when comparing emtricitabine, rilpivirine and tenofovir disoproxil fumarate tablets to EMTRIVA capsules (200 mg) plus Edurant tablets (25 mg) plus VIREAD tablets (300 mg) following single-dose administration to healthy subjects (N=34).

Single-dose administration of emtricitabine, rilpivirine and tenofovir disoproxil fumarate tablets to healthy subjects under fasted conditions provided approximately 25% higher exposure of RPV compared to administration of EMTRIVA capsules (200 mg) plus Edurant tablets (25 mg) plus VIREAD tablets (300 mg), while exposures of FTC and tenofovir were comparable (N=15).

Absorption, Distribution, Metabolism, and Excretion

The pharmacokinetic properties of the components of emtricitabine, rilpivirine and tenofovir disoproxil fumarate tablets are provided in Table 5. The PK parameters of RPV, FTC, and tenofovir are provided in Table 6.

Table 5 Pharmacokinetic Properties of the Components of Emtricitabine, Rilpivirine and Tenofovir Disoproxil Fumarate Tablets
NC = Not Calculated

RPV

FTC

Tenofovir

Absorption

     Tmax (h)

4-5

1-2

1

     % Fasted oral bioavailability

Median

NC

93

25

Oral bioavailability of tenofovir from VIREAD.

     Effect of a light meal

     (relative to fasting)

Values refer to % change based on calculated geometric mean ratio [fed/fasted] in AUC. Emtricitabine, rilpivirine and tenofovir disoproxil fumarate tablets light meal = 390 kcal, 12 g fat; emtricitabine, rilpivirine and tenofovir disoproxil fumarate tablets standard meal = 540 kcal, 21 g fat. High fat meal not evaluated. Increase = ↑; Decrease = ↓; No Effect = ↔

↑9%

↑28%

     Effect of a standard meal

     (relative to fasting)

↑16%

↑38%

Distribution

     % Bound to human plasma proteins

~99

<4

<0.7

     Source of protein binding data

In vitro

In vitro

In vitro

Metabolism

     Metabolism

CYP3A

Not significantly metabolized

Elimination

     Major route of elimination

Metabolism

Glomerular filtration and active tubular secretion

     CLrenal

Mean±SD
(mL/min)

NC

213±89

243±33

     t1/2 (h)

t1/2 values refer to median terminal plasma half-life.

50

10

17

     % Of dose excreted in urine

Dosing in mass balance studies: FTC (single dose administration of [14C] FTC after multiple dosing of FTC for 10 days); RPV (single dose administration of [14C] RPV); mass balance study not conducted for tenofovir.

6

86

70-80

     % Of dose excreted in feces

85

~14

NC

 

Table 6 Pharmacokinetic Parameters for RPV, FTC, and Tenofovir in HIV-Infected Adults
NA = Not Applicable; SD = Standard Deviation

Parameter

Mean ± SD

RPV

Population PK estimates of RPV 25 mg once daily in antiretroviral treatment-naïve HIV-1-infected adult subjects (pooled data from Phase 3 trials through Week 96; n = 679)

FTC

Multiple-dose oral administration of FTC 200 mg to HIV-1-infected subjects (n = 20)

Tenofovir

Single 300 mg dose of TDF to HIV-1-infected subjects in the fasted state

Cmax (μg/mL)

NA

1.80±0.72

Data presented as steady state values

0.30±0.09

AUCtau (μg•hr/mL)

2.24±0.85

10.0±3.12

2.29±0.69

AUC0-24h

C0h (μg/mL)

0.08±0.04

0.09±0.07

NA

 

Specific Populations

Geriatric Patients

The pharmacokinetics of FTC, RPV, and tenofovir have not been fully evaluated in the elderly (65 years of age and older) [see Use in Specific Populations (8.5)].

Pediatric Patient

Pediatric trials have not been conducted using emtricitabine, rilpivirine and tenofovir disoproxil fumarate tablets. Pediatric information is based on trials conducted with the individual components of emtricitabine, rilpivirine and tenofovir disoproxil fumarate tablets [see Use in Specific Populations (8.4)].

Emtricitabine: The pharmacokinetics of FTC at steady state were determined in 27 HIV-1-infected pediatric subjects 13 to 17 years of age receiving a daily dose of 6 mg/kg up to a maximum dose of 240 mg oral solution or a 200 mg capsule; 26 of 27 subjects in this age group received the 200 mg FTC capsule. Mean (± SD) Cmax and AUC were 2.7 ± 0.9 µg/mL and 12.6 ± 5.4 µg•hr/mL, respectively. Exposures achieved in pediatric subjects 12 to less than 18 years of age were similar to those achieved in adults receiving a once daily dose of 200 mg.

Rilpivirine: The pharmacokinetics of RPV in antiretroviral treatment-naïve HIV-1-infected pediatric subjects 12 to less than 18 years of age receiving RPV 25 mg once daily were comparable to those in treatment-naïve HIV-1-infected adults receiving RPV 25 mg once daily (See Table 7). There was no clinically significant impact of body weight on RPV pharmacokinetics in pediatric subjects in trial C213 (33 to 93 kg).

Table 7 Population Pharmacokinetic Estimates of RPV 25 mg once daily in Antiretroviral Treatment-Naïve HIV-1-Infected Pediatric Subjects aged 12 to less than 18 years (Data from Phase 2 Trial through Week 48)

Parameter

RPV 25 mg once daily

N = 34

AUC24h (ng•h/mL)

     Mean ± Standard Deviation

2424 ± 1024

     Median (Range)

2269 (417−5166)

C0h (ng/mL)

     Mean ± Standard Deviation

85 ± 40

     Median (Range)

79 (7−202)

Tenofovir DF: Steady-state pharmacokinetics of tenofovir were evaluated in 8 HIV-1-infected pediatric subjects (12 to less than 18 years). Mean (± SD) Cmax and AUCtau are 0.38 ± 0.13 µg/mL and 3.39 ± 1.22 µg•hr/mL, respectively. Tenofovir exposure achieved in these pediatric subjects receiving oral daily doses of TDF 300 mg was similar to exposures achieved in adults receiving once-daily doses of TDF 300 mg.

Gender

No clinically relevant pharmacokinetic differences have been observed based on gender for FTC, RPV, and TDF.

Race

Emtricitabine: No pharmacokinetic differences due to race have been identified following the administration of FTC.

Rilpivirine: Population pharmacokinetic analysis of RPV in HIV-1-infected subjects indicated that race had no clinically relevant effect on the exposure to RPV.

Tenofovir DF: There were insufficient numbers from racial and ethnic groups other than Caucasian to adequately determine potential pharmacokinetic differences among these populations following the administration of TDF.

Patients with Renal Impairment

Emtricitabine and Tenofovir DF: The pharmacokinetics of FTC and TDF are altered in subjects with renal impairment. In subjects with creatinine clearance below 50 mL per minute or with end stage renal disease requiring dialysis, Cmax and AUC of FTC and tenofovir were increased [see Warnings and Precautions (5.5) and Use in Specific Populations (8.6)].

Rilpivirine: Population pharmacokinetic analysis indicated that RPV exposure was similar in HIV-1-infected subjects with mild renal impairment relative to HIV-1-infected subjects with normal renal function. There is limited or no information regarding the pharmacokinetics of RPV in patients with moderate or severe renal impairment or in patients with end-stage renal disease, and RPV concentrations may be increased due to alteration of drug absorption, distribution, and metabolism secondary to renal dysfunction [see Use in Specific Populations (8.6)].

Patients with Hepatic Impairment

Emtricitabine: The pharmacokinetics of FTC have not been studied in subjects with hepatic impairment; however, FTC is not significantly metabolized by liver enzymes, so the impact of liver impairment should be limited.

Rilpivirine: RPV is primarily metabolized and eliminated by the liver. In a study comparing 8 subjects with mild hepatic impairment (Child-Pugh score A) to 8 matched controls, and 8 subjects with moderate hepatic impairment (Child-Pugh score B) to 8 matched controls, the multiple dose exposure of RPV was 47% higher in subjects with mild hepatic impairment and 5% higher in subjects with moderate hepatic impairment. RPV has not been studied in subjects with severe hepatic impairment (Child-Pugh score C) [see Use in Specific Populations (8.7)].

Tenofovir DF: The pharmacokinetics of tenofovir following a 300 mg dose of TDF have been studied in non-HIV-infected subjects with moderate to severe hepatic impairment. There were no substantial alterations in tenofovir pharmacokinetics in subjects with hepatic impairment compared with unimpaired subjects.

Hepatitis B and/or Hepatitis C Virus Coinfection

The pharmacokinetics of FTC and TDF have not been fully evaluated in hepatitis B and/or C virus-coinfected patients. Population pharmacokinetic analysis indicated that hepatitis B and/or C virus coinfection had no clinically relevant effect on the exposure to RPV.

Pregnancy and Postpartum

The exposure (C0h and AUC24h) to total RPV after intake of RPV 25 mg once daily as part of an antiretroviral regimen was 30 to 40% lower during pregnancy (similar for the second and third trimester), compared with postpartum (see Table 8). However, the exposure during pregnancy was not significantly different from exposures obtained in Phase 3 trials of RPV-containing regimens. Based on the exposure-response relationship for RPV, this decrease is not considered clinically relevant in patients who are virologically suppressed. The protein binding of RPV was similar (>99%) during the second trimester, third trimester, and postpartum.

Table 8 Pharmacokinetic Results of Total RPV After Administration of RPV 25 mg Once Daily as Part of an Antiretroviral Regimen, During the 2nd Trimester of Pregnancy, the 3rd Trimester of Pregnancy and Postpartum

Pharmacokinetics of total RPV

(mean ± SD, tmax: median [range])

Postpartum

(6-12 Weeks)

(n=11)

2nd Trimester

of pregnancy

(n=15)

3rd Trimester

of pregnancy

(n=13)

C0h, ng/mL

111 ± 69.2

65.0 ± 23.9

63.5 ± 26.2

Cmin, ng/mL

84.0 ± 58.8

54.3 ± 25.8

52.9 ± 24.4

Cmax, ng/mL

167 ± 101

121 ± 45.9

123 ± 47.5

tmax, h

4.00 (2.03−25.08)

4.00 (1.00−9.00)

4.00 (2.00−24.93)

AUC24h, ng•h/mL

2,714 ± 1,535

1,792 ± 711

1,762 ± 662

Drug Interaction Studies

Rilpivirine: RPV is primarily metabolized by cytochrome CYP3A, and drugs that induce or inhibit CYP3A may thus affect the clearance of RPV. Coadministration of emtricitabine, rilpivirine and tenofovir disoproxil fumarate tablets and drugs that induce CYP3A may result in decreased plasma concentrations of RPV and loss of virologic response and possible resistance. Coadministration of emtricitabine, rilpivirine and tenofovir disoproxil fumarate tablets and drugs that inhibit CYP3A may result in increased plasma concentrations of RPV. Coadministration of emtricitabine, rilpivirine and tenofovir disoproxil fumarate tablets with drugs that increase gastric pH may result in decreased plasma concentrations of RPV and loss of virologic response and possible resistance to RPV and to the class of NNRTIs.

RPV at a dose of 25 mg once daily is not likely to have a clinically relevant effect on the exposure of medicinal products metabolized by CYP enzymes.

Emtricitabine and Tenofovir DF: In vitro and clinical pharmacokinetic drug-drug interaction studies have shown that the potential for CYP-mediated interactions involving FTC and tenofovir with other medicinal products is low.

FTC and tenofovir are primarily excreted by the kidneys by a combination of glomerular filtration and active tubular secretion. No drug-drug interactions due to competition for renal excretion have been observed; however, coadministration of FTC and TDF with drugs that are eliminated by active tubular secretion may increase concentrations of FTC, tenofovir, and/or the coadministered drug [see Drug Interactions (7.4, 7.6)].

Drugs that decrease renal function may increase concentrations of FTC and/or tenofovir.

The drug interaction studies described in Tables 9-14 were conducted with emtricitabine, rilpivirine and tenofovir disoproxil fumarate tablets (RPV/FTC/TDF) or the components of emtricitabine, rilpivirine and tenofovir disoproxil fumarate tablets (RPV, FTC, or TDF) administered individually.

The effects of coadministration of other drugs on the AUC, Cmax, and Cmin values of RPV, FTC, and TDF are summarized in Tables 9, 10, and 11, respectively. The effect of coadministration of RPV, FTC, and TDF on the AUC, Cmax, and Cmin values of other drugs are summarized in Tables 12, 13, and 14, respectively. For information regarding clinical recommendations, see Drug Interactions (7) .

Table 9 Drug Interactions: Changes in Pharmacokinetic Parameters for RPV in the Presence of the Coadministered Drugs
NA=not available

Coadministered Drug

Dose of Coadministered Drug (mg)

RPV Dose (mg)

N

N=maximum number of subjects for Cmax, AUC, or Cmin

Mean % Change of RPV Pharmacokinetic Parameters

Increase = ↑; Decrease = ↓; No Effect = ↔

(90% CI)

Cmax

AUC

Cmin

Acetaminophen

500 single dose

150 once daily

The interaction study has been performed with a dose higher than the recommended dose for RPV (25 mg once daily) assessing the maximal effect on the coadministered drug.

16

↑ 9

(↑1 to ↑18)

↑16

(↑10 to ↑22)

↑26

(↑16 to ↑38)

Atorvastatin

40 once daily

150 once daily

16

↓9

(↓21 to ↑6)

↓10

(↓19 to↓1)

↓10

(↓16 to ↓4)

Chlorzoxazone

500 single dose taken 2 hours after RPV

150 once daily

16

↑17

(↑8 to ↑27)

↑25

(↑16 to ↑35)

↑18

(↑9 to ↑28)

Ethinyl Estradiol/ Norethindrone

0.035 once daily/1 once daily

25 once daily

16

Study conducted with emtricitabine, rilpivirine and tenofovir disoproxil fumarate tablets (RPV/FTC/TDF) coadministered with HARVONI (ledipasvir/sofosbuvir).

Famotidine

40 single dose taken 12 hours before RPV

150 single dose

24

↓1

(↓16 to ↑16)

↓9

(↓22 to ↑7)

NA

40 single dose taken 2 hours before RPV

150 single dose

23

↓85

(↓88 to ↓81)

↓76

(↓80 to ↓72)

NA

40 single dose taken 4 hours after RPV

150 single dose

24

↑21

(↑6 to ↑39)

↑13

(↑1 to ↑27)

NA

Ketoconazole

400 once daily

150 once daily

15

↑30

(↑13 to ↑48)

↑49

(↑31 to ↑70)

↑76

(↑57 to ↑97)

Ledipasvir/ Sofosbuvir

90/400 once daily

25 once daily

14

↓3

(↓12 to ↑7)

↑2

(↓6 to ↑11)

↑12

(↑3 to ↑21)

Methadone

60–100 once daily individualized dose

25 once daily

12

Comparison based on historic controls.

Omeprazole

20 once daily

150 once daily

16

↓40

(↓52 to ↓27)

↓40

(↓49 to ↓29)

↓33

(↓42 to ↓22)

Rifabutin

300 once daily

25 once daily

18

↓31

(↓38 to ↓24)

↓42

(↓48 to ↓35)

↓48

(↓54 to ↓41)

300 once daily

50 once daily

18

↑43

(↑30 to ↑56)

Reference arm for comparison was 25 mg q.d. RPV administered alone.

↑16

(↑6 to ↑26)

↓7

(↓15 to ↑1)

Rifampin

600 once daily

150 once daily

16

↓69

(↓73 to ↓64)

↓80

(↓82 to ↓77)

↓89

(↓90 to ↓87)

Simeprevir

25 once daily

150 once daily

23

↑4

(↓5 to ↑13)

↑12

(↑5 to ↑19)

↑25

(↑16 to ↑35)

Sildenafil

50 single dose

75 once daily

16

↓8

(↓15 to ↓1)

↓2

(↓8 to ↑5)

↑4

(↓2 to ↑9)

Sofosbuvir/ Velpatasvir

400/100 once daily

25 once daily

Study conducted with emtricitabine, rilpivirine and tenofovir disoproxil fumarate tablets coadministered with EPCLUSA (sofosbuvir/velpatasvir).

24

↓7

(↓12 to ↓2)

↓5

(↓10 to 0)

↓4

(↓10 to ↑3)

 

 

 

 

 

 

 

Sofosbuvir/ Velpatasvir/ Voxilaprevir

Study conducted with ODEFSEY® (FTC/RPV/tenofovir alafenamide).

400/100/100 + 100 voxilaprevir

Study conducted with additional voxilaprevir 100 mg to achieve voxilaprevir exposures expected in HCV-infected patients.
once daily

25 once daily

30

↓21

(↓26 to ↓16)

↓20

(↓24 to ↓15)

↓18

(↓23 to ↓13)

TDF

300 once daily

150 once daily

16

↓4

(↓19 to ↑13)

↑1

(↓13 to ↑18)

↓1

(↓17 to ↑16)

 

Table 10 Drug Interactions: Changes in Pharmacokinetic Parameters for FTC in the Presence of the Coadministered Drugs
NA=not available

Coadministered Drug

Dose of Coadministered Drug (mg)

FTC Dose (mg)

N

N=maximum number of subjects for Cmax, AUC, or Cmin

Mean % Change of FTC Pharmacokinetic Parameters

Increase = ↑; Decrease = ↓; No Effect = ↔

(90% CI)

Cmax

AUC

Cmin

Famciclovir

500 × 1

200 × 1

12

NA

Ledipasvir/ Sofosbuvir

90/400 once daily

200 once daily

Study conducted with emtricitabine, rilpivirine and tenofovir disoproxil fumarate tablets coadministered with HARVONI.

15

↑2

(↓2 to ↑6)

↑5

(↑2 to ↑8)

↑6

(↓3 to ↑15)

Sofosbuvir/ Velpatasvir

400/100 once daily

200 once daily

Study conducted with emtricitabine, rilpivirine and tenofovir disoproxil fumarate tablets coadministered with EPCLUSA.

24

↓5

(↓10 to 0)

↓1

(↓3 to ↑2)

↑5

(↓1 to ↑11)

Sofosbuvir/ Velpatasvir/ Voxilaprevir

400/100/100 + Voxilaprevir

Study conducted with additional voxilaprevir 100 mg to achieve voxilaprevir exposures expected in HCV-infected patients.
100 once daily

200 once daily

Study conducted with ODEFSEY (FTC/RPV/tenofovir alafenamide).

30

↓12

(↓17 to ↓7)

↓7

(↓10 to ↓4)

↑7

(↑1 to ↑14)

TDF

300 once daily × 7 days

200 once daily × 7 days

17

↑20

(↑12 to ↑29)

  

Table 11 Drug Interactions: Changes in Pharmacokinetic Parameters for Tenofovir in the Presence of the Coadministered Drugs

Coadministered Drug

Dose of Coadministered Drug (mg)

TDF Dose (mg)

Subjects received VIREAD 300 mg daily.

N

N=maximum number of subjects for Cmax, AUC, or Cmin

Mean % Change of Tenofovir Pharmacokinetic Parameters

Increase = ↑; Decrease = ↓; No Effect = ↔

(90% CI)

Cmax

AUC

Cmin

Entecavir

1 once daily × 10 days

300 once daily

Emtricitabine

200 once daily × 7 days

300 once daily × 7 days

17

Ledipasvir/ Sofosbuvir

90/400 once daily × 10 days

300 once daily

Study conducted with emtricitabine, rilpivirine and tenofovir disoproxil fumarate tablets coadministered with HARVONI.

14

↑32

(↑25 to ↑39)

↑40

(↑31 to ↑50)

↑91

(↑74 to ↑110)

Sofosbuvir/ Velpatasvir

400/100 once daily

300 once daily

24

↑44

(↑33 to ↑55)

↑40

(↑34 to ↑46)

↑84

(↑76 to ↑92)

Tacrolimus

0.05 mg/kg twice daily × 7 days

300 once daily

Study conducted with emtricitabine, rilpivirine and tenofovir disoproxil fumarate tablets coadministered with EPCLUSA.

21

↑13

(↑1 to ↑27)

 

Table 12 Drug Interactions: Changes in Pharmacokinetic Parameters for Coadministered Drugs in the Presence of RPV
NA=not available

Coadministered Drug

Dose of Coadministered Drug (mg)

RPV Dose (mg)

N

N=maximum number of subjects for Cmax, AUC, or Cmin

Mean % Change of Coadministered Drug Pharmacokinetic Parameters

Increase = ↑; Decrease = ↓; No Effect = ↔

(90% CI)

Cmax

AUC

Cmin

Acetaminophen

500 single dose

150 once daily

The Interaction study has been performed with a dose higher than the recommended dose for RPV (25 mg once daily).

16

↓3

(↓14 to ↑10)

↓8

(↓15 to ↓1)

NA

Atorvastatin

40 once daily

150 once daily

16

↑35

(↑8 to ↑68)

↑4

(↓3 to ↑12)

↓ 15

(↓ 31 to ↑ 3)

2-hydroxy-atorvastatin

16

↑58

(↑33 to ↑87)

↑39

(↑29 to ↑50)

↑32

(↑10 to ↑58)

4-hydroxy-atorvastatin

16

↑28

(↑15 to ↑43)

↑23

(↑13 to ↑33)

NA

Chlorzoxazone

500 single dose taken 2 hours after RPV

150 once daily

16

↓2

(↓15 to ↑13)

↑3

(↓5 to ↑13)

NA

Digoxin

0.5 single dose

25 once daily

22

↑6

(↓3 to ↑17)

↓2

(↓7 to ↑4)

NA

Ethinyl estradiol

0.035 once daily

25 once daily

17

↑17

(↑6 to ↑30)

↑14

(↑10 to ↑19)

↑9

(↑3 to ↑16)

Norethindrone

1 mg once daily

↓6

(↓17 to ↑6)

↓11

(↓16 to ↓6)

↓1

(↓10 to ↑8)

Ketoconazole

400 once daily

150 once daily

14

↓15

(↓20 to ↓10)

↓24

(↓30 to ↓18)

↓66

(↓75 to ↓54)

Ledipasvir

90 once daily

25 once daily

41

↑1

(↓3 to ↑5)

↑2

(↓3 to ↑6)

↑2

(↓2 to ↑7)

R(-) methadone

60−100 once daily individualized dose

25 once daily

13

↓14

(↓22 to ↓5)

↓16

(↓26 to ↓5)

↓22

(↓33 to ↓9)

S(+) methadone

13

↓13

(↓22 to ↓3)

↓16

(↓26 to ↓4)

↓21

(↓33 to ↓8)

Metformin

850 single dose

25 once daily

20

↑2

(↓5 to ↑10)

↓3

(↓10 to ↑6)

NA

Omeprazole

20 once daily

150 once daily

15

↓14

(↓32 to ↑9)

↓14

(↓24 to ↓3)

NA

Rifampin

600 once daily

150 once dailyc

16

↑2

(↓7 to ↑12)

↓1

(↓8 to ↑7)

NA

25-desacetylrifampin

16

(↓13 to ↑15)

↓9

(↓23 to ↑7)

NA

Simeprevir

150 once daily

25 once daily

21

↑ 10

(↓3 to ↑26)

↑6

(↓6 to ↑19)

↓4

(↓17 to ↑11)

Sildenafil

50 single dose

75 once daily

16

↓7

(↓20 to ↑8)

↓3

(↓13 to ↑8)

NA

N-desmethyl-sildenafil

↓10

(↓20 to ↑2)

↓8

(↓15 to ↓1)

NA

Sofosbuvir

400 once daily

25 once daily

24

↑9

(↓5 to ↑25)

↑16

(↑10 to ↑24)

NA

GS-331007

The predominant circulating nucleoside metabolite of sofosbuvir.

↓4

(↓10 to ↑1)

↑4

(0 to ↑7)

↑ 12

(↑7 to ↑17)

Velpatasvir

100 once daily

25 once daily

24

↓4

(↓15 to ↑10)

↓1

(↓12 to ↑11)

↑2

(↓9 to ↑15)

Sofosbuvir

400 once daily

25 once daily

Study conducted with ODEFSEY.

30

↓5

(↓14 to ↑5)

↑1

(↓3 to ↑6)

NA

GS-331007

↑2

(↓2 to ↑6)

↑4

(↑1 to ↑6)

NA

Velpatasvir

100 once daily

25 once daily

30

↑5

(↓4 to ↑16)

↑1

(↓6 to ↑7)

↑1

(↓5 to ↑9)

Voxilaprevir

100 + 100 once daily

25 once daily

30

↓4

(↓16 to ↑11)

↓6

(↓16 to ↑5)

↑2

(↓8 to ↑12)

TDF

300 once daily

150 once daily

16

↑19

(↑6 to ↑34)

↑23

(↑16 to ↑31)

↑24

(↑10 to ↑38)

 

Table 13 Drug Interactions: Changes in Pharmacokinetic Parameters for Coadministered Drugs in the Presence of FTC
NA=not available

Coadministered Drug

Dose of Coadministered Drug (mg)

FTC Dose (mg)

N

All interaction trials conducted in healthy volunteers

Mean % Change of Coadministered Drug Pharmacokinetic Parameters

No Effect = ↔

(90% CI)

Cmax

AUC

Cmin

Famciclovir

500 × 1

200 × 1

12

NA

TDF

300 once daily × 7 days

200 once daily × 7 days

17

 

No clinically significant drug interactions have been observed between FTC and indinavir, sofosbuvir/velpatasvir, sofosbuvir/velpatasvir/voxilaprevir, stavudine, and zidovudine.

Table 14 Drug Interactions: Changes in Pharmacokinetic Parameters for Coadministered Drugs in the Presence of TDF
NA = not available

Coadministered Drug

Dose of Coadministered Drug (mg)

TDF Dose (mg)

N

All interaction trials conducted in healthy volunteers

Mean % Change of Coadministered Drug Pharmacokinetic Parameters

Increase = ↑; No Effect = ↔

(90% CI)

Cmax

AUC

Cmin

Emtricitabine

200 once daily × 7 days

300 once daily × 7 days

17

↑20

(↑12 to ↑29)

Entecavir

1 once daily × 10 days

300 once daily

28

↑13

(↑11 to ↑15)

Tacrolimus

0.05 mg/kg twice daily × 7 days

300 once daily

21

 

No effect on the pharmacokinetic parameters of the following coadministered drugs was observed with TDF: methadone, oral contraceptives (ethinyl estradiol/norgestimate), or ribavirin.

2.2 Recommended Dosage

Emtricitabine, rilpivirine and tenofovir disoproxil fumarate tablets are a three-drug fixed dose combination product containing 200 mg of emtricitabine (FTC), 25 mg of rilpivirine (RPV), and 300 mg of tenofovir disoproxil fumarate (TDF). The recommended dosage of emtricitabine, rilpivirine and tenofovir disoproxil fumarate tablets in adult and pediatric patients weighing at least 35 kg is one tablet taken orally once daily with food [see Use in Specific Populations (8.4) and Clinical Pharmacology (12.3)].

8.7 Hepatic Impairment

No dose adjustment of emtricitabine, rilpivirine and tenofovir disoproxil fumarate tablets is required in patients with mild (Child-Pugh Class A) or moderate (Child-Pugh Class B) hepatic impairment. Emtricitabine, rilpivirine and tenofovir disoproxil fumarate tablets have not been studied in patients with severe hepatic impairment (Child-Pugh Class C) [see Clinical Pharmacology (12.3)].

Mineralization Defects

Cases of osteomalacia associated with proximal renal tubulopathy, manifested as bone pain or pain in extremities and which may contribute to fractures, have been reported in association with the use of TDF [see Adverse Reactions (6.2)]. Arthralgias and muscle pain or weakness have also been reported in cases of proximal renal tubulopathy. Hypophosphatemia and osteomalacia secondary to proximal renal tubulopathy should be considered in patients at risk of renal dysfunction who present with persistent or worsening bone or muscle symptoms while receiving products containing TDF [See Warnings and Precautions (5.5)].

Patient Package Insert

Emtricitabine, Rilpivirine and Tenofovir Disoproxil Fumarate Tablets

 

(em″ trye sye′ ta been ril″ pi vir′ een ten of′ oh vir dye″ soe prox′ il fue′ ma rate)

Important: Ask your healthcare provider or pharmacist about medicines that should not be taken with emtricitabine, rilpivirine and tenofovir disoproxil fumarate tablets. For more information, see the section “What should I tell my healthcare provider before taking emtricitabine, rilpivirine and tenofovir disoproxil fumarate tablets?”

What is the most important information I should know about emtricitabine, rilpivirine and tenofovir disoproxil fumarate tablets?

 

Emtricitabine, rilpivirine and tenofovir disoproxil fumarate tablets can cause serious side effects, including:

 

Worsening of Hepatitis B virus (HBV) infection. Your healthcare provider will test you for HBV before starting treatment with emtricitabine, rilpivirine and tenofovir disoproxil fumarate tablets. If you have HBV infection and take emtricitabine, rilpivirine and tenofovir disoproxil fumarate tablets, your HBV may get worse (flare-up) if you stop taking emtricitabine, rilpivirine and tenofovir disoproxil fumarate tablets. A “flare-up” is when your HBV infection suddenly returns in a worse way than before.

  • Do not stop taking emtricitabine, rilpivirine and tenofovir disoproxil fumarate tablets without first talking to your healthcare provider.
  • Do not run out of emtricitabine, rilpivirine and tenofovir disoproxil fumarate tablets. Refill your prescription or talk to your healthcare provider before your emtricitabine, rilpivirine and tenofovir disoproxil fumarate tablets are all gone.
  • If you stop taking emtricitabine, rilpivirine and tenofovir disoproxil fumarate tablets, your healthcare provider will need to check your health often and do blood tests regularly for several months to check your HBV infection. Tell your healthcare provider about any new or unusual symptoms you may have after you stop taking emtricitabine, rilpivirine and tenofovir disoproxil fumarate tablets.

For more information about side effects, see the section “What are the possible side effects of emtricitabine, rilpivirine and tenofovir disoproxil fumarate tablets?”.

What are emtricitabine, rilpivirine and tenofovir disoproxil fumarate tablets?

 

Emtricitabine, rilpivirine and tenofovir disoproxil fumarate tablets are a prescription medicine that is used to treat Human Immunodeficiency Virus-1 (HIV-1) in people weighing at least 77 lb (35 kg) who:

  • have never taken HIV-1 medicines before, and who have an amount of HIV-1 in their blood (this is called ‘viral load’) that is no more than 100,000 copies/mL before they start taking emtricitabine, rilpivirine and tenofovir disoproxil fumarate tablets,
  •  
    or
  • in certain people who have a viral load that is less than 50 copies/mL when they start taking emtricitabine, rilpivirine and tenofovir disoproxil fumarate tablets, to replace their current HIV-1 medicines.

HIV-1 is the virus that causes AIDS (Acquired Immune Deficiency Syndrome). Emtricitabine, rilpivirine and tenofovir disoproxil fumarate tablets do not cure HIV-1 or AIDS.

 

Emtricitabine, rilpivirine and tenofovir disoproxil fumarate tablets contain 3 medicines (emtricitabine, rilpivirine, tenofovir disoproxil fumarate) combined in one tablet. Emtricitabine (EMTRIVA®) and tenofovir disoproxil fumarate (VIREAD®) are HIV-1 nucleoside analog reverse transcriptase inhibitors (NRTIs). Rilpivirine (Edurant®) is an HIV-1 non-nucleoside analog reverse transcriptase inhibitor (NNRTI).

 

It is not known if emtricitabine, rilpivirine and tenofovir disoproxil fumarate tablets are safe and effective in children less than 12 years of age or who weigh less than 77 lb (35 kg).

Who should not take emtricitabine, rilpivirine and tenofovir disoproxil fumarate tablets?

 

Do not take emtricitabine, rilpivirine and tenofovir disoproxil fumarate tablets if you also take:

  • anti-seizure medicines:
    • o
      carbamazepine
    • o
      oxcarbazepine
    • o
      phenobarbital
    • o
      phenytoin
  • anti-tuberculosis (anti-TB) medicines:
    • o
      rifampin
    • o
      rifapentine
  • proton pump inhibitor (PPI) medicine for certain stomach or intestinal problems:
    • o
      dexlansoprazole
    • o
      esomeprazole
    • o
      lansoprazole
    • o
      omeprazole
    • o
      pantoprazole sodium
    • o
      rabeprazole
  • more than 1 dose of the steroid medicine dexamethasone or dexamethasone sodium phosphate
  • St. John’s wort (Hypericum perforatum)

What should I tell my healthcare provider before taking emtricitabine, rilpivirine and tenofovir disoproxil fumarate tablets?

 

Before taking emtricitabine, rilpivirine and tenofovir disoproxil fumarate tablets, tell your healthcare provider about all your medical conditions, including if you:

  • have liver problems, including hepatitis B or C virus infection
  • have kidney problems
  • have a history of depression or suicidal thoughts
  • have bone problems
  • are pregnant or plan to become pregnant. It is not known if emtricitabine, rilpivirine and tenofovir disoproxil fumarate tablets can harm your unborn child. Tell your healthcare provider if you become pregnant during treatment with emtricitabine, rilpivirine and tenofovir disoproxil fumarate tablets.

     

    Pregnancy Registry. There is a pregnancy registry for those who take emtricitabine, rilpivirine and tenofovir disoproxil fumarate tablets during pregnancy. The purpose of this registry is to collect information about the health of you and your baby. Talk with your healthcare provider about how you can take part in this registry.
  • are breastfeeding or plan to breastfeed. Do not breastfeed if you are taking emtricitabine, rilpivirine and tenofovir disoproxil fumarate tablets.
    • o
      You should not breastfeed if you have HIV-1 because of the risk of passing HIV-1 to your baby.
    • o
      At least two of the medicines contained in emtricitabine, rilpivirine and tenofovir disoproxil fumarate tablets can be passed to your baby in your breast milk.
    • o
      Talk with your healthcare provider about the best way to feed your baby during treatment with emtricitabine, rilpivirine and tenofovir disoproxil fumarate tablets.

Tell your healthcare provider about all the medicines you take, including prescription and over-the-counter medicines, vitamins, and herbal supplements.

 

Some medicines interact with emtricitabine, rilpivirine and tenofovir disoproxil fumarate tablets. Keep a list of your medicines to show your healthcare provider and pharmacist when you get a new medicine.

  • You can ask your healthcare provider or pharmacist for a list of medicines that can interact with emtricitabine, rilpivirine and tenofovir disoproxil fumarate tablets.
  • Do not start taking a new medicine without telling your healthcare provider. Your healthcare provider can tell you if it is safe to take emtricitabine, rilpivirine and tenofovir disoproxil fumarate tablets with other medicines.

How should I take emtricitabine, rilpivirine and tenofovir disoproxil fumarate tablets?

  • Take emtricitabine, rilpivirine and tenofovir disoproxil fumarate tablets exactly as your healthcare provider tells you to take them.
  • Take emtricitabine, rilpivirine and tenofovir disoproxil fumarate tablets with food. Taking emtricitabine, rilpivirine and tenofovir disoproxil fumarate tablets with food is important to help get the right amount of medicine in your body. A protein drink does not replace food. If your healthcare provider decides to stop emtricitabine, rilpivirine and tenofovir disoproxil fumarate tablets and you are switched to new medicines to treat HIV-1 that include rilpivirine tablets, the rilpivirine tablets should be taken only with a meal.
  • Do not change your dose or stop taking emtricitabine, rilpivirine and tenofovir disoproxil fumarate tablets without first talking with your healthcare provider. Stay under the care of your healthcare provider during treatment with emtricitabine, rilpivirine and tenofovir disoproxil fumarate tablets.
  • If you miss a dose of emtricitabine, rilpivirine and tenofovir disoproxil fumarate tablets within 12 hours of the time you usually take it, take your dose of emtricitabine, rilpivirine and tenofovir disoproxil fumarate tablets with food as soon as possible. Then, take your next dose of emtricitabine, rilpivirine and tenofovir disoproxil fumarate tablets at the regularly scheduled time. If you miss a dose of emtricitabine, rilpivirine and tenofovir disoproxil fumarate tablets by more than 12 hours of the time you usually take it, wait and then take the next dose of emtricitabine, rilpivirine and tenofovir disoproxil fumarate tablets at the regularly scheduled time.
  • Do not take more than your prescribed dose to make up for a missed dose.
  • If you take too many emtricitabine, rilpivirine and tenofovir disoproxil fumarate tablets, contact your local poison control center or go to the nearest hospital emergency room right away.
  • When your emtricitabine, rilpivirine and tenofovir disoproxil fumarate tablets supply starts to run low, get more from your healthcare provider or pharmacy. It is very important not to run out of emtricitabine, rilpivirine and tenofovir disoproxil fumarate tablets. The amount of virus in your blood may increase if the medicine is stopped for even a short time.

What are the possible side effects of emtricitabine, rilpivirine and tenofovir disoproxil fumarate tablets?

 

Emtricitabine, rilpivirine and tenofovir disoproxil fumarate tablets can cause serious side effects, including:

  • See “What is the most important information I should know about emtricitabine, rilpivirine and tenofovir disoproxil fumarate tablets?”
  • Severe skin rash and allergic reactions. Skin rash is a common side effect of emtricitabine, rilpivirine and tenofovir disoproxil fumarate tablets. Rash can be serious. Call your healthcare provider right away if you get a rash. In some cases, rash and allergic reaction may need to be treated in a hospital. If you get a rash with any of the following symptoms, stop taking emtricitabine, rilpivirine and tenofovir disoproxil fumarate tablets and call your healthcare provider or get medical help right away:
  • fever
  • skin blisters
  • mouth sores
  • redness or swelling of the eyes (conjunctivitis)
  • swelling of the face, lips, mouth, tongue or throat
  • trouble breathing or swallowing
  • pain on the right side of the stomach (abdominal) area
  • dark or “tea-colored” urine
  • Severe liver problems. In rare cases, severe liver problems can happen that can lead to death. Tell your healthcare provider right away if you get these symptoms: skin or the white part of your eyes turns yellow, dark “tea-colored” urine, light-colored stools, loss of appetite for several days or longer, nausea, or stomach-area pain.
  • Change in liver enzymes. People with a history of hepatitis B or C virus infection or who have certain liver enzyme changes may have an increased risk of developing new or worsening liver problems during treatment with emtricitabine, rilpivirine and tenofovir disoproxil fumarate tablets. Liver problems can also happen during treatment with emtricitabine, rilpivirine and tenofovir disoproxil fumarate tablets in people without a history of liver disease. Your healthcare provider may need to do tests to check your liver enzymes before and during treatment with emtricitabine, rilpivirine and tenofovir disoproxil fumarate tablets.
  • Depression or mood changes. Tell your healthcare provider right away if you have any of the following symptoms:
    • feel sad or hopeless
    • feel anxious or restless
    • have thoughts of hurting yourself (suicide) or have tried to hurt yourself
  • New or worse kidney problems, including kidney failure, can happen in some people who take emtricitabine, rilpivirine and tenofovir disoproxil fumarate tablets. Your healthcare provider should do blood tests to check your kidneys before starting treatment with emtricitabine, rilpivirine and tenofovir disoproxil fumarate tablets. If you have had kidney problems in the past or need to take another medicine that can cause kidney problems, your healthcare provider may need to do blood tests to check your kidneys during your treatment with emtricitabine, rilpivirine and tenofovir disoproxil fumarate tablets.
  • Bone problems can happen in some people who take emtricitabine, rilpivirine and tenofovir disoproxil fumarate tablets. Bone problems include bone pain, softening, or thinning (which may lead to fractures). Your healthcare provider may need to do additional tests to check your bones.
  • Too much lactic acid in your blood (lactic acidosis). Too much lactic acid is a serious but rare medical emergency that can lead to death. Tell your healthcare provider right away if you get these symptoms: weakness or being more tired than usual, unusual muscle pain, being short of breath or fast breathing, stomach pain with nausea and vomiting, cold or blue hands and feet, feel dizzy or lightheaded, or a fast or abnormal heartbeat.
  • Changes in your immune system (Immune Reconstitution Syndrome) can happen when you start taking HIV-1 medicines. Your immune system may get stronger and begin to fight infections that have been hidden in your body for a long time. Tell your healthcare provider right away if you start having new symptoms after starting your HIV-1 medicine.

 

The most common side effects of rilpivirine, one of the medicines in emtricitabine, rilpivirine and tenofovir disoproxil fumarate tablets, include:

  • depression
  • trouble sleeping
  • headache

The most common side effects of emtricitabine and tenofovir disoproxil fumarate, two of the medicines in emtricitabine, rilpivirine and tenofovir disoproxil fumarate tablets, include:

  • diarrhea
  • nausea
  • tiredness
  • headache
  • dizziness
  • depression
  • trouble sleeping
  • abnormal dreams
  • rash

These are not all the possible side effects of emtricitabine, rilpivirine and tenofovir disoproxil fumarate tablets.

Call your healthcare provider for medical advice about side effects. You may report side effects to FDA at 1-800-FDA-1088.

How should I store emtricitabine, rilpivirine and tenofovir disoproxil fumarate tablets?

  • Store emtricitabine, rilpivirine and tenofovir disoproxil fumarate tablets at room temperature between 20° to 25°C (68° to 77°F).
  • Keep emtricitabine, rilpivirine and tenofovir disoproxil fumarate tablets in their original container and keep the container tightly closed.
  • Do not use emtricitabine, rilpivirine and tenofovir disoproxil fumarate tablets if the seal over the bottle opening is broken or missing.

 

Keep emtricitabine, rilpivirine and tenofovir disoproxil fumarate tablets and all other medicines out of reach of children.

General information about safe and effective use of emtricitabine, rilpivirine and tenofovir disoproxil fumarate tablets

Medicines are sometimes prescribed for purposes other than those listed in a Patient Information leaflet. Do not use emtricitabine, rilpivirine and tenofovir disoproxil fumarate tablets for a condition for which they were not prescribed. Do not give emtricitabine, rilpivirine and tenofovir disoproxil fumarate tablets to other people, even if they have the same symptoms you have. They may harm them. You can ask your healthcare provider or pharmacist for information about emtricitabine, rilpivirine and tenofovir disoproxil fumarate tablets that is written for health professionals.

 

For more information, call Mylan at 1-877-446-3679 (1-877-4-INFO-RX).

What are the ingredients of emtricitabine, rilpivirine and tenofovir disoproxil fumarate tablets?

 

Active ingredients: emtricitabine, rilpivirine hydrochloride, and tenofovir disoproxil fumarate.

Inactive ingredients: corn starch, croscarmellose sodium, hypromellose, lactose monohydrate, magnesium stearate, microcrystalline cellulose, povidone, red iron oxide, talc, titanium dioxide, triacetin and yellow iron oxide.

 

Manufactured for: Mylan Pharmaceuticals Inc., Morgantown, WV 26505 U.S.A.

Manufactured by: Mylan Laboratories Limited, Hyderabad – 500 096, India

This Patient Information has been approved by the U.S. Food and Drug Administration.

The brands listed are trademarks of their respective owners.

Manufactured for:

Mylan Pharmaceuticals Inc.

Morgantown, WV 26505 U.S.A.

Manufactured by:

Mylan Laboratories Limited

Hyderabad — 500 096, India

Code No.: MH/DRUGS/AD/089

Revised: 12/2024

75057890

MXA:EMRITE:R4

1 Indications and Usage

Emtricitabine, rilpivirine and tenofovir disoproxil fumarate tablets are indicated as a complete regimen for the treatment of HIV-1 infection in adults and pediatric patients weighing at least 35 kg:

  • as initial therapy in those with no antiretroviral treatment history with HIV-1 RNA less than or equal to 100,000 copies/mL at the start of therapy or
  • to replace a stable antiretroviral regimen in those who are virologically suppressed (HIV-1 RNA less than 50 copies/mL) on a stable antiretroviral regimen for at least 6 months with no treatment failure and no known substitutions associated with resistance to the individual components of emtricitabine, rilpivirine and tenofovir disoproxil fumarate tablets [see Microbiology (12.4) and Clinical Studies (14)].

Limitations of Use:

  • More rilpivirine-treated subjects with HIV-1 RNA greater than 100,000 copies/mL at the start of therapy experienced virologic failure (HIV-1 RNA ≥ 50 copies/mL) compared to rilpivirine-treated subjects with HIV-1 RNA less than or equal to 100,000 copies/mL [see Clinical Studies (14)].
14.2 Pediatric Subjects

The pharmacokinetics, safety, and efficacy of RPV in combination with other antiretroviral agents was evaluated in a single-arm, open-label Phase 2 trial in antiretroviral treatment-naïve HIV-1-infected pediatric subjects 12 to less than 18 years of age and weighing at least 32 kg (TMC-C213). Thirty-six (36) subjects were enrolled with a median age of 14.5 years (range 12 to 17 years), and were 55.6% female, 88.9% Black, and 11.1% Asian. The majority of subjects (24/36) received RPV in combination with FTC and TDF. Of these 24 subjects, 20 had baseline HIV RNA ≤ 100,000 copies/mL. The baseline characteristics and efficacy outcomes at Week 48 are further described below for the 20 subjects.

The median baseline plasma HIV-1 RNA and CD4+ cell count were 49,550 (range 2060 to 92,600 copies/mL) and 437.5 cells/mm3 (range 123 to 983 cells/mm3), respectively. At Week 48, 80% (16/20) of the subjects had HIV RNA < 50 copies/mL, 15% (3/20) had HIV RNA ≥ 50 copies/mL, and one subject discontinued therapy prior to Week 48 and before reaching virologic suppression (HIV RNA < 50 copies/mL). At Week 48, the mean increase in CD4+ cell count from baseline was 225 cells/mm3.

7.5 Qt Prolonging Drugs

There is limited information available on the potential for a pharmacodynamic interaction between RPV and drugs that prolong the QTc interval of the electrocardiogram. In a study of healthy subjects, 75 mg once daily and 300 mg once daily doses of RPV (3 times and 12 times the dose in emtricitabine, rilpivirine and tenofovir disoproxil fumarate tablets) have been shown to prolong the QTc interval of the electrocardiogram [see Warnings and Precautions (5.7) and Clinical Pharmacology (12.2)]. Consider alternatives to emtricitabine, rilpivirine and tenofovir disoproxil fumarate tablets when coadministered with a drug with a known risk of Torsade de Pointes.

12.1 Mechanism of Action

Emtricitabine, rilpivirine and tenofovir disoproxil fumarate tablets are a fixed-dose combination of the antiretroviral drugs FTC, RPV, and TDF [see Microbiology (12.4)].

5.4 Depressive Disorders

The adverse reaction depressive disorders (depressed mood, depression, dysphoria, major depression, mood altered, negative thoughts, suicide attempt, suicidal ideation) has been reported with RPV. Patients with severe depressive symptoms should seek immediate medical evaluation to assess the possibility that the symptoms are related to emtricitabine, rilpivirine and tenofovir disoproxil fumarate tablets, and if so, to determine whether the risks of continued therapy outweigh the benefits.

During the Phase 3 trials in adults (N=1368) through 96 weeks, the incidence of depressive disorders (regardless of causality, severity) reported among RPV (n=686) or efavirenz (EFV, n=682) was 9% and 8%, respectively. Most events were mild or moderate in severity. The incidence of Grades 3 and 4 depressive disorders (regardless of causality) was 1% for both RPV and EFV. The incidence of discontinuation due to depressive disorders among RPV or EFV was 1% in each arm. Suicidal ideation was reported in 4 subjects in each arm while suicide attempt was reported in 2 subjects in the RPV arm.

During the Phase 2 trial in pediatric subjects 12 to less than 18 years of age (N=36) receiving RPV through 48 weeks, the incidence of depressive disorders (regardless of causality, severity) was 19.4% (7/36). Most events were mild or moderate in severity. The incidence of Grade 3 and 4 depressive disorders (regardless of causality) was 5.6% (2/36). None of the subjects discontinued due to depressive disorders. Suicidal ideation and suicide attempt were reported in 1 subject.

5 Warnings and Precautions
  • Skin and Hypersensitivity Reactions: Severe skin and hypersensitivity reactions have been reported during postmarketing experience, including cases of Drug Reaction with Eosinophilia and Systemic Symptoms (DRESS). Immediately discontinue treatment if hypersensitivity or rash with systemic symptoms or elevations in hepatic serum biochemistries develops and closely monitor clinical status, including hepatic serum biochemistries. (5.2)
  • Hepatotoxicity: Hepatic adverse events have been reported in patients receiving a rilpivirine-containing regimen. Monitor liver-associated tests before and during treatment with emtricitabine, rilpivirine and tenofovir disoproxil fumarate tablets in patients with underlying hepatic disease or marked elevations in liver-associated tests. Also consider monitoring liver-associated tests in patients without risk factors. (5.3)
  • Depressive disorders: Severe depressive disorders have been reported. Immediate medical evaluation is recommended for severe depressive disorders. (5.4)
  • New onset or worsening renal impairment: Can include acute renal failure and Fanconi syndrome. Avoid administering emtricitabine, rilpivirine and tenofovir disoproxil fumarate tablets with concurrent or recent use of nephrotoxic drugs. (5.5)
  • Decreases in bone mineral density (BMD): Consider monitoring BMD in patients with a history of pathologic fracture or other risk factors of osteoporosis or bone loss. (5.6)
  • Concomitant use of emtricitabine, rilpivirine and tenofovir disoproxil fumarate tablets with drugs with a known risk to prolong the QTc interval of the electrocardiogram may increase the risk of Torsade de Pointes. (5.7)
  • Lactic acidosis/severe hepatomegaly with steatosis: Discontinue treatment in patients who develop symptoms or laboratory findings suggestive of lactic acidosis or pronounced hepatotoxicity. (5.8)
  • Immune reconstitution syndrome: May necessitate further evaluation and treatment. (5.9)
2 Dosage and Administration
  • Testing: Prior to or when initiating emtricitabine, rilpivirine and tenofovir disoproxil fumarate tablets, test for hepatitis B virus infection. Prior to initiation and during treatment with emtricitabine, rilpivirine and tenofovir disoproxil fumarate tablets, on a clinically appropriate schedule, assess serum creatinine, estimated creatinine clearance, urine glucose, and urine protein in all patients. In patients with chronic kidney disease, also assess serum phosphorus. (2.1)
  • Recommended dosage in adults and pediatric patients weighing at least 35 kg: One tablet taken orally once daily with food. (2.2)
  • For pregnant patients who are already on emtricitabine, rilpivirine and tenofovir disoproxil fumarate tablets prior to pregnancy and who are virologically suppressed (HIV-1 RNA less than 50 copies per mL), one tablet taken once daily may be continued. Lower exposures of rilpivirine were observed during pregnancy; therefore, viral load should be monitored closely. (2.3)
  • Renal impairment: Not recommended in patients with estimated creatinine clearance below 50 mL per minute. (2.4)
  • Recommended dosage with rifabutin coadministration: an additional 25 mg tablet of rilpivirine (Edurant®) once per day taken concomitantly with emtricitabine, rilpivirine and tenofovir disoproxil fumarate tablets and with a meal for the duration of the rifabutin coadministration. (2.5, 7.6, 12.3)
Pregnancy Exposure Registry

There is a pregnancy exposure registry that monitors pregnancy outcomes in individuals exposed to emtricitabine, rilpivirine and tenofovir disoproxil fumarate tablets during pregnancy. Healthcare providers are encouraged to register patients by calling the Antiretroviral Pregnancy Registry (APR) at 1-800-258-4263.

3 Dosage Forms and Strengths

Emtricitabine, Rilpivirine and Tenofovir Disoproxil Fumarate Tablets are available containing 200 mg of emtricitabine, 27.5 mg of rilpivirine hydrochloride equivalent to 25 mg of rilpivirine, and 300 mg of tenofovir disoproxil fumarate equivalent to 245 mg of tenofovir disoproxil.

  • The 200 mg/25 mg/300 mg tablets are yellow, film-coated, capsule shaped, unscored tablets debossed with M on one side of the tablet and ERT on the other side.
6.2 Postmarketing Experience

The following adverse reactions have been identified during postmarketing experience in patients receiving RPV- or TDF-containing regimens. Because postmarketing reactions are reported voluntarily from a population of uncertain size, it is not always possible to reliably estimate their frequency or establish a causal relationship to drug exposure.

Emtricitabine, Rilpivirine and Tenofovir Disoproxil Fumarate Tablets:

Metabolism and Nutrition Disorders:

weight increased

Skin and Subcutaneous Tissue Disorders

severe skin and hypersensitivity reactions including DRESS (Drug Reaction with Eosinophilia and Systemic Symptoms)

Rilpivirine:

Renal and Urinary Disorders:

nephrotic syndrome

Emtricitabine:

No postmarketing adverse reactions have been identified for inclusion in this section.

Tenofovir DF:

Immune System Disorders

allergic reaction, including angioedema

Metabolism and Nutrition Disorders

lactic acidosis, hypokalemia, hypophosphatemia

Respiratory, Thoracic, and Mediastinal Disorders

dyspnea

Gastrointestinal Disorders

pancreatitis, increased amylase, abdominal pain

Hepatobiliary Disorders

hepatic steatosis, hepatitis, increased liver enzymes (most commonly AST, ALT, gamma GT)

Skin and Subcutaneous Tissue Disorders

rash

Musculoskeletal and Connective Tissue Disorders

rhabdomyolysis, osteomalacia (manifested as bone pain and which may contribute to fractures), muscular weakness, myopathy

Renal and Urinary Disorders

acute renal failure, renal failure, acute tubular necrosis, Fanconi syndrome, proximal renal tubulopathy, interstitial nephritis (including acute cases), nephrogenic diabetes insipidus, renal insufficiency, increased creatinine, proteinuria, polyuria

General Disorders and Administration Site Conditions

asthenia

The following adverse reactions, listed under the body system headings above, may occur as a consequence of proximal renal tubulopathy: rhabdomyolysis, osteomalacia, hypokalemia, muscular weakness, myopathy, hypophosphatemia.

Effects On Electrocardiogram

The effect of RPV at the recommended dose of 25 mg once daily on the QTcF interval was evaluated in a randomized, placebo-, and active- (moxifloxacin 400 mg once daily) controlled crossover study in 60 healthy adults, with 13 measurements over 24 hours at steady state. The maximum mean time-matched (95% upper confidence bound) differences in QTcF interval from placebo after baseline correction was 2.0 (5.0) milliseconds (i.e., below the threshold of clinical concern).

When doses of 75 mg once daily and 300 mg once daily of RPV (3 times and 12 times the dose in emtricitabine, rilpivirine and tenofovir disoproxil fumarate tablets) were studied in healthy adults, the maximum mean time-matched (95% upper confidence bound) differences in QTcF interval from placebo after baseline correction were 10.7 (15.3) and 23.3 (28.4) milliseconds, respectively. Steady-state administration of RPV 75 mg once daily and 300 mg once daily resulted in a mean steady-state Cmax approximately 2.6-fold and 6.7-fold, respectively, higher than the mean Cmax observed with the recommended 25 mg once daily dose of RPV [see Warnings and Precautions (5.7)].

8 Use in Specific Populations
  • Pregnancy: Monitor viral load closely during pregnancy as rilpivirine exposures were generally lower during pregnancy. (2.3, 8.1, 12.3)
  • Lactation: Breastfeeding not recommended due to the potential for HIV-1 transmission. (8.2)
  • Pediatrics: Not recommended for patients weighing less than 35 kg. (8.4)
6.1 Clinical Trials Experience

Because clinical trials are conducted under widely varying conditions, adverse reaction rates observed in the clinical trials of a drug cannot be directly compared to rates in the clinical trials of another drug and may not reflect the rates observed in practice.

7.3 Drugs Increasing Gastric Ph

Coadministration of RPV with drugs that increase gastric pH may decrease plasma concentrations of RPV and loss of virologic response and possible resistance to RPV or to the class of NNRTIs. Use of RPV with proton pump inhibitors is contraindicated and use of RPV with H2-receptor antagonists requires staggered administration [see Contraindications (4) and Clinical Pharmacology (12.3)].

17 Patient Counseling Information

Advise the patient to read the FDA-approved patient labeling (Patient Information).

Posttreatment Acute Exacerbation of Hepatitis B in Patients Coinfected with HIV-1 and HBV

Severe acute exacerbations of hepatitis B have been reported in patients who are coinfected with HBV and HIV-1 and who have discontinued products containing FTC or TDF [see Warnings and Precautions (5.1)]. Advise patients to not discontinue emtricitabine, rilpivirine and tenofovir disoproxil fumarate tablets without first informing their healthcare provider.

Severe Skin Reactions and Hypersensitivity

Advise patients to immediately contact their healthcare provider if they develop a rash. Instruct patients to immediately stop taking emtricitabine, rilpivirine and tenofovir disoproxil fumarate tablets and seek medical attention if they develop a rash associated with any of the following symptoms, as it may be a sign of a more serious reaction such as DRESS severe hypersensitivity: fever, blisters, mucosal involvement, eye inflammation (conjunctivitis), severe allergic reaction causing swelling of the face, eyes, lips, mouth, tongue, or throat which may lead to difficulty swallowing or breathing, and any signs and symptoms of liver problems, as they may be a sign of a more serious reaction. Patients should understand that if severe rash occurs, they will be closely monitored, laboratory tests will be performed and appropriate therapy will be initiated [see Warnings and Precautions (5.2)].

Hepatotoxicity

Inform patients that hepatotoxicity has been reported with emtricitabine, rilpivirine and tenofovir disoproxil fumarate tablets and that monitoring for hepatotoxicity is recommended [see Warnings and Precautions (5.3)].

Depressive Disorders

Inform patients that depressive disorders (depressed mood, depression, dysphoria, major depression, mood altered, negative thoughts, suicide attempt, suicidal ideation) have been reported with emtricitabine, rilpivirine and tenofovir disoproxil fumarate tablets. Advise patients to seek immediate medical evaluation if they experience depressive symptoms [see Warnings and Precautions (5.4)].

New Onset or Worsening Renal Impairment

Inform patients that renal impairment, including cases of acute renal failure and Fanconi syndrome, has been reported in association with the use of TDF. Emtricitabine, rilpivirine and tenofovir disoproxil fumarate tablets should be avoided with concurrent or recent use of a nephrotoxic agent (e.g., high-dose or multiple NSAIDs) [see Warnings and Precautions (5.5)].

Bone Loss and Mineralization Defects

Inform patients that decreases in bone mineral density have been observed with the use of TDF. Assessment of bone mineral density (BMD) should be considered in patients who have a history of pathologic bone fracture or other risk factors for osteoporosis or bone loss [see Warnings and Precautions (5.6)].

Drug Interactions

Emtricitabine, rilpivirine and tenofovir disoproxil fumarate tablets may interact with many drugs and are not recommended to be coadministered with numerous drugs. Advise patients to report to their healthcare provider the use of any other prescription or nonprescription medication or herbal products, including St. John’s wort [see Contraindications (4), Warnings and Precautions (5.7), and Drug Interactions (7)].

For patients receiving rifabutin, an additional 25 mg tablet of RPV (Edurant) once per day is recommended to be taken concomitantly with emtricitabine, rilpivirine and tenofovir disoproxil fumarate tablets and with a meal for the duration of rifabutin coadministration.

Lactic Acidosis and Severe Hepatomegaly

Inform patients that lactic acidosis and severe hepatomegaly with steatosis, including fatal cases, have been reported. Treatment with emtricitabine, rilpivirine and tenofovir disoproxil fumarate tablets should be suspended in any patient who develops clinical symptoms suggestive of lactic acidosis or pronounced hepatotoxicity [see Warnings and Precautions (5.8)].

Immune Reconstitution Syndrome

Inform patients to inform their healthcare provider immediately of any signs and symptoms of inflammation from previous infections, which may occur soon after anti-HIV treatment is started [see Warnings and Precautions (5.9)].

Dosing Instructions

Advise patients that it is important to take emtricitabine, rilpivirine and tenofovir disoproxil fumarate tablets on a regular dosing schedule with food and to avoid missing doses. A protein drink is not a substitute for food. If the healthcare provider decides to stop emtricitabine, rilpivirine and tenofovir disoproxil fumarate tablets and the patient is switched to new medicines to treat HIV that include RPV tablets, the RPV tablets should be taken only with a meal.

Pregnancy Registry

Inform patients that there is an antiretroviral pregnancy registry to monitor fetal outcomes in those exposed to emtricitabine, rilpivirine and tenofovir disoproxil fumarate tablets during pregnancy [see Use in Specific Populations (8.1)].

Lactation

Instruct patients with HIV-1 infection not to breastfeed because HIV-1 can be passed to the baby in breast milk [see Use in Specific Populations (8.2)].

7.6 Significant Drug Interactions

Important drug interaction information for emtricitabine, rilpivirine and tenofovir disoproxil fumarate tablets is summarized in Table 4. The drug interactions described are based on studies conducted with FTC, RPV, or TDF as individual medications or with emtricitabine, rilpivirine and tenofovir disoproxil fumarate tablets as a combination product, or are potential drug interactions [see Clinical Pharmacology (12.3), Tables 9–14]. For list of contraindicated drugs, [see Contraindications (4)].

Table 4 Significant
This table is not all inclusive.
Drug Interactions

Concomitant Drug Class:

Drug Name

Effect on Concentration

Increase = ↑; Decrease = ↓; No Effect = ↔

Clinical Comment

Antacids:

     antacids (e.g., aluminum, magnesium hydroxide, or calcium carbonate)

↔ RPV

(antacids taken at least 2 hours before or at least 4 hours after RPV)

 

↓ RPV

(concomitant intake)

Administer antacids at least 2 hours before or at least 4 hours after emtricitabine, rilpivirine and tenofovir disoproxil fumarate tablets.

Anticonvulsants:

     carbamazepine

     oxcarbazepine

     phenobarbital

     phenytoin

↓ RPV

Coadministration is contraindicated due to potential for loss of virologic response and development of resistance.

Antimycobacterials:

     rifampin

     rifapentine

↓ RPV

Coadministration is contraindicated due to potential for loss of virologic response and development of resistance.

     rifabutin

↓ RPV

The interaction was evaluated in a clinical study. All other drug-drug interactions shown are predicted.

If emtricitabine, rilpivirine and tenofovir disoproxil fumarate tablets are coadministered with rifabutin, an additional 25 mg tablet of RPV (Edurant) once per day is recommended to be taken concomitantly with emtricitabine, rilpivirine and tenofovir disoproxil fumarate tablets and with a meal for the duration of rifabutin coadministration.

Azole Antifungal Agents:

     fluconazole

     itraconazole

     ketoconazole

     posaconazole

     voriconazole

↑ RPV

,
This interaction study has been performed with a dose higher than the recommended dose for RPV assessing the maximal effect on the coadministered drug. The dosing recommendation is applicable to the recommended dose of RPV 25 mg once daily.

↓ ketoconazole

,

No dose adjustment is required when emtricitabine, rilpivirine and tenofovir disoproxil fumarate tablets are coadministered with azole antifungal agents. Clinically monitor for breakthrough fungal infections when azole antifungals are coadministered with emtricitabine, rilpivirine and tenofovir disoproxil fumarate tablets.

Glucocorticoid

(systemic):

     dexamethasone

     (more than a single-dose treatment)

↓ RPV

Coadministration is contraindicated due to potential for loss of virologic response and development of resistance.

Hepatitis C Antiviral Agents:

     ledipasvir/sofosbuvir

     sofosbuvir/velpatasvir

     sofosbuvir/velpatasvir/

     voxilaprevir

↑ tenofovir

Patients receiving emtricitabine, rilpivirine and tenofovir disoproxil fumarate tablets concomitantly with HARVONI® (ledipasvir/sofosbuvir), EPCLUSA® (sofosbuvir/velpatasvir), or VOSEVI® (sofosbuvir/velpatasvir/voxilaprevir) should be monitored for adverse reactions associated with TDF.

H2-Receptor Antagonists:

     cimetidine

     famotidine

     nizatidine

     ranitidine

↔ RPV

,

(famotidine taken 12 hours before RPV or 4 hours after RPV)

 

↓ RPV

,

(famotidine taken 2 hours before RPV)

Administer H2-receptor antagonists at least 12 hours before or at least 4 hours after emtricitabine, rilpivirine and tenofovir disoproxil fumarate tablets.

Herbal Products:

     St John’s wort

     (Hypericum perforatum)

↓ RPV

Coadministration is contraindicated due to potential for loss of virologic response and development of resistance.

Macrolide or Ketolide Antibiotics:

     clarithromycin

     erythromycin

     telithromycin

↑ RPV

↔ clarithromycin

↔ erythromycin

↔ telithromycin

Where possible, alternatives such as azithromycin should be considered.

Narcotic Analgesics:

     methadone

↓ R(−) methadone

↓ S(+) methadone

↔ RPV

↔ methadone

(when used with tenofovir)

No dose adjustments are required when initiating coadministration of methadone with emtricitabine, rilpivirine and tenofovir disoproxil fumarate tablets. However, clinical monitoring is recommended as methadone maintenance therapy may need to be adjusted in some patients.

Proton Pump Inhibitors:

     e.g., dexlansoprazole

     esomeprazole

     lansoprazole

     omeprazole

     pantoprazole

     rabeprazole

↓ RPV

Coadministration is contraindicated due to potential for loss of virologic response and development of resistance.

 

5.9 Immune Reconstitution Syndrome

Immune reconstitution syndrome has been reported in patients treated with combination antiretroviral therapy, including the components of emtricitabine, rilpivirine and tenofovir disoproxil fumarate tablets. During the initial phase of combination antiretroviral treatment, patients whose immune system responds may develop an inflammatory response to indolent or residual opportunistic infections (such as Mycobacterium avium infection, cytomegalovirus, Pneumocystis jirovecii pneumonia [PCP], or tuberculosis), which may necessitate further evaluation and treatment.

Autoimmune disorders (such as Graves’ disease, polymyositis, Guillain-Barré syndrome, and autoimmune hepatitis) have also been reported to occur in the setting of immune reconstitution; however, the time to onset is more variable and can occur many months after initiation of treatment.

7.4 Drugs Affecting Renal Function

Because FTC and tenofovir are primarily eliminated by the kidneys through a combination of glomerular filtration and active tubular secretion, coadministration of emtricitabine, rilpivirine and tenofovir disoproxil fumarate tablets with drugs that reduce renal function or compete for active tubular secretion may increase serum concentrations of FTC, tenofovir, and/or other renally eliminated drugs. Some examples of drugs that are eliminated by active tubular secretion include, but are not limited to, acyclovir, adefovir dipivoxil, cidofovir, ganciclovir, valacyclovir, valganciclovir, aminoglycosides (e.g., gentamicin), and high-dose or multiple NSAIDs [see Warnings and Precautions (5.5)].

16 How Supplied/storage and Handling

Emtricitabine, Rilpivirine and Tenofovir Disoproxil Fumarate Tablets are available containing 200 mg of emtricitabine, 27.5 mg of rilpivirine hydrochloride equivalent to 25 mg of rilpivirine, and 300 mg of tenofovir disoproxil fumarate equivalent to 245 mg of tenofovir disoproxil.

The 200 mg/25 mg/300 mg tablets are yellow, film-coated, capsule shaped, unscored tablets debossed with M on one side of the tablet and ERT on the other side. They are available as follows:

NDC 0378-5440-93

bottles of 30 tablets

NDC 0378-5440-77

bottles of 90 tablets

Store at 20° to 25°C (68° to 77°F). [See USP Controlled Room Temperature.]

Keep container tightly closed.

Dispense only in original container.

2.3 Recommended Dosage During Pregnancy

For pregnant patients who are already on emtricitabine, rilpivirine and tenofovir disoproxil fumarate tablets prior to pregnancy and are virologically suppressed (HIV-1 RNA less than 50 copies per mL), one tablet of emtricitabine, rilpivirine and tenofovir disoproxil fumarate taken once daily may be continued. Lower exposures of rilpivirine, a component of emtricitabine, rilpivirine and tenofovir disoproxil fumarate tablets, were observed during pregnancy, therefore viral load should be monitored closely [see Use in Specific Populations (8.1) and Clinical Pharmacology (12.3)].

5.2 Skin and Hypersensitivity Reactions

Severe skin and hypersensitivity reactions have been reported during the postmarketing experience, including cases of Drug Reaction with Eosinophilia and Systemic Symptoms (DRESS) with RPV-containing regimens. While some skin reactions were accompanied by constitutional symptoms such as fever, other skin reactions were associated with organ dysfunctions, including elevations in hepatic serum biochemistries. During the Phase 3 clinical trials, treatment-related rashes with at least Grade 2 severity were reported in 1% of subjects receiving RPV plus FTC/TDF. Overall, most rashes were Grade 1 or 2 and occurred in the first four to six weeks of therapy [see Adverse Reactions (6.1 and 6.2)].

Discontinue emtricitabine, rilpivirine and tenofovir disoproxil fumarate tablets immediately if signs or symptoms of severe skin or hypersensitivity reactions develop, including but not limited to, severe rash or rash accompanied by fever, blisters, mucosal involvement, conjunctivitis, facial edema, angioedema, hepatitis, or eosinophilia. Clinical status including laboratory parameters should be monitored and appropriate therapy should be initiated.

13.2 Animal Toxicology And/or Pharmacology

Tenofovir DF: Tenofovir and TDF administered in toxicology studies to rats, dogs, and monkeys at exposures (based on AUCs) greater than or equal to 6-fold those observed in humans caused bone toxicity. In monkeys the bone toxicity was diagnosed as osteomalacia. Osteomalacia observed in monkeys appeared to be reversible upon dose reduction or discontinuation of tenofovir. In rats and dogs, the bone toxicity manifested as reduced bone mineral density. The mechanism(s) underlying bone toxicity is unknown.

Evidence of renal toxicity was noted in 4 animal species. Increases in serum creatinine, BUN, glycosuria, proteinuria, phosphaturia, and/or calciuria and decreases in serum phosphate were observed to varying degrees in these animals. These toxicities were noted at exposures (based on AUCs) 2–20 times higher than those observed in humans. The relationship of the renal abnormalities, particularly the phosphaturia, to the bone toxicity is not known.

Laboratory Abnormalities in Adult Subjects

The percentage of subjects treated with RPV + FTC/TDF or EFV + FTC/TDF in studies C209 and C215 with selected laboratory abnormalities (Grades 1–4), representing worst-grade toxicity, is presented in Table 2.

Table 2 Selected Laboratory Abnormalities (Grades 1–4) Reported in Adult Subjects Who Received RPV or EFV in Combination with FTC/TDF in Studies C209 and C215 (Week 96 Analysis)
N=number of subjects per treatment group
ULN=Upper limit of normal value.
Note: Percentages were calculated versus the number of subjects in ITT population with FTC + TDF as background regimen.

Laboratory Parameter Abnormality

DAIDS Toxicity Range

RPV + FTC/TDF

EFV + FTC/TDF

N=550

N=546

BIOCHEMISTRY

Increased Creatinine

     Grade 1

1.1–1.3 × ULN

6%

1%

     Grade 2

>1.3–1.8 × ULN

1%

1%

     Grade 3

>1.8–3.4 × ULN

<1%

0

     Grade 4

>3.4 × ULN

0

<1%

Increased AST

     Grade 1

1.25–2.5 × ULN

16%

19%

     Grade 2

>2.5–5.0 × ULN

4%

7%

     Grade 3

>5.0–10.0 × ULN

2%

3%

     Grade 4

>10.0 × ULN

1%

1%

Increased ALT

     Grade 1

1.25–2.5 × ULN

19%

22%

     Grade 2

>2.5–5.0 × ULN

5%

7%

     Grade 3

>5.0–10.0 × ULN

1%

2%

     Grade 4

>10.0 × ULN

1%

1%

Increased Total Bilirubin

     Grade 1

1.1–1.5 × ULN

6%

<1%

     Grade 2

>1.5–2.5 × ULN

3%

1%

     Grade 3

>2.5–5.0 × ULN

1%

<1%

Increased Total Cholesterol (fasted)

     Grade 1

200–239 mg/dL

14%

31%

     Grade 2

240–300 mg/dL

6%

18%

     Grade 3

>300 mg/dL

< 1%

2%

Increased LDL Cholesterol (fasted)

     Grade 1

130–159 mg/dL

13%

28%

     Grade 2

160–190 mg/dL

5%

13%

     Grade 3

>190 mg/dL

1%

4%

Increased Triglycerides (fasted)

     Grade 2

500–750 mg/dL

1%

2%

     Grade 3

751–1200 mg/dL

1%

2%

     Grade 4

>1200 mg/dL

0

1%

 

Emtricitabine or Tenofovir DF: The following Grade 3 or 4 laboratory abnormalities have been previously reported in subjects treated with FTC or TDF with other antiretroviral agents in other clinical trials: increased pancreatic amylase (>2.0 × ULN), increased serum amylase (>175 U/L), increased lipase (>3.0 × ULN), increased alkaline phosphatase (>550 U/L), increased or decreased serum glucose (<40 or >250 mg/dL), increased glycosuria (≥3+), increased creatine kinase (M: >990 U/L; F: >845 U/L), decreased neutrophils (<750/mm3), and increased hematuria (>75 RBC/HPF).

Adrenal Function: In the pooled Phase 3 trials of C209 and C215, in subjects treated with RPV plus any of the allowed background regimens (N=686), at Week 96 there was an overall mean change from baseline in basal cortisol of -0.69 (-1.12, 0.27) micrograms/dL in the RPV group, and of -0.02 (-0.48, 0.44) micrograms/dL in the EFV group.

In the RPV group, 43/588 (7.3%) of subjects with a normal 250 micrograms ACTH stimulation test at baseline developed an abnormal 250 micrograms ACTH stimulation test (peak cortisol level <18.1 micrograms/dL) during the trial compared to 18/561 (3.2%) in the EFV group. Of the subjects who developed an abnormal 250 micrograms ACTH stimulation test during the trial, 14 subjects in the RPV group and 9 subjects in the EFV group had an abnormal 250 micrograms ACTH stimulation test at Week 96. Overall, there were no serious adverse events, deaths, or treatment discontinuations that could clearly be attributed to adrenal insufficiency. The clinical significance of the higher abnormal rate of 250 micrograms ACTH stimulation tests in the RPV group is not known.

Serum Creatinine: In the pooled Phase 3 trials of C209 and C215 in subjects treated with RPV plus any of the allowed background regimens (N=686), there was a small increase in serum creatinine over 96 weeks of treatment with RPV. Most of this increase occurred within the first 4 weeks of treatment, with a mean change of 0.1 mg/dL (range -0.3 to 0.6 mg/dL) observed through Week 96. In subjects who entered the trial with mild or moderate renal impairment, the serum creatinine increase observed was similar to that seen in subjects with normal renal function. These changes are not considered to be clinically relevant, and no subject discontinued treatment due to increases in serum creatinine. Creatinine increases were comparable by background N(t)RTIs.

Serum Lipids: Changes from baseline in total cholesterol, LDL-cholesterol, and triglycerides are presented in Table 3.

Table 3 Lipid Values Reported in Adult Subjects Receiving RPV or EFV in Combination with FTC/TDF in Studies C209 and C215
Excludes subjects who received lipid lowering agents during the treatment period.
N = number of subjects per treatment group

Pooled Data from the Week 96 Analysis of C209 and C215 Trials

RPV + FTC/TDF

N=550

EFV + FTC/TDF

N=546

N

Baseline

Week 96

N

Baseline

Week 96

Mean

Mean (mg/dL)

Mean (mg/dL)

Mean Change

The change from baseline is the mean of within-patient changes from baseline for patients with both baseline and Week 96 values.
(mg/dL)

Mean (mg/dL)

Mean (mg/dL)

Mean Change

(mg/dL)

Total Cholesterol (fasted)

430

162

164

2

401

160

186

26

HDL-cholesterol (fasted)

429

42

45

4

399

40

50

11

LDL-cholesterol (fasted)

427

97

97

-1

397

96

110

14

Triglycerides (fasted)

430

123

109

-14

401

127

133

6

 

Adult Subjects Coinfected with Hepatitis B and/or Hepatitis C Virus: In adult subjects coinfected with hepatitis B or C virus receiving RPV in studies C209 and C215, the incidence of hepatic enzyme elevation was higher than in subjects receiving RPV who were not coinfected. The same increase was also observed in the EFV arm. The pharmacokinetic exposure of RPV in coinfected subjects was comparable to that in subjects without coinfection.

Adverse Reactions from Clinical Trials Experience in Pediatric Subjects

Emtricitabine: In addition to the adverse reactions reported in adults, anemia and hyperpigmentation were observed in 7% and 32%, respectively, of pediatric subjects (3 months to less than 18 years of age) who received treatment with FTC in the larger of two open-label, uncontrolled pediatric trials (N=116). For additional information, please consult the EMTRIVA® prescribing information.

Rilpivirine: The safety assessment is based on the Week 48 analysis of the single-arm, open-label Phase 2 trial, TMC278-C213, in which 36 antiretroviral treatment-naïve HIV-1-infected subjects 12 to less than 18 years of age and weighing at least 32 kg received RPV (25 mg once daily) in combination with other antiretroviral agents. The median duration of exposure for subjects was 63.5 weeks. No subjects discontinued treatment due to adverse reactions. No new adverse reactions were identified compared to those seen in adults.

Adverse reactions were reported in 19 pediatric subjects (52.8%). Most adverse reactions were Grade 1 or 2. The most common adverse reactions reported in at least 2 subjects (regardless of severity) include headache (19.4%), depression (19.4%), somnolence (13.9%), nausea (11.1%), dizziness (8.3%), abdominal pain (8.3%), vomiting (5.6%), and rash (5.6%).

Observed laboratory abnormalities were comparable to those in adults. For additional information, please consult the Edurant prescribing information.

5.5 New Onset Or Worsening Renal Impairment

Renal impairment, including cases of acute renal failure and Fanconi syndrome (renal tubular injury with severe hypophosphatemia), has been reported with the use of TDF [see Adverse Reactions (6.2)].

Prior to initiation of emtricitabine, rilpivirine and tenofovir disoproxil fumarate tablets, and during treatment with emtricitabine, rilpivirine and tenofovir disoproxil fumarate tablets, on a clinically appropriate schedule, assess serum creatinine, estimated creatinine clearance, urine glucose, and urine protein in all patients. In patients with chronic kidney disease, also assess serum phosphorus.

Emtricitabine, rilpivirine and tenofovir disoproxil fumarate tablets should be avoided with concurrent or recent use of a nephrotoxic agent (e.g., high-dose or multiple nonsteroidal anti-inflammatory drugs [NSAIDs]) [see Drug Interactions (7.4)]. Cases of acute renal failure after initiation of high-dose or multiple NSAIDs have been reported in HIV-infected patients with risk factors for renal dysfunction who appeared stable on TDF. Some patients required hospitalization and renal replacement therapy. Alternatives to NSAIDs should be considered, if needed, in patients at risk for renal dysfunction.

Persistent or worsening bone pain, pain in extremities, fractures, and/or muscular pain or weakness may be manifestations of proximal renal tubulopathy and should prompt an evaluation of renal function in at-risk patients.

Emtricitabine and TDF are principally eliminated by the kidney; however, RPV is not. Since emtricitabine, rilpivirine and tenofovir disoproxil fumarate tablets are a combination product and the dose of the individual components cannot be altered, emtricitabine, rilpivirine and tenofovir disoproxil fumarate tablets are not recommended in patients with estimated creatinine clearance below 50 mL per minute [see Use in Specific Populations (8.6)].

Principal Display Panel 200 Mg/25 Mg/300 Mg

NDC 0378-5440-93

Emtricitabine, Rilpivirine

and Tenofovir Disoproxil

Fumarate

Tablets

200 mg/25 mg/300 mg

Note to pharmacist: Do not cover ALERT

box with pharmacy label.

ALERT: Find out about medicines that should

NOT be taken with Emtricitabine, Rilpivirine

and Tenofovir Disoproxil Fumarate Tablets.

Rx only 30 Tablets

Each film-coated tablet contains 200 mg

of emtricitabine, 27.5 mg of rilpivirine

hydrochloride, which is equivalent to 25 mg

of rilpivirine, and 300 mg of tenofovir

disoproxil fumarate, which is equivalent

to 245 mg of tenofovir disoproxil.

Usual Dosage: See accompanying

prescribing information.

Keep this and all medication out of

the reach of children.

Store at 20° to 25°C (68° to 77°F). [See

USP Controlled Room Temperature.]

Manufactured for:

Mylan Pharmaceuticals Inc.

Morgantown, WV 26505 U.S.A.

Made in India

Mylan.com

RMXA5440H1

Dispense only in original container.

Keep container tightly closed.

Code No.: MH/DRUGS/AD/089

7.2 Drugs Inducing Or Inhibiting Cyp3a Enzymes

Rilpivirine is primarily metabolized by cytochrome P450 (CYP) 3A, and drugs that induce or inhibit CYP3A may thus affect the clearance of RPV [see Contraindications (4), Warnings and Precautions (5.7), and Clinical Pharmacology (12.3)]. Coadministration of RPV and drugs that induce CYP3A may result in decreased plasma concentrations of RPV and loss of virologic response and possible resistance to RPV or to the class of NNRTIs. Coadministration of RPV and drugs that inhibit CYP3A may result in increased plasma concentrations of RPV.

2.5 Recommended Dosage With Rifabutin Coadministration

If emtricitabine, rilpivirine and tenofovir disoproxil fumarate tablets are coadministered with rifabutin, take an additional 25 mg tablet of rilpivirine (Edurant®) with emtricitabine, rilpivirine and tenofovir disoproxil fumarate tablets once daily with a meal for the duration of the rifabutin coadministration [see Drug Interactions (7.6) and Clinical Pharmacology (12.3)].

5.8 Lactic Acidosis/severe Hepatomegaly With Steatosis

Lactic acidosis and severe hepatomegaly with steatosis, including fatal cases, have been reported with the use of nucleoside analogs, including TDF and FTC, components of emtricitabine, rilpivirine and tenofovir disoproxil fumarate tablets, alone or in combination with other antiretrovirals. Treatment with emtricitabine, rilpivirine and tenofovir disoproxil fumarate tablets should be suspended in any patient who develops clinical or laboratory findings suggestive of lactic acidosis or pronounced hepatotoxicity (which may include hepatomegaly and steatosis even in the absence of marked transaminase elevations).

Warning: Posttreatment Acute Exacerbation of Hepatitis B

Severe acute exacerbations of hepatitis B virus (HBV) have been reported in patients who are coinfected with HBV and HIV-1 and have discontinued products containing emtricitabine (FTC) and/or tenofovir disoproxil fumarate (TDF), two of the components of emtricitabine, rilpivirine and tenofovir disoproxil fumarate tablets.

 

Closely monitor hepatic function with both clinical and laboratory follow-up for at least several months in patients who are coinfected with HIV-1 and HBV and discontinue emtricitabine, rilpivirine and tenofovir disoproxil fumarate tablets. If appropriate, initiation of anti-hepatitis B therapy may be warranted [see Warnings and Precautions (5.1)].

13.1 Carcinogenesis, Mutagenesis, Impairment of Fertility

Emtricitabine: In long-term carcinogenicity studies of FTC, no drug-related increases in tumor incidence were found in mice at doses up to 750 mg per kg per day (26 times the human systemic exposure at the therapeutic dose of 200 mg per day) or in rats at doses up to 600 mg per kg per day (31 times the human systemic exposure at the therapeutic dose).

FTC was not genotoxic in the reverse mutation bacterial test (Ames test), or the mouse lymphoma or mouse micronucleus assays.

FTC did not affect fertility in male rats at approximately 140-fold or in male and female mice at approximately 60-fold higher exposures (AUC) than in humans given the recommended 200 mg daily dose. Fertility was normal in the offspring of mice exposed daily from before birth (in utero) through sexual maturity at daily exposures (AUC) of approximately 60-fold higher than human exposures at the recommended 200 mg daily dose.

Rilpivirine: RPV was evaluated for carcinogenic potential by oral gavage administration to mice and rats up to 104 weeks. Daily doses of 20, 60, and 160 mg per kg per day were administered to mice and doses of 40, 200, 500, and 1500 mg per kg per day were administered to rats. In rats, there were no drug-related neoplasms. In mice, RPV was positive for hepatocellular neoplasms in both males and females. The observed hepatocellular findings in mice may be rodent-specific. At the lowest tested doses in the carcinogenicity studies, the systemic exposures (based on AUC) to RPV were 21-fold (mice) and 3-fold (rats), relative to those observed in humans at the recommended dose (25 mg once daily).

RPV has tested negative in the absence and presence of a metabolic activation system, in the in vitro Ames reverse mutation assay and in vitro clastogenicity mouse lymphoma assay. RPV did not induce chromosomal damage in the in vivo micronucleus test in mice.

In a study conducted in rats, there were no effects on mating or fertility with RPV up to 400 mg per kg per day, a dose of RPV that showed maternal toxicity. This dose is associated with an exposure that is approximately 40 times higher than the exposure in humans at the recommended dose of 25 mg once daily.

Tenofovir DF: Long-term oral carcinogenicity studies of TDF in mice and rats were carried out at exposures up to approximately 16 times (mice) and 5 times (rats) those observed in humans at the therapeutic dose for HIV-1 infection. At the high dose in female mice, liver adenomas were increased at exposures 16 times that in humans. In rats, the study was negative for carcinogenic findings at exposures up to 5 times that observed in humans at the therapeutic dose.

Tenofovir DF was mutagenic in the in vitro mouse lymphoma assay and negative in an in vitro bacterial mutagenicity test (Ames test). In an in vivo mouse micronucleus assay, TDF was negative when administered to male mice.

There were no effects on fertility, mating performance, or early embryonic development when TDF was administered to male rats at a dose equivalent to 10 times the human dose based on body surface area comparisons for 28 days prior to mating and to female rats for 15 days prior to mating through day 7 of gestation. There was, however, an alteration of the estrous cycle in female rats.

7.1 Not Recommended With Other Antiretroviral Medications

Because emtricitabine, rilpivirine and tenofovir disoproxil fumarate tablets are a complete regimen, coadministration with other antiretroviral medications for the treatment of HIV-1 infection is not recommended. Comprehensive information regarding potential drug-drug interactions with other antiretroviral medications is not provided.

This section describes clinically relevant drug interactions with emtricitabine, rilpivirine and tenofovir disoproxil fumarate tablets. Drug interaction studies were conducted with the components of emtricitabine, rilpivirine and tenofovir disoproxil fumarate tablets (FTC, RPV, and TDF as single agents) or with emtricitabine, rilpivirine and tenofovir disoproxil fumarate tablets as a combination product [see Dosage and Administration (2), Contraindications (4), and Clinical Pharmacology (12.3)].

In Virologically Suppressed Hiv 1 Infected Adult Subjects

No new adverse reactions to emtricitabine, rilpivirine and tenofovir disoproxil fumarate tablets were identified in stable, virologically suppressed subjects switching to emtricitabine, rilpivirine and tenofovir disoproxil fumarate tablets from a regimen containing a ritonavir-boosted protease inhibitor; however, the frequency of adverse reactions increased by 20% (Study 106) after switching to emtricitabine, rilpivirine and tenofovir disoproxil fumarate tablets.

Emtricitabine and Tenofovir DF: The most common adverse reactions that occurred in at least 10% of HIV-1-infected treatment-naïve adult subjects in a Phase 3 clinical trial of FTC and TDF in combination with another antiretroviral agent were diarrhea, nausea, fatigue, headache, dizziness, depression, insomnia, abnormal dreams, and rash. Adverse reactions that occurred in at least 5% of treatment-experienced or treatment-naïve subjects receiving FTC or TDF with other antiretroviral agents in clinical trials included abdominal pain, dyspepsia, vomiting, fever, pain, nasopharyngitis, pneumonia, sinusitis, upper respiratory tract infection, arthralgia, back pain, myalgia, paresthesia, peripheral neuropathy (including peripheral neuritis and neuropathy), anxiety, increased cough, and rhinitis.

Skin discoloration has been reported with higher frequency among FTC-treated subjects; it was manifested by hyperpigmentation on the palms and/or soles and was generally mild and asymptomatic. The mechanism and clinical significance are unknown.

2.4 Not Recommended in Patients With Moderate Or Severe Renal Impairment

Emtricitabine, rilpivirine and tenofovir disoproxil fumarate tablets are not recommended in patients with moderate or severe renal impairment (estimated creatinine clearance below 50 mL per minute) [see Warnings and Precautions (5.5) and Use in Specific Populations (8.6)].

In Hiv 1 Infected Adult Subjects With No Antiretroviral Treatment History

Studies C209 and C215

The safety assessment of RPV, used in combination with other antiretroviral drugs, is based on the Week 96 pooled data from 1368 subjects in the Phase 3 trials TMC278-C209 (ECHO) and TMC278-C215 (THRIVE) in antiretroviral treatment-naïve HIV-1-infected adult subjects. A total of 686 subjects received RPV in combination with other antiretroviral drugs as background regimen; most (N=550) received FTC/TDF as background regimen. The number of subjects randomized to the control arm EFV was 682, of which 546 received FTC/TDF as background regimen [see Clinical Studies (14)]. The median duration of exposure for subjects in either treatment arm was 104 weeks.

Adverse reactions observed at Week 96 in subjects who received RPV or EFV + FTC/TDF as background regimen are shown in Table 1. No new types of adverse reactions were identified between Week 48 and Week 96. The adverse reactions observed in this subset of subjects were generally consistent with those seen for the overall patient population participating in these studies (refer to the prescribing information for Edurant).

The proportion of subjects who discontinued treatment with RPV or EFV + FTC/TDF due to adverse reactions, regardless of severity, was 2% and 5%, respectively. The most common adverse reactions leading to discontinuation were psychiatric disorders: 9 (1.6%) subjects in the RPV + FTC/TDF arm and 12 (2.2%) subjects in the EFV + FTC/TDF arm. Rash led to discontinuation in 1 (0.2%) subject in the RPV + FTC/TDF arm and 10 (1.8%) subjects in the EFV + FTC/TDF arm.

Common Adverse Reactions: Clinical adverse reactions to RPV or EFV of at least moderate intensity (≥ Grade 2) reported in at least 2% of adult subjects are shown in Table 1.

Table 1 Selected Adverse Reactions
Frequencies of adverse reactions are based on all Grades 2–4 treatment-emergent adverse events assessed to be related to study drug.
(Grades 2–4) Reported in ≥ 2% of Adult Subjects Receiving RPV or EFV in Combination with FTC/TDF in Studies C209 and C215 (Week 96 Analysis)

Preferred Term

RPV

+ FTC/TDF

EFV

+ FTC/TDF

N=550

N=546

Depressive disorders

Includes adverse reactions reported as depressed mood, depression, dysphoria, major depression, mood altered, negative thoughts, suicide attempt, suicide ideation.

2%

2%

Headache

2%

2%

Insomnia

2%

2%

Abnormal dreams

1%

3%

Dizziness

1%

7%

Nausea

1%

2%

Rash

1%

5%

 

Rilpivirine: Adverse reactions of at least moderate intensity (≥Grade 2) that occurred in less than 2% of subjects treated with RPV plus any of the allowed background regimens (N=686) in clinical studies C209 and C215 include (grouped by Body System): vomiting, diarrhea, abdominal discomfort, abdominal pain, fatigue, cholecystitis, cholelithiasis, decreased appetite, somnolence, sleep disorders, anxiety, glomerulonephritis membranous, glomerulonephritis mesangioproliferative, and nephrolithiasis.

5.7 Risk of Adverse Reactions Or Loss of Virologic Response Due to Drug Interactions

The concomitant use of emtricitabine, rilpivirine and tenofovir disoproxil fumarate tablets and other drugs may result in potentially significant drug interactions, some of which may lead to [see Dosage and Administration (2.5), Contraindications (4), and Drug Interactions (7)]:

  • Loss of therapeutic effect of emtricitabine, rilpivirine and tenofovir disoproxil fumarate tablets and possible development of resistance due to reduced exposure to RPV.
  • Possible clinically significant adverse reaction from greater exposures of components of emtricitabine, rilpivirine and tenofovir disoproxil fumarate tablets.

In healthy subjects, 75 mg once daily and 300 mg once daily doses of RPV (3 times and 12 times the dose in emtricitabine, rilpivirine and tenofovir disoproxil fumarate tablets) have been shown to prolong the QTc interval of the electrocardiogram. Consider alternatives to emtricitabine, rilpivirine and tenofovir disoproxil fumarate tablets when coadministered with a drug that is known to have a risk of Torsade de Pointes [see Drug Interactions (7) and Clinical Pharmacology (12.2)].

See Table 4 for steps to prevent or manage these possible and known significant drug interactions, including dosing recommendations. Consider the potential for drug interactions prior to and during emtricitabine, rilpivirine and tenofovir disoproxil fumarate tablet therapy and review concomitant medications during emtricitabine, rilpivirine and tenofovir disoproxil fumarate tablet therapy.

5.1 Severe Acute Exacerbation of Hepatitis B in Patients Coinfected With Hiv 1 and Hbv

Test all patients with HIV-1 for the presence of chronic hepatitis B virus (HBV) before or when initiating antiretroviral therapy [see Dosage and Administration (2.1)].

Severe acute exacerbations of hepatitis B (e.g., liver decompensation and liver failure) have been reported in patients who are coinfected with HBV and HIV-1 and have discontinued products containing FTC and/or TDF, two of the components of emtricitabine, rilpivirine and tenofovir disoproxil fumarate tablets. Patients coinfected with HIV-1 and HBV who discontinue emtricitabine, rilpivirine and tenofovir disoproxil fumarate tablets should be closely monitored with both clinical and laboratory follow-up for at least several months after stopping treatment with emtricitabine, rilpivirine and tenofovir disoproxil fumarate tablets. If appropriate, initiation of anti-hepatitis B therapy may be warranted, especially in patients with advanced liver disease or cirrhosis, since posttreatment exacerbation of hepatitis may lead to hepatic decompensation and liver failure.

7.7 Drugs With No Observed Interactions With Emtricitabine, Rilpivirine and Tenofovir Disoproxil Fumarate Tablets

No clinically significant drug interactions have been observed between FTC and the following medications: famciclovir, ledipasvir/sofosbuvir, sofosbuvir/velpatasvir, sofosbuvir/velpatasvir/voxilaprevir, or TDF.

No clinically significant drug interactions have been observed between TDF and the following medications: entecavir, methadone, oral contraceptives, ribavirin, sofosbuvir, or tacrolimus in studies conducted in healthy subjects.

No clinically significant drug interactions have been observed between RPV and the following medications: acetaminophen, atorvastatin, chlorzoxazone, ethinyl estradiol, ledipasvir/sofosbuvir, norethindrone, sildenafil, simeprevir, sofosbuvir, sofosbuvir/velpatasvir, sofosbuvir/velpatasvir/voxilaprevir, or TDF. RPV did not have a clinically significant effect on the pharmacokinetics of digoxin or metformin.

2.1 Testing Prior to Initiation and During Treatment With Emtricitabine, Rilpivirine and Tenofovir Disoproxil Fumarate Tablets

Prior to or when initiating emtricitabine, rilpivirine and tenofovir disoproxil fumarate tablets, test patients for hepatitis B virus infection [see Warnings and Precautions (5.1)].

Prior to initiation of emtricitabine, rilpivirine and tenofovir disoproxil fumarate tablets, and during treatment with emtricitabine, rilpivirine and tenofovir disoproxil fumarate tablets, on a clinically appropriate schedule, assess serum creatinine, estimated creatinine clearance, urine glucose and urine protein in all patients. In patients with chronic kidney disease, also assess serum phosphorus [see Warnings and Precautions (5.5)].


Structured Label Content

Data

Rilpivirine: In animals, no studies have been conducted to assess the excretion of RPV directly; however RPV was measured in rat pups which were exposed through the milk of treated dams (dosed up to 400 mg/kg/day).

Human Data

Prospective reports from the APR of overall major birth defects in pregnancies exposed to drug components of emtricitabine, rilpivirine and tenofovir disoproxil fumarate tablets are compared with a U.S. background major birth defect rate. Methodological limitations of the APR include the use of MACDP as the external comparator group. Limitations of using an external comparator include differences in methodology and populations, as well as confounding due to the underlying disease.

Emtricitabine: Based on prospective reports to the APR of exposures to FTC-containing regimens during pregnancy resulting in live births (including over 2,750 exposed in the first trimester and over 1,200 exposed in the second/third trimester), there was no increase in overall major birth defects with FTC compared with the background birth defect rate of 2.7% in the U.S. reference population of the MACDP. The prevalence of major birth defects in live births was 2.4% (95% CI: 1.9% to 3.1%) with first trimester exposure to FTC-containing regimens and 2.3% (95% CI: 1.5% to 3.3%) with the second/third trimester exposure to FTC-containing regimens.

Rilpivirine: RPV in combination with a background regimen was evaluated in a clinical trial of 19 HIV-1 infected pregnant subjects on an RPV-based regimen during the second and third trimesters and postpartum. Each of the subjects were on an RPV-based regimen at the time of enrollment. Twelve subjects completed the trial through the postpartum period (6-12 weeks after delivery) and pregnancy outcomes are missing for six subjects. The exposure (C0h and AUC) of total RPV was approximately 30 to 40% lower during pregnancy compared with postpartum (6 to 12 weeks). The protein binding of RPV was similar (>99%) during second trimester, third trimester, and postpartum period [see Clinical Pharmacology (12.3)]. One subject discontinued the trial following fetal death at 25 weeks gestation due to suspected premature rupture of membranes. Among the 12 subjects who were virologically suppressed at baseline (less than 50 copies/mL), virologic response was preserved in 10 subjects (83.3%) through the third trimester visit and in 9 subjects (75%) through the 6-12 week postpartum visit. Virologic outcomes during the third trimester visit were missing for two subjects who were withdrawn (one subject was nonadherent to the study drug and one subject withdrew consent). Among the 10 infants with available HIV test results, all were negative for HIV-1 at the time of delivery and up to 16 weeks postpartum (all 10 infants received prophylactic treatment with zidovudine). RPV was well tolerated during pregnancy and postpartum. There were no new safety findings compared with the known safety profile of RPV in HIV-1-infected adults.

Based on prospective reports to the APR of exposures to RPV-containing regimens during pregnancy (including over 290 exposed during first trimester and over 160 exposed in the second/third trimester), there was no significant increase in overall risk of major birth defects with RPV compared to the background birth defect rate of 2.7% in the U.S. reference population of the MACDP. The prevalence of major birth defects in live births was 1.0% (95% CI: 0.2% to 2.9%) and 1.2% (95% CI: 0.2% to 4.4%) following first and second/third trimester exposure, respectively, to RPV-containing regimens.

Tenofovir DF: Based on prospective reports to the APR of exposures to TDF-containing regimens during pregnancy resulting in live births (including over 3,500 exposed in the first trimester and over 1,500 exposed in the second/third trimester), there was no increase in overall risk of major birth defects compared with the background birth defect rate of 2.7% in the U.S. reference population of the MACDP. The prevalence of major birth defects in live births was 2.3% (95% CI: 1.8% to 2.9%) with first trimester exposure to TDF-containing regimens, and 2.2% (95% CI: 1.6% to 3.1%) with the second/third trimester exposure to TDF-containing regimens.

Animal Data

Emtricitabine: FTC was administered orally to pregnant mice (at 0, 250, 500, or 1,000 mg/kg/day), and rabbits (at 0, 100, 300, or 1,000 mg/kg/day) through organogenesis (on gestation days 6 through 15, and 7 through 19, respectively). No significant toxicological effects were observed in embryo-fetal toxicity studies performed with FTC in mice at exposures (AUC) approximately 60 times higher and in rabbits at approximately 120 times higher than human exposures at the recommended daily dose. In a pre/postnatal development study in mice, FTC was administered orally at doses up to 1,000 mg/kg/day; no significant adverse effects directly related to drug were observed in the offspring exposed daily from before birth (in utero) through sexual maturity at daily exposures (AUC) of approximately 60 times higher than human exposures at the recommended daily dose.

Rilpivirine: RPV was administered orally to pregnant rats (40, 120, or 400 mg/kg/day) and rabbits (5, 10, or 20 mg/kg/day) through organogenesis (on gestation days 6 through 17, and 6 through 19, respectively). No significant toxicological effects were observed in embryo-fetal toxicity studies performed with RPV in rats and rabbits at exposures 15 (rats) and 70 (rabbits) times higher than the exposure in humans at the recommended dose of 25 mg once daily. In a pre/postnatal development study with RPV, where rats were administered up to 400 mg/kg/day through lactation, no significant adverse effects directly related to drug were noted in the offspring.

Tenofovir DF: TDF was administered orally to pregnant rats (at 0, 50, 150, or 450 mg/kg/day) and rabbits (at 0, 30, 100, or 300 mg/kg/day) through organogenesis (on gestation days 7 through 17, and 6 through 18, respectively). No significant toxicological effects were observed in embryo-fetal toxicity studies performed with TDF in rats at doses up to 14 times the human dose based on body surface area comparisons and in rabbits at doses up to 19 times the human dose based on body surface area comparisons. In a pre/postnatal development study in rats, TDF was administered orally through lactation at doses up to 600 mg/kg/day; no adverse effects were observed in the offspring at tenofovir exposures of approximately 2.7 times higher than human exposures at the recommended daily dose of emtricitabine, rilpivirine and tenofovir disoproxil fumarate tablets.

Risk Summary

Available data from the APR show no increase in the overall risk of major birth defects with first trimester exposure for emtricitabine (FTC), rilpivirine (RPV), or tenofovir (TDF) compared with the background rate for major birth defects of 2.7% in a U.S. reference population of the Metropolitan Atlanta Congenital Defects Program (MACDP) (see Data). In a clinical trial, total rilpivirine exposures were generally lower during pregnancy compared to the postpartum period [see Clinical Pharmacology (12.3)]. The rate of miscarriage for individual drugs is not reported in the APR. The estimated background rate of miscarriage in clinically recognized pregnancies in the U.S. general population is 15-20%.

Based on the experience of HIV-1-infected pregnant individuals who completed a clinical trial through the postpartum period with an RPV-based regimen, no dose adjustments are required for pregnant patients who are already on a stable RPV-containing regimen prior to pregnancy and who are virologically suppressed (HIV-1 RNA less than 50 copies per mL). Lower exposures of RPV were observed during pregnancy, therefore viral load should be monitored closely [see Data and Clinical Pharmacology (12.3)].

In animal studies, no adverse developmental effects were observed when the components of emtricitabine, rilpivirine and tenofovir disoproxil fumarate tablets were administered separately during the period of organogenesis at exposures up to 60 and 120 times (mice and rabbits, respectively, FTC) and 15 and 70 times (rats and rabbits, respectively; RPV) the exposure of these components in emtricitabine, rilpivirine and tenofovir disoproxil fumarate tablets and at 14 and 19 times (rats and rabbits, respectively) the human dose of TDF based on body surface area comparisons (see Data). Likewise, no adverse developmental effects were seen when FTC was administered to mice and RPV was administered to rats through lactation at exposures up to approximately 60 and 63 times, respectively, the exposure at the recommended daily dose of these components in emtricitabine, rilpivirine and tenofovir disoproxil fumarate tablets. No adverse effects were observed in the offspring of rats when TDF was administered through lactation at tenofovir exposures of approximately 14 times the exposure at the recommended daily dosage of emtricitabine, rilpivirine and tenofovir disoproxil fumarate tablets.

10 Overdosage (10 OVERDOSAGE)

If overdose occurs the patient must be monitored for evidence of toxicity. Treatment of overdose with emtricitabine, rilpivirine and tenofovir disoproxil fumarate tablets consists of general supportive measures, including monitoring of vital signs and ECG (QT interval) as well as observation of the clinical status of the patient.

Emtricitabine: Hemodialysis treatment removes approximately 30% of the FTC dose over a 3-hour dialysis period starting within 1.5 hours of FTC dosing (blood flow rate of 400 mL per minute and a dialysate flow rate of 600 mL per minute). It is not known whether FTC can be removed by peritoneal dialysis.

Rilpivirine: There is no specific antidote for overdose with RPV. Human experience of overdose with RPV is limited. Since RPV is highly bound to plasma protein, dialysis is unlikely to result in significant removal of RPV.

Tenofovir DF: Tenofovir is efficiently removed by hemodialysis with an extraction coefficient of approximately 54%. Following a single 300 mg dose of TDF, a 4-hour hemodialysis session removed approximately 10% of the administered tenofovir dose.

11 Description (11 DESCRIPTION)

Emtricitabine, rilpivirine and tenofovir disoproxil fumarate tablets are fixed-dose combination tablets containing FTC, rilpivirine hydrochloride, and TDF. Emtricitabine (FTC) is a synthetic nucleoside analog of cytidine. Rilpivirine (RPV) is a non-nucleoside reverse transcriptase inhibitor. Tenofovir disoproxil fumarate (TDF) is converted in vivo to tenofovir, an acyclic nucleoside phosphonate (nucleotide) analog of adenosine 5′-monophosphate.

Emtricitabine, rilpivirine and tenofovir disoproxil fumarate tablets are for oral administration. Each tablet contains 200 mg of FTC, 27.5 mg of rilpivirine hydrochloride (equivalent to 25 mg of RPV), and 300 mg of TDF (equivalent to 245 mg of tenofovir disoproxil) as active ingredients. The tablets include the following inactive ingredients: corn starch, croscarmellose sodium, hypromellose, lactose monohydrate, magnesium stearate, microcrystalline cellulose, povidone, red iron oxide, talc, titanium dioxide, triacetin and yellow iron oxide.

Emtricitabine: The chemical name of FTC is 4-Amino-5-fluoro-1-[(2R,5S)-2-(hydroxymethyl)-1,3-oxathiolan-5-yl]-2(1H)-pyrimidinone. Emtricitabine is the (-) enantiomer of a thio analog of cytidine, which differs from other cytidine analogs in that it has a fluorine in the 5-position.

It has a molecular formula of C8H10FN3O3S and a molecular weight of 247.25. It has the following structural formula:

FTC is a white to off-white powder with a solubility of approximately 112 mg per mL in water at 25°C.

Rilpivirine: RPV is available as the hydrochloride salt. The chemical name for rilpivirine hydrochloride is 4-{[4-({4-[(E)-2-Cyanoethenyl]-2, 6-dimethylphenyl} amino) pyrimidin-2-yl] amino}benzonitrile. Hydrochloride. Its molecular formula is C22H18N6 • HCl and its molecular weight is 402.9. Rilpivirine hydrochloride has the following structural formula:

Rilpivirine hydrochloride is an off-white to yellow colored powder. Rilpivirine hydrochloride is practically insoluble in water over a wide pH range.

Tenofovir DF: TDF is a fumaric acid salt of the bis-isopropoxycarbonyloxymethyl ester derivative of tenofovir. The chemical name of TDF is

9-[2-(R)-[[bis[[(isopropoxy carbonyl) oxy] methoxy]phosphinoyl]methoxy]propyl]-adenine fumaric acid (1:1). It has a molecular formula of C19H30N5O10P • C4H4O4 and a molecular weight of 635.51. It has the following structural formula:

TDF is a white to off-white powder with a solubility of 13.4 mg per mL in water at 25°C. All dosages are expressed in terms of TDF except where otherwise noted.

Adrenal Function

In trial TMC278-C213, at Week 48, the overall mean change from baseline in basal cortisol showed an increase of 1.59 (0.24, 2.93) micrograms/dL.

Six of 30 (20%) subjects with a normal 250 micrograms ACTH stimulation test at baseline developed an abnormal 250 micrograms ACTH stimulation test (peak cortisol level < 18.1 micrograms/dL) during the trial. Three of these subjects had an abnormal 250 micrograms ACTH stimulation test at Week 48. Overall, there were no serious adverse events, deaths, or treatment discontinuations that could clearly be attributed to adrenal insufficiency. The clinical significance of the abnormal 250 micrograms ACTH stimulation tests is not known.

Tenofovir DF: In a pediatric clinical trial conducted in subjects 12 to less than 18 years of age, the adverse reactions observed in pediatric subjects who received treatment with TDF were consistent with those observed in clinical trials of TDF in adults [see Warnings and Precautions (5.6)]. For additional information, including information on bone mineral density changes, please consult the VIREAD® prescribing information.

12.4 Microbiology

Mechanism of Action

Emtricitabine: FTC, a synthetic nucleoside analog of cytidine, is phosphorylated by cellular enzymes to form emtricitabine 5′-triphosphate. Emtricitabine 5′-triphosphate inhibits the activity of the HIV-1 RT by competing with the natural substrate deoxycytidine 5′-triphosphate and by being incorporated into nascent viral DNA, which results in chain termination. Emtricitabine 5′-triphosphate is a weak inhibitor of mammalian DNA polymerase α, β, ε, and mitochondrial DNA polymerase γ.

Rilpivirine: RPV is a diarylpyrimidine non-nucleoside reverse transcriptase inhibitor of HIV-1 and inhibits HIV-1 replication by non-competitive inhibition of HIV-1 RT. RPV does not inhibit the human cellular DNA polymerases α, β, and mitochondrial DNA polymerase γ.

Tenofovir DF: TDF is an acyclic nucleoside phosphonate diester analog of adenosine monophosphate. TDF requires initial diester hydrolysis for conversion to tenofovir and subsequent phosphorylations by cellular enzymes to form tenofovir diphosphate. Tenofovir diphosphate inhibits the activity of HIV-1 RT by competing with the natural substrate deoxyadenosine 5′-triphosphate and, after incorporation into DNA, by DNA chain termination. Tenofovir diphosphate is a weak inhibitor of mammalian DNA polymerases α, β, and mitochondrial DNA polymerase γ.

Antiviral Activity

Emtricitabine, Rilpivirine, and TDF: The triple combination of FTC, RPV, and TDF was not antagonistic in cell culture.

Emtricitabine: The antiviral activity of FTC against laboratory and clinical isolates of HIV-1 was assessed in lymphoblastoid cell lines, the MAGI-CCR5 cell line, and peripheral blood mononuclear cells. The 50% effective concentration (EC50) values for FTC were in the range of 0.0013–0.64 μM. FTC displayed antiviral activity in cell culture against HIV-1 clades A, B, C, D, E, F, and G (EC50 values ranged from 0.007–0.075 μM) and showed strain specific activity against HIV-2 (EC50 values ranged from 0.007–1.5 μM). In drug combination studies of FTC with nucleoside reverse transcriptase inhibitors (abacavir, lamivudine, stavudine, tenofovir, zidovudine), non-nucleoside reverse transcriptase inhibitors (delavirdine, EFV, nevirapine, and RPV), and protease inhibitors (amprenavir, nelfinavir, ritonavir, saquinavir), no antagonistic effects were observed.

Rilpivirine: RPV exhibited activity against laboratory strains of wild-type HIV-1 in an acutely infected T-cell line with a median EC50 value for HIV-1IIIB of 0.73 nM. RPV demonstrated limited activity in cell culture against HIV-2 with a median EC50 value of 5220 nM (range 2510–10,830 nM). RPV demonstrated antiviral activity against a broad panel of HIV-1 group M (subtype A, B, C, D, F, G, H) primary isolates with EC50 values ranging from 0.07–1.01 nM and was less active against group O primary isolates with EC50 values ranging from 2.88–8.45 nM. The antiviral activity of RPV was not antagonistic when combined with the NNRTIs EFV, etravirine, or nevirapine; the N(t)RTIs abacavir, didanosine, FTC, lamivudine, stavudine, tenofovir, or zidovudine; the PIs amprenavir, atazanavir, darunavir, indinavir, lopinavir, nelfinavir, ritonavir, saquinavir, or tipranavir; the gp41 fusion inhibitor enfuvirtide; the CCR5 co-receptor antagonist maraviroc; or the integrase strand transfer inhibitor raltegravir.

Tenofovir DF: The antiviral activity of tenofovir against laboratory and clinical isolates of HIV-1 was assessed in lymphoblastoid cell lines, primary monocyte/macrophage cells, and peripheral blood lymphocytes. The EC50 values for tenofovir were in the range of 0.04–8.5 μM. Tenofovir displayed antiviral activity in cell culture against HIV-1 clades A, B, C, D, E, F, G, and O (EC50 values ranged from 0.5–2.2 μM) and showed strain specific activity against HIV-2 (EC50 values ranged from 1.6 μM–5.5 μM). In drug combination studies of tenofovir with NRTIs (abacavir, didanosine, FTC, lamivudine, stavudine, and zidovudine), NNRTIs (delavirdine, EFV, nevirapine, and RPV), and PIs (amprenavir, indinavir, nelfinavir, ritonavir, saquinavir), no antagonistic effects were observed.

Resistance

In Cell Culture

Emtricitabine and Tenofovir DF: HIV-1 isolates with reduced susceptibility to FTC or tenofovir have been selected in cell culture. Reduced susceptibility to FTC was associated with M184V/I substitutions in HIV-1 RT. HIV-1 isolates selected by tenofovir expressed a K65R substitution in HIV-1 RT and showed a 2–4 fold reduction in susceptibility to tenofovir. In addition, a K70E substitution in HIV-1 RT has been selected by tenofovir and results in low-level reduced susceptibility to abacavir, FTC, lamivudine, and tenofovir.

Rilpivirine: RPV-resistant strains were selected in cell culture starting from wild-type HIV-1 of different origins and subtypes as well as NNRTI-resistant HIV-1. The frequently observed amino acid substitutions that emerged and conferred decreased phenotypic susceptibility to RPV included: L100I, K101E, V106I and A, V108I, E138K and G, Q, R, V179F and I, Y181C and I, V189I, G190E, H221Y, F227C, and M230I and L.

In HIV-1-Infected Adult Subjects With No Antiretroviral Treatment History

In the Week 96 pooled resistance analysis for adult subjects receiving RPV or EFV in combination with FTC/TDF in the Phase 3 clinical trials C209 and C215, the emergence of resistance was greater among subjects’ viruses in the RPV + FTC/TDF arm compared to the EFV + FTC/TDF arm and was dependent on baseline viral load. In the pooled resistance analysis, 61% (47/77) of the subjects who qualified for resistance analysis (resistance analysis subjects) in the RPV + FTC/TDF arm had virus with genotypic and/or phenotypic resistance to RPV compared to 42% (18/43) of the resistance analysis subjects in the EFV + FTC/TDF arm who had genotypic and/or phenotypic resistance to EFV. Moreover, genotypic and/or phenotypic resistance to FTC or tenofovir emerged in viruses from 57% (44/77) of the resistance analysis subjects in the RPV arm compared to 26% (11/43) in the EFV arm.

Emerging NNRTI substitutions in the RPV resistance analysis of subjects’ viruses included V90I, K101E/P/T, E138K/A/Q/G, V179I/L, Y181C/I, V189I, H221Y, F227C/L, and M230L, which were associated with an RPV phenotypic fold change range of 2.6–621. The E138K substitution emerged most frequently during RPV treatment, commonly in combination with the M184I substitution. The FTC and lamivudine resistance-associated substitutions M184I or V and NRTI resistance-associated substitutions (K65R/N, A62V, D67N/G, K70E, Y115F, K219E/R) emerged more frequently in the RPV resistance analysis subjects than in EFV resistance analysis subjects (See Table 15).

NNRTI- and NRTI-resistance substitutions emerged less frequently in the resistance analysis of viruses from subjects with baseline viral loads of ≤ 100,000 copies/mL compared to viruses from subjects with baseline viral loads of > 100,000 copies/mL: 23% (10/44) compared to 77% (34/44) of NNRTI-resistance substitutions and 20% (9/44) compared to 80% (35/44) of NRTI-resistance substitutions. This difference was also observed for the individual FTC/lamivudine and tenofovir resistance substitutions: 22% (9/41) compared to 78% (32/41) for M184I/V and 0% (0/8) compared to 100% (8/8) for K65R/N. Additionally, NNRTI and/or NRTI-resistance substitutions emerged less frequently in the resistance analysis of the viruses from subjects with baseline CD4+ cell counts ≥ 200 cells/mm3 compared to the viruses from subjects with baseline CD4+ cell counts < 200 cells/mm3: 32% (14/44) compared to 68% (30/44) of NNRTI-resistance substitutions and 27% (12/44) compared to 73% (32/44) of NRTI-resistance substitutions.

Table 15 Proportion of Frequently Emerging Reverse Transcriptase Substitutions in the HIV-1 Virus of Resistance Analysis Adult Subjects
Subjects who qualified for resistance analysis
Who Received RPV or EFV in Combination with FTC/TDF from Pooled Phase 3 TMC278-C209 and TMC278-C215 Trials in the Week 96 Analysis

C209 and C215

N=1096

RPV

+ FTC/TDF

EFV

+ FTC/TDF

N=550

N=546

Subjects who Qualified for Resistance Analysis

14% (77/550)

8% (43/546)

Subjects with Evaluable Postbaseline Resistance Data

70

31

Emergent NNRTI Substitutions

V90, L100, K101, K103, V106, V108, E138, V179, Y181, Y188, V189, G190, H221, P225, F227, and M230

Any

63% (44/70)

55% (17/31)

V90I

14% (10/70)

0

K101E/P/T/Q

19% (13/70)

10% (3/31)

K103N

1% (1/70)

39% (12/31)

E138K/A/Q/G

40% (28/70)

0

     E138K+M184I

This combination of NRTI and NNRTI substitutions is a subset of those with the E138K.

30% (21/70)

0

V179I/D

6% (4/70)

10% (3/31)

Y181C/I/S

13% (9/70)

3% (1/31)

V189I

9% (6/70)

0

H221Y

10% (7/70)

0

Emergent NRTI Substitutions

A62V, K65R/N, D67N/G, K70E, L74I, Y115F, M184V/I, L210F, K219E/R

Any

63% (44/70)

32% (10/31)

M184I/V

59% (41/70)

26% (8/31)

K65R/N

11% (8/70)

6% (2/31)

A62V, D67N/G, K70E, Y115F, or K219E/R

These substitutions emerged in addition to the primary substitutions M184V/I or K65R; A62V (n=2), D67N/G (n=3), K70E (n=4), Y115F (n=2), K219E/R (n=8) in RPV resistance analysis subjects.

20% (14/70)

3% (1/31)

 

In Virologically-Suppressed HIV-1-Infected Adult Subjects

Study 106: Through Week 48, 4 subjects who switched to emtricitabine, rilpivirine and tenofovir disoproxil fumarate tablets (4 of 469 subjects, 0.9%) and 1 subject who maintained their ritonavir-boosted protease inhibitor-based regimen (1 of 159 subjects, 0.6%) developed genotypic and/or phenotypic resistance to a study drug. All 4 of the subjects who had resistance emergence on emtricitabine, rilpivirine and tenofovir disoproxil fumarate tablets had evidence of FTC resistance and 3 of the subjects had evidence of RPV resistance.

Cross Resistance

Rilpivirine, Emtricitabine, and Tenofovir DF:

In Cell Culture

No significant cross-resistance has been demonstrated between RPV-resistant HIV-1 variants and FTC or tenofovir, or between FTC- or tenofovir-resistant variants and RPV.

Rilpivirine:

Site-Directed NNRTI Mutant Virus

Cross-resistance has been observed among NNRTIs. The single NNRTI substitutions K101P, Y181I, and Y181V conferred 52-fold, 15-fold, and 12-fold decreased susceptibility to RPV, respectively. The combination of E138K and M184I showed 6.7-fold reduced susceptibility to RPV compared to 2.8-fold for E138K alone. The K103N substitution did not show reduced susceptibility to RPV by itself. However, the combination of K103N and L100I resulted in a 7-fold reduced susceptibility to RPV. In another study, the Y188L substitution resulted in a reduced susceptibility to RPV of 9-fold for clinical isolates and 6-fold for site-directed mutants. Combinations of 2 or 3 NNRTI resistance-associated substitutions gave decreased susceptibility to RPV (fold change range of 3.7–554) in 38% and 66% of mutants, respectively.

In HIV-1-Infected Adult Subjects with No Antiretroviral Treatment History

Considering all available cell culture and clinical data, any of the following amino acid substitutions, when present at baseline, are likely to decrease the antiviral activity of RPV: K101E, K101P, E138A, E138G, E138K, E138R, E138Q, V179L, Y181C, Y181I, Y181V, Y188L, H221Y, F227C, M230I, M230L, and the combination of L100I+K103N.

Cross-resistance to EFV, etravirine, and/or nevirapine is likely after virologic failure and development of RPV resistance. In a pooled 96-week analysis for adult subjects receiving RPV in combination with FTC/TDF in the Phase 3 clinical trials TMC278-C209 and TMC278-C215, 43 of the 70 (61%) RPV resistance analysis subjects with postbaseline resistance data had virus with decreased susceptibility to RPV (≥2.5-fold change). Of these, 84% (n=36/43) were resistant to EFV (≥3.3-fold change), 88% (n=38/43) were resistant to etravirine (≥ 3.2-fold change), and 60% (n=26/43) were resistant to nevirapine (≥6-fold change). In the EFV arm, 3 of the 15 (20%) EFV resistance analysis subjects had viruses with resistance to etravirine and RPV, and 93% (14/15) had resistance to nevirapine. Virus from subjects experiencing virologic failure on RPV in combination with FTC/TDF developed more NNRTI resistance-associated substitutions conferring more cross-resistance to the NNRTI class and had a higher likelihood of cross-resistance to all NNRTIs in the class than subjects who failed on EFV.

Emtricitabine: FTC-resistant isolates (M184V/I) were cross-resistant to lamivudine but retained susceptibility in cell culture to didanosine, stavudine, tenofovir, zidovudine, and NNRTIs (delavirdine, EFV, nevirapine, and RPV). HIV-1 isolates containing the K65R substitution, selected in vivo by abacavir, didanosine, and tenofovir, demonstrated reduced susceptibility to inhibition by FTC. Viruses harboring substitutions conferring reduced susceptibility to stavudine and zidovudine (M41L, D67N, K70R, L210W, T215Y/F, K219Q/E), or didanosine (L74V), remained sensitive to FTC. HIV-1 containing the substitutions associated with NNRTI resistance K103N or RPV-associated substitutions were susceptible to FTC.

Tenofovir DF: The K65R and K70E substitutions selected by tenofovir are also selected in some HIV-1-infected patients treated with abacavir or didanosine. HIV-1 isolates with the K65R and K70E substitutions also showed reduced susceptibility to FTC and lamivudine. Therefore, cross-resistance among these NRTIs may occur in patients whose virus harbors the K65R substitution. HIV-1 isolates from patients (N=20) whose HIV-1 expressed a mean of 3 zidovudine-associated RT amino acid substitutions (M41L, D67N, K70R, L210W, T215Y/F, or K219Q/E/N) showed a 3.1-fold decrease in the susceptibility to tenofovir.

Subjects whose virus expressed an L74V substitution without zidovudine resistance-associated substitutions (N=8) had reduced response to TDF. Limited data are available for patients whose virus expressed a Y115F substitution (N=3), Q151M substitution (N=2), or T69 insertion (N=4), all of whom had a reduced response.

HIV-1 containing the substitutions associated with NNRTI resistance K103N and Y181C, or RPV-associated substitutions, were susceptible to tenofovir.

8.4 Pediatric Use

The safety and effectivness of emtricitabine, rilpivirine and tenofovir disoproxil fumarate tablets as a complete regimen for the treatment of HIV-1 infection was established in pediatric subjects 12 years of age and older with body weight greater than or equal to 35 kg [see Dosage and Administration (2.2)]. Use of emtricitabine, rilpivirine and tenofovir disoproxil fumarate tablets in this age group weighing at least 35 kg is supported by adequate and well-controlled studies of RPV + FTC + TDF in adults with HIV-1 infection as well as data from pediatric studies of the individual components of emtricitabine, rilpivirine and tenofovir disoproxil fumarate tablets (RPV, FTC, and TDF) [see Clinical Pharmacology (12.3) and Clinical Studies (14.2)].

Emtricitabine, rilpivirine and tenofovir disoproxil fumarate tablets should only be administered to pediatric patients with a body weight greater than or equal to 35 kg. Because emtricitabine, rilpivirine and tenofovir disoproxil fumarate is a fixed-dose combination tablet, the dose of emtricitabine, rilpivirine and tenofovir disoproxil fumarate tablets cannot be adjusted for patients of lower weight. Safety and effectiveness for emtricitabine, rilpivirine and tenofovir disoproxil fumarate tablets have not been established in pediatric patients weighing less than 35 kg [see Adverse Reactions (6.1) and Clinical Pharmacology (12.3)].

8.5 Geriatric Use

Clinical studies of FTC, RPV, or TDF did not include sufficient numbers of subjects aged 65 and over to determine whether they respond differently from younger subjects. In general, dose selection for elderly patients should be cautious, keeping in mind the greater frequency of decreased hepatic, renal, or cardiac function, and of concomitant disease or other drug therapy [see Clinical Pharmacology (12.3)].

5.3 Hepatotoxicity

Hepatic adverse events have been reported in patients receiving an RPV-containing regimen. Patients with underlying hepatitis B or C virus infection, or marked elevations in liver-associated tests prior to treatment, may be at increased risk for worsening or development of liver-associated test elevations with use of emtricitabine, rilpivirine and tenofovir disoproxil fumarate tablets. A few cases of hepatic toxicity have been reported in adult patients receiving an RPV-containing regimen who had no pre-existing hepatic disease or other identifiable risk factors. Appropriate laboratory testing prior to initiating therapy and monitoring for hepatotoxicity during therapy with emtricitabine, rilpivirine and tenofovir disoproxil fumarate tablets is recommended in patients with underlying hepatic disease such as hepatitis B or C, or in patients with marked elevations in liver-associated tests prior to treatment initiation. Liver-associated test monitoring should also be considered for patients without pre-existing hepatic dysfunction or other risk factors.

14.1 Adult Subjects

In HIV-1-Infected Adult Subjects With No Antiretroviral Treatment History

The efficacy of emtricitabine, rilpivirine and tenofovir disoproxil fumarate tablets is based on the analyses of 48-and 96-week data from two randomized, double-blind, controlled studies (Study C209 [ECHO] and TRUVADA® subset of Study C215 [THRIVE]) in treatment-naïve, HIV-1-infected subjects (N=1368). The studies are identical in design with the exception of the background regimen (BR). Subjects were randomized in a 1:1 ratio to receive either RPV 25 mg (N=686) once daily or EFV 600 mg (N=682) once daily in addition to a BR. In Study C209 (N=690), the BR was FTC/TDF. In Study C215 (N=678), the BR consisted of 2 NRTIs: FTC/TDF (60%, n=406), lamivudine/zidovudine (30%, n=204), or abacavir + lamivudine (10%, n=68).

For subjects who received FTC/TDF (N=1096) in studies C209 and C215, the mean age was 37 years (range 18–78), 78% were male, 62% were White, 24% were Black, and 11% were Asian. The mean baseline CD4+ cell count was 265 cells/mm3 (range 1–888) and 31% had CD4+ cell counts <200 cells/mm3. The median baseline plasma HIV-1 RNA was 5 log10 copies/mL (range 2–7). Subjects were stratified by baseline HIV-1 RNA. Fifty percent of subjects had baseline viral load ≤100,000 copies/mL, 39% of subjects had baseline viral load between 100,000 copies/mL to 500,000 copies/mL, and 11% of subjects had baseline viral load >500,000 copies/mL.

Treatment outcomes through 96 weeks for the subset of subjects receiving FTC/TDF in studies C209 and C215 (Table 16) are generally consistent with treatment outcomes for all participating subjects (presented in the prescribing information for Edurant). The incidence of virologic failure was higher in the RPV arm than the EFV arm at Week 96. Virologic failures and discontinuations due to adverse events mostly occurred in the first 48 weeks of treatment.

Table 16 Pooled Virologic Outcome of Randomized Treatment of Studies C209 and C215 at Week 96 in Adult Subjects With No Antiviral Treatment History in Combination with FTC/TDF) at Week 96
Analyses were based on the last observed viral load data within the Week 96 window (Week 90–103).

RPV

+ FTC/TDF

EFV

+ FTC/TDF

N=550

N=546

HIV-1 RNA <50 copies/mL

Predicted difference (95% CI) of response rate is 0.5% (–4.5% to 5.5%) at Week 96.

77%

77%

HIV-1 RNA ≥50 copies/mL

Includes subjects who had ≥50 copies/mL in the Week 96 window, subjects who discontinued early due to lack or loss of efficacy, subjects who discontinued for reasons other than an adverse event, death, or lack or loss of efficacy and at the time of discontinuation had a viral load value of ≥50 copies/mL, and subjects who had a switch in background regimen that was not permitted by the protocol.

14%

8%

No Virologic Data at Week 96 Window

Reasons

Discontinued study due to adverse event or death

Includes subjects who discontinued due to an adverse event or death if this resulted in no on-treatment virologic data in the Week 96 window.

4%

9%

Discontinued study for other reasons

Includes subjects who discontinued for reasons other than an adverse event, death, or lack or loss of efficacy, e.g., withdrew consent, loss to follow-up, etc.
and the last available HIV-1 RNA <50 copies/mL (or missing)

4%

6%

Missing data during window but on study

< 1%

< 1%

HIV-1 RNA <50 copies/mL by Baseline HIV-1 RNA (copies/mL)

≤100,000

83%

80%

>100,000

71%

74%

HIV-1 RNA ≥50 copies/mL

by Baseline HIV-1 RNA (copies/mL)

≤100,000

7%

5%

>100,000

22%

12%

HIV-1 RNA <50 copies/mL by Baseline CD4+ Cell Count (cells/mm3)

<200

68%

72%

≥200

82%

79%

HIV-1 RNA ≥ 50 copies/mL

by Baseline CD4+ Cell Count (cells/mm3)

<200

27%

12%

≥200

8%

7%

 

Based on the pooled data from studies C209 and C215, the mean CD4+ cell count increase from baseline at Week 96 was 226 cells/mm3 for RPV + FTC/TDF-treated subjects and 223 cells/mm3 for EFV + FTC/TDF-treated subjects.

In Virologically Suppressed HIV-1-Infected Adult Subjects

The efficacy and safety of switching from a ritonavir-boosted protease inhibitor in combination with two NRTIs to emtricitabine, rilpivirine and tenofovir disoproxil fumarate tablets was evaluated in Study 106, a randomized, open-label study in virologically suppressed HIV-1-infected adults. Subjects had to be on either their first or second antiretroviral regimen with no history of virologic failure, have no current or past history of resistance to any of the three components of emtricitabine, rilpivirine and tenofovir disoproxil fumarate tablets, and must have been suppressed (HIV-1 RNA <50 copies/mL) for at least 6 months prior to screening. Subjects were randomized in a 2:1 ratio to either switch to emtricitabine, rilpivirine and tenofovir disoproxil fumarate tablets at baseline (emtricitabine, rilpivirine and tenofovir disoproxil fumarate tablets arm, N=317), or stay on their baseline antiretroviral regimen for 24 weeks (SBR arm, N=159) and then switch to emtricitabine, rilpivirine and tenofovir disoproxil fumarate tablets for an additional 24 weeks (N=52). Subjects had a mean age of 42 years (range 19–73), 88% were male, 77% were White, 17% were Black, and 17% were Hispanic/Latino. The mean baseline CD4+ cell count was 584 cells/mm3 (range 42–1484). Randomization was stratified by use of TDF and/or lopinavir/ritonavir in the baseline regimen.

Treatment outcomes are presented in Table 17.

Table 17 Virologic Outcomes of Study GS-US-264-0106 in Virologically Suppressed Subjects

Emtricitabine, Rilpivirine and Tenofovir Disoproxil Fumarate Tablets

Week 48

Week 48 window is between Day 295 and 378 (inclusive).

Stayed on Baseline Regimen

(SBR)

Week 24

For subjects in the SBR arm who maintained their baseline regimen for 24 weeks and then switched to emtricitabine, rilpivirine and tenofovir disoproxil fumarate tablets, the Week 24 window is between Day 127 and first dose day on emtricitabine, rilpivirine and tenofovir disoproxil fumarate tablets.

N=317

N=159

HIV-1 RNA <50 copies/mL

Predicted difference (95% CI) of response rate for switching to emtricitabine, rilpivirine and tenofovir disoproxil fumarate tablets at Week 48 compared to staying on baseline regimen at Week 24 (in absence of Week 48 results from the SBR group by study design) is –0.7% (–6.4% to 5.1%).

89% (283/317)

90% (143/159)

HIV-1 RNA ≥50 copies/mL

Includes subjects who had HIV-1 RNA ≥50 copies/mL in the time window, subjects who discontinued early due to lack or loss of efficacy, and subjects who discontinued for reasons other than an adverse event or death and at the time of discontinuation had a viral load value of ≥50 copies/mL.

3% (8/317)

5% (8/159)

No Virologic Data at Week 24 Window

     Discontinued study drug due to AE or death

Includes subjects who discontinued due to adverse event or death at any time point from Day 1 through the time window if this resulted in no virologic data on treatment during the specified window.

2% (7/317)

0%

     Discontinued study drug due to other reasons and last available HIV-1 RNA <50 copies/mL

Includes subjects who discontinued for reasons other than an adverse event, death, or lack or loss of efficacy, e.g., withdrew consent, loss to follow-up, etc.

5% (16/317)

3% (5/159)

Missing data during window but on study drug

1% (3/317)

2% (3/159)

 

4 Contraindications (4 CONTRAINDICATIONS)

Emtricitabine, rilpivirine and tenofovir disoproxil fumarate tablets are contraindicated when coadministered with the following drugs; coadministration may result in loss of virologic response and possible resistance to emtricitabine, rilpivirine and tenofovir disoproxil fumarate tablets or to the class of NNRTIs [see Warnings and Precautions (5.7), Drug Interactions (7), and Clinical Pharmacology (12.3)]:

  • Anticonvulsants: carbamazepine, oxcarbazepine, phenobarbital, phenytoin
  • Antimycobacterials: rifampin, rifapentine
  • Glucocorticoid (systemic): dexamethasone (more than a single-dose)
  • Herbal Products: St John’s wort (Hypericum perforatum)
  • Proton Pump Inhibitors: e.g., dexlansoprazole, esomeprazole, lansoprazole, omeprazole, pantoprazole, rabeprazole
6 Adverse Reactions (6 ADVERSE REACTIONS)

The following adverse reactions are discussed in other sections of the labeling:

7 Drug Interactions (7 DRUG INTERACTIONS)
  • Emtricitabine, rilpivirine and tenofovir disoproxil fumarate tablets are a complete regimen for the treatment of HIV-1 infection; therefore, coadministration with other antiretroviral medications for treatment of HIV-1 infection is not recommended. (7.1)
  • Consult the Full Prescribing Information prior to and during treatment for important drug interactions. (4, 5.7, 7)
8.6 Renal Impairment

Because emtricitabine, rilpivirine and tenofovir disoproxil fumarate tablets are a fixed-dose combination, and cannot be dose adjusted, they are not recommended in patients with moderate, severe, or end-stage renal impairment (estimated creatinine clearance below 50 mL per minute) or that require dialysis [see Warnings and Precautions (5.5) and Clinical Pharmacology (12.3)].

Bone Mineral Density

In clinical trials in HIV-1-infected adults, TDF, a component of emtricitabine, rilpivirine and tenofovir disoproxil fumarate tablets, was associated with slightly greater decreases in bone mineral density (BMD) and increases in biochemical markers of bone metabolism, suggesting increased bone turnover relative to comparators. Serum parathyroid hormone levels and 1,25 Vitamin D levels were also higher in subjects receiving TDF.

Clinical trials evaluating TDF in pediatric and adolescent subjects were conducted. Under normal circumstances, BMD increases rapidly in pediatric patients. In HIV-1-infected subjects aged 2 years to less than 18 years, bone effects were similar to those observed in adult subjects and suggest increased bone turnover. Total body BMD gain was less in the TDF-treated HIV-1-infected pediatric subjects as compared to the control groups. Similar trends were observed in chronic hepatitis B-infected adolescent subjects aged 12 years to less than 18 years. In all pediatric trials, skeletal growth (height) appeared to be unaffected.

The effects of TDF-associated changes in BMD and biochemical markers on long-term bone health and future fracture risk are unknown. Assessment of BMD should be considered for adult and pediatric patients who have a history of pathologic bone fracture or other risk factors for osteoporosis or bone loss. Although the effect of supplementation with calcium and Vitamin D was not studied, such supplementation may be beneficial for all patients. If bone abnormalities are suspected, then appropriate consultation should be obtained.

12.3 Pharmacokinetics

Emtricitabine, Rilpivirine and Tenofovir Disoproxil Fumarate Tablets: Under fed conditions (total calorie content of the meal was approximately 400 kcal with approximately 13 grams of fat), RPV, FTC, and tenofovir exposures were similar when comparing emtricitabine, rilpivirine and tenofovir disoproxil fumarate tablets to EMTRIVA capsules (200 mg) plus Edurant tablets (25 mg) plus VIREAD tablets (300 mg) following single-dose administration to healthy subjects (N=34).

Single-dose administration of emtricitabine, rilpivirine and tenofovir disoproxil fumarate tablets to healthy subjects under fasted conditions provided approximately 25% higher exposure of RPV compared to administration of EMTRIVA capsules (200 mg) plus Edurant tablets (25 mg) plus VIREAD tablets (300 mg), while exposures of FTC and tenofovir were comparable (N=15).

Absorption, Distribution, Metabolism, and Excretion

The pharmacokinetic properties of the components of emtricitabine, rilpivirine and tenofovir disoproxil fumarate tablets are provided in Table 5. The PK parameters of RPV, FTC, and tenofovir are provided in Table 6.

Table 5 Pharmacokinetic Properties of the Components of Emtricitabine, Rilpivirine and Tenofovir Disoproxil Fumarate Tablets
NC = Not Calculated

RPV

FTC

Tenofovir

Absorption

     Tmax (h)

4-5

1-2

1

     % Fasted oral bioavailability

Median

NC

93

25

Oral bioavailability of tenofovir from VIREAD.

     Effect of a light meal

     (relative to fasting)

Values refer to % change based on calculated geometric mean ratio [fed/fasted] in AUC. Emtricitabine, rilpivirine and tenofovir disoproxil fumarate tablets light meal = 390 kcal, 12 g fat; emtricitabine, rilpivirine and tenofovir disoproxil fumarate tablets standard meal = 540 kcal, 21 g fat. High fat meal not evaluated. Increase = ↑; Decrease = ↓; No Effect = ↔

↑9%

↑28%

     Effect of a standard meal

     (relative to fasting)

↑16%

↑38%

Distribution

     % Bound to human plasma proteins

~99

<4

<0.7

     Source of protein binding data

In vitro

In vitro

In vitro

Metabolism

     Metabolism

CYP3A

Not significantly metabolized

Elimination

     Major route of elimination

Metabolism

Glomerular filtration and active tubular secretion

     CLrenal

Mean±SD
(mL/min)

NC

213±89

243±33

     t1/2 (h)

t1/2 values refer to median terminal plasma half-life.

50

10

17

     % Of dose excreted in urine

Dosing in mass balance studies: FTC (single dose administration of [14C] FTC after multiple dosing of FTC for 10 days); RPV (single dose administration of [14C] RPV); mass balance study not conducted for tenofovir.

6

86

70-80

     % Of dose excreted in feces

85

~14

NC

 

Table 6 Pharmacokinetic Parameters for RPV, FTC, and Tenofovir in HIV-Infected Adults
NA = Not Applicable; SD = Standard Deviation

Parameter

Mean ± SD

RPV

Population PK estimates of RPV 25 mg once daily in antiretroviral treatment-naïve HIV-1-infected adult subjects (pooled data from Phase 3 trials through Week 96; n = 679)

FTC

Multiple-dose oral administration of FTC 200 mg to HIV-1-infected subjects (n = 20)

Tenofovir

Single 300 mg dose of TDF to HIV-1-infected subjects in the fasted state

Cmax (μg/mL)

NA

1.80±0.72

Data presented as steady state values

0.30±0.09

AUCtau (μg•hr/mL)

2.24±0.85

10.0±3.12

2.29±0.69

AUC0-24h

C0h (μg/mL)

0.08±0.04

0.09±0.07

NA

 

Specific Populations

Geriatric Patients

The pharmacokinetics of FTC, RPV, and tenofovir have not been fully evaluated in the elderly (65 years of age and older) [see Use in Specific Populations (8.5)].

Pediatric Patient

Pediatric trials have not been conducted using emtricitabine, rilpivirine and tenofovir disoproxil fumarate tablets. Pediatric information is based on trials conducted with the individual components of emtricitabine, rilpivirine and tenofovir disoproxil fumarate tablets [see Use in Specific Populations (8.4)].

Emtricitabine: The pharmacokinetics of FTC at steady state were determined in 27 HIV-1-infected pediatric subjects 13 to 17 years of age receiving a daily dose of 6 mg/kg up to a maximum dose of 240 mg oral solution or a 200 mg capsule; 26 of 27 subjects in this age group received the 200 mg FTC capsule. Mean (± SD) Cmax and AUC were 2.7 ± 0.9 µg/mL and 12.6 ± 5.4 µg•hr/mL, respectively. Exposures achieved in pediatric subjects 12 to less than 18 years of age were similar to those achieved in adults receiving a once daily dose of 200 mg.

Rilpivirine: The pharmacokinetics of RPV in antiretroviral treatment-naïve HIV-1-infected pediatric subjects 12 to less than 18 years of age receiving RPV 25 mg once daily were comparable to those in treatment-naïve HIV-1-infected adults receiving RPV 25 mg once daily (See Table 7). There was no clinically significant impact of body weight on RPV pharmacokinetics in pediatric subjects in trial C213 (33 to 93 kg).

Table 7 Population Pharmacokinetic Estimates of RPV 25 mg once daily in Antiretroviral Treatment-Naïve HIV-1-Infected Pediatric Subjects aged 12 to less than 18 years (Data from Phase 2 Trial through Week 48)

Parameter

RPV 25 mg once daily

N = 34

AUC24h (ng•h/mL)

     Mean ± Standard Deviation

2424 ± 1024

     Median (Range)

2269 (417−5166)

C0h (ng/mL)

     Mean ± Standard Deviation

85 ± 40

     Median (Range)

79 (7−202)

Tenofovir DF: Steady-state pharmacokinetics of tenofovir were evaluated in 8 HIV-1-infected pediatric subjects (12 to less than 18 years). Mean (± SD) Cmax and AUCtau are 0.38 ± 0.13 µg/mL and 3.39 ± 1.22 µg•hr/mL, respectively. Tenofovir exposure achieved in these pediatric subjects receiving oral daily doses of TDF 300 mg was similar to exposures achieved in adults receiving once-daily doses of TDF 300 mg.

Gender

No clinically relevant pharmacokinetic differences have been observed based on gender for FTC, RPV, and TDF.

Race

Emtricitabine: No pharmacokinetic differences due to race have been identified following the administration of FTC.

Rilpivirine: Population pharmacokinetic analysis of RPV in HIV-1-infected subjects indicated that race had no clinically relevant effect on the exposure to RPV.

Tenofovir DF: There were insufficient numbers from racial and ethnic groups other than Caucasian to adequately determine potential pharmacokinetic differences among these populations following the administration of TDF.

Patients with Renal Impairment

Emtricitabine and Tenofovir DF: The pharmacokinetics of FTC and TDF are altered in subjects with renal impairment. In subjects with creatinine clearance below 50 mL per minute or with end stage renal disease requiring dialysis, Cmax and AUC of FTC and tenofovir were increased [see Warnings and Precautions (5.5) and Use in Specific Populations (8.6)].

Rilpivirine: Population pharmacokinetic analysis indicated that RPV exposure was similar in HIV-1-infected subjects with mild renal impairment relative to HIV-1-infected subjects with normal renal function. There is limited or no information regarding the pharmacokinetics of RPV in patients with moderate or severe renal impairment or in patients with end-stage renal disease, and RPV concentrations may be increased due to alteration of drug absorption, distribution, and metabolism secondary to renal dysfunction [see Use in Specific Populations (8.6)].

Patients with Hepatic Impairment

Emtricitabine: The pharmacokinetics of FTC have not been studied in subjects with hepatic impairment; however, FTC is not significantly metabolized by liver enzymes, so the impact of liver impairment should be limited.

Rilpivirine: RPV is primarily metabolized and eliminated by the liver. In a study comparing 8 subjects with mild hepatic impairment (Child-Pugh score A) to 8 matched controls, and 8 subjects with moderate hepatic impairment (Child-Pugh score B) to 8 matched controls, the multiple dose exposure of RPV was 47% higher in subjects with mild hepatic impairment and 5% higher in subjects with moderate hepatic impairment. RPV has not been studied in subjects with severe hepatic impairment (Child-Pugh score C) [see Use in Specific Populations (8.7)].

Tenofovir DF: The pharmacokinetics of tenofovir following a 300 mg dose of TDF have been studied in non-HIV-infected subjects with moderate to severe hepatic impairment. There were no substantial alterations in tenofovir pharmacokinetics in subjects with hepatic impairment compared with unimpaired subjects.

Hepatitis B and/or Hepatitis C Virus Coinfection

The pharmacokinetics of FTC and TDF have not been fully evaluated in hepatitis B and/or C virus-coinfected patients. Population pharmacokinetic analysis indicated that hepatitis B and/or C virus coinfection had no clinically relevant effect on the exposure to RPV.

Pregnancy and Postpartum

The exposure (C0h and AUC24h) to total RPV after intake of RPV 25 mg once daily as part of an antiretroviral regimen was 30 to 40% lower during pregnancy (similar for the second and third trimester), compared with postpartum (see Table 8). However, the exposure during pregnancy was not significantly different from exposures obtained in Phase 3 trials of RPV-containing regimens. Based on the exposure-response relationship for RPV, this decrease is not considered clinically relevant in patients who are virologically suppressed. The protein binding of RPV was similar (>99%) during the second trimester, third trimester, and postpartum.

Table 8 Pharmacokinetic Results of Total RPV After Administration of RPV 25 mg Once Daily as Part of an Antiretroviral Regimen, During the 2nd Trimester of Pregnancy, the 3rd Trimester of Pregnancy and Postpartum

Pharmacokinetics of total RPV

(mean ± SD, tmax: median [range])

Postpartum

(6-12 Weeks)

(n=11)

2nd Trimester

of pregnancy

(n=15)

3rd Trimester

of pregnancy

(n=13)

C0h, ng/mL

111 ± 69.2

65.0 ± 23.9

63.5 ± 26.2

Cmin, ng/mL

84.0 ± 58.8

54.3 ± 25.8

52.9 ± 24.4

Cmax, ng/mL

167 ± 101

121 ± 45.9

123 ± 47.5

tmax, h

4.00 (2.03−25.08)

4.00 (1.00−9.00)

4.00 (2.00−24.93)

AUC24h, ng•h/mL

2,714 ± 1,535

1,792 ± 711

1,762 ± 662

Drug Interaction Studies

Rilpivirine: RPV is primarily metabolized by cytochrome CYP3A, and drugs that induce or inhibit CYP3A may thus affect the clearance of RPV. Coadministration of emtricitabine, rilpivirine and tenofovir disoproxil fumarate tablets and drugs that induce CYP3A may result in decreased plasma concentrations of RPV and loss of virologic response and possible resistance. Coadministration of emtricitabine, rilpivirine and tenofovir disoproxil fumarate tablets and drugs that inhibit CYP3A may result in increased plasma concentrations of RPV. Coadministration of emtricitabine, rilpivirine and tenofovir disoproxil fumarate tablets with drugs that increase gastric pH may result in decreased plasma concentrations of RPV and loss of virologic response and possible resistance to RPV and to the class of NNRTIs.

RPV at a dose of 25 mg once daily is not likely to have a clinically relevant effect on the exposure of medicinal products metabolized by CYP enzymes.

Emtricitabine and Tenofovir DF: In vitro and clinical pharmacokinetic drug-drug interaction studies have shown that the potential for CYP-mediated interactions involving FTC and tenofovir with other medicinal products is low.

FTC and tenofovir are primarily excreted by the kidneys by a combination of glomerular filtration and active tubular secretion. No drug-drug interactions due to competition for renal excretion have been observed; however, coadministration of FTC and TDF with drugs that are eliminated by active tubular secretion may increase concentrations of FTC, tenofovir, and/or the coadministered drug [see Drug Interactions (7.4, 7.6)].

Drugs that decrease renal function may increase concentrations of FTC and/or tenofovir.

The drug interaction studies described in Tables 9-14 were conducted with emtricitabine, rilpivirine and tenofovir disoproxil fumarate tablets (RPV/FTC/TDF) or the components of emtricitabine, rilpivirine and tenofovir disoproxil fumarate tablets (RPV, FTC, or TDF) administered individually.

The effects of coadministration of other drugs on the AUC, Cmax, and Cmin values of RPV, FTC, and TDF are summarized in Tables 9, 10, and 11, respectively. The effect of coadministration of RPV, FTC, and TDF on the AUC, Cmax, and Cmin values of other drugs are summarized in Tables 12, 13, and 14, respectively. For information regarding clinical recommendations, see Drug Interactions (7) .

Table 9 Drug Interactions: Changes in Pharmacokinetic Parameters for RPV in the Presence of the Coadministered Drugs
NA=not available

Coadministered Drug

Dose of Coadministered Drug (mg)

RPV Dose (mg)

N

N=maximum number of subjects for Cmax, AUC, or Cmin

Mean % Change of RPV Pharmacokinetic Parameters

Increase = ↑; Decrease = ↓; No Effect = ↔

(90% CI)

Cmax

AUC

Cmin

Acetaminophen

500 single dose

150 once daily

The interaction study has been performed with a dose higher than the recommended dose for RPV (25 mg once daily) assessing the maximal effect on the coadministered drug.

16

↑ 9

(↑1 to ↑18)

↑16

(↑10 to ↑22)

↑26

(↑16 to ↑38)

Atorvastatin

40 once daily

150 once daily

16

↓9

(↓21 to ↑6)

↓10

(↓19 to↓1)

↓10

(↓16 to ↓4)

Chlorzoxazone

500 single dose taken 2 hours after RPV

150 once daily

16

↑17

(↑8 to ↑27)

↑25

(↑16 to ↑35)

↑18

(↑9 to ↑28)

Ethinyl Estradiol/ Norethindrone

0.035 once daily/1 once daily

25 once daily

16

Study conducted with emtricitabine, rilpivirine and tenofovir disoproxil fumarate tablets (RPV/FTC/TDF) coadministered with HARVONI (ledipasvir/sofosbuvir).

Famotidine

40 single dose taken 12 hours before RPV

150 single dose

24

↓1

(↓16 to ↑16)

↓9

(↓22 to ↑7)

NA

40 single dose taken 2 hours before RPV

150 single dose

23

↓85

(↓88 to ↓81)

↓76

(↓80 to ↓72)

NA

40 single dose taken 4 hours after RPV

150 single dose

24

↑21

(↑6 to ↑39)

↑13

(↑1 to ↑27)

NA

Ketoconazole

400 once daily

150 once daily

15

↑30

(↑13 to ↑48)

↑49

(↑31 to ↑70)

↑76

(↑57 to ↑97)

Ledipasvir/ Sofosbuvir

90/400 once daily

25 once daily

14

↓3

(↓12 to ↑7)

↑2

(↓6 to ↑11)

↑12

(↑3 to ↑21)

Methadone

60–100 once daily individualized dose

25 once daily

12

Comparison based on historic controls.

Omeprazole

20 once daily

150 once daily

16

↓40

(↓52 to ↓27)

↓40

(↓49 to ↓29)

↓33

(↓42 to ↓22)

Rifabutin

300 once daily

25 once daily

18

↓31

(↓38 to ↓24)

↓42

(↓48 to ↓35)

↓48

(↓54 to ↓41)

300 once daily

50 once daily

18

↑43

(↑30 to ↑56)

Reference arm for comparison was 25 mg q.d. RPV administered alone.

↑16

(↑6 to ↑26)

↓7

(↓15 to ↑1)

Rifampin

600 once daily

150 once daily

16

↓69

(↓73 to ↓64)

↓80

(↓82 to ↓77)

↓89

(↓90 to ↓87)

Simeprevir

25 once daily

150 once daily

23

↑4

(↓5 to ↑13)

↑12

(↑5 to ↑19)

↑25

(↑16 to ↑35)

Sildenafil

50 single dose

75 once daily

16

↓8

(↓15 to ↓1)

↓2

(↓8 to ↑5)

↑4

(↓2 to ↑9)

Sofosbuvir/ Velpatasvir

400/100 once daily

25 once daily

Study conducted with emtricitabine, rilpivirine and tenofovir disoproxil fumarate tablets coadministered with EPCLUSA (sofosbuvir/velpatasvir).

24

↓7

(↓12 to ↓2)

↓5

(↓10 to 0)

↓4

(↓10 to ↑3)

 

 

 

 

 

 

 

Sofosbuvir/ Velpatasvir/ Voxilaprevir

Study conducted with ODEFSEY® (FTC/RPV/tenofovir alafenamide).

400/100/100 + 100 voxilaprevir

Study conducted with additional voxilaprevir 100 mg to achieve voxilaprevir exposures expected in HCV-infected patients.
once daily

25 once daily

30

↓21

(↓26 to ↓16)

↓20

(↓24 to ↓15)

↓18

(↓23 to ↓13)

TDF

300 once daily

150 once daily

16

↓4

(↓19 to ↑13)

↑1

(↓13 to ↑18)

↓1

(↓17 to ↑16)

 

Table 10 Drug Interactions: Changes in Pharmacokinetic Parameters for FTC in the Presence of the Coadministered Drugs
NA=not available

Coadministered Drug

Dose of Coadministered Drug (mg)

FTC Dose (mg)

N

N=maximum number of subjects for Cmax, AUC, or Cmin

Mean % Change of FTC Pharmacokinetic Parameters

Increase = ↑; Decrease = ↓; No Effect = ↔

(90% CI)

Cmax

AUC

Cmin

Famciclovir

500 × 1

200 × 1

12

NA

Ledipasvir/ Sofosbuvir

90/400 once daily

200 once daily

Study conducted with emtricitabine, rilpivirine and tenofovir disoproxil fumarate tablets coadministered with HARVONI.

15

↑2

(↓2 to ↑6)

↑5

(↑2 to ↑8)

↑6

(↓3 to ↑15)

Sofosbuvir/ Velpatasvir

400/100 once daily

200 once daily

Study conducted with emtricitabine, rilpivirine and tenofovir disoproxil fumarate tablets coadministered with EPCLUSA.

24

↓5

(↓10 to 0)

↓1

(↓3 to ↑2)

↑5

(↓1 to ↑11)

Sofosbuvir/ Velpatasvir/ Voxilaprevir

400/100/100 + Voxilaprevir

Study conducted with additional voxilaprevir 100 mg to achieve voxilaprevir exposures expected in HCV-infected patients.
100 once daily

200 once daily

Study conducted with ODEFSEY (FTC/RPV/tenofovir alafenamide).

30

↓12

(↓17 to ↓7)

↓7

(↓10 to ↓4)

↑7

(↑1 to ↑14)

TDF

300 once daily × 7 days

200 once daily × 7 days

17

↑20

(↑12 to ↑29)

  

Table 11 Drug Interactions: Changes in Pharmacokinetic Parameters for Tenofovir in the Presence of the Coadministered Drugs

Coadministered Drug

Dose of Coadministered Drug (mg)

TDF Dose (mg)

Subjects received VIREAD 300 mg daily.

N

N=maximum number of subjects for Cmax, AUC, or Cmin

Mean % Change of Tenofovir Pharmacokinetic Parameters

Increase = ↑; Decrease = ↓; No Effect = ↔

(90% CI)

Cmax

AUC

Cmin

Entecavir

1 once daily × 10 days

300 once daily

Emtricitabine

200 once daily × 7 days

300 once daily × 7 days

17

Ledipasvir/ Sofosbuvir

90/400 once daily × 10 days

300 once daily

Study conducted with emtricitabine, rilpivirine and tenofovir disoproxil fumarate tablets coadministered with HARVONI.

14

↑32

(↑25 to ↑39)

↑40

(↑31 to ↑50)

↑91

(↑74 to ↑110)

Sofosbuvir/ Velpatasvir

400/100 once daily

300 once daily

24

↑44

(↑33 to ↑55)

↑40

(↑34 to ↑46)

↑84

(↑76 to ↑92)

Tacrolimus

0.05 mg/kg twice daily × 7 days

300 once daily

Study conducted with emtricitabine, rilpivirine and tenofovir disoproxil fumarate tablets coadministered with EPCLUSA.

21

↑13

(↑1 to ↑27)

 

Table 12 Drug Interactions: Changes in Pharmacokinetic Parameters for Coadministered Drugs in the Presence of RPV
NA=not available

Coadministered Drug

Dose of Coadministered Drug (mg)

RPV Dose (mg)

N

N=maximum number of subjects for Cmax, AUC, or Cmin

Mean % Change of Coadministered Drug Pharmacokinetic Parameters

Increase = ↑; Decrease = ↓; No Effect = ↔

(90% CI)

Cmax

AUC

Cmin

Acetaminophen

500 single dose

150 once daily

The Interaction study has been performed with a dose higher than the recommended dose for RPV (25 mg once daily).

16

↓3

(↓14 to ↑10)

↓8

(↓15 to ↓1)

NA

Atorvastatin

40 once daily

150 once daily

16

↑35

(↑8 to ↑68)

↑4

(↓3 to ↑12)

↓ 15

(↓ 31 to ↑ 3)

2-hydroxy-atorvastatin

16

↑58

(↑33 to ↑87)

↑39

(↑29 to ↑50)

↑32

(↑10 to ↑58)

4-hydroxy-atorvastatin

16

↑28

(↑15 to ↑43)

↑23

(↑13 to ↑33)

NA

Chlorzoxazone

500 single dose taken 2 hours after RPV

150 once daily

16

↓2

(↓15 to ↑13)

↑3

(↓5 to ↑13)

NA

Digoxin

0.5 single dose

25 once daily

22

↑6

(↓3 to ↑17)

↓2

(↓7 to ↑4)

NA

Ethinyl estradiol

0.035 once daily

25 once daily

17

↑17

(↑6 to ↑30)

↑14

(↑10 to ↑19)

↑9

(↑3 to ↑16)

Norethindrone

1 mg once daily

↓6

(↓17 to ↑6)

↓11

(↓16 to ↓6)

↓1

(↓10 to ↑8)

Ketoconazole

400 once daily

150 once daily

14

↓15

(↓20 to ↓10)

↓24

(↓30 to ↓18)

↓66

(↓75 to ↓54)

Ledipasvir

90 once daily

25 once daily

41

↑1

(↓3 to ↑5)

↑2

(↓3 to ↑6)

↑2

(↓2 to ↑7)

R(-) methadone

60−100 once daily individualized dose

25 once daily

13

↓14

(↓22 to ↓5)

↓16

(↓26 to ↓5)

↓22

(↓33 to ↓9)

S(+) methadone

13

↓13

(↓22 to ↓3)

↓16

(↓26 to ↓4)

↓21

(↓33 to ↓8)

Metformin

850 single dose

25 once daily

20

↑2

(↓5 to ↑10)

↓3

(↓10 to ↑6)

NA

Omeprazole

20 once daily

150 once daily

15

↓14

(↓32 to ↑9)

↓14

(↓24 to ↓3)

NA

Rifampin

600 once daily

150 once dailyc

16

↑2

(↓7 to ↑12)

↓1

(↓8 to ↑7)

NA

25-desacetylrifampin

16

(↓13 to ↑15)

↓9

(↓23 to ↑7)

NA

Simeprevir

150 once daily

25 once daily

21

↑ 10

(↓3 to ↑26)

↑6

(↓6 to ↑19)

↓4

(↓17 to ↑11)

Sildenafil

50 single dose

75 once daily

16

↓7

(↓20 to ↑8)

↓3

(↓13 to ↑8)

NA

N-desmethyl-sildenafil

↓10

(↓20 to ↑2)

↓8

(↓15 to ↓1)

NA

Sofosbuvir

400 once daily

25 once daily

24

↑9

(↓5 to ↑25)

↑16

(↑10 to ↑24)

NA

GS-331007

The predominant circulating nucleoside metabolite of sofosbuvir.

↓4

(↓10 to ↑1)

↑4

(0 to ↑7)

↑ 12

(↑7 to ↑17)

Velpatasvir

100 once daily

25 once daily

24

↓4

(↓15 to ↑10)

↓1

(↓12 to ↑11)

↑2

(↓9 to ↑15)

Sofosbuvir

400 once daily

25 once daily

Study conducted with ODEFSEY.

30

↓5

(↓14 to ↑5)

↑1

(↓3 to ↑6)

NA

GS-331007

↑2

(↓2 to ↑6)

↑4

(↑1 to ↑6)

NA

Velpatasvir

100 once daily

25 once daily

30

↑5

(↓4 to ↑16)

↑1

(↓6 to ↑7)

↑1

(↓5 to ↑9)

Voxilaprevir

100 + 100 once daily

25 once daily

30

↓4

(↓16 to ↑11)

↓6

(↓16 to ↑5)

↑2

(↓8 to ↑12)

TDF

300 once daily

150 once daily

16

↑19

(↑6 to ↑34)

↑23

(↑16 to ↑31)

↑24

(↑10 to ↑38)

 

Table 13 Drug Interactions: Changes in Pharmacokinetic Parameters for Coadministered Drugs in the Presence of FTC
NA=not available

Coadministered Drug

Dose of Coadministered Drug (mg)

FTC Dose (mg)

N

All interaction trials conducted in healthy volunteers

Mean % Change of Coadministered Drug Pharmacokinetic Parameters

No Effect = ↔

(90% CI)

Cmax

AUC

Cmin

Famciclovir

500 × 1

200 × 1

12

NA

TDF

300 once daily × 7 days

200 once daily × 7 days

17

 

No clinically significant drug interactions have been observed between FTC and indinavir, sofosbuvir/velpatasvir, sofosbuvir/velpatasvir/voxilaprevir, stavudine, and zidovudine.

Table 14 Drug Interactions: Changes in Pharmacokinetic Parameters for Coadministered Drugs in the Presence of TDF
NA = not available

Coadministered Drug

Dose of Coadministered Drug (mg)

TDF Dose (mg)

N

All interaction trials conducted in healthy volunteers

Mean % Change of Coadministered Drug Pharmacokinetic Parameters

Increase = ↑; No Effect = ↔

(90% CI)

Cmax

AUC

Cmin

Emtricitabine

200 once daily × 7 days

300 once daily × 7 days

17

↑20

(↑12 to ↑29)

Entecavir

1 once daily × 10 days

300 once daily

28

↑13

(↑11 to ↑15)

Tacrolimus

0.05 mg/kg twice daily × 7 days

300 once daily

21

 

No effect on the pharmacokinetic parameters of the following coadministered drugs was observed with TDF: methadone, oral contraceptives (ethinyl estradiol/norgestimate), or ribavirin.

2.2 Recommended Dosage

Emtricitabine, rilpivirine and tenofovir disoproxil fumarate tablets are a three-drug fixed dose combination product containing 200 mg of emtricitabine (FTC), 25 mg of rilpivirine (RPV), and 300 mg of tenofovir disoproxil fumarate (TDF). The recommended dosage of emtricitabine, rilpivirine and tenofovir disoproxil fumarate tablets in adult and pediatric patients weighing at least 35 kg is one tablet taken orally once daily with food [see Use in Specific Populations (8.4) and Clinical Pharmacology (12.3)].

8.7 Hepatic Impairment

No dose adjustment of emtricitabine, rilpivirine and tenofovir disoproxil fumarate tablets is required in patients with mild (Child-Pugh Class A) or moderate (Child-Pugh Class B) hepatic impairment. Emtricitabine, rilpivirine and tenofovir disoproxil fumarate tablets have not been studied in patients with severe hepatic impairment (Child-Pugh Class C) [see Clinical Pharmacology (12.3)].

Mineralization Defects

Cases of osteomalacia associated with proximal renal tubulopathy, manifested as bone pain or pain in extremities and which may contribute to fractures, have been reported in association with the use of TDF [see Adverse Reactions (6.2)]. Arthralgias and muscle pain or weakness have also been reported in cases of proximal renal tubulopathy. Hypophosphatemia and osteomalacia secondary to proximal renal tubulopathy should be considered in patients at risk of renal dysfunction who present with persistent or worsening bone or muscle symptoms while receiving products containing TDF [See Warnings and Precautions (5.5)].

Patient Package Insert

Emtricitabine, Rilpivirine and Tenofovir Disoproxil Fumarate Tablets

 

(em″ trye sye′ ta been ril″ pi vir′ een ten of′ oh vir dye″ soe prox′ il fue′ ma rate)

Important: Ask your healthcare provider or pharmacist about medicines that should not be taken with emtricitabine, rilpivirine and tenofovir disoproxil fumarate tablets. For more information, see the section “What should I tell my healthcare provider before taking emtricitabine, rilpivirine and tenofovir disoproxil fumarate tablets?”

What is the most important information I should know about emtricitabine, rilpivirine and tenofovir disoproxil fumarate tablets?

 

Emtricitabine, rilpivirine and tenofovir disoproxil fumarate tablets can cause serious side effects, including:

 

Worsening of Hepatitis B virus (HBV) infection. Your healthcare provider will test you for HBV before starting treatment with emtricitabine, rilpivirine and tenofovir disoproxil fumarate tablets. If you have HBV infection and take emtricitabine, rilpivirine and tenofovir disoproxil fumarate tablets, your HBV may get worse (flare-up) if you stop taking emtricitabine, rilpivirine and tenofovir disoproxil fumarate tablets. A “flare-up” is when your HBV infection suddenly returns in a worse way than before.

  • Do not stop taking emtricitabine, rilpivirine and tenofovir disoproxil fumarate tablets without first talking to your healthcare provider.
  • Do not run out of emtricitabine, rilpivirine and tenofovir disoproxil fumarate tablets. Refill your prescription or talk to your healthcare provider before your emtricitabine, rilpivirine and tenofovir disoproxil fumarate tablets are all gone.
  • If you stop taking emtricitabine, rilpivirine and tenofovir disoproxil fumarate tablets, your healthcare provider will need to check your health often and do blood tests regularly for several months to check your HBV infection. Tell your healthcare provider about any new or unusual symptoms you may have after you stop taking emtricitabine, rilpivirine and tenofovir disoproxil fumarate tablets.

For more information about side effects, see the section “What are the possible side effects of emtricitabine, rilpivirine and tenofovir disoproxil fumarate tablets?”.

What are emtricitabine, rilpivirine and tenofovir disoproxil fumarate tablets?

 

Emtricitabine, rilpivirine and tenofovir disoproxil fumarate tablets are a prescription medicine that is used to treat Human Immunodeficiency Virus-1 (HIV-1) in people weighing at least 77 lb (35 kg) who:

  • have never taken HIV-1 medicines before, and who have an amount of HIV-1 in their blood (this is called ‘viral load’) that is no more than 100,000 copies/mL before they start taking emtricitabine, rilpivirine and tenofovir disoproxil fumarate tablets,
  •  
    or
  • in certain people who have a viral load that is less than 50 copies/mL when they start taking emtricitabine, rilpivirine and tenofovir disoproxil fumarate tablets, to replace their current HIV-1 medicines.

HIV-1 is the virus that causes AIDS (Acquired Immune Deficiency Syndrome). Emtricitabine, rilpivirine and tenofovir disoproxil fumarate tablets do not cure HIV-1 or AIDS.

 

Emtricitabine, rilpivirine and tenofovir disoproxil fumarate tablets contain 3 medicines (emtricitabine, rilpivirine, tenofovir disoproxil fumarate) combined in one tablet. Emtricitabine (EMTRIVA®) and tenofovir disoproxil fumarate (VIREAD®) are HIV-1 nucleoside analog reverse transcriptase inhibitors (NRTIs). Rilpivirine (Edurant®) is an HIV-1 non-nucleoside analog reverse transcriptase inhibitor (NNRTI).

 

It is not known if emtricitabine, rilpivirine and tenofovir disoproxil fumarate tablets are safe and effective in children less than 12 years of age or who weigh less than 77 lb (35 kg).

Who should not take emtricitabine, rilpivirine and tenofovir disoproxil fumarate tablets?

 

Do not take emtricitabine, rilpivirine and tenofovir disoproxil fumarate tablets if you also take:

  • anti-seizure medicines:
    • o
      carbamazepine
    • o
      oxcarbazepine
    • o
      phenobarbital
    • o
      phenytoin
  • anti-tuberculosis (anti-TB) medicines:
    • o
      rifampin
    • o
      rifapentine
  • proton pump inhibitor (PPI) medicine for certain stomach or intestinal problems:
    • o
      dexlansoprazole
    • o
      esomeprazole
    • o
      lansoprazole
    • o
      omeprazole
    • o
      pantoprazole sodium
    • o
      rabeprazole
  • more than 1 dose of the steroid medicine dexamethasone or dexamethasone sodium phosphate
  • St. John’s wort (Hypericum perforatum)

What should I tell my healthcare provider before taking emtricitabine, rilpivirine and tenofovir disoproxil fumarate tablets?

 

Before taking emtricitabine, rilpivirine and tenofovir disoproxil fumarate tablets, tell your healthcare provider about all your medical conditions, including if you:

  • have liver problems, including hepatitis B or C virus infection
  • have kidney problems
  • have a history of depression or suicidal thoughts
  • have bone problems
  • are pregnant or plan to become pregnant. It is not known if emtricitabine, rilpivirine and tenofovir disoproxil fumarate tablets can harm your unborn child. Tell your healthcare provider if you become pregnant during treatment with emtricitabine, rilpivirine and tenofovir disoproxil fumarate tablets.

     

    Pregnancy Registry. There is a pregnancy registry for those who take emtricitabine, rilpivirine and tenofovir disoproxil fumarate tablets during pregnancy. The purpose of this registry is to collect information about the health of you and your baby. Talk with your healthcare provider about how you can take part in this registry.
  • are breastfeeding or plan to breastfeed. Do not breastfeed if you are taking emtricitabine, rilpivirine and tenofovir disoproxil fumarate tablets.
    • o
      You should not breastfeed if you have HIV-1 because of the risk of passing HIV-1 to your baby.
    • o
      At least two of the medicines contained in emtricitabine, rilpivirine and tenofovir disoproxil fumarate tablets can be passed to your baby in your breast milk.
    • o
      Talk with your healthcare provider about the best way to feed your baby during treatment with emtricitabine, rilpivirine and tenofovir disoproxil fumarate tablets.

Tell your healthcare provider about all the medicines you take, including prescription and over-the-counter medicines, vitamins, and herbal supplements.

 

Some medicines interact with emtricitabine, rilpivirine and tenofovir disoproxil fumarate tablets. Keep a list of your medicines to show your healthcare provider and pharmacist when you get a new medicine.

  • You can ask your healthcare provider or pharmacist for a list of medicines that can interact with emtricitabine, rilpivirine and tenofovir disoproxil fumarate tablets.
  • Do not start taking a new medicine without telling your healthcare provider. Your healthcare provider can tell you if it is safe to take emtricitabine, rilpivirine and tenofovir disoproxil fumarate tablets with other medicines.

How should I take emtricitabine, rilpivirine and tenofovir disoproxil fumarate tablets?

  • Take emtricitabine, rilpivirine and tenofovir disoproxil fumarate tablets exactly as your healthcare provider tells you to take them.
  • Take emtricitabine, rilpivirine and tenofovir disoproxil fumarate tablets with food. Taking emtricitabine, rilpivirine and tenofovir disoproxil fumarate tablets with food is important to help get the right amount of medicine in your body. A protein drink does not replace food. If your healthcare provider decides to stop emtricitabine, rilpivirine and tenofovir disoproxil fumarate tablets and you are switched to new medicines to treat HIV-1 that include rilpivirine tablets, the rilpivirine tablets should be taken only with a meal.
  • Do not change your dose or stop taking emtricitabine, rilpivirine and tenofovir disoproxil fumarate tablets without first talking with your healthcare provider. Stay under the care of your healthcare provider during treatment with emtricitabine, rilpivirine and tenofovir disoproxil fumarate tablets.
  • If you miss a dose of emtricitabine, rilpivirine and tenofovir disoproxil fumarate tablets within 12 hours of the time you usually take it, take your dose of emtricitabine, rilpivirine and tenofovir disoproxil fumarate tablets with food as soon as possible. Then, take your next dose of emtricitabine, rilpivirine and tenofovir disoproxil fumarate tablets at the regularly scheduled time. If you miss a dose of emtricitabine, rilpivirine and tenofovir disoproxil fumarate tablets by more than 12 hours of the time you usually take it, wait and then take the next dose of emtricitabine, rilpivirine and tenofovir disoproxil fumarate tablets at the regularly scheduled time.
  • Do not take more than your prescribed dose to make up for a missed dose.
  • If you take too many emtricitabine, rilpivirine and tenofovir disoproxil fumarate tablets, contact your local poison control center or go to the nearest hospital emergency room right away.
  • When your emtricitabine, rilpivirine and tenofovir disoproxil fumarate tablets supply starts to run low, get more from your healthcare provider or pharmacy. It is very important not to run out of emtricitabine, rilpivirine and tenofovir disoproxil fumarate tablets. The amount of virus in your blood may increase if the medicine is stopped for even a short time.

What are the possible side effects of emtricitabine, rilpivirine and tenofovir disoproxil fumarate tablets?

 

Emtricitabine, rilpivirine and tenofovir disoproxil fumarate tablets can cause serious side effects, including:

  • See “What is the most important information I should know about emtricitabine, rilpivirine and tenofovir disoproxil fumarate tablets?”
  • Severe skin rash and allergic reactions. Skin rash is a common side effect of emtricitabine, rilpivirine and tenofovir disoproxil fumarate tablets. Rash can be serious. Call your healthcare provider right away if you get a rash. In some cases, rash and allergic reaction may need to be treated in a hospital. If you get a rash with any of the following symptoms, stop taking emtricitabine, rilpivirine and tenofovir disoproxil fumarate tablets and call your healthcare provider or get medical help right away:
  • fever
  • skin blisters
  • mouth sores
  • redness or swelling of the eyes (conjunctivitis)
  • swelling of the face, lips, mouth, tongue or throat
  • trouble breathing or swallowing
  • pain on the right side of the stomach (abdominal) area
  • dark or “tea-colored” urine
  • Severe liver problems. In rare cases, severe liver problems can happen that can lead to death. Tell your healthcare provider right away if you get these symptoms: skin or the white part of your eyes turns yellow, dark “tea-colored” urine, light-colored stools, loss of appetite for several days or longer, nausea, or stomach-area pain.
  • Change in liver enzymes. People with a history of hepatitis B or C virus infection or who have certain liver enzyme changes may have an increased risk of developing new or worsening liver problems during treatment with emtricitabine, rilpivirine and tenofovir disoproxil fumarate tablets. Liver problems can also happen during treatment with emtricitabine, rilpivirine and tenofovir disoproxil fumarate tablets in people without a history of liver disease. Your healthcare provider may need to do tests to check your liver enzymes before and during treatment with emtricitabine, rilpivirine and tenofovir disoproxil fumarate tablets.
  • Depression or mood changes. Tell your healthcare provider right away if you have any of the following symptoms:
    • feel sad or hopeless
    • feel anxious or restless
    • have thoughts of hurting yourself (suicide) or have tried to hurt yourself
  • New or worse kidney problems, including kidney failure, can happen in some people who take emtricitabine, rilpivirine and tenofovir disoproxil fumarate tablets. Your healthcare provider should do blood tests to check your kidneys before starting treatment with emtricitabine, rilpivirine and tenofovir disoproxil fumarate tablets. If you have had kidney problems in the past or need to take another medicine that can cause kidney problems, your healthcare provider may need to do blood tests to check your kidneys during your treatment with emtricitabine, rilpivirine and tenofovir disoproxil fumarate tablets.
  • Bone problems can happen in some people who take emtricitabine, rilpivirine and tenofovir disoproxil fumarate tablets. Bone problems include bone pain, softening, or thinning (which may lead to fractures). Your healthcare provider may need to do additional tests to check your bones.
  • Too much lactic acid in your blood (lactic acidosis). Too much lactic acid is a serious but rare medical emergency that can lead to death. Tell your healthcare provider right away if you get these symptoms: weakness or being more tired than usual, unusual muscle pain, being short of breath or fast breathing, stomach pain with nausea and vomiting, cold or blue hands and feet, feel dizzy or lightheaded, or a fast or abnormal heartbeat.
  • Changes in your immune system (Immune Reconstitution Syndrome) can happen when you start taking HIV-1 medicines. Your immune system may get stronger and begin to fight infections that have been hidden in your body for a long time. Tell your healthcare provider right away if you start having new symptoms after starting your HIV-1 medicine.

 

The most common side effects of rilpivirine, one of the medicines in emtricitabine, rilpivirine and tenofovir disoproxil fumarate tablets, include:

  • depression
  • trouble sleeping
  • headache

The most common side effects of emtricitabine and tenofovir disoproxil fumarate, two of the medicines in emtricitabine, rilpivirine and tenofovir disoproxil fumarate tablets, include:

  • diarrhea
  • nausea
  • tiredness
  • headache
  • dizziness
  • depression
  • trouble sleeping
  • abnormal dreams
  • rash

These are not all the possible side effects of emtricitabine, rilpivirine and tenofovir disoproxil fumarate tablets.

Call your healthcare provider for medical advice about side effects. You may report side effects to FDA at 1-800-FDA-1088.

How should I store emtricitabine, rilpivirine and tenofovir disoproxil fumarate tablets?

  • Store emtricitabine, rilpivirine and tenofovir disoproxil fumarate tablets at room temperature between 20° to 25°C (68° to 77°F).
  • Keep emtricitabine, rilpivirine and tenofovir disoproxil fumarate tablets in their original container and keep the container tightly closed.
  • Do not use emtricitabine, rilpivirine and tenofovir disoproxil fumarate tablets if the seal over the bottle opening is broken or missing.

 

Keep emtricitabine, rilpivirine and tenofovir disoproxil fumarate tablets and all other medicines out of reach of children.

General information about safe and effective use of emtricitabine, rilpivirine and tenofovir disoproxil fumarate tablets

Medicines are sometimes prescribed for purposes other than those listed in a Patient Information leaflet. Do not use emtricitabine, rilpivirine and tenofovir disoproxil fumarate tablets for a condition for which they were not prescribed. Do not give emtricitabine, rilpivirine and tenofovir disoproxil fumarate tablets to other people, even if they have the same symptoms you have. They may harm them. You can ask your healthcare provider or pharmacist for information about emtricitabine, rilpivirine and tenofovir disoproxil fumarate tablets that is written for health professionals.

 

For more information, call Mylan at 1-877-446-3679 (1-877-4-INFO-RX).

What are the ingredients of emtricitabine, rilpivirine and tenofovir disoproxil fumarate tablets?

 

Active ingredients: emtricitabine, rilpivirine hydrochloride, and tenofovir disoproxil fumarate.

Inactive ingredients: corn starch, croscarmellose sodium, hypromellose, lactose monohydrate, magnesium stearate, microcrystalline cellulose, povidone, red iron oxide, talc, titanium dioxide, triacetin and yellow iron oxide.

 

Manufactured for: Mylan Pharmaceuticals Inc., Morgantown, WV 26505 U.S.A.

Manufactured by: Mylan Laboratories Limited, Hyderabad – 500 096, India

This Patient Information has been approved by the U.S. Food and Drug Administration.

The brands listed are trademarks of their respective owners.

Manufactured for:

Mylan Pharmaceuticals Inc.

Morgantown, WV 26505 U.S.A.

Manufactured by:

Mylan Laboratories Limited

Hyderabad — 500 096, India

Code No.: MH/DRUGS/AD/089

Revised: 12/2024

75057890

MXA:EMRITE:R4

1 Indications and Usage (1 INDICATIONS AND USAGE)

Emtricitabine, rilpivirine and tenofovir disoproxil fumarate tablets are indicated as a complete regimen for the treatment of HIV-1 infection in adults and pediatric patients weighing at least 35 kg:

  • as initial therapy in those with no antiretroviral treatment history with HIV-1 RNA less than or equal to 100,000 copies/mL at the start of therapy or
  • to replace a stable antiretroviral regimen in those who are virologically suppressed (HIV-1 RNA less than 50 copies/mL) on a stable antiretroviral regimen for at least 6 months with no treatment failure and no known substitutions associated with resistance to the individual components of emtricitabine, rilpivirine and tenofovir disoproxil fumarate tablets [see Microbiology (12.4) and Clinical Studies (14)].

Limitations of Use:

  • More rilpivirine-treated subjects with HIV-1 RNA greater than 100,000 copies/mL at the start of therapy experienced virologic failure (HIV-1 RNA ≥ 50 copies/mL) compared to rilpivirine-treated subjects with HIV-1 RNA less than or equal to 100,000 copies/mL [see Clinical Studies (14)].
14.2 Pediatric Subjects

The pharmacokinetics, safety, and efficacy of RPV in combination with other antiretroviral agents was evaluated in a single-arm, open-label Phase 2 trial in antiretroviral treatment-naïve HIV-1-infected pediatric subjects 12 to less than 18 years of age and weighing at least 32 kg (TMC-C213). Thirty-six (36) subjects were enrolled with a median age of 14.5 years (range 12 to 17 years), and were 55.6% female, 88.9% Black, and 11.1% Asian. The majority of subjects (24/36) received RPV in combination with FTC and TDF. Of these 24 subjects, 20 had baseline HIV RNA ≤ 100,000 copies/mL. The baseline characteristics and efficacy outcomes at Week 48 are further described below for the 20 subjects.

The median baseline plasma HIV-1 RNA and CD4+ cell count were 49,550 (range 2060 to 92,600 copies/mL) and 437.5 cells/mm3 (range 123 to 983 cells/mm3), respectively. At Week 48, 80% (16/20) of the subjects had HIV RNA < 50 copies/mL, 15% (3/20) had HIV RNA ≥ 50 copies/mL, and one subject discontinued therapy prior to Week 48 and before reaching virologic suppression (HIV RNA < 50 copies/mL). At Week 48, the mean increase in CD4+ cell count from baseline was 225 cells/mm3.

7.5 Qt Prolonging Drugs (7.5 QT Prolonging Drugs)

There is limited information available on the potential for a pharmacodynamic interaction between RPV and drugs that prolong the QTc interval of the electrocardiogram. In a study of healthy subjects, 75 mg once daily and 300 mg once daily doses of RPV (3 times and 12 times the dose in emtricitabine, rilpivirine and tenofovir disoproxil fumarate tablets) have been shown to prolong the QTc interval of the electrocardiogram [see Warnings and Precautions (5.7) and Clinical Pharmacology (12.2)]. Consider alternatives to emtricitabine, rilpivirine and tenofovir disoproxil fumarate tablets when coadministered with a drug with a known risk of Torsade de Pointes.

12.1 Mechanism of Action

Emtricitabine, rilpivirine and tenofovir disoproxil fumarate tablets are a fixed-dose combination of the antiretroviral drugs FTC, RPV, and TDF [see Microbiology (12.4)].

5.4 Depressive Disorders

The adverse reaction depressive disorders (depressed mood, depression, dysphoria, major depression, mood altered, negative thoughts, suicide attempt, suicidal ideation) has been reported with RPV. Patients with severe depressive symptoms should seek immediate medical evaluation to assess the possibility that the symptoms are related to emtricitabine, rilpivirine and tenofovir disoproxil fumarate tablets, and if so, to determine whether the risks of continued therapy outweigh the benefits.

During the Phase 3 trials in adults (N=1368) through 96 weeks, the incidence of depressive disorders (regardless of causality, severity) reported among RPV (n=686) or efavirenz (EFV, n=682) was 9% and 8%, respectively. Most events were mild or moderate in severity. The incidence of Grades 3 and 4 depressive disorders (regardless of causality) was 1% for both RPV and EFV. The incidence of discontinuation due to depressive disorders among RPV or EFV was 1% in each arm. Suicidal ideation was reported in 4 subjects in each arm while suicide attempt was reported in 2 subjects in the RPV arm.

During the Phase 2 trial in pediatric subjects 12 to less than 18 years of age (N=36) receiving RPV through 48 weeks, the incidence of depressive disorders (regardless of causality, severity) was 19.4% (7/36). Most events were mild or moderate in severity. The incidence of Grade 3 and 4 depressive disorders (regardless of causality) was 5.6% (2/36). None of the subjects discontinued due to depressive disorders. Suicidal ideation and suicide attempt were reported in 1 subject.

5 Warnings and Precautions (5 WARNINGS AND PRECAUTIONS)
  • Skin and Hypersensitivity Reactions: Severe skin and hypersensitivity reactions have been reported during postmarketing experience, including cases of Drug Reaction with Eosinophilia and Systemic Symptoms (DRESS). Immediately discontinue treatment if hypersensitivity or rash with systemic symptoms or elevations in hepatic serum biochemistries develops and closely monitor clinical status, including hepatic serum biochemistries. (5.2)
  • Hepatotoxicity: Hepatic adverse events have been reported in patients receiving a rilpivirine-containing regimen. Monitor liver-associated tests before and during treatment with emtricitabine, rilpivirine and tenofovir disoproxil fumarate tablets in patients with underlying hepatic disease or marked elevations in liver-associated tests. Also consider monitoring liver-associated tests in patients without risk factors. (5.3)
  • Depressive disorders: Severe depressive disorders have been reported. Immediate medical evaluation is recommended for severe depressive disorders. (5.4)
  • New onset or worsening renal impairment: Can include acute renal failure and Fanconi syndrome. Avoid administering emtricitabine, rilpivirine and tenofovir disoproxil fumarate tablets with concurrent or recent use of nephrotoxic drugs. (5.5)
  • Decreases in bone mineral density (BMD): Consider monitoring BMD in patients with a history of pathologic fracture or other risk factors of osteoporosis or bone loss. (5.6)
  • Concomitant use of emtricitabine, rilpivirine and tenofovir disoproxil fumarate tablets with drugs with a known risk to prolong the QTc interval of the electrocardiogram may increase the risk of Torsade de Pointes. (5.7)
  • Lactic acidosis/severe hepatomegaly with steatosis: Discontinue treatment in patients who develop symptoms or laboratory findings suggestive of lactic acidosis or pronounced hepatotoxicity. (5.8)
  • Immune reconstitution syndrome: May necessitate further evaluation and treatment. (5.9)
2 Dosage and Administration (2 DOSAGE AND ADMINISTRATION)
  • Testing: Prior to or when initiating emtricitabine, rilpivirine and tenofovir disoproxil fumarate tablets, test for hepatitis B virus infection. Prior to initiation and during treatment with emtricitabine, rilpivirine and tenofovir disoproxil fumarate tablets, on a clinically appropriate schedule, assess serum creatinine, estimated creatinine clearance, urine glucose, and urine protein in all patients. In patients with chronic kidney disease, also assess serum phosphorus. (2.1)
  • Recommended dosage in adults and pediatric patients weighing at least 35 kg: One tablet taken orally once daily with food. (2.2)
  • For pregnant patients who are already on emtricitabine, rilpivirine and tenofovir disoproxil fumarate tablets prior to pregnancy and who are virologically suppressed (HIV-1 RNA less than 50 copies per mL), one tablet taken once daily may be continued. Lower exposures of rilpivirine were observed during pregnancy; therefore, viral load should be monitored closely. (2.3)
  • Renal impairment: Not recommended in patients with estimated creatinine clearance below 50 mL per minute. (2.4)
  • Recommended dosage with rifabutin coadministration: an additional 25 mg tablet of rilpivirine (Edurant®) once per day taken concomitantly with emtricitabine, rilpivirine and tenofovir disoproxil fumarate tablets and with a meal for the duration of the rifabutin coadministration. (2.5, 7.6, 12.3)
Pregnancy Exposure Registry

There is a pregnancy exposure registry that monitors pregnancy outcomes in individuals exposed to emtricitabine, rilpivirine and tenofovir disoproxil fumarate tablets during pregnancy. Healthcare providers are encouraged to register patients by calling the Antiretroviral Pregnancy Registry (APR) at 1-800-258-4263.

3 Dosage Forms and Strengths (3 DOSAGE FORMS AND STRENGTHS)

Emtricitabine, Rilpivirine and Tenofovir Disoproxil Fumarate Tablets are available containing 200 mg of emtricitabine, 27.5 mg of rilpivirine hydrochloride equivalent to 25 mg of rilpivirine, and 300 mg of tenofovir disoproxil fumarate equivalent to 245 mg of tenofovir disoproxil.

  • The 200 mg/25 mg/300 mg tablets are yellow, film-coated, capsule shaped, unscored tablets debossed with M on one side of the tablet and ERT on the other side.
6.2 Postmarketing Experience

The following adverse reactions have been identified during postmarketing experience in patients receiving RPV- or TDF-containing regimens. Because postmarketing reactions are reported voluntarily from a population of uncertain size, it is not always possible to reliably estimate their frequency or establish a causal relationship to drug exposure.

Emtricitabine, Rilpivirine and Tenofovir Disoproxil Fumarate Tablets:

Metabolism and Nutrition Disorders:

weight increased

Skin and Subcutaneous Tissue Disorders

severe skin and hypersensitivity reactions including DRESS (Drug Reaction with Eosinophilia and Systemic Symptoms)

Rilpivirine:

Renal and Urinary Disorders:

nephrotic syndrome

Emtricitabine:

No postmarketing adverse reactions have been identified for inclusion in this section.

Tenofovir DF:

Immune System Disorders

allergic reaction, including angioedema

Metabolism and Nutrition Disorders

lactic acidosis, hypokalemia, hypophosphatemia

Respiratory, Thoracic, and Mediastinal Disorders

dyspnea

Gastrointestinal Disorders

pancreatitis, increased amylase, abdominal pain

Hepatobiliary Disorders

hepatic steatosis, hepatitis, increased liver enzymes (most commonly AST, ALT, gamma GT)

Skin and Subcutaneous Tissue Disorders

rash

Musculoskeletal and Connective Tissue Disorders

rhabdomyolysis, osteomalacia (manifested as bone pain and which may contribute to fractures), muscular weakness, myopathy

Renal and Urinary Disorders

acute renal failure, renal failure, acute tubular necrosis, Fanconi syndrome, proximal renal tubulopathy, interstitial nephritis (including acute cases), nephrogenic diabetes insipidus, renal insufficiency, increased creatinine, proteinuria, polyuria

General Disorders and Administration Site Conditions

asthenia

The following adverse reactions, listed under the body system headings above, may occur as a consequence of proximal renal tubulopathy: rhabdomyolysis, osteomalacia, hypokalemia, muscular weakness, myopathy, hypophosphatemia.

Effects On Electrocardiogram (Effects on Electrocardiogram)

The effect of RPV at the recommended dose of 25 mg once daily on the QTcF interval was evaluated in a randomized, placebo-, and active- (moxifloxacin 400 mg once daily) controlled crossover study in 60 healthy adults, with 13 measurements over 24 hours at steady state. The maximum mean time-matched (95% upper confidence bound) differences in QTcF interval from placebo after baseline correction was 2.0 (5.0) milliseconds (i.e., below the threshold of clinical concern).

When doses of 75 mg once daily and 300 mg once daily of RPV (3 times and 12 times the dose in emtricitabine, rilpivirine and tenofovir disoproxil fumarate tablets) were studied in healthy adults, the maximum mean time-matched (95% upper confidence bound) differences in QTcF interval from placebo after baseline correction were 10.7 (15.3) and 23.3 (28.4) milliseconds, respectively. Steady-state administration of RPV 75 mg once daily and 300 mg once daily resulted in a mean steady-state Cmax approximately 2.6-fold and 6.7-fold, respectively, higher than the mean Cmax observed with the recommended 25 mg once daily dose of RPV [see Warnings and Precautions (5.7)].

8 Use in Specific Populations (8 USE IN SPECIFIC POPULATIONS)
  • Pregnancy: Monitor viral load closely during pregnancy as rilpivirine exposures were generally lower during pregnancy. (2.3, 8.1, 12.3)
  • Lactation: Breastfeeding not recommended due to the potential for HIV-1 transmission. (8.2)
  • Pediatrics: Not recommended for patients weighing less than 35 kg. (8.4)
6.1 Clinical Trials Experience

Because clinical trials are conducted under widely varying conditions, adverse reaction rates observed in the clinical trials of a drug cannot be directly compared to rates in the clinical trials of another drug and may not reflect the rates observed in practice.

7.3 Drugs Increasing Gastric Ph (7.3 Drugs Increasing Gastric pH)

Coadministration of RPV with drugs that increase gastric pH may decrease plasma concentrations of RPV and loss of virologic response and possible resistance to RPV or to the class of NNRTIs. Use of RPV with proton pump inhibitors is contraindicated and use of RPV with H2-receptor antagonists requires staggered administration [see Contraindications (4) and Clinical Pharmacology (12.3)].

17 Patient Counseling Information (17 PATIENT COUNSELING INFORMATION)

Advise the patient to read the FDA-approved patient labeling (Patient Information).

Posttreatment Acute Exacerbation of Hepatitis B in Patients Coinfected with HIV-1 and HBV

Severe acute exacerbations of hepatitis B have been reported in patients who are coinfected with HBV and HIV-1 and who have discontinued products containing FTC or TDF [see Warnings and Precautions (5.1)]. Advise patients to not discontinue emtricitabine, rilpivirine and tenofovir disoproxil fumarate tablets without first informing their healthcare provider.

Severe Skin Reactions and Hypersensitivity

Advise patients to immediately contact their healthcare provider if they develop a rash. Instruct patients to immediately stop taking emtricitabine, rilpivirine and tenofovir disoproxil fumarate tablets and seek medical attention if they develop a rash associated with any of the following symptoms, as it may be a sign of a more serious reaction such as DRESS severe hypersensitivity: fever, blisters, mucosal involvement, eye inflammation (conjunctivitis), severe allergic reaction causing swelling of the face, eyes, lips, mouth, tongue, or throat which may lead to difficulty swallowing or breathing, and any signs and symptoms of liver problems, as they may be a sign of a more serious reaction. Patients should understand that if severe rash occurs, they will be closely monitored, laboratory tests will be performed and appropriate therapy will be initiated [see Warnings and Precautions (5.2)].

Hepatotoxicity

Inform patients that hepatotoxicity has been reported with emtricitabine, rilpivirine and tenofovir disoproxil fumarate tablets and that monitoring for hepatotoxicity is recommended [see Warnings and Precautions (5.3)].

Depressive Disorders

Inform patients that depressive disorders (depressed mood, depression, dysphoria, major depression, mood altered, negative thoughts, suicide attempt, suicidal ideation) have been reported with emtricitabine, rilpivirine and tenofovir disoproxil fumarate tablets. Advise patients to seek immediate medical evaluation if they experience depressive symptoms [see Warnings and Precautions (5.4)].

New Onset or Worsening Renal Impairment

Inform patients that renal impairment, including cases of acute renal failure and Fanconi syndrome, has been reported in association with the use of TDF. Emtricitabine, rilpivirine and tenofovir disoproxil fumarate tablets should be avoided with concurrent or recent use of a nephrotoxic agent (e.g., high-dose or multiple NSAIDs) [see Warnings and Precautions (5.5)].

Bone Loss and Mineralization Defects

Inform patients that decreases in bone mineral density have been observed with the use of TDF. Assessment of bone mineral density (BMD) should be considered in patients who have a history of pathologic bone fracture or other risk factors for osteoporosis or bone loss [see Warnings and Precautions (5.6)].

Drug Interactions

Emtricitabine, rilpivirine and tenofovir disoproxil fumarate tablets may interact with many drugs and are not recommended to be coadministered with numerous drugs. Advise patients to report to their healthcare provider the use of any other prescription or nonprescription medication or herbal products, including St. John’s wort [see Contraindications (4), Warnings and Precautions (5.7), and Drug Interactions (7)].

For patients receiving rifabutin, an additional 25 mg tablet of RPV (Edurant) once per day is recommended to be taken concomitantly with emtricitabine, rilpivirine and tenofovir disoproxil fumarate tablets and with a meal for the duration of rifabutin coadministration.

Lactic Acidosis and Severe Hepatomegaly

Inform patients that lactic acidosis and severe hepatomegaly with steatosis, including fatal cases, have been reported. Treatment with emtricitabine, rilpivirine and tenofovir disoproxil fumarate tablets should be suspended in any patient who develops clinical symptoms suggestive of lactic acidosis or pronounced hepatotoxicity [see Warnings and Precautions (5.8)].

Immune Reconstitution Syndrome

Inform patients to inform their healthcare provider immediately of any signs and symptoms of inflammation from previous infections, which may occur soon after anti-HIV treatment is started [see Warnings and Precautions (5.9)].

Dosing Instructions

Advise patients that it is important to take emtricitabine, rilpivirine and tenofovir disoproxil fumarate tablets on a regular dosing schedule with food and to avoid missing doses. A protein drink is not a substitute for food. If the healthcare provider decides to stop emtricitabine, rilpivirine and tenofovir disoproxil fumarate tablets and the patient is switched to new medicines to treat HIV that include RPV tablets, the RPV tablets should be taken only with a meal.

Pregnancy Registry

Inform patients that there is an antiretroviral pregnancy registry to monitor fetal outcomes in those exposed to emtricitabine, rilpivirine and tenofovir disoproxil fumarate tablets during pregnancy [see Use in Specific Populations (8.1)].

Lactation

Instruct patients with HIV-1 infection not to breastfeed because HIV-1 can be passed to the baby in breast milk [see Use in Specific Populations (8.2)].

7.6 Significant Drug Interactions

Important drug interaction information for emtricitabine, rilpivirine and tenofovir disoproxil fumarate tablets is summarized in Table 4. The drug interactions described are based on studies conducted with FTC, RPV, or TDF as individual medications or with emtricitabine, rilpivirine and tenofovir disoproxil fumarate tablets as a combination product, or are potential drug interactions [see Clinical Pharmacology (12.3), Tables 9–14]. For list of contraindicated drugs, [see Contraindications (4)].

Table 4 Significant
This table is not all inclusive.
Drug Interactions

Concomitant Drug Class:

Drug Name

Effect on Concentration

Increase = ↑; Decrease = ↓; No Effect = ↔

Clinical Comment

Antacids:

     antacids (e.g., aluminum, magnesium hydroxide, or calcium carbonate)

↔ RPV

(antacids taken at least 2 hours before or at least 4 hours after RPV)

 

↓ RPV

(concomitant intake)

Administer antacids at least 2 hours before or at least 4 hours after emtricitabine, rilpivirine and tenofovir disoproxil fumarate tablets.

Anticonvulsants:

     carbamazepine

     oxcarbazepine

     phenobarbital

     phenytoin

↓ RPV

Coadministration is contraindicated due to potential for loss of virologic response and development of resistance.

Antimycobacterials:

     rifampin

     rifapentine

↓ RPV

Coadministration is contraindicated due to potential for loss of virologic response and development of resistance.

     rifabutin

↓ RPV

The interaction was evaluated in a clinical study. All other drug-drug interactions shown are predicted.

If emtricitabine, rilpivirine and tenofovir disoproxil fumarate tablets are coadministered with rifabutin, an additional 25 mg tablet of RPV (Edurant) once per day is recommended to be taken concomitantly with emtricitabine, rilpivirine and tenofovir disoproxil fumarate tablets and with a meal for the duration of rifabutin coadministration.

Azole Antifungal Agents:

     fluconazole

     itraconazole

     ketoconazole

     posaconazole

     voriconazole

↑ RPV

,
This interaction study has been performed with a dose higher than the recommended dose for RPV assessing the maximal effect on the coadministered drug. The dosing recommendation is applicable to the recommended dose of RPV 25 mg once daily.

↓ ketoconazole

,

No dose adjustment is required when emtricitabine, rilpivirine and tenofovir disoproxil fumarate tablets are coadministered with azole antifungal agents. Clinically monitor for breakthrough fungal infections when azole antifungals are coadministered with emtricitabine, rilpivirine and tenofovir disoproxil fumarate tablets.

Glucocorticoid

(systemic):

     dexamethasone

     (more than a single-dose treatment)

↓ RPV

Coadministration is contraindicated due to potential for loss of virologic response and development of resistance.

Hepatitis C Antiviral Agents:

     ledipasvir/sofosbuvir

     sofosbuvir/velpatasvir

     sofosbuvir/velpatasvir/

     voxilaprevir

↑ tenofovir

Patients receiving emtricitabine, rilpivirine and tenofovir disoproxil fumarate tablets concomitantly with HARVONI® (ledipasvir/sofosbuvir), EPCLUSA® (sofosbuvir/velpatasvir), or VOSEVI® (sofosbuvir/velpatasvir/voxilaprevir) should be monitored for adverse reactions associated with TDF.

H2-Receptor Antagonists:

     cimetidine

     famotidine

     nizatidine

     ranitidine

↔ RPV

,

(famotidine taken 12 hours before RPV or 4 hours after RPV)

 

↓ RPV

,

(famotidine taken 2 hours before RPV)

Administer H2-receptor antagonists at least 12 hours before or at least 4 hours after emtricitabine, rilpivirine and tenofovir disoproxil fumarate tablets.

Herbal Products:

     St John’s wort

     (Hypericum perforatum)

↓ RPV

Coadministration is contraindicated due to potential for loss of virologic response and development of resistance.

Macrolide or Ketolide Antibiotics:

     clarithromycin

     erythromycin

     telithromycin

↑ RPV

↔ clarithromycin

↔ erythromycin

↔ telithromycin

Where possible, alternatives such as azithromycin should be considered.

Narcotic Analgesics:

     methadone

↓ R(−) methadone

↓ S(+) methadone

↔ RPV

↔ methadone

(when used with tenofovir)

No dose adjustments are required when initiating coadministration of methadone with emtricitabine, rilpivirine and tenofovir disoproxil fumarate tablets. However, clinical monitoring is recommended as methadone maintenance therapy may need to be adjusted in some patients.

Proton Pump Inhibitors:

     e.g., dexlansoprazole

     esomeprazole

     lansoprazole

     omeprazole

     pantoprazole

     rabeprazole

↓ RPV

Coadministration is contraindicated due to potential for loss of virologic response and development of resistance.

 

5.9 Immune Reconstitution Syndrome

Immune reconstitution syndrome has been reported in patients treated with combination antiretroviral therapy, including the components of emtricitabine, rilpivirine and tenofovir disoproxil fumarate tablets. During the initial phase of combination antiretroviral treatment, patients whose immune system responds may develop an inflammatory response to indolent or residual opportunistic infections (such as Mycobacterium avium infection, cytomegalovirus, Pneumocystis jirovecii pneumonia [PCP], or tuberculosis), which may necessitate further evaluation and treatment.

Autoimmune disorders (such as Graves’ disease, polymyositis, Guillain-Barré syndrome, and autoimmune hepatitis) have also been reported to occur in the setting of immune reconstitution; however, the time to onset is more variable and can occur many months after initiation of treatment.

7.4 Drugs Affecting Renal Function

Because FTC and tenofovir are primarily eliminated by the kidneys through a combination of glomerular filtration and active tubular secretion, coadministration of emtricitabine, rilpivirine and tenofovir disoproxil fumarate tablets with drugs that reduce renal function or compete for active tubular secretion may increase serum concentrations of FTC, tenofovir, and/or other renally eliminated drugs. Some examples of drugs that are eliminated by active tubular secretion include, but are not limited to, acyclovir, adefovir dipivoxil, cidofovir, ganciclovir, valacyclovir, valganciclovir, aminoglycosides (e.g., gentamicin), and high-dose or multiple NSAIDs [see Warnings and Precautions (5.5)].

16 How Supplied/storage and Handling (16 HOW SUPPLIED/STORAGE AND HANDLING)

Emtricitabine, Rilpivirine and Tenofovir Disoproxil Fumarate Tablets are available containing 200 mg of emtricitabine, 27.5 mg of rilpivirine hydrochloride equivalent to 25 mg of rilpivirine, and 300 mg of tenofovir disoproxil fumarate equivalent to 245 mg of tenofovir disoproxil.

The 200 mg/25 mg/300 mg tablets are yellow, film-coated, capsule shaped, unscored tablets debossed with M on one side of the tablet and ERT on the other side. They are available as follows:

NDC 0378-5440-93

bottles of 30 tablets

NDC 0378-5440-77

bottles of 90 tablets

Store at 20° to 25°C (68° to 77°F). [See USP Controlled Room Temperature.]

Keep container tightly closed.

Dispense only in original container.

2.3 Recommended Dosage During Pregnancy

For pregnant patients who are already on emtricitabine, rilpivirine and tenofovir disoproxil fumarate tablets prior to pregnancy and are virologically suppressed (HIV-1 RNA less than 50 copies per mL), one tablet of emtricitabine, rilpivirine and tenofovir disoproxil fumarate taken once daily may be continued. Lower exposures of rilpivirine, a component of emtricitabine, rilpivirine and tenofovir disoproxil fumarate tablets, were observed during pregnancy, therefore viral load should be monitored closely [see Use in Specific Populations (8.1) and Clinical Pharmacology (12.3)].

5.2 Skin and Hypersensitivity Reactions

Severe skin and hypersensitivity reactions have been reported during the postmarketing experience, including cases of Drug Reaction with Eosinophilia and Systemic Symptoms (DRESS) with RPV-containing regimens. While some skin reactions were accompanied by constitutional symptoms such as fever, other skin reactions were associated with organ dysfunctions, including elevations in hepatic serum biochemistries. During the Phase 3 clinical trials, treatment-related rashes with at least Grade 2 severity were reported in 1% of subjects receiving RPV plus FTC/TDF. Overall, most rashes were Grade 1 or 2 and occurred in the first four to six weeks of therapy [see Adverse Reactions (6.1 and 6.2)].

Discontinue emtricitabine, rilpivirine and tenofovir disoproxil fumarate tablets immediately if signs or symptoms of severe skin or hypersensitivity reactions develop, including but not limited to, severe rash or rash accompanied by fever, blisters, mucosal involvement, conjunctivitis, facial edema, angioedema, hepatitis, or eosinophilia. Clinical status including laboratory parameters should be monitored and appropriate therapy should be initiated.

13.2 Animal Toxicology And/or Pharmacology (13.2 Animal Toxicology and/or Pharmacology)

Tenofovir DF: Tenofovir and TDF administered in toxicology studies to rats, dogs, and monkeys at exposures (based on AUCs) greater than or equal to 6-fold those observed in humans caused bone toxicity. In monkeys the bone toxicity was diagnosed as osteomalacia. Osteomalacia observed in monkeys appeared to be reversible upon dose reduction or discontinuation of tenofovir. In rats and dogs, the bone toxicity manifested as reduced bone mineral density. The mechanism(s) underlying bone toxicity is unknown.

Evidence of renal toxicity was noted in 4 animal species. Increases in serum creatinine, BUN, glycosuria, proteinuria, phosphaturia, and/or calciuria and decreases in serum phosphate were observed to varying degrees in these animals. These toxicities were noted at exposures (based on AUCs) 2–20 times higher than those observed in humans. The relationship of the renal abnormalities, particularly the phosphaturia, to the bone toxicity is not known.

Laboratory Abnormalities in Adult Subjects

The percentage of subjects treated with RPV + FTC/TDF or EFV + FTC/TDF in studies C209 and C215 with selected laboratory abnormalities (Grades 1–4), representing worst-grade toxicity, is presented in Table 2.

Table 2 Selected Laboratory Abnormalities (Grades 1–4) Reported in Adult Subjects Who Received RPV or EFV in Combination with FTC/TDF in Studies C209 and C215 (Week 96 Analysis)
N=number of subjects per treatment group
ULN=Upper limit of normal value.
Note: Percentages were calculated versus the number of subjects in ITT population with FTC + TDF as background regimen.

Laboratory Parameter Abnormality

DAIDS Toxicity Range

RPV + FTC/TDF

EFV + FTC/TDF

N=550

N=546

BIOCHEMISTRY

Increased Creatinine

     Grade 1

1.1–1.3 × ULN

6%

1%

     Grade 2

>1.3–1.8 × ULN

1%

1%

     Grade 3

>1.8–3.4 × ULN

<1%

0

     Grade 4

>3.4 × ULN

0

<1%

Increased AST

     Grade 1

1.25–2.5 × ULN

16%

19%

     Grade 2

>2.5–5.0 × ULN

4%

7%

     Grade 3

>5.0–10.0 × ULN

2%

3%

     Grade 4

>10.0 × ULN

1%

1%

Increased ALT

     Grade 1

1.25–2.5 × ULN

19%

22%

     Grade 2

>2.5–5.0 × ULN

5%

7%

     Grade 3

>5.0–10.0 × ULN

1%

2%

     Grade 4

>10.0 × ULN

1%

1%

Increased Total Bilirubin

     Grade 1

1.1–1.5 × ULN

6%

<1%

     Grade 2

>1.5–2.5 × ULN

3%

1%

     Grade 3

>2.5–5.0 × ULN

1%

<1%

Increased Total Cholesterol (fasted)

     Grade 1

200–239 mg/dL

14%

31%

     Grade 2

240–300 mg/dL

6%

18%

     Grade 3

>300 mg/dL

< 1%

2%

Increased LDL Cholesterol (fasted)

     Grade 1

130–159 mg/dL

13%

28%

     Grade 2

160–190 mg/dL

5%

13%

     Grade 3

>190 mg/dL

1%

4%

Increased Triglycerides (fasted)

     Grade 2

500–750 mg/dL

1%

2%

     Grade 3

751–1200 mg/dL

1%

2%

     Grade 4

>1200 mg/dL

0

1%

 

Emtricitabine or Tenofovir DF: The following Grade 3 or 4 laboratory abnormalities have been previously reported in subjects treated with FTC or TDF with other antiretroviral agents in other clinical trials: increased pancreatic amylase (>2.0 × ULN), increased serum amylase (>175 U/L), increased lipase (>3.0 × ULN), increased alkaline phosphatase (>550 U/L), increased or decreased serum glucose (<40 or >250 mg/dL), increased glycosuria (≥3+), increased creatine kinase (M: >990 U/L; F: >845 U/L), decreased neutrophils (<750/mm3), and increased hematuria (>75 RBC/HPF).

Adrenal Function: In the pooled Phase 3 trials of C209 and C215, in subjects treated with RPV plus any of the allowed background regimens (N=686), at Week 96 there was an overall mean change from baseline in basal cortisol of -0.69 (-1.12, 0.27) micrograms/dL in the RPV group, and of -0.02 (-0.48, 0.44) micrograms/dL in the EFV group.

In the RPV group, 43/588 (7.3%) of subjects with a normal 250 micrograms ACTH stimulation test at baseline developed an abnormal 250 micrograms ACTH stimulation test (peak cortisol level <18.1 micrograms/dL) during the trial compared to 18/561 (3.2%) in the EFV group. Of the subjects who developed an abnormal 250 micrograms ACTH stimulation test during the trial, 14 subjects in the RPV group and 9 subjects in the EFV group had an abnormal 250 micrograms ACTH stimulation test at Week 96. Overall, there were no serious adverse events, deaths, or treatment discontinuations that could clearly be attributed to adrenal insufficiency. The clinical significance of the higher abnormal rate of 250 micrograms ACTH stimulation tests in the RPV group is not known.

Serum Creatinine: In the pooled Phase 3 trials of C209 and C215 in subjects treated with RPV plus any of the allowed background regimens (N=686), there was a small increase in serum creatinine over 96 weeks of treatment with RPV. Most of this increase occurred within the first 4 weeks of treatment, with a mean change of 0.1 mg/dL (range -0.3 to 0.6 mg/dL) observed through Week 96. In subjects who entered the trial with mild or moderate renal impairment, the serum creatinine increase observed was similar to that seen in subjects with normal renal function. These changes are not considered to be clinically relevant, and no subject discontinued treatment due to increases in serum creatinine. Creatinine increases were comparable by background N(t)RTIs.

Serum Lipids: Changes from baseline in total cholesterol, LDL-cholesterol, and triglycerides are presented in Table 3.

Table 3 Lipid Values Reported in Adult Subjects Receiving RPV or EFV in Combination with FTC/TDF in Studies C209 and C215
Excludes subjects who received lipid lowering agents during the treatment period.
N = number of subjects per treatment group

Pooled Data from the Week 96 Analysis of C209 and C215 Trials

RPV + FTC/TDF

N=550

EFV + FTC/TDF

N=546

N

Baseline

Week 96

N

Baseline

Week 96

Mean

Mean (mg/dL)

Mean (mg/dL)

Mean Change

The change from baseline is the mean of within-patient changes from baseline for patients with both baseline and Week 96 values.
(mg/dL)

Mean (mg/dL)

Mean (mg/dL)

Mean Change

(mg/dL)

Total Cholesterol (fasted)

430

162

164

2

401

160

186

26

HDL-cholesterol (fasted)

429

42

45

4

399

40

50

11

LDL-cholesterol (fasted)

427

97

97

-1

397

96

110

14

Triglycerides (fasted)

430

123

109

-14

401

127

133

6

 

Adult Subjects Coinfected with Hepatitis B and/or Hepatitis C Virus: In adult subjects coinfected with hepatitis B or C virus receiving RPV in studies C209 and C215, the incidence of hepatic enzyme elevation was higher than in subjects receiving RPV who were not coinfected. The same increase was also observed in the EFV arm. The pharmacokinetic exposure of RPV in coinfected subjects was comparable to that in subjects without coinfection.

Adverse Reactions from Clinical Trials Experience in Pediatric Subjects

Emtricitabine: In addition to the adverse reactions reported in adults, anemia and hyperpigmentation were observed in 7% and 32%, respectively, of pediatric subjects (3 months to less than 18 years of age) who received treatment with FTC in the larger of two open-label, uncontrolled pediatric trials (N=116). For additional information, please consult the EMTRIVA® prescribing information.

Rilpivirine: The safety assessment is based on the Week 48 analysis of the single-arm, open-label Phase 2 trial, TMC278-C213, in which 36 antiretroviral treatment-naïve HIV-1-infected subjects 12 to less than 18 years of age and weighing at least 32 kg received RPV (25 mg once daily) in combination with other antiretroviral agents. The median duration of exposure for subjects was 63.5 weeks. No subjects discontinued treatment due to adverse reactions. No new adverse reactions were identified compared to those seen in adults.

Adverse reactions were reported in 19 pediatric subjects (52.8%). Most adverse reactions were Grade 1 or 2. The most common adverse reactions reported in at least 2 subjects (regardless of severity) include headache (19.4%), depression (19.4%), somnolence (13.9%), nausea (11.1%), dizziness (8.3%), abdominal pain (8.3%), vomiting (5.6%), and rash (5.6%).

Observed laboratory abnormalities were comparable to those in adults. For additional information, please consult the Edurant prescribing information.

5.5 New Onset Or Worsening Renal Impairment (5.5 New Onset or Worsening Renal Impairment)

Renal impairment, including cases of acute renal failure and Fanconi syndrome (renal tubular injury with severe hypophosphatemia), has been reported with the use of TDF [see Adverse Reactions (6.2)].

Prior to initiation of emtricitabine, rilpivirine and tenofovir disoproxil fumarate tablets, and during treatment with emtricitabine, rilpivirine and tenofovir disoproxil fumarate tablets, on a clinically appropriate schedule, assess serum creatinine, estimated creatinine clearance, urine glucose, and urine protein in all patients. In patients with chronic kidney disease, also assess serum phosphorus.

Emtricitabine, rilpivirine and tenofovir disoproxil fumarate tablets should be avoided with concurrent or recent use of a nephrotoxic agent (e.g., high-dose or multiple nonsteroidal anti-inflammatory drugs [NSAIDs]) [see Drug Interactions (7.4)]. Cases of acute renal failure after initiation of high-dose or multiple NSAIDs have been reported in HIV-infected patients with risk factors for renal dysfunction who appeared stable on TDF. Some patients required hospitalization and renal replacement therapy. Alternatives to NSAIDs should be considered, if needed, in patients at risk for renal dysfunction.

Persistent or worsening bone pain, pain in extremities, fractures, and/or muscular pain or weakness may be manifestations of proximal renal tubulopathy and should prompt an evaluation of renal function in at-risk patients.

Emtricitabine and TDF are principally eliminated by the kidney; however, RPV is not. Since emtricitabine, rilpivirine and tenofovir disoproxil fumarate tablets are a combination product and the dose of the individual components cannot be altered, emtricitabine, rilpivirine and tenofovir disoproxil fumarate tablets are not recommended in patients with estimated creatinine clearance below 50 mL per minute [see Use in Specific Populations (8.6)].

Principal Display Panel 200 Mg/25 Mg/300 Mg (PRINCIPAL DISPLAY PANEL - 200 mg/25 mg/300 mg)

NDC 0378-5440-93

Emtricitabine, Rilpivirine

and Tenofovir Disoproxil

Fumarate

Tablets

200 mg/25 mg/300 mg

Note to pharmacist: Do not cover ALERT

box with pharmacy label.

ALERT: Find out about medicines that should

NOT be taken with Emtricitabine, Rilpivirine

and Tenofovir Disoproxil Fumarate Tablets.

Rx only 30 Tablets

Each film-coated tablet contains 200 mg

of emtricitabine, 27.5 mg of rilpivirine

hydrochloride, which is equivalent to 25 mg

of rilpivirine, and 300 mg of tenofovir

disoproxil fumarate, which is equivalent

to 245 mg of tenofovir disoproxil.

Usual Dosage: See accompanying

prescribing information.

Keep this and all medication out of

the reach of children.

Store at 20° to 25°C (68° to 77°F). [See

USP Controlled Room Temperature.]

Manufactured for:

Mylan Pharmaceuticals Inc.

Morgantown, WV 26505 U.S.A.

Made in India

Mylan.com

RMXA5440H1

Dispense only in original container.

Keep container tightly closed.

Code No.: MH/DRUGS/AD/089

7.2 Drugs Inducing Or Inhibiting Cyp3a Enzymes (7.2 Drugs Inducing or Inhibiting CYP3A Enzymes)

Rilpivirine is primarily metabolized by cytochrome P450 (CYP) 3A, and drugs that induce or inhibit CYP3A may thus affect the clearance of RPV [see Contraindications (4), Warnings and Precautions (5.7), and Clinical Pharmacology (12.3)]. Coadministration of RPV and drugs that induce CYP3A may result in decreased plasma concentrations of RPV and loss of virologic response and possible resistance to RPV or to the class of NNRTIs. Coadministration of RPV and drugs that inhibit CYP3A may result in increased plasma concentrations of RPV.

2.5 Recommended Dosage With Rifabutin Coadministration (2.5 Recommended Dosage with Rifabutin Coadministration)

If emtricitabine, rilpivirine and tenofovir disoproxil fumarate tablets are coadministered with rifabutin, take an additional 25 mg tablet of rilpivirine (Edurant®) with emtricitabine, rilpivirine and tenofovir disoproxil fumarate tablets once daily with a meal for the duration of the rifabutin coadministration [see Drug Interactions (7.6) and Clinical Pharmacology (12.3)].

5.8 Lactic Acidosis/severe Hepatomegaly With Steatosis (5.8 Lactic Acidosis/Severe Hepatomegaly with Steatosis)

Lactic acidosis and severe hepatomegaly with steatosis, including fatal cases, have been reported with the use of nucleoside analogs, including TDF and FTC, components of emtricitabine, rilpivirine and tenofovir disoproxil fumarate tablets, alone or in combination with other antiretrovirals. Treatment with emtricitabine, rilpivirine and tenofovir disoproxil fumarate tablets should be suspended in any patient who develops clinical or laboratory findings suggestive of lactic acidosis or pronounced hepatotoxicity (which may include hepatomegaly and steatosis even in the absence of marked transaminase elevations).

Warning: Posttreatment Acute Exacerbation of Hepatitis B (WARNING: POSTTREATMENT ACUTE EXACERBATION OF HEPATITIS B)

Severe acute exacerbations of hepatitis B virus (HBV) have been reported in patients who are coinfected with HBV and HIV-1 and have discontinued products containing emtricitabine (FTC) and/or tenofovir disoproxil fumarate (TDF), two of the components of emtricitabine, rilpivirine and tenofovir disoproxil fumarate tablets.

 

Closely monitor hepatic function with both clinical and laboratory follow-up for at least several months in patients who are coinfected with HIV-1 and HBV and discontinue emtricitabine, rilpivirine and tenofovir disoproxil fumarate tablets. If appropriate, initiation of anti-hepatitis B therapy may be warranted [see Warnings and Precautions (5.1)].

13.1 Carcinogenesis, Mutagenesis, Impairment of Fertility

Emtricitabine: In long-term carcinogenicity studies of FTC, no drug-related increases in tumor incidence were found in mice at doses up to 750 mg per kg per day (26 times the human systemic exposure at the therapeutic dose of 200 mg per day) or in rats at doses up to 600 mg per kg per day (31 times the human systemic exposure at the therapeutic dose).

FTC was not genotoxic in the reverse mutation bacterial test (Ames test), or the mouse lymphoma or mouse micronucleus assays.

FTC did not affect fertility in male rats at approximately 140-fold or in male and female mice at approximately 60-fold higher exposures (AUC) than in humans given the recommended 200 mg daily dose. Fertility was normal in the offspring of mice exposed daily from before birth (in utero) through sexual maturity at daily exposures (AUC) of approximately 60-fold higher than human exposures at the recommended 200 mg daily dose.

Rilpivirine: RPV was evaluated for carcinogenic potential by oral gavage administration to mice and rats up to 104 weeks. Daily doses of 20, 60, and 160 mg per kg per day were administered to mice and doses of 40, 200, 500, and 1500 mg per kg per day were administered to rats. In rats, there were no drug-related neoplasms. In mice, RPV was positive for hepatocellular neoplasms in both males and females. The observed hepatocellular findings in mice may be rodent-specific. At the lowest tested doses in the carcinogenicity studies, the systemic exposures (based on AUC) to RPV were 21-fold (mice) and 3-fold (rats), relative to those observed in humans at the recommended dose (25 mg once daily).

RPV has tested negative in the absence and presence of a metabolic activation system, in the in vitro Ames reverse mutation assay and in vitro clastogenicity mouse lymphoma assay. RPV did not induce chromosomal damage in the in vivo micronucleus test in mice.

In a study conducted in rats, there were no effects on mating or fertility with RPV up to 400 mg per kg per day, a dose of RPV that showed maternal toxicity. This dose is associated with an exposure that is approximately 40 times higher than the exposure in humans at the recommended dose of 25 mg once daily.

Tenofovir DF: Long-term oral carcinogenicity studies of TDF in mice and rats were carried out at exposures up to approximately 16 times (mice) and 5 times (rats) those observed in humans at the therapeutic dose for HIV-1 infection. At the high dose in female mice, liver adenomas were increased at exposures 16 times that in humans. In rats, the study was negative for carcinogenic findings at exposures up to 5 times that observed in humans at the therapeutic dose.

Tenofovir DF was mutagenic in the in vitro mouse lymphoma assay and negative in an in vitro bacterial mutagenicity test (Ames test). In an in vivo mouse micronucleus assay, TDF was negative when administered to male mice.

There were no effects on fertility, mating performance, or early embryonic development when TDF was administered to male rats at a dose equivalent to 10 times the human dose based on body surface area comparisons for 28 days prior to mating and to female rats for 15 days prior to mating through day 7 of gestation. There was, however, an alteration of the estrous cycle in female rats.

7.1 Not Recommended With Other Antiretroviral Medications (7.1 Not Recommended with Other Antiretroviral Medications)

Because emtricitabine, rilpivirine and tenofovir disoproxil fumarate tablets are a complete regimen, coadministration with other antiretroviral medications for the treatment of HIV-1 infection is not recommended. Comprehensive information regarding potential drug-drug interactions with other antiretroviral medications is not provided.

This section describes clinically relevant drug interactions with emtricitabine, rilpivirine and tenofovir disoproxil fumarate tablets. Drug interaction studies were conducted with the components of emtricitabine, rilpivirine and tenofovir disoproxil fumarate tablets (FTC, RPV, and TDF as single agents) or with emtricitabine, rilpivirine and tenofovir disoproxil fumarate tablets as a combination product [see Dosage and Administration (2), Contraindications (4), and Clinical Pharmacology (12.3)].

In Virologically Suppressed Hiv 1 Infected Adult Subjects (In Virologically Suppressed HIV-1-Infected Adult Subjects)

No new adverse reactions to emtricitabine, rilpivirine and tenofovir disoproxil fumarate tablets were identified in stable, virologically suppressed subjects switching to emtricitabine, rilpivirine and tenofovir disoproxil fumarate tablets from a regimen containing a ritonavir-boosted protease inhibitor; however, the frequency of adverse reactions increased by 20% (Study 106) after switching to emtricitabine, rilpivirine and tenofovir disoproxil fumarate tablets.

Emtricitabine and Tenofovir DF: The most common adverse reactions that occurred in at least 10% of HIV-1-infected treatment-naïve adult subjects in a Phase 3 clinical trial of FTC and TDF in combination with another antiretroviral agent were diarrhea, nausea, fatigue, headache, dizziness, depression, insomnia, abnormal dreams, and rash. Adverse reactions that occurred in at least 5% of treatment-experienced or treatment-naïve subjects receiving FTC or TDF with other antiretroviral agents in clinical trials included abdominal pain, dyspepsia, vomiting, fever, pain, nasopharyngitis, pneumonia, sinusitis, upper respiratory tract infection, arthralgia, back pain, myalgia, paresthesia, peripheral neuropathy (including peripheral neuritis and neuropathy), anxiety, increased cough, and rhinitis.

Skin discoloration has been reported with higher frequency among FTC-treated subjects; it was manifested by hyperpigmentation on the palms and/or soles and was generally mild and asymptomatic. The mechanism and clinical significance are unknown.

2.4 Not Recommended in Patients With Moderate Or Severe Renal Impairment (2.4 Not Recommended in Patients with Moderate or Severe Renal Impairment)

Emtricitabine, rilpivirine and tenofovir disoproxil fumarate tablets are not recommended in patients with moderate or severe renal impairment (estimated creatinine clearance below 50 mL per minute) [see Warnings and Precautions (5.5) and Use in Specific Populations (8.6)].

In Hiv 1 Infected Adult Subjects With No Antiretroviral Treatment History (In HIV-1-Infected Adult Subjects With No Antiretroviral Treatment History)

Studies C209 and C215

The safety assessment of RPV, used in combination with other antiretroviral drugs, is based on the Week 96 pooled data from 1368 subjects in the Phase 3 trials TMC278-C209 (ECHO) and TMC278-C215 (THRIVE) in antiretroviral treatment-naïve HIV-1-infected adult subjects. A total of 686 subjects received RPV in combination with other antiretroviral drugs as background regimen; most (N=550) received FTC/TDF as background regimen. The number of subjects randomized to the control arm EFV was 682, of which 546 received FTC/TDF as background regimen [see Clinical Studies (14)]. The median duration of exposure for subjects in either treatment arm was 104 weeks.

Adverse reactions observed at Week 96 in subjects who received RPV or EFV + FTC/TDF as background regimen are shown in Table 1. No new types of adverse reactions were identified between Week 48 and Week 96. The adverse reactions observed in this subset of subjects were generally consistent with those seen for the overall patient population participating in these studies (refer to the prescribing information for Edurant).

The proportion of subjects who discontinued treatment with RPV or EFV + FTC/TDF due to adverse reactions, regardless of severity, was 2% and 5%, respectively. The most common adverse reactions leading to discontinuation were psychiatric disorders: 9 (1.6%) subjects in the RPV + FTC/TDF arm and 12 (2.2%) subjects in the EFV + FTC/TDF arm. Rash led to discontinuation in 1 (0.2%) subject in the RPV + FTC/TDF arm and 10 (1.8%) subjects in the EFV + FTC/TDF arm.

Common Adverse Reactions: Clinical adverse reactions to RPV or EFV of at least moderate intensity (≥ Grade 2) reported in at least 2% of adult subjects are shown in Table 1.

Table 1 Selected Adverse Reactions
Frequencies of adverse reactions are based on all Grades 2–4 treatment-emergent adverse events assessed to be related to study drug.
(Grades 2–4) Reported in ≥ 2% of Adult Subjects Receiving RPV or EFV in Combination with FTC/TDF in Studies C209 and C215 (Week 96 Analysis)

Preferred Term

RPV

+ FTC/TDF

EFV

+ FTC/TDF

N=550

N=546

Depressive disorders

Includes adverse reactions reported as depressed mood, depression, dysphoria, major depression, mood altered, negative thoughts, suicide attempt, suicide ideation.

2%

2%

Headache

2%

2%

Insomnia

2%

2%

Abnormal dreams

1%

3%

Dizziness

1%

7%

Nausea

1%

2%

Rash

1%

5%

 

Rilpivirine: Adverse reactions of at least moderate intensity (≥Grade 2) that occurred in less than 2% of subjects treated with RPV plus any of the allowed background regimens (N=686) in clinical studies C209 and C215 include (grouped by Body System): vomiting, diarrhea, abdominal discomfort, abdominal pain, fatigue, cholecystitis, cholelithiasis, decreased appetite, somnolence, sleep disorders, anxiety, glomerulonephritis membranous, glomerulonephritis mesangioproliferative, and nephrolithiasis.

5.7 Risk of Adverse Reactions Or Loss of Virologic Response Due to Drug Interactions (5.7 Risk of Adverse Reactions or Loss of Virologic Response Due to Drug Interactions)

The concomitant use of emtricitabine, rilpivirine and tenofovir disoproxil fumarate tablets and other drugs may result in potentially significant drug interactions, some of which may lead to [see Dosage and Administration (2.5), Contraindications (4), and Drug Interactions (7)]:

  • Loss of therapeutic effect of emtricitabine, rilpivirine and tenofovir disoproxil fumarate tablets and possible development of resistance due to reduced exposure to RPV.
  • Possible clinically significant adverse reaction from greater exposures of components of emtricitabine, rilpivirine and tenofovir disoproxil fumarate tablets.

In healthy subjects, 75 mg once daily and 300 mg once daily doses of RPV (3 times and 12 times the dose in emtricitabine, rilpivirine and tenofovir disoproxil fumarate tablets) have been shown to prolong the QTc interval of the electrocardiogram. Consider alternatives to emtricitabine, rilpivirine and tenofovir disoproxil fumarate tablets when coadministered with a drug that is known to have a risk of Torsade de Pointes [see Drug Interactions (7) and Clinical Pharmacology (12.2)].

See Table 4 for steps to prevent or manage these possible and known significant drug interactions, including dosing recommendations. Consider the potential for drug interactions prior to and during emtricitabine, rilpivirine and tenofovir disoproxil fumarate tablet therapy and review concomitant medications during emtricitabine, rilpivirine and tenofovir disoproxil fumarate tablet therapy.

5.1 Severe Acute Exacerbation of Hepatitis B in Patients Coinfected With Hiv 1 and Hbv (5.1 Severe Acute Exacerbation of Hepatitis B in Patients Coinfected with HIV-1 and HBV)

Test all patients with HIV-1 for the presence of chronic hepatitis B virus (HBV) before or when initiating antiretroviral therapy [see Dosage and Administration (2.1)].

Severe acute exacerbations of hepatitis B (e.g., liver decompensation and liver failure) have been reported in patients who are coinfected with HBV and HIV-1 and have discontinued products containing FTC and/or TDF, two of the components of emtricitabine, rilpivirine and tenofovir disoproxil fumarate tablets. Patients coinfected with HIV-1 and HBV who discontinue emtricitabine, rilpivirine and tenofovir disoproxil fumarate tablets should be closely monitored with both clinical and laboratory follow-up for at least several months after stopping treatment with emtricitabine, rilpivirine and tenofovir disoproxil fumarate tablets. If appropriate, initiation of anti-hepatitis B therapy may be warranted, especially in patients with advanced liver disease or cirrhosis, since posttreatment exacerbation of hepatitis may lead to hepatic decompensation and liver failure.

7.7 Drugs With No Observed Interactions With Emtricitabine, Rilpivirine and Tenofovir Disoproxil Fumarate Tablets (7.7 Drugs with No Observed Interactions with Emtricitabine, Rilpivirine and Tenofovir Disoproxil Fumarate Tablets)

No clinically significant drug interactions have been observed between FTC and the following medications: famciclovir, ledipasvir/sofosbuvir, sofosbuvir/velpatasvir, sofosbuvir/velpatasvir/voxilaprevir, or TDF.

No clinically significant drug interactions have been observed between TDF and the following medications: entecavir, methadone, oral contraceptives, ribavirin, sofosbuvir, or tacrolimus in studies conducted in healthy subjects.

No clinically significant drug interactions have been observed between RPV and the following medications: acetaminophen, atorvastatin, chlorzoxazone, ethinyl estradiol, ledipasvir/sofosbuvir, norethindrone, sildenafil, simeprevir, sofosbuvir, sofosbuvir/velpatasvir, sofosbuvir/velpatasvir/voxilaprevir, or TDF. RPV did not have a clinically significant effect on the pharmacokinetics of digoxin or metformin.

2.1 Testing Prior to Initiation and During Treatment With Emtricitabine, Rilpivirine and Tenofovir Disoproxil Fumarate Tablets (2.1 Testing Prior to Initiation and During Treatment with Emtricitabine, Rilpivirine and Tenofovir Disoproxil Fumarate Tablets)

Prior to or when initiating emtricitabine, rilpivirine and tenofovir disoproxil fumarate tablets, test patients for hepatitis B virus infection [see Warnings and Precautions (5.1)].

Prior to initiation of emtricitabine, rilpivirine and tenofovir disoproxil fumarate tablets, and during treatment with emtricitabine, rilpivirine and tenofovir disoproxil fumarate tablets, on a clinically appropriate schedule, assess serum creatinine, estimated creatinine clearance, urine glucose and urine protein in all patients. In patients with chronic kidney disease, also assess serum phosphorus [see Warnings and Precautions (5.5)].


Advanced Ingredient Data


Raw Label Data

All Sections (JSON)