These Highlights Do Not Include All The Information Needed To Use Estradiol Vaginal Inserts Safely And Effectively. See Full Prescribing Information For Estradiol Vaginal Inserts.

These Highlights Do Not Include All The Information Needed To Use Estradiol Vaginal Inserts Safely And Effectively. See Full Prescribing Information For Estradiol Vaginal Inserts.
SPL v103
SPL
SPL Set ID d9514497-6b9e-4c13-950b-6b036ff101c1
Route
VAGINAL
Published
Effective Date 2024-07-22
Document Type 34391-3 HUMAN PRESCRIPTION DRUG LABEL

Drug Facts

Composition & Product

Active Ingredients
Estradiol (10 ug)
Inactive Ingredients
Starch, Corn Hypromellose 2208 (100 Mpa.s) Hypromellose 2910 (15 Mpa.s) Lactose Monohydrate Magnesium Stearate Polyethylene Glycol 6000

Identifiers & Packaging

Pill Appearance
Imprint: TV;T5 Color: white
Marketing Status
ANDA Active Since 2017-07-24

Description

Estrogen-Alone Therapy                                                                                                                       Endometrial Cancer There is an increased risk of endometrial cancer in a woman with a uterus who uses unopposed estrogens. Adding a progestogen to estrogen therapy has been shown to reduce the risk of endometrial hyperplasia, which may be a precursor to endometrial cancer. Perform adequate diagnostic measures, including directed or random endometrial sampling when indicated, to rule out malignancy in postmenopausal women with undiagnosed persistent or recurring abnormal genital bleeding  [see Warnings and Precautions ( 5.3 )] .                                                                                                 Cardiovascular Disorders and Probable Dementia The Women’s Health Initiative (WHI) estrogen-alone substudy reported increased risks of stroke and deep vein thrombosis (DVT) in postmenopausal women (50 to 79 years of age) during 7.1 years of treatment with daily oral conjugated estrogens (CE) [0.625 mg]-alone, relative to placebo  [see Warnings and Precautions ( 5.2 ), and Clinical Studies ( 14.2 )] . The WHI Memory Study (WHIMS) estrogen-alone ancillary study of WHI reported an increased risk of developing probable dementia in postmenopausal women 65 years of age and older during 5.2 years of treatment with daily CE (0.625 mg)-alone, relative to placebo. It is unknown whether this finding applies to younger postmenopausal women  [see Warnings and Precautions ( 5.4 ), Use in Specific Populations ( 8.5 ), and Clinical Studies ( 14.3 )] . Do not use estrogen-alone therapy for the prevention of cardiovascular disease or dementia [see Warnings and Precautions ( 5.2 , 5.4 ), and Clinical Studies ( 14.2 , 14.3 )] . Only daily oral 0.625 mg CE was studied in the estrogen-alone substudy of the WHI. Therefore, the relevance of the WHI findings regarding adverse cardiovascular events and dementia to lower CE doses, other routes of administration, or other estrogen-alone products is not known. Without such data, it is not possible to definitively exclude these risks or determine the extent of these risks for other products. Discuss with your patient the benefits and risks of estrogen-alone therapy, taking into account her individual risk profile. Prescribe estrogens with or without progestogens at the lowest effective doses and for the shortest duration consistent with treatment goals and risks for the individual woman. Estrogen Plus Progestin Therapy                                                                                                    Cardiovascular Disorders and Probable Dementia The WHI estrogen plus progestin substudy reported increased risks of pulmonary embolism (PE), DVT, stroke, and myocardial infarction (MI) in postmenopausal women (50 to 79 years of age) during 5.6 years of treatment with daily oral CE (0.625 mg) combined with medroxyprogesterone acetate (MPA) [2.5 mg], relative to placebo [see Warnings and Precautions ( 5.2 ), and Clinical Studies ( 14.2 )] . The WHIMS estrogen plus progestin ancillary study of the WHI reported an increased risk of developing probable dementia in postmenopausal women 65 years of age and older during 4 years of treatment with daily CE (0.625 mg) combined with MPA (2.5 mg), relative to placebo. It is unknown whether this finding applies to younger postmenopausal women  [ see Warnings and Precautions ( 5.4 ), Use in Specific Populations ( 8.5 ), and Clinical Studies ( 14.3 )] . Do not use estrogen plus progestogen therapy for the prevention of cardiovascular disease or dementia  [see Warnings and Precautions ( 5.2 ,  5.4 ), and Clinical Studies ( 14.2 ,  14.3 )] .                                                                                                                                Breast Cancer The WHI estrogen plus progestin substudy demonstrated an increased risk of invasive breast cancer  [see Warnings and Precautions ( 5.3 ), and Clinical Studies ( 14.2 )] . Only daily oral 0.625 mg CE and 2.5 mg MPA were studied in the estrogen plus progestin substudy of the WHI. Therefore, the relevance of the WHI findings regarding adverse cardiovascular events, dementia and breast cancer to lower CE plus other MPA doses, other routes of administration, or other estrogen plus progestogen products is not known. Without such data, it is not possible to definitively exclude these risks or determine the extent of these risks for other products. Discuss with your patient the benefits and risks of estrogen plus progestogen therapy, taking into account her individual risk profile. Prescribe estrogens with or without progestogens at the lowest effective doses and for the shortest duration consistent with treatment goals and risks for the individual woman.

Indications and Usage

Estradiol vaginal inserts are an estrogen indicated for the treatment of atrophic vaginitis due to menopause ( 1.1 )

Dosage and Administration

Generally, when estrogen is prescribed for a postmenopausal woman with a uterus, consider addition of a progestogen to reduce the risk of endometrial cancer. Generally, a woman without a uterus does not need to use a progestogen in addition to her estrogen therapy. In some cases, however, hysterectomized women with a history of endometriosis may need a progestogen  [see Warnings and Precautions ( 5.3 , 5.15 )] . Use estrogen-alone, or in combination with a progestogen, at the lowest effective dose and for the shortest duration consistent with treatment goals and risks for the individual woman. Reevaluate postmenopausal women periodically as clinically appropriate to determine if treatment is still necessary.

Warnings and Precautions

Estrogens increase the risk of gallbladder disease ( 5.5 ) Discontinue estrogen if severe hypercalcemia, loss of vision, severe hypertriglyceridemia or cholestatic jaundice occurs ( 5.6 , 5.7 , 5.10 , 5.11 ) The estradiol vaginal inserts applicator may cause vaginal abrasion ( 5.18 ) Monitor thyroid function in women on thyroid replacement therapy ( 5.12 , 5.19 )

Contraindications

Estradiol vaginal inserts is contraindicated in women with any of the following conditions: Undiagnosed abnormal genital bleeding [see Warnings and Precautions ( 5.3 )]. Breast cancer or a history of breast cancer [ see Warnings and Precautions ( 5.3 )]. Estrogen-dependent neoplasia [ see Warnings and Precautions ( 5.3 )]. Active DVT, PE, or history of these conditions  [see Warnings and Precautions ( 5.2 )]. Active arterial thromboembolic disease (for example, stroke or MI), or a history of these conditions  [see Warnings and Precautions ( 5.2 )]. Known anaphylactic reaction, or angioedema, or hypersensitivity to estradiol vaginal inserts [see Warnings and Precautions ( 5.16 )]. Hepatic impairment or disease. Protein C, protein S, or antithrombin deficiency, or other known thrombophilic disorders.

Adverse Reactions

The following serious adverse reactions are discussed elsewhere in the labeling: Cardiovascular Disorders [see Boxed Warning , Warnings and Precautions ( 5.2 )] Malignant Neoplasms [see Boxed Warning , Warnings and Precautions ( 5.3 )]

Drug Interactions

In vitro and in vivo studies have shown that estrogens are metabolized partially by cytochrome P450 3A4 (CYP3A4). Therefore, inducers or inhibitors of CYP3A4 may affect estrogen drug metabolism. Inducers of CYP3A4, such as St. John’s wort ( Hypericum perforatum ) preparations, phenobarbital, carbamazepine, and rifampin, may reduce plasma concentrations of estrogens, possibly resulting in a decrease in therapeutic effects and/or changes in the uterine bleeding profile. Inhibitors of CYP3A4 such as erythromycin, clarithromycin, ketoconazole, itraconazole, ritonavir and grapefruit juice may increase plasma concentrations of estrogens and may result in adverse reactions.

Storage and Handling

16.1 How Supplied Estradiol vaginal inserts USP, 10 mcg, are white to off-white, round, film-coated, unscored, biconvex inserts, debossed with " TV " on one side and " T5 " on the other side. Each insert is contained in a disposable, single-use applicator, packaged in a blister pack. Cartons contain 18 applicators with inset inserts. Estradiol vaginal inserts USP, 10 mcg: 18 applicators: NDC: 63629-8804-1 Keep out of reach of children 16.2 Storage and Handling Store at 20° to 25°C (68° to 77°F) [See USP Controlled Room Temperature]. Do not refrigerate. Repackaged/Relabeled by: Bryant Ranch Prepack, Inc. Burbank, CA 91504

How Supplied

16.1 How Supplied Estradiol vaginal inserts USP, 10 mcg, are white to off-white, round, film-coated, unscored, biconvex inserts, debossed with " TV " on one side and " T5 " on the other side. Each insert is contained in a disposable, single-use applicator, packaged in a blister pack. Cartons contain 18 applicators with inset inserts. Estradiol vaginal inserts USP, 10 mcg: 18 applicators: NDC: 63629-8804-1 Keep out of reach of children 16.2 Storage and Handling Store at 20° to 25°C (68° to 77°F) [See USP Controlled Room Temperature]. Do not refrigerate. Repackaged/Relabeled by: Bryant Ranch Prepack, Inc. Burbank, CA 91504


Medication Information

Warnings and Precautions

Estrogens increase the risk of gallbladder disease ( 5.5 ) Discontinue estrogen if severe hypercalcemia, loss of vision, severe hypertriglyceridemia or cholestatic jaundice occurs ( 5.6 , 5.7 , 5.10 , 5.11 ) The estradiol vaginal inserts applicator may cause vaginal abrasion ( 5.18 ) Monitor thyroid function in women on thyroid replacement therapy ( 5.12 , 5.19 )

Indications and Usage

Estradiol vaginal inserts are an estrogen indicated for the treatment of atrophic vaginitis due to menopause ( 1.1 )

Dosage and Administration

Generally, when estrogen is prescribed for a postmenopausal woman with a uterus, consider addition of a progestogen to reduce the risk of endometrial cancer. Generally, a woman without a uterus does not need to use a progestogen in addition to her estrogen therapy. In some cases, however, hysterectomized women with a history of endometriosis may need a progestogen  [see Warnings and Precautions ( 5.3 , 5.15 )] . Use estrogen-alone, or in combination with a progestogen, at the lowest effective dose and for the shortest duration consistent with treatment goals and risks for the individual woman. Reevaluate postmenopausal women periodically as clinically appropriate to determine if treatment is still necessary.

Contraindications

Estradiol vaginal inserts is contraindicated in women with any of the following conditions: Undiagnosed abnormal genital bleeding [see Warnings and Precautions ( 5.3 )]. Breast cancer or a history of breast cancer [ see Warnings and Precautions ( 5.3 )]. Estrogen-dependent neoplasia [ see Warnings and Precautions ( 5.3 )]. Active DVT, PE, or history of these conditions  [see Warnings and Precautions ( 5.2 )]. Active arterial thromboembolic disease (for example, stroke or MI), or a history of these conditions  [see Warnings and Precautions ( 5.2 )]. Known anaphylactic reaction, or angioedema, or hypersensitivity to estradiol vaginal inserts [see Warnings and Precautions ( 5.16 )]. Hepatic impairment or disease. Protein C, protein S, or antithrombin deficiency, or other known thrombophilic disorders.

Adverse Reactions

The following serious adverse reactions are discussed elsewhere in the labeling: Cardiovascular Disorders [see Boxed Warning , Warnings and Precautions ( 5.2 )] Malignant Neoplasms [see Boxed Warning , Warnings and Precautions ( 5.3 )]

Drug Interactions

In vitro and in vivo studies have shown that estrogens are metabolized partially by cytochrome P450 3A4 (CYP3A4). Therefore, inducers or inhibitors of CYP3A4 may affect estrogen drug metabolism. Inducers of CYP3A4, such as St. John’s wort ( Hypericum perforatum ) preparations, phenobarbital, carbamazepine, and rifampin, may reduce plasma concentrations of estrogens, possibly resulting in a decrease in therapeutic effects and/or changes in the uterine bleeding profile. Inhibitors of CYP3A4 such as erythromycin, clarithromycin, ketoconazole, itraconazole, ritonavir and grapefruit juice may increase plasma concentrations of estrogens and may result in adverse reactions.

Storage and Handling

16.1 How Supplied Estradiol vaginal inserts USP, 10 mcg, are white to off-white, round, film-coated, unscored, biconvex inserts, debossed with " TV " on one side and " T5 " on the other side. Each insert is contained in a disposable, single-use applicator, packaged in a blister pack. Cartons contain 18 applicators with inset inserts. Estradiol vaginal inserts USP, 10 mcg: 18 applicators: NDC: 63629-8804-1 Keep out of reach of children 16.2 Storage and Handling Store at 20° to 25°C (68° to 77°F) [See USP Controlled Room Temperature]. Do not refrigerate. Repackaged/Relabeled by: Bryant Ranch Prepack, Inc. Burbank, CA 91504

How Supplied

16.1 How Supplied Estradiol vaginal inserts USP, 10 mcg, are white to off-white, round, film-coated, unscored, biconvex inserts, debossed with " TV " on one side and " T5 " on the other side. Each insert is contained in a disposable, single-use applicator, packaged in a blister pack. Cartons contain 18 applicators with inset inserts. Estradiol vaginal inserts USP, 10 mcg: 18 applicators: NDC: 63629-8804-1 Keep out of reach of children 16.2 Storage and Handling Store at 20° to 25°C (68° to 77°F) [See USP Controlled Room Temperature]. Do not refrigerate. Repackaged/Relabeled by: Bryant Ranch Prepack, Inc. Burbank, CA 91504

Description

Estrogen-Alone Therapy                                                                                                                       Endometrial Cancer There is an increased risk of endometrial cancer in a woman with a uterus who uses unopposed estrogens. Adding a progestogen to estrogen therapy has been shown to reduce the risk of endometrial hyperplasia, which may be a precursor to endometrial cancer. Perform adequate diagnostic measures, including directed or random endometrial sampling when indicated, to rule out malignancy in postmenopausal women with undiagnosed persistent or recurring abnormal genital bleeding  [see Warnings and Precautions ( 5.3 )] .                                                                                                 Cardiovascular Disorders and Probable Dementia The Women’s Health Initiative (WHI) estrogen-alone substudy reported increased risks of stroke and deep vein thrombosis (DVT) in postmenopausal women (50 to 79 years of age) during 7.1 years of treatment with daily oral conjugated estrogens (CE) [0.625 mg]-alone, relative to placebo  [see Warnings and Precautions ( 5.2 ), and Clinical Studies ( 14.2 )] . The WHI Memory Study (WHIMS) estrogen-alone ancillary study of WHI reported an increased risk of developing probable dementia in postmenopausal women 65 years of age and older during 5.2 years of treatment with daily CE (0.625 mg)-alone, relative to placebo. It is unknown whether this finding applies to younger postmenopausal women  [see Warnings and Precautions ( 5.4 ), Use in Specific Populations ( 8.5 ), and Clinical Studies ( 14.3 )] . Do not use estrogen-alone therapy for the prevention of cardiovascular disease or dementia [see Warnings and Precautions ( 5.2 , 5.4 ), and Clinical Studies ( 14.2 , 14.3 )] . Only daily oral 0.625 mg CE was studied in the estrogen-alone substudy of the WHI. Therefore, the relevance of the WHI findings regarding adverse cardiovascular events and dementia to lower CE doses, other routes of administration, or other estrogen-alone products is not known. Without such data, it is not possible to definitively exclude these risks or determine the extent of these risks for other products. Discuss with your patient the benefits and risks of estrogen-alone therapy, taking into account her individual risk profile. Prescribe estrogens with or without progestogens at the lowest effective doses and for the shortest duration consistent with treatment goals and risks for the individual woman. Estrogen Plus Progestin Therapy                                                                                                    Cardiovascular Disorders and Probable Dementia The WHI estrogen plus progestin substudy reported increased risks of pulmonary embolism (PE), DVT, stroke, and myocardial infarction (MI) in postmenopausal women (50 to 79 years of age) during 5.6 years of treatment with daily oral CE (0.625 mg) combined with medroxyprogesterone acetate (MPA) [2.5 mg], relative to placebo [see Warnings and Precautions ( 5.2 ), and Clinical Studies ( 14.2 )] . The WHIMS estrogen plus progestin ancillary study of the WHI reported an increased risk of developing probable dementia in postmenopausal women 65 years of age and older during 4 years of treatment with daily CE (0.625 mg) combined with MPA (2.5 mg), relative to placebo. It is unknown whether this finding applies to younger postmenopausal women  [ see Warnings and Precautions ( 5.4 ), Use in Specific Populations ( 8.5 ), and Clinical Studies ( 14.3 )] . Do not use estrogen plus progestogen therapy for the prevention of cardiovascular disease or dementia  [see Warnings and Precautions ( 5.2 ,  5.4 ), and Clinical Studies ( 14.2 ,  14.3 )] .                                                                                                                                Breast Cancer The WHI estrogen plus progestin substudy demonstrated an increased risk of invasive breast cancer  [see Warnings and Precautions ( 5.3 ), and Clinical Studies ( 14.2 )] . Only daily oral 0.625 mg CE and 2.5 mg MPA were studied in the estrogen plus progestin substudy of the WHI. Therefore, the relevance of the WHI findings regarding adverse cardiovascular events, dementia and breast cancer to lower CE plus other MPA doses, other routes of administration, or other estrogen plus progestogen products is not known. Without such data, it is not possible to definitively exclude these risks or determine the extent of these risks for other products. Discuss with your patient the benefits and risks of estrogen plus progestogen therapy, taking into account her individual risk profile. Prescribe estrogens with or without progestogens at the lowest effective doses and for the shortest duration consistent with treatment goals and risks for the individual woman.

Section 42230-3

PATIENT INFORMATION

Estradiol (es " tra dye ' ol) Vaginal Inserts

Read this Patient Information before you start using estradiol vaginal inserts and each time you get a refill. There may be new information. This information does not take the place of talking to your healthcare provider about your menopausal symptoms or your treatment.

What is the most important information I should know about estradiol vaginal inserts (an estrogen hormone)

  • Using estrogen-alone may increase your chance of getting cancer of the uterus (womb).
  • Report any unusual vaginal bleeding right away while you are using estradiol vaginal inserts. Vaginal bleeding after menopause may be a warning sign of cancer of the uterus (womb). Your healthcare provider should check any unusual vaginal bleeding to find out the cause.
  • Do not use estrogen-alone to prevent heart disease, heart attacks, strokes or dementia (decline in brain function).
  • Using estrogen-alone may increase your chances of getting strokes or blood clots.
  • Using estrogen-alone may increase your chance of getting dementia, based on a study of women 65 years of age and older.
  • Do not use estrogens with progestogens to prevent heart disease, heart attack, strokes or dementia.
  • Using estrogens with progestogens may increase your chances of getting blood clots, strokes, heart attacks, or breast cancer.
  • Using estrogens with progestogens may increase your chance of getting dementia, based on a study of women 65 years of age and older.
  • Only one estrogen-alone product and dose have been shown to increase your chances of getting strokes, blood clots, and dementia. Only one estrogen with progestogen product and dose have been shown to increase your chances of getting heart attacks, strokes, breast cancer, blood clots, and dementia.
  • Because other products and doses have not been studied in the same way, it is not known how the use of estradiol vaginal inserts will affect your chances of these conditions. You and your healthcare provider should talk regularly about whether you still need treatment with estradiol vaginal inserts.

What are estradiol vaginal inserts?

Estradiol vaginal inserts are a prescription medicine that contains estradiol (an estrogen hormone) in a vaginal insert.

What are estradiol vaginal inserts used for?

Estradiol vaginal inserts are used after menopause to:

  • Treat moderate to severe menopausal changes in and around the vagina

You and your healthcare provider should talk regularly about whether you still need treatment with estradiol vaginal inserts to control these problems.

Who should not use estradiol vaginal inserts?

Do not start using estradiol vaginal inserts if you:

  • have unusual vaginal bleeding

    Vaginal bleeding after menopause may be a warning sign of cancer of the uterus (womb). Your healthcare provider should check any unusual vaginal bleeding to find out the cause.

  • have been diagnosed with a bleeding disorder
  • currently have or have had certain cancers

    Estrogens may increase the chances of getting certain types of cancers, including cancer of the breast or uterus (womb). If you have or have had cancer, talk with your healthcare provider about whether you should use estradiol vaginal inserts.
  • had a stroke or heart attack
  • currently have or have had blood clots
  • currently have or have had liver problems
  • are allergic to estradiol vaginal inserts or any of the ingredients in it.

See the list of ingredients in estradiol vaginal inserts at the end of this leaflet.

Before you use  estradiol vaginal inserts,  tell your healthcare provider  about all of your medical conditions, including if you :

  • have any unusual vaginal bleeding

    Vaginal bleeding after menopause may be a warning sign of cancer of the uterus (womb). Your healthcare provider should check any unusual vaginal bleeding to find out the cause.
  • have any other medical conditions that may become worse while you are using estradiol vaginal inserts

    Your healthcare provider may need to check you more carefully if you have certain conditions, such as asthma (wheezing), epilepsy (seizures), diabetes, migraine, endometriosis, lupus, angioedema (swelling of face and tongue), problems with your heart, liver, thyroid, kidneys, or have high calcium levels in your blood.
  • are going to have surgery or will be on bed rest

    Your healthcare provider will let you know if you need to stop using estradiol vaginal inserts.
  • are pregnant or think you may be pregnant

    Estradiol vaginal inserts is not for pregnant women.
  • are breastfeeding

    The hormone in estradiol vaginal inserts can pass into your breast milk.

Tell your healthcare provider about all the medicines you take, including prescription and over-the-counter medicines, vitamins, and herbal supplements. Some medicines may affect how estradiol vaginal inserts work. Estradiol vaginal inserts may also affect how your other medicines work. Keep a list of your medicines and show it to your healthcare provider and pharmacist when you get new medicines.

How should I use estradiol vaginal inserts?

Estradiol vaginal inserts are an insert that you place in your vagina with an applicator.

  • Take the dose recommended by your healthcare provider and talk to him or her about how well that dose is working for you
  • Estrogens should be used at the lowest dose possible for your treatment and only as long as you need to use this medicine.

    You and your healthcare provider should talk regularly (for example, every 3 to 6 months) about the dose you are using and whether you still need treatment with estradiol vaginal inserts.

What are the possible side effects of estradiol vaginal inserts?

Side effects are grouped by how serious they are and how often they happen when you are treated.

Serious but less common side effects include:

  • heart attack
  • stroke
  • blood clots
  • breast cancer
  • cancer of the lining of the uterus (womb)
  • cancer of the ovary
  • dementia
  • high and low blood calcium
  • gallbladder disease
  • visual abnormalities
  • high blood pressure
  • high levels of fat (triglyceride) in your blood
  • liver problems
  • changes in your thyroid hormone levels
  • fluid retention
  • cancer changes of endometriosis
  • enlargement of benign tumors of the uterus (“fibroids”)
  • worsening of swelling of face and tongue (angioedema) in women with a history of angioedema

Call your healthcare provider right away if you get any of the following warning signs or any other unusual symptoms that concern you:

  • new breast lumps
  • unusual vaginal bleeding
  • changes in vision or speech
  • sudden new severe headaches
  • severe pains in your chest or legs with or without shortness of breath, weakness, and fatigue

Common side effects of estradiol vaginal inserts include:

  • headache
  • breast pain
  • irregular vaginal bleeding or spotting
  • stomach or abdominal cramps, bloating
  • nausea and vomiting
  • hair loss
  • fluid retention
  • vaginal yeast infection

These are not all the possible side effects of estradiol vaginal inserts. For more information, ask your healthcare provider or pharmacist. Tell your healthcare provider if you have any side effects that bother you or do not go away. You may report side effects to FDA at 1-800-FDA-1088. You may report side effects to Teva at 1-888-838-2872.

What can I do to lower my chances of a serious side effect with estradiol vaginal inserts?

  • Talk with your healthcare provider regularly about whether you should continue using estradiol vaginal inserts.
  • If you have a uterus, talk with your healthcare provider about whether the addition of a progestogen is right for you.
  • In general, the addition of a progestogen is recommended for a woman with a uterus to reduce the chance of getting cancer of the uterus (womb). See your healthcare provider right away if you get vaginal bleeding while using estradiol vaginal inserts.
  • Have a pelvic exam, breast exam and mammogram (breast X-ray) every year unless your healthcare provider tells you something else. If members of your family have had breast cancer or if you have ever had breast lumps or an abnormal mammogram, you may need to have breast exams more often.
  • If you have high blood pressure, high cholesterol (fat in the blood), diabetes, are overweight, or if you use tobacco, you may have higher chances for getting heart disease. Ask your healthcare provider for ways to lower your chances for getting heart disease.

How should I store  estradiol vaginal inserts?

Store estradiol vaginal inserts at room temperature 20° to 25°C (68° to 77°F) [See USP Controlled Room Temperature].

Do not refrigerate.

Keep estradiol vaginal inserts out of the reach of children

General information about the safe and effective use of estradiol vaginal inserts.

Medicines are sometimes prescribed for purposes other than those listed in Patient Information leaflets. Do not use estradiol vaginal inserts for conditions for which they were not prescribed. Do not give estradiol vaginal inserts to other people, even if they have the same symptoms you have. They may harm them.

You can ask your healthcare provider or pharmacist for information about estradiol vaginal inserts that is written for health professionals. You can get more information by calling the toll free number

1-888-838-2872.

What are the ingredients in estradiol vaginal inserts?

Estradiol vaginal inserts are small, white, round, film-coated, unscored, biconvex inserts containing estradiol. Each insert also contains corn starch, hypromellose, lactose monohydrate, magnesium stearate, and polyethylene glycol.

Each estradiol vaginal insert is contained in a disposable applicator, packaged in a blister pack. Cartons contain 8 or 18 applicators with inset inserts.

Manufactured For: Teva Pharmaceuticals, Parsippany, NJ 07054

For more information contact: Teva Pharmaceuticals, Parsippany, NJ 07054, 1-888-838-2872

This Patient Information has been approved by the U.S. Food and Drug Administration.                                                             Rev. E 4/2024

Section 43683-2
  • Warnings and Precautions, Malignant Neoplasms (5.3)            2/2024
Section 51945-4

Estradiol Vaginal Inserts 10 mcg

Section 59845-8

                                                                                                                      INSTRUCTIONS FOR USE

Estradiol (es " tra dye ' ol) Vaginal Inserts

Read this Instructions for Use before you start using estradiol vaginal inserts and each time you get a refill. There may be new information. This information does not take the place of talking to your healthcare provider about your menopausal symptoms or your treatment.

How should I use estradiol vaginal inserts?

  • Estradiol vaginal inserts are inserts for use only in the vagina. Do not take by mouth.
  • Wash and dry your hands well before handling estradiol vaginal inserts.

Step 1: Tear off 1 applicator.

Step 2: Pull apart the plastic wrap and remove the applicator (see Figure A).

If after opening the package you see that the estradiol vaginal insert has come out of the applicator but has not fallen out of the package, carefully put the insert back into the applicator for insertion.

Step 3: Hold the applicator between your thumb and middle finger. Leave your index (pointer) finger free to press the applicator plunger (see Figure B).

Step 4: Select the best position for vaginal insertion of estradiol vaginal inserts that is most comfortable for you. For insertion in the lying down position, see Figure C. For insertion in the standing position, see Figure D.



Step 5: Gently insert the end of the applicator into your vagina as far as it will comfortably go or until half of the applicator is inside your vagina, whichever is less. Do not use force. If the insert falls out of the applicator before insertion, throw away (dispose of) the insert and applicator. Get a new applicator.

Step 6: While holding the applicator in place, gently press the applicator plunger with your index (pointer) finger until it stops, to release the insert into your vagina. The insert will dissolve.

Step 7: Gently remove the applicator from your vagina and throw away (dispose of) after use. Insertion may be done at any time of the day. It is advisable to use the same time daily for all applications of estradiol vaginal inserts. If you have any questions, please ask your healthcare provider or pharmacist.

How should I store estradiol vaginal inserts?

  • Store estradiol vaginal inserts at room temperature between 68°F to 77°F (20°C to 25°C).
  • Do not refrigerate.

Keep estradiol vaginal inserts and all medicines out of the reach of children.

This Instructions for Use has been approved by the U.S. Food and Drug Administration.

Manufactured For:

Teva Pharmaceuticals

Parsippany, NJ 07054

Rev. F 4/2024

10 Overdosage

Overdosage of estrogen may cause nausea, vomiting, breast tenderness, abdominal pain, drowsiness and fatigue, and withdrawal bleeding may occur in women. Treatment of overdose consists of discontinuation of estradiol therapy with institution of appropriate symptomatic care.

15 References
  • Rossouw JE, et al. Postmenopausal Hormone Therapy and Risk of Cardiovascular Disease by Age and Years Since Menopause. JAMA. 2007; 297:1465-1477.
  • Hsia J, et al. Conjugated Equine Estrogens and Coronary Heart Disease. Arch Int Med. 2006; 166:357-365.
  • Curb JD, et al. Venous Thrombosis and Conjugated Equine Estrogen in Women Without a Uterus. Arch Int Med. 2006; 166:772-780.
  • Cushman M, et al. Estrogen Plus Progestin and Risk of Venous Thrombosis. JAMA. 2004; 292:1573-1580.
  • Stefanick ML, et al. Effects of Conjugated Equine Estrogens on Breast Cancer and Mammography Screening in Postmenopausal Women With Hysterectomy. JAMA. 2006; 295:1647-1657.
  • Chlebowski RT, et al. Influence of Estrogen Plus Progestin on Breast Cancer and Mammography in Healthy Postmenopausal Women. JAMA. 2003; 289:3234-3253.
  • Anderson GL, et al. Effects of Estrogen Plus Progestin on Gynecologic cancers and Associated Diagnostic Procedures. JAMA. 2003; 290:1739-1748.
  • Shumaker SA, et al. Conjugated Equine Estrogens and Incidence of Probable Dementia and Mild Cognitive Impairment in Postmenopausal Women. JAMA. 2004; 291:2947-2958.
  • Jackson RD, et al. Effects of Conjugated Equine Estrogen on Risk of Fractures and BMD in Postmenopausal Women With Hysterectomy: Results From the Women’s Health Initiative Randomized Trial. J Bone Miner Res. 2006; 21:817-828.
  • Hendrix SL, et al. Effects of Conjugated Equine Estrogen on Stroke in the Women’s Health Initiative. Circulation. 2006; 113:2425-2434.
8.1 Pregnancy

Risk Summary

Estradiol vaginal inserts are not indicated for use in pregnancy. There are no data with the use of estradiol vaginal inserts in pregnant women; however, epidemiologic studies and meta-analyses have not found an increased risk of genital or nongenital birth defects (including cardiac anomalies and limb-reduction defects) following exposure to combined hormonal contraceptives (estrogens and progestins) before conception or during early pregnancy.

In the U.S. general population, the estimated background risk of major birth defects and miscarriage in clinically recognized pregnancies is 2% to 4% and 15% to 20%, respectively.

8.2 Lactation

Risk Summary

Estrogens are present in human milk and can reduce milk production in breastfeeding females. This reduction can occur at any time but is less likely to occur once breastfeeding is well-established. The developmental and health benefits of breastfeeding should be considered along with the mother’s clinical need for estradiol vaginal inserts and any potential adverse effects on the breastfed child from estradiol vaginal inserts or from the underlying maternal condition.

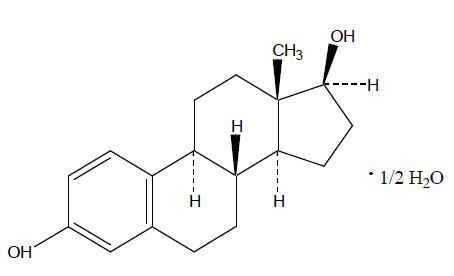
11 Description

Estradiol vaginal inserts USP, 10 mcg are white to off-white, round, film-coated, unscored, biconvex inserts containing 10.3 mcg of estradiol hemihydrate, USP equivalent to 10 mcg of estradiol. Each 10 mcg estradiol vaginal insert contains the following excipients: corn starch, hypromellose, lactose monohydrate, magnesium stearate, and polyethylene glycol. Each estradiol vaginal insert is 6 mm in diameter and is placed in a disposable applicator. Each insert-filled applicator is packaged separately in a blister pack. Estradiol vaginal inserts are used intravaginally. When the insert comes in contact with the vaginal mucosa, estradiol is released into the vagina.

Estradiol hemihydrate, USP is white to practically white crystals or powder and chemically described as estra1,3,5 (10)-triene-3,17β-diol, hydrate (2:1).

The structural formula is:

C18H24O2 .1/2 H2O M.W. 281.4 (Estradiol hemihydrate, USP)

FDA approved dissolution test specifications differ from USP.

5.14 Hypocalcemia

Estrogen-induced hypocalcemia may occur in women with hypoparathyroidism. Consider whether the benefits of estrogen therapy, including estradiol vaginal inserts, outweigh the risks in such women.

5.6 Hypercalcemia

Estrogen administration may lead to severe hypercalcemia in women with breast cancer and bone metastases. Discontinue estrogens, including estradiol vaginal inserts if hypercalcemia occurs, and take appropriate measures to reduce the serum calcium level.

8.4 Pediatric Use

Estradiol vaginal inserts are not indicated for use in pediatric patients. Clinical studies have not been conducted in the pediatric population.

8.5 Geriatric Use

There have not been sufficient numbers of geriatric women involved in clinical studies utilizing estradiol vaginal inserts to determine whether those over 65 years of age differ from younger subjects in their response to estradiol vaginal inserts.

The Women’s Health Initiative Studies

In the WHI estrogen-alone substudy (daily CE [0.625 mg]-alone versus placebo), there was a higher relative risk of stroke in women greater than 65 years of age [see Clinical Studies (14.2)].

In the WHI estrogen plus progestin substudy (daily CE [0.625 mg] plus MPA [2.5 mg] versus placebo), there was a higher relative risk of nonfatal stroke and invasive breast cancer in women greater than 65 years of age [see Clinical Studies (14.2)].

The Women’s Health Initiative Memory Study

In the WHIMS ancillary studies of postmenopausal women 65 to 79 years of age, there was an increased risk of developing probable dementia in women receiving estrogen-alone or estrogen plus progestin when compared to placebo [see Warnings and Precautions (5.4), and Clinical Studies (14.3)].

Since both ancillary studies were conducted in women 65 to 79 years of age, it is unknown whether these findings apply to younger postmenopausal women [see Warnings and Precautions (5.4), and Clinical Studies (14.3)].

4 Contraindications

Estradiol vaginal inserts is contraindicated in women with any of the following conditions:

  • Undiagnosed abnormal genital bleeding [see Warnings and Precautions (5.3)].
  • Breast cancer or a history of breast cancer [see Warnings and Precautions (5.3)].
  • Estrogen-dependent neoplasia [see Warnings and Precautions (5.3)].
  • Active DVT, PE, or history of these conditions [see Warnings and Precautions (5.2)].
  • Active arterial thromboembolic disease (for example, stroke or MI), or a history of these conditions [see Warnings and Precautions (5.2)].
  • Known anaphylactic reaction, or angioedema, or hypersensitivity to estradiol vaginal inserts [see Warnings and Precautions (5.16)].
  • Hepatic impairment or disease.
  • Protein C, protein S, or antithrombin deficiency, or other known thrombophilic disorders.
5.18 Local Abrasion

A few cases of local abrasion induced by the estradiol applicator have been reported, especially in women with severely atrophic vaginal mucosa.

6 Adverse Reactions

The following serious adverse reactions are discussed elsewhere in the labeling:

7 Drug Interactions

In vitro and in vivo studies have shown that estrogens are metabolized partially by cytochrome P450 3A4 (CYP3A4). Therefore, inducers or inhibitors of CYP3A4 may affect estrogen drug metabolism. Inducers of CYP3A4, such as St. John’s wort (Hypericum perforatum) preparations, phenobarbital, carbamazepine, and rifampin, may reduce plasma concentrations of estrogens, possibly resulting in a decrease in therapeutic effects and/or changes in the uterine bleeding profile. Inhibitors of CYP3A4 such as erythromycin, clarithromycin, ketoconazole, itraconazole, ritonavir and grapefruit juice may increase plasma concentrations of estrogens and may result in adverse reactions.

5.13 Fluid Retention

Estrogens may cause some degree of fluid retention. Monitor any woman with a condition(s) that might predispose her to fluid retention, such as a cardiac or renal impairment. Discontinue estrogen-alone therapy, including estradiol vaginal inserts, with evidence of medically concerning fluid retention.

12.2 Pharmacodynamics

Generally, a serum concentration does not predict an individual woman’s therapeutic response to estradiol vaginal inserts nor her risk for adverse outcomes. Likewise, exposure comparisons across different estrogen products to infer efficacy or safety for the individual woman may not be valid.

12.3 Pharmacokinetics

Absorption

Estrogen drug products are well absorbed through the skin, mucous membranes, and the gastrointestinal tract. The vaginal delivery of estrogens circumvents first-pass metabolism.

In a single-center, randomized, open-label, multiple-dose study conducted in 29 patients, estradiol vaginal inserts 10 mcg demonstrated a mean estradiol (E2) Cave at Day 83 of 5.5 pg/mL after 12 weeks of treatment (see Table 2).

Table 2: Arithmetic Means of Estradiol (E2), Estrone (E1), and Estrone Sulfate (E1S) PK Parameters Following Multiple Dosesa of Estradiol 10 mcg

Uncorrected for baseline, N=29

E2

E1

E1S

AUC0-24

Cave (0-24)

%CVb

AUC0-24

Cave (0-24)

%CVb

AUC0-24

Cave (0-24)

%CVb

(h.pg/mL)

(pg/mL)

(h.pg/mL)

(pg/mL)

(h.pg/mL)

(pg/mL)

Day 1

242.08

10.09

33.02

485.21

20.22

44.86

5158.32

214.93

53.57

Day

176.49

7.35

43.69

496.14

20.67

30.88

6323.41

263.48

50.07

14

Day

132.04

5.50

59.69

411.08

17.13

39.58

3804.65

158.53

49.76

83

a Patients received vaginal inserts as a once daily intravaginal treatment for the first 2 weeks and a twice weekly intravaginal maintenance for the following 10 weeks.

b CV: Coefficient of Variance for both AUC0-24 and Cave(0-24)

Distribution

The distribution of exogenous estrogens is similar to that of endogenous estrogens. Estrogens are widely distributed in the body and are generally found in higher concentrations in the sex hormone target organs. Estrogens circulate in the blood largely bound to SHBG and albumin.

Metabolism

Exogenous estrogens are metabolized in the same manner as endogenous estrogens. Circulating estrogens exist in a dynamic equilibrium of metabolic interconversions. These transformations take place mainly in the liver. Estradiol is converted reversibly to estrone, and both can be converted to estriol, which is the major urinary metabolite. Estrogens also undergo enterohepatic recirculation via sulfate and glucuronide conjugation in the liver, biliary secretion of conjugates into the intestine, and hydrolysis in the gut followed by reabsorption. In postmenopausal women, a significant portion of the circulating estrogens exist as sulfate conjugates, especially estrone sulfate, which serves as a circulating reservoir for the formation of more active estrogens.

Excretion

Estradiol, estrone, and estriol are excreted in the urine along with glucuronide and sulfate conjugates.

5.19 Laboratory Tests

Serum follicle stimulating hormone (FSH) and estradiol levels have not been shown to be useful in the management of postmenopausal women with moderate to severe symptoms of vulvar and vaginal atrophy.

5.4 Probable Dementia

In the WHI Memory Study (WHIMS) estrogen-alone ancillary study a population of 2,947 hysterectomized women 65 to 79 years of age was randomized to daily CE (0.625 mg)-alone or placebo.

After an average follow-up of 5.2 years, 28 women in the estrogen-alone group and 19 women in the placebo group were diagnosed with probable dementia. The relative risk of probable dementia for CE-alone versus placebo was 1.49 (95 percent CI, 0.83 to 2.66). The absolute risk of probable dementia for CE-alone versus placebo was 37 versus 25 cases per 10,000 women-years [see Use in Specific Populations (8.5), and Clinical Studies (14.3)].

In the WHIMS estrogen plus progestin ancillary study, a population of 4,532 postmenopausal women 65 to 79 years of age was randomized to daily CE (0.625 mg) plus MPA (2.5 mg) or placebo. After an average follow-up of 4 years, 40 women in the CE plus MPA group and 21 women in the placebo group were diagnosed with probable dementia. The relative risk of probable dementia for CE plus MPA versus placebo was 2.05 (95 percent CI, 1.21 to 3.48). The absolute risk of probable dementia for CE plus MPA versus placebo was 45 versus 22 cases per 10,000 women-years [see Use in Specific Populations (8.5), and Clinical Studies (14.3)].

When data from the two populations in the WHIMS estrogen-alone and estrogen plus progestin ancillary studies were pooled as planned in the WHIMS protocol, the reported overall relative risk for probable dementia was 1.76 (95 percent CI, 1.19 to 2.60). Since both ancillary studies were conducted in women 65 to 79 years of age, it is unknown whether these findings apply to younger postmenopausal women [see Use in Specific Populations (8.5), and Clinical Studies (14.3)].

1 Indications and Usage
  • Estradiol vaginal inserts are an estrogen indicated for the treatment of atrophic vaginitis due to menopause (1.1)
5.3 Malignant Neoplasms

Endometrial Cancer

An increased risk of endometrial cancer has been reported with the use of unopposed estrogen therapy in a woman with a uterus. The reported endometrial cancer risk among unopposed estrogen users is about 2- to 12- fold greater than in non-users, and appears dependent on duration of treatment and on estrogen dose. Most studies show no significant increased risk associated with use of estrogens for less than 1 year. The greatest risk appears associated with prolonged use, with an increased risk of 15- to 24-fold for 5 to 10 years or more and this risk has been shown to persist for at least 8 to 15 years after estrogen therapy is discontinued.

Clinical surveillance of all women using estrogen-alone or estrogen plus progestogen therapy is important. Perform adequate diagnostic measures, including directed or random endometrial sampling when indicated, to rule out malignancy in postmenopausal women with undiagnosed persistent or recurring abnormal genital bleeding with unknown etiology.

There is no evidence that the use of natural estrogens results in a different endometrial risk profile than synthetic estrogens of equivalent estrogen dose. Adding a progestogen to estrogen therapy in postmenopausal women has been shown to reduce the risk of endometrial hyperplasia, which may be a precursor to endometrial cancer.

Breast Cancer

The WHI substudy of daily CE (0.625 mg)-alone provided information about breast cancer in estrogen-alone users. In the WHI estrogen-alone substudy, after an average follow-up of 7.1 years, daily CE-alone was not associated with an increased risk of invasive breast cancer [relative risk (RR) 0.80] compared to placebo [see Clinical Studies (14.2)].

After a mean follow-up of 5.6 years, the WHI substudy of daily CE (0.625 mg) plus MPS (2.5 mg) reported an increased risk of invasive breast cancer in women who took daily CE plus MPA compared to placebo. In this substudy, prior use of estrogen-alone or estrogen plus progestin therapy was reported by 26 percent of the women. The relative risk of invasive breast cancer was 1.24, and the absolute risk was 41 versus 33 cases per 10,000 women-years, for CE plus MPA compared with placebo. Among women who reported prior use of hormone therapy, the relative risk of invasive breast cancer was 1.86, and the absolute risk was 46 versus 25 cases per 10,000 women-years, for CE plus MPA compared with placebo. Among women who reported no prior use of hormone therapy, the relative risk of invasive breast cancer was 1.09, and the absolute risk was 40 versus 36 cases per 10,000 women-years for CE plus MPA compared with placebo. In the same substudy, invasive breast cancers were larger, were more likely to be node positive, and were diagnosed at a more advanced stage in the CE (0.625 mg) plus MPA (2.5 mg) group compared with the placebo group. Metastatic disease was rare, with no apparent difference between the two groups. Other prognostic factors, such as histologic subtype, grade and hormone receptor status did not differ between the groups [see Clinical Studies (14.2)].

Consistent with the WHI clinical trials, observational studies have also reported an increased risk of breast cancer with estrogen plus progestin therapy, and a smaller increased risk for estrogen-alone therapy, after several years of use. Extension of the WHI trials also demonstrated increased breast cancer risk associated with systemic estrogen plus progestin therapy. Observational studies also suggest that the risk of breast cancer was greater, and became apparent earlier, with estrogen plus progestin therapy as compared to estrogen-alone therapy. These studies have not generally found significant variation in the risk of breast cancer among different estrogen plus progestin combinations, doses, or routes of administration. One large meta-analysis of prospective cohort studies reported increased risks that were dependent upon duration of use of systemic estrogen plus progestin therapy and systemic estrogen-alone therapy. These risks could last up to >10 years after discontinuation of these systemic therapies depending on the duration of use. There was no increase in risk of developing breast cancer in women taking vaginal estrogens.

The use of estrogen-alone and estrogen plus progestin therapy has been reported to result in an increase in abnormal mammograms requiring further evaluation.

All women should receive yearly breast examinations by a healthcare provider and perform monthly breast self-examinations. In addition, mammography examinations should be scheduled based on patient age, risk factors, and prior mammogram results.

Ovarian Cancer

The CE plus MPA substudy of WHI reported that estrogen plus progestin increased risk of ovarian cancer. After an average follow-up of 5.6 years, the relative risk for ovarian cancer for CE plus MPA versus placebo was 1.58 (95 percent CI, 0.77 to 3.24), but it was not statistically significant. The absolute risk for CE plus MPA versus placebo was 4 versus 3 cases per 10,000 women-years.7

A meta-analysis of 17 prospective and 35 retrospective epidemiology studies found that women who used hormonal therapy for menopausal symptoms had an increased risk for ovarian cancer. The primary analysis, using case-control comparisons, included 12,110 cancer cases from the 17 prospective studies. The relative risks associated with current use of hormonal therapy was 1.41 (95% confidence interval [CI] 1.32 to 1.50); there was no difference in the risk estimates by duration of the exposure (less than 5 years [median of 3 years] vs. greater than 5 years [median of 10 years] of use before the cancer diagnosis). The relative risk associated with combined current and recent use (discontinued use within 5 years before cancer diagnosis) was 1.37 (95% CI 1.27 to 1.48), and the elevated risk was significant for both estrogen-alone and estrogen plus progestin products. The exact duration of hormone therapy use associated with an increased risk of ovarian cancer, however, is unknown.

5.5 Gallbladder Disease

A 2- to 4-fold increase in the risk of gallbladder disease requiring surgery in postmenopausal women receiving estrogens has been reported.

12.1 Mechanism of Action

Endogenous estrogens are largely responsible for the development and maintenance of the female reproductive system and secondary sexual characteristics. Although circulating estrogens exist in a dynamic equilibrium of metabolic interconversions, estradiol is the principal intracellular human estrogen and is substantially more potent than its metabolites, estrone and estriol, at the receptor level.

The primary source of estrogen in normally cycling adult women is the ovarian follicle, which secretes 70 to 500 mcg of estradiol daily, depending on the phase of the menstrual cycle. After menopause, most endogenous estrogen is produced by conversion of androstenedione, secreted by the adrenal cortex, to estrone in the peripheral tissues. Thus, estrone and the sulfate conjugated form, estrone sulfate, are the most abundant circulating estrogens in postmenopausal women.

Estrogens act through binding to nuclear receptors in estrogen-responsive tissues. To date, two estrogen receptors have been identified. These vary in proportion from tissue to tissue.

Circulating estrogens modulate the pituitary secretion of the gonadotropins, luteinizing hormone (LH), and FSH, through a negative feedback mechanism. Estrogens act to reduce the elevated levels of these hormones seen in postmenopausal women.

5.7 Visual Abnormalities

Retinal vascular thrombosis has been reported in women receiving estrogens. Discontinue estradiol vaginal inserts pending examination if there is a sudden partial or complete loss of vision, or a sudden onset of proptosis, diplopia, or migraine. Permanently discontinue estrogens, including estradiol vaginal inserts, if examination reveals papilledema or retinal vascular lesions.

5 Warnings and Precautions
  • Estrogens increase the risk of gallbladder disease (5.5)
  • Discontinue estrogen if severe hypercalcemia, loss of vision, severe hypertriglyceridemia or cholestatic jaundice occurs (5.6, 5.7, 5.10, 5.11)
  • The estradiol vaginal inserts applicator may cause vaginal abrasion (5.18)
  • Monitor thyroid function in women on thyroid replacement therapy (5.12, 5.19)
5.16 Hereditary Angioedema

Exogenous estrogens may exacerbate symptoms of angioedema in women with hereditary angioedema. Consider whether the benefits of estrogen therapy, including estradiol vaginal inserts, outweigh the risk in such women.

2 Dosage and Administration

Generally, when estrogen is prescribed for a postmenopausal woman with a uterus, consider addition of a progestogen to reduce the risk of endometrial cancer.

Generally, a woman without a uterus does not need to use a progestogen in addition to her estrogen therapy. In some cases, however, hysterectomized women with a history of endometriosis may need a progestogen [see Warnings and Precautions (5.3, 5.15)].

Use estrogen-alone, or in combination with a progestogen, at the lowest effective dose and for the shortest duration consistent with treatment goals and risks for the individual woman. Reevaluate postmenopausal women periodically as clinically appropriate to determine if treatment is still necessary.

5.9 Elevated Blood Pressure

In a small number of case reports, substantial increases in blood pressure have been attributed to idiosyncratic reactions to estrogens. In a large, randomized, placebo-controlled clinical trial, a generalized effect of estrogens on blood pressure was not seen.

3 Dosage Forms and Strengths

Estradiol vaginal inserts, USP are white to off-white, round, film-coated, unscored, biconvex inserts containing 10 mcg of estradiol. Each vaginal insert is 6 mm in diameter and is administered in a disposable applicator.

5.2 Cardiovascular Disorders

Increased risks of stroke and DVT are reported with estrogen-alone therapy. Increased risks of PE, DVT, stroke, and MI are reported with estrogen plus progestin therapy. Immediately discontinue estrogen with or without progestogen therapy if any of these occur or are suspected.

Manage appropriately any risk factors for arterial vascular disease (for example, hypertension, diabetes mellitus, tobacco use, hypercholesterolemia, and obesity) and/or venous thromboembolism (VTE) (for example, personal history or family history of VTE, obesity, and systemic lupus erythematosus).

Stroke

The WHI estrogen-alone substudy reported a statistically significant increased risk of stroke in women 50 to 79 years of age receiving daily CE (0.625 mg)-alone compared to women in the same age group receiving placebo (45 versus 33 per 10,000 women-years, respectively). The increase in risk was demonstrated in year 1 and persisted [see Clinical Studies (14.2)]. Immediately discontinue estrogen-alone therapy if a stroke occurs or is suspected.

Subgroup analyses of women 50 to 59 years of age suggest no increased risk of stroke for those women receiving CE (0.625 mg)-alone versus those receiving placebo (18 versus 21 per 10,000 women-years).1

The WHI estrogen plus progestin substudy reported a statistically significant increased risk of stroke in women 50 to 79 years of age receiving daily CE (0.625 mg) plus MPA (2.5 mg) compared to women in the same age group receiving placebo (33 versus 25 per 10,000 women-years, respectively) [see Clinical Studies (14.2)]The increase in risk was demonstrated after the first year and persisted.1 Immediately discontinue estrogen with or without progestogen therapy if a stroke occurs or is suspected.

Coronary Heart Disease

The WHI estrogen-alone substudy reported no overall effect on coronary heart disease (CHD) events (defined as nonfatal MI, silent MI, or CHD death) in women receiving estrogen-alone compared to placebo [see Clinical Studies (14.2)].

Subgroup analysis of women 50 to 59 years of age, who were less than 10 years since menopause, suggests a reduction (not statistically significant) of CHD events in those women receiving daily CE (0.625 mg)-alone compared to placebo (8 versus 16 per 10,000 women-years).1

The WHI estrogen plus progestin substudy reported an increased risk (not statistically significant) of CHD events in women receiving daily CE (0.625 mg) plus MPA (2.5 mg) compared to women receiving placebo (41 versus 34 per 10,000 women-years).1 An increase in relative risk was demonstrated in year 1, and a trend toward decreasing relative risk was reported in years 2 through 5 [see Clinical Studies (14.2)].

In postmenopausal women with documented heart disease (n=2,763), average 66.7 years of age, in a controlled clinical trial of secondary prevention of cardiovascular disease (Heart and Estrogen/Progestin Replacement Study; HERS), treatment with daily CE (0.625 mg) plus MPA (2.5 mg) demonstrated no cardiovascular benefit. During an average follow-up of 4.1 years, treatment with CE plus MPA did not reduce the overall rate of CHD events in postmenopausal women with established CHD. There were more CHD events in the CE plus

MPA-treated group than in the placebo group in year 1, but not during the subsequent years. Two thousand, three hundred and twenty-one (2,321) women from the original HERS trial agreed to participate in an open label extension of the original HERS, HERS II. Average follow-up in HERS II was an additional 2.7 years, for a total of 6.8 years overall. Rates of CHD events were comparable among women in the CE plus MPA group and the placebo group in HERS, HERS II, and overall.

Venous Thromboembolism

In the WHI estrogen-alone substudy, the risk of VTE (DVT and PE) was increased for women receiving daily CE (0.625 mg)-alone compared to placebo (30 versus 22 per 10,000 women-years), although only the increased risk of DVT reached statistical significance (23 versus 15 per 10,000 women-years). The increase in VTE risk was demonstrated during the first 2 years [see Clinical Studies (14.2)] Immediately discontinue estrogen-alone therapy if a VTE occurs or is suspected.

The WHI estrogen plus progestin substudy reported a statistically significant 2-fold greater rate of VTE in women receiving daily CE (0.625 mg) plus MPA (2.5 mg) compared to women receiving placebo (35 versus 17 per 10,000 women-years). Statistically significant increases in risk for both DVT (26 versus 13 per 10,000 women-years) and PE (18 versus 8 per 10,000 women-years) were also demonstrated. The increase in VTE risk was demonstrated during the first year and persisted [see Clinical Studies (14.2)] Immediately discontinue estrogen plus progestogen therapy if a VTE occurs or is suspected.

If feasible, discontinue estrogens at least 4 to 6 weeks before surgery of the type associated with an increased risk of thromboembolism, or during periods of prolonged immobilization.

6.2 Postmarketing Experience

The following adverse reactions have been identified during post-approval use of estradiol 10 mcg. Because these reactions are reported voluntarily from a population of uncertain size, it is not always possible to reliably estimate their frequency or establish a causal relationship to drug exposure.

Gastrointestinal disorders

Diarrhea

General disorders and administration site conditions

Drug ineffective

Immune system disorders

Hypersensitivity

Investigations

Blood estrogen increased

Weight increased 

Metabolism and nutrition disorders

Fluid retention

Neoplasms benign and malignant

Breast cancer

Endometrial cancer

Psychiatric disorders

Depression

Insomnia

Central Nervous System

Aggravated migraine

Reproductive system and breast disorders

Endometrial hyperplasia

Vulvovaginal burning sensation

Vulvovaginal pain

Genital pruritus

Vulvovaginal rash

Vulvovaginal swelling

Vaginismus

Vaginal ulceration

Skin and subcutaneous tissue disorders

Rash

Rash erythematous

Rash pruritic

Urticaria

Vascular disorders

Deep vein thrombosis

6.1 Clinical Trials Experience

Because clinical trials are conducted under widely varying conditions, adverse reaction rates observed in the clinical trials of a drug cannot be directly compared to rates in the clinical trials of another drug and may not reflect the rates observed in practice.

In a 12-month randomized, double-blind, parallel group, placebo-controlled study, a total of 309 postmenopausal women were randomized to receive either placebo or estradiol 10 mcg vaginal inserts. Adverse reactions with an incidence of ≥5 percent in the estradiol 10 mcg group and greater than those reported in the placebo group are listed in Table 1.

Table 1: Treatment-Emergent Adverse Reactions Reported at a Frequency of ≥ 5 Percent in Women Receiving Estradiol 10 mcg

Body System

Adverse Reaction

Treatment

Number (%) of Women

Placebo

N = 103

n (%)

Estradiol

N = 205

n (%)

Body As A Whole

Back Pain

2 (2)

14 (7)

Digestive System

Diarrhea

0

11 (5)

Urogenital System

Vulvovaginal Mycotic Infection

3 (3)

17 (8)

Vulvovaginal Pruritus

2 (2)

16 (8)

N = Total number of women in study.

n = Number of women who experienced adverse reactions.

17 Patient Counseling Information

Advise women to read the FDA-approved patient labeling (Patient Information and Instructions for Use).

Vaginal Bleeding

Inform postmenopausal women to report any vaginal bleeding to their healthcare provider as soon as possible [see Warnings and Precautions ( 5.3 )].

Possible Serious Adverse Reactions with Estrogen-Alone Therapy

Inform postmenopausal women of possible serious adverse reactions of estrogen-alone therapy including Cardiovascular Disorders, Malignant Neoplasms, and Probable Dementia [see Warnings and Precautions ( 5.25.35.4 )].

Possible Common Adverse Reactions with Estrogen-Alone Therapy

Inform postmenopausal women of possible less serious but common adverse reactions of estrogen-alone therapy such as headache, breast pain and tenderness, nausea and vomiting.

Manufactured For:

Teva Pharmaceuticals

Parsippany, NJ 07054

Rev. F 4/2024

5.1 Risks From Systemic Absorption

Estradiol vaginal inserts are intended only for vaginal administration. Systemic absorption occurs with the use of estradiol vaginal inserts. The warnings, precautions, and adverse reactions associated with the use of systemic estrogen-alone therapy should be taken into account.

5.15 Exacerbation of Endometriosis

A few cases of malignant transformation of residual endometrial implants have been reported in women treated post-hysterectomy with estrogen-alone therapy. Consider the addition of progestogen therapy for women known to have residual endometriosis post-hysterectomy.

16 How Supplied/storage and Handling

16.1 How Supplied

Estradiol vaginal inserts USP, 10 mcg, are white to off-white, round, film-coated, unscored, biconvex inserts, debossed with "TV" on one side and "T5" on the other side. Each insert is contained in a disposable, single-use applicator, packaged in a blister pack. Cartons contain 18 applicators with inset inserts.

Estradiol vaginal inserts USP, 10 mcg:

  • 18 applicators: NDC: 63629-8804-1

Keep out of reach of children

16.2 Storage and Handling

Store at 20° to 25°C (68° to 77°F) [See USP Controlled Room Temperature].

Do not refrigerate.

Repackaged/Relabeled by:

Bryant Ranch Prepack, Inc.

Burbank, CA 91504

5.17 Exacerbation of Other Conditions

Estrogen therapy may cause an exacerbation of asthma, diabetes mellitus, epilepsy, migraine, porphyria, systemic lupus erythematosus, and hepatic hemangiomas. Consider whether the benefits of estrogen therapy outweigh the risks in women with such conditions.

5.12  exacerbation Of hypothyroidism

Estrogen administration leads to increased thyroid-binding globulin (TBG) levels. Women with normal thyroid function can compensate for the increased TBG by making more thyroid hormone, thus maintaining free T4 and T3 serum concentrations in the normal range. Women dependent on thyroid hormone replacement therapy who are also receiving estrogens may require increased doses of their thyroid replacement therapy. Monitor thyroid function in these women during treatment with estradiol vaginal inserts to maintain their free thyroid hormone levels in an acceptable range.

5.20 Drug Laboratory Test Interactions
  • Accelerated prothrombin time, partial thromboplastin time, and platelet aggregation time; increased platelet count; increased factors II, VII antigen, VIII antigen, VIII coagulant activity, IX, X, XII, VII-X complex, II-VII-X complex, and beta-thromboglobulin; decreased levels of antifactor Xa and antithrombin III, decreased antithrombin III activity; increased levels of fibrinogen and fibrinogen activity; increased plasminogen antigen and activity.
  • Increased thyroid-binding globulin (TBG) levels leading to increased circulating total thyroid hormone as measured by protein-bound iodine (PBI), T4 levels (by column or by radioimmunoassay) or T3 levels by radioimmunoassay. T3 resin uptake is decreased, reflecting the elevated TBG. Free T4 and free T3 concentrations are unaltered. Women on thyroid replacement therapy may require higher doses of thyroid hormone.
  • Other binding proteins may be elevated in serum, for example, corticosteroid binding globulin (CBG), sex hormone-binding globulin (SHBG), leading to increased total circulating corticosteroids and sex steroids, respectively. Free hormone concentrations, such as testosterone and estradiol, may be decreased. Other plasma proteins may be increased (angiotensinogen/renin substrate, alpha-1-antitrypsin, ceruloplasmin).
  • Increased plasma high-density lipoprotein (HDL) and HDL2 cholesterol subfraction concentrations, reduced low-density lipoprotein (LDL) cholesterol concentrations, increased triglyceride levels.
  • Impaired glucose tolerance.
14.2 Women’s Health Initiative Studies

The WHI enrolled approximately 27,000 predominantly healthy postmenopausal women in two substudies to assess the risks and benefits of daily oral CE (0.625 mg)-alone or in combination with MPA (2.5 mg) compared to placebo in the prevention of certain chronic diseases. The primary endpoint was the incidence of CHD (defined as nonfatal MI, silent MI and CHD death), with invasive breast cancer as the primary adverse outcome. A “global index” included the earliest occurrence of CHD, invasive breast cancer, stroke, PE, endometrial cancer (only in the CE plus MPA substudy), colorectal cancer, hip fracture, or death due to other causes. These substudies did not evaluate the effects of CE-alone or CE plus MPA on menopausal symptoms.

WHI Estrogen-Alone Substudy

The WHI estrogen-alone substudy was stopped early because an increased risk of stroke was observed, and it was deemed that no further information would be obtained regarding the risks and benefits of estrogen-alone in predetermined primary endpoints.

Results of the estrogen-alone substudy, which included 10,739 women (average 63 years of age, range 50 to 79; 75.3 percent White, 15.1 percent Black, 6.1 percent Hispanic, 3.6 percent Other) after an average follow-up of 7.1 years, are presented in Table 4.

Table 4: Relative and Absolute Risk Seen in the Estrogen-Alone Substudy of WHIa

Event

Relative Risk

CE

Placebo

CE vs. Placebo

n = 5,310

n = 5,429

(95% nCIb)

Absolute Risk per 10,000 Women-Years

CHD eventsc

0.95 (0.78 to 1.16)

54

57

Non-fatal MIc

0.91 (0.73 to 1.14)

40

43

CHD deathc

1.01 (0.71 to 1.43)

16

16

All Strokesc

1.33 (1.05 to 1.68)

45

33

Ischemic strokec

1.55 (1.19 to 2.01)

38

25

Deep vein thrombosisc,d

1.47 (1.06 to 2.06)

23

15

Pulmonary embolismc

1.37 (0.90 to 2.07)

14

10

Invasive breast cancerc

0.80 (0.62 to 1.04)

28

34

Colorectal cancere

1.08 (0.75 to 1.55)

17

16

Hip fracturec

0.65 (0.45 to 0.94)

12

19

Vertebral fracturesc,d

0.64 (0.44 to 0.93)

11

18

Lower arm/wrist fracturesc,d

0.58 (0.47 to 0.72)

35

59

Total fracturesc,d

0.71 (0.64 to 0.80)

144

197

Death due to other causese,f

1.08 (0.88 to 1.32)

53

50

Overall mortalityc,d

1.04 (0.88 to 1.22)

79

75

Global Indexg

1.02 (0.92 to 1.13)

206

201

a Adapted from numerous WHI publications. WHI publications can be viewed at www.nhlbi.nih.gov/whi.

b Nominal confidence intervals unadjusted for multiple looks and multiple comparisons.

c Results are based on centrally adjudicated data for an average follow-up of 7.1 years.

d Not included in “global index”.

e Results are based on an average follow-up of 6.8 years.

f All deaths, except from breast or colorectal cancer, definite or probable CHD, PE or cerebrovascular disease.

     g A subset of the events was combined in a “global index”, defined as the earliest occurrence of CHD events, invasive breast cancer, stroke, pulmonary embolism, colorectal cancer, hip fracture, or death due to other causes.

For those outcomes included in the WHI “global index” that reached statistical significance, the absolute excess risk per 10,000 women-years in the group treated with CE-alone was 12 more strokes while the absolute risk reduction per 10,000 women-years was 7 fewer hip fractures.9 The absolute excess risk of events included in the “global index” was a non-significant 5 events per 10,000 women-years. There was no difference between the groups in terms of all-cause mortality.

No overall difference for primary CHD events (nonfatal MI, silent MI and CHD death) and invasive breast cancer incidence in women receiving CE-alone compared with placebo was reported in final centrally adjudicated results from the estrogen-alone substudy, after an average follow up of 7.1 years.

Centrally adjudicated results for stroke events from the estrogen-alone substudy, after an average follow-up of 7.1 years, reported no significant difference in distribution of stroke subtype or severity, including fatal strokes, in women receiving CE-alone compared to placebo. Estrogen-alone increased the risk for ischemic stroke, and this excess risk was present in all subgroups of women examined.10

Timing of the initiation of estrogen-alone therapy relative to the start of menopause may affect the overall risk benefit profile. The WHI estrogen-alone substudy, stratified by age, showed in women 50 to 59 years of age a non-significant trend toward reduced risk for CHD [hazard ratio (HR) 0.63 (95 percent CI, 0.36 to 1.09)] and overall mortality [HR 0.71 (95 percent CI, 0.46 to 1.11)].

WHI Estrogen Plus Progestin Substudy

The WHI estrogen plus progestin substudy was stopped early. According to the predefined stopping rule, after an average follow-up of 5.6 years of treatment, the increased risk of invasive breast cancer and cardiovascular events exceeded the specified benefits included in the “global index.” The absolute excess risk of events included in the “global index” was 19 per 10,000 women-years.

For those outcomes included in the WHI “global index” that reached statistical significance after 5.6 years of follow-up, the absolute excess risks per 10,000 women-years in the group treated with CE plus MPA were 7 more CHD events, 8 more strokes, 10 more PEs, and 8 more invasive breast cancers, while the absolute risk reductions per 10,000 women-years were 6 fewer colorectal cancers and 5 fewer hip fractures.

Results of the CE plus MPA substudy, which included 16,608 women (average 63 years of age, range 50 to 79; 83.9 percent White, 6.8 percent Black, 5.4 percent Hispanic, 3.9 percent Other) are presented in Table 5. These results reflect centrally adjudicated data after an average follow-up of 5.6 years.

Table 5: Relative and Absolute Risk Seen in the Estrogen Plus Progestin Substudy of WHI at an Average of 5.6 Yearsa,b

Event

Relative Risk

CE/MPA

Placebo

CE/MPA vs Placebo

n = 8,506

n = 8,102

(95% nCIc)

Absolute Risk per 10,000 Women-Years

CHD events

1.23 (0.99 to 1.53)

41

34

Non-fatal MI

1.28 (1.00 to 1.63)

31

25

CHD death

1.10 (0.70 to 1.75)

8

8

All Strokes

1.31 (1.03 to 1.68)

33

25

Ischemic stroke

1.44 (1.09 to 1.90)

26

18

Deep vein thrombosisd

1.95 (1.43 to 2.67)

26

13

Pulmonary embolism

2.13 (1.45 to 3.11)

18

8

Invasive breast cancere

1.24 (1.01 to 1.54)

41

33

Colorectal cancer

0.61 (0.42 to 0.87)

10

16

Endometrial cancerd

0.81 (0.48 to 1.36)

6

7

Cervical cancerd

1.44 (0.47 to 4.42)

2

1

Hip fracture

0.67 (0.47 to 0.96)

11

16

Vertebral fracturesd

0.65 (0.46 to 0.92)

11

17

Lower arm/wrist fracturesd

0.71 (0.59 to 0.85)

44

62

Total fracturesd

0.76 (0.69 to 0.83)

152

199

Overall Mortalityf

1.00 (0.83 to 1.19)

52

52

Global Indexg

1.13 (1.02 to 1.25)

184

165

a Adapted from numerous WHI publications. WHI publications can be viewed at www.nhlbi.nih.gov/whi.

b Results are based on centrally adjudicated data.

c Nominal confidence intervals unadjusted for multiple looks and multiple comparisons.

d Not included in “global index”.

Includes metastatic and non-metastatic breast cancer, with the exception of in situ cancer.

f All deaths, except from breast or colorectal cancer, definite or probable CHD, PE or cerebrovascular disease.

    g A subset of the events was combined in a “global index”, defined as the earliest occurrence of CHD events, invasive breast cancer, stroke, pulmonary embolism, colorectal cancer, hip fracture, or death due to other causes.

Timing of the initiation of estrogen plus progestin therapy relative to the start of menopause may affect the overall risk benefit profile. The WHI estrogen plus progestin substudy stratified by age showed in women 50 to 59 years of age, a non-significant trend toward reduced risk for overall mortality [HR 0.69 (95 percent CI, 0.44 to 1.07)].

5.10 Exacerbation Of hypertriglyceridemia

In women with pre-existing hypertriglyceridemia, estrogen therapy may be associated with elevations of plasma triglycerides leading to pancreatitis. Discontinue estradiol vaginal inserts if pancreatitis occurs.

14.3 Women’s Health Initiative Memory Study

The WHIMS estrogen-alone ancillary study of WHI enrolled 2,947 predominately healthy hysterectomized postmenopausal women 65 to 79 years of age and older (45 percent were 65 to 69 years of age; 36 percent were 70 to 74 years of age; 19 percent were 75 years of age and older) to evaluate the effects of daily CE (0.625 mg)-alone on the incidence of probable dementia (primary outcome) compared to placebo.

After an average follow-up of 5.2 years, the relative risk of probable dementia for CE-alone versus placebo was 1.49 (95 percent CI, 0.83 to 2.66). The absolute risk of probable dementia for CE-alone versus placebo was 37 versus 25 cases per 10,000 women-years. Probable dementia as defined in this study included Alzheimer’s disease (AD), vascular dementia (VaD) and mixed types (having features of both AD and VaD). The most common classification of probable dementia in the treatment group and the placebo group was AD. Since the ancillary study was conducted in women 65 to 79 years of age, it is unknown whether these findings apply to younger postmenopausal women [see Warnings and Precautions (5.4), and Use in Specific Populations (8.5)].

The WHIMS estrogen plus progestin ancillary study of WHI enrolled 4,532 predominantly healthy postmenopausal women 65 years of age and older (47 percent were 65 to 69 years of age; 35 percent were 70 to 74 years; 18 percent were 75 years of age and older) to evaluate the effects of daily CE (0.625 mg) plus MPA (2.5 mg) on the incidence of probable dementia (primary outcome) compared to placebo.

After an average follow-up of 4 years, the relative risk of probable dementia for CE plus MPA versus placebo was 2.05 (95 percent CI, 1.21 to 3.48). The absolute risk of probable dementia for CE plus MPA versus placebo was 45 versus 22 per 10,000 women-years. Probable dementia as defined in this study included AD, VaD and mixed types (having features of both AD and VaD). The most common classification of probable dementia in the treatment group and the placebo group was AD. Since the ancillary study was conducted in women 65 to 79 years of age, it is unknown whether these findings apply to younger postmenopausal women [see Warnings and Precautions (5.4), and Use in Specific Populations (8.5)].

When data from the two populations were pooled as planned in the WHIMS protocol, the reported overall relative risk for probable dementia was 1.76 (95 percent CI, 1.19 to 2.60). Differences between groups became apparent in the first year of treatment. It is unknown whether these findings apply to younger postmenopausal women [see Warnings and Precautions (5.4), and Use in Specific Populations (8.5)].

2.1 Treatment of Atrophic Vaginitis Due to Menopause

Administer estradiol vaginal inserts intravaginally using the supplied applicator: 1 insert daily for 2 weeks, followed by 1 insert twice weekly (for example, Tuesday and Friday).

13.1 Carcinogenesis, Mutagenesis, Impairment of Fertility

Long-term continuous administration of natural and synthetic estrogens in certain animal species increases the frequency of carcinomas of the breast, uterus, cervix, vagina, testis, and liver.

14.1 Effects On Atrophic Vaginitis in Postmenopausal Women

A 12-month double-blind, randomized, parallel group, placebo-controlled multicenter study was conducted in the U.S. and Canada to evaluate the efficacy and safety of estradiol 10 mcg in the treatment of atrophic vaginitis in 309 postmenopausal women between 46 and 81 years of age (mean 57.6 years of age) who at baseline identified their most bothersome symptom of atrophic vaginitis from among six symptoms (vaginal dryness, vaginal and/or vulvar irritation/itching, vaginal soreness, dysuria, dyspareunia and vaginal bleeding associated with intercourse). Women inserted one insert intravaginally each day for 14 days, then one insert twice weekly for the remaining 50 weeks. The majority (92.9 percent) of the women were Caucasian (n=287), 3.2 percent were Black (n=10), 1.6 percent were Asian (n=5) and 2.2 percent were Other (n=7). All participants were assessed for improvement in the mean change from baseline to Week 12 for co-primary efficacy variables of: a composite of most bothersome symptoms of atrophic vaginitis; percentage of vaginal superficial cells and percentage of vaginal parabasal cells on a vaginal smear; and vaginal pH.

Relief of Vaginal Symptoms

Estradiol 10 mcg was statistically superior to placebo in reducing the severity of a composite score of most bothersome symptoms associated with atrophic vaginitis at Week 12 (see Table 3).

Table 3: Mean Change from Baseline to Week 12 in a Composite Score of Most Bothersome Symptoms Compared to Placebo – ITT Populationa

Placebo

Estradiol 10 mcg

ITT Populationa

N

93

190

Baseline mean composite score

2.29

2.35

Change from baseline at Week 12 (LOCF)

-0.84

-1.20

p-value versus Placebo

---

0.002

a All randomized subjects who received at least one dose of study drug and had at least one post-baseline evaluation.

Also demonstrated for estradiol 10 mcg compared to placebo was a statistically significant increase in the percentage of superficial cells at Week 12 (13.2 percent compared to 3.8 percent for matching placebo, p<0.001), a statistically significant decrease in parabasal cells at Week 12 (-37.0 percent compared to -9.3 percent for matching placebo, p<0.001), and a statistically significant mean reduction between baseline and Week 12 in vaginal pH score (-1.3 compared to -0.4 for matching placebo, p<0.001).

Endometrial safety was assessed by endometrial biopsy at the screening and final study visit. Of the 172 women in the estradiol 10 mcg group who had a biopsy performed at end of study, 92 women had endometrial tissue that was atrophic or inactive and 73 women had no tissue or tissue insufficient for diagnosis. There was one case of adenocarcinoma grade 2 and one case of complex hyperplasia without atypia. Three women exhibited polyps (two atrophic polyps and one adenomyomatus type polyp) and two others had adenomyosis and an atypical epithelial proliferation.

Endometrial safety of estradiol 10 mcg was additionally evaluated in a second, 12 month, open-label, multicenter safety study. Of the 297 women who had a biopsy performed at end of study, 183 women had endometrial tissue that was atrophic or inactive and 111 women had no tissue or tissue insufficient for diagnosis. There was one case of complex hyperplasia without atypia. Two women exhibited polyps.

5.11 Hepatic Impairment And/or Past History of Cholestatic Jaundice

Estrogens may be poorly metabolized in women with hepatic impairment. Exercise caution in any woman with a history of cholestatic jaundice associated with past estrogen use or with pregnancy. In the case of recurrence of cholestatic jaundice, discontinue estradiol vaginal inserts.

5.8 Addition of A Progestogen when A Woman Has Not Had A Hysterectomy

Studies of the addition of a progestogen for 10 or more days of a cycle of estrogen administration, or daily with estrogen in a continuous regimen, have reported a lowered incidence of endometrial hyperplasia than would be induced by estrogen treatment alone. Endometrial hyperplasia may be a precursor to endometrial cancer.

There are, however, possible risks that may be associated with the use of progestogens with estrogens compared to estrogen-alone regimens. These include an increased risk of breast cancer.

Warning: Endometrial Cancer, Cardiovascular Disorders, Probable Dementia, and Breast Cancer

Estrogen-Alone Therapy

                                                                                                                      Endometrial Cancer

There is an increased risk of endometrial cancer in a woman with a uterus who uses unopposed estrogens. Adding a progestogen to estrogen therapy has been shown to reduce the risk of endometrial hyperplasia, which may be a precursor to endometrial cancer. Perform adequate diagnostic measures, including directed or random endometrial sampling when indicated, to rule out malignancy in postmenopausal women with undiagnosed persistent or recurring abnormal genital bleeding  [see Warnings and Precautions (5.3)].

                                                                                                Cardiovascular Disorders and Probable Dementia

The Women’s Health Initiative (WHI) estrogen-alone substudy reported increased risks of stroke and deep vein thrombosis (DVT) in postmenopausal women (50 to 79 years of age) during 7.1 years of treatment with daily oral conjugated estrogens (CE) [0.625 mg]-alone, relative to placebo  [see Warnings and Precautions (5.2), and Clinical Studies (14.2)].

The WHI Memory Study (WHIMS) estrogen-alone ancillary study of WHI reported an increased risk of developing probable dementia in postmenopausal women 65 years of age and older during 5.2 years of treatment with daily CE (0.625 mg)-alone, relative to placebo. It is unknown whether this finding applies to younger postmenopausal women  [see Warnings and Precautions (5.4), Use in Specific Populations (8.5), and Clinical Studies (14.3)].

Do not use estrogen-alone therapy for the prevention of cardiovascular disease or dementia [see Warnings and Precautions ( 5.2 , 5.4 ), and Clinical Studies ( 14.2 , 14.3 )].

Only daily oral 0.625 mg CE was studied in the estrogen-alone substudy of the WHI. Therefore, the relevance of the WHI findings regarding adverse cardiovascular events and dementia to lower CE doses, other routes of administration, or other estrogen-alone products is not known. Without such data, it is not possible to definitively exclude these risks or determine the extent of these risks for other products. Discuss with your patient the benefits and risks of estrogen-alone therapy, taking into account her individual risk profile.

Prescribe estrogens with or without progestogens at the lowest effective doses and for the shortest duration consistent with treatment goals and risks for the individual woman.

Estrogen Plus Progestin Therapy

                                                                                                   Cardiovascular Disorders and Probable Dementia

The WHI estrogen plus progestin substudy reported increased risks of pulmonary embolism (PE), DVT, stroke, and myocardial infarction (MI) in postmenopausal women (50 to 79 years of age) during 5.6 years of treatment with daily oral CE (0.625 mg) combined with medroxyprogesterone acetate (MPA) [2.5 mg], relative to placebo [see Warnings and Precautions (5.2), and Clinical Studies (14.2)].

The WHIMS estrogen plus progestin ancillary study of the WHI reported an increased risk of developing probable dementia in postmenopausal women 65 years of age and older during 4 years of treatment with daily CE (0.625 mg) combined with MPA (2.5 mg), relative to placebo. It is unknown whether this finding applies to younger postmenopausal women [ see Warnings and Precautions (5.4), Use in Specific Populations (8.5), and Clinical Studies (14.3)].

Do not use estrogen plus progestogen therapy for the prevention of cardiovascular disease or dementia  [see Warnings and Precautions ( 5.2 5.4 ), and Clinical Studies ( 14.2 14.3 )].

                                                                                                                               Breast Cancer

The WHI estrogen plus progestin substudy demonstrated an increased risk of invasive breast cancer  [see Warnings and Precautions (5.3), and Clinical Studies (14.2)].

Only daily oral 0.625 mg CE and 2.5 mg MPA were studied in the estrogen plus progestin substudy of the WHI. Therefore, the relevance of the WHI findings regarding adverse cardiovascular events, dementia and breast cancer to lower CE plus other MPA doses, other routes of administration, or other estrogen plus progestogen products is not known. Without such data, it is not possible to definitively exclude these risks or determine the extent of these risks for other products. Discuss with your patient the benefits and risks of estrogen plus progestogen therapy, taking into account her individual risk profile.

Prescribe estrogens with or without progestogens at the lowest effective doses and for the shortest duration consistent with treatment goals and risks for the individual woman.


Structured Label Content

Section 42230-3 (42230-3)

PATIENT INFORMATION

Estradiol (es " tra dye ' ol) Vaginal Inserts

Read this Patient Information before you start using estradiol vaginal inserts and each time you get a refill. There may be new information. This information does not take the place of talking to your healthcare provider about your menopausal symptoms or your treatment.

What is the most important information I should know about estradiol vaginal inserts (an estrogen hormone)

  • Using estrogen-alone may increase your chance of getting cancer of the uterus (womb).
  • Report any unusual vaginal bleeding right away while you are using estradiol vaginal inserts. Vaginal bleeding after menopause may be a warning sign of cancer of the uterus (womb). Your healthcare provider should check any unusual vaginal bleeding to find out the cause.
  • Do not use estrogen-alone to prevent heart disease, heart attacks, strokes or dementia (decline in brain function).
  • Using estrogen-alone may increase your chances of getting strokes or blood clots.
  • Using estrogen-alone may increase your chance of getting dementia, based on a study of women 65 years of age and older.
  • Do not use estrogens with progestogens to prevent heart disease, heart attack, strokes or dementia.
  • Using estrogens with progestogens may increase your chances of getting blood clots, strokes, heart attacks, or breast cancer.
  • Using estrogens with progestogens may increase your chance of getting dementia, based on a study of women 65 years of age and older.
  • Only one estrogen-alone product and dose have been shown to increase your chances of getting strokes, blood clots, and dementia. Only one estrogen with progestogen product and dose have been shown to increase your chances of getting heart attacks, strokes, breast cancer, blood clots, and dementia.
  • Because other products and doses have not been studied in the same way, it is not known how the use of estradiol vaginal inserts will affect your chances of these conditions. You and your healthcare provider should talk regularly about whether you still need treatment with estradiol vaginal inserts.

What are estradiol vaginal inserts?

Estradiol vaginal inserts are a prescription medicine that contains estradiol (an estrogen hormone) in a vaginal insert.

What are estradiol vaginal inserts used for?

Estradiol vaginal inserts are used after menopause to:

  • Treat moderate to severe menopausal changes in and around the vagina

You and your healthcare provider should talk regularly about whether you still need treatment with estradiol vaginal inserts to control these problems.

Who should not use estradiol vaginal inserts?

Do not start using estradiol vaginal inserts if you:

  • have unusual vaginal bleeding

    Vaginal bleeding after menopause may be a warning sign of cancer of the uterus (womb). Your healthcare provider should check any unusual vaginal bleeding to find out the cause.

  • have been diagnosed with a bleeding disorder
  • currently have or have had certain cancers

    Estrogens may increase the chances of getting certain types of cancers, including cancer of the breast or uterus (womb). If you have or have had cancer, talk with your healthcare provider about whether you should use estradiol vaginal inserts.
  • had a stroke or heart attack
  • currently have or have had blood clots
  • currently have or have had liver problems
  • are allergic to estradiol vaginal inserts or any of the ingredients in it.

See the list of ingredients in estradiol vaginal inserts at the end of this leaflet.

Before you use  estradiol vaginal inserts,  tell your healthcare provider  about all of your medical conditions, including if you :

  • have any unusual vaginal bleeding

    Vaginal bleeding after menopause may be a warning sign of cancer of the uterus (womb). Your healthcare provider should check any unusual vaginal bleeding to find out the cause.
  • have any other medical conditions that may become worse while you are using estradiol vaginal inserts

    Your healthcare provider may need to check you more carefully if you have certain conditions, such as asthma (wheezing), epilepsy (seizures), diabetes, migraine, endometriosis, lupus, angioedema (swelling of face and tongue), problems with your heart, liver, thyroid, kidneys, or have high calcium levels in your blood.
  • are going to have surgery or will be on bed rest

    Your healthcare provider will let you know if you need to stop using estradiol vaginal inserts.
  • are pregnant or think you may be pregnant

    Estradiol vaginal inserts is not for pregnant women.
  • are breastfeeding

    The hormone in estradiol vaginal inserts can pass into your breast milk.

Tell your healthcare provider about all the medicines you take, including prescription and over-the-counter medicines, vitamins, and herbal supplements. Some medicines may affect how estradiol vaginal inserts work. Estradiol vaginal inserts may also affect how your other medicines work. Keep a list of your medicines and show it to your healthcare provider and pharmacist when you get new medicines.

How should I use estradiol vaginal inserts?

Estradiol vaginal inserts are an insert that you place in your vagina with an applicator.

  • Take the dose recommended by your healthcare provider and talk to him or her about how well that dose is working for you
  • Estrogens should be used at the lowest dose possible for your treatment and only as long as you need to use this medicine.

    You and your healthcare provider should talk regularly (for example, every 3 to 6 months) about the dose you are using and whether you still need treatment with estradiol vaginal inserts.

What are the possible side effects of estradiol vaginal inserts?

Side effects are grouped by how serious they are and how often they happen when you are treated.

Serious but less common side effects include:

  • heart attack
  • stroke
  • blood clots
  • breast cancer
  • cancer of the lining of the uterus (womb)
  • cancer of the ovary
  • dementia
  • high and low blood calcium
  • gallbladder disease
  • visual abnormalities
  • high blood pressure
  • high levels of fat (triglyceride) in your blood
  • liver problems
  • changes in your thyroid hormone levels
  • fluid retention
  • cancer changes of endometriosis
  • enlargement of benign tumors of the uterus (“fibroids”)
  • worsening of swelling of face and tongue (angioedema) in women with a history of angioedema

Call your healthcare provider right away if you get any of the following warning signs or any other unusual symptoms that concern you:

  • new breast lumps
  • unusual vaginal bleeding
  • changes in vision or speech
  • sudden new severe headaches
  • severe pains in your chest or legs with or without shortness of breath, weakness, and fatigue

Common side effects of estradiol vaginal inserts include:

  • headache
  • breast pain
  • irregular vaginal bleeding or spotting
  • stomach or abdominal cramps, bloating
  • nausea and vomiting
  • hair loss
  • fluid retention
  • vaginal yeast infection

These are not all the possible side effects of estradiol vaginal inserts. For more information, ask your healthcare provider or pharmacist. Tell your healthcare provider if you have any side effects that bother you or do not go away. You may report side effects to FDA at 1-800-FDA-1088. You may report side effects to Teva at 1-888-838-2872.

What can I do to lower my chances of a serious side effect with estradiol vaginal inserts?

  • Talk with your healthcare provider regularly about whether you should continue using estradiol vaginal inserts.
  • If you have a uterus, talk with your healthcare provider about whether the addition of a progestogen is right for you.
  • In general, the addition of a progestogen is recommended for a woman with a uterus to reduce the chance of getting cancer of the uterus (womb). See your healthcare provider right away if you get vaginal bleeding while using estradiol vaginal inserts.
  • Have a pelvic exam, breast exam and mammogram (breast X-ray) every year unless your healthcare provider tells you something else. If members of your family have had breast cancer or if you have ever had breast lumps or an abnormal mammogram, you may need to have breast exams more often.
  • If you have high blood pressure, high cholesterol (fat in the blood), diabetes, are overweight, or if you use tobacco, you may have higher chances for getting heart disease. Ask your healthcare provider for ways to lower your chances for getting heart disease.

How should I store  estradiol vaginal inserts?

Store estradiol vaginal inserts at room temperature 20° to 25°C (68° to 77°F) [See USP Controlled Room Temperature].

Do not refrigerate.

Keep estradiol vaginal inserts out of the reach of children

General information about the safe and effective use of estradiol vaginal inserts.

Medicines are sometimes prescribed for purposes other than those listed in Patient Information leaflets. Do not use estradiol vaginal inserts for conditions for which they were not prescribed. Do not give estradiol vaginal inserts to other people, even if they have the same symptoms you have. They may harm them.

You can ask your healthcare provider or pharmacist for information about estradiol vaginal inserts that is written for health professionals. You can get more information by calling the toll free number

1-888-838-2872.

What are the ingredients in estradiol vaginal inserts?

Estradiol vaginal inserts are small, white, round, film-coated, unscored, biconvex inserts containing estradiol. Each insert also contains corn starch, hypromellose, lactose monohydrate, magnesium stearate, and polyethylene glycol.

Each estradiol vaginal insert is contained in a disposable applicator, packaged in a blister pack. Cartons contain 8 or 18 applicators with inset inserts.

Manufactured For: Teva Pharmaceuticals, Parsippany, NJ 07054

For more information contact: Teva Pharmaceuticals, Parsippany, NJ 07054, 1-888-838-2872

This Patient Information has been approved by the U.S. Food and Drug Administration.                                                             Rev. E 4/2024

Section 43683-2 (43683-2)
  • Warnings and Precautions, Malignant Neoplasms (5.3)            2/2024
Section 51945-4 (51945-4)

Estradiol Vaginal Inserts 10 mcg

Section 59845-8 (59845-8)

                                                                                                                      INSTRUCTIONS FOR USE

Estradiol (es " tra dye ' ol) Vaginal Inserts

Read this Instructions for Use before you start using estradiol vaginal inserts and each time you get a refill. There may be new information. This information does not take the place of talking to your healthcare provider about your menopausal symptoms or your treatment.

How should I use estradiol vaginal inserts?

  • Estradiol vaginal inserts are inserts for use only in the vagina. Do not take by mouth.
  • Wash and dry your hands well before handling estradiol vaginal inserts.

Step 1: Tear off 1 applicator.

Step 2: Pull apart the plastic wrap and remove the applicator (see Figure A).

If after opening the package you see that the estradiol vaginal insert has come out of the applicator but has not fallen out of the package, carefully put the insert back into the applicator for insertion.

Step 3: Hold the applicator between your thumb and middle finger. Leave your index (pointer) finger free to press the applicator plunger (see Figure B).

Step 4: Select the best position for vaginal insertion of estradiol vaginal inserts that is most comfortable for you. For insertion in the lying down position, see Figure C. For insertion in the standing position, see Figure D.



Step 5: Gently insert the end of the applicator into your vagina as far as it will comfortably go or until half of the applicator is inside your vagina, whichever is less. Do not use force. If the insert falls out of the applicator before insertion, throw away (dispose of) the insert and applicator. Get a new applicator.

Step 6: While holding the applicator in place, gently press the applicator plunger with your index (pointer) finger until it stops, to release the insert into your vagina. The insert will dissolve.

Step 7: Gently remove the applicator from your vagina and throw away (dispose of) after use. Insertion may be done at any time of the day. It is advisable to use the same time daily for all applications of estradiol vaginal inserts. If you have any questions, please ask your healthcare provider or pharmacist.

How should I store estradiol vaginal inserts?

  • Store estradiol vaginal inserts at room temperature between 68°F to 77°F (20°C to 25°C).
  • Do not refrigerate.

Keep estradiol vaginal inserts and all medicines out of the reach of children.

This Instructions for Use has been approved by the U.S. Food and Drug Administration.

Manufactured For:

Teva Pharmaceuticals

Parsippany, NJ 07054

Rev. F 4/2024

10 Overdosage (10 OVERDOSAGE)

Overdosage of estrogen may cause nausea, vomiting, breast tenderness, abdominal pain, drowsiness and fatigue, and withdrawal bleeding may occur in women. Treatment of overdose consists of discontinuation of estradiol therapy with institution of appropriate symptomatic care.

15 References (15 REFERENCES)
  • Rossouw JE, et al. Postmenopausal Hormone Therapy and Risk of Cardiovascular Disease by Age and Years Since Menopause. JAMA. 2007; 297:1465-1477.
  • Hsia J, et al. Conjugated Equine Estrogens and Coronary Heart Disease. Arch Int Med. 2006; 166:357-365.
  • Curb JD, et al. Venous Thrombosis and Conjugated Equine Estrogen in Women Without a Uterus. Arch Int Med. 2006; 166:772-780.
  • Cushman M, et al. Estrogen Plus Progestin and Risk of Venous Thrombosis. JAMA. 2004; 292:1573-1580.
  • Stefanick ML, et al. Effects of Conjugated Equine Estrogens on Breast Cancer and Mammography Screening in Postmenopausal Women With Hysterectomy. JAMA. 2006; 295:1647-1657.
  • Chlebowski RT, et al. Influence of Estrogen Plus Progestin on Breast Cancer and Mammography in Healthy Postmenopausal Women. JAMA. 2003; 289:3234-3253.
  • Anderson GL, et al. Effects of Estrogen Plus Progestin on Gynecologic cancers and Associated Diagnostic Procedures. JAMA. 2003; 290:1739-1748.
  • Shumaker SA, et al. Conjugated Equine Estrogens and Incidence of Probable Dementia and Mild Cognitive Impairment in Postmenopausal Women. JAMA. 2004; 291:2947-2958.
  • Jackson RD, et al. Effects of Conjugated Equine Estrogen on Risk of Fractures and BMD in Postmenopausal Women With Hysterectomy: Results From the Women’s Health Initiative Randomized Trial. J Bone Miner Res. 2006; 21:817-828.
  • Hendrix SL, et al. Effects of Conjugated Equine Estrogen on Stroke in the Women’s Health Initiative. Circulation. 2006; 113:2425-2434.
8.1 Pregnancy

Risk Summary

Estradiol vaginal inserts are not indicated for use in pregnancy. There are no data with the use of estradiol vaginal inserts in pregnant women; however, epidemiologic studies and meta-analyses have not found an increased risk of genital or nongenital birth defects (including cardiac anomalies and limb-reduction defects) following exposure to combined hormonal contraceptives (estrogens and progestins) before conception or during early pregnancy.

In the U.S. general population, the estimated background risk of major birth defects and miscarriage in clinically recognized pregnancies is 2% to 4% and 15% to 20%, respectively.

8.2 Lactation

Risk Summary

Estrogens are present in human milk and can reduce milk production in breastfeeding females. This reduction can occur at any time but is less likely to occur once breastfeeding is well-established. The developmental and health benefits of breastfeeding should be considered along with the mother’s clinical need for estradiol vaginal inserts and any potential adverse effects on the breastfed child from estradiol vaginal inserts or from the underlying maternal condition.

11 Description (11 DESCRIPTION)

Estradiol vaginal inserts USP, 10 mcg are white to off-white, round, film-coated, unscored, biconvex inserts containing 10.3 mcg of estradiol hemihydrate, USP equivalent to 10 mcg of estradiol. Each 10 mcg estradiol vaginal insert contains the following excipients: corn starch, hypromellose, lactose monohydrate, magnesium stearate, and polyethylene glycol. Each estradiol vaginal insert is 6 mm in diameter and is placed in a disposable applicator. Each insert-filled applicator is packaged separately in a blister pack. Estradiol vaginal inserts are used intravaginally. When the insert comes in contact with the vaginal mucosa, estradiol is released into the vagina.

Estradiol hemihydrate, USP is white to practically white crystals or powder and chemically described as estra1,3,5 (10)-triene-3,17β-diol, hydrate (2:1).

The structural formula is:

C18H24O2 .1/2 H2O M.W. 281.4 (Estradiol hemihydrate, USP)

FDA approved dissolution test specifications differ from USP.

5.14 Hypocalcemia

Estrogen-induced hypocalcemia may occur in women with hypoparathyroidism. Consider whether the benefits of estrogen therapy, including estradiol vaginal inserts, outweigh the risks in such women.

5.6 Hypercalcemia

Estrogen administration may lead to severe hypercalcemia in women with breast cancer and bone metastases. Discontinue estrogens, including estradiol vaginal inserts if hypercalcemia occurs, and take appropriate measures to reduce the serum calcium level.

8.4 Pediatric Use

Estradiol vaginal inserts are not indicated for use in pediatric patients. Clinical studies have not been conducted in the pediatric population.

8.5 Geriatric Use

There have not been sufficient numbers of geriatric women involved in clinical studies utilizing estradiol vaginal inserts to determine whether those over 65 years of age differ from younger subjects in their response to estradiol vaginal inserts.

The Women’s Health Initiative Studies

In the WHI estrogen-alone substudy (daily CE [0.625 mg]-alone versus placebo), there was a higher relative risk of stroke in women greater than 65 years of age [see Clinical Studies (14.2)].

In the WHI estrogen plus progestin substudy (daily CE [0.625 mg] plus MPA [2.5 mg] versus placebo), there was a higher relative risk of nonfatal stroke and invasive breast cancer in women greater than 65 years of age [see Clinical Studies (14.2)].

The Women’s Health Initiative Memory Study

In the WHIMS ancillary studies of postmenopausal women 65 to 79 years of age, there was an increased risk of developing probable dementia in women receiving estrogen-alone or estrogen plus progestin when compared to placebo [see Warnings and Precautions (5.4), and Clinical Studies (14.3)].

Since both ancillary studies were conducted in women 65 to 79 years of age, it is unknown whether these findings apply to younger postmenopausal women [see Warnings and Precautions (5.4), and Clinical Studies (14.3)].

4 Contraindications (4 CONTRAINDICATIONS)

Estradiol vaginal inserts is contraindicated in women with any of the following conditions:

  • Undiagnosed abnormal genital bleeding [see Warnings and Precautions (5.3)].
  • Breast cancer or a history of breast cancer [see Warnings and Precautions (5.3)].
  • Estrogen-dependent neoplasia [see Warnings and Precautions (5.3)].
  • Active DVT, PE, or history of these conditions [see Warnings and Precautions (5.2)].
  • Active arterial thromboembolic disease (for example, stroke or MI), or a history of these conditions [see Warnings and Precautions (5.2)].
  • Known anaphylactic reaction, or angioedema, or hypersensitivity to estradiol vaginal inserts [see Warnings and Precautions (5.16)].
  • Hepatic impairment or disease.
  • Protein C, protein S, or antithrombin deficiency, or other known thrombophilic disorders.
5.18 Local Abrasion

A few cases of local abrasion induced by the estradiol applicator have been reported, especially in women with severely atrophic vaginal mucosa.

6 Adverse Reactions (6 ADVERSE REACTIONS)

The following serious adverse reactions are discussed elsewhere in the labeling:

7 Drug Interactions (7 DRUG INTERACTIONS)

In vitro and in vivo studies have shown that estrogens are metabolized partially by cytochrome P450 3A4 (CYP3A4). Therefore, inducers or inhibitors of CYP3A4 may affect estrogen drug metabolism. Inducers of CYP3A4, such as St. John’s wort (Hypericum perforatum) preparations, phenobarbital, carbamazepine, and rifampin, may reduce plasma concentrations of estrogens, possibly resulting in a decrease in therapeutic effects and/or changes in the uterine bleeding profile. Inhibitors of CYP3A4 such as erythromycin, clarithromycin, ketoconazole, itraconazole, ritonavir and grapefruit juice may increase plasma concentrations of estrogens and may result in adverse reactions.

5.13 Fluid Retention

Estrogens may cause some degree of fluid retention. Monitor any woman with a condition(s) that might predispose her to fluid retention, such as a cardiac or renal impairment. Discontinue estrogen-alone therapy, including estradiol vaginal inserts, with evidence of medically concerning fluid retention.

12.2 Pharmacodynamics

Generally, a serum concentration does not predict an individual woman’s therapeutic response to estradiol vaginal inserts nor her risk for adverse outcomes. Likewise, exposure comparisons across different estrogen products to infer efficacy or safety for the individual woman may not be valid.

12.3 Pharmacokinetics

Absorption

Estrogen drug products are well absorbed through the skin, mucous membranes, and the gastrointestinal tract. The vaginal delivery of estrogens circumvents first-pass metabolism.

In a single-center, randomized, open-label, multiple-dose study conducted in 29 patients, estradiol vaginal inserts 10 mcg demonstrated a mean estradiol (E2) Cave at Day 83 of 5.5 pg/mL after 12 weeks of treatment (see Table 2).

Table 2: Arithmetic Means of Estradiol (E2), Estrone (E1), and Estrone Sulfate (E1S) PK Parameters Following Multiple Dosesa of Estradiol 10 mcg

Uncorrected for baseline, N=29

E2

E1

E1S

AUC0-24

Cave (0-24)

%CVb

AUC0-24

Cave (0-24)

%CVb

AUC0-24

Cave (0-24)

%CVb

(h.pg/mL)

(pg/mL)

(h.pg/mL)

(pg/mL)

(h.pg/mL)

(pg/mL)

Day 1

242.08

10.09

33.02

485.21

20.22

44.86

5158.32

214.93

53.57

Day

176.49

7.35

43.69

496.14

20.67

30.88

6323.41

263.48

50.07

14

Day

132.04

5.50

59.69

411.08

17.13

39.58

3804.65

158.53

49.76

83

a Patients received vaginal inserts as a once daily intravaginal treatment for the first 2 weeks and a twice weekly intravaginal maintenance for the following 10 weeks.

b CV: Coefficient of Variance for both AUC0-24 and Cave(0-24)

Distribution

The distribution of exogenous estrogens is similar to that of endogenous estrogens. Estrogens are widely distributed in the body and are generally found in higher concentrations in the sex hormone target organs. Estrogens circulate in the blood largely bound to SHBG and albumin.

Metabolism

Exogenous estrogens are metabolized in the same manner as endogenous estrogens. Circulating estrogens exist in a dynamic equilibrium of metabolic interconversions. These transformations take place mainly in the liver. Estradiol is converted reversibly to estrone, and both can be converted to estriol, which is the major urinary metabolite. Estrogens also undergo enterohepatic recirculation via sulfate and glucuronide conjugation in the liver, biliary secretion of conjugates into the intestine, and hydrolysis in the gut followed by reabsorption. In postmenopausal women, a significant portion of the circulating estrogens exist as sulfate conjugates, especially estrone sulfate, which serves as a circulating reservoir for the formation of more active estrogens.

Excretion

Estradiol, estrone, and estriol are excreted in the urine along with glucuronide and sulfate conjugates.

5.19 Laboratory Tests

Serum follicle stimulating hormone (FSH) and estradiol levels have not been shown to be useful in the management of postmenopausal women with moderate to severe symptoms of vulvar and vaginal atrophy.

5.4 Probable Dementia

In the WHI Memory Study (WHIMS) estrogen-alone ancillary study a population of 2,947 hysterectomized women 65 to 79 years of age was randomized to daily CE (0.625 mg)-alone or placebo.

After an average follow-up of 5.2 years, 28 women in the estrogen-alone group and 19 women in the placebo group were diagnosed with probable dementia. The relative risk of probable dementia for CE-alone versus placebo was 1.49 (95 percent CI, 0.83 to 2.66). The absolute risk of probable dementia for CE-alone versus placebo was 37 versus 25 cases per 10,000 women-years [see Use in Specific Populations (8.5), and Clinical Studies (14.3)].

In the WHIMS estrogen plus progestin ancillary study, a population of 4,532 postmenopausal women 65 to 79 years of age was randomized to daily CE (0.625 mg) plus MPA (2.5 mg) or placebo. After an average follow-up of 4 years, 40 women in the CE plus MPA group and 21 women in the placebo group were diagnosed with probable dementia. The relative risk of probable dementia for CE plus MPA versus placebo was 2.05 (95 percent CI, 1.21 to 3.48). The absolute risk of probable dementia for CE plus MPA versus placebo was 45 versus 22 cases per 10,000 women-years [see Use in Specific Populations (8.5), and Clinical Studies (14.3)].

When data from the two populations in the WHIMS estrogen-alone and estrogen plus progestin ancillary studies were pooled as planned in the WHIMS protocol, the reported overall relative risk for probable dementia was 1.76 (95 percent CI, 1.19 to 2.60). Since both ancillary studies were conducted in women 65 to 79 years of age, it is unknown whether these findings apply to younger postmenopausal women [see Use in Specific Populations (8.5), and Clinical Studies (14.3)].

1 Indications and Usage (1 INDICATIONS AND USAGE)
  • Estradiol vaginal inserts are an estrogen indicated for the treatment of atrophic vaginitis due to menopause (1.1)
5.3 Malignant Neoplasms

Endometrial Cancer

An increased risk of endometrial cancer has been reported with the use of unopposed estrogen therapy in a woman with a uterus. The reported endometrial cancer risk among unopposed estrogen users is about 2- to 12- fold greater than in non-users, and appears dependent on duration of treatment and on estrogen dose. Most studies show no significant increased risk associated with use of estrogens for less than 1 year. The greatest risk appears associated with prolonged use, with an increased risk of 15- to 24-fold for 5 to 10 years or more and this risk has been shown to persist for at least 8 to 15 years after estrogen therapy is discontinued.

Clinical surveillance of all women using estrogen-alone or estrogen plus progestogen therapy is important. Perform adequate diagnostic measures, including directed or random endometrial sampling when indicated, to rule out malignancy in postmenopausal women with undiagnosed persistent or recurring abnormal genital bleeding with unknown etiology.

There is no evidence that the use of natural estrogens results in a different endometrial risk profile than synthetic estrogens of equivalent estrogen dose. Adding a progestogen to estrogen therapy in postmenopausal women has been shown to reduce the risk of endometrial hyperplasia, which may be a precursor to endometrial cancer.

Breast Cancer

The WHI substudy of daily CE (0.625 mg)-alone provided information about breast cancer in estrogen-alone users. In the WHI estrogen-alone substudy, after an average follow-up of 7.1 years, daily CE-alone was not associated with an increased risk of invasive breast cancer [relative risk (RR) 0.80] compared to placebo [see Clinical Studies (14.2)].

After a mean follow-up of 5.6 years, the WHI substudy of daily CE (0.625 mg) plus MPS (2.5 mg) reported an increased risk of invasive breast cancer in women who took daily CE plus MPA compared to placebo. In this substudy, prior use of estrogen-alone or estrogen plus progestin therapy was reported by 26 percent of the women. The relative risk of invasive breast cancer was 1.24, and the absolute risk was 41 versus 33 cases per 10,000 women-years, for CE plus MPA compared with placebo. Among women who reported prior use of hormone therapy, the relative risk of invasive breast cancer was 1.86, and the absolute risk was 46 versus 25 cases per 10,000 women-years, for CE plus MPA compared with placebo. Among women who reported no prior use of hormone therapy, the relative risk of invasive breast cancer was 1.09, and the absolute risk was 40 versus 36 cases per 10,000 women-years for CE plus MPA compared with placebo. In the same substudy, invasive breast cancers were larger, were more likely to be node positive, and were diagnosed at a more advanced stage in the CE (0.625 mg) plus MPA (2.5 mg) group compared with the placebo group. Metastatic disease was rare, with no apparent difference between the two groups. Other prognostic factors, such as histologic subtype, grade and hormone receptor status did not differ between the groups [see Clinical Studies (14.2)].

Consistent with the WHI clinical trials, observational studies have also reported an increased risk of breast cancer with estrogen plus progestin therapy, and a smaller increased risk for estrogen-alone therapy, after several years of use. Extension of the WHI trials also demonstrated increased breast cancer risk associated with systemic estrogen plus progestin therapy. Observational studies also suggest that the risk of breast cancer was greater, and became apparent earlier, with estrogen plus progestin therapy as compared to estrogen-alone therapy. These studies have not generally found significant variation in the risk of breast cancer among different estrogen plus progestin combinations, doses, or routes of administration. One large meta-analysis of prospective cohort studies reported increased risks that were dependent upon duration of use of systemic estrogen plus progestin therapy and systemic estrogen-alone therapy. These risks could last up to >10 years after discontinuation of these systemic therapies depending on the duration of use. There was no increase in risk of developing breast cancer in women taking vaginal estrogens.

The use of estrogen-alone and estrogen plus progestin therapy has been reported to result in an increase in abnormal mammograms requiring further evaluation.

All women should receive yearly breast examinations by a healthcare provider and perform monthly breast self-examinations. In addition, mammography examinations should be scheduled based on patient age, risk factors, and prior mammogram results.

Ovarian Cancer

The CE plus MPA substudy of WHI reported that estrogen plus progestin increased risk of ovarian cancer. After an average follow-up of 5.6 years, the relative risk for ovarian cancer for CE plus MPA versus placebo was 1.58 (95 percent CI, 0.77 to 3.24), but it was not statistically significant. The absolute risk for CE plus MPA versus placebo was 4 versus 3 cases per 10,000 women-years.7

A meta-analysis of 17 prospective and 35 retrospective epidemiology studies found that women who used hormonal therapy for menopausal symptoms had an increased risk for ovarian cancer. The primary analysis, using case-control comparisons, included 12,110 cancer cases from the 17 prospective studies. The relative risks associated with current use of hormonal therapy was 1.41 (95% confidence interval [CI] 1.32 to 1.50); there was no difference in the risk estimates by duration of the exposure (less than 5 years [median of 3 years] vs. greater than 5 years [median of 10 years] of use before the cancer diagnosis). The relative risk associated with combined current and recent use (discontinued use within 5 years before cancer diagnosis) was 1.37 (95% CI 1.27 to 1.48), and the elevated risk was significant for both estrogen-alone and estrogen plus progestin products. The exact duration of hormone therapy use associated with an increased risk of ovarian cancer, however, is unknown.

5.5 Gallbladder Disease

A 2- to 4-fold increase in the risk of gallbladder disease requiring surgery in postmenopausal women receiving estrogens has been reported.

12.1 Mechanism of Action

Endogenous estrogens are largely responsible for the development and maintenance of the female reproductive system and secondary sexual characteristics. Although circulating estrogens exist in a dynamic equilibrium of metabolic interconversions, estradiol is the principal intracellular human estrogen and is substantially more potent than its metabolites, estrone and estriol, at the receptor level.

The primary source of estrogen in normally cycling adult women is the ovarian follicle, which secretes 70 to 500 mcg of estradiol daily, depending on the phase of the menstrual cycle. After menopause, most endogenous estrogen is produced by conversion of androstenedione, secreted by the adrenal cortex, to estrone in the peripheral tissues. Thus, estrone and the sulfate conjugated form, estrone sulfate, are the most abundant circulating estrogens in postmenopausal women.

Estrogens act through binding to nuclear receptors in estrogen-responsive tissues. To date, two estrogen receptors have been identified. These vary in proportion from tissue to tissue.

Circulating estrogens modulate the pituitary secretion of the gonadotropins, luteinizing hormone (LH), and FSH, through a negative feedback mechanism. Estrogens act to reduce the elevated levels of these hormones seen in postmenopausal women.

5.7 Visual Abnormalities

Retinal vascular thrombosis has been reported in women receiving estrogens. Discontinue estradiol vaginal inserts pending examination if there is a sudden partial or complete loss of vision, or a sudden onset of proptosis, diplopia, or migraine. Permanently discontinue estrogens, including estradiol vaginal inserts, if examination reveals papilledema or retinal vascular lesions.

5 Warnings and Precautions (5 WARNINGS AND PRECAUTIONS)
  • Estrogens increase the risk of gallbladder disease (5.5)
  • Discontinue estrogen if severe hypercalcemia, loss of vision, severe hypertriglyceridemia or cholestatic jaundice occurs (5.6, 5.7, 5.10, 5.11)
  • The estradiol vaginal inserts applicator may cause vaginal abrasion (5.18)
  • Monitor thyroid function in women on thyroid replacement therapy (5.12, 5.19)
5.16 Hereditary Angioedema

Exogenous estrogens may exacerbate symptoms of angioedema in women with hereditary angioedema. Consider whether the benefits of estrogen therapy, including estradiol vaginal inserts, outweigh the risk in such women.

2 Dosage and Administration (2 DOSAGE AND ADMINISTRATION)

Generally, when estrogen is prescribed for a postmenopausal woman with a uterus, consider addition of a progestogen to reduce the risk of endometrial cancer.

Generally, a woman without a uterus does not need to use a progestogen in addition to her estrogen therapy. In some cases, however, hysterectomized women with a history of endometriosis may need a progestogen [see Warnings and Precautions (5.3, 5.15)].

Use estrogen-alone, or in combination with a progestogen, at the lowest effective dose and for the shortest duration consistent with treatment goals and risks for the individual woman. Reevaluate postmenopausal women periodically as clinically appropriate to determine if treatment is still necessary.

5.9 Elevated Blood Pressure

In a small number of case reports, substantial increases in blood pressure have been attributed to idiosyncratic reactions to estrogens. In a large, randomized, placebo-controlled clinical trial, a generalized effect of estrogens on blood pressure was not seen.

3 Dosage Forms and Strengths (3 DOSAGE FORMS AND STRENGTHS)

Estradiol vaginal inserts, USP are white to off-white, round, film-coated, unscored, biconvex inserts containing 10 mcg of estradiol. Each vaginal insert is 6 mm in diameter and is administered in a disposable applicator.

5.2 Cardiovascular Disorders

Increased risks of stroke and DVT are reported with estrogen-alone therapy. Increased risks of PE, DVT, stroke, and MI are reported with estrogen plus progestin therapy. Immediately discontinue estrogen with or without progestogen therapy if any of these occur or are suspected.

Manage appropriately any risk factors for arterial vascular disease (for example, hypertension, diabetes mellitus, tobacco use, hypercholesterolemia, and obesity) and/or venous thromboembolism (VTE) (for example, personal history or family history of VTE, obesity, and systemic lupus erythematosus).

Stroke

The WHI estrogen-alone substudy reported a statistically significant increased risk of stroke in women 50 to 79 years of age receiving daily CE (0.625 mg)-alone compared to women in the same age group receiving placebo (45 versus 33 per 10,000 women-years, respectively). The increase in risk was demonstrated in year 1 and persisted [see Clinical Studies (14.2)]. Immediately discontinue estrogen-alone therapy if a stroke occurs or is suspected.

Subgroup analyses of women 50 to 59 years of age suggest no increased risk of stroke for those women receiving CE (0.625 mg)-alone versus those receiving placebo (18 versus 21 per 10,000 women-years).1

The WHI estrogen plus progestin substudy reported a statistically significant increased risk of stroke in women 50 to 79 years of age receiving daily CE (0.625 mg) plus MPA (2.5 mg) compared to women in the same age group receiving placebo (33 versus 25 per 10,000 women-years, respectively) [see Clinical Studies (14.2)]The increase in risk was demonstrated after the first year and persisted.1 Immediately discontinue estrogen with or without progestogen therapy if a stroke occurs or is suspected.

Coronary Heart Disease

The WHI estrogen-alone substudy reported no overall effect on coronary heart disease (CHD) events (defined as nonfatal MI, silent MI, or CHD death) in women receiving estrogen-alone compared to placebo [see Clinical Studies (14.2)].

Subgroup analysis of women 50 to 59 years of age, who were less than 10 years since menopause, suggests a reduction (not statistically significant) of CHD events in those women receiving daily CE (0.625 mg)-alone compared to placebo (8 versus 16 per 10,000 women-years).1

The WHI estrogen plus progestin substudy reported an increased risk (not statistically significant) of CHD events in women receiving daily CE (0.625 mg) plus MPA (2.5 mg) compared to women receiving placebo (41 versus 34 per 10,000 women-years).1 An increase in relative risk was demonstrated in year 1, and a trend toward decreasing relative risk was reported in years 2 through 5 [see Clinical Studies (14.2)].

In postmenopausal women with documented heart disease (n=2,763), average 66.7 years of age, in a controlled clinical trial of secondary prevention of cardiovascular disease (Heart and Estrogen/Progestin Replacement Study; HERS), treatment with daily CE (0.625 mg) plus MPA (2.5 mg) demonstrated no cardiovascular benefit. During an average follow-up of 4.1 years, treatment with CE plus MPA did not reduce the overall rate of CHD events in postmenopausal women with established CHD. There were more CHD events in the CE plus

MPA-treated group than in the placebo group in year 1, but not during the subsequent years. Two thousand, three hundred and twenty-one (2,321) women from the original HERS trial agreed to participate in an open label extension of the original HERS, HERS II. Average follow-up in HERS II was an additional 2.7 years, for a total of 6.8 years overall. Rates of CHD events were comparable among women in the CE plus MPA group and the placebo group in HERS, HERS II, and overall.

Venous Thromboembolism

In the WHI estrogen-alone substudy, the risk of VTE (DVT and PE) was increased for women receiving daily CE (0.625 mg)-alone compared to placebo (30 versus 22 per 10,000 women-years), although only the increased risk of DVT reached statistical significance (23 versus 15 per 10,000 women-years). The increase in VTE risk was demonstrated during the first 2 years [see Clinical Studies (14.2)] Immediately discontinue estrogen-alone therapy if a VTE occurs or is suspected.

The WHI estrogen plus progestin substudy reported a statistically significant 2-fold greater rate of VTE in women receiving daily CE (0.625 mg) plus MPA (2.5 mg) compared to women receiving placebo (35 versus 17 per 10,000 women-years). Statistically significant increases in risk for both DVT (26 versus 13 per 10,000 women-years) and PE (18 versus 8 per 10,000 women-years) were also demonstrated. The increase in VTE risk was demonstrated during the first year and persisted [see Clinical Studies (14.2)] Immediately discontinue estrogen plus progestogen therapy if a VTE occurs or is suspected.

If feasible, discontinue estrogens at least 4 to 6 weeks before surgery of the type associated with an increased risk of thromboembolism, or during periods of prolonged immobilization.

6.2 Postmarketing Experience

The following adverse reactions have been identified during post-approval use of estradiol 10 mcg. Because these reactions are reported voluntarily from a population of uncertain size, it is not always possible to reliably estimate their frequency or establish a causal relationship to drug exposure.

Gastrointestinal disorders

Diarrhea

General disorders and administration site conditions

Drug ineffective

Immune system disorders

Hypersensitivity

Investigations

Blood estrogen increased

Weight increased 

Metabolism and nutrition disorders

Fluid retention

Neoplasms benign and malignant

Breast cancer

Endometrial cancer

Psychiatric disorders

Depression

Insomnia

Central Nervous System

Aggravated migraine

Reproductive system and breast disorders

Endometrial hyperplasia

Vulvovaginal burning sensation

Vulvovaginal pain

Genital pruritus

Vulvovaginal rash

Vulvovaginal swelling

Vaginismus

Vaginal ulceration

Skin and subcutaneous tissue disorders

Rash

Rash erythematous

Rash pruritic

Urticaria

Vascular disorders

Deep vein thrombosis

6.1 Clinical Trials Experience

Because clinical trials are conducted under widely varying conditions, adverse reaction rates observed in the clinical trials of a drug cannot be directly compared to rates in the clinical trials of another drug and may not reflect the rates observed in practice.

In a 12-month randomized, double-blind, parallel group, placebo-controlled study, a total of 309 postmenopausal women were randomized to receive either placebo or estradiol 10 mcg vaginal inserts. Adverse reactions with an incidence of ≥5 percent in the estradiol 10 mcg group and greater than those reported in the placebo group are listed in Table 1.

Table 1: Treatment-Emergent Adverse Reactions Reported at a Frequency of ≥ 5 Percent in Women Receiving Estradiol 10 mcg

Body System

Adverse Reaction

Treatment

Number (%) of Women

Placebo

N = 103

n (%)

Estradiol

N = 205

n (%)

Body As A Whole

Back Pain

2 (2)

14 (7)

Digestive System

Diarrhea

0

11 (5)

Urogenital System

Vulvovaginal Mycotic Infection

3 (3)

17 (8)

Vulvovaginal Pruritus

2 (2)

16 (8)

N = Total number of women in study.

n = Number of women who experienced adverse reactions.

17 Patient Counseling Information (17 PATIENT COUNSELING INFORMATION)

Advise women to read the FDA-approved patient labeling (Patient Information and Instructions for Use).

Vaginal Bleeding

Inform postmenopausal women to report any vaginal bleeding to their healthcare provider as soon as possible [see Warnings and Precautions ( 5.3 )].

Possible Serious Adverse Reactions with Estrogen-Alone Therapy

Inform postmenopausal women of possible serious adverse reactions of estrogen-alone therapy including Cardiovascular Disorders, Malignant Neoplasms, and Probable Dementia [see Warnings and Precautions ( 5.25.35.4 )].

Possible Common Adverse Reactions with Estrogen-Alone Therapy

Inform postmenopausal women of possible less serious but common adverse reactions of estrogen-alone therapy such as headache, breast pain and tenderness, nausea and vomiting.

Manufactured For:

Teva Pharmaceuticals

Parsippany, NJ 07054

Rev. F 4/2024

5.1 Risks From Systemic Absorption (5.1 Risks from Systemic Absorption)

Estradiol vaginal inserts are intended only for vaginal administration. Systemic absorption occurs with the use of estradiol vaginal inserts. The warnings, precautions, and adverse reactions associated with the use of systemic estrogen-alone therapy should be taken into account.

5.15 Exacerbation of Endometriosis

A few cases of malignant transformation of residual endometrial implants have been reported in women treated post-hysterectomy with estrogen-alone therapy. Consider the addition of progestogen therapy for women known to have residual endometriosis post-hysterectomy.

16 How Supplied/storage and Handling (16 HOW SUPPLIED/STORAGE AND HANDLING)

16.1 How Supplied

Estradiol vaginal inserts USP, 10 mcg, are white to off-white, round, film-coated, unscored, biconvex inserts, debossed with "TV" on one side and "T5" on the other side. Each insert is contained in a disposable, single-use applicator, packaged in a blister pack. Cartons contain 18 applicators with inset inserts.

Estradiol vaginal inserts USP, 10 mcg:

  • 18 applicators: NDC: 63629-8804-1

Keep out of reach of children

16.2 Storage and Handling

Store at 20° to 25°C (68° to 77°F) [See USP Controlled Room Temperature].

Do not refrigerate.

Repackaged/Relabeled by:

Bryant Ranch Prepack, Inc.

Burbank, CA 91504

5.17 Exacerbation of Other Conditions

Estrogen therapy may cause an exacerbation of asthma, diabetes mellitus, epilepsy, migraine, porphyria, systemic lupus erythematosus, and hepatic hemangiomas. Consider whether the benefits of estrogen therapy outweigh the risks in women with such conditions.

5.12  exacerbation Of hypothyroidism (5.12  Exacerbation of Hypothyroidism)

Estrogen administration leads to increased thyroid-binding globulin (TBG) levels. Women with normal thyroid function can compensate for the increased TBG by making more thyroid hormone, thus maintaining free T4 and T3 serum concentrations in the normal range. Women dependent on thyroid hormone replacement therapy who are also receiving estrogens may require increased doses of their thyroid replacement therapy. Monitor thyroid function in these women during treatment with estradiol vaginal inserts to maintain their free thyroid hormone levels in an acceptable range.

5.20 Drug Laboratory Test Interactions (5.20 Drug-Laboratory Test Interactions)
  • Accelerated prothrombin time, partial thromboplastin time, and platelet aggregation time; increased platelet count; increased factors II, VII antigen, VIII antigen, VIII coagulant activity, IX, X, XII, VII-X complex, II-VII-X complex, and beta-thromboglobulin; decreased levels of antifactor Xa and antithrombin III, decreased antithrombin III activity; increased levels of fibrinogen and fibrinogen activity; increased plasminogen antigen and activity.
  • Increased thyroid-binding globulin (TBG) levels leading to increased circulating total thyroid hormone as measured by protein-bound iodine (PBI), T4 levels (by column or by radioimmunoassay) or T3 levels by radioimmunoassay. T3 resin uptake is decreased, reflecting the elevated TBG. Free T4 and free T3 concentrations are unaltered. Women on thyroid replacement therapy may require higher doses of thyroid hormone.
  • Other binding proteins may be elevated in serum, for example, corticosteroid binding globulin (CBG), sex hormone-binding globulin (SHBG), leading to increased total circulating corticosteroids and sex steroids, respectively. Free hormone concentrations, such as testosterone and estradiol, may be decreased. Other plasma proteins may be increased (angiotensinogen/renin substrate, alpha-1-antitrypsin, ceruloplasmin).
  • Increased plasma high-density lipoprotein (HDL) and HDL2 cholesterol subfraction concentrations, reduced low-density lipoprotein (LDL) cholesterol concentrations, increased triglyceride levels.
  • Impaired glucose tolerance.
14.2 Women’s Health Initiative Studies

The WHI enrolled approximately 27,000 predominantly healthy postmenopausal women in two substudies to assess the risks and benefits of daily oral CE (0.625 mg)-alone or in combination with MPA (2.5 mg) compared to placebo in the prevention of certain chronic diseases. The primary endpoint was the incidence of CHD (defined as nonfatal MI, silent MI and CHD death), with invasive breast cancer as the primary adverse outcome. A “global index” included the earliest occurrence of CHD, invasive breast cancer, stroke, PE, endometrial cancer (only in the CE plus MPA substudy), colorectal cancer, hip fracture, or death due to other causes. These substudies did not evaluate the effects of CE-alone or CE plus MPA on menopausal symptoms.

WHI Estrogen-Alone Substudy

The WHI estrogen-alone substudy was stopped early because an increased risk of stroke was observed, and it was deemed that no further information would be obtained regarding the risks and benefits of estrogen-alone in predetermined primary endpoints.

Results of the estrogen-alone substudy, which included 10,739 women (average 63 years of age, range 50 to 79; 75.3 percent White, 15.1 percent Black, 6.1 percent Hispanic, 3.6 percent Other) after an average follow-up of 7.1 years, are presented in Table 4.

Table 4: Relative and Absolute Risk Seen in the Estrogen-Alone Substudy of WHIa

Event

Relative Risk

CE

Placebo

CE vs. Placebo

n = 5,310

n = 5,429

(95% nCIb)

Absolute Risk per 10,000 Women-Years

CHD eventsc

0.95 (0.78 to 1.16)

54

57

Non-fatal MIc

0.91 (0.73 to 1.14)

40

43

CHD deathc

1.01 (0.71 to 1.43)

16

16

All Strokesc

1.33 (1.05 to 1.68)

45

33

Ischemic strokec

1.55 (1.19 to 2.01)

38

25

Deep vein thrombosisc,d

1.47 (1.06 to 2.06)

23

15

Pulmonary embolismc

1.37 (0.90 to 2.07)

14

10

Invasive breast cancerc

0.80 (0.62 to 1.04)

28

34

Colorectal cancere

1.08 (0.75 to 1.55)

17

16

Hip fracturec

0.65 (0.45 to 0.94)

12

19

Vertebral fracturesc,d

0.64 (0.44 to 0.93)

11

18

Lower arm/wrist fracturesc,d

0.58 (0.47 to 0.72)

35

59

Total fracturesc,d

0.71 (0.64 to 0.80)

144

197

Death due to other causese,f

1.08 (0.88 to 1.32)

53

50

Overall mortalityc,d

1.04 (0.88 to 1.22)

79

75

Global Indexg

1.02 (0.92 to 1.13)

206

201

a Adapted from numerous WHI publications. WHI publications can be viewed at www.nhlbi.nih.gov/whi.

b Nominal confidence intervals unadjusted for multiple looks and multiple comparisons.

c Results are based on centrally adjudicated data for an average follow-up of 7.1 years.

d Not included in “global index”.

e Results are based on an average follow-up of 6.8 years.

f All deaths, except from breast or colorectal cancer, definite or probable CHD, PE or cerebrovascular disease.

     g A subset of the events was combined in a “global index”, defined as the earliest occurrence of CHD events, invasive breast cancer, stroke, pulmonary embolism, colorectal cancer, hip fracture, or death due to other causes.

For those outcomes included in the WHI “global index” that reached statistical significance, the absolute excess risk per 10,000 women-years in the group treated with CE-alone was 12 more strokes while the absolute risk reduction per 10,000 women-years was 7 fewer hip fractures.9 The absolute excess risk of events included in the “global index” was a non-significant 5 events per 10,000 women-years. There was no difference between the groups in terms of all-cause mortality.

No overall difference for primary CHD events (nonfatal MI, silent MI and CHD death) and invasive breast cancer incidence in women receiving CE-alone compared with placebo was reported in final centrally adjudicated results from the estrogen-alone substudy, after an average follow up of 7.1 years.

Centrally adjudicated results for stroke events from the estrogen-alone substudy, after an average follow-up of 7.1 years, reported no significant difference in distribution of stroke subtype or severity, including fatal strokes, in women receiving CE-alone compared to placebo. Estrogen-alone increased the risk for ischemic stroke, and this excess risk was present in all subgroups of women examined.10

Timing of the initiation of estrogen-alone therapy relative to the start of menopause may affect the overall risk benefit profile. The WHI estrogen-alone substudy, stratified by age, showed in women 50 to 59 years of age a non-significant trend toward reduced risk for CHD [hazard ratio (HR) 0.63 (95 percent CI, 0.36 to 1.09)] and overall mortality [HR 0.71 (95 percent CI, 0.46 to 1.11)].

WHI Estrogen Plus Progestin Substudy

The WHI estrogen plus progestin substudy was stopped early. According to the predefined stopping rule, after an average follow-up of 5.6 years of treatment, the increased risk of invasive breast cancer and cardiovascular events exceeded the specified benefits included in the “global index.” The absolute excess risk of events included in the “global index” was 19 per 10,000 women-years.

For those outcomes included in the WHI “global index” that reached statistical significance after 5.6 years of follow-up, the absolute excess risks per 10,000 women-years in the group treated with CE plus MPA were 7 more CHD events, 8 more strokes, 10 more PEs, and 8 more invasive breast cancers, while the absolute risk reductions per 10,000 women-years were 6 fewer colorectal cancers and 5 fewer hip fractures.

Results of the CE plus MPA substudy, which included 16,608 women (average 63 years of age, range 50 to 79; 83.9 percent White, 6.8 percent Black, 5.4 percent Hispanic, 3.9 percent Other) are presented in Table 5. These results reflect centrally adjudicated data after an average follow-up of 5.6 years.

Table 5: Relative and Absolute Risk Seen in the Estrogen Plus Progestin Substudy of WHI at an Average of 5.6 Yearsa,b

Event

Relative Risk

CE/MPA

Placebo

CE/MPA vs Placebo

n = 8,506

n = 8,102

(95% nCIc)

Absolute Risk per 10,000 Women-Years

CHD events

1.23 (0.99 to 1.53)

41

34

Non-fatal MI

1.28 (1.00 to 1.63)

31

25

CHD death

1.10 (0.70 to 1.75)

8

8

All Strokes

1.31 (1.03 to 1.68)

33

25

Ischemic stroke

1.44 (1.09 to 1.90)

26

18

Deep vein thrombosisd

1.95 (1.43 to 2.67)

26

13

Pulmonary embolism

2.13 (1.45 to 3.11)

18

8

Invasive breast cancere

1.24 (1.01 to 1.54)

41

33

Colorectal cancer

0.61 (0.42 to 0.87)

10

16

Endometrial cancerd

0.81 (0.48 to 1.36)

6

7

Cervical cancerd

1.44 (0.47 to 4.42)

2

1

Hip fracture

0.67 (0.47 to 0.96)

11

16

Vertebral fracturesd

0.65 (0.46 to 0.92)

11

17

Lower arm/wrist fracturesd

0.71 (0.59 to 0.85)

44

62

Total fracturesd

0.76 (0.69 to 0.83)

152

199

Overall Mortalityf

1.00 (0.83 to 1.19)

52

52

Global Indexg

1.13 (1.02 to 1.25)

184

165

a Adapted from numerous WHI publications. WHI publications can be viewed at www.nhlbi.nih.gov/whi.

b Results are based on centrally adjudicated data.

c Nominal confidence intervals unadjusted for multiple looks and multiple comparisons.

d Not included in “global index”.

Includes metastatic and non-metastatic breast cancer, with the exception of in situ cancer.

f All deaths, except from breast or colorectal cancer, definite or probable CHD, PE or cerebrovascular disease.

    g A subset of the events was combined in a “global index”, defined as the earliest occurrence of CHD events, invasive breast cancer, stroke, pulmonary embolism, colorectal cancer, hip fracture, or death due to other causes.

Timing of the initiation of estrogen plus progestin therapy relative to the start of menopause may affect the overall risk benefit profile. The WHI estrogen plus progestin substudy stratified by age showed in women 50 to 59 years of age, a non-significant trend toward reduced risk for overall mortality [HR 0.69 (95 percent CI, 0.44 to 1.07)].

5.10 Exacerbation Of hypertriglyceridemia (5.10 Exacerbation of Hypertriglyceridemia)

In women with pre-existing hypertriglyceridemia, estrogen therapy may be associated with elevations of plasma triglycerides leading to pancreatitis. Discontinue estradiol vaginal inserts if pancreatitis occurs.

14.3 Women’s Health Initiative Memory Study

The WHIMS estrogen-alone ancillary study of WHI enrolled 2,947 predominately healthy hysterectomized postmenopausal women 65 to 79 years of age and older (45 percent were 65 to 69 years of age; 36 percent were 70 to 74 years of age; 19 percent were 75 years of age and older) to evaluate the effects of daily CE (0.625 mg)-alone on the incidence of probable dementia (primary outcome) compared to placebo.

After an average follow-up of 5.2 years, the relative risk of probable dementia for CE-alone versus placebo was 1.49 (95 percent CI, 0.83 to 2.66). The absolute risk of probable dementia for CE-alone versus placebo was 37 versus 25 cases per 10,000 women-years. Probable dementia as defined in this study included Alzheimer’s disease (AD), vascular dementia (VaD) and mixed types (having features of both AD and VaD). The most common classification of probable dementia in the treatment group and the placebo group was AD. Since the ancillary study was conducted in women 65 to 79 years of age, it is unknown whether these findings apply to younger postmenopausal women [see Warnings and Precautions (5.4), and Use in Specific Populations (8.5)].

The WHIMS estrogen plus progestin ancillary study of WHI enrolled 4,532 predominantly healthy postmenopausal women 65 years of age and older (47 percent were 65 to 69 years of age; 35 percent were 70 to 74 years; 18 percent were 75 years of age and older) to evaluate the effects of daily CE (0.625 mg) plus MPA (2.5 mg) on the incidence of probable dementia (primary outcome) compared to placebo.

After an average follow-up of 4 years, the relative risk of probable dementia for CE plus MPA versus placebo was 2.05 (95 percent CI, 1.21 to 3.48). The absolute risk of probable dementia for CE plus MPA versus placebo was 45 versus 22 per 10,000 women-years. Probable dementia as defined in this study included AD, VaD and mixed types (having features of both AD and VaD). The most common classification of probable dementia in the treatment group and the placebo group was AD. Since the ancillary study was conducted in women 65 to 79 years of age, it is unknown whether these findings apply to younger postmenopausal women [see Warnings and Precautions (5.4), and Use in Specific Populations (8.5)].

When data from the two populations were pooled as planned in the WHIMS protocol, the reported overall relative risk for probable dementia was 1.76 (95 percent CI, 1.19 to 2.60). Differences between groups became apparent in the first year of treatment. It is unknown whether these findings apply to younger postmenopausal women [see Warnings and Precautions (5.4), and Use in Specific Populations (8.5)].

2.1 Treatment of Atrophic Vaginitis Due to Menopause (2.1 Treatment of Atrophic Vaginitis due to Menopause)

Administer estradiol vaginal inserts intravaginally using the supplied applicator: 1 insert daily for 2 weeks, followed by 1 insert twice weekly (for example, Tuesday and Friday).

13.1 Carcinogenesis, Mutagenesis, Impairment of Fertility

Long-term continuous administration of natural and synthetic estrogens in certain animal species increases the frequency of carcinomas of the breast, uterus, cervix, vagina, testis, and liver.

14.1 Effects On Atrophic Vaginitis in Postmenopausal Women (14.1 Effects on Atrophic Vaginitis in Postmenopausal Women)

A 12-month double-blind, randomized, parallel group, placebo-controlled multicenter study was conducted in the U.S. and Canada to evaluate the efficacy and safety of estradiol 10 mcg in the treatment of atrophic vaginitis in 309 postmenopausal women between 46 and 81 years of age (mean 57.6 years of age) who at baseline identified their most bothersome symptom of atrophic vaginitis from among six symptoms (vaginal dryness, vaginal and/or vulvar irritation/itching, vaginal soreness, dysuria, dyspareunia and vaginal bleeding associated with intercourse). Women inserted one insert intravaginally each day for 14 days, then one insert twice weekly for the remaining 50 weeks. The majority (92.9 percent) of the women were Caucasian (n=287), 3.2 percent were Black (n=10), 1.6 percent were Asian (n=5) and 2.2 percent were Other (n=7). All participants were assessed for improvement in the mean change from baseline to Week 12 for co-primary efficacy variables of: a composite of most bothersome symptoms of atrophic vaginitis; percentage of vaginal superficial cells and percentage of vaginal parabasal cells on a vaginal smear; and vaginal pH.

Relief of Vaginal Symptoms

Estradiol 10 mcg was statistically superior to placebo in reducing the severity of a composite score of most bothersome symptoms associated with atrophic vaginitis at Week 12 (see Table 3).

Table 3: Mean Change from Baseline to Week 12 in a Composite Score of Most Bothersome Symptoms Compared to Placebo – ITT Populationa

Placebo

Estradiol 10 mcg

ITT Populationa

N

93

190

Baseline mean composite score

2.29

2.35

Change from baseline at Week 12 (LOCF)

-0.84

-1.20

p-value versus Placebo

---

0.002

a All randomized subjects who received at least one dose of study drug and had at least one post-baseline evaluation.

Also demonstrated for estradiol 10 mcg compared to placebo was a statistically significant increase in the percentage of superficial cells at Week 12 (13.2 percent compared to 3.8 percent for matching placebo, p<0.001), a statistically significant decrease in parabasal cells at Week 12 (-37.0 percent compared to -9.3 percent for matching placebo, p<0.001), and a statistically significant mean reduction between baseline and Week 12 in vaginal pH score (-1.3 compared to -0.4 for matching placebo, p<0.001).

Endometrial safety was assessed by endometrial biopsy at the screening and final study visit. Of the 172 women in the estradiol 10 mcg group who had a biopsy performed at end of study, 92 women had endometrial tissue that was atrophic or inactive and 73 women had no tissue or tissue insufficient for diagnosis. There was one case of adenocarcinoma grade 2 and one case of complex hyperplasia without atypia. Three women exhibited polyps (two atrophic polyps and one adenomyomatus type polyp) and two others had adenomyosis and an atypical epithelial proliferation.

Endometrial safety of estradiol 10 mcg was additionally evaluated in a second, 12 month, open-label, multicenter safety study. Of the 297 women who had a biopsy performed at end of study, 183 women had endometrial tissue that was atrophic or inactive and 111 women had no tissue or tissue insufficient for diagnosis. There was one case of complex hyperplasia without atypia. Two women exhibited polyps.

5.11 Hepatic Impairment And/or Past History of Cholestatic Jaundice (5.11 Hepatic Impairment and/or Past History of Cholestatic Jaundice)

Estrogens may be poorly metabolized in women with hepatic impairment. Exercise caution in any woman with a history of cholestatic jaundice associated with past estrogen use or with pregnancy. In the case of recurrence of cholestatic jaundice, discontinue estradiol vaginal inserts.

5.8 Addition of A Progestogen when A Woman Has Not Had A Hysterectomy (5.8 Addition of a Progestogen When a Woman Has Not Had a Hysterectomy)

Studies of the addition of a progestogen for 10 or more days of a cycle of estrogen administration, or daily with estrogen in a continuous regimen, have reported a lowered incidence of endometrial hyperplasia than would be induced by estrogen treatment alone. Endometrial hyperplasia may be a precursor to endometrial cancer.

There are, however, possible risks that may be associated with the use of progestogens with estrogens compared to estrogen-alone regimens. These include an increased risk of breast cancer.

Warning: Endometrial Cancer, Cardiovascular Disorders, Probable Dementia, and Breast Cancer (WARNING: ENDOMETRIAL CANCER, CARDIOVASCULAR DISORDERS, PROBABLE DEMENTIA, and BREAST CANCER)

Estrogen-Alone Therapy

                                                                                                                      Endometrial Cancer

There is an increased risk of endometrial cancer in a woman with a uterus who uses unopposed estrogens. Adding a progestogen to estrogen therapy has been shown to reduce the risk of endometrial hyperplasia, which may be a precursor to endometrial cancer. Perform adequate diagnostic measures, including directed or random endometrial sampling when indicated, to rule out malignancy in postmenopausal women with undiagnosed persistent or recurring abnormal genital bleeding  [see Warnings and Precautions (5.3)].

                                                                                                Cardiovascular Disorders and Probable Dementia

The Women’s Health Initiative (WHI) estrogen-alone substudy reported increased risks of stroke and deep vein thrombosis (DVT) in postmenopausal women (50 to 79 years of age) during 7.1 years of treatment with daily oral conjugated estrogens (CE) [0.625 mg]-alone, relative to placebo  [see Warnings and Precautions (5.2), and Clinical Studies (14.2)].

The WHI Memory Study (WHIMS) estrogen-alone ancillary study of WHI reported an increased risk of developing probable dementia in postmenopausal women 65 years of age and older during 5.2 years of treatment with daily CE (0.625 mg)-alone, relative to placebo. It is unknown whether this finding applies to younger postmenopausal women  [see Warnings and Precautions (5.4), Use in Specific Populations (8.5), and Clinical Studies (14.3)].

Do not use estrogen-alone therapy for the prevention of cardiovascular disease or dementia [see Warnings and Precautions ( 5.2 , 5.4 ), and Clinical Studies ( 14.2 , 14.3 )].

Only daily oral 0.625 mg CE was studied in the estrogen-alone substudy of the WHI. Therefore, the relevance of the WHI findings regarding adverse cardiovascular events and dementia to lower CE doses, other routes of administration, or other estrogen-alone products is not known. Without such data, it is not possible to definitively exclude these risks or determine the extent of these risks for other products. Discuss with your patient the benefits and risks of estrogen-alone therapy, taking into account her individual risk profile.

Prescribe estrogens with or without progestogens at the lowest effective doses and for the shortest duration consistent with treatment goals and risks for the individual woman.

Estrogen Plus Progestin Therapy

                                                                                                   Cardiovascular Disorders and Probable Dementia

The WHI estrogen plus progestin substudy reported increased risks of pulmonary embolism (PE), DVT, stroke, and myocardial infarction (MI) in postmenopausal women (50 to 79 years of age) during 5.6 years of treatment with daily oral CE (0.625 mg) combined with medroxyprogesterone acetate (MPA) [2.5 mg], relative to placebo [see Warnings and Precautions (5.2), and Clinical Studies (14.2)].

The WHIMS estrogen plus progestin ancillary study of the WHI reported an increased risk of developing probable dementia in postmenopausal women 65 years of age and older during 4 years of treatment with daily CE (0.625 mg) combined with MPA (2.5 mg), relative to placebo. It is unknown whether this finding applies to younger postmenopausal women [ see Warnings and Precautions (5.4), Use in Specific Populations (8.5), and Clinical Studies (14.3)].

Do not use estrogen plus progestogen therapy for the prevention of cardiovascular disease or dementia  [see Warnings and Precautions ( 5.2 5.4 ), and Clinical Studies ( 14.2 14.3 )].

                                                                                                                               Breast Cancer

The WHI estrogen plus progestin substudy demonstrated an increased risk of invasive breast cancer  [see Warnings and Precautions (5.3), and Clinical Studies (14.2)].

Only daily oral 0.625 mg CE and 2.5 mg MPA were studied in the estrogen plus progestin substudy of the WHI. Therefore, the relevance of the WHI findings regarding adverse cardiovascular events, dementia and breast cancer to lower CE plus other MPA doses, other routes of administration, or other estrogen plus progestogen products is not known. Without such data, it is not possible to definitively exclude these risks or determine the extent of these risks for other products. Discuss with your patient the benefits and risks of estrogen plus progestogen therapy, taking into account her individual risk profile.

Prescribe estrogens with or without progestogens at the lowest effective doses and for the shortest duration consistent with treatment goals and risks for the individual woman.


Advanced Ingredient Data


Raw Label Data

All Sections (JSON)