Piroxicam Capsules

these highlights do not include all the information needed to use piroxicam capsules safely and effectively. see full prescribing information for piroxicam capsules.
SPL v100
SPL
SPL Set ID d9684cb2-76f3-4c1b-b9e5-1f8fe55f3695
Route
oral
Published
Effective Date 2011-12-30
Document Type 34391-3 HUMAN PRESCRIPTION DRUG LABEL

Drug Facts

Composition & Product

Active Ingredients
piroxicam (10 mg)
Inactive Ingredients
fd&c blue no. 1 fd&c red no. 40 d&c yellow no. 10 titanium dioxide gelatin, unspecified starch, corn magnesium stearate sodium lauryl sulfate lactose monohydrate

Identifiers & Packaging

Pill Appearance
Imprint: NP;10 Shape: capsule Color: orange Color: white Size: 17 mm Score: 1
Marketing Status
anda active Since 2020-02-20

Indications and Usage

Piroxicam capsules are indicated: • For relief of the signs and symptoms of osteoarthritis. • For relief of the signs and symptoms of rheumatoid arthritis.

Dosage and Administration

Carefully consider the potential benefits and risks of piroxicam capsules and other treatment options before deciding to use piroxicam capsules. Use the lowest effective dosage for the shortest duration consistent with individual patient treatment goals [ see Warnings and Precautions (5) ] . After observing the response to initial therapy with piroxicam capsules, the dose and frequency should be adjusted to suit an individual patient’s needs. For the relief of rheumatoid arthritis and osteoarthritis, the dosage is 20 mg given orally once per day. If desired, the daily dose may be divided. Because of the long half-life of piroxicam capsules, steady-state blood levels are not reached for 7 to 12 days. Therefore, although the therapeutic effects of piroxicam capsules are evident early in treatment, there is a progressive increase in response over several weeks and the effect of therapy should not be assessed for two weeks.

Contraindications

Piroxicam capsules are contraindicated in the following patients: • Known hypersensitivity (e.g., anaphylactic reactions and serious skin reactions) to piroxicam or any components of the drug product [see Warnings and Precautions (5.7 , 5.9) ] • History of asthma, urticaria, or other allergic-type reactions after taking aspirin or other NSAIDs. Severe, sometimes fatal, anaphylactic reactions to NSAIDs have been reported in such patients [see Warnings and Precautions (5.7 , 5.8) ] • In the setting of CABG surgery [see Warnings and Precautions (5.1) ]

Warnings and Precautions

• Hepatotoxicity : Inform patients of warning signs and symptoms of hepatotoxicity. Discontinue if abnormal liver tests persist or worsen or if clinical signs and symptoms of liver disease develop ( 5.3 ) • Hypertension : Patients taking some antihypertensive medications may have impaired response to these therapies when taking NSAIDs. Monitor blood pressure ( 5.4 , 7 ) • Heart Failure and Edema : Avoid use of piroxicam capsules in patients with severe heart failure unless benefits are expected to outweigh risk of worsening heart failure ( 5.5 ) • Renal Toxicity : Monitor renal function in patients with renal or hepatic impairment, heart failure, dehydration, or hypovolemia. Avoid use of piroxicam capsules in patients with advanced renal disease unless benefits are expected to outweigh risk of worsening renal function ( 5.6 ) • Anaphylactic Reactions : Seek emergency help if an anaphylactic reaction occurs ( 5.7 ) • Exacerbation of Asthma Related to Aspirin Sensitivity : Piroxicam capsules are contraindicated in patients with aspirin-sensitive asthma. Monitor patients with preexisting asthma (without aspirin sensitivity) ( 5.8 ) • Serious Skin Reactions : Discontinue piroxicam capsules at first appearance of skin rash or other signs of hypersensitivity ( 5.9 ) • Premature Closure of Fetal Ductus Arteriosus : Avoid use in pregnant women starting at 30 weeks gestation ( 5.10 , 8.1 ) • Hematologic Toxicity : Monitor hemoglobin or hematocrit in patients with any signs or symptoms of anemia ( 5.11 , 7 )

Adverse Reactions

The following adverse reactions are discussed in greater detail in other sections of the labeling: • Cardiovascular Thrombotic Events [see Warnings and Precautions (5.1) ] • GI Bleeding, Ulceration and Perforation [see Warnings and Precautions (5.2) ] • Hepatotoxicity [see Warnings and Precautions (5.3) ] • Hypertension [see Warnings and Precautions (5.4) ] • Heart Failure and Edema [see Warnings and Precautions (5.5) ] • Renal Toxicity and Hyperkalemia [see Warnings and Precautions (5.6) ] • Anaphylactic Reactions [see Warnings and Precautions (5.7) ] • Serious Skin Reactions [see Warnings and Precautions (5.9) ] • Hematologic Toxicity [see Warnings and Precautions (5.11) ]

Drug Interactions

See Table 1 for clinically significant drug interactions with piroxicam. Table 1: Clinically Significant Drug Interactions with Piroxicam Drugs That Interfere with Hemostasis Clinical Impact: •Piroxicam and anticoagulants such as warfarin have a synergistic effect on bleeding. The concomitant use of piroxicam and anticoagulants have an increased risk of serious bleeding compared to the use of either drug alone.•Serotonin release by platelets plays an important role in hemostasis. Case-control and cohort epidemiological studies showed that concomitant use of drugs that interfere with serotonin reuptake and an NSAID may potentiate the risk of bleeding more than an NSAID alone. Intervention: Monitor patients with concomitant use of piroxicam capsules with anticoagulants (e.g., warfarin), antiplatelet drugs (e.g., aspirin), SSRIs, and SNRIs for signs of bleeding [see Warnings and Precautions (5.11) ] . Aspirin Clinical Impact: Controlled clinical studies showed that the concomitant use of NSAIDs and analgesic doses of aspirin does not produce any greater therapeutic effect than the use of NSAIDs alone. In a clinical study, the concomitant use of an NSAID and aspirin was associated with a significantly increased incidence of GI adverse reactions as compared to use of the NSAID alone [see Warnings and Precautions (5.2) ] . Intervention: Concomitant use of piroxicam capsules and analgesic doses of aspirin is not generally recommended because of the increased risk of bleeding [see Warnings and Precautions (5.11) ] . Piroxicam capsules are not a substitute for low dose aspirin for cardiovascular protection. ACE Inhibitors, Angiotensin Receptor Blockers, and Beta-Blockers Clinical Impact: •NSAIDs may diminish the antihypertensive effect of ACE inhibitors, ARBs, or beta-blockers (including propranolol).•In patients who are elderly, volume-depleted (including those on diuretic therapy), or have renal impairment, co-administration of an NSAID with ACE inhibitors or ARBs may result in deterioration of renal function, including possible acute renal failure. These effects are usually reversible. Intervention: •During concomitant use of piroxicam capsules and ACE inhibitors, ARBs, or beta-blockers, monitor blood pressure to ensure that the desired blood pressure is obtained.•During concomitant use of piroxicam capsules and ACE inhibitors or ARBs in patients who are elderly, volume-depleted, or have impaired renal function, monitor for signs of worsening renal function [see Warnings and Precautions (5.6) ]. •When these drugs are administered concomitantly, patients should be adequately hydrated. Assess renal function at the beginning of the concomitant treatment and periodically thereafter. Diuretics Clinical Impact: Clinical studies, as well as post-marketing observations, showed that NSAIDs reduced the natriuretic effect of loop diuretics (e.g., furosemide) and thiazide diuretics in some patients. This effect has been attributed to the NSAID inhibition of renal prostaglandin synthesis. Intervention: During concomitant use of piroxicam capsules with diuretics, observe patients for signs of worsening renal function, in addition to assuring diuretic efficacy including antihypertensive effects [see Warnings and Precautions (5.6) ] . Digoxin Clinical Impact: The concomitant use of piroxicam with digoxin has been reported to increase the serum concentration and prolong the half-life of digoxin. Intervention: During concomitant use of piroxicam capsules and digoxin, monitor serum digoxin levels. Lithium Clinical Impact: NSAIDs have produced elevations in plasma lithium levels and reductions in renal lithium clearance . The mean minimum lithium concentration increased 15%, and the renal clearance decreased by approximately 20%. This effect has been attributed to NSAID inhibition of renal prostaglandin synthesis. Intervention: During concomitant use of piroxicam capsules and lithium, monitor patients for signs of lithium toxicity. Methotrexate Clinical Impact: Concomitant use of NSAIDs and methotrexate may increase the risk for methotrexate toxicity (e.g., neutropenia, thrombocytopenia, renal dysfunction). Intervention: During concomitant use of piroxicam capsules and methotrexate, monitor patients for methotrexate toxicity. Cyclosporine Clinical Impact: Concomitant use of piroxicam capsules and cyclosporine may increase cyclosporine’s nephrotoxicity. Intervention: During concomitant use of piroxicam capsules and cyclosporine, monitor patients for signs of worsening renal function. NSAIDs and Salicylates Clinical Impact: Concomitant use of piroxicam with other NSAIDs or salicylates (e.g., diflunisal, salsalate) increases the risk of GI toxicity, with little or no increase in efficacy [see Warnings and Precautions (5.2) ]. Intervention: The concomitant use of piroxicam with other NSAIDs or salicylates is not recommended. Pemetrexed Clinical Impact: Concomitant use of piroxicam capsules and pemetrexed may increase the risk of pemetrexed-associated myelosuppression, renal, and GI toxicity (see the pemetrexed prescribing information). Intervention: During concomitant use of piroxicam capsules and pemetrexed, in patients with renal impairment whose creatinine clearance ranges from 45 to 79 mL/min, monitor for myelosuppression, renal and GI toxicity. NSAIDs with short elimination half-lives (e.g., diclofenac, indomethacin) should be avoided for a period of two days before, the day of, and two days following administration of pemetrexed. In the absence of data regarding potential interaction between pemetrexed and NSAIDs with longer half-lives (e.g., meloxicam, nabumetone), patients taking these NSAIDs should interrupt dosing for at least five days before, the day of, and two days following pemetrexed administration. Highly Protein Bound Drugs Clinical Impact : Piroxicam capsules is highly protein bound and, therefore, might be expected to displace other protein bound drugs. Intervention : Physicians should closely monitor patients for a change in dosage requirements when administering piroxicam capsules to patients on other highly protein bound drugs. Corticosteroids Clinical Impact: Concomitant use of corticosteroids with piroxicam capsules may increase the risk of GI ulceration or bleeding. Intervention: Monitor patients with concomitant use of piroxicam capsules with corticosteroids for signs of bleeding [see Warnings and Precautions (5.2) ] .

How Supplied

Piroxicam Capsules, USP The 10 mg capsules are hard gelatin capsules with a swedish orange opaque cap and ivory opaque body containing white to off-white powder. NDC: 72162-1290-1: 100 Capsules in a BOTTLE, PLASTIC Store at 20° to 25°C (68° to 77°F); excursions permitted to 15° to 30°C (59° to 86°F). [see USP Controlled Room Temperature]. Dispense in a tight, light-resistant container as defined in the USP using a child-resistant closure. Repackaged/Relabeled by: Bryant Ranch Prepack, Inc. Burbank, CA 91504

Storage and Handling

Piroxicam Capsules, USP The 10 mg capsules are hard gelatin capsules with a swedish orange opaque cap and ivory opaque body containing white to off-white powder. NDC: 72162-1290-1: 100 Capsules in a BOTTLE, PLASTIC Store at 20° to 25°C (68° to 77°F); excursions permitted to 15° to 30°C (59° to 86°F). [see USP Controlled Room Temperature]. Dispense in a tight, light-resistant container as defined in the USP using a child-resistant closure. Repackaged/Relabeled by: Bryant Ranch Prepack, Inc. Burbank, CA 91504

Description

Warnings and Precautions,      Gastrointestinal Bleeding, Ulceration, and Perforation ( 5.2 )     05/2019


Medication Information

Warnings and Precautions

• Hepatotoxicity : Inform patients of warning signs and symptoms of hepatotoxicity. Discontinue if abnormal liver tests persist or worsen or if clinical signs and symptoms of liver disease develop ( 5.3 ) • Hypertension : Patients taking some antihypertensive medications may have impaired response to these therapies when taking NSAIDs. Monitor blood pressure ( 5.4 , 7 ) • Heart Failure and Edema : Avoid use of piroxicam capsules in patients with severe heart failure unless benefits are expected to outweigh risk of worsening heart failure ( 5.5 ) • Renal Toxicity : Monitor renal function in patients with renal or hepatic impairment, heart failure, dehydration, or hypovolemia. Avoid use of piroxicam capsules in patients with advanced renal disease unless benefits are expected to outweigh risk of worsening renal function ( 5.6 ) • Anaphylactic Reactions : Seek emergency help if an anaphylactic reaction occurs ( 5.7 ) • Exacerbation of Asthma Related to Aspirin Sensitivity : Piroxicam capsules are contraindicated in patients with aspirin-sensitive asthma. Monitor patients with preexisting asthma (without aspirin sensitivity) ( 5.8 ) • Serious Skin Reactions : Discontinue piroxicam capsules at first appearance of skin rash or other signs of hypersensitivity ( 5.9 ) • Premature Closure of Fetal Ductus Arteriosus : Avoid use in pregnant women starting at 30 weeks gestation ( 5.10 , 8.1 ) • Hematologic Toxicity : Monitor hemoglobin or hematocrit in patients with any signs or symptoms of anemia ( 5.11 , 7 )

Indications and Usage

Piroxicam capsules are indicated: • For relief of the signs and symptoms of osteoarthritis. • For relief of the signs and symptoms of rheumatoid arthritis.

Dosage and Administration

Carefully consider the potential benefits and risks of piroxicam capsules and other treatment options before deciding to use piroxicam capsules. Use the lowest effective dosage for the shortest duration consistent with individual patient treatment goals [ see Warnings and Precautions (5) ] . After observing the response to initial therapy with piroxicam capsules, the dose and frequency should be adjusted to suit an individual patient’s needs. For the relief of rheumatoid arthritis and osteoarthritis, the dosage is 20 mg given orally once per day. If desired, the daily dose may be divided. Because of the long half-life of piroxicam capsules, steady-state blood levels are not reached for 7 to 12 days. Therefore, although the therapeutic effects of piroxicam capsules are evident early in treatment, there is a progressive increase in response over several weeks and the effect of therapy should not be assessed for two weeks.

Contraindications

Piroxicam capsules are contraindicated in the following patients: • Known hypersensitivity (e.g., anaphylactic reactions and serious skin reactions) to piroxicam or any components of the drug product [see Warnings and Precautions (5.7 , 5.9) ] • History of asthma, urticaria, or other allergic-type reactions after taking aspirin or other NSAIDs. Severe, sometimes fatal, anaphylactic reactions to NSAIDs have been reported in such patients [see Warnings and Precautions (5.7 , 5.8) ] • In the setting of CABG surgery [see Warnings and Precautions (5.1) ]

Adverse Reactions

The following adverse reactions are discussed in greater detail in other sections of the labeling: • Cardiovascular Thrombotic Events [see Warnings and Precautions (5.1) ] • GI Bleeding, Ulceration and Perforation [see Warnings and Precautions (5.2) ] • Hepatotoxicity [see Warnings and Precautions (5.3) ] • Hypertension [see Warnings and Precautions (5.4) ] • Heart Failure and Edema [see Warnings and Precautions (5.5) ] • Renal Toxicity and Hyperkalemia [see Warnings and Precautions (5.6) ] • Anaphylactic Reactions [see Warnings and Precautions (5.7) ] • Serious Skin Reactions [see Warnings and Precautions (5.9) ] • Hematologic Toxicity [see Warnings and Precautions (5.11) ]

Drug Interactions

See Table 1 for clinically significant drug interactions with piroxicam. Table 1: Clinically Significant Drug Interactions with Piroxicam Drugs That Interfere with Hemostasis Clinical Impact: •Piroxicam and anticoagulants such as warfarin have a synergistic effect on bleeding. The concomitant use of piroxicam and anticoagulants have an increased risk of serious bleeding compared to the use of either drug alone.•Serotonin release by platelets plays an important role in hemostasis. Case-control and cohort epidemiological studies showed that concomitant use of drugs that interfere with serotonin reuptake and an NSAID may potentiate the risk of bleeding more than an NSAID alone. Intervention: Monitor patients with concomitant use of piroxicam capsules with anticoagulants (e.g., warfarin), antiplatelet drugs (e.g., aspirin), SSRIs, and SNRIs for signs of bleeding [see Warnings and Precautions (5.11) ] . Aspirin Clinical Impact: Controlled clinical studies showed that the concomitant use of NSAIDs and analgesic doses of aspirin does not produce any greater therapeutic effect than the use of NSAIDs alone. In a clinical study, the concomitant use of an NSAID and aspirin was associated with a significantly increased incidence of GI adverse reactions as compared to use of the NSAID alone [see Warnings and Precautions (5.2) ] . Intervention: Concomitant use of piroxicam capsules and analgesic doses of aspirin is not generally recommended because of the increased risk of bleeding [see Warnings and Precautions (5.11) ] . Piroxicam capsules are not a substitute for low dose aspirin for cardiovascular protection. ACE Inhibitors, Angiotensin Receptor Blockers, and Beta-Blockers Clinical Impact: •NSAIDs may diminish the antihypertensive effect of ACE inhibitors, ARBs, or beta-blockers (including propranolol).•In patients who are elderly, volume-depleted (including those on diuretic therapy), or have renal impairment, co-administration of an NSAID with ACE inhibitors or ARBs may result in deterioration of renal function, including possible acute renal failure. These effects are usually reversible. Intervention: •During concomitant use of piroxicam capsules and ACE inhibitors, ARBs, or beta-blockers, monitor blood pressure to ensure that the desired blood pressure is obtained.•During concomitant use of piroxicam capsules and ACE inhibitors or ARBs in patients who are elderly, volume-depleted, or have impaired renal function, monitor for signs of worsening renal function [see Warnings and Precautions (5.6) ]. •When these drugs are administered concomitantly, patients should be adequately hydrated. Assess renal function at the beginning of the concomitant treatment and periodically thereafter. Diuretics Clinical Impact: Clinical studies, as well as post-marketing observations, showed that NSAIDs reduced the natriuretic effect of loop diuretics (e.g., furosemide) and thiazide diuretics in some patients. This effect has been attributed to the NSAID inhibition of renal prostaglandin synthesis. Intervention: During concomitant use of piroxicam capsules with diuretics, observe patients for signs of worsening renal function, in addition to assuring diuretic efficacy including antihypertensive effects [see Warnings and Precautions (5.6) ] . Digoxin Clinical Impact: The concomitant use of piroxicam with digoxin has been reported to increase the serum concentration and prolong the half-life of digoxin. Intervention: During concomitant use of piroxicam capsules and digoxin, monitor serum digoxin levels. Lithium Clinical Impact: NSAIDs have produced elevations in plasma lithium levels and reductions in renal lithium clearance . The mean minimum lithium concentration increased 15%, and the renal clearance decreased by approximately 20%. This effect has been attributed to NSAID inhibition of renal prostaglandin synthesis. Intervention: During concomitant use of piroxicam capsules and lithium, monitor patients for signs of lithium toxicity. Methotrexate Clinical Impact: Concomitant use of NSAIDs and methotrexate may increase the risk for methotrexate toxicity (e.g., neutropenia, thrombocytopenia, renal dysfunction). Intervention: During concomitant use of piroxicam capsules and methotrexate, monitor patients for methotrexate toxicity. Cyclosporine Clinical Impact: Concomitant use of piroxicam capsules and cyclosporine may increase cyclosporine’s nephrotoxicity. Intervention: During concomitant use of piroxicam capsules and cyclosporine, monitor patients for signs of worsening renal function. NSAIDs and Salicylates Clinical Impact: Concomitant use of piroxicam with other NSAIDs or salicylates (e.g., diflunisal, salsalate) increases the risk of GI toxicity, with little or no increase in efficacy [see Warnings and Precautions (5.2) ]. Intervention: The concomitant use of piroxicam with other NSAIDs or salicylates is not recommended. Pemetrexed Clinical Impact: Concomitant use of piroxicam capsules and pemetrexed may increase the risk of pemetrexed-associated myelosuppression, renal, and GI toxicity (see the pemetrexed prescribing information). Intervention: During concomitant use of piroxicam capsules and pemetrexed, in patients with renal impairment whose creatinine clearance ranges from 45 to 79 mL/min, monitor for myelosuppression, renal and GI toxicity. NSAIDs with short elimination half-lives (e.g., diclofenac, indomethacin) should be avoided for a period of two days before, the day of, and two days following administration of pemetrexed. In the absence of data regarding potential interaction between pemetrexed and NSAIDs with longer half-lives (e.g., meloxicam, nabumetone), patients taking these NSAIDs should interrupt dosing for at least five days before, the day of, and two days following pemetrexed administration. Highly Protein Bound Drugs Clinical Impact : Piroxicam capsules is highly protein bound and, therefore, might be expected to displace other protein bound drugs. Intervention : Physicians should closely monitor patients for a change in dosage requirements when administering piroxicam capsules to patients on other highly protein bound drugs. Corticosteroids Clinical Impact: Concomitant use of corticosteroids with piroxicam capsules may increase the risk of GI ulceration or bleeding. Intervention: Monitor patients with concomitant use of piroxicam capsules with corticosteroids for signs of bleeding [see Warnings and Precautions (5.2) ] .

Storage and Handling

Piroxicam Capsules, USP The 10 mg capsules are hard gelatin capsules with a swedish orange opaque cap and ivory opaque body containing white to off-white powder. NDC: 72162-1290-1: 100 Capsules in a BOTTLE, PLASTIC Store at 20° to 25°C (68° to 77°F); excursions permitted to 15° to 30°C (59° to 86°F). [see USP Controlled Room Temperature]. Dispense in a tight, light-resistant container as defined in the USP using a child-resistant closure. Repackaged/Relabeled by: Bryant Ranch Prepack, Inc. Burbank, CA 91504

How Supplied

Piroxicam Capsules, USP The 10 mg capsules are hard gelatin capsules with a swedish orange opaque cap and ivory opaque body containing white to off-white powder. NDC: 72162-1290-1: 100 Capsules in a BOTTLE, PLASTIC Store at 20° to 25°C (68° to 77°F); excursions permitted to 15° to 30°C (59° to 86°F). [see USP Controlled Room Temperature]. Dispense in a tight, light-resistant container as defined in the USP using a child-resistant closure. Repackaged/Relabeled by: Bryant Ranch Prepack, Inc. Burbank, CA 91504

Description

Warnings and Precautions,      Gastrointestinal Bleeding, Ulceration, and Perforation ( 5.2 )     05/2019

Race

Pharmacokinetic differences due to race have not been identified.

Section 43683-2

Warnings and Precautions,

     Gastrointestinal Bleeding, Ulceration, and Perforation (5.2)     05/2019

Section 51945-4

Piroxicam 10 mg cap#100

Aspirin

When piroxicam was administered with aspirin, its protein binding was reduced, although the clearance of free piroxicam capsules was not altered. Plasma levels of piroxicam were decreased to approximately 80% of their normal values when piroxicam capsules was administered (20 mg/day) in conjunction with aspirin (3900 mg/day). The clinical significance of this interaction is not known [see Drug Interactions (7)].

Females

Based on the mechanism of action, the use of prostaglandin-mediated NSAIDs, including piroxicam capsules, may delay or prevent rupture of ovarian follicles, which has been associated with reversible infertility in some women. Published animal studies have shown that administration of prostaglandin synthesis inhibitors has the potential to disrupt prostaglandin-mediated follicular rupture required for ovulation. Small studies in women treated with NSAIDs have also shown a reversible delay in ovulation. Consider withdrawal of NSAIDs, including piroxicam capsules, in women who have difficulties conceiving or who are undergoing investigation of infertility.

Antacids

Concomitant administration of antacids had no effect on piroxicam plasma levels.

Excretion

Piroxicam and its biotransformation products are excreted in urine and feces, with about twice as much appearing in the urine as in the feces. Approximately 5% of a piroxicam capsule dose is excreted unchanged. The plasma half-life (t½) for piroxicam is approximately 50 hours.

Pediatric

Piroxicam has not been investigated in pediatric patients.

Absorption

Piroxicam is well absorbed following oral administration. Drug plasma concentrations are proportional for 10 mg and 20 mg doses and generally peak within three to five hours after administration. A single 20 mg dose generally produces peak piroxicam plasma levels of 1.5 mcg/mL to 2 mcg/mL, while maximum drug plasma concentrations, after repeated daily administration of 20 mg piroxicam, usually stabilize at 3 mcg/mL to 8 mcg/mL.

With food there is a slight delay in the rate but not the extent of absorption following oral administration. The concomitant administration of antacids (aluminum hydroxide or aluminum hydroxide with magnesium hydroxide) have been shown to have no effect on the plasma levels of orally administered piroxicam.

Metabolism

Metabolism of piroxicam occurs by hydroxylation at the 5 position of the pyridyl side chain and conjugation of this product; by cyclodehydration; and by a sequence of reactions involving hydrolysis of the amide linkage, decarboxylation, ring contraction, and N-demethylation. In vitro studies indicate cytochrome P4502C9 (CYP2C9) as the main enzyme involved in the formation to the 5′-hydroxy-piroxicam, the major metabolite [see Clinical Pharmacology (12.5)]. The biotransformation products of piroxicam metabolism are reported to not have any anti-inflammatory activity.

Higher systemic exposure of piroxicam has been noted in subjects with CYP2C9 polymorphisms compared to normal metabolizer type subjects [see Clinical Pharmacology (12.5)].

Animal Data

Pregnant rats administered piroxicam at 2, 5, or 10 mg/kg/day during the period of organogenesis (Gestation Days 6 to 15) demonstrated increased post-implantation losses with 5 and 10 mg/kg/day of piroxicam (equivalent to 2 and 5 times the MRHD, of 20 mg respectively, based on a mg/m2 body surface area [BSA]). There were no drug-related developmental abnormalities noted in offspring. Gastrointestinal tract toxicity was increased in pregnant rats in the last trimester of pregnancy compared to non-pregnant rats or rats in earlier trimesters of pregnancy. Pregnant rabbits administered piroxicam at 2, 5, or 10 mg/kg/day during the period of organogenesis (Gestation Days 7 to 18) demonstrated no drug-related developmental abnormalities in offspring (up to 10 times the MRHD based on a mg/m2 BSA).

In a pre- and post-natal development study in which pregnant rats were administered piroxicam at 2, 5, or 10 mg/kg/day on Gestation Day 15 through delivery and weaning of offspring, reduced weight gain and death were observed in dams at 10 mg/kg/day (5 times the MRHD based on a mg/m2 BSA) starting on Gestation Day 20. Treated dams revealed peritonitis, adhesions, gastric bleeding, hemorrhagic enteritis and dead fetuses in utero. Parturition was delayed and there was an increased incidence of stillbirth in all piroxicam-treated groups (at doses equivalent to the MRHD). Postnatal development could not be reliably assessed due to the absence of maternal care secondary to severe maternal toxicity.

Mutagenesis

Piroxicam was not mutagenic in an Ames bacterial reverse mutation assay, or in a dominant lethal mutation assay in mice, and was not clastogenic in an in vivo chromosome aberration assay in mice.

Distribution

The apparent volume of distribution of piroxicam is approximately 0.14 L/kg. Ninety nine percent of plasma piroxicam is bound to plasma proteins. Piroxicam is excreted into human milk. The presence in breast milk has been determined during initial and long term conditions (52 days). Piroxicam appeared in breast milk at approximately 1% to 3% of the maternal concentration. No accumulation of piroxicam occurred in milk relative to that in plasma during treatment.

Hyperkalemia

Increases in serum potassium concentration, including hyperkalemia, have been reported with use of NSAIDs, even in some patients without renal impairment. In patients with normal renal function, these effects have been attributed to a hyporeninemic-hypoaldosteronism state.

Risk Summary

Use of NSAIDs, including piroxicam capsules, during the third trimester of pregnancy increases the risk of premature closure of the fetal ductus arteriosus. Avoid use of NSAIDs, including piroxicam capsules, in pregnant women starting at 30 weeks of gestation (third trimester).

There are no adequate and well-controlled studies of piroxicam capsules in pregnant women.

Data from observational studies regarding potential embryofetal risks of NSAID use in women in the first or second trimesters of pregnancy are inconclusive. In the general U.S. population, all clinically recognized pregnancies, regardless of drug exposure, have a background rate of 2% to 4% for major malformations, and 15% to 20% for pregnancy loss. In animal reproduction studies in rats and rabbits, there was no evidence of teratogenicity at exposures up to 5 and 10 times the maximum recommended human dose (MRHD), respectively. In rat studies with piroxicam, fetotoxicity (postimplantation loss) was observed at exposures 2 times the MRHD, and delayed parturition and an increased incidence of stillbirth were noted at doses equivalent to the MRHD of piroxicam. Based on animal data, prostaglandins have been shown to have an important role in endometrial vascular permeability, blastocyst implantation, and decidualization. In animal studies, administration of prostaglandin synthesis inhibitors such as piroxicam, resulted in increased pre- and post-implantation loss.

10 Overdosage

Symptoms following acute NSAID overdoses have been typically limited to lethargy, drowsiness, nausea, vomiting, and epigastric pain, which are generally reversible with supportive care. Gastrointestinal bleeding has occurred. Hypertension, acute renal failure, respiratory depression, and coma have occurred, but were rare [see Warnings and Precautions (5.1, 5.2, 5.4, 5.6)].

Manage patients with symptomatic and supportive care following an NSAID overdose. There are no specific antidotes. Consider emesis and/or activated charcoal (60 grams to 100 grams in adults, 1 gram to 2 grams per kg of body weight in pediatric patients) and/or osmotic cathartic in symptomatic patients seen within four hours of ingestion or in patients with a large overdosage (5 to 10 times the recommended dosage).

The long plasma half-life of piroxicam should be considered when treating an overdose with piroxicam. Forced diuresis, alkalinization of urine, hemodialysis, or hemoperfusion may not be useful due to high protein binding.

For additional information about overdosage treatment contact a poison control center (1-800-222-1222).

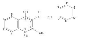
11 Description

Piroxicam Capsules, USP is a nonsteroidal anti-inflammatory drug, available as Ivory opaque/Swedish orange opaque 10 mg capsules and Swedish orange opaque/Swedish orange opaque 20 mg capsules for oral administration. The chemical name is 4-hydroxyl-2-methyl-N-2-pyridinyl-2H-1,2,-benzothiazine-3-carboxamide 1,1-dioxide. The molecular weight is 331.35. Its molecular formula is C15H13N3O4S, and it has the following chemical structure.

Piroxicam occurs as a white crystalline solid, sparingly soluble in water, dilute acid, and most organic solvents. It is slightly soluble in alcohol and in aqueous solutions. It exhibits a weakly acidic 4-hydroxy proton (pKa 5.1) and a weakly basic pyridyl nitrogen (pKa 1.8).

The inactive ingredients in piroxicam capsules include: Hard gelatin capsules (which may contain FD&C Blue 1, FD&C Red 40, D&C Yellow 10, titanium dioxide and gelatin inactive ingredients), corn starch, lactose, magnesium stearate and sodium lauryl sulfate.

Carcinogenesis

Long-term animal studies have not been conducted to characterize the carcinogenic potential of piroxicam.

Renal Toxicity

Long-term administration of NSAIDs has resulted in renal papillary necrosis and other renal injury.

Renal toxicity has also been seen in patients in whom renal prostaglandins have a compensatory role in the maintenance of renal perfusion. In these patients, administration of an NSAID may cause a dose-dependent reduction in prostaglandin formation and, secondarily, in renal blood flow, which may precipitate overt renal decompensation. Patients at greatest risk of this reaction are those with impaired renal function, dehydration, hypovolemia, heart failure, liver dysfunction, those taking diuretics and ACE inhibitors or ARBs, and the elderly. Discontinuation of NSAID therapy is usually followed by recovery to the pretreatment state.

No information is available from controlled clinical studies regarding the use of piroxicam capsules in patients with advanced renal disease. The renal effects of piroxicam capsules may hasten the progression of renal dysfunction in patients with preexisting renal disease.

Correct volume status in dehydrated or hypovolemic patients prior to initiating piroxicam capsules. Monitor renal function in patients with renal or hepatic impairment, heart failure, dehydration, or hypovolemia during use of piroxicam capsules [see Drug Interactions (7)]. Avoid the use of piroxicam capsules in patients with advanced renal disease unless the benefits are expected to outweigh the risk of worsening renal function. If piroxicam capsules are used in patients with advanced renal disease, monitor patients for signs of worsening renal function.

5.4 Hypertension

NSAIDs, including piroxicam capsules, can lead to new onset of hypertension or worsening of preexisting hypertension, either of which may contribute to the increased incidence of CV events. Patients taking angiotensin converting enzyme (ACE) inhibitors, thiazide diuretics, or loop diuretics may have impaired response to these therapies when taking NSAIDs [see Drug Interactions (7)].

Monitor blood pressure (BP) during the initiation of NSAID treatment and throughout the course of therapy.

Post Mi Patients

Observational studies conducted in the Danish National Registry have demonstrated that patients treated with NSAIDs in the post-MI period were at increased risk of reinfarction, CV-related death, and all-cause mortality beginning in the first week of treatment. In this same cohort, the incidence of death in the first year post-MI was 20 per 100 person years in NSAID-treated patients compared to 12 per 100 person years in non-NSAID exposed patients. Although the absolute rate of death declined somewhat after the first year post-MI, the increased relative risk of death in NSAID users persisted over at least the next four years of follow-up.

Avoid the use of piroxicam capsules in patients with a recent MI unless the benefits are expected to outweigh the risk of recurrent CV thrombotic events. If piroxicam capsules are used in patients with a recent MI, monitor patients for signs of cardiac ischemia.

Renal Impairment

Piroxicam pharmacokinetics have been investigated in patients with renal insufficiency. Studies indicate patients with mild to moderate renal impairment may not require dosing adjustments. However, the pharmacokinetic properties of piroxicam in patients with severe renal insufficiency or those receiving hemodialysis are not known.

8.4 Pediatric Use

Piroxicam capsules has not been investigated in pediatric patients. The safety and effectiveness of piroxicam capsules have not been established.

8.5 Geriatric Use

Elderly patients, compared to younger patients, are at greater risk for NSAID-associated serious cardiovascular, gastrointestinal, and/or renal adverse reactions. If the anticipated benefit for the elderly patient outweighs these potential risks, start dosing at the low end of the dosing range, and monitor patients for adverse effects [see Warnings and Precautions (5.1, 5.2, 5.3, 5.6, 5.13)].

Labor Or Delivery

There are no studies on the effects of piroxicam capsules during labor or delivery. In animal studies, NSAIDs, including piroxicam inhibit prostaglandin synthesis, cause delayed parturition, and increase the incidence of stillbirth.

5.3 Hepatotoxicity

Elevations of alanine aminotransferase (ALT) or aspartate aminotransferase (AST) (three or more times the upper limit of normal [ULN]) have been reported in approximately 1% of NSAID-treated patients in clinical trials. In addition, rare, sometimes fatal, cases of severe hepatic injury, including fulminant hepatitis, liver necrosis, and hepatic failure have been reported.

Elevations of ALT or AST (less than three times ULN) may occur in up to 15% of patients treated with NSAIDs including piroxicam.

Inform patients of the warning signs and symptoms of hepatotoxicity (e.g., nausea, fatigue, lethargy, diarrhea, pruritus, jaundice, right upper quadrant tenderness, and "flu-like" symptoms). If clinical signs and symptoms consistent with liver disease develop, or if systemic manifestations occur (e.g., eosinophilia, rash), discontinue piroxicam capsules immediately, and perform a clinical evaluation of the patient.

Hepatic Impairment

The effects of hepatic disease on piroxicam pharmacokinetics have not been established. However, a substantial portion of piroxicam elimination occurs by hepatic metabolism. Consequently, patients with hepatic disease may require reduced doses of piroxicam as compared to patients with normal hepatic function.

14 Clinical Studies

In controlled clinical trials, the effectiveness of piroxicam capsules has been established for both acute exacerbations and long term management of rheumatoid arthritis and osteoarthritis.

The therapeutic effects of piroxicam capsules are evident early in the treatment of both diseases with a progressive increase in response over several (8-12) weeks. Efficacy is seen in terms of pain relief and, when present, subsidence of inflammation.

Doses of 20 mg/day piroxicam capsules display a therapeutic effect comparable to therapeutic doses of aspirin, with a lower incidence of minor gastrointestinal effects and tinnitus.

Piroxicam capsules have been administered concomitantly with fixed doses of gold and corticosteroids. The existence of a “steroid sparing” effect has not been adequately studied to date.

4 Contraindications

Piroxicam capsules are contraindicated in the following patients:

  • Known hypersensitivity (e.g., anaphylactic reactions and serious skin reactions) to piroxicam or any components of the drug product [see Warnings and Precautions (5.7, 5.9)]
  • History of asthma, urticaria, or other allergic-type reactions after taking aspirin or other NSAIDs. Severe, sometimes fatal, anaphylactic reactions to NSAIDs have been reported in such patients [see Warnings and Precautions (5.7, 5.8)]
  • In the setting of CABG surgery [see Warnings and Precautions (5.1)]
6 Adverse Reactions

The following adverse reactions are discussed in greater detail in other sections of the labeling:

7 Drug Interactions

See Table 1 for clinically significant drug interactions with piroxicam.

Table 1: Clinically Significant Drug Interactions with Piroxicam

Drugs That Interfere with Hemostasis

Clinical

Impact:

•Piroxicam and anticoagulants such as warfarin have a synergistic effect on bleeding. The concomitant use of piroxicam and anticoagulants have an increased risk of serious bleeding compared to the use of either drug alone.•Serotonin release by platelets plays an important role in hemostasis. Case-control and cohort epidemiological studies showed that concomitant use of drugs that interfere with serotonin reuptake and an NSAID may potentiate the risk of bleeding more than an NSAID alone.

Intervention:

Monitor patients with concomitant use of piroxicam capsules with anticoagulants (e.g., warfarin), antiplatelet drugs (e.g., aspirin), SSRIs, and SNRIs for signs of bleeding [see Warnings and Precautions (5.11)].

Aspirin

Clinical

Impact:

Controlled clinical studies showed that the concomitant use of NSAIDs and analgesic doses of aspirin does not produce any greater therapeutic effect than the use of NSAIDs alone. In a clinical study, the concomitant use of an NSAID and aspirin was associated with a significantly increased incidence of GI adverse reactions as compared to use of the NSAID alone [see Warnings and Precautions (5.2)].

Intervention:

Concomitant use of piroxicam capsules and analgesic doses of aspirin is not generally recommended because of the increased risk of bleeding [see Warnings and Precautions (5.11)].

Piroxicam capsules are not a substitute for low dose aspirin for cardiovascular protection.

ACE Inhibitors, Angiotensin Receptor Blockers, and Beta-Blockers

Clinical

Impact:

•NSAIDs may diminish the antihypertensive effect of ACE inhibitors, ARBs, or beta-blockers (including propranolol).•In patients who are elderly, volume-depleted (including those on diuretic therapy), or have renal impairment, co-administration of an NSAID with ACE inhibitors or ARBs may result in deterioration of renal function, including possible acute renal failure. These effects are usually reversible.

Intervention:

•During concomitant use of piroxicam capsules and ACE inhibitors, ARBs, or beta-blockers, monitor blood pressure to ensure that the desired blood pressure is obtained.•During concomitant use of piroxicam capsules and ACE inhibitors or ARBs in patients who are elderly, volume-depleted, or have impaired renal function, monitor for signs of worsening renal function [see Warnings and Precautions (5.6)]. •When these drugs are administered concomitantly, patients should be adequately hydrated. Assess renal function at the beginning of the concomitant treatment and periodically thereafter.

Diuretics

Clinical

Impact:

Clinical studies, as well as post-marketing observations, showed that NSAIDs reduced the natriuretic effect of loop diuretics (e.g., furosemide) and thiazide diuretics in some patients. This effect has been attributed to the NSAID inhibition of renal prostaglandin synthesis.

Intervention:

During concomitant use of piroxicam capsules with diuretics, observe patients for signs of worsening renal function, in addition to assuring diuretic efficacy including antihypertensive effects [see Warnings and Precautions (5.6)].

Digoxin

Clinical

Impact:

The concomitant use of piroxicam with digoxin has been reported to increase the serum concentration and prolong the half-life of digoxin.

Intervention:

During concomitant use of piroxicam capsules and digoxin, monitor serum digoxin levels.

Lithium

Clinical

Impact:

NSAIDs have produced elevations in plasma lithium levels and reductions in renal lithium clearance. The mean minimum lithium concentration increased 15%, and the renal clearance decreased by approximately 20%. This effect has been attributed to NSAID inhibition of renal prostaglandin synthesis.

Intervention:

During concomitant use of piroxicam capsules and lithium, monitor patients for signs of lithium toxicity.

Methotrexate

Clinical

Impact:

Concomitant use of NSAIDs and methotrexate may increase the risk for methotrexate toxicity (e.g., neutropenia, thrombocytopenia, renal dysfunction).

Intervention:

During concomitant use of piroxicam capsules and methotrexate, monitor patients for methotrexate toxicity.

Cyclosporine

Clinical

Impact:

Concomitant use of piroxicam capsules and cyclosporine may increase cyclosporine’s nephrotoxicity.

Intervention:

During concomitant use of piroxicam capsules and cyclosporine, monitor patients for signs of worsening renal function.

NSAIDs and Salicylates

Clinical

Impact:

Concomitant use of piroxicam with other NSAIDs or salicylates (e.g., diflunisal, salsalate) increases the risk of GI toxicity, with little or no increase in efficacy [see Warnings and Precautions (5.2)].

Intervention:

The concomitant use of piroxicam with other NSAIDs or salicylates is not recommended.

Pemetrexed

Clinical

Impact:

Concomitant use of piroxicam capsules and pemetrexed may increase the risk of pemetrexed-associated myelosuppression, renal, and GI toxicity (see the pemetrexed prescribing information).

Intervention:

During concomitant use of piroxicam capsules and pemetrexed, in patients with renal impairment whose creatinine clearance ranges from 45 to 79 mL/min, monitor for myelosuppression, renal and GI toxicity.

NSAIDs with short elimination half-lives (e.g., diclofenac, indomethacin) should be avoided for a period of two days before, the day of, and two days following administration of pemetrexed.

In the absence of data regarding potential interaction between pemetrexed and NSAIDs with longer half-lives (e.g., meloxicam, nabumetone), patients taking these NSAIDs should interrupt dosing for at least five days before, the day of, and two days following pemetrexed administration.

Highly Protein Bound Drugs

Clinical

Impact:

Piroxicam capsules is highly protein bound and, therefore, might be expected to displace other protein bound drugs.

Intervention:

Physicians should closely monitor patients for a change in dosage requirements when administering piroxicam capsules to patients on other highly protein bound drugs.

Corticosteroids

Clinical

Impact:

Concomitant use of corticosteroids with piroxicam capsules may increase the risk of GI ulceration or bleeding.

Intervention:

Monitor patients with concomitant use of piroxicam capsules with corticosteroids for signs of bleeding [see Warnings and Precautions (5.2)].

12.5 Pharmacogenomics

CYP2C9 activity is reduced in individuals with genetic polymorphisms, such as the CYP2C9*2 and CYP2C9*3 polymorphisms. Limited data from two published reports showed that subjects with heterozygous CYP2C9*1/*2 (n = 9), heterozygous CYP2C9*1/*3 (n = 9), and homozygous CYP2C9*3/*3 (n = 1) genotypes showed 1.7-, 1.7-, and 5.3-fold higher piroxicam systemic levels, respectively, than the subjects with CYP2C9*1/*1 (n = 17, normal metabolizer genotype) following administration of a single oral dose. The mean elimination half-life values of piroxicam for subjects with CYP2C9*1/*3 (n = 9) and CYP2C9*3/*3 (n = 1) genotypes were 1.7- and 8.8-fold higher than subjects with CYP2C9*1/*1 (n = 17). It is estimated that the frequency of the homozygous*3/*3 genotype is 0% to 1% in the population at large; however, frequencies as high as 5.7% have been reported in certain ethnic groups.

1 Indications and Usage

Piroxicam capsules are indicated:

  • For relief of the signs and symptoms of osteoarthritis.
  • For relief of the signs and symptoms of rheumatoid arthritis.
Impairment of Fertility

Reproductive studies in which rats were administered piroxicam at doses of 2, 5, or 10 mg/kg/day (up to 5 times the MRHD of 20 mg based on mg/m2 body surface area [BSA]) revealed no impairment of male or female fertility.

12.1 Mechanism of Action

Piroxicam has analgesic, anti-inflammatory, and antipyretic properties.

The mechanism of action of piroxicam capsules, like that of other NSAIDs, is not completely understood but involves inhibition of cyclooxygenase (COX-1 and COX-2).

Piroxicam is a potent inhibitor of prostaglandin (PG) synthesis in vitro. Piroxicam concentrations reached during therapy have produced in vivo effects. Prostaglandins sensitize afferent nerves and potentiate the action of bradykinin in inducing pain in animal models. Prostaglandins are mediators of inflammation. Because piroxicam is an inhibitor of prostaglandin synthesis, its mode of action may be due to a decrease of prostaglandins in peripheral tissues.

5.11 Hematologic Toxicity

Anemia has occurred in NSAID-treated patients. This may be due to occult or gross blood loss, fluid retention, or an incompletely described effect on erythropoiesis. If a patient treated with piroxicam capsules has any signs or symptoms of anemia, monitor hemoglobin or hematocrit.

NSAIDs, including piroxicam capsules, may increase the risk of bleeding events. Co-morbid conditions such as coagulation disorders, concomitant use of warfarin, other anticoagulants, antiplatelet drugs (e.g., aspirin), SSRIs, and serotonin norepinephrine reuptake inhibitors (SNRIs) may increase this risk. Monitor these patients for signs of bleeding [see Drug Interactions (7)].

5 Warnings and Precautions
  • Hepatotoxicity: Inform patients of warning signs and symptoms of hepatotoxicity. Discontinue if abnormal liver tests persist or worsen or if clinical signs and symptoms of liver disease develop (5.3)
  • Hypertension: Patients taking some antihypertensive medications may have impaired response to these therapies when taking NSAIDs. Monitor blood pressure (5.4, 7)
  • Heart Failure and Edema: Avoid use of piroxicam capsules in patients with severe heart failure unless benefits are expected to outweigh risk of worsening heart failure (5.5)
  • Renal Toxicity: Monitor renal function in patients with renal or hepatic impairment, heart failure, dehydration, or hypovolemia. Avoid use of piroxicam capsules in patients with advanced renal disease unless benefits are expected to outweigh risk of worsening renal function (5.6)
  • Anaphylactic Reactions: Seek emergency help if an anaphylactic reaction occurs (5.7)
  • Exacerbation of Asthma Related to Aspirin Sensitivity: Piroxicam capsules are contraindicated in patients with aspirin-sensitive asthma. Monitor patients with preexisting asthma (without aspirin sensitivity) (5.8)
  • Serious Skin Reactions: Discontinue piroxicam capsules at first appearance of skin rash or other signs of hypersensitivity (5.9)
  • Premature Closure of Fetal Ductus Arteriosus: Avoid use in pregnant women starting at 30 weeks gestation (5.10, 8.1)
  • Hematologic Toxicity: Monitor hemoglobin or hematocrit in patients with any signs or symptoms of anemia (5.11, 7)
5.13 Laboratory Monitoring

Because serious GI bleeding, hepatotoxicity, and renal injury can occur without warning symptoms or signs, consider monitoring patients on long-term NSAID treatment with a complete blood count (CBC) and a chemistry profile periodically [see Warnings and Precautions (5.2, 5.3, 5.6)].

5.7 Anaphylactic Reactions

Piroxicam has been associated with anaphylactic reactions in patients with and without known hypersensitivity to piroxicam and in patients with aspirin-sensitive asthma [see Contraindications (4) and Warnings and Precautions (5.8)].

Seek emergency help if an anaphylactic reaction occurs.

5.9 Serious Skin Reactions

NSAIDs, including piroxicam, can cause serious skin adverse reactions such as exfoliative dermatitis, Stevens-Johnson Syndrome (SJS), and toxic epidermal necrolysis (TEN), which can be fatal. These serious events may occur without warning. Inform patients about the signs and symptoms of serious skin reactions, and to discontinue the use of piroxicam capsules at the first appearance of skin rash or any other sign of hypersensitivity. Piroxicam capsules are contraindicated in patients with previous serious skin reactions to NSAIDs [see Contraindications (4)].

2 Dosage and Administration

Carefully consider the potential benefits and risks of piroxicam capsules and other treatment options before deciding to use piroxicam capsules. Use the lowest effective dosage for the shortest duration consistent with individual patient treatment goals [see Warnings and Precautions (5)].

After observing the response to initial therapy with piroxicam capsules, the dose and frequency should be adjusted to suit an individual patient’s needs.

For the relief of rheumatoid arthritis and osteoarthritis, the dosage is 20 mg given orally once per day. If desired, the daily dose may be divided. Because of the long half-life of piroxicam capsules, steady-state blood levels are not reached for 7 to 12 days. Therefore, although the therapeutic effects of piroxicam capsules are evident early in treatment, there is a progressive increase in response over several weeks and the effect of therapy should not be assessed for two weeks.

5.14 Ophthalmologic Effects

Because of reports of adverse eye findings with nonsteroidal anti-inflammatory agents, it is recommended that patients who develop visual complaints during treatment with piroxicam capsules have ophthalmic evaluations.

5.5 Heart Failure and Edema

The Coxib and traditional NSAID Trialists’ Collaboration meta-analysis of randomized controlled trials demonstrated an approximately two-fold increase in hospitalizations for heart failure in COX-2 selective-treated patients and nonselective NSAID-treated patients compared to placebo-treated patients. In a Danish National Registry study of patients with heart failure, NSAID use increased the risk of MI, hospitalization for heart failure, and death.

Additionally, fluid retention and edema have been observed in some patients treated with NSAIDs. Use of piroxicam may blunt the CV effects of several therapeutic agents used to treat these medical conditions (e.g., diuretics, ACE inhibitors, or angiotensin receptor blockers [ARBs]) [see Drug Interactions (7)].

Avoid the use of piroxicam capsules in patients with severe heart failure unless the benefits are expected to outweigh the risk of worsening heart failure. If piroxicam capsules are used in patients with severe heart failure, monitor patients for signs of worsening heart failure.

3 Dosage Forms and Strengths

Piroxicam Capsules, USP are available containing 10 mg or 20 mg of piroxicam, USP.

  • The 10 mg capsule is a hard gelatin capsule with a swedish orange opaque cap and ivory opaque body containing white to off-white powder. The capsule is imprinted with NP above 10 in black ink on the cap.
  • The 20 mg capsule is a hard gelatin capsule with a swedish orange opaque cap and swedish orange opaque body containing white to off-white powder. The capsule is imprinted with NP above 20 in black ink on the cap.
6.2 Postmarketing Experience

The following adverse reactions have been identified during post approval use of piroxicam capsules. Because these reactions are reported voluntarily from a population of uncertain size, it is not always possible to reliably estimate their frequency or establish a causal relationship to drug exposure.

Body As a Whole: Fever, infection, sepsis, anaphylactic reactions, appetite changes, death, flu-like syndrome, pain (colic), serum sickness

Cardiovascular System: Congestive heart failure, hypertension, tachycardia, syncope, arrhythmia, exacerbation of angina, hypotension, myocardial infarction, vasculitis

Digestive System: Dyspepsia, elevated liver enzymes, gross bleeding/perforation, heartburn, ulcers (gastric/duodenal), dry mouth, esophagitis, gastritis, glossitis, hematemesis, hepatitis, jaundice, melena, rectal bleeding, eructation, liver failure, pancreatitis

Hemic and Lymphatic System: Anemia, increased bleeding time, ecchymosis, eosinophilia, epistaxis, leukopenia, purpura, petechial rash, thrombocytopenia, agranulocytosis, hemolytic anemia, aplastic anemia, lymphadenopathy, pancytopenia

Hypersensitivity:  Positive ANA

Metabolic and Nutritional: Weight changes, Fluid retention, hyperglycemia, hypoglycemia

Nervous System: Anxiety, asthenia, confusion, depression, dream abnormalities, insomnia, malaise, nervousness, paresthesia, somnolence, tremors, akathisia, convulsions, coma, hallucinations, meningitis, mood alterations

Respiratory System: Asthma, dyspnea, respiratory depression, pneumonia

Skin and Appendages: Alopecia, bruising, desquamation, erythema, photosensitivity, sweat, angioedema, toxic epidermal necrosis, erythema multiforme, exfoliative dermatitis, onycholysis, Stevens Johnson Syndrome, urticaria, vesiculobullous reaction

Special Senses: Conjunctivitis, hearing impairment, swollen eyes

Urogenital System: Abnormal renal function, cystitis, dysuria, hematuria, hyperkalemia, interstitial nephritis, nephrotic syndrome, oliguria/polyuria, proteinuria, renal failure, glomerulonephritis

Reproductive System and Breast Disorders: Female fertility decreased

8 Use in Specific Populations

Pregnancy: Use of NSAIDs during the third trimester of pregnancy increases the risk of premature closure of the fetal ductus arteriosus. Avoid use of NSAIDs in pregnant women starting at 30 weeks gestation (5.10, 8.1)

Infertility: NSAIDs are associated with reversible infertility. Consider withdrawal of piroxicam capsules in women who have difficulties conceiving (8.3)

6.1 Clinical Trials Experience

Because clinical trials are conducted under widely varying conditions, adverse reaction rates observed in the clinical trials of a drug cannot be directly compared to rates in the clinical trials of another drug and may not reflect the rates observed in practice.

In patients taking piroxicam capsules or other NSAIDs, the most frequently reported adverse experiences occurring in approximately 1% to 10% of patients are:

Cardiovascular System: Edema

Digestive System: Anorexia, abdominal pain, constipation, diarrhea, flatulence, nausea, vomiting

Nervous System: Dizziness, headache, vertigo

Skin and Appendages: Pruritus, rash

Special Senses: Tinnitus

Additional adverse experiences reported occasionally include:

Cardiovascular System: Palpitations

Digestive System: Stomatitis

Nervous System: Drowsiness

Special Senses: Blurred vision

17 Patient Counseling Information

Advise the patient to read the FDA-approved patient labeling (Medication Guide) that accompanies each prescription dispensed. Inform patients, families, or their caregivers of the following information before initiating therapy with piroxicam capsules and periodically during the course of ongoing therapy.

Cardiovascular Thrombotic Events Advise patients to be alert for the symptoms of cardiovascular thrombotic events, including chest pain, shortness of breath, weakness, or slurring of speech, and to report any of these symptoms to their health care provider immediately [see Warnings and Precautions (5.1)].

Gastrointestinal Bleeding, Ulceration, and Perforation Advise patients to report symptoms of ulcerations and bleeding, including epigastric pain, dyspepsia, melena, and hematemesis to their healthcare provider. In the setting of concomitant use of low-dose aspirin for cardiac prophylaxis, inform patients of the increased risk for and the signs and symptoms of GI bleeding [see Warnings and Precautions (5.2)].

HepatotoxicityInform patients of the warning signs and symptoms of hepatotoxicity (e.g., nausea, fatigue, lethargy, pruritus, diarrhea, jaundice, right upper quadrant tenderness, and “flu-like” symptoms). If these occur, instruct patients to stop piroxicam capsules and seek immediate medical therapy [see Warnings and Precautions (5.3)].

Heart Failure and EdemaAdvise patients to be alert for the symptoms of congestive heart failure including shortness of breath, unexplained weight gain, or edema and to contact their healthcare provider if such symptoms occur [see Warnings and Precautions (5.5)].

Anaphylactic ReactionsInform patients of the signs of an anaphylactic reaction (e.g., difficulty breathing, swelling of the face or throat). Instruct patients to seek immediate emergency help if these occur [see Contraindications (4) and Warnings and Precautions (5.7)].

Serious Skin ReactionsAdvise patients to stop piroxicam capsules immediately if they develop any type of rash and to contact their healthcare provider as soon as possible [see Warnings and Precautions (5.9)].

Female FertilityAdvise females of reproductive potential who desire pregnancy that NSAIDs, including piroxicam capsules, may be associated with a reversible delay in ovulation [see Use in Specific Populations (8.3)].

Fetal ToxicityInform pregnant women to avoid use of piroxicam capsules and other NSAIDs starting at 30 weeks gestation because of the risk of the premature closing of the fetal ductus arteriosus [see Warnings and Precautions (5.10) and Use in Specific Populations (8.1)].

Avoid Concomitant Use of NSAIDsInform patients that the concomitant use of piroxicam capsules with other NSAIDs or salicylates (e.g., diflunisal, salsalate) is not recommended due to the increased risk of gastrointestinal toxicity, and little or no increase in efficacy [see Warnings and Precautions (5.2) and Drug Interactions (7)]. Alert patients that NSAIDs may be present in “over the counter” medications for treatment of colds, fever, or insomnia.

Use of NSAIDs and Low-Dose AspirinInform patients not to use low-dose aspirin concomitantly with piroxicam capsules until they talk to their healthcare provider [see Drug Interactions (7)].

Manufactured by:

Nostrum Laboratories, Inc.

Kansas City, MO 64120

Rev: November 2019

16 How Supplied/storage and Handling

Piroxicam Capsules, USP

The 10 mg capsules are hard gelatin capsules with a swedish orange opaque cap and ivory opaque body containing white to off-white powder.

NDC: 72162-1290-1: 100 Capsules in a BOTTLE, PLASTIC

Store at 20° to 25°C (68° to 77°F); excursions permitted to 15° to 30°C (59° to 86°F). [see USP Controlled Room Temperature].

Dispense in a tight, light-resistant container as defined in the USP using a child-resistant closure.

Repackaged/Relabeled by:

Bryant Ranch Prepack, Inc.

Burbank, CA 91504

5.1 Cardiovascular Thrombotic Events

Clinical trials of several cyclooxygenase-2 (COX-2) selective and nonselective NSAIDs of up to three years duration have shown an increased risk of serious cardiovascular (CV) thrombotic events, including myocardial infarction (MI), and stroke, which can be fatal. Based on available data, it is unclear that the risk for CV thrombotic events is similar for all NSAIDs. The relative increase in serious CV thrombotic events over baseline conferred by NSAID use appears to be similar in those with and without known CV disease or risk factors for CV disease. However, patients with known CV disease or risk factors had a higher absolute incidence of excess serious CV thrombotic events, due to their increased baseline rate. Some observational studies found that this increased risk of serious CV thrombotic events began as early as the first weeks of treatment. The increase in CV thrombotic risk has been observed most consistently at higher doses.

To minimize the potential risk for an adverse CV event in NSAID-treated patients, use the lowest effective dose for the shortest duration possible. Physicians and patients should remain alert for the development of such events, throughout the entire treatment course, even in the absence of previous CV symptoms. Patients should be informed about the symptoms of serious CV events and the steps to take if they occur.

There is no consistent evidence that concurrent use of aspirin mitigates the increased risk of serious CV thrombotic events associated with NSAID use. The concurrent use of aspirin and an NSAID, such as piroxicam, increases the risk of serious gastrointestinal (GI) events [see Warnings and Precautions (5.2)].

5.12 Masking of Inflammation and Fever

The pharmacological activity of piroxicam capsules in reducing inflammation, and possibly fever, may diminish the utility of diagnostic signs in detecting infections.

General Pharmacokinetic Characteristics

The pharmacokinetics of piroxicam have been characterized in healthy subjects, special populations and patients. The pharmacokinetics of piroxicam are linear. Proportional increase in exposure is observed with increasing doses. The prolonged half-life (50 hours) results in the maintenance of relatively stable plasma concentrations throughout the day on once daily doses and significant accumulation upon multiple dosing. Most patients approximate steady state plasma levels within 7 to 12 days. Higher levels, which approximate steady state at two to three weeks, have been observed in patients in whom longer plasma half-lives of piroxicam occurred.

5.10 Premature Closure of Fetal Ductus Arteriosus

Piroxicam may cause premature closure of the fetal ductus arteriosus. Avoid use of NSAIDs, including piroxicam capsules, in pregnant women starting at 30 weeks of gestation (third trimester) [see Use in Specific Populations (8.1)].

Status Post Coronary Artery Bypass Graft (cabg) Surgery

Two large, controlled clinical trials of a COX-2 selective NSAID for the treatment of pain in the first 10 to 14 days following CABG surgery found an increased incidence of myocardial infarction and stroke. NSAIDs are contraindicated in the setting of CABG [see Contraindications (4)].

5.8 Exacerbation of Asthma Related to Aspirin Sensitivity

A subpopulation of patients with asthma may have aspirin-sensitive asthma which may include chronic rhinosinusitis complicated by nasal polyps; severe, potentially fatal bronchospasm; and/or intolerance to aspirin and other NSAIDs. Because cross-reactivity between aspirin and other NSAIDs has been reported in such aspirin-sensitive patients, piroxicam capsules are contraindicated in patients with this form of aspirin sensitivity [see Contraindications (4)]. When piroxicam capsules are used in patients with preexisting asthma (without known aspirin sensitivity), monitor patients for changes in the signs and symptoms of asthma.

Risk Factors for Gi Bleeding, Ulceration, and Perforation

Patients with a prior history of peptic ulcer disease and/or GI bleeding who used NSAIDs had a greater than 10-fold increased risk for developing a GI bleed compared to patients without these risk factors. Other factors that increase the risk of GI bleeding in patients treated with NSAIDs include longer duration of NSAID therapy; concomitant use of oral corticosteroids, antiplatelet drugs (such as aspirin), anticoagulants, or selective serotonin reuptake inhibitors (SSRIs); smoking; use of alcohol; older age; and poor general health status. Most postmarketing reports of fatal GI events occurred in elderly or debilitated patients. Additionally, patients with advanced liver disease and/or coagulopathy are at increased risk for GI bleeding.

5.2 Gastrointestinal Bleeding, Ulceration, and Perforation

NSAIDs, including piroxicam capsules, cause serious gastrointestinal (GI) adverse events including inflammation, bleeding, ulceration, and perforation of the esophagus, stomach, small intestine, or large intestine, which can be fatal. These serious adverse events can occur at any time, with or without warning symptoms, in patients treated with NSAIDs. Only one in five patients who develop a serious upper GI adverse event on NSAID therapy is symptomatic. Upper GI ulcers, gross bleeding, or perforation caused by NSAIDs occurred in approximately 1% of patients treated for 3 to 6 months, and in about 2% to 4% of patients treated for one year. However, even short-term NSAID therapy is not without risk.

Strategies to Minimize the Gi Risks in Nsaid Treated Patients:
  • Use the lowest effective dosage for the shortest possible duration.
  • Avoid administration of more than one NSAID at a time.
  • Avoid use in patients at higher risk unless benefits are expected to outweigh the increased risk of bleeding. For such patients, as well as those with active GI bleeding, consider alternate therapies other than NSAIDs.
  • Remain alert for signs and symptoms of GI ulceration and bleeding during NSAID therapy.
  • If a serious GI adverse event is suspected, promptly initiate evaluation and treatment, and discontinue piroxicam capsules until a serious GI adverse event is ruled out.
  • In the setting of concomitant use of low-dose aspirin for cardiac prophylaxis, monitor patients more closely for evidence of GI bleeding [see Drug Interactions (7)].
Medication Guide for Nonsteroidal Anti Inflammatory Drugs (nsaids)

What is the most important information I should know about medicines called Nonsteroidal Anti-inflammatory Drugs (NSAIDs)?

NSAIDs can cause serious side effects, including:

  • Increased risk of a heart attack or stroke that can lead to death. This risk may happen early in treatment and may increase:
    • o
      with increasing doses of NSAIDs
    • o
      with longer use of NSAIDs

Do not take NSAIDs right before or after a heart surgery called a “coronary artery bypass graft (CABG).”

Avoid taking NSAIDs after a recent heart attack, unless your healthcare provider tells you to. You may have an increased risk of another heart attack if you take NSAIDs after a recent heart attack.

  • Increased risk of bleeding, ulcers, and tears (perforation) of the esophagus (tube leading from the mouth to the stomach), stomach and intestines:
    • o
      anytime during use
    • o
      without warning symptoms
    • o
      that may cause death



The risk of getting an ulcer or bleeding increases with:

  • o
    past history of stomach ulcers, or stomach or intestinal bleeding with use of NSAIDs
  • o
    taking medicines called “corticosteroids”, “antiplatelet drugs”, “anticoagulants”, “SSRIs” or “SNRIs”
  • o
    increasing doses of NSAIDs
  • o
    longer use of NSAIDs
  • o
    smoking
  • o
    drinking alcohol
  • o
    older age
  • o
    poor health
  • o
    advanced liver disease
  • o
    bleeding problems

NSAIDs should only be used:

  • o
    exactly as prescribed
  • o
    at the lowest dose possible for your treatment
  • o
    for the shortest time needed

What are NSAIDs?

NSAIDs are used to treat pain and redness, swelling, and heat (inflammation) from medical conditions such as different types of arthritis, menstrual cramps, and other types of short-term pain.

Who should not take NSAIDs?

Do not take NSAIDs:

  • if you have had an asthma attack, hives, or other allergic reaction with aspirin or any other NSAIDs.
  • right before or after heart bypass surgery.

Before taking NSAIDs, tell your healthcare provider about all of your medical conditions, including if you:

  • have liver or kidney problems
  • have high blood pressure
  • have asthma
  • are pregnant or plan to become pregnant. Talk to your healthcare provider if you are considering taking NSAIDs during pregnancy. You should not take NSAIDs after 29 weeks of pregnancy
  • are breastfeeding or plan to breast feed.

Tell your healthcare provider about all of the medicines you take, including prescription or over-the-counter medicines, vitamins or herbal supplements. NSAIDs and some other medicines can interact with each other and cause serious side effects. Do not start taking any new medicine without talking to your healthcare provider first.

What are the possible side effects of NSAIDs?

NSAIDs can cause serious side effects, including:

See “What is the most important information I should know about medicines called Nonsteroidal Anti-inflammatory Drugs (NSAIDs)?”

  • new or worse high blood pressure
  • heart failure
  • liver problems including liver failure
  • kidney problems including kidney failure
  • low red blood cells (anemia)
  • life-threatening skin reactions
  • life-threatening allergic reactions
  • Other side effects of NSAIDs include: stomach pain, constipation, diarrhea, gas, heartburn, nausea, vomiting, and dizziness.

Get emergency help right away if you get any of the following symptoms:

  • shortness of breath or trouble breathing
  • chest pain
  • weakness in one part or side of your body
  • slurred speech
  • swelling of the face or throat



Stop taking your NSAID and call your healthcare provider right away if you get any of the following symptoms:

  • nausea
  • more tired or weaker than usual
  • diarrhea
  • itching
  • your skin or eyes look yellow
  • indigestion or stomach pain
  • flu-like symptoms
  • vomit blood
  • there is blood in your bowel movement or it is black and sticky like tar
  • unusual weight gain
  • skin rash or blisters with fever
  • swelling of the arms, legs, hands and feet



If you take too much of your NSAID, call your healthcare provider or get medical help right away.

These are not all the possible side effects of NSAIDs. For more information, ask your healthcare provider or pharmacist about NSAIDs.  

Call your doctor for medical advice about side effects. You may report side effects to FDA at 1-800-FDA-1088.

Other information about NSAIDs

  • Aspirin is an NSAID but it does not increase the chance of a heart attack. Aspirin can cause bleeding in the brain, stomach, and intestines. Aspirin can also cause ulcers in the stomach and intestines.
  • Some NSAIDs are sold in lower doses without a prescription (over-the- counter). Talk to your healthcare provider before using over-the-counter NSAIDs for more than 10 days.

General information about the safe and effective use of NSAIDs

Medicines are sometimes prescribed for purposes other than those listed in a Medication Guide. Do not use NSAIDs for a condition for which they were not prescribed. Do not give NSAIDs to other people, even if they have the same symptoms that you have. It may harm them.

If you would like more information about NSAIDs, talk with your healthcare provider. You can ask your pharmacist or healthcare provider for information about NSAIDs that is written for health professionals.

This Medication Guide has been approved by the U.S. Food and Drug Administration.

For more information, please contact Nostrum Laboratories, Inc. at [email protected] at 1-877-770-1288

Manufactured by:

Nostrum Laboratories, Inc.

Kansas City, MO 64120

Rev: November 2019

Warning: Risk of Serious Cardiovascular and Gastrointestinal Events

Cardiovascular Thrombotic Events

  • Nonsteroidal anti-inflammatory drugs (NSAIDs) cause an increased risk of serious cardiovascular thrombotic events, including myocardial infarction and stroke, which can be fatal. This risk may occur early in treatment and may increase with duration of use [see Warnings and Precautions (5.1)].
  • Piroxicam capsules are contraindicated in the setting of coronary artery bypass graft (CABG) surgery [see Contraindications (4) and Warnings and Precautions (5.1)].

Gastrointestinal Bleeding, Ulceration, and Perforation

  • NSAIDs cause an increased risk of serious gastrointestinal (GI) adverse events including bleeding, ulceration, and perforation of the stomach or intestines, which can be fatal. These events can occur at any time during use and without warning symptoms. Elderly patients and patients with a prior history of peptic ulcer disease and/or GI bleeding are at greater risk for serious GI events [see Warnings and Precautions (5.2)].

Structured Label Content

Race

Pharmacokinetic differences due to race have not been identified.

Section 43683-2 (43683-2)

Warnings and Precautions,

     Gastrointestinal Bleeding, Ulceration, and Perforation (5.2)     05/2019

Section 51945-4 (51945-4)

Piroxicam 10 mg cap#100

Aspirin

When piroxicam was administered with aspirin, its protein binding was reduced, although the clearance of free piroxicam capsules was not altered. Plasma levels of piroxicam were decreased to approximately 80% of their normal values when piroxicam capsules was administered (20 mg/day) in conjunction with aspirin (3900 mg/day). The clinical significance of this interaction is not known [see Drug Interactions (7)].

Females

Based on the mechanism of action, the use of prostaglandin-mediated NSAIDs, including piroxicam capsules, may delay or prevent rupture of ovarian follicles, which has been associated with reversible infertility in some women. Published animal studies have shown that administration of prostaglandin synthesis inhibitors has the potential to disrupt prostaglandin-mediated follicular rupture required for ovulation. Small studies in women treated with NSAIDs have also shown a reversible delay in ovulation. Consider withdrawal of NSAIDs, including piroxicam capsules, in women who have difficulties conceiving or who are undergoing investigation of infertility.

Antacids

Concomitant administration of antacids had no effect on piroxicam plasma levels.

Excretion

Piroxicam and its biotransformation products are excreted in urine and feces, with about twice as much appearing in the urine as in the feces. Approximately 5% of a piroxicam capsule dose is excreted unchanged. The plasma half-life (t½) for piroxicam is approximately 50 hours.

Pediatric

Piroxicam has not been investigated in pediatric patients.

Absorption

Piroxicam is well absorbed following oral administration. Drug plasma concentrations are proportional for 10 mg and 20 mg doses and generally peak within three to five hours after administration. A single 20 mg dose generally produces peak piroxicam plasma levels of 1.5 mcg/mL to 2 mcg/mL, while maximum drug plasma concentrations, after repeated daily administration of 20 mg piroxicam, usually stabilize at 3 mcg/mL to 8 mcg/mL.

With food there is a slight delay in the rate but not the extent of absorption following oral administration. The concomitant administration of antacids (aluminum hydroxide or aluminum hydroxide with magnesium hydroxide) have been shown to have no effect on the plasma levels of orally administered piroxicam.

Metabolism

Metabolism of piroxicam occurs by hydroxylation at the 5 position of the pyridyl side chain and conjugation of this product; by cyclodehydration; and by a sequence of reactions involving hydrolysis of the amide linkage, decarboxylation, ring contraction, and N-demethylation. In vitro studies indicate cytochrome P4502C9 (CYP2C9) as the main enzyme involved in the formation to the 5′-hydroxy-piroxicam, the major metabolite [see Clinical Pharmacology (12.5)]. The biotransformation products of piroxicam metabolism are reported to not have any anti-inflammatory activity.

Higher systemic exposure of piroxicam has been noted in subjects with CYP2C9 polymorphisms compared to normal metabolizer type subjects [see Clinical Pharmacology (12.5)].

Animal Data

Pregnant rats administered piroxicam at 2, 5, or 10 mg/kg/day during the period of organogenesis (Gestation Days 6 to 15) demonstrated increased post-implantation losses with 5 and 10 mg/kg/day of piroxicam (equivalent to 2 and 5 times the MRHD, of 20 mg respectively, based on a mg/m2 body surface area [BSA]). There were no drug-related developmental abnormalities noted in offspring. Gastrointestinal tract toxicity was increased in pregnant rats in the last trimester of pregnancy compared to non-pregnant rats or rats in earlier trimesters of pregnancy. Pregnant rabbits administered piroxicam at 2, 5, or 10 mg/kg/day during the period of organogenesis (Gestation Days 7 to 18) demonstrated no drug-related developmental abnormalities in offspring (up to 10 times the MRHD based on a mg/m2 BSA).

In a pre- and post-natal development study in which pregnant rats were administered piroxicam at 2, 5, or 10 mg/kg/day on Gestation Day 15 through delivery and weaning of offspring, reduced weight gain and death were observed in dams at 10 mg/kg/day (5 times the MRHD based on a mg/m2 BSA) starting on Gestation Day 20. Treated dams revealed peritonitis, adhesions, gastric bleeding, hemorrhagic enteritis and dead fetuses in utero. Parturition was delayed and there was an increased incidence of stillbirth in all piroxicam-treated groups (at doses equivalent to the MRHD). Postnatal development could not be reliably assessed due to the absence of maternal care secondary to severe maternal toxicity.

Mutagenesis

Piroxicam was not mutagenic in an Ames bacterial reverse mutation assay, or in a dominant lethal mutation assay in mice, and was not clastogenic in an in vivo chromosome aberration assay in mice.

Distribution

The apparent volume of distribution of piroxicam is approximately 0.14 L/kg. Ninety nine percent of plasma piroxicam is bound to plasma proteins. Piroxicam is excreted into human milk. The presence in breast milk has been determined during initial and long term conditions (52 days). Piroxicam appeared in breast milk at approximately 1% to 3% of the maternal concentration. No accumulation of piroxicam occurred in milk relative to that in plasma during treatment.

Hyperkalemia

Increases in serum potassium concentration, including hyperkalemia, have been reported with use of NSAIDs, even in some patients without renal impairment. In patients with normal renal function, these effects have been attributed to a hyporeninemic-hypoaldosteronism state.

Risk Summary

Use of NSAIDs, including piroxicam capsules, during the third trimester of pregnancy increases the risk of premature closure of the fetal ductus arteriosus. Avoid use of NSAIDs, including piroxicam capsules, in pregnant women starting at 30 weeks of gestation (third trimester).

There are no adequate and well-controlled studies of piroxicam capsules in pregnant women.

Data from observational studies regarding potential embryofetal risks of NSAID use in women in the first or second trimesters of pregnancy are inconclusive. In the general U.S. population, all clinically recognized pregnancies, regardless of drug exposure, have a background rate of 2% to 4% for major malformations, and 15% to 20% for pregnancy loss. In animal reproduction studies in rats and rabbits, there was no evidence of teratogenicity at exposures up to 5 and 10 times the maximum recommended human dose (MRHD), respectively. In rat studies with piroxicam, fetotoxicity (postimplantation loss) was observed at exposures 2 times the MRHD, and delayed parturition and an increased incidence of stillbirth were noted at doses equivalent to the MRHD of piroxicam. Based on animal data, prostaglandins have been shown to have an important role in endometrial vascular permeability, blastocyst implantation, and decidualization. In animal studies, administration of prostaglandin synthesis inhibitors such as piroxicam, resulted in increased pre- and post-implantation loss.

10 Overdosage (10 OVERDOSAGE)

Symptoms following acute NSAID overdoses have been typically limited to lethargy, drowsiness, nausea, vomiting, and epigastric pain, which are generally reversible with supportive care. Gastrointestinal bleeding has occurred. Hypertension, acute renal failure, respiratory depression, and coma have occurred, but were rare [see Warnings and Precautions (5.1, 5.2, 5.4, 5.6)].

Manage patients with symptomatic and supportive care following an NSAID overdose. There are no specific antidotes. Consider emesis and/or activated charcoal (60 grams to 100 grams in adults, 1 gram to 2 grams per kg of body weight in pediatric patients) and/or osmotic cathartic in symptomatic patients seen within four hours of ingestion or in patients with a large overdosage (5 to 10 times the recommended dosage).

The long plasma half-life of piroxicam should be considered when treating an overdose with piroxicam. Forced diuresis, alkalinization of urine, hemodialysis, or hemoperfusion may not be useful due to high protein binding.

For additional information about overdosage treatment contact a poison control center (1-800-222-1222).

11 Description (11 DESCRIPTION)

Piroxicam Capsules, USP is a nonsteroidal anti-inflammatory drug, available as Ivory opaque/Swedish orange opaque 10 mg capsules and Swedish orange opaque/Swedish orange opaque 20 mg capsules for oral administration. The chemical name is 4-hydroxyl-2-methyl-N-2-pyridinyl-2H-1,2,-benzothiazine-3-carboxamide 1,1-dioxide. The molecular weight is 331.35. Its molecular formula is C15H13N3O4S, and it has the following chemical structure.

Piroxicam occurs as a white crystalline solid, sparingly soluble in water, dilute acid, and most organic solvents. It is slightly soluble in alcohol and in aqueous solutions. It exhibits a weakly acidic 4-hydroxy proton (pKa 5.1) and a weakly basic pyridyl nitrogen (pKa 1.8).

The inactive ingredients in piroxicam capsules include: Hard gelatin capsules (which may contain FD&C Blue 1, FD&C Red 40, D&C Yellow 10, titanium dioxide and gelatin inactive ingredients), corn starch, lactose, magnesium stearate and sodium lauryl sulfate.

Carcinogenesis

Long-term animal studies have not been conducted to characterize the carcinogenic potential of piroxicam.

Renal Toxicity

Long-term administration of NSAIDs has resulted in renal papillary necrosis and other renal injury.

Renal toxicity has also been seen in patients in whom renal prostaglandins have a compensatory role in the maintenance of renal perfusion. In these patients, administration of an NSAID may cause a dose-dependent reduction in prostaglandin formation and, secondarily, in renal blood flow, which may precipitate overt renal decompensation. Patients at greatest risk of this reaction are those with impaired renal function, dehydration, hypovolemia, heart failure, liver dysfunction, those taking diuretics and ACE inhibitors or ARBs, and the elderly. Discontinuation of NSAID therapy is usually followed by recovery to the pretreatment state.

No information is available from controlled clinical studies regarding the use of piroxicam capsules in patients with advanced renal disease. The renal effects of piroxicam capsules may hasten the progression of renal dysfunction in patients with preexisting renal disease.

Correct volume status in dehydrated or hypovolemic patients prior to initiating piroxicam capsules. Monitor renal function in patients with renal or hepatic impairment, heart failure, dehydration, or hypovolemia during use of piroxicam capsules [see Drug Interactions (7)]. Avoid the use of piroxicam capsules in patients with advanced renal disease unless the benefits are expected to outweigh the risk of worsening renal function. If piroxicam capsules are used in patients with advanced renal disease, monitor patients for signs of worsening renal function.

5.4 Hypertension

NSAIDs, including piroxicam capsules, can lead to new onset of hypertension or worsening of preexisting hypertension, either of which may contribute to the increased incidence of CV events. Patients taking angiotensin converting enzyme (ACE) inhibitors, thiazide diuretics, or loop diuretics may have impaired response to these therapies when taking NSAIDs [see Drug Interactions (7)].

Monitor blood pressure (BP) during the initiation of NSAID treatment and throughout the course of therapy.

Post Mi Patients (Post-MI Patients)

Observational studies conducted in the Danish National Registry have demonstrated that patients treated with NSAIDs in the post-MI period were at increased risk of reinfarction, CV-related death, and all-cause mortality beginning in the first week of treatment. In this same cohort, the incidence of death in the first year post-MI was 20 per 100 person years in NSAID-treated patients compared to 12 per 100 person years in non-NSAID exposed patients. Although the absolute rate of death declined somewhat after the first year post-MI, the increased relative risk of death in NSAID users persisted over at least the next four years of follow-up.

Avoid the use of piroxicam capsules in patients with a recent MI unless the benefits are expected to outweigh the risk of recurrent CV thrombotic events. If piroxicam capsules are used in patients with a recent MI, monitor patients for signs of cardiac ischemia.

Renal Impairment

Piroxicam pharmacokinetics have been investigated in patients with renal insufficiency. Studies indicate patients with mild to moderate renal impairment may not require dosing adjustments. However, the pharmacokinetic properties of piroxicam in patients with severe renal insufficiency or those receiving hemodialysis are not known.

8.4 Pediatric Use

Piroxicam capsules has not been investigated in pediatric patients. The safety and effectiveness of piroxicam capsules have not been established.

8.5 Geriatric Use

Elderly patients, compared to younger patients, are at greater risk for NSAID-associated serious cardiovascular, gastrointestinal, and/or renal adverse reactions. If the anticipated benefit for the elderly patient outweighs these potential risks, start dosing at the low end of the dosing range, and monitor patients for adverse effects [see Warnings and Precautions (5.1, 5.2, 5.3, 5.6, 5.13)].

Labor Or Delivery (Labor or Delivery)

There are no studies on the effects of piroxicam capsules during labor or delivery. In animal studies, NSAIDs, including piroxicam inhibit prostaglandin synthesis, cause delayed parturition, and increase the incidence of stillbirth.

5.3 Hepatotoxicity

Elevations of alanine aminotransferase (ALT) or aspartate aminotransferase (AST) (three or more times the upper limit of normal [ULN]) have been reported in approximately 1% of NSAID-treated patients in clinical trials. In addition, rare, sometimes fatal, cases of severe hepatic injury, including fulminant hepatitis, liver necrosis, and hepatic failure have been reported.

Elevations of ALT or AST (less than three times ULN) may occur in up to 15% of patients treated with NSAIDs including piroxicam.

Inform patients of the warning signs and symptoms of hepatotoxicity (e.g., nausea, fatigue, lethargy, diarrhea, pruritus, jaundice, right upper quadrant tenderness, and "flu-like" symptoms). If clinical signs and symptoms consistent with liver disease develop, or if systemic manifestations occur (e.g., eosinophilia, rash), discontinue piroxicam capsules immediately, and perform a clinical evaluation of the patient.

Hepatic Impairment

The effects of hepatic disease on piroxicam pharmacokinetics have not been established. However, a substantial portion of piroxicam elimination occurs by hepatic metabolism. Consequently, patients with hepatic disease may require reduced doses of piroxicam as compared to patients with normal hepatic function.

14 Clinical Studies (14 CLINICAL STUDIES)

In controlled clinical trials, the effectiveness of piroxicam capsules has been established for both acute exacerbations and long term management of rheumatoid arthritis and osteoarthritis.

The therapeutic effects of piroxicam capsules are evident early in the treatment of both diseases with a progressive increase in response over several (8-12) weeks. Efficacy is seen in terms of pain relief and, when present, subsidence of inflammation.

Doses of 20 mg/day piroxicam capsules display a therapeutic effect comparable to therapeutic doses of aspirin, with a lower incidence of minor gastrointestinal effects and tinnitus.

Piroxicam capsules have been administered concomitantly with fixed doses of gold and corticosteroids. The existence of a “steroid sparing” effect has not been adequately studied to date.

4 Contraindications (4 CONTRAINDICATIONS)

Piroxicam capsules are contraindicated in the following patients:

  • Known hypersensitivity (e.g., anaphylactic reactions and serious skin reactions) to piroxicam or any components of the drug product [see Warnings and Precautions (5.7, 5.9)]
  • History of asthma, urticaria, or other allergic-type reactions after taking aspirin or other NSAIDs. Severe, sometimes fatal, anaphylactic reactions to NSAIDs have been reported in such patients [see Warnings and Precautions (5.7, 5.8)]
  • In the setting of CABG surgery [see Warnings and Precautions (5.1)]
6 Adverse Reactions (6 ADVERSE REACTIONS)

The following adverse reactions are discussed in greater detail in other sections of the labeling:

7 Drug Interactions (7 DRUG INTERACTIONS)

See Table 1 for clinically significant drug interactions with piroxicam.

Table 1: Clinically Significant Drug Interactions with Piroxicam

Drugs That Interfere with Hemostasis

Clinical

Impact:

•Piroxicam and anticoagulants such as warfarin have a synergistic effect on bleeding. The concomitant use of piroxicam and anticoagulants have an increased risk of serious bleeding compared to the use of either drug alone.•Serotonin release by platelets plays an important role in hemostasis. Case-control and cohort epidemiological studies showed that concomitant use of drugs that interfere with serotonin reuptake and an NSAID may potentiate the risk of bleeding more than an NSAID alone.

Intervention:

Monitor patients with concomitant use of piroxicam capsules with anticoagulants (e.g., warfarin), antiplatelet drugs (e.g., aspirin), SSRIs, and SNRIs for signs of bleeding [see Warnings and Precautions (5.11)].

Aspirin

Clinical

Impact:

Controlled clinical studies showed that the concomitant use of NSAIDs and analgesic doses of aspirin does not produce any greater therapeutic effect than the use of NSAIDs alone. In a clinical study, the concomitant use of an NSAID and aspirin was associated with a significantly increased incidence of GI adverse reactions as compared to use of the NSAID alone [see Warnings and Precautions (5.2)].

Intervention:

Concomitant use of piroxicam capsules and analgesic doses of aspirin is not generally recommended because of the increased risk of bleeding [see Warnings and Precautions (5.11)].

Piroxicam capsules are not a substitute for low dose aspirin for cardiovascular protection.

ACE Inhibitors, Angiotensin Receptor Blockers, and Beta-Blockers

Clinical

Impact:

•NSAIDs may diminish the antihypertensive effect of ACE inhibitors, ARBs, or beta-blockers (including propranolol).•In patients who are elderly, volume-depleted (including those on diuretic therapy), or have renal impairment, co-administration of an NSAID with ACE inhibitors or ARBs may result in deterioration of renal function, including possible acute renal failure. These effects are usually reversible.

Intervention:

•During concomitant use of piroxicam capsules and ACE inhibitors, ARBs, or beta-blockers, monitor blood pressure to ensure that the desired blood pressure is obtained.•During concomitant use of piroxicam capsules and ACE inhibitors or ARBs in patients who are elderly, volume-depleted, or have impaired renal function, monitor for signs of worsening renal function [see Warnings and Precautions (5.6)]. •When these drugs are administered concomitantly, patients should be adequately hydrated. Assess renal function at the beginning of the concomitant treatment and periodically thereafter.

Diuretics

Clinical

Impact:

Clinical studies, as well as post-marketing observations, showed that NSAIDs reduced the natriuretic effect of loop diuretics (e.g., furosemide) and thiazide diuretics in some patients. This effect has been attributed to the NSAID inhibition of renal prostaglandin synthesis.

Intervention:

During concomitant use of piroxicam capsules with diuretics, observe patients for signs of worsening renal function, in addition to assuring diuretic efficacy including antihypertensive effects [see Warnings and Precautions (5.6)].

Digoxin

Clinical

Impact:

The concomitant use of piroxicam with digoxin has been reported to increase the serum concentration and prolong the half-life of digoxin.

Intervention:

During concomitant use of piroxicam capsules and digoxin, monitor serum digoxin levels.

Lithium

Clinical

Impact:

NSAIDs have produced elevations in plasma lithium levels and reductions in renal lithium clearance. The mean minimum lithium concentration increased 15%, and the renal clearance decreased by approximately 20%. This effect has been attributed to NSAID inhibition of renal prostaglandin synthesis.

Intervention:

During concomitant use of piroxicam capsules and lithium, monitor patients for signs of lithium toxicity.

Methotrexate

Clinical

Impact:

Concomitant use of NSAIDs and methotrexate may increase the risk for methotrexate toxicity (e.g., neutropenia, thrombocytopenia, renal dysfunction).

Intervention:

During concomitant use of piroxicam capsules and methotrexate, monitor patients for methotrexate toxicity.

Cyclosporine

Clinical

Impact:

Concomitant use of piroxicam capsules and cyclosporine may increase cyclosporine’s nephrotoxicity.

Intervention:

During concomitant use of piroxicam capsules and cyclosporine, monitor patients for signs of worsening renal function.

NSAIDs and Salicylates

Clinical

Impact:

Concomitant use of piroxicam with other NSAIDs or salicylates (e.g., diflunisal, salsalate) increases the risk of GI toxicity, with little or no increase in efficacy [see Warnings and Precautions (5.2)].

Intervention:

The concomitant use of piroxicam with other NSAIDs or salicylates is not recommended.

Pemetrexed

Clinical

Impact:

Concomitant use of piroxicam capsules and pemetrexed may increase the risk of pemetrexed-associated myelosuppression, renal, and GI toxicity (see the pemetrexed prescribing information).

Intervention:

During concomitant use of piroxicam capsules and pemetrexed, in patients with renal impairment whose creatinine clearance ranges from 45 to 79 mL/min, monitor for myelosuppression, renal and GI toxicity.

NSAIDs with short elimination half-lives (e.g., diclofenac, indomethacin) should be avoided for a period of two days before, the day of, and two days following administration of pemetrexed.

In the absence of data regarding potential interaction between pemetrexed and NSAIDs with longer half-lives (e.g., meloxicam, nabumetone), patients taking these NSAIDs should interrupt dosing for at least five days before, the day of, and two days following pemetrexed administration.

Highly Protein Bound Drugs

Clinical

Impact:

Piroxicam capsules is highly protein bound and, therefore, might be expected to displace other protein bound drugs.

Intervention:

Physicians should closely monitor patients for a change in dosage requirements when administering piroxicam capsules to patients on other highly protein bound drugs.

Corticosteroids

Clinical

Impact:

Concomitant use of corticosteroids with piroxicam capsules may increase the risk of GI ulceration or bleeding.

Intervention:

Monitor patients with concomitant use of piroxicam capsules with corticosteroids for signs of bleeding [see Warnings and Precautions (5.2)].

12.5 Pharmacogenomics

CYP2C9 activity is reduced in individuals with genetic polymorphisms, such as the CYP2C9*2 and CYP2C9*3 polymorphisms. Limited data from two published reports showed that subjects with heterozygous CYP2C9*1/*2 (n = 9), heterozygous CYP2C9*1/*3 (n = 9), and homozygous CYP2C9*3/*3 (n = 1) genotypes showed 1.7-, 1.7-, and 5.3-fold higher piroxicam systemic levels, respectively, than the subjects with CYP2C9*1/*1 (n = 17, normal metabolizer genotype) following administration of a single oral dose. The mean elimination half-life values of piroxicam for subjects with CYP2C9*1/*3 (n = 9) and CYP2C9*3/*3 (n = 1) genotypes were 1.7- and 8.8-fold higher than subjects with CYP2C9*1/*1 (n = 17). It is estimated that the frequency of the homozygous*3/*3 genotype is 0% to 1% in the population at large; however, frequencies as high as 5.7% have been reported in certain ethnic groups.

1 Indications and Usage (1 INDICATIONS AND USAGE)

Piroxicam capsules are indicated:

  • For relief of the signs and symptoms of osteoarthritis.
  • For relief of the signs and symptoms of rheumatoid arthritis.
Impairment of Fertility

Reproductive studies in which rats were administered piroxicam at doses of 2, 5, or 10 mg/kg/day (up to 5 times the MRHD of 20 mg based on mg/m2 body surface area [BSA]) revealed no impairment of male or female fertility.

12.1 Mechanism of Action

Piroxicam has analgesic, anti-inflammatory, and antipyretic properties.

The mechanism of action of piroxicam capsules, like that of other NSAIDs, is not completely understood but involves inhibition of cyclooxygenase (COX-1 and COX-2).

Piroxicam is a potent inhibitor of prostaglandin (PG) synthesis in vitro. Piroxicam concentrations reached during therapy have produced in vivo effects. Prostaglandins sensitize afferent nerves and potentiate the action of bradykinin in inducing pain in animal models. Prostaglandins are mediators of inflammation. Because piroxicam is an inhibitor of prostaglandin synthesis, its mode of action may be due to a decrease of prostaglandins in peripheral tissues.

5.11 Hematologic Toxicity

Anemia has occurred in NSAID-treated patients. This may be due to occult or gross blood loss, fluid retention, or an incompletely described effect on erythropoiesis. If a patient treated with piroxicam capsules has any signs or symptoms of anemia, monitor hemoglobin or hematocrit.

NSAIDs, including piroxicam capsules, may increase the risk of bleeding events. Co-morbid conditions such as coagulation disorders, concomitant use of warfarin, other anticoagulants, antiplatelet drugs (e.g., aspirin), SSRIs, and serotonin norepinephrine reuptake inhibitors (SNRIs) may increase this risk. Monitor these patients for signs of bleeding [see Drug Interactions (7)].

5 Warnings and Precautions (5 WARNINGS AND PRECAUTIONS)
  • Hepatotoxicity: Inform patients of warning signs and symptoms of hepatotoxicity. Discontinue if abnormal liver tests persist or worsen or if clinical signs and symptoms of liver disease develop (5.3)
  • Hypertension: Patients taking some antihypertensive medications may have impaired response to these therapies when taking NSAIDs. Monitor blood pressure (5.4, 7)
  • Heart Failure and Edema: Avoid use of piroxicam capsules in patients with severe heart failure unless benefits are expected to outweigh risk of worsening heart failure (5.5)
  • Renal Toxicity: Monitor renal function in patients with renal or hepatic impairment, heart failure, dehydration, or hypovolemia. Avoid use of piroxicam capsules in patients with advanced renal disease unless benefits are expected to outweigh risk of worsening renal function (5.6)
  • Anaphylactic Reactions: Seek emergency help if an anaphylactic reaction occurs (5.7)
  • Exacerbation of Asthma Related to Aspirin Sensitivity: Piroxicam capsules are contraindicated in patients with aspirin-sensitive asthma. Monitor patients with preexisting asthma (without aspirin sensitivity) (5.8)
  • Serious Skin Reactions: Discontinue piroxicam capsules at first appearance of skin rash or other signs of hypersensitivity (5.9)
  • Premature Closure of Fetal Ductus Arteriosus: Avoid use in pregnant women starting at 30 weeks gestation (5.10, 8.1)
  • Hematologic Toxicity: Monitor hemoglobin or hematocrit in patients with any signs or symptoms of anemia (5.11, 7)
5.13 Laboratory Monitoring

Because serious GI bleeding, hepatotoxicity, and renal injury can occur without warning symptoms or signs, consider monitoring patients on long-term NSAID treatment with a complete blood count (CBC) and a chemistry profile periodically [see Warnings and Precautions (5.2, 5.3, 5.6)].

5.7 Anaphylactic Reactions

Piroxicam has been associated with anaphylactic reactions in patients with and without known hypersensitivity to piroxicam and in patients with aspirin-sensitive asthma [see Contraindications (4) and Warnings and Precautions (5.8)].

Seek emergency help if an anaphylactic reaction occurs.

5.9 Serious Skin Reactions

NSAIDs, including piroxicam, can cause serious skin adverse reactions such as exfoliative dermatitis, Stevens-Johnson Syndrome (SJS), and toxic epidermal necrolysis (TEN), which can be fatal. These serious events may occur without warning. Inform patients about the signs and symptoms of serious skin reactions, and to discontinue the use of piroxicam capsules at the first appearance of skin rash or any other sign of hypersensitivity. Piroxicam capsules are contraindicated in patients with previous serious skin reactions to NSAIDs [see Contraindications (4)].

2 Dosage and Administration (2 DOSAGE AND ADMINISTRATION)

Carefully consider the potential benefits and risks of piroxicam capsules and other treatment options before deciding to use piroxicam capsules. Use the lowest effective dosage for the shortest duration consistent with individual patient treatment goals [see Warnings and Precautions (5)].

After observing the response to initial therapy with piroxicam capsules, the dose and frequency should be adjusted to suit an individual patient’s needs.

For the relief of rheumatoid arthritis and osteoarthritis, the dosage is 20 mg given orally once per day. If desired, the daily dose may be divided. Because of the long half-life of piroxicam capsules, steady-state blood levels are not reached for 7 to 12 days. Therefore, although the therapeutic effects of piroxicam capsules are evident early in treatment, there is a progressive increase in response over several weeks and the effect of therapy should not be assessed for two weeks.

5.14 Ophthalmologic Effects

Because of reports of adverse eye findings with nonsteroidal anti-inflammatory agents, it is recommended that patients who develop visual complaints during treatment with piroxicam capsules have ophthalmic evaluations.

5.5 Heart Failure and Edema

The Coxib and traditional NSAID Trialists’ Collaboration meta-analysis of randomized controlled trials demonstrated an approximately two-fold increase in hospitalizations for heart failure in COX-2 selective-treated patients and nonselective NSAID-treated patients compared to placebo-treated patients. In a Danish National Registry study of patients with heart failure, NSAID use increased the risk of MI, hospitalization for heart failure, and death.

Additionally, fluid retention and edema have been observed in some patients treated with NSAIDs. Use of piroxicam may blunt the CV effects of several therapeutic agents used to treat these medical conditions (e.g., diuretics, ACE inhibitors, or angiotensin receptor blockers [ARBs]) [see Drug Interactions (7)].

Avoid the use of piroxicam capsules in patients with severe heart failure unless the benefits are expected to outweigh the risk of worsening heart failure. If piroxicam capsules are used in patients with severe heart failure, monitor patients for signs of worsening heart failure.

3 Dosage Forms and Strengths (3 DOSAGE FORMS AND STRENGTHS)

Piroxicam Capsules, USP are available containing 10 mg or 20 mg of piroxicam, USP.

  • The 10 mg capsule is a hard gelatin capsule with a swedish orange opaque cap and ivory opaque body containing white to off-white powder. The capsule is imprinted with NP above 10 in black ink on the cap.
  • The 20 mg capsule is a hard gelatin capsule with a swedish orange opaque cap and swedish orange opaque body containing white to off-white powder. The capsule is imprinted with NP above 20 in black ink on the cap.
6.2 Postmarketing Experience

The following adverse reactions have been identified during post approval use of piroxicam capsules. Because these reactions are reported voluntarily from a population of uncertain size, it is not always possible to reliably estimate their frequency or establish a causal relationship to drug exposure.

Body As a Whole: Fever, infection, sepsis, anaphylactic reactions, appetite changes, death, flu-like syndrome, pain (colic), serum sickness

Cardiovascular System: Congestive heart failure, hypertension, tachycardia, syncope, arrhythmia, exacerbation of angina, hypotension, myocardial infarction, vasculitis

Digestive System: Dyspepsia, elevated liver enzymes, gross bleeding/perforation, heartburn, ulcers (gastric/duodenal), dry mouth, esophagitis, gastritis, glossitis, hematemesis, hepatitis, jaundice, melena, rectal bleeding, eructation, liver failure, pancreatitis

Hemic and Lymphatic System: Anemia, increased bleeding time, ecchymosis, eosinophilia, epistaxis, leukopenia, purpura, petechial rash, thrombocytopenia, agranulocytosis, hemolytic anemia, aplastic anemia, lymphadenopathy, pancytopenia

Hypersensitivity:  Positive ANA

Metabolic and Nutritional: Weight changes, Fluid retention, hyperglycemia, hypoglycemia

Nervous System: Anxiety, asthenia, confusion, depression, dream abnormalities, insomnia, malaise, nervousness, paresthesia, somnolence, tremors, akathisia, convulsions, coma, hallucinations, meningitis, mood alterations

Respiratory System: Asthma, dyspnea, respiratory depression, pneumonia

Skin and Appendages: Alopecia, bruising, desquamation, erythema, photosensitivity, sweat, angioedema, toxic epidermal necrosis, erythema multiforme, exfoliative dermatitis, onycholysis, Stevens Johnson Syndrome, urticaria, vesiculobullous reaction

Special Senses: Conjunctivitis, hearing impairment, swollen eyes

Urogenital System: Abnormal renal function, cystitis, dysuria, hematuria, hyperkalemia, interstitial nephritis, nephrotic syndrome, oliguria/polyuria, proteinuria, renal failure, glomerulonephritis

Reproductive System and Breast Disorders: Female fertility decreased

8 Use in Specific Populations (8 USE IN SPECIFIC POPULATIONS)

Pregnancy: Use of NSAIDs during the third trimester of pregnancy increases the risk of premature closure of the fetal ductus arteriosus. Avoid use of NSAIDs in pregnant women starting at 30 weeks gestation (5.10, 8.1)

Infertility: NSAIDs are associated with reversible infertility. Consider withdrawal of piroxicam capsules in women who have difficulties conceiving (8.3)

6.1 Clinical Trials Experience

Because clinical trials are conducted under widely varying conditions, adverse reaction rates observed in the clinical trials of a drug cannot be directly compared to rates in the clinical trials of another drug and may not reflect the rates observed in practice.

In patients taking piroxicam capsules or other NSAIDs, the most frequently reported adverse experiences occurring in approximately 1% to 10% of patients are:

Cardiovascular System: Edema

Digestive System: Anorexia, abdominal pain, constipation, diarrhea, flatulence, nausea, vomiting

Nervous System: Dizziness, headache, vertigo

Skin and Appendages: Pruritus, rash

Special Senses: Tinnitus

Additional adverse experiences reported occasionally include:

Cardiovascular System: Palpitations

Digestive System: Stomatitis

Nervous System: Drowsiness

Special Senses: Blurred vision

17 Patient Counseling Information (17 PATIENT COUNSELING INFORMATION)

Advise the patient to read the FDA-approved patient labeling (Medication Guide) that accompanies each prescription dispensed. Inform patients, families, or their caregivers of the following information before initiating therapy with piroxicam capsules and periodically during the course of ongoing therapy.

Cardiovascular Thrombotic Events Advise patients to be alert for the symptoms of cardiovascular thrombotic events, including chest pain, shortness of breath, weakness, or slurring of speech, and to report any of these symptoms to their health care provider immediately [see Warnings and Precautions (5.1)].

Gastrointestinal Bleeding, Ulceration, and Perforation Advise patients to report symptoms of ulcerations and bleeding, including epigastric pain, dyspepsia, melena, and hematemesis to their healthcare provider. In the setting of concomitant use of low-dose aspirin for cardiac prophylaxis, inform patients of the increased risk for and the signs and symptoms of GI bleeding [see Warnings and Precautions (5.2)].

HepatotoxicityInform patients of the warning signs and symptoms of hepatotoxicity (e.g., nausea, fatigue, lethargy, pruritus, diarrhea, jaundice, right upper quadrant tenderness, and “flu-like” symptoms). If these occur, instruct patients to stop piroxicam capsules and seek immediate medical therapy [see Warnings and Precautions (5.3)].

Heart Failure and EdemaAdvise patients to be alert for the symptoms of congestive heart failure including shortness of breath, unexplained weight gain, or edema and to contact their healthcare provider if such symptoms occur [see Warnings and Precautions (5.5)].

Anaphylactic ReactionsInform patients of the signs of an anaphylactic reaction (e.g., difficulty breathing, swelling of the face or throat). Instruct patients to seek immediate emergency help if these occur [see Contraindications (4) and Warnings and Precautions (5.7)].

Serious Skin ReactionsAdvise patients to stop piroxicam capsules immediately if they develop any type of rash and to contact their healthcare provider as soon as possible [see Warnings and Precautions (5.9)].

Female FertilityAdvise females of reproductive potential who desire pregnancy that NSAIDs, including piroxicam capsules, may be associated with a reversible delay in ovulation [see Use in Specific Populations (8.3)].

Fetal ToxicityInform pregnant women to avoid use of piroxicam capsules and other NSAIDs starting at 30 weeks gestation because of the risk of the premature closing of the fetal ductus arteriosus [see Warnings and Precautions (5.10) and Use in Specific Populations (8.1)].

Avoid Concomitant Use of NSAIDsInform patients that the concomitant use of piroxicam capsules with other NSAIDs or salicylates (e.g., diflunisal, salsalate) is not recommended due to the increased risk of gastrointestinal toxicity, and little or no increase in efficacy [see Warnings and Precautions (5.2) and Drug Interactions (7)]. Alert patients that NSAIDs may be present in “over the counter” medications for treatment of colds, fever, or insomnia.

Use of NSAIDs and Low-Dose AspirinInform patients not to use low-dose aspirin concomitantly with piroxicam capsules until they talk to their healthcare provider [see Drug Interactions (7)].

Manufactured by:

Nostrum Laboratories, Inc.

Kansas City, MO 64120

Rev: November 2019

16 How Supplied/storage and Handling (16 HOW SUPPLIED/STORAGE AND HANDLING)

Piroxicam Capsules, USP

The 10 mg capsules are hard gelatin capsules with a swedish orange opaque cap and ivory opaque body containing white to off-white powder.

NDC: 72162-1290-1: 100 Capsules in a BOTTLE, PLASTIC

Store at 20° to 25°C (68° to 77°F); excursions permitted to 15° to 30°C (59° to 86°F). [see USP Controlled Room Temperature].

Dispense in a tight, light-resistant container as defined in the USP using a child-resistant closure.

Repackaged/Relabeled by:

Bryant Ranch Prepack, Inc.

Burbank, CA 91504

5.1 Cardiovascular Thrombotic Events

Clinical trials of several cyclooxygenase-2 (COX-2) selective and nonselective NSAIDs of up to three years duration have shown an increased risk of serious cardiovascular (CV) thrombotic events, including myocardial infarction (MI), and stroke, which can be fatal. Based on available data, it is unclear that the risk for CV thrombotic events is similar for all NSAIDs. The relative increase in serious CV thrombotic events over baseline conferred by NSAID use appears to be similar in those with and without known CV disease or risk factors for CV disease. However, patients with known CV disease or risk factors had a higher absolute incidence of excess serious CV thrombotic events, due to their increased baseline rate. Some observational studies found that this increased risk of serious CV thrombotic events began as early as the first weeks of treatment. The increase in CV thrombotic risk has been observed most consistently at higher doses.

To minimize the potential risk for an adverse CV event in NSAID-treated patients, use the lowest effective dose for the shortest duration possible. Physicians and patients should remain alert for the development of such events, throughout the entire treatment course, even in the absence of previous CV symptoms. Patients should be informed about the symptoms of serious CV events and the steps to take if they occur.

There is no consistent evidence that concurrent use of aspirin mitigates the increased risk of serious CV thrombotic events associated with NSAID use. The concurrent use of aspirin and an NSAID, such as piroxicam, increases the risk of serious gastrointestinal (GI) events [see Warnings and Precautions (5.2)].

5.12 Masking of Inflammation and Fever

The pharmacological activity of piroxicam capsules in reducing inflammation, and possibly fever, may diminish the utility of diagnostic signs in detecting infections.

General Pharmacokinetic Characteristics

The pharmacokinetics of piroxicam have been characterized in healthy subjects, special populations and patients. The pharmacokinetics of piroxicam are linear. Proportional increase in exposure is observed with increasing doses. The prolonged half-life (50 hours) results in the maintenance of relatively stable plasma concentrations throughout the day on once daily doses and significant accumulation upon multiple dosing. Most patients approximate steady state plasma levels within 7 to 12 days. Higher levels, which approximate steady state at two to three weeks, have been observed in patients in whom longer plasma half-lives of piroxicam occurred.

5.10 Premature Closure of Fetal Ductus Arteriosus

Piroxicam may cause premature closure of the fetal ductus arteriosus. Avoid use of NSAIDs, including piroxicam capsules, in pregnant women starting at 30 weeks of gestation (third trimester) [see Use in Specific Populations (8.1)].

Status Post Coronary Artery Bypass Graft (cabg) Surgery (Status Post Coronary Artery Bypass Graft (CABG) Surgery)

Two large, controlled clinical trials of a COX-2 selective NSAID for the treatment of pain in the first 10 to 14 days following CABG surgery found an increased incidence of myocardial infarction and stroke. NSAIDs are contraindicated in the setting of CABG [see Contraindications (4)].

5.8 Exacerbation of Asthma Related to Aspirin Sensitivity

A subpopulation of patients with asthma may have aspirin-sensitive asthma which may include chronic rhinosinusitis complicated by nasal polyps; severe, potentially fatal bronchospasm; and/or intolerance to aspirin and other NSAIDs. Because cross-reactivity between aspirin and other NSAIDs has been reported in such aspirin-sensitive patients, piroxicam capsules are contraindicated in patients with this form of aspirin sensitivity [see Contraindications (4)]. When piroxicam capsules are used in patients with preexisting asthma (without known aspirin sensitivity), monitor patients for changes in the signs and symptoms of asthma.

Risk Factors for Gi Bleeding, Ulceration, and Perforation (Risk Factors for GI Bleeding, Ulceration, and Perforation)

Patients with a prior history of peptic ulcer disease and/or GI bleeding who used NSAIDs had a greater than 10-fold increased risk for developing a GI bleed compared to patients without these risk factors. Other factors that increase the risk of GI bleeding in patients treated with NSAIDs include longer duration of NSAID therapy; concomitant use of oral corticosteroids, antiplatelet drugs (such as aspirin), anticoagulants, or selective serotonin reuptake inhibitors (SSRIs); smoking; use of alcohol; older age; and poor general health status. Most postmarketing reports of fatal GI events occurred in elderly or debilitated patients. Additionally, patients with advanced liver disease and/or coagulopathy are at increased risk for GI bleeding.

5.2 Gastrointestinal Bleeding, Ulceration, and Perforation

NSAIDs, including piroxicam capsules, cause serious gastrointestinal (GI) adverse events including inflammation, bleeding, ulceration, and perforation of the esophagus, stomach, small intestine, or large intestine, which can be fatal. These serious adverse events can occur at any time, with or without warning symptoms, in patients treated with NSAIDs. Only one in five patients who develop a serious upper GI adverse event on NSAID therapy is symptomatic. Upper GI ulcers, gross bleeding, or perforation caused by NSAIDs occurred in approximately 1% of patients treated for 3 to 6 months, and in about 2% to 4% of patients treated for one year. However, even short-term NSAID therapy is not without risk.

Strategies to Minimize the Gi Risks in Nsaid Treated Patients: (Strategies to Minimize the GI Risks in NSAID-treated patients:)
  • Use the lowest effective dosage for the shortest possible duration.
  • Avoid administration of more than one NSAID at a time.
  • Avoid use in patients at higher risk unless benefits are expected to outweigh the increased risk of bleeding. For such patients, as well as those with active GI bleeding, consider alternate therapies other than NSAIDs.
  • Remain alert for signs and symptoms of GI ulceration and bleeding during NSAID therapy.
  • If a serious GI adverse event is suspected, promptly initiate evaluation and treatment, and discontinue piroxicam capsules until a serious GI adverse event is ruled out.
  • In the setting of concomitant use of low-dose aspirin for cardiac prophylaxis, monitor patients more closely for evidence of GI bleeding [see Drug Interactions (7)].
Medication Guide for Nonsteroidal Anti Inflammatory Drugs (nsaids) (Medication Guide for Nonsteroidal Anti-inflammatory Drugs (NSAIDs))

What is the most important information I should know about medicines called Nonsteroidal Anti-inflammatory Drugs (NSAIDs)?

NSAIDs can cause serious side effects, including:

  • Increased risk of a heart attack or stroke that can lead to death. This risk may happen early in treatment and may increase:
    • o
      with increasing doses of NSAIDs
    • o
      with longer use of NSAIDs

Do not take NSAIDs right before or after a heart surgery called a “coronary artery bypass graft (CABG).”

Avoid taking NSAIDs after a recent heart attack, unless your healthcare provider tells you to. You may have an increased risk of another heart attack if you take NSAIDs after a recent heart attack.

  • Increased risk of bleeding, ulcers, and tears (perforation) of the esophagus (tube leading from the mouth to the stomach), stomach and intestines:
    • o
      anytime during use
    • o
      without warning symptoms
    • o
      that may cause death



The risk of getting an ulcer or bleeding increases with:

  • o
    past history of stomach ulcers, or stomach or intestinal bleeding with use of NSAIDs
  • o
    taking medicines called “corticosteroids”, “antiplatelet drugs”, “anticoagulants”, “SSRIs” or “SNRIs”
  • o
    increasing doses of NSAIDs
  • o
    longer use of NSAIDs
  • o
    smoking
  • o
    drinking alcohol
  • o
    older age
  • o
    poor health
  • o
    advanced liver disease
  • o
    bleeding problems

NSAIDs should only be used:

  • o
    exactly as prescribed
  • o
    at the lowest dose possible for your treatment
  • o
    for the shortest time needed

What are NSAIDs?

NSAIDs are used to treat pain and redness, swelling, and heat (inflammation) from medical conditions such as different types of arthritis, menstrual cramps, and other types of short-term pain.

Who should not take NSAIDs?

Do not take NSAIDs:

  • if you have had an asthma attack, hives, or other allergic reaction with aspirin or any other NSAIDs.
  • right before or after heart bypass surgery.

Before taking NSAIDs, tell your healthcare provider about all of your medical conditions, including if you:

  • have liver or kidney problems
  • have high blood pressure
  • have asthma
  • are pregnant or plan to become pregnant. Talk to your healthcare provider if you are considering taking NSAIDs during pregnancy. You should not take NSAIDs after 29 weeks of pregnancy
  • are breastfeeding or plan to breast feed.

Tell your healthcare provider about all of the medicines you take, including prescription or over-the-counter medicines, vitamins or herbal supplements. NSAIDs and some other medicines can interact with each other and cause serious side effects. Do not start taking any new medicine without talking to your healthcare provider first.

What are the possible side effects of NSAIDs?

NSAIDs can cause serious side effects, including:

See “What is the most important information I should know about medicines called Nonsteroidal Anti-inflammatory Drugs (NSAIDs)?”

  • new or worse high blood pressure
  • heart failure
  • liver problems including liver failure
  • kidney problems including kidney failure
  • low red blood cells (anemia)
  • life-threatening skin reactions
  • life-threatening allergic reactions
  • Other side effects of NSAIDs include: stomach pain, constipation, diarrhea, gas, heartburn, nausea, vomiting, and dizziness.

Get emergency help right away if you get any of the following symptoms:

  • shortness of breath or trouble breathing
  • chest pain
  • weakness in one part or side of your body
  • slurred speech
  • swelling of the face or throat



Stop taking your NSAID and call your healthcare provider right away if you get any of the following symptoms:

  • nausea
  • more tired or weaker than usual
  • diarrhea
  • itching
  • your skin or eyes look yellow
  • indigestion or stomach pain
  • flu-like symptoms
  • vomit blood
  • there is blood in your bowel movement or it is black and sticky like tar
  • unusual weight gain
  • skin rash or blisters with fever
  • swelling of the arms, legs, hands and feet



If you take too much of your NSAID, call your healthcare provider or get medical help right away.

These are not all the possible side effects of NSAIDs. For more information, ask your healthcare provider or pharmacist about NSAIDs.  

Call your doctor for medical advice about side effects. You may report side effects to FDA at 1-800-FDA-1088.

Other information about NSAIDs

  • Aspirin is an NSAID but it does not increase the chance of a heart attack. Aspirin can cause bleeding in the brain, stomach, and intestines. Aspirin can also cause ulcers in the stomach and intestines.
  • Some NSAIDs are sold in lower doses without a prescription (over-the- counter). Talk to your healthcare provider before using over-the-counter NSAIDs for more than 10 days.

General information about the safe and effective use of NSAIDs

Medicines are sometimes prescribed for purposes other than those listed in a Medication Guide. Do not use NSAIDs for a condition for which they were not prescribed. Do not give NSAIDs to other people, even if they have the same symptoms that you have. It may harm them.

If you would like more information about NSAIDs, talk with your healthcare provider. You can ask your pharmacist or healthcare provider for information about NSAIDs that is written for health professionals.

This Medication Guide has been approved by the U.S. Food and Drug Administration.

For more information, please contact Nostrum Laboratories, Inc. at [email protected] at 1-877-770-1288

Manufactured by:

Nostrum Laboratories, Inc.

Kansas City, MO 64120

Rev: November 2019

Warning: Risk of Serious Cardiovascular and Gastrointestinal Events (WARNING: RISK OF SERIOUS CARDIOVASCULAR AND GASTROINTESTINAL EVENTS)

Cardiovascular Thrombotic Events

  • Nonsteroidal anti-inflammatory drugs (NSAIDs) cause an increased risk of serious cardiovascular thrombotic events, including myocardial infarction and stroke, which can be fatal. This risk may occur early in treatment and may increase with duration of use [see Warnings and Precautions (5.1)].
  • Piroxicam capsules are contraindicated in the setting of coronary artery bypass graft (CABG) surgery [see Contraindications (4) and Warnings and Precautions (5.1)].

Gastrointestinal Bleeding, Ulceration, and Perforation

  • NSAIDs cause an increased risk of serious gastrointestinal (GI) adverse events including bleeding, ulceration, and perforation of the stomach or intestines, which can be fatal. These events can occur at any time during use and without warning symptoms. Elderly patients and patients with a prior history of peptic ulcer disease and/or GI bleeding are at greater risk for serious GI events [see Warnings and Precautions (5.2)].

Advanced Ingredient Data


Raw Label Data

All Sections (JSON)