These Highlights Do Not Include All The Information Needed To Use Amoxicillin And Clavulanate Potassium Tablets Safely And Effectively. See Full Prescribing Information For Amoxicillin And Clavulanate Potassium Tablets.

These Highlights Do Not Include All The Information Needed To Use Amoxicillin And Clavulanate Potassium Tablets Safely And Effectively. See Full Prescribing Information For Amoxicillin And Clavulanate Potassium Tablets.
SPL v100
SPL
SPL Set ID d7c0a364-d5d1-432d-823b-844a2d0b6780
Route
ORAL
Published
Effective Date 2011-12-30
Document Type 34391-3 HUMAN PRESCRIPTION DRUG LABEL

Drug Facts

Composition & Product

Active Ingredients
Amoxicillin Anhydrous (500 mg) Clavulanic Acid (125 mg)
Inactive Ingredients
Silicon Dioxide Hypromellose 2910 (5 Mpa.s) Magnesium Stearate Microcrystalline Cellulose Propylene Glycol Sodium Starch Glycolate Type A Potato Titanium Dioxide Ethylcellulose (10 Mpa.s) Talc

Identifiers & Packaging

Pill Appearance
Imprint: I06 Shape: capsule Color: white Size: 19 mm Score: 1
Marketing Status
ANDA Active Since 2017-03-01

Description

Warnings and Precautions, Drug-Induced Enterocolitis Syndrome (DIES) ( 5.3 )    05/2024

Indications and Usage

Amoxicillin and clavulanate potassium tablets are indicated for the treatment of infections in adults and pediatric patients, due to susceptible isolates of the designated bacteria in the conditions listed below: • Lower Respiratory Tract Infections - caused by beta‑lactamase‑producing isolates of Haemophilus influenzae and Moraxella catarrhalis . • Acute Bacterial Otitis Media - caused by beta‑lactamase‑producing isolates of H. influenzae and M. catarrhalis . • Sinusitis - caused by beta‑lactamase‑producing isolates of H. influenzae and M. catarrhalis . • Skin and Skin Structure Infections - caused by beta‑lactamase‑producing isolates of Staphylococcus aureus, Escherichia coli, and Klebsiella species. • Urinary Tract Infections - caused by beta‑lactamase‑producing isolates of E. coli, Klebsiella species, and Enterobacter species. Limitations of Use When susceptibility test results show susceptibility to amoxicillin, indicating no beta-lactamase production, amoxicillin and clavulanate potassium tablets should not be used. Usage To reduce the development of drug‑resistant bacteria and maintain the effectiveness of amoxicillin and clavulanate potassium tablets and other antibacterial drugs, amoxicillin and clavulanate potassium tablets should be used only to treat or prevent infections that are proven or strongly suspected to be caused by susceptible bacteria. When culture and susceptibility information are available, they should be considered in selecting or modifying antibacterial therapy. In the absence of such data, local epidemiology and susceptibility patterns may contribute to the empiric selection of therapy.

Dosage and Administration

Adults and Pediatric Patients greater than 40 kg: 500 or 875 mg every 12 hours or 250 or 500 mg every 8 hours, based on amoxicillin component. ( 2.2 , 2.3 ) Pediatric patients aged 12 weeks (3 months) and older: 25 to 45 mg/kg/day every 12 hours or 20 to 40 mg/kg/day every 8 hours, up to the adult dose. ( 2.3 ) Neonates and infants less than 12 weeks of age: 30 mg/kg/day divided every 12 hours, based on the amoxicillin component. Use of the 125 mg/5 mL oral suspension is recommended. ( 2.3 )

Warnings and Precautions

• Serious (including fatal) hypersensitivity reactions: Discontinue amoxicillin and clavulanate potassium if a reaction occurs. ( 5.1 ) • Severe Cutaneous Adverse Reactions (SCAR): Monitor closely. Discontinue if rash progresses. ( 5.2 ) • Drug-induced enterocolitis syndrome (DIES) has been reported with use of amoxicillin, a component of amoxicillin and clavulanate potassium. If this occurs, discontinue amoxicillin and clavulanate potassium and institute appropriate therapy. ( 5.3 ) • Hepatic dysfunction and cholestatic jaundice: Discontinue if signs/symptoms of hepatitis occur. Monitor liver function tests in patients with hepatic impairment. ( 5.4 ) • Clostridioides difficile -associated diarrhea (CDAD): Evaluate patients if diarrhea occurs. ( 5.5 ) • Patients with mononucleosis who receive amoxicillin and clavulanate potassium develop skin rash. Avoid amoxicillin and clavulanate potassium use in these patients. ( 5.6 ) • Overgrowth: The possibility of superinfections with fungal or bacterial pathogens should be considered during therapy. ( 5.7 )

Contraindications

History of a serious hypersensitivity reaction (e.g., anaphylaxis or Stevens-Johnson syndrome) to amoxicillin and clavulanate potassium or to other beta‑lactams (e.g., penicillins or cephalosporins). ( 4.1 ) History of cholestatic jaundice/hepatic dysfunction associated with amoxicillin and clavulanate potassium. ( 4.2 )

Adverse Reactions

Amoxicillin and clavulanate potassium may cause severe cutaneous adverse reactions (SCAR), such as Stevens-Johnson syndrome (SJS), toxic epidermal necrolysis (TEN), drug reaction with eosinophilia and systemic symptoms (DRESS), and acute generalized exanthematous pustulosis (AGEP). If patients develop a skin rash, they should be monitored closely, and amoxicillin and clavulanate potassium discontinued if lesions progress.

Drug Interactions

Co-administration with probenecid is not recommended. ( 7.1 ) Concomitant use of amoxicillin and clavulanate potassium tablets and oral anticoagulants may increase the prolongation of prothrombin time. ( 7.2 ) Co-administration with allopurinol increases the risk of rash. ( 7.3 ) Amoxicillin and clavulanate potassium tablets may reduce efficacy of oral contraceptives. ( 7.4 )

Storage and Handling

Amoxicillin and Clavulanate Potassium Tablets, USP: 500 mg/125 mg Tablets: White to off-white colored, capsule shaped, biconvex, film-coated tablets debossed with “I 06” on one side and plain on the other side. Each tablet contains 500 mg of amoxicillin as the trihydrate and 125 mg of clavulanic acid as the potassium salt (equivalent to 149 mg of clavulanate potassium). NDC: 72162-2433-1: 100 Tablets in a BOTTLE NDC: 72162-2433-2: 20 Tablets in a BOTTLE Store at 20° to 25°C (68° to 77°F) [see USP Controlled Room Temperature]. Dispense in original container. Advise patients to keep in closed container. Keep out of the reach of children. Repackaged/Relabeled by: Bryant Ranch Prepack, Inc. Burbank, CA 91504

How Supplied

Amoxicillin and Clavulanate Potassium Tablets, USP: 500 mg/125 mg Tablets: White to off-white colored, capsule shaped, biconvex, film-coated tablets debossed with “I 06” on one side and plain on the other side. Each tablet contains 500 mg of amoxicillin as the trihydrate and 125 mg of clavulanic acid as the potassium salt (equivalent to 149 mg of clavulanate potassium). NDC: 72162-2433-1: 100 Tablets in a BOTTLE NDC: 72162-2433-2: 20 Tablets in a BOTTLE Store at 20° to 25°C (68° to 77°F) [see USP Controlled Room Temperature]. Dispense in original container. Advise patients to keep in closed container. Keep out of the reach of children. Repackaged/Relabeled by: Bryant Ranch Prepack, Inc. Burbank, CA 91504


Medication Information

Warnings and Precautions

• Serious (including fatal) hypersensitivity reactions: Discontinue amoxicillin and clavulanate potassium if a reaction occurs. ( 5.1 ) • Severe Cutaneous Adverse Reactions (SCAR): Monitor closely. Discontinue if rash progresses. ( 5.2 ) • Drug-induced enterocolitis syndrome (DIES) has been reported with use of amoxicillin, a component of amoxicillin and clavulanate potassium. If this occurs, discontinue amoxicillin and clavulanate potassium and institute appropriate therapy. ( 5.3 ) • Hepatic dysfunction and cholestatic jaundice: Discontinue if signs/symptoms of hepatitis occur. Monitor liver function tests in patients with hepatic impairment. ( 5.4 ) • Clostridioides difficile -associated diarrhea (CDAD): Evaluate patients if diarrhea occurs. ( 5.5 ) • Patients with mononucleosis who receive amoxicillin and clavulanate potassium develop skin rash. Avoid amoxicillin and clavulanate potassium use in these patients. ( 5.6 ) • Overgrowth: The possibility of superinfections with fungal or bacterial pathogens should be considered during therapy. ( 5.7 )

Indications and Usage

Amoxicillin and clavulanate potassium tablets are indicated for the treatment of infections in adults and pediatric patients, due to susceptible isolates of the designated bacteria in the conditions listed below: • Lower Respiratory Tract Infections - caused by beta‑lactamase‑producing isolates of Haemophilus influenzae and Moraxella catarrhalis . • Acute Bacterial Otitis Media - caused by beta‑lactamase‑producing isolates of H. influenzae and M. catarrhalis . • Sinusitis - caused by beta‑lactamase‑producing isolates of H. influenzae and M. catarrhalis . • Skin and Skin Structure Infections - caused by beta‑lactamase‑producing isolates of Staphylococcus aureus, Escherichia coli, and Klebsiella species. • Urinary Tract Infections - caused by beta‑lactamase‑producing isolates of E. coli, Klebsiella species, and Enterobacter species. Limitations of Use When susceptibility test results show susceptibility to amoxicillin, indicating no beta-lactamase production, amoxicillin and clavulanate potassium tablets should not be used. Usage To reduce the development of drug‑resistant bacteria and maintain the effectiveness of amoxicillin and clavulanate potassium tablets and other antibacterial drugs, amoxicillin and clavulanate potassium tablets should be used only to treat or prevent infections that are proven or strongly suspected to be caused by susceptible bacteria. When culture and susceptibility information are available, they should be considered in selecting or modifying antibacterial therapy. In the absence of such data, local epidemiology and susceptibility patterns may contribute to the empiric selection of therapy.

Dosage and Administration

Adults and Pediatric Patients greater than 40 kg: 500 or 875 mg every 12 hours or 250 or 500 mg every 8 hours, based on amoxicillin component. ( 2.2 , 2.3 ) Pediatric patients aged 12 weeks (3 months) and older: 25 to 45 mg/kg/day every 12 hours or 20 to 40 mg/kg/day every 8 hours, up to the adult dose. ( 2.3 ) Neonates and infants less than 12 weeks of age: 30 mg/kg/day divided every 12 hours, based on the amoxicillin component. Use of the 125 mg/5 mL oral suspension is recommended. ( 2.3 )

Contraindications

History of a serious hypersensitivity reaction (e.g., anaphylaxis or Stevens-Johnson syndrome) to amoxicillin and clavulanate potassium or to other beta‑lactams (e.g., penicillins or cephalosporins). ( 4.1 ) History of cholestatic jaundice/hepatic dysfunction associated with amoxicillin and clavulanate potassium. ( 4.2 )

Adverse Reactions

Amoxicillin and clavulanate potassium may cause severe cutaneous adverse reactions (SCAR), such as Stevens-Johnson syndrome (SJS), toxic epidermal necrolysis (TEN), drug reaction with eosinophilia and systemic symptoms (DRESS), and acute generalized exanthematous pustulosis (AGEP). If patients develop a skin rash, they should be monitored closely, and amoxicillin and clavulanate potassium discontinued if lesions progress.

Drug Interactions

Co-administration with probenecid is not recommended. ( 7.1 ) Concomitant use of amoxicillin and clavulanate potassium tablets and oral anticoagulants may increase the prolongation of prothrombin time. ( 7.2 ) Co-administration with allopurinol increases the risk of rash. ( 7.3 ) Amoxicillin and clavulanate potassium tablets may reduce efficacy of oral contraceptives. ( 7.4 )

Storage and Handling

Amoxicillin and Clavulanate Potassium Tablets, USP: 500 mg/125 mg Tablets: White to off-white colored, capsule shaped, biconvex, film-coated tablets debossed with “I 06” on one side and plain on the other side. Each tablet contains 500 mg of amoxicillin as the trihydrate and 125 mg of clavulanic acid as the potassium salt (equivalent to 149 mg of clavulanate potassium). NDC: 72162-2433-1: 100 Tablets in a BOTTLE NDC: 72162-2433-2: 20 Tablets in a BOTTLE Store at 20° to 25°C (68° to 77°F) [see USP Controlled Room Temperature]. Dispense in original container. Advise patients to keep in closed container. Keep out of the reach of children. Repackaged/Relabeled by: Bryant Ranch Prepack, Inc. Burbank, CA 91504

How Supplied

Amoxicillin and Clavulanate Potassium Tablets, USP: 500 mg/125 mg Tablets: White to off-white colored, capsule shaped, biconvex, film-coated tablets debossed with “I 06” on one side and plain on the other side. Each tablet contains 500 mg of amoxicillin as the trihydrate and 125 mg of clavulanic acid as the potassium salt (equivalent to 149 mg of clavulanate potassium). NDC: 72162-2433-1: 100 Tablets in a BOTTLE NDC: 72162-2433-2: 20 Tablets in a BOTTLE Store at 20° to 25°C (68° to 77°F) [see USP Controlled Room Temperature]. Dispense in original container. Advise patients to keep in closed container. Keep out of the reach of children. Repackaged/Relabeled by: Bryant Ranch Prepack, Inc. Burbank, CA 91504

Description

Warnings and Precautions, Drug-Induced Enterocolitis Syndrome (DIES) ( 5.3 )    05/2024

Section 43683-2

Warnings and Precautions, Drug-Induced Enterocolitis Syndrome (DIES) ( 5.3)    05/2024

Section 51945-4

Amox/Clavulanate Potass 500/125mg Tab#100

10 Overdosage

In case of overdosage, discontinue medication, treat symptomatically, and institute supportive measures as required. A prospective study of 51 pediatric patients at a poison-control center suggested that overdosages of less than 250 mg/kg of amoxicillin are not associated with significant clinical symptoms 1.



Interstitial nephritis resulting in oliguric renal failure has been reported in patients after overdosage with amoxicillin and clavulanate potassium.



Crystalluria, in some cases leading to renal failure, has also been reported after amoxicillin and clavulanate potassium overdosage in adult and pediatric patients. In case of overdosage, adequate fluid intake and diuresis should be maintained to reduce the risk of amoxicillin and clavulanate potassium crystalluria.



Renal impairment appears to be reversible with cessation of drug administration. High blood levels may occur more readily in patients with impaired renal function because of decreased renal clearance of amoxicillin and clavulanate potassium. Amoxicillin and clavulanate potassium may be removed from circulation by hemodialysis [see Dosage and Administration ( 2.4)] .



15 References

1. Swanson-Biearman B, Dean BS, Lopez G, Krenzelok EP. The effects of penicillin and cephalosporin ingestions in children less than six years of age. Vet Hum Toxicol. 1988; 30: 66‑67.

8.1 Pregnancy

Teratogenic Effects:Reproduction studies performed in pregnant rats and mice given amoxicillin and clavulanate potassium (2:1 ratio formulation of amoxicillin:clavulanate) at oral doses up to 1200 mg/kg/day revealed no evidence of harm to the fetus due to amoxicillin and clavulanate potassium. The amoxicillin doses in rats and mice (based on body surface area) were approximately 4 and 2 times the maximum recommended adult human oral dose (875 mg every 12 hours). For clavulanate, these dose multiples were approximately 9 and 4 times the maximum recommended adult human oral dose (125 mg every 8 hours). There are, however, no adequate and well-controlled studies in pregnant women. Because animal reproduction studies are not always predictive of human response, this drug should be used during pregnancy only if clearly needed.

11 Description

Amoxicillin and clavulanate potassium tablets, USP is an oral antibacterial combination consisting of amoxicillin and the beta‑lactamase inhibitor, clavulanate potassium (the potassium salt of clavulanic acid).



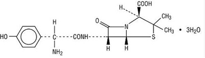
Amoxicillin, USP is an analog of ampicillin, derived from the basic penicillin nucleus, 6‑aminopenicillanic acid. The amoxicillin molecular formula is C 16H 19N 3O 5S•3H 2O, and the molecular weight is 419.46. Chemically, amoxicillin, USP is ( 2S,5R,6R)-6-[( R)-(-)-2-Amino-2-( p-hydroxyphenyl)acetamido]-3,3-dimethyl-7-oxo-4-thia-1-azabicyclo[3.2.0]heptane-2-carboxylic acid trihydrate and may be represented structurally as:



Clavulanic acid is produced by the fermentation of Streptomyces clavuligerus. It is a beta-lactam structurally related to the penicillins and possesses the ability to inactivate some beta‑lactamases by blocking the active sites of these enzymes. The clavulanate potassium molecular formula is C 8H 8KNO 5, and the molecular weight is 237.25. Chemically, clavulanate potassium, USP is potassium ( Z)-( 2R,5R)-3-(2-hydroxyethylidene)-7-oxo-4-oxa-1-azabicyclo[3.2.0]-heptane-2-carboxylate and may be represented structurally as:



Amoxicillin and Clavulanate Potassium Tablets, USP:

  • 250 mg/125 mg: Each tablet contains 250 mg of amoxicillin, USP as the trihydrate, and 125 mg of clavulanic acid (equivalent to 149 mg of clavulanate potassium, USP).
  • 500 mg/125 mg:Each tablet contains 500 mg of amoxicillin, USP as the trihydrate, and 125 mg of clavulanic acid (equivalent to 149 mg of clavulanate potassium, USP).
  • 875 mg/125 mg:Each tablet contains 875 mg of amoxicillin, USP as the trihydrate, and 125 mg of clavulanic acid (equivalent to 149 mg of clavulanate potassium, USP).  

Inactive Ingredients:colloidal silicon dioxide, ethylcellulose, hypromellose, magnesium stearate, microcrystalline cellulose, propylene glycol, sodium starch glycolate, talc and titanium dioxide.



Each tablet of amoxicillin and clavulanate potassium tablets contains 0.63 mEq potassium.

7.1 Probenecid

Probenecid decreases the renal tubular secretion of amoxicillin but does not delay renal excretion of clavulanic acid. Concurrent use with amoxicillin and clavulanate potassium tablets may result in increased and prolonged blood concentrations of amoxicillin. Co-administration of probenecid is not recommended.

7.3 Allopurinol

The concurrent administration of allopurinol and amoxicillin increases the incidence of rashes in patients receiving both drugs as compared to patients receiving amoxicillin alone. It is not known whether this potentiation of amoxicillin rashes is due to allopurinol or the hyperuricemia present in these patients.

12.4 Microbiology

Amoxicillin is a semisynthetic antibacterial with in vitrobactericidal activity against Gram-positive and Gram-negative bacteria. Amoxicillin is, however, susceptible to degradation by beta-lactamases, and therefore, the spectrum of activity does not include organisms which produce these enzymes. Clavulanic acid is a beta-lactam, structurally related to the penicillins, which possesses the ability to inactivate some beta-lactamase enzymes commonly found in microorganisms resistant to penicillins and cephalosporins. In particular, it has good activity against the clinically important plasmid-mediated beta-lactamases frequently responsible for transferred drug resistance.



The formulation of amoxicillin and clavulanic acid in amoxicillin and clavulanate potassium tablets protects amoxicillin from degradation by some beta-lactamase enzymes and extends the antibacterial spectrum of amoxicillin to include many bacteria normally resistant to amoxicillin.



Amoxicillin and clavulanic acid has been shown to be active against most isolates of the following bacteria, both in vitroand in clinical infections [see Indications and Usage ( 1)] .



Gram-positive bacteria

Staphylococcus aureus



Gram-negative bacteria

Enterobacterspecies

Escherichia coli

Haemophilus influenzae

Klebsiellaspecies

Moraxella catarrhalis



The following in vitrodata are available, but their clinical significance is unknown. At least 90 percent of the following bacteria exhibit an in vitrominimum inhibitory concentration (MIC) less than or equal to the susceptible breakpoint for amoxicillin and clavulanic acid. However, the efficacy of amoxicillin and clavulanic acid in treating clinical infections due to these bacteria has not beenestablished in adequate and well-controlled clinical trials.



Gram-positive bacteria

Enterococcus faecalis

Staphylococcus epidermidis

Staphylococcus saprophyticus

Streptococcus pneumoniae

Streptococcus pyogenes

Viridans group Streptococcus



Gram-negative Bacteria

Eikenella corrodens

Proteus mirabilis



Anaerobic Bacteria

Bacteroidesspecies including Bacteroides fragilis

Fusobacteriumspecies

Peptostreptococcusspecies



Susceptibility Test Methods

For specific information regarding susceptibility test interpretive criteria and associated test methods and quality control standards recognized by FDA for this drug, please see: https://www.fda.gov/STIC .

8.4 Pediatric Use

The safety and effectiveness of amoxicillin and clavulanate potassium for oral suspension and chewable tablets have been established in pediatric patients. Use of amoxicillin and clavulanate potassium in pediatric patients is supported by evidence from studies of amoxicillin and clavulanate potassium tablets in adults with additional data from a study of amoxicillin and clavulanate potassium for oral suspension in pediatric patients aged 2 months to 12 years with acute otitis media [see Clinical Studies ( 14.2)] .



Because of incompletely developed renal function in neonates and young infants, the elimination of amoxicillin may be delayed; clavulanate elimination is unaltered in this age group. Dosing of amoxicillin and clavulanate potassium should be modified in pediatric patients aged less than 12 weeks (less than 3 months) [see Dosage and Administration ( 2.3)] .

8.5 Geriatric Use

Of the 3,119 patients in an analysis of clinical studies of amoxicillin and clavulanate potassium, 32% were greater than or equal to 65 years old, and 14% were greater than or equal to 75 years old. No overall differences in safety or effectiveness were observed between these subjects and younger subjects, and other reported clinical experience has not identified differences in responses between the elderly and younger patients, but greater sensitivity of some older individuals cannot be ruled out.



This drug is known to be substantially excreted by the kidney, and the risk of adverse reactions to this drug may be greater in patients with impaired renal function. Because elderly patients are more likely to have decreased renal function, care should be taken in dose selection, and it may be useful to monitor renal function.

2.2 Adult Patients

See dosing regimens of amoxicillin and clavulanate potassium (based on the amoxicillin component) provided in Table 1 below.

Table 1. Dosing Regimens of Amoxicillin and Clavulanate Potassium in Adult Patients

TYPE OF INFECTION

DOSING REGIMEN OF AMOXICILLIN AND CLAVULANATE POTASSIUM

Severe infections and infections of the respiratory tract

one 875 mg tablet aof amoxicillin and clavulanate potassium every 12 hours

or

one 500 mg tablet b,cof amoxicillin and clavulanate potassium every 8 hours

Less severe infections

one 500 mg tablet b,cof amoxicillin and clavulanate potassium every 12 hours

or

one 250 mg tablet dof amoxicillin and clavulanate potassium every 8 hours

a   Adults who have difficulty swallowing may be given the amoxicillin and clavulanate potassium 200 mg/28.5 mg per 5 mL suspension or the amoxicillin and clavulanate potassium 400 mg/57 mg per 5 mL suspension may be used in place of the 875 mg/125 mg tablet.

b  Adults who have difficulty swallowing may be given the amoxicillin and clavulanate potassium 125 mg/31.25 mg per 5 mL suspension or amoxicillin and clavulanate potassium 250 mg/62.5 mg per 5 mL suspension in place of the 500 mg/125 mg tablet.

c  Two amoxicillin and clavulanate potassium 250 mg/125 mg tablets are NOTsubstitutable with one 500 mg/125 mg amoxicillin and clavulanate potassium tablet [see Dosage and Administration ( 2.6)] .

d  Amoxicillin and clavulanate potassium 250 mg/125 mg tablet is NOTsubstitutable with amoxicillin and clavulanate potassium 250 mg/62.5 mg chewable tablet [see Dosage and Administration ( 2.6)]

4 Contraindications
  • History of a serious hypersensitivity reaction (e.g., anaphylaxis or Stevens-Johnson syndrome) to amoxicillin and clavulanate potassium or to other beta‑lactams (e.g., penicillins or cephalosporins). ( 4.1)
  • History of cholestatic jaundice/hepatic dysfunction associated with amoxicillin and clavulanate potassium. ( 4.2)


6 Adverse Reactions

The following are discussed in more detail in other sections of the labeling:

  • Anaphylactic reactions [see Warnings and Precautions ( 5.1)]
  • Severe Cutaneous Adverse Reactions [see Warnings and Precautions ( 5.2)]
  • Drug-Induced Enterocolitis Syndrome (DIES) [see Warnings and Precautions ( 5.3)] 
  • Hepatic Dysfunction [see Warnings and Precautions ( 5.4)]
  • Clostridioides difficileAssociated Diarrhea (CDAD) [see Warnings and Precautions ( 5.5)]


7 Drug Interactions
  • Co-administration with probenecid is not recommended. ( 7.1)
  • Concomitant use of amoxicillin and clavulanate potassium tablets and oral anticoagulants may increase the prolongation of prothrombin time. ( 7.2)
  • Co-administration with allopurinol increases the risk of rash. ( 7.3)
  • Amoxicillin and clavulanate potassium tablets may reduce efficacy of oral contraceptives. ( 7.4)


8.3 Nursing Mothers

Amoxicillin has been shown to be excreted in human milk. Amoxicillin and clavulanate potassium use by nursing mothers may lead to sensitization of infants. Caution should be exercised when amoxicillin and clavulanate potassium is administered to a nursing woman.

8.6 Renal Impairment

Amoxicillin is primarily eliminated by the kidney and dosage adjustment is usually required in patients with severe renal impairment (GFR less than 30 mL/min). See Patients with Renal Impairment [see Dosage and Administration ( 2.4)] for specific recommendations in patients with renal impairment.

12.3 Pharmacokinetics

Mean amoxicillin and clavulanate potassium pharmacokinetic parameters in normal adults following administration of amoxicillin and clavulanate potassium tablets are shown in Table 6 and following administration of amoxicillin and clavulanate potassium for oral suspension and chewable tablets are shown in Table 7.



Table 6: Mean (±S.D.) Amoxicillin and Clavulanate Potassium Pharmacokinetic Parameters a,bwith A moxicillin and Clavulanate Potassium Tablets

Dose and Regimen of Amoxicillin and Clavulanate Potassium

C max(mcg/mL)

AUC 0 to 24(mcg*h/mL)

Amoxicillin and Clavulanate potassium

Amoxicillin

Clavulanate potassium

Amoxicillin

Clavulanate potassium

250 mg/125 mg every 8 hours

3.3 ± 1.12

1.5 ± 0.70

26.7 ± 4.56

12.6 ± 3.25

500 mg/125 mg every 12 hours

6.5 ± 1.41

1.8 ± 0.61

33.4 ± 6.76

8.6 ± 1.95

500 mg/125 mg every 8 hours

7.2 ± 2.26

2.4 ± 0.83

53.4 ± 8.87

15.7 ± 3.86

875 mg/125 mg every 12 hours

11.6 ± 2.78

2.2 ± 0.99

53.5 ± 12.31

10.2 ± 3.04

a  Mean (± standard deviation) values of 14 normal adults (N equals 15 for clavulanate potassium in the low-dose regimens). Peak concentrations occurred approximately 1.5 hours after the dose.

b  Amoxicillin and clavulanate potassium administered at the start of a light meal.



Table 7: Mean (±S.D.) Amoxicillin and Clavulanate Potassium Pharmacokinetic Parameters a,bwith Amoxicillin and Clavulanate Potassium for Oral Suspension and Chewable Tablets

Dose of Amoxicillin and Clavulanate Potassium

C max(mcg/mL)

AUC 0 to 24(mcg*h/mL)

Amoxicillin and Clavulanate potassium

Amoxicillin

Clavulanate potassium

Amoxicillin

Clavulanate potassium

400 mg/57 mg (5 mL of suspension)

6.94 ± 1.24

1.10 ± 0.42

17.29 ± 2.28

2.34 ± 0.94

400 mg/57 mg (1 chewable tablet)

6.67 ± 1.37

1.03 ± 0.33

17.24 ± 2.64

2.17 ± 0.73

a  Mean (± standard deviation) values of 28 normal adults. Peak concentrations occurred approximately 1 hour after the dose.

b  Amoxicillin and clavulanate potassium administered at the start of a light meal.



Oral administration of 5 mL of the 250 mg/62.5 mg suspension of amoxicillin and clavulanate potassium or the equivalent dose of 10 mL of the 125 mg/31.25 mg suspension of amoxicillin and clavulanate potassium provides average peak serum concentrations approximately 1 hour after dosing of 6.9 mcg/mL for amoxicillin and 1.6 mcg/mL for clavulanic acid. The areas under the serum concentration curves obtained during the first 4 hours after dosing were 12.6 mcg*h/mL for amoxicillin and 2.9 mcg*h/mL for clavulanic acid when 5 mL of the 250 mg/62.5 mg suspension of amoxicillin and clavulanate potassium or equivalent dose of 10 mL of the 125 mg/31.25 mg suspension of amoxicillin and clavulanate potassium were administered to normal adults. One 250 mg/62.5 mg chewable tablet of amoxicillin and clavulanate potassium or two 125 mg/31.25 mg chewable tablets of amoxicillin and clavulanate potassium are equivalent to 5 mL of the 250 mg/62.5 mg suspension of amoxicillin and clavulanate potassium and provide similar serum concentrations of amoxicillin and clavulanic acid.



Amoxicillin serum concentrations achieved with amoxicillin and clavulanate potassium tablet are similar to those produced by the oral administration of equivalent doses of amoxicillin alone. Time above the minimum inhibitory concentration of 1 mcg/mL for amoxicillin has been shown to be similar after corresponding every 12 hour and every 8-hour dosing regimens of amoxicillin and clavulanate potassium tablets in adults and children.



Absorption:Dosing in the fasted or fed state has minimal effect on the pharmacokinetics of amoxicillin. While amoxicillin and clavulanate potassium tablets can be given without regard to meals, absorption of clavulanate potassium when taken with food is greater relative to the fasted state. In one study, the relative bioavailability of clavulanate was reduced when amoxicillin and clavulanate potassium tablets was dosed at 30 and 150 minutes after the start of a high‑fat breakfast.



Distribution:Neither component in amoxicillin and clavulanate potassium tablet is highly protein‑bound; clavulanic acid is approximately 25% bound to human serum and amoxicillin approximately 18% bound.



Amoxicillin diffuses readily into most body tissues and fluids with the exception of the brain and spinal fluid.



Two hours after oral administration of a single 35 mg/kg dose of suspension of amoxicillin and clavulanate potassium to fasting children, average concentrations of 3 mcg/mL of amoxicillin and 0.5 mcg/mL of clavulanic acid were detected in middle ear effusions.



Metabolism and Excretion:The half‑life of amoxicillin after the oral administration of amoxicillin and clavulanate potassium tablet is 1.3 hours and that of clavulanic acid is 1 hour.



Approximately 50% to 70% of the amoxicillin and approximately 25% to 40% of the clavulanic acid are excreted unchanged in urine during the first 6 hours after administration of a single 250 mg/125 mg or 500 mg/125 mg tablet of amoxicillin and clavulanate potassium.

2.3 Pediatric Patients

Based on the amoxicillin component, amoxicillin and clavulanate potassium should be dosed as follows:

Neonates and Infants Aged less than 12 weeks (less than 3 months): See dosing regimens of amoxicillin and clavulanate potassium provided in Table 2 below.

Table 2: Dosing Regimens of Amoxicillin and Clavulanate Potassium in Neonates and Infants Aged Less than 12 Weeks (Less than 3 Months)

PATIENT POPULATION

DOSING REGIMEN

A moxicillin and Clavulanate Potassium 125 mg/31.25 mg per 5 mL for oral suspension a

Neonates and Infants aged less than 12 weeks (less than 3 months)

30 mg/kg/day every 12 hours

a  Experience with the amoxicillin and clavulanate potassium for oral suspension 200 mg/28.5 mg per 5 mL formulation in this age group is limited, and thus, use of the amoxicillin and clavulanate potassium 125 mg/31.25 mg per 5 mL for oral suspension is recommended.



Patients Aged 12 weeks (3 months) and Older and Weighing Less than 40 kg: See dosing regimens provided in Table 3 below.

• The every 12 hour regimen is recommended as it is associated with significantly less diarrhea [see Clinical Studies ( 14.2)] . Table 3: Dosing in Patients Aged 12 Weeks (3 Months) and Older and Weighing Less than 40 kg

INFECTION

DOSING REGIMEN

Every 12 hours

Every 8 hours

Amoxicillin and clavulanate potassium for oral suspension 200 mg/28.5 mg per 5 mL

or

Amoxicillin and clavulanate potassium 400 mg/57 mg per 5 mL for oral suspension a

Amoxicillin and clavulanate potassium for oral suspension 125 mg/31.25 mg per 5 mL

or

Amoxicillin and clavulanate potassium 250 mg/62.5 mg per 5 mL for oral suspension a

Otitis media b, sinusitis, lower respiratory tract infections, and more severe infections

45 mg/kg/day every 12 hours

40 mg/kg/day every 8 hours

Less severe infections

25 mg/kg/day every 12 hours

20 mg/kg/day every 8 hours

a  Each strength of amoxicillin and clavulanate potassium for oral suspension is available as a chewable tablet for use by older children.

b  Duration of therapy studied and recommended for acute otitis media is 10 days.



Patients Weighing 40 kg or More: Pediatric patients weighing 40 kg or more should be dosed according to adult recommendations.

• The 250 mg/125 mg tablet of amoxicillin and clavulanate potassium should NOTbe used until the child weighs at least 40 kg, due to the different amoxicillin to clavulanic acid ratios in the 250 mg/125 mg tablet of amoxicillin and clavulanate potassium versus the 250 mg/62.5 mg chewable tablet of amoxicillin and clavulanate potassium.  

8.2 Labor and Delivery

Oral ampicillin‑class antibacterials are poorly absorbed during labor. It is not known whether use of amoxicillin and clavulanate potassium in humans during labor or delivery has immediate or delayed adverse effects on the fetus, prolongs the duration of labor, or increases the likelihood of the necessity for an obstetrical intervention.

1 Indications and Usage

Amoxicillin and clavulanate potassium tablets are indicated for the treatment of infections in adults and pediatric patients, due to susceptible isolates of the designated bacteria in the conditions listed below:

Lower Respiratory Tract Infections- caused by beta‑lactamase‑producing isolates of Haemophilus influenzaeand Moraxella catarrhalis.

Acute Bacterial Otitis Media- caused by beta‑lactamase‑producing isolates of H. influenzaeand M. catarrhalis.

Sinusitis- caused by beta‑lactamase‑producing isolates of H. influenzaeand M. catarrhalis.

Skin and Skin Structure Infections- caused by beta‑lactamase‑producing isolates of Staphylococcus aureus, Escherichia coli,and Klebsiellaspecies.

Urinary Tract Infections- caused by beta‑lactamase‑producing isolates of E. coli, Klebsiellaspecies, and Enterobacterspecies.

Limitations of Use

When susceptibility test results show susceptibility to amoxicillin, indicating no beta-lactamase production, amoxicillin and clavulanate potassium tablets should not be used.

Usage

To reduce the development of drug‑resistant bacteria and maintain the effectiveness of amoxicillin and clavulanate potassium tablets and other antibacterial drugs, amoxicillin and clavulanate potassium tablets should be used only to treat or prevent infections that are proven or strongly suspected to be caused by susceptible bacteria. When culture and susceptibility information are available, they should be considered in selecting or modifying antibacterial therapy. In the absence of such data, local epidemiology and susceptibility patterns may contribute to the empiric selection of therapy.

5.4 Hepatic Dysfunction


Hepatic dysfunction, including hepatitis and cholestatic jaundice has been associated with the use of amoxicillin and clavulanate potassium. Hepatic toxicity is usually reversible; however, deaths have been reported. Hepatic function should be monitored at regular intervals in patients with hepatic impairment.

7.2 Oral Anticoagulants

Abnormal prolongation of prothrombin time (increased international normalized ratio [INR]) has been reported in patients receiving amoxicillin and oral anticoagulants. Appropriate monitoring should be undertaken when anticoagulants are prescribed concurrently with amoxicillin and clavulanate potassium tablets. Adjustments in the dose of oral anticoagulants may be necessary to maintain the desired level of anticoagulation.

7.4 Oral Contraceptives

Amoxicillin and clavulanate potassium may affect intestinal flora, leading to lower estrogen reabsorption and reduced efficacy of combined oral estrogen/progesterone contraceptives.

12.1 Mechanism of Action

Amoxicillin and clavulanate potassium is an antibacterial drug [see Microbiology ( 12.4)] .

5 Warnings and Precautions

• Serious (including fatal) hypersensitivity reactions: Discontinue amoxicillin and clavulanate potassium if a reaction occurs. ( 5.1)

• Severe Cutaneous Adverse Reactions (SCAR): Monitor closely. Discontinue if rash progresses. ( 5.2)

• Drug-induced enterocolitis syndrome (DIES) has been reported with use of amoxicillin, a component of amoxicillin and clavulanate potassium. If this occurs, discontinue amoxicillin and clavulanate potassium and institute appropriate therapy. ( 5.3)

• Hepatic dysfunction and cholestatic jaundice: Discontinue if signs/symptoms of hepatitis occur. Monitor liver function tests in patients with hepatic impairment. ( 5.4)

Clostridioides difficile-associated diarrhea (CDAD): Evaluate patients if diarrhea occurs. ( 5.5)

• Patients with mononucleosis who receive amoxicillin and clavulanate potassium develop skin rash. Avoid amoxicillin and clavulanate potassium use in these patients. ( 5.6)

• Overgrowth: The possibility of superinfections with fungal or bacterial pathogens should be considered during therapy. ( 5.7)



2 Dosage and Administration
  • Adults and Pediatric Patients greater than 40 kg: 500 or 875 mg every 12 hours or 250 or 500 mg every 8 hours, based on amoxicillin component. ( 2.2, 2.3)
  • Pediatric patients aged 12 weeks (3 months) and older: 25 to 45 mg/kg/day every 12 hours or 20 to 40 mg/kg/day every 8 hours, up to the adult dose. ( 2.3)
  • Neonates and infants less than 12 weeks of age: 30 mg/kg/day divided every 12 hours, based on the amoxicillin component. Use of the 125 mg/5 mL oral suspension is recommended. ( 2.3)


3 Dosage Forms and Strengths

Amoxicillin and Clavulanate Potassium Tablets, USP:

  • 250 mg/125 mg Tablets:White to off-white colored, capsule shaped, biconvex, film-coated tablets, debossed with “I 05” on one side and plain on the other side. Each tablet contains 250 mg of amoxicillin as the trihydrate and 125 mg clavulanic acid as the potassium salt.
  • 500 mg/125 mg Tablets:White to off-white colored, capsule shaped, biconvex, film-coated tablets debossed with “I 06” on one side and plain on the other side. Each tablet contains 500 mg amoxicillin as the trihydrate and 125 mg clavulanic acid as the potassium salt.
  • 875 mg/125 mg Tablets:  White to off-white colored, capsule shaped, biconvex, film-coated tablets debossed with “I 07” on one side and score line on the other side. Each tablet contains 875 mg amoxicillin as the trihydrate and 125 mg clavulanic acid as the potassium salt.


5.5 Clostridioides Difficile


Clostridioides difficileassociated diarrhea (CDAD) has been reported with use of nearly all antibacterial agents, including amoxicillin and clavulanate potassium, and may range in severity from mild diarrhea to fatal colitis. Treatment with antibacterial agents alters the normal flora of the colon leading to overgrowth of C. difficile.



C. difficileproduces toxins A and B which contribute to the development of CDAD. Hypertoxin-producing strains of C. difficilecause increased morbidity and mortality, as these infections can be refractory to antimicrobial therapy and may require colectomy. CDAD must be considered in all patients who present with diarrhea following antibacterial use. Careful medical history is necessary since CDAD has been reported to occur over 2 months after the administration of antibacterial agents.



If CDAD is suspected or confirmed, ongoing antibacterial use not directed against C. difficilemay need to be discontinued. Appropriate fluid and electrolyte management, protein supplementation, antibacterial treatment of C. difficile,and surgical evaluation should be instituted as clinically indicated.



6.2 Postmarketing Experience

In addition to adverse reactions reported from clinical trials, the following have been identified during postmarketing use of amoxicillin and clavulanate potassium. Because they are reported voluntarily from a population of unknown size, estimates of frequency cannot be made. These events have been chosen for inclusion due to a combination of their seriousness, frequency of reporting, or potential causal connection to amoxicillin and clavulanate potassium.



Gastrointestinal:Drug-induced enterocolitis syndrome (DIES), indigestion, gastritis, stomatitis, glossitis, black “hairy” tongue, mucocutaneous candidiasis, enterocolitis, and hemorrhagic/pseudomembranous colitis. Onset of pseudomembranous colitis symptoms may occur during or after antibacterial treatment [see Warnings and Precautions ( 5.5)].



Immune:Hypersensitivity reactions, anaphylactic/anaphylactoid reactions (including shock), angioedema, serum sickness-like reactions (urticaria or skin rash accompanied by arthritis, arthralgia, myalgia, and frequently fever), hypersensitivity vasculitis [see Warnings and Precautions ( 5.1)].



Skin and Appendages:Rashes, pruritus, urticaria, erythema multiforme, SJS, TEN, DRESS, AGEP, exfoliative dermatitis, and linear IgA bullous dermatosis.



Liver:Hepatic dysfunction, including hepatitis and cholestatic jaundice, increases in serum transaminases (AST and/or ALT), serum bilirubin, and/or alkaline phosphatase, has been reported with amoxicillin and clavulanate potassium. It has been reported more commonly in the elderly, in males, or in patients on prolonged treatment. The histologic findings on liver biopsy have consisted of predominantly cholestatic, hepatocellular, or mixed cholestatic hepatocellular changes. The onset of signs/symptoms of hepatic dysfunction may occur during or several weeks after therapy has been discontinued. The hepatic dysfunction, which may be severe, is usually reversible. Deaths have been reported [see Contraindications ( 4.2), Warnings and Precautions ( 5.4)] .



Renal:Interstitial nephritis, hematuria, and crystalluria have been reported [see Overdosage ( 10)] .



Hemic and Lymphatic Systems:Anemia, including hemolytic anemia, thrombocytopenia, thrombocytopenic purpura, eosinophilia, leukopenia, and agranulocytosis have been reported. These reactions are usually reversible on discontinuation of therapy and are believed to be hypersensitivity phenomena. Thrombocytosis was noted in less than 1% of the patients treated with amoxicillin and clavulanate potassium. There have been reports of increased prothrombin time in patients receiving amoxicillin and clavulanate potassium and anticoagulant therapy concomitantly [see Drug Interactions ( 7.2)] .



Central Nervous System:Agitation, anxiety, behavioral changes, aseptic meningitis, confusion, convulsions, dizziness, insomnia, and reversible hyperactivity have been reported.



Miscellaneous:Tooth discoloration (brown, yellow, or gray staining) has been reported. Most reports occurred in pediatric patients. Discoloration was reduced or eliminated with brushing or dental cleaning in most cases.

6.1 Clinical Trial Experience

Because clinical trials are conducted under widely varying conditions, adverse reaction rates observed in the clinical trials of a drug cannot be directly compared to rates in the clinical trials of another drug and may not reflect the rates observed in practice.



The most frequently reported adverse reactions were diarrhea/loose stools (9%), nausea (3%), skin rashes and urticaria (3%), vomiting (1%) and vaginitis (1%). Less than 3% of patients discontinued therapy because of drug‑related adverse reactions. The overall incidence of adverse reactions, and in particular diarrhea, increased with the higher recommended dose. Other less frequently reported adverse reactions (less than 1%) include: Abdominal discomfort, flatulence, and headache.



In pediatric patients (aged 2 months to 12 years), 1 US/Canadian clinical trial was conducted which compared 45/6.4 mg/kg/day (divided every 12 hours) of amoxicillin and clavulanate potassium for 10 days versus 40/10 mg/kg/day (divided every 8 hours) of amoxicillin and clavulanate potassium for 10 days in the treatment of acute otitis media. A total of 575 patients were enrolled, and only the suspension formulations were used in this trial. Overall, the adverse reactions seen were comparable to that noted above; however, there were differences in the rates of diarrhea, skin rashes/urticaria, and diaper area rashes [see Clinical Studies ( 14.2)] .

8 Use in Specific Populations

• Pediatric Use: Modify dose in patients 12 weeks or younger. ( 8.4)

• Renal Impairment: Dosage adjustment is recommended for severe renal impairment (GFR less than 30mL/min). ( 2.4, 8.6)



5.1 Hypersensitivity Reactions


Serious and occasionally fatal hypersensitivity (anaphylactic) reactions have been reported in patients receiving beta-lactam antibacterials, including amoxicillin and clavulanate potassium. These reactions are more likely to occur in individuals with a history of penicillin hypersensitivity and/or a history of sensitivity to multiple allergens. Before initiating therapy with amoxicillin and clavulanate potassium, careful inquiry should be made regarding previous hypersensitivity reactions to penicillins, cephalosporins, or other allergens. If an allergic reaction occurs, amoxicillin and clavulanate potassium should be discontinued, and appropriate therapy instituted.

7.5 Effects On Laboratory Tests

High urine concentrations of amoxicillin may result in false-positive reactions when testing for the presence of glucose in urine using CLINITEST ®, Benedict’s Solution, or Fehling’s Solution. Since this effect may also occur with amoxicillin and clavulanate potassium tablets, it is recommended that glucose tests based on enzymatic glucose oxidase reactions be used.



Following administration of amoxicillin to pregnant women, a transient decrease in plasma concentration of total conjugated estriol, estriol-glucuronide, conjugated estrone, and estradiol has been noted.

17 Patient Counseling Information

Administration Instructions

Inform patients that amoxicillin and clavulanate potassium tablets may be taken every 8 hours or every 12 hours, depending on the dose prescribed. Each dose should be taken with a meal or snack to reduce the possibility of gastrointestinal upset



Allergic Reactions

Counsel patients that amoxicillin and clavulanate potassium tablets contains a penicillin class drug product that can cause allergic reactions in some individuals.

Severe Cutaneous Adverse Reactions (SCAR)

Advise patients about the signs and symptoms of serious skin manifestations. Instruct patients to stop taking amoxicillin and clavulanate potassium tablets immediately and promptly report the first signs or symptoms of skin rash, mucosal lesions, or any other sign of hypersensitivity [see Warnings and Precautions ( 5.2)] .



Diarrhea

Counsel patients that diarrhea is a common problem caused by antibacterials, and it usually ends when the antibacterial is discontinued. Sometimes after starting treatment with antibacterials, patients can develop watery and bloody stools (with or without stomach cramps and fever) even as late as 2 or more months after having taken their last dose of the antibacterial. If diarrhea is severe or lasts more than 2 or 3 days, patients should contact their physician as soon as possible.



Antibacterial Resistance

Patients should be counseled that antibacterial drugs, including amoxicillin and clavulanate potassium tablets, should only be used to treat bacterial infections. They do not treat viral infections (e.g., the common cold).



When amoxicillin and clavulanate potassium tablets are prescribed to treat a bacterial infection, patients should be told that although it is common to feel better early in the course of therapy, the medication should be taken exactly as directed. Skipping doses or not completing the full course of therapy may: (1) decrease the effectiveness of the immediate treatment, and (2) increase the likelihood that bacteria will develop resistance and will not be treatable by amoxicillin and clavulanate potassium tablets or other antibacterial drugs in the future.



CLINITEST is a registered trademark of Miles, Inc.



Manufactured by:

Micro Labs Limited

Bangalore-560 100, INDIA.



Manufactured for:

Micro Labs USA, Inc.

Somerset, NJ 08873



Rev. 05/2024 

2.4 Patients With Renal Impairment

Patients with impaired renal function do not generally require a reduction in dose unless the impairment is severe. Renal impairment patients with a glomerular filtration rate (GFR) of less than 30 mL/min should NOTreceive the 875 mg dose (based on the amoxicillin component) of amoxicillin and clavulanate potassium tablet. See dosing regimens in patients with severe renal impairment provided in Table 4.

Table 4. Dosing Regimens of Amoxicillin and Clavulanate Potassium in Patients with Severe Renal Impairment

Patients with Renal Impairment

Dosing Regimen

GFR 10 mL/min to 30 mL/min

500 mg or 250 mg every 12 hours, depending on the severity of the infection

GFR less than 10 mL/min

500 mg or 250 mg every 24 hours, depending on severity of the infection

Hemodialysis

500 mg or 250 mg every 24 hours, depending on severity of the infection



Administer an additional dose both during and at the end of dialysis



16 How Supplied/storage and Handling

Amoxicillin and Clavulanate Potassium Tablets, USP:

500 mg/125 mg Tablets: White to off-white colored, capsule shaped, biconvex, film-coated tablets debossed with “I 06” on one side and plain on the other side. Each tablet contains 500 mg of amoxicillin as the trihydrate and 125 mg of clavulanic acid as the potassium salt (equivalent to 149 mg of clavulanate potassium).

NDC: 72162-2433-1: 100 Tablets in a BOTTLE

NDC: 72162-2433-2: 20 Tablets in a BOTTLE

Store at 20° to 25°C (68° to 77°F) [see USP Controlled Room Temperature]. Dispense in original container. Advise patients to keep in closed container.

Keep out of the reach of children.

Repackaged/Relabeled by:

Bryant Ranch Prepack, Inc.

Burbank, CA 91504

4.1 Serious Hypersensitivity Reactions

Amoxicillin and clavulanate potassium tablets are contraindicated in patients with a history of serious hypersensitivity reactions (e.g., anaphylaxis or Stevens-Johnson syndrome) to amoxicillin, clavulanate or to other beta‑lactam antibacterial drugs (e.g., penicillins and cephalosporins).

5.2 Severe Cutaneous Adverse Reactions


Amoxicillin and clavulanate potassium may cause severe cutaneous adverse reactions (SCAR), such as Stevens-Johnson syndrome (SJS), toxic epidermal necrolysis (TEN), drug reaction with eosinophilia and systemic symptoms (DRESS), and acute generalized exanthematous pustulosis (AGEP). If patients develop a skin rash, they should be monitored closely, and amoxicillin and clavulanate potassium discontinued if lesions progress.

5.7 Potential for Microbial Overgrowth


The possibility of superinfections with fungal or bacterial pathogens should be considered during therapy. If superinfection occurs, amoxicillin and clavulanate potassium should be discontinued and appropriate therapy instituted.

2.1 Important Administration Instructions

Amoxicillin and clavulanate potassium tablets may be taken without regard to meals; however, absorption of clavulanate potassium is enhanced when amoxicillin and clavulanate potassium tablets are administered at the start of a meal. To minimize the potential for gastrointestinal intolerance, amoxicillin and clavulanate potassium tablets should be taken at the start of a meal.

5.9 Development of Drug Resistant Bacteria


Prescribing amoxicillin and clavulanate potassium in the absence of a proven or strongly suspected bacterial infection or a prophylactic indication is unlikely to provide benefit to the patient and increases the risk of the development of drug‑resistant bacteria.

4.2 Cholestatic Jaundice/hepatic Dysfunction

Amoxicillin and clavulanate potassium tablets are contraindicated in patients with a previous history of cholestatic jaundice/hepatic dysfunction associated with amoxicillin and clavulanate potassium.

5.6 Skin Rash in Patients With Mononucleosis


A high percentage of patients with mononucleosis who receive amoxicillin develop an erythematous skin rash. Thus, amoxicillin and clavulanate potassium should not be administered to patients with mononucleosis.

5.3 Drug Induced Enterocolitis Syndrome (dies)


Drug-induced enterocolitis syndrome (DIES) has been reported with use of amoxicillin, a component of amoxicillin and clavulanate potassium [see Adverse Reactions ( 6.2)] , with most cases occurring in pediatric patients ≤18 years of age. DIES is a non-IgE mediated hypersensitivity reaction characterized by protracted vomiting occurring 1 to 4 hours after drug ingestion in the absence of skin or respiratory symptoms. DIES may be associated with pallor, lethargy, hypotension, shock, diarrhea within 24 hours of ingesting amoxicillin, and leukocytosis with neutrophilia. If DIES occurs, discontinue amoxicillin and clavulanate potassium and institute appropriate therapy.

2.6 Switching Between Dosage Forms and Between Strengths

Amoxicillin and Clavulanate Potassium 250 mg/125 mg Tablet is NOTSubstitutable with Amoxicillin and Clavulanate Potassium 250 mg/62.5 mg Chewable Tablet



The 250 mg/125 mg tablet of amoxicillin and clavulanate potassium and the 250 mg/62.5 mg chewable tablet of amoxicillin and clavulanate potassium should NOTbe substituted for each other and the 250 mg/125 mg tablet of amoxicillin and clavulanate potassium should NOTbe used in pediatric patients weighing less than 40 kg [see Dosage and Administration ( 2.3)]. The 250 mg/125 mg tablet of amoxicillin and clavulanate potassium and the 250 mg/62.5 mg chewable tablet of amoxicillin and clavulanate potassium do not contain the same amount of clavulanic acid. The 250 mg/125 mg tablet of amoxicillin and clavulanate potassium contains 125 mg of clavulanic acid whereas the 250 mg/62.5 mg chewable tablet of amoxicillin and clavulanate potassium contains 62.5 mg of clavulanic acid.



Two Amoxicillin and Clavulanate Potassium 250 mg/125 mg Tablets are NOTSubstitutable with One 500 mg/125 mg Amoxicillin and Clavulanate Potassium Tablet



Two 250 mg/125 mg tablets of amoxicillin and clavulanate potassium should NOTbe substituted for one 500 mg/125 mg tablet of amoxicillin and clavulanate potassium. Since both the 250 mg/125 mg and 500 mg/125 mg tablets of amoxicillin and clavulanate potassium contain the same amount of clavulanic acid (125 mg, as the potassium salt), two 250 mg/125 mg tablets of amoxicillin and clavulanate potassium are not equivalent to one 500 mg/125 mg tablet of amoxicillin and clavulanate potassium.

13.1 Carcinogenesis, Mutagenesis, Impairment of Fertility

Long‑term studies in animals have not been performed to evaluate carcinogenic potential.



Amoxicillin and clavulanate potassium (4:1 ratio formulation of amoxicillin:clavulanate) was non-mutagenic in the Ames bacterial mutation assay, and the yeast gene conversion assay. Amoxicillin and clavulanate potassium was weakly positive in the mouse lymphoma assay, but the trend toward increased mutation frequencies in this assay occurred at doses that were also associated with decreased cell survival. Amoxicillin and clavulanate potassium was negative in the mouse micronucleus test, and in the dominant lethal assay in mice. Potassium clavulanate alone was tested in the Ames bacterial mutation assay and in the mouse micronucleus test and was negative in each of these assays.



Amoxicillin and clavulanate potassium (2:1 ratio formulation of amoxicillin:clavulanate) at oral doses of up to 1,200 mg/kg/day was found to have no effect on fertility and reproductive performance in rats. Based on body surface area, this dose of amoxicillin is approximately 4 times the maximum recommended adult human oral dose (875 mg every 12 hours). For clavulanate, the dose multiple is approximately 9 times higher than the maximum recommended adult human oral dose (125 mg every 8 hours), also based on body surface area.

14.2 Acute Bacterial Otitis Media and Diarrhea in Pediatric Patients

One US/Canadian clinical trial was conducted which compared 45/6.4 mg/kg/day (divided every 12 hours) of amoxicillin and clavulanate potassium for 10 days versus 40/10 mg/kg/day (divided every 8 hours) of amoxicillin and clavulanate potassium for 10 days in the treatment of acute otitis media. Only the suspension formulations were used in this trial. A total of 575 pediatric patients (aged 2 months to 12 years) were enrolled, with an even distribution among the 2 treatment groups and a comparable number of patients were evaluable (i.e., greater than or equal to 84%) per treatment group. Otitis media‑specific criteria were required for eligibility and a strong correlation was found at the end of therapy and follow‑up between these criteria and physician assessment of clinical response. The clinical efficacy rates at the end of therapy visit (defined as 2 to 4 days after the completion of therapy) and at the follow‑up visit (defined as 22 to 28 days post‑completion of therapy) were comparable for the 2 treatment groups, with the following cure rates obtained for the evaluable patients: At end of therapy, 87% (n equals 265) and 82% (n equals 260) for 45 mg/kg/day every 12 hours and 40 mg/kg/day every 8 hours, respectively. At follow‑up, 67% (n equals 249) and 69% (n equals 243) for 45 mg/kg/day every 12 hours and 40 mg/kg/day every 8 hours, respectively.



Diarrhea was defined as either: (a) 3 or more watery or 4 or more loose/watery stools in 1 day; OR (b) 2 watery stools per day or 3 loose/watery stools per day for 2 consecutive days. The incidence of diarrhea was significantly lower in patients who received the every 12 hours regimen compared to patients who received the every 8 hours regimen (14% and 34%, respectively). In addition, the number of patients with either severe diarrhea or who were withdrawn with diarrhea was significantly lower in the every 12 hours treatment group (3% and 8% for the every 12 hours/10 day and every 8 hours/10 day, respectively). In the every 12 hours treatment group, 3 patients (1%) were withdrawn with an allergic reaction, while 1 patient in the every 8 hours group was withdrawn for this reason. The number of patients with a candidal infection of the diaper area was 4% and 6% for the every 12 hours and every 8 hours groups, respectively.



It is not known if the finding of a statistically significant reduction in diarrhea with the oral suspensions dosed every 12 hours, versus suspensions dosed every 8 hours of amoxicillin and clavulanate potassium, can be extrapolated to the chewable tablets of amoxicillin and clavulanate potassium. The presence of mannitol in the chewable tablets of amoxicillin and clavulanate potassium may contribute to a different diarrhea profile.

14.1 Lower Respiratory Tract and Complicated Urinary Tract Infections

Data from 2 pivotal trials in 1,191 patients treated for either lower respiratory tract infections or complicated urinary tract infections compared a regimen of 875 mg/125 mg tablets of amoxicillin and clavulanate potassium every 12 hours to 500 mg/125 mg tablets of amoxicillin and clavulanate potassium dosed every 8 hours (584 and 607 patients, respectively). Comparable efficacy was demonstrated between the every 12 hours and every 8 hours dosing regimens. There was no significant difference in the percentage of adverse events in each group. The most frequently reported adverse event was diarrhea; incidence rates were similar for the 875 mg every 12 hours and 500 mg every 8 hours dosing regimens (15% and 14%, respectively); however, there was a statistically significant difference (p less than 0.05) in rates of severe diarrhea or withdrawals with diarrhea between the regimens: 1% for 875 mg every 12 hours regimen versus 2% for the 500 mg every 8 hours regimen.



In one of these pivotal trials, patients with either pyelonephritis (n equals 361) or a complicated urinary tract infection (i.e., patients with abnormalities of the urinary tract that predispose to relapse of bacteriuria following eradication, n equals 268) were randomized (1:1) to receive either 875 mg/125 mg tablets of amoxicillin and clavulanate potassium every 12 hours (n equals 308) or 500 mg/125 mg tablets of amoxicillin and clavulanate potassium every 8 hours (n equals 321).



The number of bacteriologically evaluable patients was comparable between the two dosing regimens. Amoxicillin and clavulanate potassium produced comparable bacteriological success rates in patients assessed 2 to 4 days immediately following end of therapy. The bacteriologic efficacy rates were comparable at one of the follow‑up visits (5 to 9 days post‑therapy) and at a late post‑therapy visit (in the majority of cases, this was 2 to 4 weeks post-therapy), as seen in Table 8.



Table 8: Bacteriologic Efficacy Rates for A moxicillin and Clavulanate Potassium

Time Post Therapy

875 mg every 12 hours % (n)

500 mg every 8 hours % (n)

2 to 4 days

81% (58)

80% (54)

5 to 9 days

58% (41)

52% (52)

2 to 4 weeks

52% (101)

55% (104)



As noted, before, though there was no significant difference in the percentage of adverse events in each group, there was a statistically significant difference in rates of severe diarrhea or withdrawals with diarrhea between the regimens.


Structured Label Content

Section 43683-2 (43683-2)

Warnings and Precautions, Drug-Induced Enterocolitis Syndrome (DIES) ( 5.3)    05/2024

Section 51945-4 (51945-4)

Amox/Clavulanate Potass 500/125mg Tab#100

10 Overdosage (10 OVERDOSAGE)

In case of overdosage, discontinue medication, treat symptomatically, and institute supportive measures as required. A prospective study of 51 pediatric patients at a poison-control center suggested that overdosages of less than 250 mg/kg of amoxicillin are not associated with significant clinical symptoms 1.



Interstitial nephritis resulting in oliguric renal failure has been reported in patients after overdosage with amoxicillin and clavulanate potassium.



Crystalluria, in some cases leading to renal failure, has also been reported after amoxicillin and clavulanate potassium overdosage in adult and pediatric patients. In case of overdosage, adequate fluid intake and diuresis should be maintained to reduce the risk of amoxicillin and clavulanate potassium crystalluria.



Renal impairment appears to be reversible with cessation of drug administration. High blood levels may occur more readily in patients with impaired renal function because of decreased renal clearance of amoxicillin and clavulanate potassium. Amoxicillin and clavulanate potassium may be removed from circulation by hemodialysis [see Dosage and Administration ( 2.4)] .



15 References (15 REFERENCES)

1. Swanson-Biearman B, Dean BS, Lopez G, Krenzelok EP. The effects of penicillin and cephalosporin ingestions in children less than six years of age. Vet Hum Toxicol. 1988; 30: 66‑67.

8.1 Pregnancy

Teratogenic Effects:Reproduction studies performed in pregnant rats and mice given amoxicillin and clavulanate potassium (2:1 ratio formulation of amoxicillin:clavulanate) at oral doses up to 1200 mg/kg/day revealed no evidence of harm to the fetus due to amoxicillin and clavulanate potassium. The amoxicillin doses in rats and mice (based on body surface area) were approximately 4 and 2 times the maximum recommended adult human oral dose (875 mg every 12 hours). For clavulanate, these dose multiples were approximately 9 and 4 times the maximum recommended adult human oral dose (125 mg every 8 hours). There are, however, no adequate and well-controlled studies in pregnant women. Because animal reproduction studies are not always predictive of human response, this drug should be used during pregnancy only if clearly needed.

11 Description (11 DESCRIPTION)

Amoxicillin and clavulanate potassium tablets, USP is an oral antibacterial combination consisting of amoxicillin and the beta‑lactamase inhibitor, clavulanate potassium (the potassium salt of clavulanic acid).



Amoxicillin, USP is an analog of ampicillin, derived from the basic penicillin nucleus, 6‑aminopenicillanic acid. The amoxicillin molecular formula is C 16H 19N 3O 5S•3H 2O, and the molecular weight is 419.46. Chemically, amoxicillin, USP is ( 2S,5R,6R)-6-[( R)-(-)-2-Amino-2-( p-hydroxyphenyl)acetamido]-3,3-dimethyl-7-oxo-4-thia-1-azabicyclo[3.2.0]heptane-2-carboxylic acid trihydrate and may be represented structurally as:



Clavulanic acid is produced by the fermentation of Streptomyces clavuligerus. It is a beta-lactam structurally related to the penicillins and possesses the ability to inactivate some beta‑lactamases by blocking the active sites of these enzymes. The clavulanate potassium molecular formula is C 8H 8KNO 5, and the molecular weight is 237.25. Chemically, clavulanate potassium, USP is potassium ( Z)-( 2R,5R)-3-(2-hydroxyethylidene)-7-oxo-4-oxa-1-azabicyclo[3.2.0]-heptane-2-carboxylate and may be represented structurally as:



Amoxicillin and Clavulanate Potassium Tablets, USP:

  • 250 mg/125 mg: Each tablet contains 250 mg of amoxicillin, USP as the trihydrate, and 125 mg of clavulanic acid (equivalent to 149 mg of clavulanate potassium, USP).
  • 500 mg/125 mg:Each tablet contains 500 mg of amoxicillin, USP as the trihydrate, and 125 mg of clavulanic acid (equivalent to 149 mg of clavulanate potassium, USP).
  • 875 mg/125 mg:Each tablet contains 875 mg of amoxicillin, USP as the trihydrate, and 125 mg of clavulanic acid (equivalent to 149 mg of clavulanate potassium, USP).  

Inactive Ingredients:colloidal silicon dioxide, ethylcellulose, hypromellose, magnesium stearate, microcrystalline cellulose, propylene glycol, sodium starch glycolate, talc and titanium dioxide.



Each tablet of amoxicillin and clavulanate potassium tablets contains 0.63 mEq potassium.

7.1 Probenecid

Probenecid decreases the renal tubular secretion of amoxicillin but does not delay renal excretion of clavulanic acid. Concurrent use with amoxicillin and clavulanate potassium tablets may result in increased and prolonged blood concentrations of amoxicillin. Co-administration of probenecid is not recommended.

7.3 Allopurinol

The concurrent administration of allopurinol and amoxicillin increases the incidence of rashes in patients receiving both drugs as compared to patients receiving amoxicillin alone. It is not known whether this potentiation of amoxicillin rashes is due to allopurinol or the hyperuricemia present in these patients.

12.4 Microbiology

Amoxicillin is a semisynthetic antibacterial with in vitrobactericidal activity against Gram-positive and Gram-negative bacteria. Amoxicillin is, however, susceptible to degradation by beta-lactamases, and therefore, the spectrum of activity does not include organisms which produce these enzymes. Clavulanic acid is a beta-lactam, structurally related to the penicillins, which possesses the ability to inactivate some beta-lactamase enzymes commonly found in microorganisms resistant to penicillins and cephalosporins. In particular, it has good activity against the clinically important plasmid-mediated beta-lactamases frequently responsible for transferred drug resistance.



The formulation of amoxicillin and clavulanic acid in amoxicillin and clavulanate potassium tablets protects amoxicillin from degradation by some beta-lactamase enzymes and extends the antibacterial spectrum of amoxicillin to include many bacteria normally resistant to amoxicillin.



Amoxicillin and clavulanic acid has been shown to be active against most isolates of the following bacteria, both in vitroand in clinical infections [see Indications and Usage ( 1)] .



Gram-positive bacteria

Staphylococcus aureus



Gram-negative bacteria

Enterobacterspecies

Escherichia coli

Haemophilus influenzae

Klebsiellaspecies

Moraxella catarrhalis



The following in vitrodata are available, but their clinical significance is unknown. At least 90 percent of the following bacteria exhibit an in vitrominimum inhibitory concentration (MIC) less than or equal to the susceptible breakpoint for amoxicillin and clavulanic acid. However, the efficacy of amoxicillin and clavulanic acid in treating clinical infections due to these bacteria has not beenestablished in adequate and well-controlled clinical trials.



Gram-positive bacteria

Enterococcus faecalis

Staphylococcus epidermidis

Staphylococcus saprophyticus

Streptococcus pneumoniae

Streptococcus pyogenes

Viridans group Streptococcus



Gram-negative Bacteria

Eikenella corrodens

Proteus mirabilis



Anaerobic Bacteria

Bacteroidesspecies including Bacteroides fragilis

Fusobacteriumspecies

Peptostreptococcusspecies



Susceptibility Test Methods

For specific information regarding susceptibility test interpretive criteria and associated test methods and quality control standards recognized by FDA for this drug, please see: https://www.fda.gov/STIC .

8.4 Pediatric Use

The safety and effectiveness of amoxicillin and clavulanate potassium for oral suspension and chewable tablets have been established in pediatric patients. Use of amoxicillin and clavulanate potassium in pediatric patients is supported by evidence from studies of amoxicillin and clavulanate potassium tablets in adults with additional data from a study of amoxicillin and clavulanate potassium for oral suspension in pediatric patients aged 2 months to 12 years with acute otitis media [see Clinical Studies ( 14.2)] .



Because of incompletely developed renal function in neonates and young infants, the elimination of amoxicillin may be delayed; clavulanate elimination is unaltered in this age group. Dosing of amoxicillin and clavulanate potassium should be modified in pediatric patients aged less than 12 weeks (less than 3 months) [see Dosage and Administration ( 2.3)] .

8.5 Geriatric Use

Of the 3,119 patients in an analysis of clinical studies of amoxicillin and clavulanate potassium, 32% were greater than or equal to 65 years old, and 14% were greater than or equal to 75 years old. No overall differences in safety or effectiveness were observed between these subjects and younger subjects, and other reported clinical experience has not identified differences in responses between the elderly and younger patients, but greater sensitivity of some older individuals cannot be ruled out.



This drug is known to be substantially excreted by the kidney, and the risk of adverse reactions to this drug may be greater in patients with impaired renal function. Because elderly patients are more likely to have decreased renal function, care should be taken in dose selection, and it may be useful to monitor renal function.

2.2 Adult Patients

See dosing regimens of amoxicillin and clavulanate potassium (based on the amoxicillin component) provided in Table 1 below.

Table 1. Dosing Regimens of Amoxicillin and Clavulanate Potassium in Adult Patients

TYPE OF INFECTION

DOSING REGIMEN OF AMOXICILLIN AND CLAVULANATE POTASSIUM

Severe infections and infections of the respiratory tract

one 875 mg tablet aof amoxicillin and clavulanate potassium every 12 hours

or

one 500 mg tablet b,cof amoxicillin and clavulanate potassium every 8 hours

Less severe infections

one 500 mg tablet b,cof amoxicillin and clavulanate potassium every 12 hours

or

one 250 mg tablet dof amoxicillin and clavulanate potassium every 8 hours

a   Adults who have difficulty swallowing may be given the amoxicillin and clavulanate potassium 200 mg/28.5 mg per 5 mL suspension or the amoxicillin and clavulanate potassium 400 mg/57 mg per 5 mL suspension may be used in place of the 875 mg/125 mg tablet.

b  Adults who have difficulty swallowing may be given the amoxicillin and clavulanate potassium 125 mg/31.25 mg per 5 mL suspension or amoxicillin and clavulanate potassium 250 mg/62.5 mg per 5 mL suspension in place of the 500 mg/125 mg tablet.

c  Two amoxicillin and clavulanate potassium 250 mg/125 mg tablets are NOTsubstitutable with one 500 mg/125 mg amoxicillin and clavulanate potassium tablet [see Dosage and Administration ( 2.6)] .

d  Amoxicillin and clavulanate potassium 250 mg/125 mg tablet is NOTsubstitutable with amoxicillin and clavulanate potassium 250 mg/62.5 mg chewable tablet [see Dosage and Administration ( 2.6)]

4 Contraindications (4 CONTRAINDICATIONS)
  • History of a serious hypersensitivity reaction (e.g., anaphylaxis or Stevens-Johnson syndrome) to amoxicillin and clavulanate potassium or to other beta‑lactams (e.g., penicillins or cephalosporins). ( 4.1)
  • History of cholestatic jaundice/hepatic dysfunction associated with amoxicillin and clavulanate potassium. ( 4.2)


6 Adverse Reactions (6 ADVERSE REACTIONS)

The following are discussed in more detail in other sections of the labeling:

  • Anaphylactic reactions [see Warnings and Precautions ( 5.1)]
  • Severe Cutaneous Adverse Reactions [see Warnings and Precautions ( 5.2)]
  • Drug-Induced Enterocolitis Syndrome (DIES) [see Warnings and Precautions ( 5.3)] 
  • Hepatic Dysfunction [see Warnings and Precautions ( 5.4)]
  • Clostridioides difficileAssociated Diarrhea (CDAD) [see Warnings and Precautions ( 5.5)]


7 Drug Interactions (7 DRUG INTERACTIONS)
  • Co-administration with probenecid is not recommended. ( 7.1)
  • Concomitant use of amoxicillin and clavulanate potassium tablets and oral anticoagulants may increase the prolongation of prothrombin time. ( 7.2)
  • Co-administration with allopurinol increases the risk of rash. ( 7.3)
  • Amoxicillin and clavulanate potassium tablets may reduce efficacy of oral contraceptives. ( 7.4)


8.3 Nursing Mothers

Amoxicillin has been shown to be excreted in human milk. Amoxicillin and clavulanate potassium use by nursing mothers may lead to sensitization of infants. Caution should be exercised when amoxicillin and clavulanate potassium is administered to a nursing woman.

8.6 Renal Impairment

Amoxicillin is primarily eliminated by the kidney and dosage adjustment is usually required in patients with severe renal impairment (GFR less than 30 mL/min). See Patients with Renal Impairment [see Dosage and Administration ( 2.4)] for specific recommendations in patients with renal impairment.

12.3 Pharmacokinetics

Mean amoxicillin and clavulanate potassium pharmacokinetic parameters in normal adults following administration of amoxicillin and clavulanate potassium tablets are shown in Table 6 and following administration of amoxicillin and clavulanate potassium for oral suspension and chewable tablets are shown in Table 7.



Table 6: Mean (±S.D.) Amoxicillin and Clavulanate Potassium Pharmacokinetic Parameters a,bwith A moxicillin and Clavulanate Potassium Tablets

Dose and Regimen of Amoxicillin and Clavulanate Potassium

C max(mcg/mL)

AUC 0 to 24(mcg*h/mL)

Amoxicillin and Clavulanate potassium

Amoxicillin

Clavulanate potassium

Amoxicillin

Clavulanate potassium

250 mg/125 mg every 8 hours

3.3 ± 1.12

1.5 ± 0.70

26.7 ± 4.56

12.6 ± 3.25

500 mg/125 mg every 12 hours

6.5 ± 1.41

1.8 ± 0.61

33.4 ± 6.76

8.6 ± 1.95

500 mg/125 mg every 8 hours

7.2 ± 2.26

2.4 ± 0.83

53.4 ± 8.87

15.7 ± 3.86

875 mg/125 mg every 12 hours

11.6 ± 2.78

2.2 ± 0.99

53.5 ± 12.31

10.2 ± 3.04

a  Mean (± standard deviation) values of 14 normal adults (N equals 15 for clavulanate potassium in the low-dose regimens). Peak concentrations occurred approximately 1.5 hours after the dose.

b  Amoxicillin and clavulanate potassium administered at the start of a light meal.



Table 7: Mean (±S.D.) Amoxicillin and Clavulanate Potassium Pharmacokinetic Parameters a,bwith Amoxicillin and Clavulanate Potassium for Oral Suspension and Chewable Tablets

Dose of Amoxicillin and Clavulanate Potassium

C max(mcg/mL)

AUC 0 to 24(mcg*h/mL)

Amoxicillin and Clavulanate potassium

Amoxicillin

Clavulanate potassium

Amoxicillin

Clavulanate potassium

400 mg/57 mg (5 mL of suspension)

6.94 ± 1.24

1.10 ± 0.42

17.29 ± 2.28

2.34 ± 0.94

400 mg/57 mg (1 chewable tablet)

6.67 ± 1.37

1.03 ± 0.33

17.24 ± 2.64

2.17 ± 0.73

a  Mean (± standard deviation) values of 28 normal adults. Peak concentrations occurred approximately 1 hour after the dose.

b  Amoxicillin and clavulanate potassium administered at the start of a light meal.



Oral administration of 5 mL of the 250 mg/62.5 mg suspension of amoxicillin and clavulanate potassium or the equivalent dose of 10 mL of the 125 mg/31.25 mg suspension of amoxicillin and clavulanate potassium provides average peak serum concentrations approximately 1 hour after dosing of 6.9 mcg/mL for amoxicillin and 1.6 mcg/mL for clavulanic acid. The areas under the serum concentration curves obtained during the first 4 hours after dosing were 12.6 mcg*h/mL for amoxicillin and 2.9 mcg*h/mL for clavulanic acid when 5 mL of the 250 mg/62.5 mg suspension of amoxicillin and clavulanate potassium or equivalent dose of 10 mL of the 125 mg/31.25 mg suspension of amoxicillin and clavulanate potassium were administered to normal adults. One 250 mg/62.5 mg chewable tablet of amoxicillin and clavulanate potassium or two 125 mg/31.25 mg chewable tablets of amoxicillin and clavulanate potassium are equivalent to 5 mL of the 250 mg/62.5 mg suspension of amoxicillin and clavulanate potassium and provide similar serum concentrations of amoxicillin and clavulanic acid.



Amoxicillin serum concentrations achieved with amoxicillin and clavulanate potassium tablet are similar to those produced by the oral administration of equivalent doses of amoxicillin alone. Time above the minimum inhibitory concentration of 1 mcg/mL for amoxicillin has been shown to be similar after corresponding every 12 hour and every 8-hour dosing regimens of amoxicillin and clavulanate potassium tablets in adults and children.



Absorption:Dosing in the fasted or fed state has minimal effect on the pharmacokinetics of amoxicillin. While amoxicillin and clavulanate potassium tablets can be given without regard to meals, absorption of clavulanate potassium when taken with food is greater relative to the fasted state. In one study, the relative bioavailability of clavulanate was reduced when amoxicillin and clavulanate potassium tablets was dosed at 30 and 150 minutes after the start of a high‑fat breakfast.



Distribution:Neither component in amoxicillin and clavulanate potassium tablet is highly protein‑bound; clavulanic acid is approximately 25% bound to human serum and amoxicillin approximately 18% bound.



Amoxicillin diffuses readily into most body tissues and fluids with the exception of the brain and spinal fluid.



Two hours after oral administration of a single 35 mg/kg dose of suspension of amoxicillin and clavulanate potassium to fasting children, average concentrations of 3 mcg/mL of amoxicillin and 0.5 mcg/mL of clavulanic acid were detected in middle ear effusions.



Metabolism and Excretion:The half‑life of amoxicillin after the oral administration of amoxicillin and clavulanate potassium tablet is 1.3 hours and that of clavulanic acid is 1 hour.



Approximately 50% to 70% of the amoxicillin and approximately 25% to 40% of the clavulanic acid are excreted unchanged in urine during the first 6 hours after administration of a single 250 mg/125 mg or 500 mg/125 mg tablet of amoxicillin and clavulanate potassium.

2.3 Pediatric Patients

Based on the amoxicillin component, amoxicillin and clavulanate potassium should be dosed as follows:

Neonates and Infants Aged less than 12 weeks (less than 3 months): See dosing regimens of amoxicillin and clavulanate potassium provided in Table 2 below.

Table 2: Dosing Regimens of Amoxicillin and Clavulanate Potassium in Neonates and Infants Aged Less than 12 Weeks (Less than 3 Months)

PATIENT POPULATION

DOSING REGIMEN

A moxicillin and Clavulanate Potassium 125 mg/31.25 mg per 5 mL for oral suspension a

Neonates and Infants aged less than 12 weeks (less than 3 months)

30 mg/kg/day every 12 hours

a  Experience with the amoxicillin and clavulanate potassium for oral suspension 200 mg/28.5 mg per 5 mL formulation in this age group is limited, and thus, use of the amoxicillin and clavulanate potassium 125 mg/31.25 mg per 5 mL for oral suspension is recommended.



Patients Aged 12 weeks (3 months) and Older and Weighing Less than 40 kg: See dosing regimens provided in Table 3 below.

• The every 12 hour regimen is recommended as it is associated with significantly less diarrhea [see Clinical Studies ( 14.2)] . Table 3: Dosing in Patients Aged 12 Weeks (3 Months) and Older and Weighing Less than 40 kg

INFECTION

DOSING REGIMEN

Every 12 hours

Every 8 hours

Amoxicillin and clavulanate potassium for oral suspension 200 mg/28.5 mg per 5 mL

or

Amoxicillin and clavulanate potassium 400 mg/57 mg per 5 mL for oral suspension a

Amoxicillin and clavulanate potassium for oral suspension 125 mg/31.25 mg per 5 mL

or

Amoxicillin and clavulanate potassium 250 mg/62.5 mg per 5 mL for oral suspension a

Otitis media b, sinusitis, lower respiratory tract infections, and more severe infections

45 mg/kg/day every 12 hours

40 mg/kg/day every 8 hours

Less severe infections

25 mg/kg/day every 12 hours

20 mg/kg/day every 8 hours

a  Each strength of amoxicillin and clavulanate potassium for oral suspension is available as a chewable tablet for use by older children.

b  Duration of therapy studied and recommended for acute otitis media is 10 days.



Patients Weighing 40 kg or More: Pediatric patients weighing 40 kg or more should be dosed according to adult recommendations.

• The 250 mg/125 mg tablet of amoxicillin and clavulanate potassium should NOTbe used until the child weighs at least 40 kg, due to the different amoxicillin to clavulanic acid ratios in the 250 mg/125 mg tablet of amoxicillin and clavulanate potassium versus the 250 mg/62.5 mg chewable tablet of amoxicillin and clavulanate potassium.  

8.2 Labor and Delivery

Oral ampicillin‑class antibacterials are poorly absorbed during labor. It is not known whether use of amoxicillin and clavulanate potassium in humans during labor or delivery has immediate or delayed adverse effects on the fetus, prolongs the duration of labor, or increases the likelihood of the necessity for an obstetrical intervention.

1 Indications and Usage (1 INDICATIONS AND USAGE)

Amoxicillin and clavulanate potassium tablets are indicated for the treatment of infections in adults and pediatric patients, due to susceptible isolates of the designated bacteria in the conditions listed below:

Lower Respiratory Tract Infections- caused by beta‑lactamase‑producing isolates of Haemophilus influenzaeand Moraxella catarrhalis.

Acute Bacterial Otitis Media- caused by beta‑lactamase‑producing isolates of H. influenzaeand M. catarrhalis.

Sinusitis- caused by beta‑lactamase‑producing isolates of H. influenzaeand M. catarrhalis.

Skin and Skin Structure Infections- caused by beta‑lactamase‑producing isolates of Staphylococcus aureus, Escherichia coli,and Klebsiellaspecies.

Urinary Tract Infections- caused by beta‑lactamase‑producing isolates of E. coli, Klebsiellaspecies, and Enterobacterspecies.

Limitations of Use

When susceptibility test results show susceptibility to amoxicillin, indicating no beta-lactamase production, amoxicillin and clavulanate potassium tablets should not be used.

Usage

To reduce the development of drug‑resistant bacteria and maintain the effectiveness of amoxicillin and clavulanate potassium tablets and other antibacterial drugs, amoxicillin and clavulanate potassium tablets should be used only to treat or prevent infections that are proven or strongly suspected to be caused by susceptible bacteria. When culture and susceptibility information are available, they should be considered in selecting or modifying antibacterial therapy. In the absence of such data, local epidemiology and susceptibility patterns may contribute to the empiric selection of therapy.

5.4 Hepatic Dysfunction


Hepatic dysfunction, including hepatitis and cholestatic jaundice has been associated with the use of amoxicillin and clavulanate potassium. Hepatic toxicity is usually reversible; however, deaths have been reported. Hepatic function should be monitored at regular intervals in patients with hepatic impairment.

7.2 Oral Anticoagulants

Abnormal prolongation of prothrombin time (increased international normalized ratio [INR]) has been reported in patients receiving amoxicillin and oral anticoagulants. Appropriate monitoring should be undertaken when anticoagulants are prescribed concurrently with amoxicillin and clavulanate potassium tablets. Adjustments in the dose of oral anticoagulants may be necessary to maintain the desired level of anticoagulation.

7.4 Oral Contraceptives

Amoxicillin and clavulanate potassium may affect intestinal flora, leading to lower estrogen reabsorption and reduced efficacy of combined oral estrogen/progesterone contraceptives.

12.1 Mechanism of Action

Amoxicillin and clavulanate potassium is an antibacterial drug [see Microbiology ( 12.4)] .

5 Warnings and Precautions (5 WARNINGS AND PRECAUTIONS)

• Serious (including fatal) hypersensitivity reactions: Discontinue amoxicillin and clavulanate potassium if a reaction occurs. ( 5.1)

• Severe Cutaneous Adverse Reactions (SCAR): Monitor closely. Discontinue if rash progresses. ( 5.2)

• Drug-induced enterocolitis syndrome (DIES) has been reported with use of amoxicillin, a component of amoxicillin and clavulanate potassium. If this occurs, discontinue amoxicillin and clavulanate potassium and institute appropriate therapy. ( 5.3)

• Hepatic dysfunction and cholestatic jaundice: Discontinue if signs/symptoms of hepatitis occur. Monitor liver function tests in patients with hepatic impairment. ( 5.4)

Clostridioides difficile-associated diarrhea (CDAD): Evaluate patients if diarrhea occurs. ( 5.5)

• Patients with mononucleosis who receive amoxicillin and clavulanate potassium develop skin rash. Avoid amoxicillin and clavulanate potassium use in these patients. ( 5.6)

• Overgrowth: The possibility of superinfections with fungal or bacterial pathogens should be considered during therapy. ( 5.7)



2 Dosage and Administration (2 DOSAGE AND ADMINISTRATION)
  • Adults and Pediatric Patients greater than 40 kg: 500 or 875 mg every 12 hours or 250 or 500 mg every 8 hours, based on amoxicillin component. ( 2.2, 2.3)
  • Pediatric patients aged 12 weeks (3 months) and older: 25 to 45 mg/kg/day every 12 hours or 20 to 40 mg/kg/day every 8 hours, up to the adult dose. ( 2.3)
  • Neonates and infants less than 12 weeks of age: 30 mg/kg/day divided every 12 hours, based on the amoxicillin component. Use of the 125 mg/5 mL oral suspension is recommended. ( 2.3)


3 Dosage Forms and Strengths (3 DOSAGE FORMS AND STRENGTHS)

Amoxicillin and Clavulanate Potassium Tablets, USP:

  • 250 mg/125 mg Tablets:White to off-white colored, capsule shaped, biconvex, film-coated tablets, debossed with “I 05” on one side and plain on the other side. Each tablet contains 250 mg of amoxicillin as the trihydrate and 125 mg clavulanic acid as the potassium salt.
  • 500 mg/125 mg Tablets:White to off-white colored, capsule shaped, biconvex, film-coated tablets debossed with “I 06” on one side and plain on the other side. Each tablet contains 500 mg amoxicillin as the trihydrate and 125 mg clavulanic acid as the potassium salt.
  • 875 mg/125 mg Tablets:  White to off-white colored, capsule shaped, biconvex, film-coated tablets debossed with “I 07” on one side and score line on the other side. Each tablet contains 875 mg amoxicillin as the trihydrate and 125 mg clavulanic acid as the potassium salt.


5.5 Clostridioides Difficile (5.5 Clostridioides difficile)


Clostridioides difficileassociated diarrhea (CDAD) has been reported with use of nearly all antibacterial agents, including amoxicillin and clavulanate potassium, and may range in severity from mild diarrhea to fatal colitis. Treatment with antibacterial agents alters the normal flora of the colon leading to overgrowth of C. difficile.



C. difficileproduces toxins A and B which contribute to the development of CDAD. Hypertoxin-producing strains of C. difficilecause increased morbidity and mortality, as these infections can be refractory to antimicrobial therapy and may require colectomy. CDAD must be considered in all patients who present with diarrhea following antibacterial use. Careful medical history is necessary since CDAD has been reported to occur over 2 months after the administration of antibacterial agents.



If CDAD is suspected or confirmed, ongoing antibacterial use not directed against C. difficilemay need to be discontinued. Appropriate fluid and electrolyte management, protein supplementation, antibacterial treatment of C. difficile,and surgical evaluation should be instituted as clinically indicated.



6.2 Postmarketing Experience

In addition to adverse reactions reported from clinical trials, the following have been identified during postmarketing use of amoxicillin and clavulanate potassium. Because they are reported voluntarily from a population of unknown size, estimates of frequency cannot be made. These events have been chosen for inclusion due to a combination of their seriousness, frequency of reporting, or potential causal connection to amoxicillin and clavulanate potassium.



Gastrointestinal:Drug-induced enterocolitis syndrome (DIES), indigestion, gastritis, stomatitis, glossitis, black “hairy” tongue, mucocutaneous candidiasis, enterocolitis, and hemorrhagic/pseudomembranous colitis. Onset of pseudomembranous colitis symptoms may occur during or after antibacterial treatment [see Warnings and Precautions ( 5.5)].



Immune:Hypersensitivity reactions, anaphylactic/anaphylactoid reactions (including shock), angioedema, serum sickness-like reactions (urticaria or skin rash accompanied by arthritis, arthralgia, myalgia, and frequently fever), hypersensitivity vasculitis [see Warnings and Precautions ( 5.1)].



Skin and Appendages:Rashes, pruritus, urticaria, erythema multiforme, SJS, TEN, DRESS, AGEP, exfoliative dermatitis, and linear IgA bullous dermatosis.



Liver:Hepatic dysfunction, including hepatitis and cholestatic jaundice, increases in serum transaminases (AST and/or ALT), serum bilirubin, and/or alkaline phosphatase, has been reported with amoxicillin and clavulanate potassium. It has been reported more commonly in the elderly, in males, or in patients on prolonged treatment. The histologic findings on liver biopsy have consisted of predominantly cholestatic, hepatocellular, or mixed cholestatic hepatocellular changes. The onset of signs/symptoms of hepatic dysfunction may occur during or several weeks after therapy has been discontinued. The hepatic dysfunction, which may be severe, is usually reversible. Deaths have been reported [see Contraindications ( 4.2), Warnings and Precautions ( 5.4)] .



Renal:Interstitial nephritis, hematuria, and crystalluria have been reported [see Overdosage ( 10)] .



Hemic and Lymphatic Systems:Anemia, including hemolytic anemia, thrombocytopenia, thrombocytopenic purpura, eosinophilia, leukopenia, and agranulocytosis have been reported. These reactions are usually reversible on discontinuation of therapy and are believed to be hypersensitivity phenomena. Thrombocytosis was noted in less than 1% of the patients treated with amoxicillin and clavulanate potassium. There have been reports of increased prothrombin time in patients receiving amoxicillin and clavulanate potassium and anticoagulant therapy concomitantly [see Drug Interactions ( 7.2)] .



Central Nervous System:Agitation, anxiety, behavioral changes, aseptic meningitis, confusion, convulsions, dizziness, insomnia, and reversible hyperactivity have been reported.



Miscellaneous:Tooth discoloration (brown, yellow, or gray staining) has been reported. Most reports occurred in pediatric patients. Discoloration was reduced or eliminated with brushing or dental cleaning in most cases.

6.1 Clinical Trial Experience

Because clinical trials are conducted under widely varying conditions, adverse reaction rates observed in the clinical trials of a drug cannot be directly compared to rates in the clinical trials of another drug and may not reflect the rates observed in practice.



The most frequently reported adverse reactions were diarrhea/loose stools (9%), nausea (3%), skin rashes and urticaria (3%), vomiting (1%) and vaginitis (1%). Less than 3% of patients discontinued therapy because of drug‑related adverse reactions. The overall incidence of adverse reactions, and in particular diarrhea, increased with the higher recommended dose. Other less frequently reported adverse reactions (less than 1%) include: Abdominal discomfort, flatulence, and headache.



In pediatric patients (aged 2 months to 12 years), 1 US/Canadian clinical trial was conducted which compared 45/6.4 mg/kg/day (divided every 12 hours) of amoxicillin and clavulanate potassium for 10 days versus 40/10 mg/kg/day (divided every 8 hours) of amoxicillin and clavulanate potassium for 10 days in the treatment of acute otitis media. A total of 575 patients were enrolled, and only the suspension formulations were used in this trial. Overall, the adverse reactions seen were comparable to that noted above; however, there were differences in the rates of diarrhea, skin rashes/urticaria, and diaper area rashes [see Clinical Studies ( 14.2)] .

8 Use in Specific Populations (8 USE IN SPECIFIC POPULATIONS)

• Pediatric Use: Modify dose in patients 12 weeks or younger. ( 8.4)

• Renal Impairment: Dosage adjustment is recommended for severe renal impairment (GFR less than 30mL/min). ( 2.4, 8.6)



5.1 Hypersensitivity Reactions


Serious and occasionally fatal hypersensitivity (anaphylactic) reactions have been reported in patients receiving beta-lactam antibacterials, including amoxicillin and clavulanate potassium. These reactions are more likely to occur in individuals with a history of penicillin hypersensitivity and/or a history of sensitivity to multiple allergens. Before initiating therapy with amoxicillin and clavulanate potassium, careful inquiry should be made regarding previous hypersensitivity reactions to penicillins, cephalosporins, or other allergens. If an allergic reaction occurs, amoxicillin and clavulanate potassium should be discontinued, and appropriate therapy instituted.

7.5 Effects On Laboratory Tests (7.5 Effects on Laboratory Tests)

High urine concentrations of amoxicillin may result in false-positive reactions when testing for the presence of glucose in urine using CLINITEST ®, Benedict’s Solution, or Fehling’s Solution. Since this effect may also occur with amoxicillin and clavulanate potassium tablets, it is recommended that glucose tests based on enzymatic glucose oxidase reactions be used.



Following administration of amoxicillin to pregnant women, a transient decrease in plasma concentration of total conjugated estriol, estriol-glucuronide, conjugated estrone, and estradiol has been noted.

17 Patient Counseling Information (17 PATIENT COUNSELING INFORMATION)

Administration Instructions

Inform patients that amoxicillin and clavulanate potassium tablets may be taken every 8 hours or every 12 hours, depending on the dose prescribed. Each dose should be taken with a meal or snack to reduce the possibility of gastrointestinal upset



Allergic Reactions

Counsel patients that amoxicillin and clavulanate potassium tablets contains a penicillin class drug product that can cause allergic reactions in some individuals.

Severe Cutaneous Adverse Reactions (SCAR)

Advise patients about the signs and symptoms of serious skin manifestations. Instruct patients to stop taking amoxicillin and clavulanate potassium tablets immediately and promptly report the first signs or symptoms of skin rash, mucosal lesions, or any other sign of hypersensitivity [see Warnings and Precautions ( 5.2)] .



Diarrhea

Counsel patients that diarrhea is a common problem caused by antibacterials, and it usually ends when the antibacterial is discontinued. Sometimes after starting treatment with antibacterials, patients can develop watery and bloody stools (with or without stomach cramps and fever) even as late as 2 or more months after having taken their last dose of the antibacterial. If diarrhea is severe or lasts more than 2 or 3 days, patients should contact their physician as soon as possible.



Antibacterial Resistance

Patients should be counseled that antibacterial drugs, including amoxicillin and clavulanate potassium tablets, should only be used to treat bacterial infections. They do not treat viral infections (e.g., the common cold).



When amoxicillin and clavulanate potassium tablets are prescribed to treat a bacterial infection, patients should be told that although it is common to feel better early in the course of therapy, the medication should be taken exactly as directed. Skipping doses or not completing the full course of therapy may: (1) decrease the effectiveness of the immediate treatment, and (2) increase the likelihood that bacteria will develop resistance and will not be treatable by amoxicillin and clavulanate potassium tablets or other antibacterial drugs in the future.



CLINITEST is a registered trademark of Miles, Inc.



Manufactured by:

Micro Labs Limited

Bangalore-560 100, INDIA.



Manufactured for:

Micro Labs USA, Inc.

Somerset, NJ 08873



Rev. 05/2024 

2.4 Patients With Renal Impairment (2.4 Patients with Renal Impairment)

Patients with impaired renal function do not generally require a reduction in dose unless the impairment is severe. Renal impairment patients with a glomerular filtration rate (GFR) of less than 30 mL/min should NOTreceive the 875 mg dose (based on the amoxicillin component) of amoxicillin and clavulanate potassium tablet. See dosing regimens in patients with severe renal impairment provided in Table 4.

Table 4. Dosing Regimens of Amoxicillin and Clavulanate Potassium in Patients with Severe Renal Impairment

Patients with Renal Impairment

Dosing Regimen

GFR 10 mL/min to 30 mL/min

500 mg or 250 mg every 12 hours, depending on the severity of the infection

GFR less than 10 mL/min

500 mg or 250 mg every 24 hours, depending on severity of the infection

Hemodialysis

500 mg or 250 mg every 24 hours, depending on severity of the infection



Administer an additional dose both during and at the end of dialysis



16 How Supplied/storage and Handling (16 HOW SUPPLIED/STORAGE AND HANDLING)

Amoxicillin and Clavulanate Potassium Tablets, USP:

500 mg/125 mg Tablets: White to off-white colored, capsule shaped, biconvex, film-coated tablets debossed with “I 06” on one side and plain on the other side. Each tablet contains 500 mg of amoxicillin as the trihydrate and 125 mg of clavulanic acid as the potassium salt (equivalent to 149 mg of clavulanate potassium).

NDC: 72162-2433-1: 100 Tablets in a BOTTLE

NDC: 72162-2433-2: 20 Tablets in a BOTTLE

Store at 20° to 25°C (68° to 77°F) [see USP Controlled Room Temperature]. Dispense in original container. Advise patients to keep in closed container.

Keep out of the reach of children.

Repackaged/Relabeled by:

Bryant Ranch Prepack, Inc.

Burbank, CA 91504

4.1 Serious Hypersensitivity Reactions

Amoxicillin and clavulanate potassium tablets are contraindicated in patients with a history of serious hypersensitivity reactions (e.g., anaphylaxis or Stevens-Johnson syndrome) to amoxicillin, clavulanate or to other beta‑lactam antibacterial drugs (e.g., penicillins and cephalosporins).

5.2 Severe Cutaneous Adverse Reactions


Amoxicillin and clavulanate potassium may cause severe cutaneous adverse reactions (SCAR), such as Stevens-Johnson syndrome (SJS), toxic epidermal necrolysis (TEN), drug reaction with eosinophilia and systemic symptoms (DRESS), and acute generalized exanthematous pustulosis (AGEP). If patients develop a skin rash, they should be monitored closely, and amoxicillin and clavulanate potassium discontinued if lesions progress.

5.7 Potential for Microbial Overgrowth


The possibility of superinfections with fungal or bacterial pathogens should be considered during therapy. If superinfection occurs, amoxicillin and clavulanate potassium should be discontinued and appropriate therapy instituted.

2.1 Important Administration Instructions

Amoxicillin and clavulanate potassium tablets may be taken without regard to meals; however, absorption of clavulanate potassium is enhanced when amoxicillin and clavulanate potassium tablets are administered at the start of a meal. To minimize the potential for gastrointestinal intolerance, amoxicillin and clavulanate potassium tablets should be taken at the start of a meal.

5.9 Development of Drug Resistant Bacteria (5.9 Development of Drug-Resistant Bacteria)


Prescribing amoxicillin and clavulanate potassium in the absence of a proven or strongly suspected bacterial infection or a prophylactic indication is unlikely to provide benefit to the patient and increases the risk of the development of drug‑resistant bacteria.

4.2 Cholestatic Jaundice/hepatic Dysfunction (4.2 Cholestatic Jaundice/Hepatic Dysfunction)

Amoxicillin and clavulanate potassium tablets are contraindicated in patients with a previous history of cholestatic jaundice/hepatic dysfunction associated with amoxicillin and clavulanate potassium.

5.6 Skin Rash in Patients With Mononucleosis (5.6 Skin Rash in Patients with Mononucleosis)


A high percentage of patients with mononucleosis who receive amoxicillin develop an erythematous skin rash. Thus, amoxicillin and clavulanate potassium should not be administered to patients with mononucleosis.

5.3 Drug Induced Enterocolitis Syndrome (dies) (5.3 Drug-Induced Enterocolitis Syndrome (DIES))


Drug-induced enterocolitis syndrome (DIES) has been reported with use of amoxicillin, a component of amoxicillin and clavulanate potassium [see Adverse Reactions ( 6.2)] , with most cases occurring in pediatric patients ≤18 years of age. DIES is a non-IgE mediated hypersensitivity reaction characterized by protracted vomiting occurring 1 to 4 hours after drug ingestion in the absence of skin or respiratory symptoms. DIES may be associated with pallor, lethargy, hypotension, shock, diarrhea within 24 hours of ingesting amoxicillin, and leukocytosis with neutrophilia. If DIES occurs, discontinue amoxicillin and clavulanate potassium and institute appropriate therapy.

2.6 Switching Between Dosage Forms and Between Strengths (2.6 Switching between Dosage Forms and between Strengths)

Amoxicillin and Clavulanate Potassium 250 mg/125 mg Tablet is NOTSubstitutable with Amoxicillin and Clavulanate Potassium 250 mg/62.5 mg Chewable Tablet



The 250 mg/125 mg tablet of amoxicillin and clavulanate potassium and the 250 mg/62.5 mg chewable tablet of amoxicillin and clavulanate potassium should NOTbe substituted for each other and the 250 mg/125 mg tablet of amoxicillin and clavulanate potassium should NOTbe used in pediatric patients weighing less than 40 kg [see Dosage and Administration ( 2.3)]. The 250 mg/125 mg tablet of amoxicillin and clavulanate potassium and the 250 mg/62.5 mg chewable tablet of amoxicillin and clavulanate potassium do not contain the same amount of clavulanic acid. The 250 mg/125 mg tablet of amoxicillin and clavulanate potassium contains 125 mg of clavulanic acid whereas the 250 mg/62.5 mg chewable tablet of amoxicillin and clavulanate potassium contains 62.5 mg of clavulanic acid.



Two Amoxicillin and Clavulanate Potassium 250 mg/125 mg Tablets are NOTSubstitutable with One 500 mg/125 mg Amoxicillin and Clavulanate Potassium Tablet



Two 250 mg/125 mg tablets of amoxicillin and clavulanate potassium should NOTbe substituted for one 500 mg/125 mg tablet of amoxicillin and clavulanate potassium. Since both the 250 mg/125 mg and 500 mg/125 mg tablets of amoxicillin and clavulanate potassium contain the same amount of clavulanic acid (125 mg, as the potassium salt), two 250 mg/125 mg tablets of amoxicillin and clavulanate potassium are not equivalent to one 500 mg/125 mg tablet of amoxicillin and clavulanate potassium.

13.1 Carcinogenesis, Mutagenesis, Impairment of Fertility

Long‑term studies in animals have not been performed to evaluate carcinogenic potential.



Amoxicillin and clavulanate potassium (4:1 ratio formulation of amoxicillin:clavulanate) was non-mutagenic in the Ames bacterial mutation assay, and the yeast gene conversion assay. Amoxicillin and clavulanate potassium was weakly positive in the mouse lymphoma assay, but the trend toward increased mutation frequencies in this assay occurred at doses that were also associated with decreased cell survival. Amoxicillin and clavulanate potassium was negative in the mouse micronucleus test, and in the dominant lethal assay in mice. Potassium clavulanate alone was tested in the Ames bacterial mutation assay and in the mouse micronucleus test and was negative in each of these assays.



Amoxicillin and clavulanate potassium (2:1 ratio formulation of amoxicillin:clavulanate) at oral doses of up to 1,200 mg/kg/day was found to have no effect on fertility and reproductive performance in rats. Based on body surface area, this dose of amoxicillin is approximately 4 times the maximum recommended adult human oral dose (875 mg every 12 hours). For clavulanate, the dose multiple is approximately 9 times higher than the maximum recommended adult human oral dose (125 mg every 8 hours), also based on body surface area.

14.2 Acute Bacterial Otitis Media and Diarrhea in Pediatric Patients

One US/Canadian clinical trial was conducted which compared 45/6.4 mg/kg/day (divided every 12 hours) of amoxicillin and clavulanate potassium for 10 days versus 40/10 mg/kg/day (divided every 8 hours) of amoxicillin and clavulanate potassium for 10 days in the treatment of acute otitis media. Only the suspension formulations were used in this trial. A total of 575 pediatric patients (aged 2 months to 12 years) were enrolled, with an even distribution among the 2 treatment groups and a comparable number of patients were evaluable (i.e., greater than or equal to 84%) per treatment group. Otitis media‑specific criteria were required for eligibility and a strong correlation was found at the end of therapy and follow‑up between these criteria and physician assessment of clinical response. The clinical efficacy rates at the end of therapy visit (defined as 2 to 4 days after the completion of therapy) and at the follow‑up visit (defined as 22 to 28 days post‑completion of therapy) were comparable for the 2 treatment groups, with the following cure rates obtained for the evaluable patients: At end of therapy, 87% (n equals 265) and 82% (n equals 260) for 45 mg/kg/day every 12 hours and 40 mg/kg/day every 8 hours, respectively. At follow‑up, 67% (n equals 249) and 69% (n equals 243) for 45 mg/kg/day every 12 hours and 40 mg/kg/day every 8 hours, respectively.



Diarrhea was defined as either: (a) 3 or more watery or 4 or more loose/watery stools in 1 day; OR (b) 2 watery stools per day or 3 loose/watery stools per day for 2 consecutive days. The incidence of diarrhea was significantly lower in patients who received the every 12 hours regimen compared to patients who received the every 8 hours regimen (14% and 34%, respectively). In addition, the number of patients with either severe diarrhea or who were withdrawn with diarrhea was significantly lower in the every 12 hours treatment group (3% and 8% for the every 12 hours/10 day and every 8 hours/10 day, respectively). In the every 12 hours treatment group, 3 patients (1%) were withdrawn with an allergic reaction, while 1 patient in the every 8 hours group was withdrawn for this reason. The number of patients with a candidal infection of the diaper area was 4% and 6% for the every 12 hours and every 8 hours groups, respectively.



It is not known if the finding of a statistically significant reduction in diarrhea with the oral suspensions dosed every 12 hours, versus suspensions dosed every 8 hours of amoxicillin and clavulanate potassium, can be extrapolated to the chewable tablets of amoxicillin and clavulanate potassium. The presence of mannitol in the chewable tablets of amoxicillin and clavulanate potassium may contribute to a different diarrhea profile.

14.1 Lower Respiratory Tract and Complicated Urinary Tract Infections

Data from 2 pivotal trials in 1,191 patients treated for either lower respiratory tract infections or complicated urinary tract infections compared a regimen of 875 mg/125 mg tablets of amoxicillin and clavulanate potassium every 12 hours to 500 mg/125 mg tablets of amoxicillin and clavulanate potassium dosed every 8 hours (584 and 607 patients, respectively). Comparable efficacy was demonstrated between the every 12 hours and every 8 hours dosing regimens. There was no significant difference in the percentage of adverse events in each group. The most frequently reported adverse event was diarrhea; incidence rates were similar for the 875 mg every 12 hours and 500 mg every 8 hours dosing regimens (15% and 14%, respectively); however, there was a statistically significant difference (p less than 0.05) in rates of severe diarrhea or withdrawals with diarrhea between the regimens: 1% for 875 mg every 12 hours regimen versus 2% for the 500 mg every 8 hours regimen.



In one of these pivotal trials, patients with either pyelonephritis (n equals 361) or a complicated urinary tract infection (i.e., patients with abnormalities of the urinary tract that predispose to relapse of bacteriuria following eradication, n equals 268) were randomized (1:1) to receive either 875 mg/125 mg tablets of amoxicillin and clavulanate potassium every 12 hours (n equals 308) or 500 mg/125 mg tablets of amoxicillin and clavulanate potassium every 8 hours (n equals 321).



The number of bacteriologically evaluable patients was comparable between the two dosing regimens. Amoxicillin and clavulanate potassium produced comparable bacteriological success rates in patients assessed 2 to 4 days immediately following end of therapy. The bacteriologic efficacy rates were comparable at one of the follow‑up visits (5 to 9 days post‑therapy) and at a late post‑therapy visit (in the majority of cases, this was 2 to 4 weeks post-therapy), as seen in Table 8.



Table 8: Bacteriologic Efficacy Rates for A moxicillin and Clavulanate Potassium

Time Post Therapy

875 mg every 12 hours % (n)

500 mg every 8 hours % (n)

2 to 4 days

81% (58)

80% (54)

5 to 9 days

58% (41)

52% (52)

2 to 4 weeks

52% (101)

55% (104)



As noted, before, though there was no significant difference in the percentage of adverse events in each group, there was a statistically significant difference in rates of severe diarrhea or withdrawals with diarrhea between the regimens.


Advanced Ingredient Data


Raw Label Data

All Sections (JSON)