clindamycin hydrochloride capsules, usp

clindamycin hydrochloride capsules, usp
SPL v6
SPL
SPL Set ID d6e1a5f2-9dcb-49fb-a5b0-d7d543520ac3
Route
oral
Published
Effective Date 2022-04-01
Document Type 34391-3 HUMAN PRESCRIPTION DRUG LABEL

Drug Facts

Composition & Product

Active Ingredients
clindamycin (300 mg)
Inactive Ingredients
lactose monohydrate starch, corn talc magnesium stearate fd&c blue no. 1 titanium dioxide gelatin, unspecified sodium lauryl sulfate ferrosoferric oxide shellac

Identifiers & Packaging

Pill Appearance
Imprint: C;40 Shape: capsule Color: blue Size: 21 mm Score: 1
Marketing Status
anda active Since 2009-08-26

Indications and Usage

Clindamycin hydrochloride capsules, USP are indicated in the treatment of serious infections caused by susceptible anaerobic bacteria.   Clindamycin hydrochloride capsules, USP are also indicated in the treatment of seri‑ous infections due to susceptible strains of streptococci, pneumococci, and staphylococci. Its use should be reserved for penicillin-allergic patients or other patients for whom, in the judgment of the physician, a penicillin is inappropriate. Because of the risk of colitis, as described in the WARNING box, before selecting clindamycin, the physician should consider the nature of the infection and the suitability of less toxic alternatives (e.g., erythromycin).   Anaerobes: Serious respiratory tract infections such as empyema, anaerobic pneumonitis, and lung abscess; serious skin and soft tissue infections; septicemia; intra-abdominal infections such as peritonitis and intra-abdominal abscess (typically resulting from anaerobic organisms resident in the normal gastroin‑testinal tract); infections of the female pelvis and geni‑tal tract such as endometritis, nongonococcal tubo-ovarian abscess, pelvic cellulitis, and postsurgical vaginal cuff infection.   Streptococci: Serious respiratory tract infections; seri‑ous skin and soft tissue infections.   Staphylococci: Serious respiratory tract infections; serious skin and soft tissue infections.   Pneumococci: Serious respiratory tract infections.   Bacteriologic studies should be performed to deter‑mine the causative organisms and their susceptibility to clindamycin.   To reduce the development of drug-resistant bacteria and maintain the effectiveness of clindamycin hydrochloride and other antibacterial drugs, clindamycin hydrochloride should be used only to treat or prevent infections that are proven or strongly suspected to be caused by susceptible bacte‑ria. When culture and susceptibility information are available, they should be considered in selecting or modifying antibacterial therapy. In the absence of such data, local epidemiology and susceptibility patterns may contribute to the empiric selection of therapy.

Dosage and Administration

If significant diarrhea occurs during therapy, this antibiotic should be discontinued (see WARNING box).   Adults   Serious infections —150 to 300 mg every 6 hours. More severe infections —300 to 450 mg every 6 hours.   Pediatric Patients   Serious infections —8 to 16 mg/kg/day (4 to 8 mg/lb/day) divided into three or four equal doses. More severe infections —16 to 20 mg/kg/day (8 to 10 mg/lb/day) divided into three or four equal doses.   To avoid the possibility of esophageal irritation, clindamycin hydrochloride capsules should be taken with a full glass of water. Serious infections due to anaerobic bacteria are usu‑ally treated with clindamycin injection. However, in clinically appropriate circum‑stances, the physician may elect to initiate treatment or continue treatment with clindamycin hydrochloride capsules.   In cases of β-hemolytic streptococcal infections, treat‑ment should continue for at least 10 days.

Contraindications

Clindamycin hydrochloride capsules are contraindicated in individuals with a history of hypersensitivity to preparations containing clindamycin or lincomycin.

Adverse Reactions

The following reactions have been reported with the use of clindamycin. Gastrointestinal: Abdominal pain, pseudomembranous colitis, esophagitis, nausea, vomiting, and diarrhea (see WARNING box). The onset of pseudomembranous coli‑tis symptoms may occur during or after antibacterial treatment (see WARNINGS ). Hypersensitivity Reactions: Generalized mild to moder‑ate morbilliform-like (maculopapular) skin rashes are the most frequently reported adverse reactions. Vesiculobullous rashes, as well as urticaria, have been observed during drug therapy. Rare instances of erythema multiforme, some resembling Stevens-Johnson syndrome, and a few cases of anaphylactoid reactions have also been reported. Skin and Mucous Membranes: Pruritus, vaginitis, and rare instances of exfoliative dermatitis have been reported. (See Hypersensitivity Reactions .)   Liver: Jaundice and abnormalities in liver function tests have been observed during clindamycin therapy.   Renal: Although no direct relationship of clindamycin to renal damage has been established, renal dysfunc‑tion as evidenced by azotemia, oliguria, and/or proteinuria has been observed in rare instances.   Hematopoietic: Transient neutropenia (leukopenia) and eosinophilia have been reported. Reports of agranulocytosis and thrombocytopenia have been made. No direct etiologic relationship to concurrent clindamycin therapy could be made in any of the foregoing.   Musculoskeletal: Rare instances of polyarthritis have been reported.

Drug Interactions

Clindamycin has been shown to have neuromuscular blocking properties that may enhance the action of other neuromuscular blocking agents. Therefore, it should be used with caution in patients receiving such agents.   Antagonism has been demonstrated between clindamycin and erythromycin in vitro . Because of possible clinical significance, these two drugs should not be administered concurrently.

How Supplied

Clindamycin Hydrochloride Capsules USP, 300 mg are light blue opaque/light blue opaque size ‘0’ hard gelatin capsule filled with white to off-white powder and imprinted with ‘C’ on light blue opaque cap and ‘40’ on light blue opaque body with black ink.   Bottles of 20 NDC 63187-127-20 Bottles of 21      NDC 63187-127-21 Bottles of 28      NDC 63187-127-28 Bottles of 30      NDC 63187-127-30 Bottles of 40      NDC 63187-127-40   Bottles of 60 NDC 63187-127-60

Description

To reduce the development of drug-resistant bacteria and maintain the effectiveness of clindamycin hydrochloride and other antibacterial drugs, clindamycin hydrochloride should be used only to treat or prevent infections that are proven or strongly suspected to be caused by bacteria.


Medication Information

Warnings



See WARNING box.

 

Clostridium difficile associated diarrhea (CDAD) has been reported with use of nearly all antibacterial agents, including clindamycin hydrochloride, and may range in severity from mild diarrhea to fatal colitis. Treatment with antibacterial agents alters the normal flora of the colon, leading to overgrowth of C. difficile.



C. difficile produces toxins A and B, which contribute to the development of CDAD.  Hypertoxin producing strains of C. difficile cause increased morbidity and mortality, as these infections can be refractory to antimicrobial therapy and may require colectomy. CDAD must be considered in all patients who present with diarrhea following antibiotic use. Careful medical history is necessary since CDAD has been reported to occur over two months after the administration of antibacterial agents. 

 

If CDAD is suspected or confirmed, ongoing antibiotic use not directed against C. difficile may need to be discontinued. Appropriate fluid and electrolyte management, protein supplementation, antibiotic treatment of C. difficile, and surgical evaluation should be instituted as clinically indicated.



A careful inquiry should be made concerning previous sensitivities to drugs and other allergens.

 

Usage in Meningitis 

 

Since clindamycin does not dif‑fuse adequately into the cerebrospinal fluid, the drug should not be used in the treatment of meningitis.

Indications and Usage



Clindamycin hydrochloride capsules, USP are indicated in the treatment of serious infections caused by susceptible anaerobic bacteria.

 

Clindamycin hydrochloride capsules, USP are also indicated in the treatment of seri‑ous infections due to susceptible strains of streptococci, pneumococci, and staphylococci. Its use should be reserved for penicillin-allergic patients or other patients for whom, in the judgment of the physician, a penicillin is inappropriate. Because of the risk of colitis, as described in the WARNING box, before selecting clindamycin, the physician should consider the nature of the infection and the suitability of less toxic alternatives (e.g., erythromycin).

 

Anaerobes: Serious respiratory tract infections such as empyema, anaerobic pneumonitis, and lung abscess; serious skin and soft tissue infections; septicemia; intra-abdominal infections such as peritonitis and intra-abdominal abscess (typically resulting from anaerobic organisms resident in the normal gastroin‑testinal tract); infections of the female pelvis and geni‑tal tract such as endometritis, nongonococcal tubo-ovarian abscess, pelvic cellulitis, and postsurgical vaginal cuff infection.

 

Streptococci: Serious respiratory tract infections; seri‑ous skin and soft tissue infections.

 

Staphylococci: Serious respiratory tract infections; serious skin and soft tissue infections.

 

Pneumococci: Serious respiratory tract infections.

 

Bacteriologic studies should be performed to deter‑mine the causative organisms and their susceptibility to clindamycin.

 

To reduce the development of drug-resistant bacteria and maintain the effectiveness of clindamycin hydrochloride and other antibacterial drugs, clindamycin hydrochloride should be used only to treat or prevent infections that are proven or strongly suspected to be caused by susceptible bacte‑ria. When culture and susceptibility information are available, they should be considered in selecting or modifying antibacterial therapy. In the absence of such data, local epidemiology and susceptibility patterns may contribute to the empiric selection of therapy.

Dosage and Administration



If significant diarrhea occurs during therapy, this antibiotic should be discontinued (see WARNING box).

 

Adults

 

Serious infections —150 to 300 mg every 6 hours. More severe infections —300 to 450 mg every 6 hours.

 

Pediatric Patients

 

Serious infections —8 to 16 mg/kg/day (4 to 8 mg/lb/day) divided into three or four equal doses. More severe infections —16 to 20 mg/kg/day (8 to 10 mg/lb/day) divided into three or four equal doses.

 

To avoid the possibility of esophageal irritation, clindamycin hydrochloride capsules should be taken with a full glass of water.



Serious infections due to anaerobic bacteria are usu‑ally treated with clindamycin injection. However, in clinically appropriate circum‑stances, the physician may elect to initiate treatment or continue treatment with clindamycin hydrochloride capsules.

 

In cases of β-hemolytic streptococcal infections, treat‑ment should continue for at least 10 days.

Contraindications



Clindamycin hydrochloride capsules are contraindicated in individuals with a history of hypersensitivity to preparations containing clindamycin or lincomycin.

Adverse Reactions



The following reactions have been reported with the use of clindamycin.



Gastrointestinal: Abdominal pain, pseudomembranous colitis, esophagitis, nausea, vomiting, and diarrhea (see WARNING box). The onset of pseudomembranous coli‑tis symptoms may occur during or after antibacterial treatment (see WARNINGS ).



Hypersensitivity Reactions: Generalized mild to moder‑ate morbilliform-like (maculopapular) skin rashes are the most frequently reported adverse reactions.



Vesiculobullous rashes, as well as urticaria, have been observed during drug therapy. Rare instances of erythema multiforme, some resembling Stevens-Johnson syndrome, and a few cases of anaphylactoid reactions have also been reported.



Skin and Mucous Membranes: Pruritus, vaginitis, and rare instances of exfoliative dermatitis have been reported. (See Hypersensitivity Reactions .)

 

Liver: Jaundice and abnormalities in liver function tests have been observed during clindamycin therapy.

 

Renal: Although no direct relationship of clindamycin to renal damage has been established, renal dysfunc‑tion as evidenced by azotemia, oliguria, and/or proteinuria has been observed in rare instances.

 

Hematopoietic: Transient neutropenia (leukopenia) and eosinophilia have been reported. Reports of agranulocytosis and thrombocytopenia have been made. No direct etiologic relationship to concurrent clindamycin therapy could be made in any of the foregoing.

 

Musculoskeletal: Rare instances of polyarthritis have been reported.

Drug Interactions



Clindamycin has been shown to have neuromuscular blocking properties that may enhance the action of other neuromuscular blocking agents. Therefore, it should be used with caution in patients receiving such agents.

 

Antagonism has been demonstrated between clindamycin and erythromycin in vitro. Because of possible clinical significance, these two drugs should not be administered concurrently.

How Supplied



Clindamycin Hydrochloride Capsules USP, 300 mg are light blue opaque/light blue opaque size ‘0’ hard gelatin capsule filled with white to off-white powder and imprinted with ‘C’ on light blue opaque cap and ‘40’ on light blue opaque body with black ink.

  •  
    Bottles of 20 NDC 63187-127-20

Bottles of 21      NDC 63187-127-21

Bottles of 28      NDC 63187-127-28

Bottles of 30      NDC 63187-127-30

Bottles of 40      NDC 63187-127-40

  •  
    Bottles of 60 NDC 63187-127-60
Description



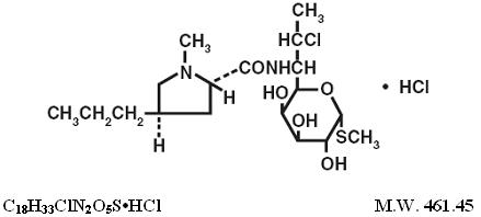
Clindamycin hydrochloride is the hydrated hydrochlo‑ride salt of clindamycin. Clindamycin is a semisynthetic antibiotic produced by a 7(S)-chloro-substitution of the 7(R)-hydroxyl group of the parent compound lincomycin.



The chemical name for clindamycin hydrochloride is Methyl 7-chloro-6,7,8-trideoxy-6-(1-methyl-trans-4-propyl-L-2-pyrrolidinecarboxamido)-1-thio-L-threo-α-D-galacto-octopyranoside monohydrochloride.

 

The structural formula is represented below:

 

Clindamycin hydrochloride capsules, USP contain clindamycin hydro‑chloride USP equivalent to 150 mg or 300 mg of clindamycin. Each capsule also contains the following inactive ingredients: lactose monohydrate, corn starch, talc, and magnesium stearate. The empty hard gelatin capsule shell consists of FD&C Blue #1, titanium dioxide, gelatin, and sodium lauryl sulphate. In addition 150 mg also contains yellow iron oxide. The capsules are printed with edible ink containing black iron oxide and shellac.

Section 42229-5



To reduce the development of drug-resistant bacteria and maintain the effectiveness of clindamycin hydrochloride and other antibacterial drugs, clindamycin hydrochloride should be used only to treat or prevent infections that are proven or strongly suspected to be caused by bacteria.

General



Review of experience to date suggests that a sub‑group of older patients with associated severe illness may tolerate diarrhea less well. When clindamycin is indicated in these patients, they should be carefully monitored for change in bowel frequency.

 

Clindamycin hydrochloride should be prescribed with caution in individuals with a history of gastrointestinal disease, particularly colitis.

 

Clindamycin hydrochloride should be prescribed with caution in atopic individuals.

 

Indicated surgical procedures should be performed in conjunction with antibiotic therapy.

 

The use of clindamycin hydrochloride occasionally results in over‑growth of nonsusceptible organisms—particularly yeasts. Should superinfections occur, appropriate measures should be taken as indicated by the clinical situation.

 

Clindamycin dosage modification may not be neces‑sary in patients with renal disease. In patients with mod‑erate to severe liver disease, prolongation of clindamycin half-life has been found. However, it was postulated from studies that when given every eight hours, accumulation should rarely occur. Therefore, dosage modification in patients with liver disease may not be necessary. However, periodic liver enzyme deter‑minations should be made when treating patients with severe liver disease.

 

Prescribing clindamycin hydrochloride in the absence of a proven or strongly suspected bacterial infection or a prophylac‑tic indication is unlikely to provide benefit to the patient and increases the risk of the development of drug-resis‑tant bacteria.

Warning



Clostridium difficile associated diarrhea (CDAD) has been reported with use of nearly all antibacterial agents, including clindamycin hydrochloride and may range in severity from mild diarrhea to fatal colitis. Treatment with antibacterial agents alters the normal flora of the colon, leading to overgrowth of C. difficile.



Because clindamycin hydrochloride therapy has been asso‑ciated with severe colitis which may end fatally, it should be reserved for serious infec‑tions where less toxic antimicrobial agents are inappropriate, as described in the INDICA‑TIONS AND USAGE section. It should not be used in patients with nonbacterial infections such as most upper respiratory tract infections. 

 

C. difficile produces toxins A and B, which contribute to the development of CDAD.  Hypertoxin producing strains of C. difficile cause increased morbidity and mortality, as these infections can be refractory to antimicrobial therapy and may require colectomy. CDAD must be considered in all patients who present with diarrhea following antibiotic use. Careful medical history is necessary since CDAD has been reported to occur over two months after the administration of antibacterial agents.

 

If CDAD is suspected or confirmed, ongoing antibiotic use not directed against C. difficile may need to be discontinued. Appropriate fluid and electrolyte management, protein supplementation, antibiotic treatment of C. difficile, and surgical evaluation should be instituted as clinically indicated.

Overdosage



Significant mortality was observed in mice at an intra‑venous dose of 855 mg/kg and in rats at an oral or sub‑cutaneous dose of approximately 2618 mg/kg. In the mice, convulsions and depression were observed.

 

Hemodialysis and peritoneal dialysis are not effective in removing clindamycin from the serum.

References
  • CLSI. Performance Standards for Antimicrobial Susceptibility Testing: Twentieth Informational Supplement. CLSI document M 100-S20. Wayne, PA: Clinical and Laboratory Standards Institute; 2010.
  • CLSI. Methods for Dilution Antimicrobial Susceptibility Tests for Bacteria that Grow Aerobically; Approved Standard – Eighth Edition. CLSI document M07-A8. Wayne, PA: Clinical and Laboratory Standards Institute; 2009.
  • CLSI. Performance Standards for Antimicrobial Disk Susceptibility Tests; Approved Standard - Tenth Edition. CLSI document M02-A10. Wayne, PA: Clinical and Laboratory Standards Institute; 2009.
  • CLSI. Methods for Antimicrobial Susceptibility Testing of Anaerobic Bacteria; Approved Standard-Seventh Edition. CLSI document M11-A7. Wayne, PA: Clinical and Laboratory Standards Institute; 2007.



Manufactured for:

Aurobindo Pharma USA, Inc.

2400 Route 130 North

Dayton, NJ 08810

 

Manufactured by:

Aurobindo Pharma Limited

Hyderabad–500 072, India 



Revised: 01/2012

Repackaged by:

Proficient Rx LP

Thousand Oaks, CA 91320

Geriatric Use



Clinical studies of clindamycin did not include suffi‑cient numbers of patients age 65 and over to determine whether they respond differently from younger patients. However, other reported clinical experience indicates that antibiotic-associated colitis and diarrhea (due to Clostridium difficile) seen in association with most anti‑biotics occur more frequently in the elderly (>60 years) and may be more severe. These patients should be carefully monitored for the development of diarrhea.

 

Pharmacokinetic studies with clindamycin have shown no clinically important differences between young and elderly subjects with normal hepatic function and normal (age-adjusted) renal function after oral or intravenous administration.

Pediatric Use



When clindamycin hydrochloride is administered to the pediatric population (birth to 16 years), appropriate monitoring of organ system functions is desirable.

Nursing Mothers



Clindamycin has been reported to appear in breast milk in the range of 0.7 to 3.8 mcg/mL.

Laboratory Tests



During prolonged therapy, periodic liver and kidney function tests and blood counts should be performed.

Animal Toxicology



One-year oral toxicity studies in Spartan Sprague-Dawley rats and beagle dogs at dose levels up to 300 mg/kg/day (approximately 1.6 and 5.4 times the highest recommended adult human dose based on mg/m2, respectively) have shown clindamycin to be well toler‑ated. No appreciable difference in pathological findings has been observed between groups of animals treated with clindamycin and comparable control groups. Rats receiving clindamycin hydrochloride at 600 mg/kg/day (approximately 3.2 times the highest recommended adult human dose based on mg/m2) for 6 months toler‑ated the drug well; however, dogs dosed at this level (approximately 10.8 times the highest recommended adult human dose based on mg/m2) vomited, would not eat, and lost weight. 

Teratogenic Effects



Pregnancy Category B

 

Reproduction studies performed in rats and mice using oral doses of clindamycin up to 600 mg/kg/day (3.2 and 1.6 times the highest recommended adult human dose based on mg/m2, respectively) or subcuta‑neous doses of clindamycin up to 250 mg/kg/day (1.3 and 0.7 times the highest recommended adult human dose based on mg/m2, respectively) revealed no evi‑dence of teratogenicity.

 

There are, however, no adequate and well-controlled studies in pregnant women. Because animal reproduc‑tion studies are not always predictive of the human response, this drug should be used during pregnancy only if clearly needed.

Clinical Pharmacology



Human Pharmacology

 

Absorption

 

Serum level studies with a 150 mg oral dose of clindamycin hydrochloride in 24 normal adult volunteers showed that clindamycin was rapidly absorbed after oral administration. An average peak serum level of 2.5 mcg/mL was reached in 45 minutes; serum levels averaged 1.51 mcg/mL at 3 hours and 0.7 mcg/mL at 6 hours. Absorption of an oral dose is virtually complete (90%), and the concomitant admin‑istration of food does not appreciably modify the serum concentrations; serum levels have been uniform and predictable from person to person and dose to dose. Serum level studies following multiple doses of clindamycin hydrochloride for up to 14 days show no evidence of accumulation or altered metabolism of drug. Doses of up to 2 grams of clindamycin per day for 14 days have been well tolerated by healthy volunteers, except that the incidence of gastrointestinal side effects is greater with the higher doses.

 

Distribution

 

Concentrations of clindamycin in the serum increased linearly with increased dose. Serum levels exceed the MIC (minimum inhibitory concentration) for most indi‑cated organisms for at least six hours following adminis‑tration of the usually recommended doses. Clindamycin is widely distributed in body fluids and tissues (including bones). No significant levels of clindamycin are attained in the cerebrospinal fluid, even in the presence of inflamed meninges.

 

Excretion

 

The average biological half-life is 2.4 hours. Approximately 10% of the bioactivity is excreted in the urine and 3.6% in the feces; the remainder is excreted as bioinactive metabolites.



Special Populations

 

Renal Impairment

 

Serum half-life of clindamycin is increased slightly in patients with markedly reduced renal function. Hemodialysis and peritoneal dialysis are not effective in removing clindamycin from the serum.

 

Use in Elderly

 

Pharmacokinetic studies in elderly volunteers (61 to 79 years) and younger adults (18 to 39 years) indicate that age alone does not alter clindamycin pharmacokinetics (clearance, elimination half-life, volume of distribution, and area under the serum concentration-time curve) after IV administration of clindamycin phosphate. After oral administration of clindamycin hydrochloride, elimi‑nation half-life is increased to approximately 4 hours (range 3.4 to 5.1 h) in the elderly compared to 3.2 hours (range 2.1 to 4.2 h) in younger adults. The extent of absorption, however, is not different between age groups and no dosage alteration is necessary for the elderly with normal hepatic function and normal (age-adjusted) renal function.



Microbiology

 

Clindamycin inhibits bacterial protein synthesis by binding to the 50S subunit of the ribosome. It has activity against Gram-positive aerobes and anaer‑obes as well as some Gram-negative anaerobes. Clindamycin is bacteriostatic. Cross-resistance between clindamycin and lincomycin is complete. Antagonism in vitro has been demonstrated between clindamycin and erythromycin. Clindamycin inducible resistance has been identified in macrolide-resistant staphylococci and beta-hemolytic streptococci. Macrolide-resistant isolates of these organisms should be screened for clindamycin inducible resistance using the D-zone test.

 

Clindamycin has been shown to be active against most of the isolates of the following microorganisms, both in vitro and in clinical infections, as described in the INDICATIONS AND USAGE section.

 

Gram-positive aerobes



Staphylococcus aureus (methicillin-susceptible strains)

Streptococcus pneumoniae (penicillin-susceptible strains)

Streptococcus pyogenes

 

Anaerobes



Prevotella melaninogenica

Fusobacterium necrophorum

Fusobacterium nucleatum

Peptostreptococcus anaerobius

Clostridium perfringens

 

At least 90% of the microorganisms listed below exhibit in vitro minimum inhibitory concentrations (MICs) less than or equal to the clindamycin susceptible MIC breakpoint for organisms of a similar type to those shown in Table 1. However, the efficacy of clindamycin in treating clinical infections due to these microorganisms has not been established in adequate and well-controlled clinical trials.

 

Gram-positive aerobes



Staphylococcus epidermidis (methicillin-susceptible strains)

Streptococcus agalactiae

Streptococcus anginosus

Streptococcus oralis

Streptococcus mitis

 

Anaerobes



Prevotella intermedia

Prevotella bivia

Propionibacterium acnes

Micromonas (“Peptostreptococcus”) micros

Finegoldia (“Peptostreptococcus”) magna

Actinomyces israelii

Clostridium clostridioforme

Eubacterium lentum

 

Susceptibility Testing Methods

 

When available, the clinical microbiology laboratory should provide cumulative in vitro susceptibility test results for antimicrobial drugs used in local hospitals and practice areas to the physician as periodic reports that describe the susceptibility profile of nosocomial and community-acquired pathogens. These reports should aid the physician in selecting the most effective antimicrobial.

 

Dilution Techniques

 

Quantitative methods are used to determine antimicrobial minimum inhibitory concentra‑tions (MICs). These MICs provide estimates of the susceptibility of bacteria to antimicrobial compounds. The MICs should be determined using a standardized procedure based on dilution methods (broth, agar, or microdilution)1,2 or equivalent using standardized inoculum and concentrations of clindamycin. The MIC values should be interpreted according to the criteria provided in Table 1.

 

Diffusion Techniques

 

Quantitative methods that require the measurement of zone diameters also pro‑vide reproducible estimates of the susceptibility of bac‑teria to antimicrobial compounds. The standardized procedure1,3 requires the use of standardized inoculum concentrations. This procedure uses paper disks impregnated with 2 mcg of clindamycin to test the susceptibility of microorganisms to clindamycin. Reports from the laboratory providing results of the standard single-disk susceptibility test with a 2 mcg clindamycin disk should be interpreted according to the criteria in Table 1.

Table 1. Susceptibility Interpretive Criteria for Clindamycin
Pathogen Susceptibility Interpretive Criteria
Minimal

Inhibitory

Concentrations

(MIC in mcg/mL)
Disk Diffusion

(Zone Diameters in mm)
NA=not applicable

 Staphylococcus spp.

≤0.5

1-2

≥4

≥21

15-20

≤14

 Streptococcus pneumoniae and

 other Streptococcus spp.

≤0.25

0.5

≥1

≥19

16-18

≤15

 Anaerobic Bacteria

≤2

4

≥8

NA

NA

NA



A report of “Susceptible” indicates that the pathogen is likely to be inhibited if the antimicrobial compound in the blood reaches the concentrations usually achiev‑able. A report of “Intermediate” indicates that the result should be considered equivocal, and, if the microorgan‑ism is not fully susceptible to alternative, clinically feasi‑ble drugs, the test should be repeated. This category implies possible clinical applicability in body sites where the drug is physiologically concentrated or in situations where high dosage of drug can be used. This category also provides a buffer zone that prevents small, uncon‑trolled technical factors from causing major discrepan‑cies in interpretation.

 

A report of “Resistant” indicates that the pathogen is not likely to be inhibited if the antimicrobial compound in the blood reaches the con‑centrations usually achievable; other therapy should be selected.

 

Quality Control

 

Standardized susceptibility test procedures require the use of laboratory controls to monitor and ensure the accuracy and precision of the supplies and reagents used in the assay, and the techniques of the individuals performing the test.1,2,3,4 Standard clindamycin powder should provide the MIC ranges in Table 2. For the disk diffusion technique using the 2 mcg clindamycin disk the criteria provided in Table 2 should be achieved.  



Table 2. Acceptable Quality Control Ranges for Clindamycin to be Used in Validation of Susceptibility Test Results
QC Strain Acceptable Quality Control Ranges
Minimum Inhibitory

Concentration Range

(mcg/mL)
Disk Diffusion

(Zone Diameters in mm)
NA=not applicable

ATCC® is a registered trademark of the American Type Culture Collection

 When Testing Aerobic Pathogens

 Staphylococcus aureus ATCC 29213

0.06–0.25

NA

 Staphylococcus aureus ATCC 25923

NA

24–30

 Streptococcus pneumoniae ATCC 49619

0.03–0.12

19–25

 When Testing Anaerobes

 Bacteroides fragilis ATCC 25285

0.5–2

NA

 Bacteroides thetaiotaomicron ATCC 29741

2–8

NA

 Eubacterium lentum ATCC 43055

0.06–0.25

NA

Information for Patients



Patients should be counseled that antibacterial drugs, including clindamycin hydrochloride, should only be used to treat bacterial infections. They do not treat viral infections (e.g., the common cold). When clindamycin hydrochloride is pre‑scribed to treat a bacterial infection, patients should be told that although it is common to feel better early in the course of therapy, the medication should be taken exactly as directed. Skipping doses or not completing the full course of therapy may (1) decrease the effec‑tiveness of the immediate treatment and (2) increase the likelihood that bacteria will develop resistance and will not be treatable by clindamycin hydrochloride or other antibacte‑rial drugs in the future.

 

Diarrhea is a common problem caused by antibiotics which usually ends when the antibiotic is discontinued. Sometimes after starting treatment with antibiotics, patients can develop watery and bloody stools (with or without stomach cramps and fever) even as late as two or more months after having taken the last dose of the antibiotic. If this occurs, patients should contact their physician as soon as possible.

Package Label Principal Display Panel
Carcinogenesis, Mutagenesis, Impairment of Fertility



Long-term studies in animals have not been per‑formed with clindamycin to evaluate carcinogenic poten‑tial. Genotoxicity tests performed included a rat micronucleus test and an Ames Salmonella reversion test. Both tests were negative.

 

Fertility studies in rats treated orally with up to 300 mg/kg/day (approximately 1.6 times the highest rec‑ommended adult human dose based on mg/m2) revealed no effects on fertility or mating ability.


Structured Label Content

Warnings (WARNINGS)



See WARNING box.

 

Clostridium difficile associated diarrhea (CDAD) has been reported with use of nearly all antibacterial agents, including clindamycin hydrochloride, and may range in severity from mild diarrhea to fatal colitis. Treatment with antibacterial agents alters the normal flora of the colon, leading to overgrowth of C. difficile.



C. difficile produces toxins A and B, which contribute to the development of CDAD.  Hypertoxin producing strains of C. difficile cause increased morbidity and mortality, as these infections can be refractory to antimicrobial therapy and may require colectomy. CDAD must be considered in all patients who present with diarrhea following antibiotic use. Careful medical history is necessary since CDAD has been reported to occur over two months after the administration of antibacterial agents. 

 

If CDAD is suspected or confirmed, ongoing antibiotic use not directed against C. difficile may need to be discontinued. Appropriate fluid and electrolyte management, protein supplementation, antibiotic treatment of C. difficile, and surgical evaluation should be instituted as clinically indicated.



A careful inquiry should be made concerning previous sensitivities to drugs and other allergens.

 

Usage in Meningitis 

 

Since clindamycin does not dif‑fuse adequately into the cerebrospinal fluid, the drug should not be used in the treatment of meningitis.

Indications and Usage (INDICATIONS AND USAGE)



Clindamycin hydrochloride capsules, USP are indicated in the treatment of serious infections caused by susceptible anaerobic bacteria.

 

Clindamycin hydrochloride capsules, USP are also indicated in the treatment of seri‑ous infections due to susceptible strains of streptococci, pneumococci, and staphylococci. Its use should be reserved for penicillin-allergic patients or other patients for whom, in the judgment of the physician, a penicillin is inappropriate. Because of the risk of colitis, as described in the WARNING box, before selecting clindamycin, the physician should consider the nature of the infection and the suitability of less toxic alternatives (e.g., erythromycin).

 

Anaerobes: Serious respiratory tract infections such as empyema, anaerobic pneumonitis, and lung abscess; serious skin and soft tissue infections; septicemia; intra-abdominal infections such as peritonitis and intra-abdominal abscess (typically resulting from anaerobic organisms resident in the normal gastroin‑testinal tract); infections of the female pelvis and geni‑tal tract such as endometritis, nongonococcal tubo-ovarian abscess, pelvic cellulitis, and postsurgical vaginal cuff infection.

 

Streptococci: Serious respiratory tract infections; seri‑ous skin and soft tissue infections.

 

Staphylococci: Serious respiratory tract infections; serious skin and soft tissue infections.

 

Pneumococci: Serious respiratory tract infections.

 

Bacteriologic studies should be performed to deter‑mine the causative organisms and their susceptibility to clindamycin.

 

To reduce the development of drug-resistant bacteria and maintain the effectiveness of clindamycin hydrochloride and other antibacterial drugs, clindamycin hydrochloride should be used only to treat or prevent infections that are proven or strongly suspected to be caused by susceptible bacte‑ria. When culture and susceptibility information are available, they should be considered in selecting or modifying antibacterial therapy. In the absence of such data, local epidemiology and susceptibility patterns may contribute to the empiric selection of therapy.

Dosage and Administration (DOSAGE AND ADMINISTRATION)



If significant diarrhea occurs during therapy, this antibiotic should be discontinued (see WARNING box).

 

Adults

 

Serious infections —150 to 300 mg every 6 hours. More severe infections —300 to 450 mg every 6 hours.

 

Pediatric Patients

 

Serious infections —8 to 16 mg/kg/day (4 to 8 mg/lb/day) divided into three or four equal doses. More severe infections —16 to 20 mg/kg/day (8 to 10 mg/lb/day) divided into three or four equal doses.

 

To avoid the possibility of esophageal irritation, clindamycin hydrochloride capsules should be taken with a full glass of water.



Serious infections due to anaerobic bacteria are usu‑ally treated with clindamycin injection. However, in clinically appropriate circum‑stances, the physician may elect to initiate treatment or continue treatment with clindamycin hydrochloride capsules.

 

In cases of β-hemolytic streptococcal infections, treat‑ment should continue for at least 10 days.

Contraindications (CONTRAINDICATIONS)



Clindamycin hydrochloride capsules are contraindicated in individuals with a history of hypersensitivity to preparations containing clindamycin or lincomycin.

Adverse Reactions (ADVERSE REACTIONS)



The following reactions have been reported with the use of clindamycin.



Gastrointestinal: Abdominal pain, pseudomembranous colitis, esophagitis, nausea, vomiting, and diarrhea (see WARNING box). The onset of pseudomembranous coli‑tis symptoms may occur during or after antibacterial treatment (see WARNINGS ).



Hypersensitivity Reactions: Generalized mild to moder‑ate morbilliform-like (maculopapular) skin rashes are the most frequently reported adverse reactions.



Vesiculobullous rashes, as well as urticaria, have been observed during drug therapy. Rare instances of erythema multiforme, some resembling Stevens-Johnson syndrome, and a few cases of anaphylactoid reactions have also been reported.



Skin and Mucous Membranes: Pruritus, vaginitis, and rare instances of exfoliative dermatitis have been reported. (See Hypersensitivity Reactions .)

 

Liver: Jaundice and abnormalities in liver function tests have been observed during clindamycin therapy.

 

Renal: Although no direct relationship of clindamycin to renal damage has been established, renal dysfunc‑tion as evidenced by azotemia, oliguria, and/or proteinuria has been observed in rare instances.

 

Hematopoietic: Transient neutropenia (leukopenia) and eosinophilia have been reported. Reports of agranulocytosis and thrombocytopenia have been made. No direct etiologic relationship to concurrent clindamycin therapy could be made in any of the foregoing.

 

Musculoskeletal: Rare instances of polyarthritis have been reported.

Drug Interactions



Clindamycin has been shown to have neuromuscular blocking properties that may enhance the action of other neuromuscular blocking agents. Therefore, it should be used with caution in patients receiving such agents.

 

Antagonism has been demonstrated between clindamycin and erythromycin in vitro. Because of possible clinical significance, these two drugs should not be administered concurrently.

How Supplied (HOW SUPPLIED)



Clindamycin Hydrochloride Capsules USP, 300 mg are light blue opaque/light blue opaque size ‘0’ hard gelatin capsule filled with white to off-white powder and imprinted with ‘C’ on light blue opaque cap and ‘40’ on light blue opaque body with black ink.

  •  
    Bottles of 20 NDC 63187-127-20

Bottles of 21      NDC 63187-127-21

Bottles of 28      NDC 63187-127-28

Bottles of 30      NDC 63187-127-30

Bottles of 40      NDC 63187-127-40

  •  
    Bottles of 60 NDC 63187-127-60
Description (DESCRIPTION)



Clindamycin hydrochloride is the hydrated hydrochlo‑ride salt of clindamycin. Clindamycin is a semisynthetic antibiotic produced by a 7(S)-chloro-substitution of the 7(R)-hydroxyl group of the parent compound lincomycin.



The chemical name for clindamycin hydrochloride is Methyl 7-chloro-6,7,8-trideoxy-6-(1-methyl-trans-4-propyl-L-2-pyrrolidinecarboxamido)-1-thio-L-threo-α-D-galacto-octopyranoside monohydrochloride.

 

The structural formula is represented below:

 

Clindamycin hydrochloride capsules, USP contain clindamycin hydro‑chloride USP equivalent to 150 mg or 300 mg of clindamycin. Each capsule also contains the following inactive ingredients: lactose monohydrate, corn starch, talc, and magnesium stearate. The empty hard gelatin capsule shell consists of FD&C Blue #1, titanium dioxide, gelatin, and sodium lauryl sulphate. In addition 150 mg also contains yellow iron oxide. The capsules are printed with edible ink containing black iron oxide and shellac.

Section 42229-5 (42229-5)



To reduce the development of drug-resistant bacteria and maintain the effectiveness of clindamycin hydrochloride and other antibacterial drugs, clindamycin hydrochloride should be used only to treat or prevent infections that are proven or strongly suspected to be caused by bacteria.

General



Review of experience to date suggests that a sub‑group of older patients with associated severe illness may tolerate diarrhea less well. When clindamycin is indicated in these patients, they should be carefully monitored for change in bowel frequency.

 

Clindamycin hydrochloride should be prescribed with caution in individuals with a history of gastrointestinal disease, particularly colitis.

 

Clindamycin hydrochloride should be prescribed with caution in atopic individuals.

 

Indicated surgical procedures should be performed in conjunction with antibiotic therapy.

 

The use of clindamycin hydrochloride occasionally results in over‑growth of nonsusceptible organisms—particularly yeasts. Should superinfections occur, appropriate measures should be taken as indicated by the clinical situation.

 

Clindamycin dosage modification may not be neces‑sary in patients with renal disease. In patients with mod‑erate to severe liver disease, prolongation of clindamycin half-life has been found. However, it was postulated from studies that when given every eight hours, accumulation should rarely occur. Therefore, dosage modification in patients with liver disease may not be necessary. However, periodic liver enzyme deter‑minations should be made when treating patients with severe liver disease.

 

Prescribing clindamycin hydrochloride in the absence of a proven or strongly suspected bacterial infection or a prophylac‑tic indication is unlikely to provide benefit to the patient and increases the risk of the development of drug-resis‑tant bacteria.

Warning (WARNING)



Clostridium difficile associated diarrhea (CDAD) has been reported with use of nearly all antibacterial agents, including clindamycin hydrochloride and may range in severity from mild diarrhea to fatal colitis. Treatment with antibacterial agents alters the normal flora of the colon, leading to overgrowth of C. difficile.



Because clindamycin hydrochloride therapy has been asso‑ciated with severe colitis which may end fatally, it should be reserved for serious infec‑tions where less toxic antimicrobial agents are inappropriate, as described in the INDICA‑TIONS AND USAGE section. It should not be used in patients with nonbacterial infections such as most upper respiratory tract infections. 

 

C. difficile produces toxins A and B, which contribute to the development of CDAD.  Hypertoxin producing strains of C. difficile cause increased morbidity and mortality, as these infections can be refractory to antimicrobial therapy and may require colectomy. CDAD must be considered in all patients who present with diarrhea following antibiotic use. Careful medical history is necessary since CDAD has been reported to occur over two months after the administration of antibacterial agents.

 

If CDAD is suspected or confirmed, ongoing antibiotic use not directed against C. difficile may need to be discontinued. Appropriate fluid and electrolyte management, protein supplementation, antibiotic treatment of C. difficile, and surgical evaluation should be instituted as clinically indicated.

Overdosage (OVERDOSAGE)



Significant mortality was observed in mice at an intra‑venous dose of 855 mg/kg and in rats at an oral or sub‑cutaneous dose of approximately 2618 mg/kg. In the mice, convulsions and depression were observed.

 

Hemodialysis and peritoneal dialysis are not effective in removing clindamycin from the serum.

References (REFERENCES)
  • CLSI. Performance Standards for Antimicrobial Susceptibility Testing: Twentieth Informational Supplement. CLSI document M 100-S20. Wayne, PA: Clinical and Laboratory Standards Institute; 2010.
  • CLSI. Methods for Dilution Antimicrobial Susceptibility Tests for Bacteria that Grow Aerobically; Approved Standard – Eighth Edition. CLSI document M07-A8. Wayne, PA: Clinical and Laboratory Standards Institute; 2009.
  • CLSI. Performance Standards for Antimicrobial Disk Susceptibility Tests; Approved Standard - Tenth Edition. CLSI document M02-A10. Wayne, PA: Clinical and Laboratory Standards Institute; 2009.
  • CLSI. Methods for Antimicrobial Susceptibility Testing of Anaerobic Bacteria; Approved Standard-Seventh Edition. CLSI document M11-A7. Wayne, PA: Clinical and Laboratory Standards Institute; 2007.



Manufactured for:

Aurobindo Pharma USA, Inc.

2400 Route 130 North

Dayton, NJ 08810

 

Manufactured by:

Aurobindo Pharma Limited

Hyderabad–500 072, India 



Revised: 01/2012

Repackaged by:

Proficient Rx LP

Thousand Oaks, CA 91320

Geriatric Use



Clinical studies of clindamycin did not include suffi‑cient numbers of patients age 65 and over to determine whether they respond differently from younger patients. However, other reported clinical experience indicates that antibiotic-associated colitis and diarrhea (due to Clostridium difficile) seen in association with most anti‑biotics occur more frequently in the elderly (>60 years) and may be more severe. These patients should be carefully monitored for the development of diarrhea.

 

Pharmacokinetic studies with clindamycin have shown no clinically important differences between young and elderly subjects with normal hepatic function and normal (age-adjusted) renal function after oral or intravenous administration.

Pediatric Use



When clindamycin hydrochloride is administered to the pediatric population (birth to 16 years), appropriate monitoring of organ system functions is desirable.

Nursing Mothers



Clindamycin has been reported to appear in breast milk in the range of 0.7 to 3.8 mcg/mL.

Laboratory Tests



During prolonged therapy, periodic liver and kidney function tests and blood counts should be performed.

Animal Toxicology (ANIMAL TOXICOLOGY)



One-year oral toxicity studies in Spartan Sprague-Dawley rats and beagle dogs at dose levels up to 300 mg/kg/day (approximately 1.6 and 5.4 times the highest recommended adult human dose based on mg/m2, respectively) have shown clindamycin to be well toler‑ated. No appreciable difference in pathological findings has been observed between groups of animals treated with clindamycin and comparable control groups. Rats receiving clindamycin hydrochloride at 600 mg/kg/day (approximately 3.2 times the highest recommended adult human dose based on mg/m2) for 6 months toler‑ated the drug well; however, dogs dosed at this level (approximately 10.8 times the highest recommended adult human dose based on mg/m2) vomited, would not eat, and lost weight. 

Teratogenic Effects



Pregnancy Category B

 

Reproduction studies performed in rats and mice using oral doses of clindamycin up to 600 mg/kg/day (3.2 and 1.6 times the highest recommended adult human dose based on mg/m2, respectively) or subcuta‑neous doses of clindamycin up to 250 mg/kg/day (1.3 and 0.7 times the highest recommended adult human dose based on mg/m2, respectively) revealed no evi‑dence of teratogenicity.

 

There are, however, no adequate and well-controlled studies in pregnant women. Because animal reproduc‑tion studies are not always predictive of the human response, this drug should be used during pregnancy only if clearly needed.

Clinical Pharmacology (CLINICAL PHARMACOLOGY)



Human Pharmacology

 

Absorption

 

Serum level studies with a 150 mg oral dose of clindamycin hydrochloride in 24 normal adult volunteers showed that clindamycin was rapidly absorbed after oral administration. An average peak serum level of 2.5 mcg/mL was reached in 45 minutes; serum levels averaged 1.51 mcg/mL at 3 hours and 0.7 mcg/mL at 6 hours. Absorption of an oral dose is virtually complete (90%), and the concomitant admin‑istration of food does not appreciably modify the serum concentrations; serum levels have been uniform and predictable from person to person and dose to dose. Serum level studies following multiple doses of clindamycin hydrochloride for up to 14 days show no evidence of accumulation or altered metabolism of drug. Doses of up to 2 grams of clindamycin per day for 14 days have been well tolerated by healthy volunteers, except that the incidence of gastrointestinal side effects is greater with the higher doses.

 

Distribution

 

Concentrations of clindamycin in the serum increased linearly with increased dose. Serum levels exceed the MIC (minimum inhibitory concentration) for most indi‑cated organisms for at least six hours following adminis‑tration of the usually recommended doses. Clindamycin is widely distributed in body fluids and tissues (including bones). No significant levels of clindamycin are attained in the cerebrospinal fluid, even in the presence of inflamed meninges.

 

Excretion

 

The average biological half-life is 2.4 hours. Approximately 10% of the bioactivity is excreted in the urine and 3.6% in the feces; the remainder is excreted as bioinactive metabolites.



Special Populations

 

Renal Impairment

 

Serum half-life of clindamycin is increased slightly in patients with markedly reduced renal function. Hemodialysis and peritoneal dialysis are not effective in removing clindamycin from the serum.

 

Use in Elderly

 

Pharmacokinetic studies in elderly volunteers (61 to 79 years) and younger adults (18 to 39 years) indicate that age alone does not alter clindamycin pharmacokinetics (clearance, elimination half-life, volume of distribution, and area under the serum concentration-time curve) after IV administration of clindamycin phosphate. After oral administration of clindamycin hydrochloride, elimi‑nation half-life is increased to approximately 4 hours (range 3.4 to 5.1 h) in the elderly compared to 3.2 hours (range 2.1 to 4.2 h) in younger adults. The extent of absorption, however, is not different between age groups and no dosage alteration is necessary for the elderly with normal hepatic function and normal (age-adjusted) renal function.



Microbiology

 

Clindamycin inhibits bacterial protein synthesis by binding to the 50S subunit of the ribosome. It has activity against Gram-positive aerobes and anaer‑obes as well as some Gram-negative anaerobes. Clindamycin is bacteriostatic. Cross-resistance between clindamycin and lincomycin is complete. Antagonism in vitro has been demonstrated between clindamycin and erythromycin. Clindamycin inducible resistance has been identified in macrolide-resistant staphylococci and beta-hemolytic streptococci. Macrolide-resistant isolates of these organisms should be screened for clindamycin inducible resistance using the D-zone test.

 

Clindamycin has been shown to be active against most of the isolates of the following microorganisms, both in vitro and in clinical infections, as described in the INDICATIONS AND USAGE section.

 

Gram-positive aerobes



Staphylococcus aureus (methicillin-susceptible strains)

Streptococcus pneumoniae (penicillin-susceptible strains)

Streptococcus pyogenes

 

Anaerobes



Prevotella melaninogenica

Fusobacterium necrophorum

Fusobacterium nucleatum

Peptostreptococcus anaerobius

Clostridium perfringens

 

At least 90% of the microorganisms listed below exhibit in vitro minimum inhibitory concentrations (MICs) less than or equal to the clindamycin susceptible MIC breakpoint for organisms of a similar type to those shown in Table 1. However, the efficacy of clindamycin in treating clinical infections due to these microorganisms has not been established in adequate and well-controlled clinical trials.

 

Gram-positive aerobes



Staphylococcus epidermidis (methicillin-susceptible strains)

Streptococcus agalactiae

Streptococcus anginosus

Streptococcus oralis

Streptococcus mitis

 

Anaerobes



Prevotella intermedia

Prevotella bivia

Propionibacterium acnes

Micromonas (“Peptostreptococcus”) micros

Finegoldia (“Peptostreptococcus”) magna

Actinomyces israelii

Clostridium clostridioforme

Eubacterium lentum

 

Susceptibility Testing Methods

 

When available, the clinical microbiology laboratory should provide cumulative in vitro susceptibility test results for antimicrobial drugs used in local hospitals and practice areas to the physician as periodic reports that describe the susceptibility profile of nosocomial and community-acquired pathogens. These reports should aid the physician in selecting the most effective antimicrobial.

 

Dilution Techniques

 

Quantitative methods are used to determine antimicrobial minimum inhibitory concentra‑tions (MICs). These MICs provide estimates of the susceptibility of bacteria to antimicrobial compounds. The MICs should be determined using a standardized procedure based on dilution methods (broth, agar, or microdilution)1,2 or equivalent using standardized inoculum and concentrations of clindamycin. The MIC values should be interpreted according to the criteria provided in Table 1.

 

Diffusion Techniques

 

Quantitative methods that require the measurement of zone diameters also pro‑vide reproducible estimates of the susceptibility of bac‑teria to antimicrobial compounds. The standardized procedure1,3 requires the use of standardized inoculum concentrations. This procedure uses paper disks impregnated with 2 mcg of clindamycin to test the susceptibility of microorganisms to clindamycin. Reports from the laboratory providing results of the standard single-disk susceptibility test with a 2 mcg clindamycin disk should be interpreted according to the criteria in Table 1.

Table 1. Susceptibility Interpretive Criteria for Clindamycin
Pathogen Susceptibility Interpretive Criteria
Minimal

Inhibitory

Concentrations

(MIC in mcg/mL)
Disk Diffusion

(Zone Diameters in mm)
NA=not applicable

 Staphylococcus spp.

≤0.5

1-2

≥4

≥21

15-20

≤14

 Streptococcus pneumoniae and

 other Streptococcus spp.

≤0.25

0.5

≥1

≥19

16-18

≤15

 Anaerobic Bacteria

≤2

4

≥8

NA

NA

NA



A report of “Susceptible” indicates that the pathogen is likely to be inhibited if the antimicrobial compound in the blood reaches the concentrations usually achiev‑able. A report of “Intermediate” indicates that the result should be considered equivocal, and, if the microorgan‑ism is not fully susceptible to alternative, clinically feasi‑ble drugs, the test should be repeated. This category implies possible clinical applicability in body sites where the drug is physiologically concentrated or in situations where high dosage of drug can be used. This category also provides a buffer zone that prevents small, uncon‑trolled technical factors from causing major discrepan‑cies in interpretation.

 

A report of “Resistant” indicates that the pathogen is not likely to be inhibited if the antimicrobial compound in the blood reaches the con‑centrations usually achievable; other therapy should be selected.

 

Quality Control

 

Standardized susceptibility test procedures require the use of laboratory controls to monitor and ensure the accuracy and precision of the supplies and reagents used in the assay, and the techniques of the individuals performing the test.1,2,3,4 Standard clindamycin powder should provide the MIC ranges in Table 2. For the disk diffusion technique using the 2 mcg clindamycin disk the criteria provided in Table 2 should be achieved.  



Table 2. Acceptable Quality Control Ranges for Clindamycin to be Used in Validation of Susceptibility Test Results
QC Strain Acceptable Quality Control Ranges
Minimum Inhibitory

Concentration Range

(mcg/mL)
Disk Diffusion

(Zone Diameters in mm)
NA=not applicable

ATCC® is a registered trademark of the American Type Culture Collection

 When Testing Aerobic Pathogens

 Staphylococcus aureus ATCC 29213

0.06–0.25

NA

 Staphylococcus aureus ATCC 25923

NA

24–30

 Streptococcus pneumoniae ATCC 49619

0.03–0.12

19–25

 When Testing Anaerobes

 Bacteroides fragilis ATCC 25285

0.5–2

NA

 Bacteroides thetaiotaomicron ATCC 29741

2–8

NA

 Eubacterium lentum ATCC 43055

0.06–0.25

NA

Information for Patients



Patients should be counseled that antibacterial drugs, including clindamycin hydrochloride, should only be used to treat bacterial infections. They do not treat viral infections (e.g., the common cold). When clindamycin hydrochloride is pre‑scribed to treat a bacterial infection, patients should be told that although it is common to feel better early in the course of therapy, the medication should be taken exactly as directed. Skipping doses or not completing the full course of therapy may (1) decrease the effec‑tiveness of the immediate treatment and (2) increase the likelihood that bacteria will develop resistance and will not be treatable by clindamycin hydrochloride or other antibacte‑rial drugs in the future.

 

Diarrhea is a common problem caused by antibiotics which usually ends when the antibiotic is discontinued. Sometimes after starting treatment with antibiotics, patients can develop watery and bloody stools (with or without stomach cramps and fever) even as late as two or more months after having taken the last dose of the antibiotic. If this occurs, patients should contact their physician as soon as possible.

Package Label Principal Display Panel (PACKAGE LABEL-PRINCIPAL DISPLAY PANEL)
Carcinogenesis, Mutagenesis, Impairment of Fertility



Long-term studies in animals have not been per‑formed with clindamycin to evaluate carcinogenic poten‑tial. Genotoxicity tests performed included a rat micronucleus test and an Ames Salmonella reversion test. Both tests were negative.

 

Fertility studies in rats treated orally with up to 300 mg/kg/day (approximately 1.6 times the highest rec‑ommended adult human dose based on mg/m2) revealed no effects on fertility or mating ability.


Advanced Ingredient Data


Raw Label Data

All Sections (JSON)