These Highlights Do Not Include All The Information Needed To Use Butalbital, Acetaminophen, Caffeine, And Codeine Phosphate Capsules Safely And Effectively. See Full Prescribing Information For Butalbital, Acetaminophen, Caffeine, And Codeine Phosphate Capsules.

These Highlights Do Not Include All The Information Needed To Use Butalbital, Acetaminophen, Caffeine, And Codeine Phosphate Capsules Safely And Effectively. See Full Prescribing Information For Butalbital, Acetaminophen, Caffeine, And Codeine Phosphate Capsules.
SPL v11
SPL
SPL Set ID d74db417-d2de-495b-bb75-46a83745603d
Route
ORAL
Published
Effective Date 2024-09-12
Document Type 34391-3 HUMAN PRESCRIPTION DRUG LABEL

Drug Facts

Composition & Product

Active Ingredients
Butalbital (50 mg) Acetaminophen (325 mg) Caffeine (40 mg) Codeine Anhydrous (30 mg)
Inactive Ingredients
Fd&c Blue No. 1 Fd&c Red No. 3 Fd&c Red No. 40 Fd&c Yellow No. 5 Gelatin, Unspecified Microcrystalline Cellulose Sodium Lauryl Sulfate Stearic Acid Talc Titanium Dioxide

Identifiers & Packaging

Pill Appearance
Imprint: B073 Shape: capsule Color: blue Color: gray Size: 22 mm Score: 1
Marketing Status
ANDA Active Since 2004-07-01

Description

WARNING: ADDICTION, ABUSE, AND MISUSE; RISK EVALUATION AND MITIGATION STRATEGY (REMS); LIFE-THREATENING RESPIRATORY DEPRESSION; ACCIDENTAL INGESTION; RISKS FROM CONCOMITANT USE WITH BENZODIAZEPINES OR OTHER CNS DEPRESSANTS; ULTRA-RAPID METABOLISM OF CODEINE AND OTHER RISK FACTORS FOR LIFE-THREATENING RESPIRATORY DEPRESSION IN CHILDREN; NEONATAL OPIOID WITHDRAWAL SYNDROME; INTERACTIONS WITH DRUGS AFFECTING CYTOCHROME P450 ISOENZYMES; and HEPATOTOXICITY See full prescribing information for complete boxed warning. Butalbital, Acetaminophen, Caffeine, and Codeine Phosphate Capsules expose users to the risks of addiction, abuse, and misuse, which can lead to overdose and death. Assess patient's risk before prescribing and monitor regularly for these behaviors and conditions. ( 5.1 ) To ensure that the benefits of opioid analgesics outweigh the risks of addiction, abuse, and misuse, the Food and Drug Administration (FDA) has required a Risk Evaluation and Mitigation Strategy (REMS) for these products. ( 5.2 ) Serious, life-threatening, or fatal respiratory depression may occur. Monitor closely, especially upon initiation or following a dose increase. ( 5.3 ) Accidental ingestion of Butalbital, Acetaminophen, Caffeine, and Codeine Phosphate Capsules, especially by children, can result in fatal overdose. Keep out of reach of children. ( 5.3 ) Concomitant use of opioids or a barbiturate with benzodiazepines or other central nervous system (CNS) depressants, including alcohol, may result in profound sedation, respiratory depression, coma, and death. Reserve concomitant prescribing for use in patients for whom alternative treatment options are inadequate; limit dosages and durations to the minimum required; and follow patients for signs and symptoms of respiratory depression and sedation. ( 5.4 , 7 ) Life-threatening respiratory depression and death have occurred in children who received codeine; most cases followed tonsillectomy and/or adenoidectomy, and many of the children had evidence of being an ultra-rapid metabolizer of codeine due to a CYP2D6 polymorphism. ( 5.5 ). Butalbital, Acetaminophen, Caffeine, and Codeine Phosphate Capsules are contraindicated in children younger than 12 years of age and in children younger than 18 years of age following tonsillectomy and/or adenoidectomy ( 4 ). Avoid the use of Butalbital, Acetaminophen, Caffeine, and Codeine Phosphate Capsules in adolescents 12 to 18 years of age who have other risk factors that may increase their sensitivity to the respiratory depressant effects of codeine. Prolonged use of Butalbital, Acetaminophen, Caffeine, and Codeine Phosphate Capsules during pregnancy can result in neonatal opioid withdrawal syndrome, which may be life-threatening if not recognized and treated. If prolonged opioid use is required in a pregnant woman, advise the patient of the risk of neonatal opioid withdrawal syndrome and ensure that appropriate treatment will be available. ( 5.6 ) The effects of concomitant use or discontinuation of cytochrome P450 3A4 inducers, 3A4 inhibitors, or 2D6 inhibitors with codeine are complex. Use of cytochrome P450 3A4 inducers, 3A4 inhibitors, or 2D6 inhibitors with Butalbital, Acetaminophen, Caffeine, and Codeine Phosphate Capsules requires careful consideration of the effects on codeine, and the active metabolite, morphine. ( 5.7 , 7 ) Acetaminophen has been associated with cases of acute liver failure, at times resulting in liver transplant and death. Most of the cases of liver injury are associated with the use of acetaminophen at doses that exceed 4,000 milligrams per day, and often involve more than one acetaminophen-containing product. ( 5.8 )

Indications and Usage

Butalbital, Acetaminophen, Caffeine, and Codeine Phosphate Capsules are indicated for the management of the symptom complex of tension (or muscle contraction) headache when non-opioid analgesic and alternative treatments are inadequate.

Dosage and Administration

Use the lowest effective dosage for the shortest duration consistent with individual patient treatment goals [see Warnings and Precautions (5) ]. Initiate the dosing regimen for each patient individually, taking into account the patient's severity of pain, patient response, prior analgesic treatment experience, and risk factors for addiction, abuse, and misuse [see Warnings and Precautions (5.1) ]. Evidence supporting the efficacy and safety of Butalbital, Acetaminophen, Caffeine, and Codeine Phosphate Capsules in the treatment of multiple recurrent headaches is unavailable.

Warnings and Precautions

Life-Threatening Respiratory Depression in Patients with Chronic Pulmonary Disease or in Elderly, Cachectic, or Debilitated Patients: Monitor closely, particularly during initiation and titration. ( 5.9 ) Adrenal Insufficiency: If diagnosed, treat with physiologic replacement of corticosteroids, and wean patient off of the opioid. ( 5.11 ) Severe Hypotension: Monitor during dosage initiation and titration. Avoid use of Butalbital, Acetaminophen, Caffeine, and Codeine Phosphate Capsules in patients with circulatory shock. ( 5.12 ) Risks of Use in Patients with Increased Intracranial Pressure, Brain Tumors, Head Injury, or Impaired Consciousness: Monitor for sedation and respiratory depression. Avoid use of Butalbital, Acetaminophen, Caffeine, and Codeine Phosphate Capsules in patients with impaired consciousness or coma. ( 5.13 )

Contraindications

Butalbital, Acetaminophen, Caffeine, and Codeine Phosphate Capsules are contraindicated for: All children younger than 12 years of age [see Warnings and Precautions (5.5) ] . Post-operative management in children younger than 18 years of age following tonsillectomy and/or adenoidectomy [see Warnings and Precautions (5.5) ] . Butalbital, Acetaminophen, Caffeine, and Codeine Phosphate Capsules are also contraindicated in patients with: Significant respiratory depression [see Warnings and Precautions (5.3) ] Acute or severe bronchial asthma in an unmonitored setting or in the absence of resuscitative equipment [see Warnings and Precautions (5.9) ] Concurrent use of monoamine oxidase inhibitors (MAOIs) or use of MAOIs within the last 14 days [see Warnings and Precautions (5.10) , Drug Interactions (7) ] Known or suspected gastrointestinal obstruction, including paralytic ileus [see Warnings and Precautions (5.14) ] Known intolerance or hypersensitivity to acetaminophen, caffeine, butalbital, or codeine or to the components of Butalbital, Acetaminophen, Caffeine, and Codeine Phosphate Capsules Porphyria

Adverse Reactions

The following serious adverse reactions are described, or described in greater detail, in other sections: Addiction, Abuse, and Misuse [see Warnings and Precautions (5.1) ] Life-Threatening Respiratory Depression [see Warnings and Precautions (5.3) ] Interactions with Benzodiazepines and other CNS Depressants [see Warnings and Precautions (5.4) ] Ultra-Rapid Metabolism of Codeine and Other Risk Factors for Life-Threatening Respiratory Depression in Children [see Warnings and Precautions (5.5) ] Neonatal Opioid Withdrawal Syndrome [see Warnings and Precautions (5.6) ] Hepatotoxicity [see Warnings and Precautions (5.8) ] Adrenal Insufficiency [see Warnings and Precautions (5.11) ] Severe Hypotension [see Warnings and Precautions (5.12) ] Gastrointestinal Adverse Reactions [see Warnings and Precautions (5.14) ] Seizures [see Warnings and Precautions (5.15) ] Withdrawal [see Warnings and Precautions (5.16) ] Serious Skin Reactions [see Warnings and Precautions (5.18) ] Anaphylaxis [see Warnings and Precautions (5.19) ] The following adverse reactions associated with the use of butalbital, acetaminophen, caffeine, and codeine phosphate were identified in clinical studies or post-marketing reports. Because some of these reactions were reported voluntarily from a population of uncertain size, it is not always possible to reliably estimate their frequency or establish a causal relationship to drug exposure.

Drug Interactions

Table 1 includes clinically significant drug interactions with Butalbital, Acetaminophen, Caffeine, and Codeine Phosphate Capsules. Table 1: Clinically Significant Drug Interactions with Butalbital, Acetaminophen, Caffeine, and Codeine Phosphate Capsules Inhibitors of CYP3A4 Clinical Impact: The concomitant use of Butalbital, Acetaminophen, Caffeine, and Codeine Phosphate Capsules with CYP3A4 inhibitors may result in an increase in codeine plasma concentrations with subsequently greater metabolism by cytochrome CYP2D6, resulting in greater morphine levels, which could increase or prolong adverse reactions and may cause potentially fatal respiratory depression, particularly when an inhibitor is added after a stable dose of Butalbital, Acetaminophen, Caffeine, and Codeine Phosphate Capsules is achieved [see Warnings and Precautions (5.7) ] . After stopping a CYP3A4 inhibitor, as the effects of the inhibitor decline, it may result in lower codeine levels, greater norcodeine levels, and less metabolism via 2D6 with resultant lower morphine levels [see Clinical Pharmacology (12.3) ] , resulting in decreased opioid efficacy or a withdrawal syndrome in patients who had developed physical dependence to codeine. Intervention: If concomitant use with CYP3A4 inhibitor is necessary, consider dosage reduction of Butalbital, Acetaminophen, Caffeine, and Codeine Phosphate Capsules until stable drug effects are achieved. Monitor patients for respiratory depression and sedation at frequent intervals. If a CYP3A4 inhibitor is discontinued, consider increasing the Butalbital, Acetaminophen, Caffeine, and Codeine Phosphate Capsules dosage until stable drug effects are achieved. Monitor for signs of opioid withdrawal. Examples: Macrolide antibiotics (e.g., erythromycin), azole-antifungal agents (e.g. ketoconazole), protease inhibitors (e.g., ritonavir), grapefruit juice CYP3A4 Inducers Clinical Impact: The concomitant use of Butalbital, Acetaminophen, Caffeine, and Codeine Phosphate Capsules and CYP3A4 inducers can result in lower codeine levels, greater norcodeine levels, and less metabolism via 2D6 with resultant lower morphine levels [see Clinical Pharmacology (12.3) ] , resulting in decreased efficacy or onset of a withdrawal syndrome in patients who have developed physical dependence [see Warnings and Precautions (5.7) ] . After stopping a CYP3A4 inducer, as the effects of the inducer decline, the codeine plasma concentration may increase with subsequently greater metabolism by cytochrome CYP2D6, resulting in greater morphine levels [see Clinical Pharmacology (12.3) ] , which could increase or prolong both the therapeutic effects and adverse reactions, and may cause serious respiratory depression. Intervention: If concomitant use of a CYP3A4 inducer is necessary, follow the patient for reduced efficacy and signs of opioid withdrawal and consider increasing the Butalbital, Acetaminophen, Caffeine, and Codeine Phosphate Capsules dosage as needed. If a CYP3A4 inducer is discontinued, consider Butalbital, Acetaminophen, Caffeine, and Codeine Phosphate Capsules dosage reduction, and monitor for signs of respiratory depression and sedation at frequent intervals. Examples: Rifampin, carbamazepine, phenytoin Inhibitors of CYP2D6 Clinical Impact: Codeine is metabolized by CYP2D6 to form morphine. The concomitant use of Butalbital, Acetaminophen, Caffeine, and Codeine Phosphate Capsules and CYP2D6 inhibitors can increase the plasma concentration of codeine, but can decrease the plasma concentrations of active metabolite morphine, which could result in reduced analgesic efficacy or symptoms of opioid withdrawal, particularly when an inhibitor is added after a stable dose of Butalbital, Acetaminophen, Caffeine, and Codeine Phosphate Capsules is achieved [see Clinical Pharmacology (12.3) ] . After stopping a CYP2D6 inhibitor, as the effects of the inhibitor decline, the codeine plasma concentration will decrease but the active metabolite morphine plasma concentration will increase, which could increase or prolong adverse reactions and may cause potentially fatal respiratory depression [see Clinical Pharmacology (12.3) ] . Intervention: If concomitant use with a CYP2D6 inhibitor is necessary, or if a CYP2D6 inhibitor is discontinued after concomitant use, consider dosage adjustment of Butalbital, Acetaminophen, Caffeine, and Codeine Phosphate Capsules and monitor patients closely at frequent intervals. If concomitant use with CYP2D6 inhibitors is necessary, follow the patient for reduced efficacy or signs and symptoms of opioid withdrawal and consider increasing the Butalbital, Acetaminophen, Caffeine, and Codeine Phosphate Capsules as needed. After stopping use of a CYP2D6 inhibitor, consider reducing the Butalbital, Acetaminophen, Caffeine, and Codeine Phosphate Capsules and monitor the patient for signs and symptoms of respiratory depression or sedation. Examples: paroxetine, fluoxetine, bupropion, quinidine Benzodiazepines and Other Central Nervous System (CNS) Depressants Clinical Impact: Due to additive pharmacologic effect, the concomitant use of benzodiazepines or other CNS depressants, including alcohol, can increase the risk of hypotension, respiratory depression, profound sedation, coma, and death. Intervention: Reserve concomitant prescribing of these drugs for use in patients for whom alternative treatment options are inadequate. Limit dosages and durations to the minimum required. Follow patients closely for signs of respiratory depression and sedation. If concomitant use is warranted, consider prescribing naloxone for the emergency treatment of opioid overdose [see Dosage and Administration (2.2) , Warnings and Precautions (5.1 , 5.3 , 5.4) ] . Examples: Benzodiazepines and other sedatives/hypnotics, anxiolytics, tranquilizers, muscle relaxants, general anesthetics, antipsychotics, other opioids, alcohol. Serotonergic Drugs Clinical Impact: The concomitant use of opioids with other drugs that affect the serotonergic neurotransmitter system has resulted in serotonin syndrome. Intervention: If concomitant use is warranted, carefully observe the patient, particularly during treatment initiation and dose adjustment. Discontinue Butalbital, Acetaminophen, Caffeine, and Codeine Phosphate Capsules if serotonin syndrome is suspected. Examples: Selective serotonin reuptake inhibitors (SSRIs), serotonin and norepinephrine reuptake inhibitors (SNRIs), tricyclic antidepressants (TCAs), triptans, 5-HT3 receptor antagonists, drugs that affect the serotonin neurotransmitter system (e.g., mirtazapine, trazodone, tramadol), certain muscle relaxants (i.e., cyclobenzaprine, metaxalone), monoamine oxidase (MAO) inhibitors (those intended to treat psychiatric disorders and also others, such as linezolid and intravenous methylene blue). Monoamine Oxidase Inhibitors (MAOIs) Clinical Impact: MAOI interactions with opioids may manifest as serotonin syndrome or opioid toxicity (e.g., respiratory depression, coma) [see Warnings and Precautions (5.10) ]. Intervention: Do not use Butalbital, Acetaminophen, Caffeine, and Codeine Phosphate Capsules in patients taking MAOIs or within 14 days of stopping such treatment. If urgent use of an opioid is necessary, use test doses and frequent titration of small doses of other opioids (such as oxycodone, hydrocodone, oxymorphone, hydromorphone, or buprenorphine) to treat pain while closely monitoring blood pressure and signs and symptoms of CNS and respiratory depression. Examples: phenelzine, tranylcypromine, linezolid Mixed Agonist/Antagonist and Partial Agonist Opioid Analgesics Clinical Impact: May reduce the analgesic effect of Butalbital, Acetaminophen, Caffeine, and Codeine Phosphate Capsules and/or precipitate withdrawal symptoms. Intervention: Avoid concomitant use. Examples: butorphanol, nalbuphine, pentazocine, buprenorphine Muscle Relaxants Clinical Impact: Codeine may enhance the neuromuscular blocking action of skeletal muscle relaxants and produce an increased degree of respiratory depression. Intervention: Monitor patients for signs of respiratory depression that may be greater than otherwise expected and decrease the dosage of Butalbital, Acetaminophen, Caffeine, and Codeine Phosphate Capsules and/or the muscle relaxant as necessary. Due to the risk of respiratory depression with concomitant use of skeletal muscle relaxants and opioids, consider prescribing naloxone for the emergency treatment of opioid overdose [see Dosage and Administration (2.2) , Warnings and Precautions (5.3 , 5.4) ] . Examples: cyclobenzaprine, metaxalone Diuretics Clinical Impact: Opioids can reduce the efficacy of diuretics by inducing the release of antidiuretic hormone. Intervention: Monitor patients for signs of diminished diuresis and/or effects on blood pressure and increase the dosage of the diuretic as needed. Anticholinergic Drugs Clinical Impact: The concomitant use of anticholinergic drugs may increase risk of urinary retention and/or severe constipation, which may lead to paralytic ileus. Intervention: Monitor patients for signs of urinary retention or reduced gastric motility when Butalbital, Acetaminophen, Caffeine, and Codeine Phosphate Capsules are used concomitantly with anticholinergic drugs.

Storage and Handling

Butalbital, Acetaminophen, Caffeine, and Codeine Phosphate Capsules are dark blue, opaque cap with a gray, opaque body. The body is imprinted with "B 073" in black ink. Bottles of 100 (NDC 51991-073-01)

How Supplied

Butalbital, Acetaminophen, Caffeine, and Codeine Phosphate Capsules are dark blue, opaque cap with a gray, opaque body. The body is imprinted with "B 073" in black ink. Bottles of 100 (NDC 51991-073-01)


Medication Information

Warnings and Precautions

Life-Threatening Respiratory Depression in Patients with Chronic Pulmonary Disease or in Elderly, Cachectic, or Debilitated Patients: Monitor closely, particularly during initiation and titration. ( 5.9 ) Adrenal Insufficiency: If diagnosed, treat with physiologic replacement of corticosteroids, and wean patient off of the opioid. ( 5.11 ) Severe Hypotension: Monitor during dosage initiation and titration. Avoid use of Butalbital, Acetaminophen, Caffeine, and Codeine Phosphate Capsules in patients with circulatory shock. ( 5.12 ) Risks of Use in Patients with Increased Intracranial Pressure, Brain Tumors, Head Injury, or Impaired Consciousness: Monitor for sedation and respiratory depression. Avoid use of Butalbital, Acetaminophen, Caffeine, and Codeine Phosphate Capsules in patients with impaired consciousness or coma. ( 5.13 )

Indications and Usage

Butalbital, Acetaminophen, Caffeine, and Codeine Phosphate Capsules are indicated for the management of the symptom complex of tension (or muscle contraction) headache when non-opioid analgesic and alternative treatments are inadequate.

Dosage and Administration

Use the lowest effective dosage for the shortest duration consistent with individual patient treatment goals [see Warnings and Precautions (5) ]. Initiate the dosing regimen for each patient individually, taking into account the patient's severity of pain, patient response, prior analgesic treatment experience, and risk factors for addiction, abuse, and misuse [see Warnings and Precautions (5.1) ]. Evidence supporting the efficacy and safety of Butalbital, Acetaminophen, Caffeine, and Codeine Phosphate Capsules in the treatment of multiple recurrent headaches is unavailable.

Contraindications

Butalbital, Acetaminophen, Caffeine, and Codeine Phosphate Capsules are contraindicated for: All children younger than 12 years of age [see Warnings and Precautions (5.5) ] . Post-operative management in children younger than 18 years of age following tonsillectomy and/or adenoidectomy [see Warnings and Precautions (5.5) ] . Butalbital, Acetaminophen, Caffeine, and Codeine Phosphate Capsules are also contraindicated in patients with: Significant respiratory depression [see Warnings and Precautions (5.3) ] Acute or severe bronchial asthma in an unmonitored setting or in the absence of resuscitative equipment [see Warnings and Precautions (5.9) ] Concurrent use of monoamine oxidase inhibitors (MAOIs) or use of MAOIs within the last 14 days [see Warnings and Precautions (5.10) , Drug Interactions (7) ] Known or suspected gastrointestinal obstruction, including paralytic ileus [see Warnings and Precautions (5.14) ] Known intolerance or hypersensitivity to acetaminophen, caffeine, butalbital, or codeine or to the components of Butalbital, Acetaminophen, Caffeine, and Codeine Phosphate Capsules Porphyria

Adverse Reactions

The following serious adverse reactions are described, or described in greater detail, in other sections: Addiction, Abuse, and Misuse [see Warnings and Precautions (5.1) ] Life-Threatening Respiratory Depression [see Warnings and Precautions (5.3) ] Interactions with Benzodiazepines and other CNS Depressants [see Warnings and Precautions (5.4) ] Ultra-Rapid Metabolism of Codeine and Other Risk Factors for Life-Threatening Respiratory Depression in Children [see Warnings and Precautions (5.5) ] Neonatal Opioid Withdrawal Syndrome [see Warnings and Precautions (5.6) ] Hepatotoxicity [see Warnings and Precautions (5.8) ] Adrenal Insufficiency [see Warnings and Precautions (5.11) ] Severe Hypotension [see Warnings and Precautions (5.12) ] Gastrointestinal Adverse Reactions [see Warnings and Precautions (5.14) ] Seizures [see Warnings and Precautions (5.15) ] Withdrawal [see Warnings and Precautions (5.16) ] Serious Skin Reactions [see Warnings and Precautions (5.18) ] Anaphylaxis [see Warnings and Precautions (5.19) ] The following adverse reactions associated with the use of butalbital, acetaminophen, caffeine, and codeine phosphate were identified in clinical studies or post-marketing reports. Because some of these reactions were reported voluntarily from a population of uncertain size, it is not always possible to reliably estimate their frequency or establish a causal relationship to drug exposure.

Drug Interactions

Table 1 includes clinically significant drug interactions with Butalbital, Acetaminophen, Caffeine, and Codeine Phosphate Capsules. Table 1: Clinically Significant Drug Interactions with Butalbital, Acetaminophen, Caffeine, and Codeine Phosphate Capsules Inhibitors of CYP3A4 Clinical Impact: The concomitant use of Butalbital, Acetaminophen, Caffeine, and Codeine Phosphate Capsules with CYP3A4 inhibitors may result in an increase in codeine plasma concentrations with subsequently greater metabolism by cytochrome CYP2D6, resulting in greater morphine levels, which could increase or prolong adverse reactions and may cause potentially fatal respiratory depression, particularly when an inhibitor is added after a stable dose of Butalbital, Acetaminophen, Caffeine, and Codeine Phosphate Capsules is achieved [see Warnings and Precautions (5.7) ] . After stopping a CYP3A4 inhibitor, as the effects of the inhibitor decline, it may result in lower codeine levels, greater norcodeine levels, and less metabolism via 2D6 with resultant lower morphine levels [see Clinical Pharmacology (12.3) ] , resulting in decreased opioid efficacy or a withdrawal syndrome in patients who had developed physical dependence to codeine. Intervention: If concomitant use with CYP3A4 inhibitor is necessary, consider dosage reduction of Butalbital, Acetaminophen, Caffeine, and Codeine Phosphate Capsules until stable drug effects are achieved. Monitor patients for respiratory depression and sedation at frequent intervals. If a CYP3A4 inhibitor is discontinued, consider increasing the Butalbital, Acetaminophen, Caffeine, and Codeine Phosphate Capsules dosage until stable drug effects are achieved. Monitor for signs of opioid withdrawal. Examples: Macrolide antibiotics (e.g., erythromycin), azole-antifungal agents (e.g. ketoconazole), protease inhibitors (e.g., ritonavir), grapefruit juice CYP3A4 Inducers Clinical Impact: The concomitant use of Butalbital, Acetaminophen, Caffeine, and Codeine Phosphate Capsules and CYP3A4 inducers can result in lower codeine levels, greater norcodeine levels, and less metabolism via 2D6 with resultant lower morphine levels [see Clinical Pharmacology (12.3) ] , resulting in decreased efficacy or onset of a withdrawal syndrome in patients who have developed physical dependence [see Warnings and Precautions (5.7) ] . After stopping a CYP3A4 inducer, as the effects of the inducer decline, the codeine plasma concentration may increase with subsequently greater metabolism by cytochrome CYP2D6, resulting in greater morphine levels [see Clinical Pharmacology (12.3) ] , which could increase or prolong both the therapeutic effects and adverse reactions, and may cause serious respiratory depression. Intervention: If concomitant use of a CYP3A4 inducer is necessary, follow the patient for reduced efficacy and signs of opioid withdrawal and consider increasing the Butalbital, Acetaminophen, Caffeine, and Codeine Phosphate Capsules dosage as needed. If a CYP3A4 inducer is discontinued, consider Butalbital, Acetaminophen, Caffeine, and Codeine Phosphate Capsules dosage reduction, and monitor for signs of respiratory depression and sedation at frequent intervals. Examples: Rifampin, carbamazepine, phenytoin Inhibitors of CYP2D6 Clinical Impact: Codeine is metabolized by CYP2D6 to form morphine. The concomitant use of Butalbital, Acetaminophen, Caffeine, and Codeine Phosphate Capsules and CYP2D6 inhibitors can increase the plasma concentration of codeine, but can decrease the plasma concentrations of active metabolite morphine, which could result in reduced analgesic efficacy or symptoms of opioid withdrawal, particularly when an inhibitor is added after a stable dose of Butalbital, Acetaminophen, Caffeine, and Codeine Phosphate Capsules is achieved [see Clinical Pharmacology (12.3) ] . After stopping a CYP2D6 inhibitor, as the effects of the inhibitor decline, the codeine plasma concentration will decrease but the active metabolite morphine plasma concentration will increase, which could increase or prolong adverse reactions and may cause potentially fatal respiratory depression [see Clinical Pharmacology (12.3) ] . Intervention: If concomitant use with a CYP2D6 inhibitor is necessary, or if a CYP2D6 inhibitor is discontinued after concomitant use, consider dosage adjustment of Butalbital, Acetaminophen, Caffeine, and Codeine Phosphate Capsules and monitor patients closely at frequent intervals. If concomitant use with CYP2D6 inhibitors is necessary, follow the patient for reduced efficacy or signs and symptoms of opioid withdrawal and consider increasing the Butalbital, Acetaminophen, Caffeine, and Codeine Phosphate Capsules as needed. After stopping use of a CYP2D6 inhibitor, consider reducing the Butalbital, Acetaminophen, Caffeine, and Codeine Phosphate Capsules and monitor the patient for signs and symptoms of respiratory depression or sedation. Examples: paroxetine, fluoxetine, bupropion, quinidine Benzodiazepines and Other Central Nervous System (CNS) Depressants Clinical Impact: Due to additive pharmacologic effect, the concomitant use of benzodiazepines or other CNS depressants, including alcohol, can increase the risk of hypotension, respiratory depression, profound sedation, coma, and death. Intervention: Reserve concomitant prescribing of these drugs for use in patients for whom alternative treatment options are inadequate. Limit dosages and durations to the minimum required. Follow patients closely for signs of respiratory depression and sedation. If concomitant use is warranted, consider prescribing naloxone for the emergency treatment of opioid overdose [see Dosage and Administration (2.2) , Warnings and Precautions (5.1 , 5.3 , 5.4) ] . Examples: Benzodiazepines and other sedatives/hypnotics, anxiolytics, tranquilizers, muscle relaxants, general anesthetics, antipsychotics, other opioids, alcohol. Serotonergic Drugs Clinical Impact: The concomitant use of opioids with other drugs that affect the serotonergic neurotransmitter system has resulted in serotonin syndrome. Intervention: If concomitant use is warranted, carefully observe the patient, particularly during treatment initiation and dose adjustment. Discontinue Butalbital, Acetaminophen, Caffeine, and Codeine Phosphate Capsules if serotonin syndrome is suspected. Examples: Selective serotonin reuptake inhibitors (SSRIs), serotonin and norepinephrine reuptake inhibitors (SNRIs), tricyclic antidepressants (TCAs), triptans, 5-HT3 receptor antagonists, drugs that affect the serotonin neurotransmitter system (e.g., mirtazapine, trazodone, tramadol), certain muscle relaxants (i.e., cyclobenzaprine, metaxalone), monoamine oxidase (MAO) inhibitors (those intended to treat psychiatric disorders and also others, such as linezolid and intravenous methylene blue). Monoamine Oxidase Inhibitors (MAOIs) Clinical Impact: MAOI interactions with opioids may manifest as serotonin syndrome or opioid toxicity (e.g., respiratory depression, coma) [see Warnings and Precautions (5.10) ]. Intervention: Do not use Butalbital, Acetaminophen, Caffeine, and Codeine Phosphate Capsules in patients taking MAOIs or within 14 days of stopping such treatment. If urgent use of an opioid is necessary, use test doses and frequent titration of small doses of other opioids (such as oxycodone, hydrocodone, oxymorphone, hydromorphone, or buprenorphine) to treat pain while closely monitoring blood pressure and signs and symptoms of CNS and respiratory depression. Examples: phenelzine, tranylcypromine, linezolid Mixed Agonist/Antagonist and Partial Agonist Opioid Analgesics Clinical Impact: May reduce the analgesic effect of Butalbital, Acetaminophen, Caffeine, and Codeine Phosphate Capsules and/or precipitate withdrawal symptoms. Intervention: Avoid concomitant use. Examples: butorphanol, nalbuphine, pentazocine, buprenorphine Muscle Relaxants Clinical Impact: Codeine may enhance the neuromuscular blocking action of skeletal muscle relaxants and produce an increased degree of respiratory depression. Intervention: Monitor patients for signs of respiratory depression that may be greater than otherwise expected and decrease the dosage of Butalbital, Acetaminophen, Caffeine, and Codeine Phosphate Capsules and/or the muscle relaxant as necessary. Due to the risk of respiratory depression with concomitant use of skeletal muscle relaxants and opioids, consider prescribing naloxone for the emergency treatment of opioid overdose [see Dosage and Administration (2.2) , Warnings and Precautions (5.3 , 5.4) ] . Examples: cyclobenzaprine, metaxalone Diuretics Clinical Impact: Opioids can reduce the efficacy of diuretics by inducing the release of antidiuretic hormone. Intervention: Monitor patients for signs of diminished diuresis and/or effects on blood pressure and increase the dosage of the diuretic as needed. Anticholinergic Drugs Clinical Impact: The concomitant use of anticholinergic drugs may increase risk of urinary retention and/or severe constipation, which may lead to paralytic ileus. Intervention: Monitor patients for signs of urinary retention or reduced gastric motility when Butalbital, Acetaminophen, Caffeine, and Codeine Phosphate Capsules are used concomitantly with anticholinergic drugs.

Storage and Handling

Butalbital, Acetaminophen, Caffeine, and Codeine Phosphate Capsules are dark blue, opaque cap with a gray, opaque body. The body is imprinted with "B 073" in black ink. Bottles of 100 (NDC 51991-073-01)

How Supplied

Butalbital, Acetaminophen, Caffeine, and Codeine Phosphate Capsules are dark blue, opaque cap with a gray, opaque body. The body is imprinted with "B 073" in black ink. Bottles of 100 (NDC 51991-073-01)

Description

WARNING: ADDICTION, ABUSE, AND MISUSE; RISK EVALUATION AND MITIGATION STRATEGY (REMS); LIFE-THREATENING RESPIRATORY DEPRESSION; ACCIDENTAL INGESTION; RISKS FROM CONCOMITANT USE WITH BENZODIAZEPINES OR OTHER CNS DEPRESSANTS; ULTRA-RAPID METABOLISM OF CODEINE AND OTHER RISK FACTORS FOR LIFE-THREATENING RESPIRATORY DEPRESSION IN CHILDREN; NEONATAL OPIOID WITHDRAWAL SYNDROME; INTERACTIONS WITH DRUGS AFFECTING CYTOCHROME P450 ISOENZYMES; and HEPATOTOXICITY See full prescribing information for complete boxed warning. Butalbital, Acetaminophen, Caffeine, and Codeine Phosphate Capsules expose users to the risks of addiction, abuse, and misuse, which can lead to overdose and death. Assess patient's risk before prescribing and monitor regularly for these behaviors and conditions. ( 5.1 ) To ensure that the benefits of opioid analgesics outweigh the risks of addiction, abuse, and misuse, the Food and Drug Administration (FDA) has required a Risk Evaluation and Mitigation Strategy (REMS) for these products. ( 5.2 ) Serious, life-threatening, or fatal respiratory depression may occur. Monitor closely, especially upon initiation or following a dose increase. ( 5.3 ) Accidental ingestion of Butalbital, Acetaminophen, Caffeine, and Codeine Phosphate Capsules, especially by children, can result in fatal overdose. Keep out of reach of children. ( 5.3 ) Concomitant use of opioids or a barbiturate with benzodiazepines or other central nervous system (CNS) depressants, including alcohol, may result in profound sedation, respiratory depression, coma, and death. Reserve concomitant prescribing for use in patients for whom alternative treatment options are inadequate; limit dosages and durations to the minimum required; and follow patients for signs and symptoms of respiratory depression and sedation. ( 5.4 , 7 ) Life-threatening respiratory depression and death have occurred in children who received codeine; most cases followed tonsillectomy and/or adenoidectomy, and many of the children had evidence of being an ultra-rapid metabolizer of codeine due to a CYP2D6 polymorphism. ( 5.5 ). Butalbital, Acetaminophen, Caffeine, and Codeine Phosphate Capsules are contraindicated in children younger than 12 years of age and in children younger than 18 years of age following tonsillectomy and/or adenoidectomy ( 4 ). Avoid the use of Butalbital, Acetaminophen, Caffeine, and Codeine Phosphate Capsules in adolescents 12 to 18 years of age who have other risk factors that may increase their sensitivity to the respiratory depressant effects of codeine. Prolonged use of Butalbital, Acetaminophen, Caffeine, and Codeine Phosphate Capsules during pregnancy can result in neonatal opioid withdrawal syndrome, which may be life-threatening if not recognized and treated. If prolonged opioid use is required in a pregnant woman, advise the patient of the risk of neonatal opioid withdrawal syndrome and ensure that appropriate treatment will be available. ( 5.6 ) The effects of concomitant use or discontinuation of cytochrome P450 3A4 inducers, 3A4 inhibitors, or 2D6 inhibitors with codeine are complex. Use of cytochrome P450 3A4 inducers, 3A4 inhibitors, or 2D6 inhibitors with Butalbital, Acetaminophen, Caffeine, and Codeine Phosphate Capsules requires careful consideration of the effects on codeine, and the active metabolite, morphine. ( 5.7 , 7 ) Acetaminophen has been associated with cases of acute liver failure, at times resulting in liver transplant and death. Most of the cases of liver injury are associated with the use of acetaminophen at doses that exceed 4,000 milligrams per day, and often involve more than one acetaminophen-containing product. ( 5.8 )

Section 42229-5

Addiction, Abuse, and Misuse

Butalbital, Acetaminophen, Caffeine, and Codeine Phosphate Capsules expose patients and other users to the risks of opioid addiction, abuse, and misuse, which can lead to overdose and death. Assess each patient's risk prior to prescribing Butalbital, Acetaminophen, Caffeine, and Codeine Phosphate Capsules, and monitor all patients regularly for the development of these behaviors and conditions [see Warnings and Precautions (5.1)].

Section 43683-2
Dosage and Administration (2.2) 03/2021
Warnings and Precautions (5.1, 5.3, 5.4) 03/2021
Section 44425-7

Store at 20° to 25°C (68° to 77°F) [see USP Controlled Room Temperature]; and Dispense in a tight, light-resistant container.

Store Butalbital, Acetaminophen, Caffeine, and Codeine Phosphate Capsules securely and dispose of properly [see Patient Counseling Information (17)].

Rx only

Keep this and all medication out of the reach of children.

9.2 Abuse

Butalbital, Acetaminophen, Caffeine, and Codeine Phosphate Capsules contains codeine, a substance with a high potential for abuse similar to other opioids including fentanyl, hydrocodone, hydromorphone, methadone, morphine, oxycodone, oxymorphone, and tapentadol. Butalbital, Acetaminophen, Caffeine, and Codeine Phosphate Capsules can be abused and is subject to misuse, addiction, and criminal diversion [see Warnings and Precautions (5.1)].

All patients treated with opioids require careful monitoring for signs of abuse and addiction, since use of opioid analgesic products carries the risk of addiction even under appropriate medical use.

Prescription drug abuse is the intentional non-therapeutic use of a prescription drug, even once, for its rewarding psychological or physiological effects.

Drug addiction is a cluster of behavioral, cognitive, and physiological phenomena that develop after repeated substance use and includes: a strong desire to take the drug, difficulties in controlling its use, persisting in its use despite harmful consequences, a higher priority given to drug use than to other activities and obligations, increased tolerance, and sometimes a physical withdrawal.

"Drug-seeking" behavior is very common in persons with substance use disorders. Drug-seeking tactics include emergency calls or visits near the end of office hours, refusal to undergo appropriate examination, testing, or referral, repeated "loss" of prescriptions, tampering with prescriptions and reluctance to provide prior medical records or contact information for other treating healthcare provider(s). "Doctor shopping" (visiting multiple prescribers to obtain additional prescriptions) is common among drug abusers and people suffering from untreated addiction. Preoccupation with achieving adequate pain relief can be appropriate behavior in a patient with poor pain control.

Abuse and addiction are separate and distinct from physical dependence and tolerance. Healthcare providers should be aware that addiction may not be accompanied by concurrent tolerance and symptoms of physical dependence in all addicts. In addition, abuse of opioids can occur in the absence of true addiction.

Butalbital, Acetaminophen, Caffeine, and Codeine Phosphate Capsules, like other opioids, can be diverted for non-medical use into illicit channels of distribution. Careful record-keeping of prescribing information, including quantity, frequency, and renewal requests, as required by state and federal law, is strongly advised.

Proper assessment of the patient, proper prescribing practices, periodic re-evaluation of therapy, and proper dispensing and storage are appropriate measures that help to limit abuse of opioid drugs.

11 Description

Butalbital, Acetaminophen, Caffeine, and Codeine Phosphate Capsules are supplied in capsule form for oral administration. Each capsule contains:

Butalbital, USP 50 mg
Acetaminophen, USP 325 mg
Caffeine, USP 40 mg
Codeine phosphate, USP 30 mg

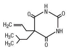
Butalbital (5-allyl-5-isobutylbarbituric acid), is a short-to intermediate-acting barbiturate. It has the following structural formula:

C11H16N2O3                                                                 MW 224.26

Acetaminophen (4'hydroxyacetanilide), is a non-opiate, non-salicylate analgesic and antipyretic. It has the following structural formula:

C8H9NO2                                                                 MW 151.16

Caffeine (1,3,7-trimethylxanthine), a methylxanthine, is a central nervous system stimulant. It has the following structural formula:

C8H10N4O2                                                               MW 194.19

Codeine phosphate (7,8-Didehydro-4,5α-epoxy-3-methoxy-17-methylmorphinan-6α-ol phosphate (1:1)(salt) hemihydrate) is an opioid agonist. It has the following structural formula:

C18H24NO7P anhydrous                                              MW 397.37
9.3 Dependence

Both tolerance and physical dependence can develop during chronic opioid therapy. Tolerance is the need for increasing doses of opioids to maintain a defined effect such as analgesia (in the absence of disease progression or other external factors). Tolerance may occur to both the desired and undesired effects of drugs, and may develop at different rates for different effects.

Physical dependence is a physiological state in which the body adapts to the drug after a period of regular exposure, resulting in withdrawal symptoms after abrupt discontinuation or a significant dosage reduction of a drug. Withdrawal also may be precipitated through the administration of drugs with opioid antagonist activity (e.g., naloxone, nalmefene), mixed agonist/antagonist analgesics (e.g., pentazocine, butorphanol, nalbuphine), or partial agonists (e.g., buprenorphine). Physical dependence may not occur to a clinically significant degree until after several days to weeks of continued opioid usage.

Do not abruptly discontinue Butalbital, Acetaminophen, Caffeine, and Codeine Phosphate Capsules in a patient physically dependent on opioids. Rapid tapering of Butalbital, Acetaminophen, Caffeine, and Codeine Phosphate Capsules in a patient physically dependent on opioids may lead to serious withdrawal symptoms, uncontrolled pain, and suicide. Rapid discontinuation has also been associated with attempts to find other sources of opioid analgesics, which may be confused with drug-seeking for abuse.

When discontinuing Butalbital, Acetaminophen, Caffeine, and Codeine Phosphate Capsules, gradually taper the dosage using a patient-specific plan that considers the following: the dose of Butalbital, Acetaminophen, Caffeine, and Codeine Phosphate Capsules the patient has been taking, the duration of treatment, and the physical and psychological attributes of the patient. To improve the likelihood of a successful taper and minimize withdrawal symptoms, it is important that the opioid tapering schedule is agreed upon by the patient. In patients taking opioids for a long duration at high doses, ensure that a multimodal approach to pain management, including mental health support (if needed), is in place prior to initiating an opioid analgesic taper [see Dosage and Administration (2.4), Warnings and Precautions (5.16)].

Infants born to mothers physically dependent on opioids will also be physically dependent and may exhibit respiratory difficulties and withdrawal signs [see Use in Specific Populations (8.1)].

5.16 Withdrawal

Do not abruptly discontinue Butalbital, Acetaminophen, Caffeine, and Codeine Capsules in a patient physically dependent on opioids. Rapid tapering of Butalbital, Acetaminophen, Caffeine, and Codeine Capsules in a patient physically dependent on opioids may lead to a withdrawal syndrome and return of pain [see Dosage and Administration (2.4), Drug Abuse and Dependence (9.3)].

Additionally, avoid the use of mixed agonist/antagonist (e.g., pentazocine, nalbuphine, and butorphanol) or partial agonist (e.g., buprenorphine) analgesics in patients who are receiving a full opioid agonist analgesic, including Butalbital, Acetaminophen, Caffeine, and Codeine Phosphate Capsules. In these patients, mixed agonist/antagonist and partial agonist analgesics may reduce the analgesic effect and/or precipitate withdrawal symptoms.

When discontinuing Butalbital, Acetaminophen, Caffeine, and Codeine Phosphate Capsules, in a physically-dependent patient, gradually taper the dosage [see Dosage and Administration (2.4)]. Abrupt discontinuation of butalbital can cause seizures [see Drug Abuse and Dependence (9.3)].

Medication Guide

Dispense with Medication Guide available at: www.breckenridgepharma.com/prescription-products/

Butalbital, Acetaminophen, Caffeine, and Codeine Phosphate Capsules, C III
Butalbital, Acetaminophen, Caffeine, and Codeine Phosphate Capsules are:
  • A strong prescription pain medicine that contains an opioid (narcotic) that is indicated for the relief of the symptom complex of tension (or muscle contraction) headache, when other pain treatments such as non-opioid pain medicines do not treat your pain well enough or you cannot tolerate them.
  • An opioid pain medicine that can put you at risk for overdose and death. Even if you take your dose correctly as prescribed you are at risk for opioid addiction, abuse, and misuse that can lead to death.
Important information about Butalbital, Acetaminophen, Caffeine, and Codeine Phosphate Capsules:
  • Get emergency help or call 911 right away if you take too much Butalbital, Acetaminophen, Caffeine, and Codeine Phosphate Capsules (overdose). When you first start taking Butalbital, Acetaminophen, Caffeine, and Codeine Phosphate Capsules, when your dose is changed, or if you take too much (overdose), serious or life-threatening breathing problems that can lead to death may occur. Talk to your healthcare provider about naloxone, a medicine for the emergency treatment of an opioid overdose.
  • Taking Butalbital, Acetaminophen, Caffeine, and Codeine Phosphate Capsules with other opioid medicines, benzodiazepines, alcohol, or other central nervous system depressants (including street drugs) can cause severe drowsiness, decreased awareness, breathing problems, coma, and death.
  • Never give anyone else your Butalbital, Acetaminophen, Caffeine, and Codeine Phosphate Capsules. They could die from taking it. Selling or giving away Butalbital, Acetaminophen, Caffeine, and Codeine Phosphate Capsules is against the law.
  • Store Butalbital, Acetaminophen, Caffeine, and Codeine Phosphate Capsules securely, out of sight and reach of children, and in a location not accessible by others, including visitors to the home.
  • Get emergency help right away if you take more than 4,000 mg of acetaminophen in 1 day. Taking Butalbital, Acetaminophen, Caffeine, and Codeine Phosphate Capsules with other products that contain acetaminophen can lead to serious liver problems and death.
Important Information Guiding Use in Pediatric Patients:
  • Do not give Butalbital, Acetaminophen, Caffeine, and Codeine Phosphate Capsules to a child younger than 12 years of age.
  • Do not give Butalbital, Acetaminophen, Caffeine, and Codeine Phosphate Capsules to a child younger than 18 years of age after surgery to remove the tonsils and/or adenoids.
  • Avoid giving Butalbital, Acetaminophen, Caffeine, and Codeine Phosphate Capsules to children between 12 to 18 years of age who have risk factors for breathing problems such as obstructive sleep apnea, obesity, or underlying lung problems.
Do not take Butalbital, Acetaminophen, Caffeine, and Codeine Phosphate Capsules if you have:
  • severe asthma, trouble breathing, or other lung problems.
  • a bowel blockage or have narrowing of the stomach or intestines.
Before taking Butalbital, Acetaminophen, Caffeine, and Codeine Phosphate Capsules, tell your healthcare provider if you have a history of:
  • head injury, seizures
  • problems urinating
  • abuse of street or prescription drugs, alcohol addiction, opioid overdose, or mental health problems.
  • Have been told by your healthcare provider that you are a "rapid metabolizer" of certain medicines
  • liver, kidney, thyroid problems
  • pancreas or gallbladder problems
Tell your healthcare provider if you are:
  • pregnant or planning to become pregnant. Prolonged use of Butalbital, Acetaminophen, Caffeine, and Codeine Phosphate Capsules, during pregnancy can cause withdrawal symptoms in your newborn baby that could be life-threatening if not recognized and treated.
  • breastfeeding. Not recommended; may harm your baby.
  • living in a household where there are small children or someone who has abused street or prescription drugs.
  • taking prescription or over-the-counter medicines, vitamins, or herbal supplements. Taking Butalbital, Acetaminophen, Caffeine, and Codeine Phosphate Capsules with certain other medicines can cause serious side effects that could lead to death.
When taking Butalbital, Acetaminophen, Caffeine, and Codeine Phosphate Capsules:
  • Do not change your dose. Take Butalbital, Acetaminophen, Caffeine, and Codeine Phosphate Capsules exactly as prescribed by your healthcare provider. Use the lowest dose possible for the shortest time needed.
  • Take your prescribed dose of 1 or 2 capsules every 4 hours. Total daily dosage should not exceed 6 capsules. Do not take more than your prescribed dose. If you miss a dose, take your next dose at your usual time.
  • Call your healthcare provider if the dose you are taking does not control your pain.
  • If you have been taking Butalbital, Acetaminophen, Caffeine, and Codeine Phosphate Capsules regularly, do not stop taking Butalbital, Acetaminophen, Caffeine, and Codeine Phosphate Capsules without talking to your healthcare provider.
  • After you stop taking Butalbital, Acetaminophen, Caffeine, and Codeine Phosphate Capsules, dispose the unused Butalbital, Acetaminophen, Caffeine, and Codeine Phosphate Capsules in accordance with the local state guidelines and/or regulations.
  • Dispose of expired, unwanted, or unused Butalbital, Acetaminophen, Caffeine, and Codeine Phosphate Capsules by taking your drug to an authorized DEA-registered collector or drug take-back program. If one is not available, you can dispose of Butalbital, Acetaminophen, Caffeine, and Codeine Phosphate Capsules by mixing the product with dirt, cat litter, or coffee grounds; placing the mixture in a sealed plastic bag, and throwing the bag in your trash.
While taking Butalbital, Acetaminophen, Caffeine, and Codeine Phosphate Capsules DO NOT:
  • Drive or operate heavy machinery, until you know how Butalbital, Acetaminophen, Caffeine, and Codeine Phosphate Capsules affect you. Butalbital, Acetaminophen, Caffeine, and Codeine Phosphate Capsules can make you sleepy, dizzy, or lightheaded.
  • Drink alcohol or use prescription or over-the-counter medicines that contain alcohol. Using products containing alcohol during treatment with Butalbital, Acetaminophen, Caffeine, and Codeine Phosphate Capsules may cause you to overdose and die.
The possible side effects of Butalbital, Acetaminophen, Caffeine, and Codeine Phosphate Capsules:
  • constipation, nausea, sleepiness, vomiting, tiredness, headache, dizziness, abdominal pain. Call your healthcare provider if you have any of these symptoms and they are severe.
Get emergency medical help or call 911 right away if you:
  • have trouble breathing, shortness of breath, fast heartbeat, chest pain, swelling of your face, tongue, or throat, extreme drowsiness, light-headedness when changing positions, feeling faint, agitation, high body temperature, trouble walking, stiff muscles, or mental changes such as confusion.
  • are a nursing mother taking Butalbital, Acetaminophen, Caffeine, and Codeine Phosphate Capsules, and your breastfeeding baby has increased sleepiness, confusion, difficulty breathing, shallow breathing, limpness, or difficulty breastfeeding.
These are not all the possible side effects of Butalbital, Acetaminophen, Caffeine, and Codeine Phosphate Capsules. Call your doctor for medical advice about side effects. You may report side effects to FDA at 1-800-FDA-1088. For more information go to dailymed.nlm.nih.gov

Manufactured by:

LGM Pharma Solutions, LLC,

Irvine, CA 92614

Manufactured for:

Breckenridge Pharmaceutical, Inc.,

Berkeley Heights, NJ 07922

This Medication Guide has been approved by the U.S. Food and Drug Administration.

6670

Rev. 09/2024

8.4 Pediatric Use

The safety and effectiveness of Butalbital, Acetaminophen, Caffeine, and Codeine Phosphate Capsules in pediatric patients have not been established.

Life-threatening respiratory depression and deaths have occurred in children who received codeine [see Warnings and Precautions (5.5)]. In most of the reported cases, these events followed tonsillectomy and/or adenoidectomy, and many of the children had evidence of being ultra-rapid metabolizers of codeine (i.e., multiple copies of the gene for cytochrome P450 isoenzyme 2D6 or high morphine concentrations). Children with sleep apnea may be particularly sensitive to the respiratory depressant effects of codeine. Because of the risk of life-threatening respiratory depression and death:

  • Butalbital, Acetaminophen, Caffeine, and Codeine Phosphate Capsules are contraindicated for all children younger than 12 years of age [see Contraindications (4)].
  • Butalbital, Acetaminophen, Caffeine, and Codeine Phosphate Capsules are contraindicated for post-operative management in pediatric patients younger than 18 years of age following tonsillectomy and/or adenoidectomy [see Contraindications (4)].
  • Avoid the use of Butalbital, Acetaminophen, Caffeine, and Codeine Phosphate Capsules in adolescents 12 to 18 years of age who have other risk factors that may increase their sensitivity to the respiratory depressant effects of codeine unless the benefits outweigh the risks. Risk factors include conditions associated with hypoventilation, such as post-operative status, obstructive sleep apnea, obesity, severe pulmonary disease, neuromuscular disease, and concomitant use of other medications that cause respiratory depression [see Warnings and Precautions (5.5)].
8.5 Geriatric Use

Clinical studies of Butalbital, Acetaminophen, Caffeine, and Codeine Phosphate Capsules did not include sufficient numbers of subjects aged 65 and over to determine whether they respond differently from younger subjects. Other reported clinical experience has not identified differences in responses between the elderly and younger patients. In general, dose selection for an elderly patient should be cautious, usually starting at the low end of the dosing range, reflecting the greater frequency of decreased hepatic, renal, or cardiac function, and of concomitant disease or other drug therapy.

Butalbital is known to be substantially excreted by the kidney, and the risk of toxic reactions to this drug may be greater in patients with impaired renal function. Because elderly patients are more likely to have decreased renal function, care should be taken in dose selection, and it may be useful to monitor renal function.

Elderly patients (aged 65 years or older) may have increased sensitivity to Butalbital, Acetaminophen, Caffeine, and Codeine Phosphate Capsules. In general, use caution when selecting a dosage for an elderly patient, usually starting at the low end of the dosing range, reflecting the greater frequency of decreased hepatic, renal, or cardiac function and of concomitant disease or other drug therapy.

Respiratory depression is the chief risk for elderly patients treated with opioids, and has occurred after large initial doses were administered to patients who were not opioid-tolerant or when opioids were co-administered with other agents that depress respiration. Titrate the dosage of Butalbital, Acetaminophen, Caffeine, and Codeine Phosphate Capsules slowly in geriatric patients and monitor closely for signs of respiratory depression [see Warnings and Precautions (5.9)].

Components of this product are known to be substantially excreted by the kidney, and the risk of adverse reactions to this drug may be greater in patients with impaired renal function. Because elderly patients are more likely to have decreased renal function, care should be taken in dose selection, and it may be useful to monitor renal function.

5.8 Hepatotoxicity

Butalbital, Acetaminophen, Caffeine, and Codeine Phosphate Capsules contain acetaminophen. Acetaminophen has been associated with cases of acute liver failure, at times resulting in liver transplant and death. Most of the cases of liver injury are associated with the use of acetaminophen at doses that exceed 4000 milligrams per day, and often involve more than one acetaminophen-containing product. The excessive intake of acetaminophen may be intentional to cause self-harm or unintentional as patients attempt to obtain more pain relief or unknowingly take other acetaminophen-containing products.

The risk of acute liver failure is higher in individuals with underlying liver disease and in individuals who ingest alcohol while taking acetaminophen.

Instruct patients to look for acetaminophen or APAP on package labels and not to use more than one product that contains acetaminophen. Instruct patients to seek medical attention immediately upon ingestion of more than 4000 milligrams of acetaminophen per day, even if they feel well.

4 Contraindications

Butalbital, Acetaminophen, Caffeine, and Codeine Phosphate Capsules are contraindicated for:

Butalbital, Acetaminophen, Caffeine, and Codeine Phosphate Capsules are also contraindicated in patients with:

6 Adverse Reactions

The following serious adverse reactions are described, or described in greater detail, in other sections:

The following adverse reactions associated with the use of butalbital, acetaminophen, caffeine, and codeine phosphate were identified in clinical studies or post-marketing reports. Because some of these reactions were reported voluntarily from a population of uncertain size, it is not always possible to reliably estimate their frequency or establish a causal relationship to drug exposure.

7 Drug Interactions

Table 1 includes clinically significant drug interactions with Butalbital, Acetaminophen, Caffeine, and Codeine Phosphate Capsules.

Table 1: Clinically Significant Drug Interactions with Butalbital, Acetaminophen, Caffeine, and Codeine Phosphate Capsules
Inhibitors of CYP3A4
Clinical Impact: The concomitant use of Butalbital, Acetaminophen, Caffeine, and Codeine Phosphate Capsules with CYP3A4 inhibitors may result in an increase in codeine plasma concentrations with subsequently greater metabolism by cytochrome CYP2D6, resulting in greater morphine levels, which could increase or prolong adverse reactions and may cause potentially fatal respiratory depression, particularly when an inhibitor is added after a stable dose of Butalbital, Acetaminophen, Caffeine, and Codeine Phosphate Capsules is achieved [see Warnings and Precautions (5.7)].

After stopping a CYP3A4 inhibitor, as the effects of the inhibitor decline, it may result in lower codeine levels, greater norcodeine levels, and less metabolism via 2D6 with resultant lower morphine levels [see Clinical Pharmacology (12.3)], resulting in decreased opioid efficacy or a withdrawal syndrome in patients who had developed physical dependence to codeine.
Intervention: If concomitant use with CYP3A4 inhibitor is necessary, consider dosage reduction of Butalbital, Acetaminophen, Caffeine, and Codeine Phosphate Capsules until stable drug effects are achieved. Monitor patients for respiratory depression and sedation at frequent intervals.

If a CYP3A4 inhibitor is discontinued, consider increasing the Butalbital, Acetaminophen, Caffeine, and Codeine Phosphate Capsules dosage until stable drug effects are achieved. Monitor for signs of opioid withdrawal.
Examples: Macrolide antibiotics (e.g., erythromycin), azole-antifungal agents (e.g. ketoconazole), protease inhibitors (e.g., ritonavir), grapefruit juice
CYP3A4 Inducers
Clinical Impact: The concomitant use of Butalbital, Acetaminophen, Caffeine, and Codeine Phosphate Capsules and CYP3A4 inducers can result in lower codeine levels, greater norcodeine levels, and less metabolism via 2D6 with resultant lower morphine levels [see Clinical Pharmacology (12.3)], resulting in decreased efficacy or onset of a withdrawal syndrome in patients who have developed physical dependence [see Warnings and Precautions (5.7)].

After stopping a CYP3A4 inducer, as the effects of the inducer decline, the codeine plasma concentration may increase with subsequently greater metabolism by cytochrome CYP2D6, resulting in greater morphine levels [see Clinical Pharmacology (12.3)], which could increase or prolong both the therapeutic effects and adverse reactions, and may cause serious respiratory depression.
Intervention: If concomitant use of a CYP3A4 inducer is necessary, follow the patient for reduced efficacy and signs of opioid withdrawal and consider increasing the Butalbital, Acetaminophen, Caffeine, and Codeine Phosphate Capsules dosage as needed.

If a CYP3A4 inducer is discontinued, consider Butalbital, Acetaminophen, Caffeine, and Codeine Phosphate Capsules dosage reduction, and monitor for signs of respiratory depression and sedation at frequent intervals.
Examples: Rifampin, carbamazepine, phenytoin
Inhibitors of CYP2D6
Clinical Impact: Codeine is metabolized by CYP2D6 to form morphine. The concomitant use of Butalbital, Acetaminophen, Caffeine, and Codeine Phosphate Capsules and CYP2D6 inhibitors can increase the plasma concentration of codeine, but can decrease the plasma concentrations of active metabolite morphine, which could result in reduced analgesic efficacy or symptoms of opioid withdrawal, particularly when an inhibitor is added after a stable dose of Butalbital, Acetaminophen, Caffeine, and Codeine Phosphate Capsules is achieved [see Clinical Pharmacology (12.3)].

After stopping a CYP2D6 inhibitor, as the effects of the inhibitor decline, the codeine plasma concentration will decrease but the active metabolite morphine plasma concentration will increase, which could increase or prolong adverse reactions and may cause potentially fatal respiratory depression [see Clinical Pharmacology (12.3)].
Intervention: If concomitant use with a CYP2D6 inhibitor is necessary, or if a CYP2D6 inhibitor is discontinued after concomitant use, consider dosage adjustment of Butalbital, Acetaminophen, Caffeine, and Codeine Phosphate Capsules and monitor patients closely at frequent intervals.

If concomitant use with CYP2D6 inhibitors is necessary, follow the patient for reduced efficacy or signs and symptoms of opioid withdrawal and consider increasing the Butalbital, Acetaminophen, Caffeine, and Codeine Phosphate Capsules as needed.

After stopping use of a CYP2D6 inhibitor, consider reducing the Butalbital, Acetaminophen, Caffeine, and Codeine Phosphate Capsules and monitor the patient for signs and symptoms of respiratory depression or sedation.
Examples: paroxetine, fluoxetine, bupropion, quinidine
Benzodiazepines and Other Central Nervous System (CNS) Depressants
Clinical Impact: Due to additive pharmacologic effect, the concomitant use of benzodiazepines or other CNS depressants, including alcohol, can increase the risk of hypotension, respiratory depression, profound sedation, coma, and death.
Intervention: Reserve concomitant prescribing of these drugs for use in patients for whom alternative treatment options are inadequate. Limit dosages and durations to the minimum required. Follow patients closely for signs of respiratory depression and sedation. If concomitant use is warranted, consider prescribing naloxone for the emergency treatment of opioid overdose [see Dosage and Administration (2.2), Warnings and Precautions (5.1, 5.3, 5.4)].
Examples: Benzodiazepines and other sedatives/hypnotics, anxiolytics, tranquilizers, muscle relaxants, general anesthetics, antipsychotics, other opioids, alcohol.
Serotonergic Drugs
Clinical Impact: The concomitant use of opioids with other drugs that affect the serotonergic neurotransmitter system has resulted in serotonin syndrome.
Intervention: If concomitant use is warranted, carefully observe the patient, particularly during treatment initiation and dose adjustment. Discontinue Butalbital, Acetaminophen, Caffeine, and Codeine Phosphate Capsules if serotonin syndrome is suspected.
Examples: Selective serotonin reuptake inhibitors (SSRIs), serotonin and norepinephrine reuptake inhibitors (SNRIs), tricyclic antidepressants (TCAs), triptans, 5-HT3 receptor antagonists, drugs that affect the serotonin neurotransmitter system (e.g., mirtazapine, trazodone, tramadol), certain muscle relaxants (i.e., cyclobenzaprine, metaxalone), monoamine oxidase (MAO) inhibitors (those intended to treat psychiatric disorders and also others, such as linezolid and intravenous methylene blue).
Monoamine Oxidase Inhibitors (MAOIs)
Clinical Impact: MAOI interactions with opioids may manifest as serotonin syndrome or opioid toxicity (e.g., respiratory depression, coma) [see Warnings and Precautions (5.10)].
Intervention: Do not use Butalbital, Acetaminophen, Caffeine, and Codeine Phosphate Capsules in patients taking MAOIs or within 14 days of stopping such treatment.

If urgent use of an opioid is necessary, use test doses and frequent titration of small doses of other opioids (such as oxycodone, hydrocodone, oxymorphone, hydromorphone, or buprenorphine) to treat pain while closely monitoring blood pressure and signs and symptoms of CNS and respiratory depression.
Examples: phenelzine, tranylcypromine, linezolid
Mixed Agonist/Antagonist and Partial Agonist Opioid Analgesics
Clinical Impact: May reduce the analgesic effect of Butalbital, Acetaminophen, Caffeine, and Codeine Phosphate Capsules and/or precipitate withdrawal symptoms.
Intervention: Avoid concomitant use.
Examples: butorphanol, nalbuphine, pentazocine, buprenorphine
Muscle Relaxants
Clinical Impact: Codeine may enhance the neuromuscular blocking action of skeletal muscle relaxants and produce an increased degree of respiratory depression.
Intervention: Monitor patients for signs of respiratory depression that may be greater than otherwise expected and decrease the dosage of Butalbital, Acetaminophen, Caffeine, and Codeine Phosphate Capsules and/or the muscle relaxant as necessary. Due to the risk of respiratory depression with concomitant use of skeletal muscle relaxants and opioids, consider prescribing naloxone for the emergency treatment of opioid overdose [see Dosage and Administration (2.2), Warnings and Precautions (5.3, 5.4)].
Examples: cyclobenzaprine, metaxalone
Diuretics
Clinical Impact: Opioids can reduce the efficacy of diuretics by inducing the release of antidiuretic hormone.
Intervention: Monitor patients for signs of diminished diuresis and/or effects on blood pressure and increase the dosage of the diuretic as needed.
Anticholinergic Drugs
Clinical Impact: The concomitant use of anticholinergic drugs may increase risk of urinary retention and/or severe constipation, which may lead to paralytic ileus.
Intervention: Monitor patients for signs of urinary retention or reduced gastric motility when Butalbital, Acetaminophen, Caffeine, and Codeine Phosphate Capsules are used concomitantly with anticholinergic drugs.
8.7 Renal Impairment

Codeine pharmacokinetics may be altered in patients with renal failure. Clearance may be decreased and the metabolites may accumulate to much higher plasma levels in patients with renal failure as compared to patients with normal renal function. Start these patients cautiously with lower doses of codeine sulfate or with longer dosing intervals and titrate slowly while carefully monitoring for side effects. In patients with renal disease, monitor effects of therapy with serial renal function tests.

12.3 Pharmacokinetics

The behavior of the individual components is described below.

2.3 Dosing Information

One or two capsules every 4 hours as needed for pain. Total daily dosage should not exceed 6 capsules.

8.6 Hepatic Impairment

No formal studies have been conducted in patients with hepatic impairment so the pharmacokinetics of butalbital, codeine, and acetaminophen in this patient population are unknown. Start these patients cautiously with lower doses of codeine sulfate or with longer dosing intervals and titrate slowly while carefully monitoring for side effects.

1 Indications and Usage

Butalbital, Acetaminophen, Caffeine, and Codeine Phosphate Capsules are indicated for the management of the symptom complex of tension (or muscle contraction) headache when non-opioid analgesic and alternative treatments are inadequate.

5.12 Severe Hypotension

Butalbital, Acetaminophen, Caffeine, and Codeine Phosphate Capsules may cause severe hypotension including orthostatic hypotension and syncope in ambulatory patients. There is increased risk in patients whose ability to maintain blood pressure has already been compromised by a reduced blood volume or concurrent administration of certain CNS depressant drugs (e.g., phenothiazines or general anesthetics) [see Drug Interactions (7)]. Monitor these patients for signs of hypotension after initiating or titrating the dosage of Butalbital, Acetaminophen, Caffeine, and Codeine Phosphate Capsules. In patients with circulatory shock, Butalbital, Acetaminophen, Caffeine, and Codeine Phosphate Capsules may cause vasodilation that can further reduce cardiac output and blood pressure. Avoid the use of Butalbital, Acetaminophen, Caffeine, and Codeine Phosphate Capsules in patients with circulatory shock.

12.1 Mechanism of Action

Butalbital, a barbiturate, is a GABAA receptor agonist and may inhibit excitatory AMPA receptors.

The precise mechanism of the analgesic properties of acetaminophen is not established but is thought to involve central actions.

Caffeine is a methylxanthine and CNS stimulant. The exact mechanism with respect to the indication is not clear; however, the effects of caffeine may be due to antagonism of adenosine receptors.

Codeine is an opioid agonist relatively selective for the mu-opioid receptor, but with a much weaker affinity than morphine. The analgesic properties of codeine have been speculated to come from its conversion to morphine, although the exact mechanism of analgesic action remains unknown.

9.1 Controlled Substance

Butalbital, Acetaminophen, Caffeine, and Codeine Phosphate Capsules contain codeine. Codeine in combination with butalbital, acetaminophen, and caffeine is a Schedule III controlled substance.

5 Warnings and Precautions
  • Life-Threatening Respiratory Depression in Patients with Chronic Pulmonary Disease or in Elderly, Cachectic, or Debilitated Patients: Monitor closely, particularly during initiation and titration. (5.9)
  • Adrenal Insufficiency: If diagnosed, treat with physiologic replacement of corticosteroids, and wean patient off of the opioid. (5.11)
  • Severe Hypotension: Monitor during dosage initiation and titration. Avoid use of Butalbital, Acetaminophen, Caffeine, and Codeine Phosphate Capsules in patients with circulatory shock. (5.12)
  • Risks of Use in Patients with Increased Intracranial Pressure, Brain Tumors, Head Injury, or Impaired Consciousness: Monitor for sedation and respiratory depression. Avoid use of Butalbital, Acetaminophen, Caffeine, and Codeine Phosphate Capsules in patients with impaired consciousness or coma. (5.13)
5.11 Adrenal Insufficiency

Cases of adrenal insufficiency have been reported with opioid use, more often following greater than one month of use. Presentation of adrenal insufficiency may include non-specific symptoms and signs including nausea, vomiting, anorexia, fatigue, weakness, dizziness, and low blood pressure. If adrenal insufficiency is suspected, confirm the diagnosis with diagnostic testing as soon as possible. If adrenal insufficiency is diagnosed, treat with physiologic replacement doses of corticosteroids. Wean the patient off of the opioid to allow adrenal function to recover and continue corticosteroid treatment until adrenal function recovers. Other opioids may be tried as some cases reported use of a different opioid without recurrence of adrenal insufficiency. The information available does not identify any particular opioids as being more likely to be associated with adrenal insufficiency.

2 Dosage and Administration
  • Use the lowest effective dosage for the shortest duration consistent with individual patient treatment goals. (2.1)
  • Individualize dosing based on the severity of pain, patient response, prior analgesic experience, and risk factors for addiction, abuse, and misuse. (2.1)
  • Discuss availability of naloxone with the patient and caregiver and assess each patient's need for access to naloxone, both when initiating and renewing treatment with Butalbital, Acetaminophen, Caffeine and Codeine Phosphate Capsules. Consider prescribing naloxone based on the patient's risk factors for overdose. (2.2, 5.1, 5.3, 5.4)
  • Initiate treatment with one or two capsules every 4 hours as needed for pain. Total daily dosage should not exceed 6 capsules. (2.3)
  • Do not abruptly discontinue Butalbital, Acetaminophen, Caffeine, and Codeine Phosphate Capsules in a physically dependent patient because rapid discontinuation of opioid analgesics has resulted in serious withdrawal symptoms, uncontrolled pain, and suicide (2.4).
5.18 Serious Skin Reactions

Rarely, acetaminophen may cause serious skin reactions such as acute generalized exanthematous pustulosis (AGEP), Stevens-Johnson Syndrome (SJS), and toxic epidermal necrolysis (TEN), which can be fatal. Patients should be informed about the signs of serious skin reactions, and use of the drug should be discontinued at the first appearance of skin rash or any other sign of hypersensitivity.

3 Dosage Forms and Strengths

Capsules: Butalbital 50 mg, Acetaminophen 325 mg, Caffeine 40 mg, Codeine Phosphate 30 mg

Blue, opaque cap with a gray, opaque body, and body is imprinted with "B073" in black ink.

8 Use in Specific Populations
  • Pregnancy: May cause fetal harm. (8.1)
  • Lactation: Breastfeeding not recommended. (8.2)
  • Geriatric: Respiratory depression has occurred after large initial doses were administered. Increase dosage slowly. (8.5)
5.1 Addiction, Abuse, and Misuse

Butalbital, Acetaminophen, Caffeine, and Codeine Phosphate Capsules contain codeine. Codeine in combination with butalbital, acetaminophen, and caffeine is a Schedule III controlled substance. As Butalbital, Acetaminophen, Caffeine, and Codeine Phosphate Capsules contain butalbital and codeine, they expose users to the risks of addiction, abuse, and misuse [see Drug Abuse and Dependence (9)].

Although the risk of addiction in any individual is unknown, it can occur in patients appropriately prescribed Butalbital, Acetaminophen, Caffeine, and Codeine Phosphate Capsules. Addiction can occur at recommended dosages and if the drug is misused or abused.

Assess each patient's risk for addiction, abuse, or misuse prior to prescribing Butalbital, Acetaminophen, Caffeine, and Codeine Phosphate Capsules, and monitor all patients receiving Butalbital, Acetaminophen, Caffeine, and Codeine Phosphate Capsules for the development of these behaviors and conditions. Risks are increased in patients with a personal or family history of substance abuse (including drug or alcohol abuse or addiction) or mental illness (e.g., major depression). The potential for these risks should not, however, prevent the proper management of pain in any given patient. Patients at increased risk may be prescribed opioids such as Butalbital, Acetaminophen, Caffeine, and Codeine Phosphate Capsules, but use in such patients necessitates intensive counseling about the risks and proper use of Butalbital, Acetaminophen, Caffeine, and Codeine Phosphate Capsules along with intensive monitoring for signs of addiction, abuse, and misuse.

Consider prescribing naloxone for the emergency treatment of opioid overdose [see Dosage and Administration (2.2), Warnings and Precautions (5.3)].

Opioids and barbiturates are sought by drug abusers and people with addiction disorders and are subject to criminal diversion. Consider these risks when prescribing or dispensing Butalbital, Acetaminophen, Caffeine, and Codeine Phosphate Capsules. Strategies to reduce these risks include prescribing the drug in the smallest appropriate quantity and advising the patient on the proper disposal of unused drug [see Patient Counseling Information (17)]. Contact local state professional licensing board or state controlled substances authority for information on how to prevent and detect abuse or diversion of this product.

17 Patient Counseling Information

Advise the patient to read the FDA-approved patient labeling (Medication Guide).

5.19 Hypersensitivity/anaphylaxis

There have been post-marketing reports of hypersensitivity and anaphylaxis associated with the use of acetaminophen. Clinical signs included swelling of the face, mouth, and throat, respiratory distress, urticaria, rash, pruritus, and vomiting. There were infrequent reports of life-threatening anaphylaxis requiring emergency medical attention. Instruct patients to discontinue Butalbital, Acetaminophen, Caffeine, and Codeine Phosphate Capsules immediately and seek medical care if they experience these symptoms. Do not prescribe Butalbital, Acetaminophen, Caffeine, and Codeine Phosphate Capsules for patients with acetaminophen allergy.

5.21 Fd&c Yellow No. 5 (tartrazine)

This product contains FD&C Yellow No. 5 (tartrazine) which may cause allergic-type reactions (including bronchial asthma) in certain susceptible persons. Although the overall incidence of FD&C Yellow No. 5 (tartrazine) sensitivity in the general population is low, it is frequently seen in patients who also have aspirin hypersensitivity.

16 How Supplied/storage and Handling

Butalbital, Acetaminophen, Caffeine, and Codeine Phosphate Capsules are dark blue, opaque cap with a gray, opaque body. The body is imprinted with "B 073" in black ink.

Bottles of 100 (NDC 51991-073-01)

5.6 Neonatal Opioid Withdrawal Syndrome

Prolonged use of Butalbital, Acetaminophen, Caffeine, and Codeine Phosphate Capsules during pregnancy can result in withdrawal in the neonate. Neonatal opioid withdrawal syndrome, unlike opioid withdrawal syndrome in adults, may be life-threatening if not recognized and treated, and requires management according to protocols developed by neonatology experts. Observe newborns for signs of neonatal opioid withdrawal syndrome and manage accordingly. Advise pregnant women using opioids for a prolonged period of the risk of neonatal opioid withdrawal syndrome and ensure that appropriate treatment will be available [see Use in Specific Populations (8.1, 8.2), Patient Counseling Information (17)].

5.3 Life Threatening Respiratory Depression

Serious, life-threatening, or fatal respiratory depression has been reported with the use of opioids, even when used as recommended. Respiratory depression, if not immediately recognized and treated, may lead to respiratory arrest and death. Management of respiratory depression may include close observation, supportive measures, and use of opioid antagonists, depending on the patient's clinical status [see Overdosage (10)].

Carbon dioxide (CO2) retention from opioid-induced respiratory depression can exacerbate the sedating effects of opioids.

While serious, life-threatening, or fatal respiratory depression can occur at any time during the use of Butalbital, Acetaminophen, Caffeine, and Codeine Phosphate Capsules, the risk is greatest during the initiation of therapy or following a dosage increase. Monitor patients closely for respiratory depression, especially within the first 24-72 hours of initiating therapy with and following dosage increases of Butalbital, Acetaminophen, Caffeine, and Codeine Phosphate Capsules.

To reduce the risk of respiratory depression, proper dosing and titration of Butalbital, Acetaminophen, Caffeine, and Codeine Phosphate Capsules are essential [see Dosage and Administration (2.3)]. Overestimating the Butalbital, Acetaminophen, Caffeine, and Codeine Phosphate Capsules dosage when converting patients from another opioid product can result in a fatal overdose with the first dose.

Accidental ingestion of even one dose of Butalbital, Acetaminophen, Caffeine, and Codeine Phosphate Capsules, especially by children, can result in respiratory depression and death due to an overdose of codeine and butalbital.

Educate patients and caregivers on how to recognize respiratory depression and emphasize the importance of calling 911 or getting emergency medical help right away in the event of a known or suspected overdose [see Patient Counseling Information (17)].

Opioids can cause sleep-related breathing disorders including central sleep apnea (CSA) and sleep-related hypoxemia. Opioid use increases the risk of CSA in a dose-dependent fashion. In patients who present with CSA, consider decreasing the opioid dosage using best practices for opioid taper [see Dosage and Administration (2.4)].

5.17 Risks of Driving and Operating Machinery

Butalbital, Acetaminophen, Caffeine, and Codeine Phosphate Capsules may impair the mental or physical abilities needed to perform potentially hazardous activities such as driving a car or operating machinery. Warn patients not to drive or operate dangerous machinery unless they are tolerant to the effects of Butalbital, Acetaminophen, Caffeine, and Codeine Phosphate Capsules and know how they will react to the medication.

5.10 Interaction With Monoamine Oxidase Inhibitors

Monoamine oxidase inhibitors (MAOIs) may potentiate the effects of morphine, codeine's active metabolite, including respiratory depression, coma, and confusion. Butalbital, Acetaminophen, Caffeine, and Codeine Phosphate Capsules should not be used in patients taking MAOIs or within 14 days of stopping such treatment.

Principal Display Panel 100 Capsule Bottle Label

NDC 51991-073-01

Butalbital,

Acetaminophen,

Caffeine, and

Codeine Phosphate Capsules

CIII

50 mg/325 mg/40 mg/30 mg

Each Capsule Contains:

Butalbital, USP 50 mg

Acetaminophen, USP 325 mg

Caffeine, USP 40 mg

Codeine Phosphate, USP 30 mg

PHARMACIST: Dispense the accompanying

Medication Guide to each patient.

breckenridge

A Towa

Company

Rx only

100 Capsules

2.1 Important Dosage and Administration Instructions

Use the lowest effective dosage for the shortest duration consistent with individual patient treatment goals [see Warnings and Precautions (5)].

Initiate the dosing regimen for each patient individually, taking into account the patient's severity of pain, patient response, prior analgesic treatment experience, and risk factors for addiction, abuse, and misuse [see Warnings and Precautions (5.1)].

Evidence supporting the efficacy and safety of Butalbital, Acetaminophen, Caffeine, and Codeine Phosphate Capsules in the treatment of multiple recurrent headaches is unavailable.

5.14 Risks of Use in Patients With Gastrointestinal Conditions

Butalbital, Acetaminophen, Caffeine, and Codeine Phosphate Capsules are contraindicated in patients with known or suspected gastrointestinal obstruction, including paralytic ileus.

The codeine in Butalbital, Acetaminophen, Caffeine, and Codeine Phosphate Capsules may cause spasm of the sphincter of Oddi. Opioids may cause increases in serum amylase. Monitor patients with biliary tract disease, including acute pancreatitis for worsening symptoms.

5.15 Increased Risk of Seizures in Patients With Seizure Disorders

The codeine in Butalbital, Acetaminophen, Caffeine, and Codeine Phosphate Capsules may increase the frequency of seizures in patients with seizure disorders and may increase the risk of seizures occurring in other clinical settings associated with seizures.

Monitor patients with a history of seizure disorders for worsened seizure control during Butalbital, Acetaminophen, Caffeine, and Codeine Phosphate Capsules therapy.

5.2 Opioid Analgesic Risk Evaluation and Mitigation Strategy (rems)

To ensure that the benefits of opioid analgesics outweigh the risks of addiction, abuse, and misuse, the Food and Drug Administration (FDA) has required a Risk Evaluation and Mitigation Strategy (REMS) for these products. Under the requirements of the REMS, drug companies with approved opioid analgesic products must make REMS-compliant education programs available to healthcare providers. Healthcare providers are strongly encouraged to do all of the following:

  • Complete a REMS-compliant education program offered by an accredited provider of continuing education (CE) or another education program that includes all the elements of the FDA Education Blueprint for Health Care Providers Involved in the Management or Support of Patients with Pain.
  • Discuss the safe use, serious risks, and proper storage and disposal of opioid analgesics with patients and/or their caregivers every time these medicines are prescribed. The Patient Counseling Guide (PCG) can be obtained at this link: www.fda.gov/OpioidAnalgesicREMSPCG.
  • Emphasize to patients and their caregivers the importance of reading the Medication Guide that they will receive from their pharmacist every time an opioid analgesic is dispensed to them.
  • Consider using other tools to improve patient, household, and community safety, such as patient-prescriber agreements that reinforce patient-prescriber responsibilities.

To obtain further information on the opioid analgesic REMS and for a list of accredited REMS CME/CE, call 1-800-503-0784, or log on to www.opioidanalgesicrems.com. The FDA Blueprint can be found at www.fda.gov/OpioidAnalgesicREMSBlueprint.

5.7 Risks of Interactions With Drugs Affecting Cytochrome P450 Isoenzymes

The effects of concomitant use or discontinuation of cytochrome P450 3A4 inducers, 3A4 inhibitors, or 2D6 inhibitors with codeine are complex. Use of cytochrome P450 3A4 inducers, 3A4 inhibitors, or 2D6 inhibitors with Butalbital, Acetaminophen, Caffeine, and Codeine Phosphate Capsules require careful consideration of the effects on codeine and the active metabolite, morphine.

5.4 Risks From Concomitant Use With Benzodiazepines Or Other Cns Depressants

Profound sedation, respiratory depression, coma, and death may result from the concomitant use of Butalbital, Acetaminophen, Caffeine, and Codeine Phosphate Capsules with benzodiazepines or other CNS depressants (e.g., non-benzodiazepine sedatives/hypnotics, anxiolytics, tranquilizers, muscle relaxants, general anesthetics, antipsychotics, other opioids, alcohol). Because of these risks, reserve concomitant prescribing of these drugs for use in patients for whom alternative treatment options are inadequate.

Observational studies have demonstrated that concomitant use of opioid analgesics and benzodiazepines increases the risk of drug-related mortality compared to use of opioid analgesics alone. Because of similar pharmacological properties, it is reasonable to expect similar risk with the concomitant use of other CNS depressant drugs with opioid analgesics [see Drug Interactions (7)].

If the decision is made to prescribe a benzodiazepine or other CNS depressant concomitantly with an opioid analgesic, prescribe the lowest effective dosages and minimum durations of concomitant use. In patients already receiving an opioid analgesic, prescribe a lower initial dose of the benzodiazepine or other CNS depressant than indicated in the absence of an opioid, and titrate based on clinical response. If an opioid analgesic is initiated in a patient already taking a benzodiazepine or other CNS depressant, prescribe a lower initial dose of the opioid analgesic, and titrate based on clinical response. Follow patients closely for signs and symptoms of respiratory depression and sedation.

If concomitant use is warranted, consider prescribing naloxone for the emergency treatment of opioid overdose [see Dosage and Administration (2.2), Warnings and Precautions (5.3)].

Advise both patients and caregivers about the risks of respiratory depression and sedation when Butalbital, Acetaminophen, Caffeine, and Codeine Phosphate Capsules are used with benzodiazepines or other CNS depressants (including alcohol and illicit drugs). Advise patients not to drive or operate heavy machinery until the effects of concomitant use of the benzodiazepine or other CNS depressant have been determined. Screen patients for risk of substance use disorders, including opioid abuse and misuse, and warn them of the risk for overdose and death associated with the use of additional CNS depressants including alcohol and illicit drugs [see Drug Interactions (7), Patient Counseling Information (17)].

2.2 Patient Access to Naloxone for the Emergency Treatment of Opioid Overdose

Discuss the availability of naloxone for the emergency treatment of opioid overdose with the patient and caregiver and assess the potential need for access to naloxone, both when initiating and renewing treatment with Butalbital, Acetaminophen, Caffeine, and Codeine Phosphate Capsules [see Warnings and Precautions (5.3), Patient Counseling Information (17)].

Inform patients and caregivers about the various ways to obtain naloxone as permitted by individual state naloxone dispensing and prescribing requirements or guidelines (e.g., by prescription, directly from a pharmacist, or as part of a community-based program).

Consider prescribing naloxone, based on the patient's risk factors for overdose, such as concomitant use of CNS depressants, a history of opioid use disorder, or prior opioid overdose.

The presence of risk factors for overdose should not prevent the proper management of pain in any given patient [see Warnings and Precautions (5.1, 5.3, 5.4)].

Consider prescribing naloxone if the patient has household members (including children) or other close contacts at risk for accidental ingestion or overdose.

2.4 Safe Reduction Or Discontinuation of Butalbital, Acetaminophen, Caffeine, and Codeine Phosphate Capsules

Do not abruptly discontinue Butalbital, Acetaminophen, Caffeine, and Codeine Phosphate Capsules in patients who may be physically dependent on opioids. Rapid discontinuation of opioid analgesics in patients who are physically dependent on opioids has resulted in serious withdrawal symptoms, uncontrolled pain, and suicide. Rapid discontinuation has also been associated with attempts to find other sources of opioid analgesics, which may be confused with drug-seeking for abuse. Patients may also attempt to treat their pain or withdrawal symptoms with illicit opioids, such as heroin, and other substances.

When a decision has been made to decrease the dose or discontinue therapy in an opioid-dependent patient taking Butalbital, Acetaminophen, Caffeine, and Codeine Phosphate Capsules, there are a variety of factors that should be considered, including the dose of Butalbital, Acetaminophen, Caffeine, and Codeine Phosphate Capsules the patient has been taking, the duration of treatment, the type of pain being treated, and the physical and psychological attributes of the patient. It is important to ensure ongoing care of the patient and to agree on an appropriate tapering schedule and follow-up plan so that patient and provider goals and expectations are clear and realistic. When opioid analgesics are being discontinued due to a suspected substance use disorder, evaluate and treat the patient, or refer for evaluation and treatment of the substance use disorder. Treatment should include evidence-based approaches, such as medication assisted treatment of opioid use disorder. Complex patients with co-morbid pain and substance use disorders may benefit from referral to a specialist.

There are no standard opioid tapering schedules that are suitable for all patients. Good clinical practice dictates a patient-specific plan to taper the dose of the opioid gradually. For patients on Butalbital, Acetaminophen, Caffeine, and Codeine Phosphate Capsules who are physically opioid-dependent, initiate the taper by a small enough increment (e.g., no greater than 10% to 25% of the total daily dose) to avoid withdrawal symptoms, and proceed with dose-lowering at an interval of every 2 to 4 weeks. Patients who have been taking opioids for briefer periods of time may tolerate a more rapid taper.

It may be necessary to provide the patient with lower dosage strengths to accomplish a successful taper. Reassess the patient frequently to manage pain and withdrawal symptoms, should they emerge. Common withdrawal symptoms include restlessness, lacrimation, rhinorrhea, yawning, perspiration, chills, myalgia, and mydriasis. Other signs and symptoms also may develop, including irritability, anxiety, backache, joint pain, weakness, abdominal cramps, insomnia, nausea, anorexia, vomiting, diarrhea, or increased blood pressure, respiratory rate, or heart rate. If withdrawal symptoms arise, it may be necessary to pause the taper for a period of time or raise the dose of the opioid analgesic to the previous dose, and then proceed with a slower taper. In addition, monitor patients for any changes in mood, emergence of suicidal thoughts, or use of other substances.

When managing patients taking opioid analgesics, particularly those who have been treated for a long duration and/or with high doses for chronic pain, ensure that a multimodal approach to pain management, including mental health support (if needed), is in place prior to initiating an opioid analgesic taper. A multimodal approach to pain management may optimize the treatment of chronic pain, as well as assist with the successful tapering of the opioid analgesic [see Warnings and Precautions (5.16), Drug Abuse and Dependence (9.3)].

5.5 Ultra Rapid Metabolism of Codeine and Other Risk Factors for Life Threatening Respiratory Depression in Children

Life-threatening respiratory depression and death have occurred in children who received codeine. Codeine is subject to variability in metabolism based upon CYP2D6 genotype (described below), which can lead to an increased exposure to the active metabolite morphine. Based upon post-marketing reports, children younger than 12 years of age appear to be more susceptible to the respiratory depressant effects of codeine, particularly if there are risk factors for respiratory depression. For example, many reported cases of death occurred in the post-operative period following tonsillectomy and/or adenoidectomy, and many of the children had evidence of being ultra-rapid metabolizers of codeine. Furthermore, children with obstructive sleep apnea who are treated with codeine for post-tonsillectomy and/or adenoidectomy pain may be particularly sensitive to its respiratory depressant effect. Because of the risk of life-threatening respiratory depression and death:

  • Butalbital, Acetaminophen, Caffeine, and Codeine Phosphate Capsules are contraindicated for all children younger than 12 years of age [see Contraindications (4)].
  • Butalbital, Acetaminophen, Caffeine, and Codeine Phosphate Capsules are contraindicated for post-operative management in pediatric patients younger than 18 years of age following tonsillectomy and/or adenoidectomy [see Contraindications (4)].
  • Avoid the use of Butalbital, Acetaminophen, Caffeine, and Codeine Phosphate Capsules in adolescents 12 to 18 years of age who have other risk factors that may increase their sensitivity to the respiratory depressant effects of codeine unless the benefits outweigh the risks. Risk factors include conditions associated with hypoventilation, such as post-operative status, obstructive sleep apnea, obesity, severe pulmonary disease, neuromuscular disease, and concomitant use of other medications that cause respiratory depression.
  • As with adults, when prescribing codeine for adolescents, healthcare providers should choose the lowest effective dose for the shortest period of time and inform patients and caregivers about these risks and the signs of morphine overdose [see Use in Specific Populations (8), Overdosage (10)].
5.13 Risks of Use in Patients With Increased Intracranial Pressure, Brain Tumors, Head Injury, Or Impaired Consciousness

In patients who may be susceptible to the intracranial effects of CO2 retention (e.g., those with evidence of increased intracranial pressure or brain tumors), Butalbital, Acetaminophen, Caffeine, and Codeine Phosphate Capsules may reduce respiratory drive, and the resultant CO2 retention can further increase intracranial pressure. Monitor such patients for signs of sedation and respiratory depression, particularly when initiating therapy with Butalbital, Acetaminophen, Caffeine, and Codeine Phosphate Capsules.

Opioids may also obscure the clinical course in a patient with a head injury. Avoid the use of Butalbital, Acetaminophen, Caffeine, and Codeine Phosphate Capsules in patients with impaired consciousness or coma.

5.9 Life Threatening Respiratory Depression in Patients With Chronic Pulmonary Disease Or in Elderly, Cachectic, Or Debilitated Patients

The use of Butalbital, Acetaminophen, Caffeine, and Codeine Phosphate Capsules in patients with acute or severe bronchial asthma in an unmonitored setting or in the absence of resuscitative equipment is contraindicated.

Warning: Addiction, Abuse, and Misuse; Risk Evaluation and Mitigation Strategy (rems); Life Threatening Respiratory Depression; Accidental Ingestion; Risks From Concomitant Use With Benzodiazepines Or Other Cns Depressants; Ultra Rapid Metabolism of Codeine and Other Risk Factors for Life Threatening Respiratory Depression in Children; Neonatal Opioid Withdrawal Syndrome; Interactions With Drugs Affecting Cytochrome P450 Isoenzymes; and Hepatotoxicity

WARNING: ADDICTION, ABUSE, AND MISUSE; RISK EVALUATION AND MITIGATION STRATEGY (REMS); LIFE-THREATENING RESPIRATORY DEPRESSION; ACCIDENTAL INGESTION; RISKS FROM CONCOMITANT USE WITH BENZODIAZEPINES OR OTHER CNS DEPRESSANTS; ULTRA-RAPID METABOLISM OF CODEINE AND OTHER RISK FACTORS FOR LIFE-THREATENING RESPIRATORY DEPRESSION IN CHILDREN; NEONATAL OPIOID WITHDRAWAL SYNDROME; INTERACTIONS WITH DRUGS AFFECTING CYTOCHROME P450 ISOENZYMES; and HEPATOTOXICITY

See full prescribing information for complete boxed warning.

  • Butalbital, Acetaminophen, Caffeine, and Codeine Phosphate Capsules expose users to the risks of addiction, abuse, and misuse, which can lead to overdose and death. Assess patient's risk before prescribing and monitor regularly for these behaviors and conditions. (5.1)
  • To ensure that the benefits of opioid analgesics outweigh the risks of addiction, abuse, and misuse, the Food and Drug Administration (FDA) has required a Risk Evaluation and Mitigation Strategy (REMS) for these products. (5.2)
  • Serious, life-threatening, or fatal respiratory depression may occur. Monitor closely, especially upon initiation or following a dose increase. (5.3)
  • Accidental ingestion of Butalbital, Acetaminophen, Caffeine, and Codeine Phosphate Capsules, especially by children, can result in fatal overdose. Keep out of reach of children. (5.3)
  • Concomitant use of opioids or a barbiturate with benzodiazepines or other central nervous system (CNS) depressants, including alcohol, may result in profound sedation, respiratory depression, coma, and death. Reserve concomitant prescribing for use in patients for whom alternative treatment options are inadequate; limit dosages and durations to the minimum required; and follow patients for signs and symptoms of respiratory depression and sedation. (5.4, 7)
  • Life-threatening respiratory depression and death have occurred in children who received codeine; most cases followed tonsillectomy and/or adenoidectomy, and many of the children had evidence of being an ultra-rapid metabolizer of codeine due to a CYP2D6 polymorphism. (5.5). Butalbital, Acetaminophen, Caffeine, and Codeine Phosphate Capsules are contraindicated in children younger than 12 years of age and in children younger than 18 years of age following tonsillectomy and/or adenoidectomy (4). Avoid the use of Butalbital, Acetaminophen, Caffeine, and Codeine Phosphate Capsules in adolescents 12 to 18 years of age who have other risk factors that may increase their sensitivity to the respiratory depressant effects of codeine.
  • Prolonged use of Butalbital, Acetaminophen, Caffeine, and Codeine Phosphate Capsules during pregnancy can result in neonatal opioid withdrawal syndrome, which may be life-threatening if not recognized and treated. If prolonged opioid use is required in a pregnant woman, advise the patient of the risk of neonatal opioid withdrawal syndrome and ensure that appropriate treatment will be available. (5.6)
  • The effects of concomitant use or discontinuation of cytochrome P450 3A4 inducers, 3A4 inhibitors, or 2D6 inhibitors with codeine are complex. Use of cytochrome P450 3A4 inducers, 3A4 inhibitors, or 2D6 inhibitors with Butalbital, Acetaminophen, Caffeine, and Codeine Phosphate Capsules requires careful consideration of the effects on codeine, and the active metabolite, morphine. (5.7, 7)
  • Acetaminophen has been associated with cases of acute liver failure, at times resulting in liver transplant and death. Most of the cases of liver injury are associated with the use of acetaminophen at doses that exceed 4,000 milligrams per day, and often involve more than one acetaminophen-containing product. (5.8)

Structured Label Content

Section 42229-5 (42229-5)

Addiction, Abuse, and Misuse

Butalbital, Acetaminophen, Caffeine, and Codeine Phosphate Capsules expose patients and other users to the risks of opioid addiction, abuse, and misuse, which can lead to overdose and death. Assess each patient's risk prior to prescribing Butalbital, Acetaminophen, Caffeine, and Codeine Phosphate Capsules, and monitor all patients regularly for the development of these behaviors and conditions [see Warnings and Precautions (5.1)].

Section 43683-2 (43683-2)
Dosage and Administration (2.2) 03/2021
Warnings and Precautions (5.1, 5.3, 5.4) 03/2021
Section 44425-7 (44425-7)

Store at 20° to 25°C (68° to 77°F) [see USP Controlled Room Temperature]; and Dispense in a tight, light-resistant container.

Store Butalbital, Acetaminophen, Caffeine, and Codeine Phosphate Capsules securely and dispose of properly [see Patient Counseling Information (17)].

Rx only

Keep this and all medication out of the reach of children.

9.2 Abuse

Butalbital, Acetaminophen, Caffeine, and Codeine Phosphate Capsules contains codeine, a substance with a high potential for abuse similar to other opioids including fentanyl, hydrocodone, hydromorphone, methadone, morphine, oxycodone, oxymorphone, and tapentadol. Butalbital, Acetaminophen, Caffeine, and Codeine Phosphate Capsules can be abused and is subject to misuse, addiction, and criminal diversion [see Warnings and Precautions (5.1)].

All patients treated with opioids require careful monitoring for signs of abuse and addiction, since use of opioid analgesic products carries the risk of addiction even under appropriate medical use.

Prescription drug abuse is the intentional non-therapeutic use of a prescription drug, even once, for its rewarding psychological or physiological effects.

Drug addiction is a cluster of behavioral, cognitive, and physiological phenomena that develop after repeated substance use and includes: a strong desire to take the drug, difficulties in controlling its use, persisting in its use despite harmful consequences, a higher priority given to drug use than to other activities and obligations, increased tolerance, and sometimes a physical withdrawal.

"Drug-seeking" behavior is very common in persons with substance use disorders. Drug-seeking tactics include emergency calls or visits near the end of office hours, refusal to undergo appropriate examination, testing, or referral, repeated "loss" of prescriptions, tampering with prescriptions and reluctance to provide prior medical records or contact information for other treating healthcare provider(s). "Doctor shopping" (visiting multiple prescribers to obtain additional prescriptions) is common among drug abusers and people suffering from untreated addiction. Preoccupation with achieving adequate pain relief can be appropriate behavior in a patient with poor pain control.

Abuse and addiction are separate and distinct from physical dependence and tolerance. Healthcare providers should be aware that addiction may not be accompanied by concurrent tolerance and symptoms of physical dependence in all addicts. In addition, abuse of opioids can occur in the absence of true addiction.

Butalbital, Acetaminophen, Caffeine, and Codeine Phosphate Capsules, like other opioids, can be diverted for non-medical use into illicit channels of distribution. Careful record-keeping of prescribing information, including quantity, frequency, and renewal requests, as required by state and federal law, is strongly advised.

Proper assessment of the patient, proper prescribing practices, periodic re-evaluation of therapy, and proper dispensing and storage are appropriate measures that help to limit abuse of opioid drugs.

11 Description (11 DESCRIPTION)

Butalbital, Acetaminophen, Caffeine, and Codeine Phosphate Capsules are supplied in capsule form for oral administration. Each capsule contains:

Butalbital, USP 50 mg
Acetaminophen, USP 325 mg
Caffeine, USP 40 mg
Codeine phosphate, USP 30 mg

Butalbital (5-allyl-5-isobutylbarbituric acid), is a short-to intermediate-acting barbiturate. It has the following structural formula:

C11H16N2O3                                                                 MW 224.26

Acetaminophen (4'hydroxyacetanilide), is a non-opiate, non-salicylate analgesic and antipyretic. It has the following structural formula:

C8H9NO2                                                                 MW 151.16

Caffeine (1,3,7-trimethylxanthine), a methylxanthine, is a central nervous system stimulant. It has the following structural formula:

C8H10N4O2                                                               MW 194.19

Codeine phosphate (7,8-Didehydro-4,5α-epoxy-3-methoxy-17-methylmorphinan-6α-ol phosphate (1:1)(salt) hemihydrate) is an opioid agonist. It has the following structural formula:

C18H24NO7P anhydrous                                              MW 397.37
9.3 Dependence

Both tolerance and physical dependence can develop during chronic opioid therapy. Tolerance is the need for increasing doses of opioids to maintain a defined effect such as analgesia (in the absence of disease progression or other external factors). Tolerance may occur to both the desired and undesired effects of drugs, and may develop at different rates for different effects.

Physical dependence is a physiological state in which the body adapts to the drug after a period of regular exposure, resulting in withdrawal symptoms after abrupt discontinuation or a significant dosage reduction of a drug. Withdrawal also may be precipitated through the administration of drugs with opioid antagonist activity (e.g., naloxone, nalmefene), mixed agonist/antagonist analgesics (e.g., pentazocine, butorphanol, nalbuphine), or partial agonists (e.g., buprenorphine). Physical dependence may not occur to a clinically significant degree until after several days to weeks of continued opioid usage.

Do not abruptly discontinue Butalbital, Acetaminophen, Caffeine, and Codeine Phosphate Capsules in a patient physically dependent on opioids. Rapid tapering of Butalbital, Acetaminophen, Caffeine, and Codeine Phosphate Capsules in a patient physically dependent on opioids may lead to serious withdrawal symptoms, uncontrolled pain, and suicide. Rapid discontinuation has also been associated with attempts to find other sources of opioid analgesics, which may be confused with drug-seeking for abuse.

When discontinuing Butalbital, Acetaminophen, Caffeine, and Codeine Phosphate Capsules, gradually taper the dosage using a patient-specific plan that considers the following: the dose of Butalbital, Acetaminophen, Caffeine, and Codeine Phosphate Capsules the patient has been taking, the duration of treatment, and the physical and psychological attributes of the patient. To improve the likelihood of a successful taper and minimize withdrawal symptoms, it is important that the opioid tapering schedule is agreed upon by the patient. In patients taking opioids for a long duration at high doses, ensure that a multimodal approach to pain management, including mental health support (if needed), is in place prior to initiating an opioid analgesic taper [see Dosage and Administration (2.4), Warnings and Precautions (5.16)].

Infants born to mothers physically dependent on opioids will also be physically dependent and may exhibit respiratory difficulties and withdrawal signs [see Use in Specific Populations (8.1)].

5.16 Withdrawal

Do not abruptly discontinue Butalbital, Acetaminophen, Caffeine, and Codeine Capsules in a patient physically dependent on opioids. Rapid tapering of Butalbital, Acetaminophen, Caffeine, and Codeine Capsules in a patient physically dependent on opioids may lead to a withdrawal syndrome and return of pain [see Dosage and Administration (2.4), Drug Abuse and Dependence (9.3)].

Additionally, avoid the use of mixed agonist/antagonist (e.g., pentazocine, nalbuphine, and butorphanol) or partial agonist (e.g., buprenorphine) analgesics in patients who are receiving a full opioid agonist analgesic, including Butalbital, Acetaminophen, Caffeine, and Codeine Phosphate Capsules. In these patients, mixed agonist/antagonist and partial agonist analgesics may reduce the analgesic effect and/or precipitate withdrawal symptoms.

When discontinuing Butalbital, Acetaminophen, Caffeine, and Codeine Phosphate Capsules, in a physically-dependent patient, gradually taper the dosage [see Dosage and Administration (2.4)]. Abrupt discontinuation of butalbital can cause seizures [see Drug Abuse and Dependence (9.3)].

Medication Guide

Dispense with Medication Guide available at: www.breckenridgepharma.com/prescription-products/

Butalbital, Acetaminophen, Caffeine, and Codeine Phosphate Capsules, C III
Butalbital, Acetaminophen, Caffeine, and Codeine Phosphate Capsules are:
  • A strong prescription pain medicine that contains an opioid (narcotic) that is indicated for the relief of the symptom complex of tension (or muscle contraction) headache, when other pain treatments such as non-opioid pain medicines do not treat your pain well enough or you cannot tolerate them.
  • An opioid pain medicine that can put you at risk for overdose and death. Even if you take your dose correctly as prescribed you are at risk for opioid addiction, abuse, and misuse that can lead to death.
Important information about Butalbital, Acetaminophen, Caffeine, and Codeine Phosphate Capsules:
  • Get emergency help or call 911 right away if you take too much Butalbital, Acetaminophen, Caffeine, and Codeine Phosphate Capsules (overdose). When you first start taking Butalbital, Acetaminophen, Caffeine, and Codeine Phosphate Capsules, when your dose is changed, or if you take too much (overdose), serious or life-threatening breathing problems that can lead to death may occur. Talk to your healthcare provider about naloxone, a medicine for the emergency treatment of an opioid overdose.
  • Taking Butalbital, Acetaminophen, Caffeine, and Codeine Phosphate Capsules with other opioid medicines, benzodiazepines, alcohol, or other central nervous system depressants (including street drugs) can cause severe drowsiness, decreased awareness, breathing problems, coma, and death.
  • Never give anyone else your Butalbital, Acetaminophen, Caffeine, and Codeine Phosphate Capsules. They could die from taking it. Selling or giving away Butalbital, Acetaminophen, Caffeine, and Codeine Phosphate Capsules is against the law.
  • Store Butalbital, Acetaminophen, Caffeine, and Codeine Phosphate Capsules securely, out of sight and reach of children, and in a location not accessible by others, including visitors to the home.
  • Get emergency help right away if you take more than 4,000 mg of acetaminophen in 1 day. Taking Butalbital, Acetaminophen, Caffeine, and Codeine Phosphate Capsules with other products that contain acetaminophen can lead to serious liver problems and death.
Important Information Guiding Use in Pediatric Patients:
  • Do not give Butalbital, Acetaminophen, Caffeine, and Codeine Phosphate Capsules to a child younger than 12 years of age.
  • Do not give Butalbital, Acetaminophen, Caffeine, and Codeine Phosphate Capsules to a child younger than 18 years of age after surgery to remove the tonsils and/or adenoids.
  • Avoid giving Butalbital, Acetaminophen, Caffeine, and Codeine Phosphate Capsules to children between 12 to 18 years of age who have risk factors for breathing problems such as obstructive sleep apnea, obesity, or underlying lung problems.
Do not take Butalbital, Acetaminophen, Caffeine, and Codeine Phosphate Capsules if you have:
  • severe asthma, trouble breathing, or other lung problems.
  • a bowel blockage or have narrowing of the stomach or intestines.
Before taking Butalbital, Acetaminophen, Caffeine, and Codeine Phosphate Capsules, tell your healthcare provider if you have a history of:
  • head injury, seizures
  • problems urinating
  • abuse of street or prescription drugs, alcohol addiction, opioid overdose, or mental health problems.
  • Have been told by your healthcare provider that you are a "rapid metabolizer" of certain medicines
  • liver, kidney, thyroid problems
  • pancreas or gallbladder problems
Tell your healthcare provider if you are:
  • pregnant or planning to become pregnant. Prolonged use of Butalbital, Acetaminophen, Caffeine, and Codeine Phosphate Capsules, during pregnancy can cause withdrawal symptoms in your newborn baby that could be life-threatening if not recognized and treated.
  • breastfeeding. Not recommended; may harm your baby.
  • living in a household where there are small children or someone who has abused street or prescription drugs.
  • taking prescription or over-the-counter medicines, vitamins, or herbal supplements. Taking Butalbital, Acetaminophen, Caffeine, and Codeine Phosphate Capsules with certain other medicines can cause serious side effects that could lead to death.
When taking Butalbital, Acetaminophen, Caffeine, and Codeine Phosphate Capsules:
  • Do not change your dose. Take Butalbital, Acetaminophen, Caffeine, and Codeine Phosphate Capsules exactly as prescribed by your healthcare provider. Use the lowest dose possible for the shortest time needed.
  • Take your prescribed dose of 1 or 2 capsules every 4 hours. Total daily dosage should not exceed 6 capsules. Do not take more than your prescribed dose. If you miss a dose, take your next dose at your usual time.
  • Call your healthcare provider if the dose you are taking does not control your pain.
  • If you have been taking Butalbital, Acetaminophen, Caffeine, and Codeine Phosphate Capsules regularly, do not stop taking Butalbital, Acetaminophen, Caffeine, and Codeine Phosphate Capsules without talking to your healthcare provider.
  • After you stop taking Butalbital, Acetaminophen, Caffeine, and Codeine Phosphate Capsules, dispose the unused Butalbital, Acetaminophen, Caffeine, and Codeine Phosphate Capsules in accordance with the local state guidelines and/or regulations.
  • Dispose of expired, unwanted, or unused Butalbital, Acetaminophen, Caffeine, and Codeine Phosphate Capsules by taking your drug to an authorized DEA-registered collector or drug take-back program. If one is not available, you can dispose of Butalbital, Acetaminophen, Caffeine, and Codeine Phosphate Capsules by mixing the product with dirt, cat litter, or coffee grounds; placing the mixture in a sealed plastic bag, and throwing the bag in your trash.
While taking Butalbital, Acetaminophen, Caffeine, and Codeine Phosphate Capsules DO NOT:
  • Drive or operate heavy machinery, until you know how Butalbital, Acetaminophen, Caffeine, and Codeine Phosphate Capsules affect you. Butalbital, Acetaminophen, Caffeine, and Codeine Phosphate Capsules can make you sleepy, dizzy, or lightheaded.
  • Drink alcohol or use prescription or over-the-counter medicines that contain alcohol. Using products containing alcohol during treatment with Butalbital, Acetaminophen, Caffeine, and Codeine Phosphate Capsules may cause you to overdose and die.
The possible side effects of Butalbital, Acetaminophen, Caffeine, and Codeine Phosphate Capsules:
  • constipation, nausea, sleepiness, vomiting, tiredness, headache, dizziness, abdominal pain. Call your healthcare provider if you have any of these symptoms and they are severe.
Get emergency medical help or call 911 right away if you:
  • have trouble breathing, shortness of breath, fast heartbeat, chest pain, swelling of your face, tongue, or throat, extreme drowsiness, light-headedness when changing positions, feeling faint, agitation, high body temperature, trouble walking, stiff muscles, or mental changes such as confusion.
  • are a nursing mother taking Butalbital, Acetaminophen, Caffeine, and Codeine Phosphate Capsules, and your breastfeeding baby has increased sleepiness, confusion, difficulty breathing, shallow breathing, limpness, or difficulty breastfeeding.
These are not all the possible side effects of Butalbital, Acetaminophen, Caffeine, and Codeine Phosphate Capsules. Call your doctor for medical advice about side effects. You may report side effects to FDA at 1-800-FDA-1088. For more information go to dailymed.nlm.nih.gov

Manufactured by:

LGM Pharma Solutions, LLC,

Irvine, CA 92614

Manufactured for:

Breckenridge Pharmaceutical, Inc.,

Berkeley Heights, NJ 07922

This Medication Guide has been approved by the U.S. Food and Drug Administration.

6670

Rev. 09/2024

8.4 Pediatric Use

The safety and effectiveness of Butalbital, Acetaminophen, Caffeine, and Codeine Phosphate Capsules in pediatric patients have not been established.

Life-threatening respiratory depression and deaths have occurred in children who received codeine [see Warnings and Precautions (5.5)]. In most of the reported cases, these events followed tonsillectomy and/or adenoidectomy, and many of the children had evidence of being ultra-rapid metabolizers of codeine (i.e., multiple copies of the gene for cytochrome P450 isoenzyme 2D6 or high morphine concentrations). Children with sleep apnea may be particularly sensitive to the respiratory depressant effects of codeine. Because of the risk of life-threatening respiratory depression and death:

  • Butalbital, Acetaminophen, Caffeine, and Codeine Phosphate Capsules are contraindicated for all children younger than 12 years of age [see Contraindications (4)].
  • Butalbital, Acetaminophen, Caffeine, and Codeine Phosphate Capsules are contraindicated for post-operative management in pediatric patients younger than 18 years of age following tonsillectomy and/or adenoidectomy [see Contraindications (4)].
  • Avoid the use of Butalbital, Acetaminophen, Caffeine, and Codeine Phosphate Capsules in adolescents 12 to 18 years of age who have other risk factors that may increase their sensitivity to the respiratory depressant effects of codeine unless the benefits outweigh the risks. Risk factors include conditions associated with hypoventilation, such as post-operative status, obstructive sleep apnea, obesity, severe pulmonary disease, neuromuscular disease, and concomitant use of other medications that cause respiratory depression [see Warnings and Precautions (5.5)].
8.5 Geriatric Use

Clinical studies of Butalbital, Acetaminophen, Caffeine, and Codeine Phosphate Capsules did not include sufficient numbers of subjects aged 65 and over to determine whether they respond differently from younger subjects. Other reported clinical experience has not identified differences in responses between the elderly and younger patients. In general, dose selection for an elderly patient should be cautious, usually starting at the low end of the dosing range, reflecting the greater frequency of decreased hepatic, renal, or cardiac function, and of concomitant disease or other drug therapy.

Butalbital is known to be substantially excreted by the kidney, and the risk of toxic reactions to this drug may be greater in patients with impaired renal function. Because elderly patients are more likely to have decreased renal function, care should be taken in dose selection, and it may be useful to monitor renal function.

Elderly patients (aged 65 years or older) may have increased sensitivity to Butalbital, Acetaminophen, Caffeine, and Codeine Phosphate Capsules. In general, use caution when selecting a dosage for an elderly patient, usually starting at the low end of the dosing range, reflecting the greater frequency of decreased hepatic, renal, or cardiac function and of concomitant disease or other drug therapy.

Respiratory depression is the chief risk for elderly patients treated with opioids, and has occurred after large initial doses were administered to patients who were not opioid-tolerant or when opioids were co-administered with other agents that depress respiration. Titrate the dosage of Butalbital, Acetaminophen, Caffeine, and Codeine Phosphate Capsules slowly in geriatric patients and monitor closely for signs of respiratory depression [see Warnings and Precautions (5.9)].

Components of this product are known to be substantially excreted by the kidney, and the risk of adverse reactions to this drug may be greater in patients with impaired renal function. Because elderly patients are more likely to have decreased renal function, care should be taken in dose selection, and it may be useful to monitor renal function.

5.8 Hepatotoxicity

Butalbital, Acetaminophen, Caffeine, and Codeine Phosphate Capsules contain acetaminophen. Acetaminophen has been associated with cases of acute liver failure, at times resulting in liver transplant and death. Most of the cases of liver injury are associated with the use of acetaminophen at doses that exceed 4000 milligrams per day, and often involve more than one acetaminophen-containing product. The excessive intake of acetaminophen may be intentional to cause self-harm or unintentional as patients attempt to obtain more pain relief or unknowingly take other acetaminophen-containing products.

The risk of acute liver failure is higher in individuals with underlying liver disease and in individuals who ingest alcohol while taking acetaminophen.

Instruct patients to look for acetaminophen or APAP on package labels and not to use more than one product that contains acetaminophen. Instruct patients to seek medical attention immediately upon ingestion of more than 4000 milligrams of acetaminophen per day, even if they feel well.

4 Contraindications (4 CONTRAINDICATIONS)

Butalbital, Acetaminophen, Caffeine, and Codeine Phosphate Capsules are contraindicated for:

Butalbital, Acetaminophen, Caffeine, and Codeine Phosphate Capsules are also contraindicated in patients with:

6 Adverse Reactions (6 ADVERSE REACTIONS)

The following serious adverse reactions are described, or described in greater detail, in other sections:

The following adverse reactions associated with the use of butalbital, acetaminophen, caffeine, and codeine phosphate were identified in clinical studies or post-marketing reports. Because some of these reactions were reported voluntarily from a population of uncertain size, it is not always possible to reliably estimate their frequency or establish a causal relationship to drug exposure.

7 Drug Interactions (7 DRUG INTERACTIONS)

Table 1 includes clinically significant drug interactions with Butalbital, Acetaminophen, Caffeine, and Codeine Phosphate Capsules.

Table 1: Clinically Significant Drug Interactions with Butalbital, Acetaminophen, Caffeine, and Codeine Phosphate Capsules
Inhibitors of CYP3A4
Clinical Impact: The concomitant use of Butalbital, Acetaminophen, Caffeine, and Codeine Phosphate Capsules with CYP3A4 inhibitors may result in an increase in codeine plasma concentrations with subsequently greater metabolism by cytochrome CYP2D6, resulting in greater morphine levels, which could increase or prolong adverse reactions and may cause potentially fatal respiratory depression, particularly when an inhibitor is added after a stable dose of Butalbital, Acetaminophen, Caffeine, and Codeine Phosphate Capsules is achieved [see Warnings and Precautions (5.7)].

After stopping a CYP3A4 inhibitor, as the effects of the inhibitor decline, it may result in lower codeine levels, greater norcodeine levels, and less metabolism via 2D6 with resultant lower morphine levels [see Clinical Pharmacology (12.3)], resulting in decreased opioid efficacy or a withdrawal syndrome in patients who had developed physical dependence to codeine.
Intervention: If concomitant use with CYP3A4 inhibitor is necessary, consider dosage reduction of Butalbital, Acetaminophen, Caffeine, and Codeine Phosphate Capsules until stable drug effects are achieved. Monitor patients for respiratory depression and sedation at frequent intervals.

If a CYP3A4 inhibitor is discontinued, consider increasing the Butalbital, Acetaminophen, Caffeine, and Codeine Phosphate Capsules dosage until stable drug effects are achieved. Monitor for signs of opioid withdrawal.
Examples: Macrolide antibiotics (e.g., erythromycin), azole-antifungal agents (e.g. ketoconazole), protease inhibitors (e.g., ritonavir), grapefruit juice
CYP3A4 Inducers
Clinical Impact: The concomitant use of Butalbital, Acetaminophen, Caffeine, and Codeine Phosphate Capsules and CYP3A4 inducers can result in lower codeine levels, greater norcodeine levels, and less metabolism via 2D6 with resultant lower morphine levels [see Clinical Pharmacology (12.3)], resulting in decreased efficacy or onset of a withdrawal syndrome in patients who have developed physical dependence [see Warnings and Precautions (5.7)].

After stopping a CYP3A4 inducer, as the effects of the inducer decline, the codeine plasma concentration may increase with subsequently greater metabolism by cytochrome CYP2D6, resulting in greater morphine levels [see Clinical Pharmacology (12.3)], which could increase or prolong both the therapeutic effects and adverse reactions, and may cause serious respiratory depression.
Intervention: If concomitant use of a CYP3A4 inducer is necessary, follow the patient for reduced efficacy and signs of opioid withdrawal and consider increasing the Butalbital, Acetaminophen, Caffeine, and Codeine Phosphate Capsules dosage as needed.

If a CYP3A4 inducer is discontinued, consider Butalbital, Acetaminophen, Caffeine, and Codeine Phosphate Capsules dosage reduction, and monitor for signs of respiratory depression and sedation at frequent intervals.
Examples: Rifampin, carbamazepine, phenytoin
Inhibitors of CYP2D6
Clinical Impact: Codeine is metabolized by CYP2D6 to form morphine. The concomitant use of Butalbital, Acetaminophen, Caffeine, and Codeine Phosphate Capsules and CYP2D6 inhibitors can increase the plasma concentration of codeine, but can decrease the plasma concentrations of active metabolite morphine, which could result in reduced analgesic efficacy or symptoms of opioid withdrawal, particularly when an inhibitor is added after a stable dose of Butalbital, Acetaminophen, Caffeine, and Codeine Phosphate Capsules is achieved [see Clinical Pharmacology (12.3)].

After stopping a CYP2D6 inhibitor, as the effects of the inhibitor decline, the codeine plasma concentration will decrease but the active metabolite morphine plasma concentration will increase, which could increase or prolong adverse reactions and may cause potentially fatal respiratory depression [see Clinical Pharmacology (12.3)].
Intervention: If concomitant use with a CYP2D6 inhibitor is necessary, or if a CYP2D6 inhibitor is discontinued after concomitant use, consider dosage adjustment of Butalbital, Acetaminophen, Caffeine, and Codeine Phosphate Capsules and monitor patients closely at frequent intervals.

If concomitant use with CYP2D6 inhibitors is necessary, follow the patient for reduced efficacy or signs and symptoms of opioid withdrawal and consider increasing the Butalbital, Acetaminophen, Caffeine, and Codeine Phosphate Capsules as needed.

After stopping use of a CYP2D6 inhibitor, consider reducing the Butalbital, Acetaminophen, Caffeine, and Codeine Phosphate Capsules and monitor the patient for signs and symptoms of respiratory depression or sedation.
Examples: paroxetine, fluoxetine, bupropion, quinidine
Benzodiazepines and Other Central Nervous System (CNS) Depressants
Clinical Impact: Due to additive pharmacologic effect, the concomitant use of benzodiazepines or other CNS depressants, including alcohol, can increase the risk of hypotension, respiratory depression, profound sedation, coma, and death.
Intervention: Reserve concomitant prescribing of these drugs for use in patients for whom alternative treatment options are inadequate. Limit dosages and durations to the minimum required. Follow patients closely for signs of respiratory depression and sedation. If concomitant use is warranted, consider prescribing naloxone for the emergency treatment of opioid overdose [see Dosage and Administration (2.2), Warnings and Precautions (5.1, 5.3, 5.4)].
Examples: Benzodiazepines and other sedatives/hypnotics, anxiolytics, tranquilizers, muscle relaxants, general anesthetics, antipsychotics, other opioids, alcohol.
Serotonergic Drugs
Clinical Impact: The concomitant use of opioids with other drugs that affect the serotonergic neurotransmitter system has resulted in serotonin syndrome.
Intervention: If concomitant use is warranted, carefully observe the patient, particularly during treatment initiation and dose adjustment. Discontinue Butalbital, Acetaminophen, Caffeine, and Codeine Phosphate Capsules if serotonin syndrome is suspected.
Examples: Selective serotonin reuptake inhibitors (SSRIs), serotonin and norepinephrine reuptake inhibitors (SNRIs), tricyclic antidepressants (TCAs), triptans, 5-HT3 receptor antagonists, drugs that affect the serotonin neurotransmitter system (e.g., mirtazapine, trazodone, tramadol), certain muscle relaxants (i.e., cyclobenzaprine, metaxalone), monoamine oxidase (MAO) inhibitors (those intended to treat psychiatric disorders and also others, such as linezolid and intravenous methylene blue).
Monoamine Oxidase Inhibitors (MAOIs)
Clinical Impact: MAOI interactions with opioids may manifest as serotonin syndrome or opioid toxicity (e.g., respiratory depression, coma) [see Warnings and Precautions (5.10)].
Intervention: Do not use Butalbital, Acetaminophen, Caffeine, and Codeine Phosphate Capsules in patients taking MAOIs or within 14 days of stopping such treatment.

If urgent use of an opioid is necessary, use test doses and frequent titration of small doses of other opioids (such as oxycodone, hydrocodone, oxymorphone, hydromorphone, or buprenorphine) to treat pain while closely monitoring blood pressure and signs and symptoms of CNS and respiratory depression.
Examples: phenelzine, tranylcypromine, linezolid
Mixed Agonist/Antagonist and Partial Agonist Opioid Analgesics
Clinical Impact: May reduce the analgesic effect of Butalbital, Acetaminophen, Caffeine, and Codeine Phosphate Capsules and/or precipitate withdrawal symptoms.
Intervention: Avoid concomitant use.
Examples: butorphanol, nalbuphine, pentazocine, buprenorphine
Muscle Relaxants
Clinical Impact: Codeine may enhance the neuromuscular blocking action of skeletal muscle relaxants and produce an increased degree of respiratory depression.
Intervention: Monitor patients for signs of respiratory depression that may be greater than otherwise expected and decrease the dosage of Butalbital, Acetaminophen, Caffeine, and Codeine Phosphate Capsules and/or the muscle relaxant as necessary. Due to the risk of respiratory depression with concomitant use of skeletal muscle relaxants and opioids, consider prescribing naloxone for the emergency treatment of opioid overdose [see Dosage and Administration (2.2), Warnings and Precautions (5.3, 5.4)].
Examples: cyclobenzaprine, metaxalone
Diuretics
Clinical Impact: Opioids can reduce the efficacy of diuretics by inducing the release of antidiuretic hormone.
Intervention: Monitor patients for signs of diminished diuresis and/or effects on blood pressure and increase the dosage of the diuretic as needed.
Anticholinergic Drugs
Clinical Impact: The concomitant use of anticholinergic drugs may increase risk of urinary retention and/or severe constipation, which may lead to paralytic ileus.
Intervention: Monitor patients for signs of urinary retention or reduced gastric motility when Butalbital, Acetaminophen, Caffeine, and Codeine Phosphate Capsules are used concomitantly with anticholinergic drugs.
8.7 Renal Impairment

Codeine pharmacokinetics may be altered in patients with renal failure. Clearance may be decreased and the metabolites may accumulate to much higher plasma levels in patients with renal failure as compared to patients with normal renal function. Start these patients cautiously with lower doses of codeine sulfate or with longer dosing intervals and titrate slowly while carefully monitoring for side effects. In patients with renal disease, monitor effects of therapy with serial renal function tests.

12.3 Pharmacokinetics

The behavior of the individual components is described below.

2.3 Dosing Information

One or two capsules every 4 hours as needed for pain. Total daily dosage should not exceed 6 capsules.

8.6 Hepatic Impairment

No formal studies have been conducted in patients with hepatic impairment so the pharmacokinetics of butalbital, codeine, and acetaminophen in this patient population are unknown. Start these patients cautiously with lower doses of codeine sulfate or with longer dosing intervals and titrate slowly while carefully monitoring for side effects.

1 Indications and Usage (1 INDICATIONS AND USAGE)

Butalbital, Acetaminophen, Caffeine, and Codeine Phosphate Capsules are indicated for the management of the symptom complex of tension (or muscle contraction) headache when non-opioid analgesic and alternative treatments are inadequate.

5.12 Severe Hypotension

Butalbital, Acetaminophen, Caffeine, and Codeine Phosphate Capsules may cause severe hypotension including orthostatic hypotension and syncope in ambulatory patients. There is increased risk in patients whose ability to maintain blood pressure has already been compromised by a reduced blood volume or concurrent administration of certain CNS depressant drugs (e.g., phenothiazines or general anesthetics) [see Drug Interactions (7)]. Monitor these patients for signs of hypotension after initiating or titrating the dosage of Butalbital, Acetaminophen, Caffeine, and Codeine Phosphate Capsules. In patients with circulatory shock, Butalbital, Acetaminophen, Caffeine, and Codeine Phosphate Capsules may cause vasodilation that can further reduce cardiac output and blood pressure. Avoid the use of Butalbital, Acetaminophen, Caffeine, and Codeine Phosphate Capsules in patients with circulatory shock.

12.1 Mechanism of Action

Butalbital, a barbiturate, is a GABAA receptor agonist and may inhibit excitatory AMPA receptors.

The precise mechanism of the analgesic properties of acetaminophen is not established but is thought to involve central actions.

Caffeine is a methylxanthine and CNS stimulant. The exact mechanism with respect to the indication is not clear; however, the effects of caffeine may be due to antagonism of adenosine receptors.

Codeine is an opioid agonist relatively selective for the mu-opioid receptor, but with a much weaker affinity than morphine. The analgesic properties of codeine have been speculated to come from its conversion to morphine, although the exact mechanism of analgesic action remains unknown.

9.1 Controlled Substance

Butalbital, Acetaminophen, Caffeine, and Codeine Phosphate Capsules contain codeine. Codeine in combination with butalbital, acetaminophen, and caffeine is a Schedule III controlled substance.

5 Warnings and Precautions (5 WARNINGS AND PRECAUTIONS)
  • Life-Threatening Respiratory Depression in Patients with Chronic Pulmonary Disease or in Elderly, Cachectic, or Debilitated Patients: Monitor closely, particularly during initiation and titration. (5.9)
  • Adrenal Insufficiency: If diagnosed, treat with physiologic replacement of corticosteroids, and wean patient off of the opioid. (5.11)
  • Severe Hypotension: Monitor during dosage initiation and titration. Avoid use of Butalbital, Acetaminophen, Caffeine, and Codeine Phosphate Capsules in patients with circulatory shock. (5.12)
  • Risks of Use in Patients with Increased Intracranial Pressure, Brain Tumors, Head Injury, or Impaired Consciousness: Monitor for sedation and respiratory depression. Avoid use of Butalbital, Acetaminophen, Caffeine, and Codeine Phosphate Capsules in patients with impaired consciousness or coma. (5.13)
5.11 Adrenal Insufficiency

Cases of adrenal insufficiency have been reported with opioid use, more often following greater than one month of use. Presentation of adrenal insufficiency may include non-specific symptoms and signs including nausea, vomiting, anorexia, fatigue, weakness, dizziness, and low blood pressure. If adrenal insufficiency is suspected, confirm the diagnosis with diagnostic testing as soon as possible. If adrenal insufficiency is diagnosed, treat with physiologic replacement doses of corticosteroids. Wean the patient off of the opioid to allow adrenal function to recover and continue corticosteroid treatment until adrenal function recovers. Other opioids may be tried as some cases reported use of a different opioid without recurrence of adrenal insufficiency. The information available does not identify any particular opioids as being more likely to be associated with adrenal insufficiency.

2 Dosage and Administration (2 DOSAGE AND ADMINISTRATION)
  • Use the lowest effective dosage for the shortest duration consistent with individual patient treatment goals. (2.1)
  • Individualize dosing based on the severity of pain, patient response, prior analgesic experience, and risk factors for addiction, abuse, and misuse. (2.1)
  • Discuss availability of naloxone with the patient and caregiver and assess each patient's need for access to naloxone, both when initiating and renewing treatment with Butalbital, Acetaminophen, Caffeine and Codeine Phosphate Capsules. Consider prescribing naloxone based on the patient's risk factors for overdose. (2.2, 5.1, 5.3, 5.4)
  • Initiate treatment with one or two capsules every 4 hours as needed for pain. Total daily dosage should not exceed 6 capsules. (2.3)
  • Do not abruptly discontinue Butalbital, Acetaminophen, Caffeine, and Codeine Phosphate Capsules in a physically dependent patient because rapid discontinuation of opioid analgesics has resulted in serious withdrawal symptoms, uncontrolled pain, and suicide (2.4).
5.18 Serious Skin Reactions

Rarely, acetaminophen may cause serious skin reactions such as acute generalized exanthematous pustulosis (AGEP), Stevens-Johnson Syndrome (SJS), and toxic epidermal necrolysis (TEN), which can be fatal. Patients should be informed about the signs of serious skin reactions, and use of the drug should be discontinued at the first appearance of skin rash or any other sign of hypersensitivity.

3 Dosage Forms and Strengths (3 DOSAGE FORMS AND STRENGTHS)

Capsules: Butalbital 50 mg, Acetaminophen 325 mg, Caffeine 40 mg, Codeine Phosphate 30 mg

Blue, opaque cap with a gray, opaque body, and body is imprinted with "B073" in black ink.

8 Use in Specific Populations (8 USE IN SPECIFIC POPULATIONS)
  • Pregnancy: May cause fetal harm. (8.1)
  • Lactation: Breastfeeding not recommended. (8.2)
  • Geriatric: Respiratory depression has occurred after large initial doses were administered. Increase dosage slowly. (8.5)
5.1 Addiction, Abuse, and Misuse

Butalbital, Acetaminophen, Caffeine, and Codeine Phosphate Capsules contain codeine. Codeine in combination with butalbital, acetaminophen, and caffeine is a Schedule III controlled substance. As Butalbital, Acetaminophen, Caffeine, and Codeine Phosphate Capsules contain butalbital and codeine, they expose users to the risks of addiction, abuse, and misuse [see Drug Abuse and Dependence (9)].

Although the risk of addiction in any individual is unknown, it can occur in patients appropriately prescribed Butalbital, Acetaminophen, Caffeine, and Codeine Phosphate Capsules. Addiction can occur at recommended dosages and if the drug is misused or abused.

Assess each patient's risk for addiction, abuse, or misuse prior to prescribing Butalbital, Acetaminophen, Caffeine, and Codeine Phosphate Capsules, and monitor all patients receiving Butalbital, Acetaminophen, Caffeine, and Codeine Phosphate Capsules for the development of these behaviors and conditions. Risks are increased in patients with a personal or family history of substance abuse (including drug or alcohol abuse or addiction) or mental illness (e.g., major depression). The potential for these risks should not, however, prevent the proper management of pain in any given patient. Patients at increased risk may be prescribed opioids such as Butalbital, Acetaminophen, Caffeine, and Codeine Phosphate Capsules, but use in such patients necessitates intensive counseling about the risks and proper use of Butalbital, Acetaminophen, Caffeine, and Codeine Phosphate Capsules along with intensive monitoring for signs of addiction, abuse, and misuse.

Consider prescribing naloxone for the emergency treatment of opioid overdose [see Dosage and Administration (2.2), Warnings and Precautions (5.3)].

Opioids and barbiturates are sought by drug abusers and people with addiction disorders and are subject to criminal diversion. Consider these risks when prescribing or dispensing Butalbital, Acetaminophen, Caffeine, and Codeine Phosphate Capsules. Strategies to reduce these risks include prescribing the drug in the smallest appropriate quantity and advising the patient on the proper disposal of unused drug [see Patient Counseling Information (17)]. Contact local state professional licensing board or state controlled substances authority for information on how to prevent and detect abuse or diversion of this product.

17 Patient Counseling Information (17 PATIENT COUNSELING INFORMATION)

Advise the patient to read the FDA-approved patient labeling (Medication Guide).

5.19 Hypersensitivity/anaphylaxis (5.19 Hypersensitivity/Anaphylaxis)

There have been post-marketing reports of hypersensitivity and anaphylaxis associated with the use of acetaminophen. Clinical signs included swelling of the face, mouth, and throat, respiratory distress, urticaria, rash, pruritus, and vomiting. There were infrequent reports of life-threatening anaphylaxis requiring emergency medical attention. Instruct patients to discontinue Butalbital, Acetaminophen, Caffeine, and Codeine Phosphate Capsules immediately and seek medical care if they experience these symptoms. Do not prescribe Butalbital, Acetaminophen, Caffeine, and Codeine Phosphate Capsules for patients with acetaminophen allergy.

5.21 Fd&c Yellow No. 5 (tartrazine) (5.21 FD&C Yellow No. 5 (Tartrazine))

This product contains FD&C Yellow No. 5 (tartrazine) which may cause allergic-type reactions (including bronchial asthma) in certain susceptible persons. Although the overall incidence of FD&C Yellow No. 5 (tartrazine) sensitivity in the general population is low, it is frequently seen in patients who also have aspirin hypersensitivity.

16 How Supplied/storage and Handling (16 HOW SUPPLIED/STORAGE AND HANDLING)

Butalbital, Acetaminophen, Caffeine, and Codeine Phosphate Capsules are dark blue, opaque cap with a gray, opaque body. The body is imprinted with "B 073" in black ink.

Bottles of 100 (NDC 51991-073-01)

5.6 Neonatal Opioid Withdrawal Syndrome

Prolonged use of Butalbital, Acetaminophen, Caffeine, and Codeine Phosphate Capsules during pregnancy can result in withdrawal in the neonate. Neonatal opioid withdrawal syndrome, unlike opioid withdrawal syndrome in adults, may be life-threatening if not recognized and treated, and requires management according to protocols developed by neonatology experts. Observe newborns for signs of neonatal opioid withdrawal syndrome and manage accordingly. Advise pregnant women using opioids for a prolonged period of the risk of neonatal opioid withdrawal syndrome and ensure that appropriate treatment will be available [see Use in Specific Populations (8.1, 8.2), Patient Counseling Information (17)].

5.3 Life Threatening Respiratory Depression (5.3 Life-Threatening Respiratory Depression)

Serious, life-threatening, or fatal respiratory depression has been reported with the use of opioids, even when used as recommended. Respiratory depression, if not immediately recognized and treated, may lead to respiratory arrest and death. Management of respiratory depression may include close observation, supportive measures, and use of opioid antagonists, depending on the patient's clinical status [see Overdosage (10)].

Carbon dioxide (CO2) retention from opioid-induced respiratory depression can exacerbate the sedating effects of opioids.

While serious, life-threatening, or fatal respiratory depression can occur at any time during the use of Butalbital, Acetaminophen, Caffeine, and Codeine Phosphate Capsules, the risk is greatest during the initiation of therapy or following a dosage increase. Monitor patients closely for respiratory depression, especially within the first 24-72 hours of initiating therapy with and following dosage increases of Butalbital, Acetaminophen, Caffeine, and Codeine Phosphate Capsules.

To reduce the risk of respiratory depression, proper dosing and titration of Butalbital, Acetaminophen, Caffeine, and Codeine Phosphate Capsules are essential [see Dosage and Administration (2.3)]. Overestimating the Butalbital, Acetaminophen, Caffeine, and Codeine Phosphate Capsules dosage when converting patients from another opioid product can result in a fatal overdose with the first dose.

Accidental ingestion of even one dose of Butalbital, Acetaminophen, Caffeine, and Codeine Phosphate Capsules, especially by children, can result in respiratory depression and death due to an overdose of codeine and butalbital.

Educate patients and caregivers on how to recognize respiratory depression and emphasize the importance of calling 911 or getting emergency medical help right away in the event of a known or suspected overdose [see Patient Counseling Information (17)].

Opioids can cause sleep-related breathing disorders including central sleep apnea (CSA) and sleep-related hypoxemia. Opioid use increases the risk of CSA in a dose-dependent fashion. In patients who present with CSA, consider decreasing the opioid dosage using best practices for opioid taper [see Dosage and Administration (2.4)].

5.17 Risks of Driving and Operating Machinery

Butalbital, Acetaminophen, Caffeine, and Codeine Phosphate Capsules may impair the mental or physical abilities needed to perform potentially hazardous activities such as driving a car or operating machinery. Warn patients not to drive or operate dangerous machinery unless they are tolerant to the effects of Butalbital, Acetaminophen, Caffeine, and Codeine Phosphate Capsules and know how they will react to the medication.

5.10 Interaction With Monoamine Oxidase Inhibitors (5.10 Interaction with Monoamine Oxidase Inhibitors)

Monoamine oxidase inhibitors (MAOIs) may potentiate the effects of morphine, codeine's active metabolite, including respiratory depression, coma, and confusion. Butalbital, Acetaminophen, Caffeine, and Codeine Phosphate Capsules should not be used in patients taking MAOIs or within 14 days of stopping such treatment.

Principal Display Panel 100 Capsule Bottle Label (PRINCIPAL DISPLAY PANEL - 100 Capsule Bottle Label)

NDC 51991-073-01

Butalbital,

Acetaminophen,

Caffeine, and

Codeine Phosphate Capsules

CIII

50 mg/325 mg/40 mg/30 mg

Each Capsule Contains:

Butalbital, USP 50 mg

Acetaminophen, USP 325 mg

Caffeine, USP 40 mg

Codeine Phosphate, USP 30 mg

PHARMACIST: Dispense the accompanying

Medication Guide to each patient.

breckenridge

A Towa

Company

Rx only

100 Capsules

2.1 Important Dosage and Administration Instructions

Use the lowest effective dosage for the shortest duration consistent with individual patient treatment goals [see Warnings and Precautions (5)].

Initiate the dosing regimen for each patient individually, taking into account the patient's severity of pain, patient response, prior analgesic treatment experience, and risk factors for addiction, abuse, and misuse [see Warnings and Precautions (5.1)].

Evidence supporting the efficacy and safety of Butalbital, Acetaminophen, Caffeine, and Codeine Phosphate Capsules in the treatment of multiple recurrent headaches is unavailable.

5.14 Risks of Use in Patients With Gastrointestinal Conditions (5.14 Risks of Use in Patients with Gastrointestinal Conditions)

Butalbital, Acetaminophen, Caffeine, and Codeine Phosphate Capsules are contraindicated in patients with known or suspected gastrointestinal obstruction, including paralytic ileus.

The codeine in Butalbital, Acetaminophen, Caffeine, and Codeine Phosphate Capsules may cause spasm of the sphincter of Oddi. Opioids may cause increases in serum amylase. Monitor patients with biliary tract disease, including acute pancreatitis for worsening symptoms.

5.15 Increased Risk of Seizures in Patients With Seizure Disorders (5.15 Increased Risk of Seizures in Patients with Seizure Disorders)

The codeine in Butalbital, Acetaminophen, Caffeine, and Codeine Phosphate Capsules may increase the frequency of seizures in patients with seizure disorders and may increase the risk of seizures occurring in other clinical settings associated with seizures.

Monitor patients with a history of seizure disorders for worsened seizure control during Butalbital, Acetaminophen, Caffeine, and Codeine Phosphate Capsules therapy.

5.2 Opioid Analgesic Risk Evaluation and Mitigation Strategy (rems) (5.2 Opioid Analgesic Risk Evaluation and Mitigation Strategy (REMS))

To ensure that the benefits of opioid analgesics outweigh the risks of addiction, abuse, and misuse, the Food and Drug Administration (FDA) has required a Risk Evaluation and Mitigation Strategy (REMS) for these products. Under the requirements of the REMS, drug companies with approved opioid analgesic products must make REMS-compliant education programs available to healthcare providers. Healthcare providers are strongly encouraged to do all of the following:

  • Complete a REMS-compliant education program offered by an accredited provider of continuing education (CE) or another education program that includes all the elements of the FDA Education Blueprint for Health Care Providers Involved in the Management or Support of Patients with Pain.
  • Discuss the safe use, serious risks, and proper storage and disposal of opioid analgesics with patients and/or their caregivers every time these medicines are prescribed. The Patient Counseling Guide (PCG) can be obtained at this link: www.fda.gov/OpioidAnalgesicREMSPCG.
  • Emphasize to patients and their caregivers the importance of reading the Medication Guide that they will receive from their pharmacist every time an opioid analgesic is dispensed to them.
  • Consider using other tools to improve patient, household, and community safety, such as patient-prescriber agreements that reinforce patient-prescriber responsibilities.

To obtain further information on the opioid analgesic REMS and for a list of accredited REMS CME/CE, call 1-800-503-0784, or log on to www.opioidanalgesicrems.com. The FDA Blueprint can be found at www.fda.gov/OpioidAnalgesicREMSBlueprint.

5.7 Risks of Interactions With Drugs Affecting Cytochrome P450 Isoenzymes (5.7 Risks of Interactions with Drugs Affecting Cytochrome P450 Isoenzymes)

The effects of concomitant use or discontinuation of cytochrome P450 3A4 inducers, 3A4 inhibitors, or 2D6 inhibitors with codeine are complex. Use of cytochrome P450 3A4 inducers, 3A4 inhibitors, or 2D6 inhibitors with Butalbital, Acetaminophen, Caffeine, and Codeine Phosphate Capsules require careful consideration of the effects on codeine and the active metabolite, morphine.

5.4 Risks From Concomitant Use With Benzodiazepines Or Other Cns Depressants (5.4 Risks from Concomitant Use with Benzodiazepines or Other CNS Depressants)

Profound sedation, respiratory depression, coma, and death may result from the concomitant use of Butalbital, Acetaminophen, Caffeine, and Codeine Phosphate Capsules with benzodiazepines or other CNS depressants (e.g., non-benzodiazepine sedatives/hypnotics, anxiolytics, tranquilizers, muscle relaxants, general anesthetics, antipsychotics, other opioids, alcohol). Because of these risks, reserve concomitant prescribing of these drugs for use in patients for whom alternative treatment options are inadequate.

Observational studies have demonstrated that concomitant use of opioid analgesics and benzodiazepines increases the risk of drug-related mortality compared to use of opioid analgesics alone. Because of similar pharmacological properties, it is reasonable to expect similar risk with the concomitant use of other CNS depressant drugs with opioid analgesics [see Drug Interactions (7)].

If the decision is made to prescribe a benzodiazepine or other CNS depressant concomitantly with an opioid analgesic, prescribe the lowest effective dosages and minimum durations of concomitant use. In patients already receiving an opioid analgesic, prescribe a lower initial dose of the benzodiazepine or other CNS depressant than indicated in the absence of an opioid, and titrate based on clinical response. If an opioid analgesic is initiated in a patient already taking a benzodiazepine or other CNS depressant, prescribe a lower initial dose of the opioid analgesic, and titrate based on clinical response. Follow patients closely for signs and symptoms of respiratory depression and sedation.

If concomitant use is warranted, consider prescribing naloxone for the emergency treatment of opioid overdose [see Dosage and Administration (2.2), Warnings and Precautions (5.3)].

Advise both patients and caregivers about the risks of respiratory depression and sedation when Butalbital, Acetaminophen, Caffeine, and Codeine Phosphate Capsules are used with benzodiazepines or other CNS depressants (including alcohol and illicit drugs). Advise patients not to drive or operate heavy machinery until the effects of concomitant use of the benzodiazepine or other CNS depressant have been determined. Screen patients for risk of substance use disorders, including opioid abuse and misuse, and warn them of the risk for overdose and death associated with the use of additional CNS depressants including alcohol and illicit drugs [see Drug Interactions (7), Patient Counseling Information (17)].

2.2 Patient Access to Naloxone for the Emergency Treatment of Opioid Overdose

Discuss the availability of naloxone for the emergency treatment of opioid overdose with the patient and caregiver and assess the potential need for access to naloxone, both when initiating and renewing treatment with Butalbital, Acetaminophen, Caffeine, and Codeine Phosphate Capsules [see Warnings and Precautions (5.3), Patient Counseling Information (17)].

Inform patients and caregivers about the various ways to obtain naloxone as permitted by individual state naloxone dispensing and prescribing requirements or guidelines (e.g., by prescription, directly from a pharmacist, or as part of a community-based program).

Consider prescribing naloxone, based on the patient's risk factors for overdose, such as concomitant use of CNS depressants, a history of opioid use disorder, or prior opioid overdose.

The presence of risk factors for overdose should not prevent the proper management of pain in any given patient [see Warnings and Precautions (5.1, 5.3, 5.4)].

Consider prescribing naloxone if the patient has household members (including children) or other close contacts at risk for accidental ingestion or overdose.

2.4 Safe Reduction Or Discontinuation of Butalbital, Acetaminophen, Caffeine, and Codeine Phosphate Capsules (2.4 Safe Reduction or Discontinuation of Butalbital, Acetaminophen, Caffeine, and Codeine Phosphate Capsules)

Do not abruptly discontinue Butalbital, Acetaminophen, Caffeine, and Codeine Phosphate Capsules in patients who may be physically dependent on opioids. Rapid discontinuation of opioid analgesics in patients who are physically dependent on opioids has resulted in serious withdrawal symptoms, uncontrolled pain, and suicide. Rapid discontinuation has also been associated with attempts to find other sources of opioid analgesics, which may be confused with drug-seeking for abuse. Patients may also attempt to treat their pain or withdrawal symptoms with illicit opioids, such as heroin, and other substances.

When a decision has been made to decrease the dose or discontinue therapy in an opioid-dependent patient taking Butalbital, Acetaminophen, Caffeine, and Codeine Phosphate Capsules, there are a variety of factors that should be considered, including the dose of Butalbital, Acetaminophen, Caffeine, and Codeine Phosphate Capsules the patient has been taking, the duration of treatment, the type of pain being treated, and the physical and psychological attributes of the patient. It is important to ensure ongoing care of the patient and to agree on an appropriate tapering schedule and follow-up plan so that patient and provider goals and expectations are clear and realistic. When opioid analgesics are being discontinued due to a suspected substance use disorder, evaluate and treat the patient, or refer for evaluation and treatment of the substance use disorder. Treatment should include evidence-based approaches, such as medication assisted treatment of opioid use disorder. Complex patients with co-morbid pain and substance use disorders may benefit from referral to a specialist.

There are no standard opioid tapering schedules that are suitable for all patients. Good clinical practice dictates a patient-specific plan to taper the dose of the opioid gradually. For patients on Butalbital, Acetaminophen, Caffeine, and Codeine Phosphate Capsules who are physically opioid-dependent, initiate the taper by a small enough increment (e.g., no greater than 10% to 25% of the total daily dose) to avoid withdrawal symptoms, and proceed with dose-lowering at an interval of every 2 to 4 weeks. Patients who have been taking opioids for briefer periods of time may tolerate a more rapid taper.

It may be necessary to provide the patient with lower dosage strengths to accomplish a successful taper. Reassess the patient frequently to manage pain and withdrawal symptoms, should they emerge. Common withdrawal symptoms include restlessness, lacrimation, rhinorrhea, yawning, perspiration, chills, myalgia, and mydriasis. Other signs and symptoms also may develop, including irritability, anxiety, backache, joint pain, weakness, abdominal cramps, insomnia, nausea, anorexia, vomiting, diarrhea, or increased blood pressure, respiratory rate, or heart rate. If withdrawal symptoms arise, it may be necessary to pause the taper for a period of time or raise the dose of the opioid analgesic to the previous dose, and then proceed with a slower taper. In addition, monitor patients for any changes in mood, emergence of suicidal thoughts, or use of other substances.

When managing patients taking opioid analgesics, particularly those who have been treated for a long duration and/or with high doses for chronic pain, ensure that a multimodal approach to pain management, including mental health support (if needed), is in place prior to initiating an opioid analgesic taper. A multimodal approach to pain management may optimize the treatment of chronic pain, as well as assist with the successful tapering of the opioid analgesic [see Warnings and Precautions (5.16), Drug Abuse and Dependence (9.3)].

5.5 Ultra Rapid Metabolism of Codeine and Other Risk Factors for Life Threatening Respiratory Depression in Children (5.5 Ultra-Rapid Metabolism of Codeine and Other Risk Factors for Life-threatening Respiratory Depression in Children)

Life-threatening respiratory depression and death have occurred in children who received codeine. Codeine is subject to variability in metabolism based upon CYP2D6 genotype (described below), which can lead to an increased exposure to the active metabolite morphine. Based upon post-marketing reports, children younger than 12 years of age appear to be more susceptible to the respiratory depressant effects of codeine, particularly if there are risk factors for respiratory depression. For example, many reported cases of death occurred in the post-operative period following tonsillectomy and/or adenoidectomy, and many of the children had evidence of being ultra-rapid metabolizers of codeine. Furthermore, children with obstructive sleep apnea who are treated with codeine for post-tonsillectomy and/or adenoidectomy pain may be particularly sensitive to its respiratory depressant effect. Because of the risk of life-threatening respiratory depression and death:

  • Butalbital, Acetaminophen, Caffeine, and Codeine Phosphate Capsules are contraindicated for all children younger than 12 years of age [see Contraindications (4)].
  • Butalbital, Acetaminophen, Caffeine, and Codeine Phosphate Capsules are contraindicated for post-operative management in pediatric patients younger than 18 years of age following tonsillectomy and/or adenoidectomy [see Contraindications (4)].
  • Avoid the use of Butalbital, Acetaminophen, Caffeine, and Codeine Phosphate Capsules in adolescents 12 to 18 years of age who have other risk factors that may increase their sensitivity to the respiratory depressant effects of codeine unless the benefits outweigh the risks. Risk factors include conditions associated with hypoventilation, such as post-operative status, obstructive sleep apnea, obesity, severe pulmonary disease, neuromuscular disease, and concomitant use of other medications that cause respiratory depression.
  • As with adults, when prescribing codeine for adolescents, healthcare providers should choose the lowest effective dose for the shortest period of time and inform patients and caregivers about these risks and the signs of morphine overdose [see Use in Specific Populations (8), Overdosage (10)].
5.13 Risks of Use in Patients With Increased Intracranial Pressure, Brain Tumors, Head Injury, Or Impaired Consciousness (5.13 Risks of Use in Patients with Increased Intracranial Pressure, Brain Tumors, Head Injury, or Impaired Consciousness)

In patients who may be susceptible to the intracranial effects of CO2 retention (e.g., those with evidence of increased intracranial pressure or brain tumors), Butalbital, Acetaminophen, Caffeine, and Codeine Phosphate Capsules may reduce respiratory drive, and the resultant CO2 retention can further increase intracranial pressure. Monitor such patients for signs of sedation and respiratory depression, particularly when initiating therapy with Butalbital, Acetaminophen, Caffeine, and Codeine Phosphate Capsules.

Opioids may also obscure the clinical course in a patient with a head injury. Avoid the use of Butalbital, Acetaminophen, Caffeine, and Codeine Phosphate Capsules in patients with impaired consciousness or coma.

5.9 Life Threatening Respiratory Depression in Patients With Chronic Pulmonary Disease Or in Elderly, Cachectic, Or Debilitated Patients (5.9 Life-Threatening Respiratory Depression in Patients with Chronic Pulmonary Disease or in Elderly, Cachectic, or Debilitated Patients)

The use of Butalbital, Acetaminophen, Caffeine, and Codeine Phosphate Capsules in patients with acute or severe bronchial asthma in an unmonitored setting or in the absence of resuscitative equipment is contraindicated.

Warning: Addiction, Abuse, and Misuse; Risk Evaluation and Mitigation Strategy (rems); Life Threatening Respiratory Depression; Accidental Ingestion; Risks From Concomitant Use With Benzodiazepines Or Other Cns Depressants; Ultra Rapid Metabolism of Codeine and Other Risk Factors for Life Threatening Respiratory Depression in Children; Neonatal Opioid Withdrawal Syndrome; Interactions With Drugs Affecting Cytochrome P450 Isoenzymes; and Hepatotoxicity (WARNING: ADDICTION, ABUSE, AND MISUSE; RISK EVALUATION AND MITIGATION STRATEGY (REMS); LIFE-THREATENING RESPIRATORY DEPRESSION; ACCIDENTAL INGESTION; RISKS FROM CONCOMITANT USE WITH BENZODIAZEPINES OR OTHER CNS DEPRESSANTS; ULTRA-RAPID METABOLISM OF CODEINE AND OTHER RISK FACTORS FOR LIFE-THREATENING RESPIRATORY DEPRESSION IN CHILDREN; NEONATAL OPIOID WITHDRAWAL SYNDROME; INTERACTIONS WITH DRUGS AFFECTING CYTOCHROME P450 ISOENZYMES; and HEPATOTOXICITY)

WARNING: ADDICTION, ABUSE, AND MISUSE; RISK EVALUATION AND MITIGATION STRATEGY (REMS); LIFE-THREATENING RESPIRATORY DEPRESSION; ACCIDENTAL INGESTION; RISKS FROM CONCOMITANT USE WITH BENZODIAZEPINES OR OTHER CNS DEPRESSANTS; ULTRA-RAPID METABOLISM OF CODEINE AND OTHER RISK FACTORS FOR LIFE-THREATENING RESPIRATORY DEPRESSION IN CHILDREN; NEONATAL OPIOID WITHDRAWAL SYNDROME; INTERACTIONS WITH DRUGS AFFECTING CYTOCHROME P450 ISOENZYMES; and HEPATOTOXICITY

See full prescribing information for complete boxed warning.

  • Butalbital, Acetaminophen, Caffeine, and Codeine Phosphate Capsules expose users to the risks of addiction, abuse, and misuse, which can lead to overdose and death. Assess patient's risk before prescribing and monitor regularly for these behaviors and conditions. (5.1)
  • To ensure that the benefits of opioid analgesics outweigh the risks of addiction, abuse, and misuse, the Food and Drug Administration (FDA) has required a Risk Evaluation and Mitigation Strategy (REMS) for these products. (5.2)
  • Serious, life-threatening, or fatal respiratory depression may occur. Monitor closely, especially upon initiation or following a dose increase. (5.3)
  • Accidental ingestion of Butalbital, Acetaminophen, Caffeine, and Codeine Phosphate Capsules, especially by children, can result in fatal overdose. Keep out of reach of children. (5.3)
  • Concomitant use of opioids or a barbiturate with benzodiazepines or other central nervous system (CNS) depressants, including alcohol, may result in profound sedation, respiratory depression, coma, and death. Reserve concomitant prescribing for use in patients for whom alternative treatment options are inadequate; limit dosages and durations to the minimum required; and follow patients for signs and symptoms of respiratory depression and sedation. (5.4, 7)
  • Life-threatening respiratory depression and death have occurred in children who received codeine; most cases followed tonsillectomy and/or adenoidectomy, and many of the children had evidence of being an ultra-rapid metabolizer of codeine due to a CYP2D6 polymorphism. (5.5). Butalbital, Acetaminophen, Caffeine, and Codeine Phosphate Capsules are contraindicated in children younger than 12 years of age and in children younger than 18 years of age following tonsillectomy and/or adenoidectomy (4). Avoid the use of Butalbital, Acetaminophen, Caffeine, and Codeine Phosphate Capsules in adolescents 12 to 18 years of age who have other risk factors that may increase their sensitivity to the respiratory depressant effects of codeine.
  • Prolonged use of Butalbital, Acetaminophen, Caffeine, and Codeine Phosphate Capsules during pregnancy can result in neonatal opioid withdrawal syndrome, which may be life-threatening if not recognized and treated. If prolonged opioid use is required in a pregnant woman, advise the patient of the risk of neonatal opioid withdrawal syndrome and ensure that appropriate treatment will be available. (5.6)
  • The effects of concomitant use or discontinuation of cytochrome P450 3A4 inducers, 3A4 inhibitors, or 2D6 inhibitors with codeine are complex. Use of cytochrome P450 3A4 inducers, 3A4 inhibitors, or 2D6 inhibitors with Butalbital, Acetaminophen, Caffeine, and Codeine Phosphate Capsules requires careful consideration of the effects on codeine, and the active metabolite, morphine. (5.7, 7)
  • Acetaminophen has been associated with cases of acute liver failure, at times resulting in liver transplant and death. Most of the cases of liver injury are associated with the use of acetaminophen at doses that exceed 4,000 milligrams per day, and often involve more than one acetaminophen-containing product. (5.8)

Advanced Ingredient Data


Raw Label Data

All Sections (JSON)